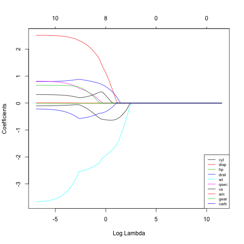
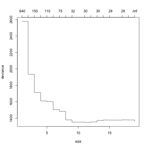
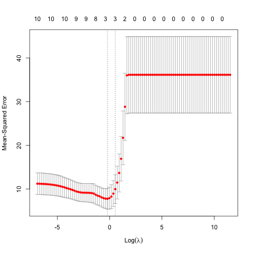
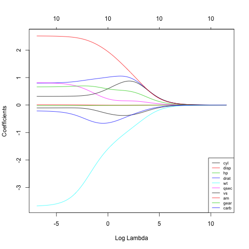
class: center, middle, inverse, title-slide # Lecture 10 ## Intro to Machine Learning ### Ivan Rudik ### AEM 7130 --- # Roadmap 1. Intro to machine learning 2. Supervised methods, validation, and cross-validation 4. Unsupervised methods --- # What is machine learning? Machine learning is an algorithmically-driven way to .hi-blue[predict] outcomes -- Unlike standard econometrics, we aren't as interested in unbiased estimators or causality -- We just care about getting the prediction right and it working rather than having formal statistical properties -- .hi-blue[We want a good prediction of y, not good estimates of coefficients] -- Econometricians are finding ways to do both (double selection, double ML, trees for heterogeneous causal effects, etc) --- # Terminology You'll run into terms that have similar meaning to what we use in economics 1. .hi-blue[Features]: regressors, your `\(x\)`s 2. .hi-blue[Supervised learning]: settings where we have an outcome `\(y\)` and a set of features `\(x\)`, this will be called regression if `\(y\)` is continuous, or classification if `\(y\)` is categorical 3. .hi-blue[Unsupervised learning]: settings where we only have features `\(x\)`, there's no outcomes! 4. .hi-blue[Training sample]: the partition of the dataset used to estimate the model 5. .hi-blue[Validation sample]: the partition of the dataset used to validate the out-of-sample fit within a fold 6. .hi-blue[Test sample]: The partition of the dataset used to test out-of-sample fit of the final model --- # The key pieces .hi-blue[Out-of-sample validation]: we will validate our methods by checking their fit and properties out-of-sample The fact that we're trying to solve prediction problems is why we can do this: we see the actual realizations of `\(y\)`, so that we can test the quality of the fit For causal inference problems we never observe the true `\(\beta\)` so we can't validate our solutions We use our training sample to estimate our model and then test it on our test sample --- # The key pieces .hi-blue[Regularization]: impose a penalty for overfitting the model You can get great (perfect) in-sample prediction by having `\(N=K\)` The problem is that this will lead to an over-fit model that will do very poorly out-of-sample How much regularization do we want? We typically use cross-validation methods to help us choose --- # The key pieces .hi-blue[Scalability]: can handle a lot of data `\(N\)` or `\(K\)` Could have thousands of features, billions of observations Having parallelizable algorithms is important --- # The key pieces .hi-blue[Bias-variance trade-off]: expected mean squared error (MSE) of a prediction is a combo of bias and variance Typically as economists we want low (zero) bias estimators because we care about the sign and interpretation of coefficients If we want a good prediction of `\(y\)`, we may be willing to allow more bias to reduce variance and decrease MSE `\begin{align} E(y-\hat{f}(x)^2) &= E[y^2] + E[\hat{f}^2] - 2[Ey\hat{f}]\\ &= var(y) + E[y^2] + var(\hat{f}) + E[\hat{f}^2] - 2fE[\hat{f}] \\ &= var(y) + var(\hat{f}) + (f-E[\hat{f}])^2 \\ &= \sigma^2 + variance + bias^2 \end{align}` --- # Bias-variance trade-off <div align="center"> <img src="figures/bias_variance.png" height=550> </div> --- # Bias-variance trade-off <div align="center"> <img src="figures/bias_variance_2.png" height=550> </div> --- # Shrinkage/regularization methods One way to reduce variance is to shrink the `\(\beta\)`s, or even set some to zero `\((var(0) = 0)\)` A common way we implement this is by penalizing deviation in `\(\beta\)`s different than zero: `$$\min_{\beta} \sum_{i=1}^N \left(y_i - (\alpha_0 + x_i' \beta) \right)^2 + \lambda \times Penalty(\beta \neq 0)$$` If we set estimates to zero we will end up with .hi-blue[sparse] representations Bet on the .hi-blue[sparsity principle]: use a procedure that does well in sparse problems, since no procedure does well in dense problems (Hastie, Tibshirani and Wainwright 2015) --- # Shrinkage/regularization methods There are three common specifications for this approach depending on how we specify the penalty function - .hi-blue[Ridge regression]: Penalty = `\(\sum_l \beta^2_l\)` - .hi-blue[Least Absolute Shrinkage and Selection Operator (LASSO)]: Penalty = `\(\sum_l |\beta_l|\)` - .hi-blue[Elastic Net]: Penalty = `\((1-\alpha)\sum_l \beta^2_l + \alpha\sum_l |\beta_l|\)` --- # Ridge regression `$$\min_{\beta} \sum_{i=1}^N \left(y_i - (\alpha_0 + x_i' \beta) \right)^2 + \lambda\sum_l \beta^2_l$$` `$$\min_{\beta} \sum_{i=1}^N \left(y_i - (\alpha_0 + x_i' \beta) \right)^2 + \lambda (||\beta||_2)^2$$` Ridge regression penalizes coefficients based on their `\(L_2\)` norm, this tends to .hi-red[shrink] coefficients toward zero It rarely sets coefficients exactly equal to zero since the penalty is smooth It does a good job with fixing ill-conditioning problems and in cases where `\(K>N\)` It also has a closed form solution: `\(\hat{\beta} = (X'X + \lambda I)^{-1} X'Y\)` --- # Ridge regression Ridge has a nice Bayesian interpretation If - The prior distribution of `\(\beta\)` is `\(\mathcal{N}(0,\tau^2 \times I)\)` - The error term is distributed `\(\mathcal{N}(0,\sigma^2)\)` - `\(\lambda = \sigma^2/\tau^2\)` Then `\(\hat{\beta}_{ridge}\)` is the posterior mean, median, and mode --- # Sidebar: normalization When regularizing we generally want to normalize our features and outcome Why? If features vary dramatically in magnitude or have different scales (dollars of GDP vs percent GDP), variables that are numerically large will get penalized more just because of their units If we set all variables to mean zero, variance one they are on a common playing field for regularization Regularizing the outcome will get rid of the intercept term as well For ridge, normalizing results in coefficients being shrunk by a factor of `\(1/(1+\lambda)\)` --- # LASSO `$$\min_{\beta} \sum_{i=1}^N \left(y_i - (\alpha_0 + x_i' \beta) \right)^2 + \lambda\sum_l |\beta_l|$$` `$$\min_{\beta} \sum_{i=1}^N \left(y_i - (\alpha_0 + x_i' \beta) \right)^2 + \lambda ||\beta||_1$$` LASSO penalizes coefficients based on their `\(L_1\)` norm, this tends to .hi-red[select] a subset of ceofficients, i.e. it sets a number of them equal precisely to zero and generates a sparse solution LASSO is generally used for variable or model selection LASSO has no analytic solution, need to use convex optimization routines --- # LASSO LASSO also has a nice Bayesian interpretation If - The prior distribution of `\(\beta\)` is Laplacian - The error term is distributed `\(\mathcal{N}(0,\sigma^2)\)` Then `\(\hat{\beta}_{LASSO}\)` is the posterior mode --- # `\(L_p\)` regularization `$$\min_{\beta} \sum_{i=1}^N \left(y_i - (\alpha_0 + x_i' \beta) \right)^2 + \lambda (||\beta||_p)^{1/p}$$` Ridge and LASSO are special cases of a general `\(L_p\)` regularizer Another special case is subset selection is we use the `\(L_0\)` norm .hi-blue[Subset selection] induces the estimates to be the OLS estimates but it is computationally tough to solve so it is not often used --- # Ridge vs LASSO One way to reframe ridge and LASSO are as their dual, constrained problems: Ridge: `$$\min_{\beta} \sum_{i=1}^N \left(y_i - (\alpha_0 + x_i' \beta) \right)^2 \text{ subject to } \sum_l \beta^2_l \leq s$$` LASSO: `$$\min_{\beta} \sum_{i=1}^N \left(y_i - (\alpha_0 + x_i' \beta) \right)^2 \text{ subject to } \sum_l |\beta_l| \leq s$$` We can then plot the constraints and the contours of the unconstrained problem to see how they differ --- # Ridge vs LASSO <div style="float: right"> <img src="figures/lasso_vs_ridge.png" height=450> </div> LASSO induces a constraint set with kinks at `\(x_1=0; x_2=0, ...\)` `\(\rightarrow\)` solutions will generally be at the kinks and we get lots of zero coefficients Ridge induces a spherical constraint set, it tends to shrink coefficients toward zero without setting them exactly to zero --- # Elastic Net `$$\min_{\beta} \sum_{i=1}^N \left(y_i - (\alpha_0 + x_i' \beta) \right)^2 + \lambda [(1-\alpha)(||\beta||_2)^2 + \alpha||\beta||_1]$$` Elastic net tries to get the best of both ridge and LASSO by using a convex combination of their penalties LASSO has one big problem: .hi-blue[Selection with Collinearity]: if features are highly correlated LASSO tends to select one and ignore the others The ridge penalty helps get around these issues by allowing us to select multiple of the correlated variables --- # Elastic Net <div align="center"> <img src="figures/elastic_net.png" height=300> </div> --- # Validation and cross-validation One thing we haven't discussed yet is how we select `\(\lambda\)`, our penalty parameter Big lambdas tend to result in a lot of shrinkage and sparsity, as `\(\lambda \rightarrow 0\)` our solution approaches the OLS solution There are two general ways to select `\(\lambda\)` 1. Select model with lowest AIC/BIC/other plug-in criterion - This uses no out-of-sample information for selection but is fast 2. Cross-validate by testing on our hold-out test sample - Variants of cross-validation are most commonly used --- # Cross-validation When we perform cross-validation we split our sample into three different pieces: a training sample, a validation sample, and a test sample First you randomly allocate some fraction of your data to the test sample Next you perform cross-validation on the remaining data A common way to do this is called .hi-blue[k-fold cross-validation] --- # k-fold cross-validation In k-fold cross-validation we do the following: - Create a grid of `\(\lambda\)`s - For each `\(\lambda\)`: - Split data into `\(k\)` mutually-exclusive folds of about equal size, usually choose `\(k=5,10\)` - For `\(j=1,...,k\)` - fit the model using all folds but fold `\(j\)` - Predict out-of-sample on fold `\(j\)` - Compute average mean squared prediction error across the `\(k\)` folds: `\(\bar{Q}(\lambda) = \frac{1}{k}\sum_{j=1}^k \sum_{i \in \text{fold j}} \left(y_i - (\alpha_0 + x_i' \beta) \right)^2 + \lambda ||\beta||_1\)` - Choose `\(\hat{\lambda}_{min} = argmin_{\lambda} \bar{Q}(\lambda)\)` or to avoid modest overfitting choose the largest `\(\lambda\)` such that `\(\bar{Q}(\lambda) \leq \hat{\lambda}_{min} + \sigma_{\hat{\lambda}_{min}}\)` (1 standard deviation rule) --- # Supervised learning examples: Preliminaries We need `tidyverse` to work with the data, `glmnet` to do the ML, , `caret` to do some higher-level tuning, and `tidymodels` to use a similar grammar and structure to `tidyverse` We will be working with the mtcars dataset ```r if (!require("pacman")) install.packages("pacman") require(devtools) devtools::install_github("tidymodels/tidymodels") pacman::p_load(tidymodels, tidyverse, glmnet, caret) set.seed(123) ``` --- # Supervised learning examples: Preliminaries ```r mtcars <- mtcars %>% as_tibble() mtcars ``` ``` ## # A tibble: 32 x 11 ## mpg cyl disp hp drat wt qsec vs am gear carb ## <dbl> <dbl> <dbl> <dbl> <dbl> <dbl> <dbl> <dbl> <dbl> <dbl> <dbl> ## 1 21 6 160 110 3.9 2.62 16.5 0 1 4 4 ## 2 21 6 160 110 3.9 2.88 17.0 0 1 4 4 ## 3 22.8 4 108 93 3.85 2.32 18.6 1 1 4 1 ## 4 21.4 6 258 110 3.08 3.22 19.4 1 0 3 1 ## 5 18.7 8 360 175 3.15 3.44 17.0 0 0 3 2 ## 6 18.1 6 225 105 2.76 3.46 20.2 1 0 3 1 ## 7 14.3 8 360 245 3.21 3.57 15.8 0 0 3 4 ## 8 24.4 4 147. 62 3.69 3.19 20 1 0 4 2 ## 9 22.8 4 141. 95 3.92 3.15 22.9 1 0 4 2 ## 10 19.2 6 168. 123 3.92 3.44 18.3 1 0 4 4 ## # … with 22 more rows ``` --- # Supervised learning example: pre-processing ```r y <- mtcars %>% # center and scale y's, glmnet will center and scale Xs select(mpg) %>% scale(center = TRUE, scale = FALSE) %>% as.matrix() X <- mtcars %>% select(-mpg) %>% as.matrix() ``` --- # Ridge regression with glmnet ```r lambdas_to_try <- 10^seq(-3, 5, length.out = 100) # penalty parameter grid ridge_cv <- cv.glmnet(X, y, alpha = 0, # alpha is the elastic net parameter, 0 -> ridge lambda = lambdas_to_try, # lambda grid standardize = TRUE, # standardize X's nfolds = 10) # number of CV folds ``` --- # Ridge regression with glmnet Here's MSE as a function of the choice of `\(\log(\lambda)\)`, notice we keep all variables <img src="10_machine_learning_files/figure-html/unnamed-chunk-6-1.png" style="display: block; margin: auto;" /> --- # Ridge regression with glmnet ```r res_ridge <- glmnet(X, y, alpha = 0, lambda = lambdas_to_try, standardize = TRUE) plot(res_ridge, xvar = "lambda") legend("bottomright", lwd = 1, col = 1:6, legend = colnames(X), cex = .7) ``` <img src="10_machine_learning_files/figure-html/unnamed-chunk-7-1.png" style="display: block; margin: auto;" /> --- # LASSO with glmnet ```r lambdas_to_try <- 10^seq(-3, 5, length.out = 100) # penalty parameter grid lasso_cv <- cv.glmnet(X, y, alpha = 1, # alpha is the elastic net parameter, 1 -> LASSO lambda = lambdas_to_try, # lambda grid standardize = TRUE, # standardize X's nfolds = 10) # number of CV folds ``` --- # LASSO with glmnet Here's MSE as a function of the choice of `\(\log(\lambda)\)`, LASSO generates sparse solutions <img src="10_machine_learning_files/figure-html/unnamed-chunk-9-1.png" style="display: block; margin: auto;" /> --- # LASSO with glmnet ```r res_lasso <- glmnet(X, y, alpha = 1, lambda = lambdas_to_try, standardize = TRUE) plot(res_lasso, xvar = "lambda") legend("bottomright", lwd = 1, col = 1:6, legend = colnames(X), cex = .7) ``` <img src="10_machine_learning_files/figure-html/unnamed-chunk-10-1.png" style="display: block; margin: auto;" /> --- # Elastic net with glmnet ```r lambdas_to_try <- 10^seq(-3, 5, length.out = 100) # penalty parameter grid elastic_net_cv <- cv.glmnet(X, y, alpha = 0.45, # alpha is the elastic net parameter lambda = lambdas_to_try, # lambda grid standardize = TRUE, # standardize X's nfolds = 10) # number of CV folds ``` --- # Elastic net with glmnet Here's MSE as a function of the choice of `\(\log(\lambda)\)`, elastic net generates sparse solutions <img src="10_machine_learning_files/figure-html/unnamed-chunk-12-1.png" style="display: block; margin: auto;" /> --- # Elastic net with glmnet ```r res_en <- glmnet(X, y, alpha = 0.45, lambda = lambdas_to_try, standardize = TRUE) plot(res_en, xvar = "lambda") legend("bottomright", lwd = 1, col = 1:6, legend = colnames(X), cex = .7) ``` <img src="10_machine_learning_files/figure-html/unnamed-chunk-13-1.png" style="display: block; margin: auto;" /> --- # Elastic net with caret Elastic net has a second hyper-parameter, `\(\alpha\)` that we can tune in addition to `\(\lambda\)` `glmnet` doesn't let you tune both, but `caret` does ```r train_control <- trainControl(method = "cv", # use repeated cv number = 10, # number of folds search = "random", verboseIter = TRUE) ``` --- # Elastic net with caret use `train` to train the model in `caret` using `glmnet` ```r elastic_net_model <- train(mpg ~ ., data = cbind(y, X), # data method = "glmnet", # use glmnet package preProcess = c("center", "scale"), # already centered and scaled tuneLength = 100, # 100 point grid for tuning parameters trControl = train_control) ``` ``` ## + Fold01: alpha=0.40947, lambda=0.381599 ## - Fold01: alpha=0.40947, lambda=0.381599 ## + Fold01: alpha=0.01047, lambda=0.004588 ## - Fold01: alpha=0.01047, lambda=0.004588 ## + Fold01: alpha=0.18385, lambda=0.293152 ## - Fold01: alpha=0.18385, lambda=0.293152 ## + Fold01: alpha=0.84273, lambda=0.016224 ## - Fold01: alpha=0.84273, lambda=0.016224 ## + Fold01: alpha=0.23116, lambda=0.668596 ## - Fold01: alpha=0.23116, lambda=0.668596 ## + Fold01: alpha=0.23910, lambda=0.035556 ## - Fold01: alpha=0.23910, lambda=0.035556 ## + Fold01: alpha=0.07669, lambda=6.069734 ## - Fold01: alpha=0.07669, lambda=6.069734 ## + Fold01: alpha=0.24572, lambda=5.963581 ## - Fold01: alpha=0.24572, lambda=5.963581 ## + Fold01: alpha=0.73214, lambda=0.681664 ## - Fold01: alpha=0.73214, lambda=0.681664 ## + Fold01: alpha=0.84745, lambda=0.009915 ## - Fold01: alpha=0.84745, lambda=0.009915 ## + Fold01: alpha=0.49753, lambda=0.007205 ## - Fold01: alpha=0.49753, lambda=0.007205 ## + Fold01: alpha=0.38791, lambda=0.204418 ## - Fold01: alpha=0.38791, lambda=0.204418 ## + Fold01: alpha=0.24645, lambda=0.010880 ## - Fold01: alpha=0.24645, lambda=0.010880 ## + Fold01: alpha=0.11110, lambda=0.116946 ## - Fold01: alpha=0.11110, lambda=0.116946 ## + Fold01: alpha=0.38999, lambda=1.155720 ## - Fold01: alpha=0.38999, lambda=1.155720 ## + Fold01: alpha=0.57194, lambda=0.004440 ## - Fold01: alpha=0.57194, lambda=0.004440 ## + Fold01: alpha=0.21689, lambda=0.037348 ## - Fold01: alpha=0.21689, lambda=0.037348 ## + Fold01: alpha=0.44477, lambda=0.068417 ## - Fold01: alpha=0.44477, lambda=0.068417 ## + Fold01: alpha=0.21799, lambda=2.437477 ## - Fold01: alpha=0.21799, lambda=2.437477 ## + Fold01: alpha=0.50230, lambda=4.095965 ## - Fold01: alpha=0.50230, lambda=4.095965 ## + Fold01: alpha=0.35390, lambda=2.761990 ## - Fold01: alpha=0.35390, lambda=2.761990 ## + Fold01: alpha=0.64999, lambda=0.424674 ## - Fold01: alpha=0.64999, lambda=0.424674 ## + Fold01: alpha=0.37471, lambda=5.105919 ## - Fold01: alpha=0.37471, lambda=5.105919 ## + Fold01: alpha=0.35545, lambda=0.102506 ## - Fold01: alpha=0.35545, lambda=0.102506 ## + Fold01: alpha=0.53369, lambda=0.176134 ## - Fold01: alpha=0.53369, lambda=0.176134 ## + Fold01: alpha=0.74033, lambda=0.020225 ## - Fold01: alpha=0.74033, lambda=0.020225 ## + Fold01: alpha=0.22110, lambda=0.022331 ## - Fold01: alpha=0.22110, lambda=0.022331 ## + Fold01: alpha=0.41275, lambda=0.001170 ## - Fold01: alpha=0.41275, lambda=0.001170 ## + Fold01: alpha=0.26569, lambda=0.090657 ## - Fold01: alpha=0.26569, lambda=0.090657 ## + Fold01: alpha=0.62997, lambda=2.502837 ## - Fold01: alpha=0.62997, lambda=2.502837 ## + Fold01: alpha=0.18383, lambda=0.001034 ## - Fold01: alpha=0.18383, lambda=0.001034 ## + Fold01: alpha=0.86364, lambda=0.001869 ## - Fold01: alpha=0.86364, lambda=0.001869 ## + Fold01: alpha=0.74657, lambda=0.004289 ## - Fold01: alpha=0.74657, lambda=0.004289 ## + Fold01: alpha=0.66828, lambda=1.009991 ## - Fold01: alpha=0.66828, lambda=1.009991 ## + Fold01: alpha=0.61802, lambda=0.735805 ## - Fold01: alpha=0.61802, lambda=0.735805 ## + Fold01: alpha=0.37224, lambda=6.209096 ## - Fold01: alpha=0.37224, lambda=6.209096 ## + Fold01: alpha=0.52984, lambda=0.065341 ## - Fold01: alpha=0.52984, lambda=0.065341 ## + Fold01: alpha=0.87468, lambda=0.001909 ## - Fold01: alpha=0.87468, lambda=0.001909 ## + Fold01: alpha=0.58175, lambda=0.337892 ## - Fold01: alpha=0.58175, lambda=0.337892 ## + Fold01: alpha=0.83977, lambda=0.908596 ## - Fold01: alpha=0.83977, lambda=0.908596 ## + Fold01: alpha=0.31245, lambda=0.003359 ## - Fold01: alpha=0.31245, lambda=0.003359 ## + Fold01: alpha=0.70829, lambda=0.034809 ## - Fold01: alpha=0.70829, lambda=0.034809 ## + Fold01: alpha=0.26502, lambda=0.007416 ## - Fold01: alpha=0.26502, lambda=0.007416 ## + Fold01: alpha=0.59434, lambda=0.001646 ## - Fold01: alpha=0.59434, lambda=0.001646 ## + Fold01: alpha=0.48129, lambda=0.034593 ## - Fold01: alpha=0.48129, lambda=0.034593 ## + Fold01: alpha=0.26503, lambda=0.001753 ## - Fold01: alpha=0.26503, lambda=0.001753 ## + Fold01: alpha=0.56459, lambda=0.007476 ## - Fold01: alpha=0.56459, lambda=0.007476 ## + Fold01: alpha=0.91319, lambda=0.001598 ## - Fold01: alpha=0.91319, lambda=0.001598 ## + Fold01: alpha=0.90187, lambda=0.409992 ## - Fold01: alpha=0.90187, lambda=0.409992 ## + Fold01: alpha=0.27417, lambda=0.014285 ## - Fold01: alpha=0.27417, lambda=0.014285 ## + Fold01: alpha=0.32148, lambda=0.002420 ## - Fold01: alpha=0.32148, lambda=0.002420 ## + Fold01: alpha=0.98564, lambda=0.001867 ## - Fold01: alpha=0.98564, lambda=0.001867 ## + Fold01: alpha=0.61999, lambda=2.724001 ## - Fold01: alpha=0.61999, lambda=2.724001 ## + Fold01: alpha=0.93731, lambda=0.873704 ## - Fold01: alpha=0.93731, lambda=0.873704 ## + Fold01: alpha=0.46653, lambda=1.532489 ## - Fold01: alpha=0.46653, lambda=1.532489 ## + Fold01: alpha=0.40683, lambda=6.810803 ## - Fold01: alpha=0.40683, lambda=6.810803 ## + Fold01: alpha=0.65923, lambda=0.002484 ## - Fold01: alpha=0.65923, lambda=0.002484 ## + Fold01: alpha=0.15235, lambda=0.002384 ## - Fold01: alpha=0.15235, lambda=0.002384 ## + Fold01: alpha=0.57287, lambda=1.305689 ## - Fold01: alpha=0.57287, lambda=1.305689 ## + Fold01: alpha=0.23873, lambda=1.148283 ## - Fold01: alpha=0.23873, lambda=1.148283 ## + Fold01: alpha=0.96236, lambda=0.001063 ## - Fold01: alpha=0.96236, lambda=0.001063 ## + Fold01: alpha=0.60137, lambda=1.092669 ## - Fold01: alpha=0.60137, lambda=1.092669 ## + Fold01: alpha=0.51503, lambda=0.698377 ## - Fold01: alpha=0.51503, lambda=0.698377 ## + Fold01: alpha=0.40257, lambda=0.285530 ## - Fold01: alpha=0.40257, lambda=0.285530 ## + Fold01: alpha=0.88025, lambda=0.074420 ## - Fold01: alpha=0.88025, lambda=0.074420 ## + Fold01: alpha=0.36409, lambda=0.004006 ## - Fold01: alpha=0.36409, lambda=0.004006 ## + Fold01: alpha=0.28824, lambda=0.001052 ## - Fold01: alpha=0.28824, lambda=0.001052 ## + Fold01: alpha=0.17065, lambda=0.057590 ## - Fold01: alpha=0.17065, lambda=0.057590 ## + Fold01: alpha=0.17217, lambda=0.082459 ## - Fold01: alpha=0.17217, lambda=0.082459 ## + Fold01: alpha=0.48204, lambda=0.032682 ## - Fold01: alpha=0.48204, lambda=0.032682 ## + Fold01: alpha=0.25296, lambda=0.064286 ## - Fold01: alpha=0.25296, lambda=0.064286 ## + Fold01: alpha=0.21625, lambda=0.604003 ## - Fold01: alpha=0.21625, lambda=0.604003 ## + Fold01: alpha=0.67438, lambda=0.001607 ## - Fold01: alpha=0.67438, lambda=0.001607 ## + Fold01: alpha=0.04766, lambda=0.023884 ## - Fold01: alpha=0.04766, lambda=0.023884 ## + Fold01: alpha=0.70085, lambda=1.353373 ## - Fold01: alpha=0.70085, lambda=1.353373 ## + Fold01: alpha=0.35189, lambda=1.820349 ## - Fold01: alpha=0.35189, lambda=1.820349 ## + Fold01: alpha=0.40894, lambda=0.008320 ## - Fold01: alpha=0.40894, lambda=0.008320 ## + Fold01: alpha=0.82095, lambda=0.023713 ## - Fold01: alpha=0.82095, lambda=0.023713 ## + Fold01: alpha=0.91886, lambda=2.203063 ## - Fold01: alpha=0.91886, lambda=2.203063 ## + Fold01: alpha=0.28253, lambda=2.141949 ## - Fold01: alpha=0.28253, lambda=2.141949 ## + Fold01: alpha=0.96110, lambda=0.014049 ## - Fold01: alpha=0.96110, lambda=0.014049 ## + Fold01: alpha=0.72839, lambda=0.003674 ## - Fold01: alpha=0.72839, lambda=0.003674 ## + Fold01: alpha=0.68638, lambda=0.555515 ## - Fold01: alpha=0.68638, lambda=0.555515 ## + Fold01: alpha=0.05284, lambda=0.002488 ## - Fold01: alpha=0.05284, lambda=0.002488 ## + Fold01: alpha=0.39522, lambda=0.001323 ## - Fold01: alpha=0.39522, lambda=0.001323 ## + Fold01: alpha=0.47785, lambda=7.957189 ## - Fold01: alpha=0.47785, lambda=7.957189 ## + Fold01: alpha=0.56025, lambda=0.001337 ## - Fold01: alpha=0.56025, lambda=0.001337 ## + Fold01: alpha=0.69826, lambda=0.020604 ## - Fold01: alpha=0.69826, lambda=0.020604 ## + Fold01: alpha=0.91568, lambda=3.721357 ## - Fold01: alpha=0.91568, lambda=3.721357 ## + Fold01: alpha=0.61835, lambda=0.254204 ## - Fold01: alpha=0.61835, lambda=0.254204 ## + Fold01: alpha=0.42842, lambda=0.012884 ## - Fold01: alpha=0.42842, lambda=0.012884 ## + Fold01: alpha=0.54208, lambda=0.753336 ## - Fold01: alpha=0.54208, lambda=0.753336 ## + Fold01: alpha=0.05848, lambda=1.793411 ## - Fold01: alpha=0.05848, lambda=1.793411 ## + Fold01: alpha=0.26086, lambda=0.016579 ## - Fold01: alpha=0.26086, lambda=0.016579 ## + Fold01: alpha=0.39715, lambda=0.082662 ## - Fold01: alpha=0.39715, lambda=0.082662 ## + Fold01: alpha=0.19774, lambda=0.523354 ## - Fold01: alpha=0.19774, lambda=0.523354 ## + Fold01: alpha=0.83193, lambda=0.316222 ## - Fold01: alpha=0.83193, lambda=0.316222 ## + Fold01: alpha=0.15289, lambda=0.323312 ## - Fold01: alpha=0.15289, lambda=0.323312 ## + Fold01: alpha=0.80342, lambda=6.552722 ## - Fold01: alpha=0.80342, lambda=6.552722 ## + Fold01: alpha=0.54683, lambda=0.040994 ## - Fold01: alpha=0.54683, lambda=0.040994 ## + Fold02: alpha=0.40947, lambda=0.381599 ## - Fold02: alpha=0.40947, lambda=0.381599 ## + Fold02: alpha=0.01047, lambda=0.004588 ## - Fold02: alpha=0.01047, lambda=0.004588 ## + Fold02: alpha=0.18385, lambda=0.293152 ## - Fold02: alpha=0.18385, lambda=0.293152 ## + Fold02: alpha=0.84273, lambda=0.016224 ## - Fold02: alpha=0.84273, lambda=0.016224 ## + Fold02: alpha=0.23116, lambda=0.668596 ## - Fold02: alpha=0.23116, lambda=0.668596 ## + Fold02: alpha=0.23910, lambda=0.035556 ## - Fold02: alpha=0.23910, lambda=0.035556 ## + Fold02: alpha=0.07669, lambda=6.069734 ## - Fold02: alpha=0.07669, lambda=6.069734 ## + Fold02: alpha=0.24572, lambda=5.963581 ## - Fold02: alpha=0.24572, lambda=5.963581 ## + Fold02: alpha=0.73214, lambda=0.681664 ## - Fold02: alpha=0.73214, lambda=0.681664 ## + Fold02: alpha=0.84745, lambda=0.009915 ## - Fold02: alpha=0.84745, lambda=0.009915 ## + Fold02: alpha=0.49753, lambda=0.007205 ## - Fold02: alpha=0.49753, lambda=0.007205 ## + Fold02: alpha=0.38791, lambda=0.204418 ## - Fold02: alpha=0.38791, lambda=0.204418 ## + Fold02: alpha=0.24645, lambda=0.010880 ## - Fold02: alpha=0.24645, lambda=0.010880 ## + Fold02: alpha=0.11110, lambda=0.116946 ## - Fold02: alpha=0.11110, lambda=0.116946 ## + Fold02: alpha=0.38999, lambda=1.155720 ## - Fold02: alpha=0.38999, lambda=1.155720 ## + Fold02: alpha=0.57194, lambda=0.004440 ## - Fold02: alpha=0.57194, lambda=0.004440 ## + Fold02: alpha=0.21689, lambda=0.037348 ## - Fold02: alpha=0.21689, lambda=0.037348 ## + Fold02: alpha=0.44477, lambda=0.068417 ## - Fold02: alpha=0.44477, lambda=0.068417 ## + Fold02: alpha=0.21799, lambda=2.437477 ## - Fold02: alpha=0.21799, lambda=2.437477 ## + Fold02: alpha=0.50230, lambda=4.095965 ## - Fold02: alpha=0.50230, lambda=4.095965 ## + Fold02: alpha=0.35390, lambda=2.761990 ## - Fold02: alpha=0.35390, lambda=2.761990 ## + Fold02: alpha=0.64999, lambda=0.424674 ## - Fold02: alpha=0.64999, lambda=0.424674 ## + Fold02: alpha=0.37471, lambda=5.105919 ## - Fold02: alpha=0.37471, lambda=5.105919 ## + Fold02: alpha=0.35545, lambda=0.102506 ## - Fold02: alpha=0.35545, lambda=0.102506 ## + Fold02: alpha=0.53369, lambda=0.176134 ## - Fold02: alpha=0.53369, lambda=0.176134 ## + Fold02: alpha=0.74033, lambda=0.020225 ## - Fold02: alpha=0.74033, lambda=0.020225 ## + Fold02: alpha=0.22110, lambda=0.022331 ## - Fold02: alpha=0.22110, lambda=0.022331 ## + Fold02: alpha=0.41275, lambda=0.001170 ## - Fold02: alpha=0.41275, lambda=0.001170 ## + Fold02: alpha=0.26569, lambda=0.090657 ## - Fold02: alpha=0.26569, lambda=0.090657 ## + Fold02: alpha=0.62997, lambda=2.502837 ## - Fold02: alpha=0.62997, lambda=2.502837 ## + Fold02: alpha=0.18383, lambda=0.001034 ## - Fold02: alpha=0.18383, lambda=0.001034 ## + Fold02: alpha=0.86364, lambda=0.001869 ## - Fold02: alpha=0.86364, lambda=0.001869 ## + Fold02: alpha=0.74657, lambda=0.004289 ## - Fold02: alpha=0.74657, lambda=0.004289 ## + Fold02: alpha=0.66828, lambda=1.009991 ## - Fold02: alpha=0.66828, lambda=1.009991 ## + Fold02: alpha=0.61802, lambda=0.735805 ## - Fold02: alpha=0.61802, lambda=0.735805 ## + Fold02: alpha=0.37224, lambda=6.209096 ## - Fold02: alpha=0.37224, lambda=6.209096 ## + Fold02: alpha=0.52984, lambda=0.065341 ## - Fold02: alpha=0.52984, lambda=0.065341 ## + Fold02: alpha=0.87468, lambda=0.001909 ## - Fold02: alpha=0.87468, lambda=0.001909 ## + Fold02: alpha=0.58175, lambda=0.337892 ## - Fold02: alpha=0.58175, lambda=0.337892 ## + Fold02: alpha=0.83977, lambda=0.908596 ## - Fold02: alpha=0.83977, lambda=0.908596 ## + Fold02: alpha=0.31245, lambda=0.003359 ## - Fold02: alpha=0.31245, lambda=0.003359 ## + Fold02: alpha=0.70829, lambda=0.034809 ## - Fold02: alpha=0.70829, lambda=0.034809 ## + Fold02: alpha=0.26502, lambda=0.007416 ## - Fold02: alpha=0.26502, lambda=0.007416 ## + Fold02: alpha=0.59434, lambda=0.001646 ## - Fold02: alpha=0.59434, lambda=0.001646 ## + Fold02: alpha=0.48129, lambda=0.034593 ## - Fold02: alpha=0.48129, lambda=0.034593 ## + Fold02: alpha=0.26503, lambda=0.001753 ## - Fold02: alpha=0.26503, lambda=0.001753 ## + Fold02: alpha=0.56459, lambda=0.007476 ## - Fold02: alpha=0.56459, lambda=0.007476 ## + Fold02: alpha=0.91319, lambda=0.001598 ## - Fold02: alpha=0.91319, lambda=0.001598 ## + Fold02: alpha=0.90187, lambda=0.409992 ## - Fold02: alpha=0.90187, lambda=0.409992 ## + Fold02: alpha=0.27417, lambda=0.014285 ## - Fold02: alpha=0.27417, lambda=0.014285 ## + Fold02: alpha=0.32148, lambda=0.002420 ## - Fold02: alpha=0.32148, lambda=0.002420 ## + Fold02: alpha=0.98564, lambda=0.001867 ## - Fold02: alpha=0.98564, lambda=0.001867 ## + Fold02: alpha=0.61999, lambda=2.724001 ## - Fold02: alpha=0.61999, lambda=2.724001 ## + Fold02: alpha=0.93731, lambda=0.873704 ## - Fold02: alpha=0.93731, lambda=0.873704 ## + Fold02: alpha=0.46653, lambda=1.532489 ## - Fold02: alpha=0.46653, lambda=1.532489 ## + Fold02: alpha=0.40683, lambda=6.810803 ## - Fold02: alpha=0.40683, lambda=6.810803 ## + Fold02: alpha=0.65923, lambda=0.002484 ## - Fold02: alpha=0.65923, lambda=0.002484 ## + Fold02: alpha=0.15235, lambda=0.002384 ## - Fold02: alpha=0.15235, lambda=0.002384 ## + Fold02: alpha=0.57287, lambda=1.305689 ## - Fold02: alpha=0.57287, lambda=1.305689 ## + Fold02: alpha=0.23873, lambda=1.148283 ## - Fold02: alpha=0.23873, lambda=1.148283 ## + Fold02: alpha=0.96236, lambda=0.001063 ## - Fold02: alpha=0.96236, lambda=0.001063 ## + Fold02: alpha=0.60137, lambda=1.092669 ## - Fold02: alpha=0.60137, lambda=1.092669 ## + Fold02: alpha=0.51503, lambda=0.698377 ## - Fold02: alpha=0.51503, lambda=0.698377 ## + Fold02: alpha=0.40257, lambda=0.285530 ## - Fold02: alpha=0.40257, lambda=0.285530 ## + Fold02: alpha=0.88025, lambda=0.074420 ## - Fold02: alpha=0.88025, lambda=0.074420 ## + Fold02: alpha=0.36409, lambda=0.004006 ## - Fold02: alpha=0.36409, lambda=0.004006 ## + Fold02: alpha=0.28824, lambda=0.001052 ## - Fold02: alpha=0.28824, lambda=0.001052 ## + Fold02: alpha=0.17065, lambda=0.057590 ## - Fold02: alpha=0.17065, lambda=0.057590 ## + Fold02: alpha=0.17217, lambda=0.082459 ## - Fold02: alpha=0.17217, lambda=0.082459 ## + Fold02: alpha=0.48204, lambda=0.032682 ## - Fold02: alpha=0.48204, lambda=0.032682 ## + Fold02: alpha=0.25296, lambda=0.064286 ## - Fold02: alpha=0.25296, lambda=0.064286 ## + Fold02: alpha=0.21625, lambda=0.604003 ## - Fold02: alpha=0.21625, lambda=0.604003 ## + Fold02: alpha=0.67438, lambda=0.001607 ## - Fold02: alpha=0.67438, lambda=0.001607 ## + Fold02: alpha=0.04766, lambda=0.023884 ## - Fold02: alpha=0.04766, lambda=0.023884 ## + Fold02: alpha=0.70085, lambda=1.353373 ## - Fold02: alpha=0.70085, lambda=1.353373 ## + Fold02: alpha=0.35189, lambda=1.820349 ## - Fold02: alpha=0.35189, lambda=1.820349 ## + Fold02: alpha=0.40894, lambda=0.008320 ## - Fold02: alpha=0.40894, lambda=0.008320 ## + Fold02: alpha=0.82095, lambda=0.023713 ## - Fold02: alpha=0.82095, lambda=0.023713 ## + Fold02: alpha=0.91886, lambda=2.203063 ## - Fold02: alpha=0.91886, lambda=2.203063 ## + Fold02: alpha=0.28253, lambda=2.141949 ## - Fold02: alpha=0.28253, lambda=2.141949 ## + Fold02: alpha=0.96110, lambda=0.014049 ## - Fold02: alpha=0.96110, lambda=0.014049 ## + Fold02: alpha=0.72839, lambda=0.003674 ## - Fold02: alpha=0.72839, lambda=0.003674 ## + Fold02: alpha=0.68638, lambda=0.555515 ## - Fold02: alpha=0.68638, lambda=0.555515 ## + Fold02: alpha=0.05284, lambda=0.002488 ## - Fold02: alpha=0.05284, lambda=0.002488 ## + Fold02: alpha=0.39522, lambda=0.001323 ## - Fold02: alpha=0.39522, lambda=0.001323 ## + Fold02: alpha=0.47785, lambda=7.957189 ## - Fold02: alpha=0.47785, lambda=7.957189 ## + Fold02: alpha=0.56025, lambda=0.001337 ## - Fold02: alpha=0.56025, lambda=0.001337 ## + Fold02: alpha=0.69826, lambda=0.020604 ## - Fold02: alpha=0.69826, lambda=0.020604 ## + Fold02: alpha=0.91568, lambda=3.721357 ## - Fold02: alpha=0.91568, lambda=3.721357 ## + Fold02: alpha=0.61835, lambda=0.254204 ## - Fold02: alpha=0.61835, lambda=0.254204 ## + Fold02: alpha=0.42842, lambda=0.012884 ## - Fold02: alpha=0.42842, lambda=0.012884 ## + Fold02: alpha=0.54208, lambda=0.753336 ## - Fold02: alpha=0.54208, lambda=0.753336 ## + Fold02: alpha=0.05848, lambda=1.793411 ## - Fold02: alpha=0.05848, lambda=1.793411 ## + Fold02: alpha=0.26086, lambda=0.016579 ## - Fold02: alpha=0.26086, lambda=0.016579 ## + Fold02: alpha=0.39715, lambda=0.082662 ## - Fold02: alpha=0.39715, lambda=0.082662 ## + Fold02: alpha=0.19774, lambda=0.523354 ## - Fold02: alpha=0.19774, lambda=0.523354 ## + Fold02: alpha=0.83193, lambda=0.316222 ## - Fold02: alpha=0.83193, lambda=0.316222 ## + Fold02: alpha=0.15289, lambda=0.323312 ## - Fold02: alpha=0.15289, lambda=0.323312 ## + Fold02: alpha=0.80342, lambda=6.552722 ## - Fold02: alpha=0.80342, lambda=6.552722 ## + Fold02: alpha=0.54683, lambda=0.040994 ## - Fold02: alpha=0.54683, lambda=0.040994 ## + Fold03: alpha=0.40947, lambda=0.381599 ## - Fold03: alpha=0.40947, lambda=0.381599 ## + Fold03: alpha=0.01047, lambda=0.004588 ## - Fold03: alpha=0.01047, lambda=0.004588 ## + Fold03: alpha=0.18385, lambda=0.293152 ## - Fold03: alpha=0.18385, lambda=0.293152 ## + Fold03: alpha=0.84273, lambda=0.016224 ## - Fold03: alpha=0.84273, lambda=0.016224 ## + Fold03: alpha=0.23116, lambda=0.668596 ## - Fold03: alpha=0.23116, lambda=0.668596 ## + Fold03: alpha=0.23910, lambda=0.035556 ## - Fold03: alpha=0.23910, lambda=0.035556 ## + Fold03: alpha=0.07669, lambda=6.069734 ## - Fold03: alpha=0.07669, lambda=6.069734 ## + Fold03: alpha=0.24572, lambda=5.963581 ## - Fold03: alpha=0.24572, lambda=5.963581 ## + Fold03: alpha=0.73214, lambda=0.681664 ## - Fold03: alpha=0.73214, lambda=0.681664 ## + Fold03: alpha=0.84745, lambda=0.009915 ## - Fold03: alpha=0.84745, lambda=0.009915 ## + Fold03: alpha=0.49753, lambda=0.007205 ## - Fold03: alpha=0.49753, lambda=0.007205 ## + Fold03: alpha=0.38791, lambda=0.204418 ## - Fold03: alpha=0.38791, lambda=0.204418 ## + Fold03: alpha=0.24645, lambda=0.010880 ## - Fold03: alpha=0.24645, lambda=0.010880 ## + Fold03: alpha=0.11110, lambda=0.116946 ## - Fold03: alpha=0.11110, lambda=0.116946 ## + Fold03: alpha=0.38999, lambda=1.155720 ## - Fold03: alpha=0.38999, lambda=1.155720 ## + Fold03: alpha=0.57194, lambda=0.004440 ## - Fold03: alpha=0.57194, lambda=0.004440 ## + Fold03: alpha=0.21689, lambda=0.037348 ## - Fold03: alpha=0.21689, lambda=0.037348 ## + Fold03: alpha=0.44477, lambda=0.068417 ## - Fold03: alpha=0.44477, lambda=0.068417 ## + Fold03: alpha=0.21799, lambda=2.437477 ## - Fold03: alpha=0.21799, lambda=2.437477 ## + Fold03: alpha=0.50230, lambda=4.095965 ## - Fold03: alpha=0.50230, lambda=4.095965 ## + Fold03: alpha=0.35390, lambda=2.761990 ## - Fold03: alpha=0.35390, lambda=2.761990 ## + Fold03: alpha=0.64999, lambda=0.424674 ## - Fold03: alpha=0.64999, lambda=0.424674 ## + Fold03: alpha=0.37471, lambda=5.105919 ## - Fold03: alpha=0.37471, lambda=5.105919 ## + Fold03: alpha=0.35545, lambda=0.102506 ## - Fold03: alpha=0.35545, lambda=0.102506 ## + Fold03: alpha=0.53369, lambda=0.176134 ## - Fold03: alpha=0.53369, lambda=0.176134 ## + Fold03: alpha=0.74033, lambda=0.020225 ## - Fold03: alpha=0.74033, lambda=0.020225 ## + Fold03: alpha=0.22110, lambda=0.022331 ## - Fold03: alpha=0.22110, lambda=0.022331 ## + Fold03: alpha=0.41275, lambda=0.001170 ## - Fold03: alpha=0.41275, lambda=0.001170 ## + Fold03: alpha=0.26569, lambda=0.090657 ## - Fold03: alpha=0.26569, lambda=0.090657 ## + Fold03: alpha=0.62997, lambda=2.502837 ## - Fold03: alpha=0.62997, lambda=2.502837 ## + Fold03: alpha=0.18383, lambda=0.001034 ## - Fold03: alpha=0.18383, lambda=0.001034 ## + Fold03: alpha=0.86364, lambda=0.001869 ## - Fold03: alpha=0.86364, lambda=0.001869 ## + Fold03: alpha=0.74657, lambda=0.004289 ## - Fold03: alpha=0.74657, lambda=0.004289 ## + Fold03: alpha=0.66828, lambda=1.009991 ## - Fold03: alpha=0.66828, lambda=1.009991 ## + Fold03: alpha=0.61802, lambda=0.735805 ## - Fold03: alpha=0.61802, lambda=0.735805 ## + Fold03: alpha=0.37224, lambda=6.209096 ## - Fold03: alpha=0.37224, lambda=6.209096 ## + Fold03: alpha=0.52984, lambda=0.065341 ## - Fold03: alpha=0.52984, lambda=0.065341 ## + Fold03: alpha=0.87468, lambda=0.001909 ## - Fold03: alpha=0.87468, lambda=0.001909 ## + Fold03: alpha=0.58175, lambda=0.337892 ## - Fold03: alpha=0.58175, lambda=0.337892 ## + Fold03: alpha=0.83977, lambda=0.908596 ## - Fold03: alpha=0.83977, lambda=0.908596 ## + Fold03: alpha=0.31245, lambda=0.003359 ## - Fold03: alpha=0.31245, lambda=0.003359 ## + Fold03: alpha=0.70829, lambda=0.034809 ## - Fold03: alpha=0.70829, lambda=0.034809 ## + Fold03: alpha=0.26502, lambda=0.007416 ## - Fold03: alpha=0.26502, lambda=0.007416 ## + Fold03: alpha=0.59434, lambda=0.001646 ## - Fold03: alpha=0.59434, lambda=0.001646 ## + Fold03: alpha=0.48129, lambda=0.034593 ## - Fold03: alpha=0.48129, lambda=0.034593 ## + Fold03: alpha=0.26503, lambda=0.001753 ## - Fold03: alpha=0.26503, lambda=0.001753 ## + Fold03: alpha=0.56459, lambda=0.007476 ## - Fold03: alpha=0.56459, lambda=0.007476 ## + Fold03: alpha=0.91319, lambda=0.001598 ## - Fold03: alpha=0.91319, lambda=0.001598 ## + Fold03: alpha=0.90187, lambda=0.409992 ## - Fold03: alpha=0.90187, lambda=0.409992 ## + Fold03: alpha=0.27417, lambda=0.014285 ## - Fold03: alpha=0.27417, lambda=0.014285 ## + Fold03: alpha=0.32148, lambda=0.002420 ## - Fold03: alpha=0.32148, lambda=0.002420 ## + Fold03: alpha=0.98564, lambda=0.001867 ## - Fold03: alpha=0.98564, lambda=0.001867 ## + Fold03: alpha=0.61999, lambda=2.724001 ## - Fold03: alpha=0.61999, lambda=2.724001 ## + Fold03: alpha=0.93731, lambda=0.873704 ## - Fold03: alpha=0.93731, lambda=0.873704 ## + Fold03: alpha=0.46653, lambda=1.532489 ## - Fold03: alpha=0.46653, lambda=1.532489 ## + Fold03: alpha=0.40683, lambda=6.810803 ## - Fold03: alpha=0.40683, lambda=6.810803 ## + Fold03: alpha=0.65923, lambda=0.002484 ## - Fold03: alpha=0.65923, lambda=0.002484 ## + Fold03: alpha=0.15235, lambda=0.002384 ## - Fold03: alpha=0.15235, lambda=0.002384 ## + Fold03: alpha=0.57287, lambda=1.305689 ## - Fold03: alpha=0.57287, lambda=1.305689 ## + Fold03: alpha=0.23873, lambda=1.148283 ## - Fold03: alpha=0.23873, lambda=1.148283 ## + Fold03: alpha=0.96236, lambda=0.001063 ## - Fold03: alpha=0.96236, lambda=0.001063 ## + Fold03: alpha=0.60137, lambda=1.092669 ## - Fold03: alpha=0.60137, lambda=1.092669 ## + Fold03: alpha=0.51503, lambda=0.698377 ## - Fold03: alpha=0.51503, lambda=0.698377 ## + Fold03: alpha=0.40257, lambda=0.285530 ## - Fold03: alpha=0.40257, lambda=0.285530 ## + Fold03: alpha=0.88025, lambda=0.074420 ## - Fold03: alpha=0.88025, lambda=0.074420 ## + Fold03: alpha=0.36409, lambda=0.004006 ## - Fold03: alpha=0.36409, lambda=0.004006 ## + Fold03: alpha=0.28824, lambda=0.001052 ## - Fold03: alpha=0.28824, lambda=0.001052 ## + Fold03: alpha=0.17065, lambda=0.057590 ## - Fold03: alpha=0.17065, lambda=0.057590 ## + Fold03: alpha=0.17217, lambda=0.082459 ## - Fold03: alpha=0.17217, lambda=0.082459 ## + Fold03: alpha=0.48204, lambda=0.032682 ## - Fold03: alpha=0.48204, lambda=0.032682 ## + Fold03: alpha=0.25296, lambda=0.064286 ## - Fold03: alpha=0.25296, lambda=0.064286 ## + Fold03: alpha=0.21625, lambda=0.604003 ## - Fold03: alpha=0.21625, lambda=0.604003 ## + Fold03: alpha=0.67438, lambda=0.001607 ## - Fold03: alpha=0.67438, lambda=0.001607 ## + Fold03: alpha=0.04766, lambda=0.023884 ## - Fold03: alpha=0.04766, lambda=0.023884 ## + Fold03: alpha=0.70085, lambda=1.353373 ## - Fold03: alpha=0.70085, lambda=1.353373 ## + Fold03: alpha=0.35189, lambda=1.820349 ## - Fold03: alpha=0.35189, lambda=1.820349 ## + Fold03: alpha=0.40894, lambda=0.008320 ## - Fold03: alpha=0.40894, lambda=0.008320 ## + Fold03: alpha=0.82095, lambda=0.023713 ## - Fold03: alpha=0.82095, lambda=0.023713 ## + Fold03: alpha=0.91886, lambda=2.203063 ## - Fold03: alpha=0.91886, lambda=2.203063 ## + Fold03: alpha=0.28253, lambda=2.141949 ## - Fold03: alpha=0.28253, lambda=2.141949 ## + Fold03: alpha=0.96110, lambda=0.014049 ## - Fold03: alpha=0.96110, lambda=0.014049 ## + Fold03: alpha=0.72839, lambda=0.003674 ## - Fold03: alpha=0.72839, lambda=0.003674 ## + Fold03: alpha=0.68638, lambda=0.555515 ## - Fold03: alpha=0.68638, lambda=0.555515 ## + Fold03: alpha=0.05284, lambda=0.002488 ## - Fold03: alpha=0.05284, lambda=0.002488 ## + Fold03: alpha=0.39522, lambda=0.001323 ## - Fold03: alpha=0.39522, lambda=0.001323 ## + Fold03: alpha=0.47785, lambda=7.957189 ## - Fold03: alpha=0.47785, lambda=7.957189 ## + Fold03: alpha=0.56025, lambda=0.001337 ## - Fold03: alpha=0.56025, lambda=0.001337 ## + Fold03: alpha=0.69826, lambda=0.020604 ## - Fold03: alpha=0.69826, lambda=0.020604 ## + Fold03: alpha=0.91568, lambda=3.721357 ## - Fold03: alpha=0.91568, lambda=3.721357 ## + Fold03: alpha=0.61835, lambda=0.254204 ## - Fold03: alpha=0.61835, lambda=0.254204 ## + Fold03: alpha=0.42842, lambda=0.012884 ## - Fold03: alpha=0.42842, lambda=0.012884 ## + Fold03: alpha=0.54208, lambda=0.753336 ## - Fold03: alpha=0.54208, lambda=0.753336 ## + Fold03: alpha=0.05848, lambda=1.793411 ## - Fold03: alpha=0.05848, lambda=1.793411 ## + Fold03: alpha=0.26086, lambda=0.016579 ## - Fold03: alpha=0.26086, lambda=0.016579 ## + Fold03: alpha=0.39715, lambda=0.082662 ## - Fold03: alpha=0.39715, lambda=0.082662 ## + Fold03: alpha=0.19774, lambda=0.523354 ## - Fold03: alpha=0.19774, lambda=0.523354 ## + Fold03: alpha=0.83193, lambda=0.316222 ## - Fold03: alpha=0.83193, lambda=0.316222 ## + Fold03: alpha=0.15289, lambda=0.323312 ## - Fold03: alpha=0.15289, lambda=0.323312 ## + Fold03: alpha=0.80342, lambda=6.552722 ## - Fold03: alpha=0.80342, lambda=6.552722 ## + Fold03: alpha=0.54683, lambda=0.040994 ## - Fold03: alpha=0.54683, lambda=0.040994 ## + Fold04: alpha=0.40947, lambda=0.381599 ## - Fold04: alpha=0.40947, lambda=0.381599 ## + Fold04: alpha=0.01047, lambda=0.004588 ## - Fold04: alpha=0.01047, lambda=0.004588 ## + Fold04: alpha=0.18385, lambda=0.293152 ## - Fold04: alpha=0.18385, lambda=0.293152 ## + Fold04: alpha=0.84273, lambda=0.016224 ## - Fold04: alpha=0.84273, lambda=0.016224 ## + Fold04: alpha=0.23116, lambda=0.668596 ## - Fold04: alpha=0.23116, lambda=0.668596 ## + Fold04: alpha=0.23910, lambda=0.035556 ## - Fold04: alpha=0.23910, lambda=0.035556 ## + Fold04: alpha=0.07669, lambda=6.069734 ## - Fold04: alpha=0.07669, lambda=6.069734 ## + Fold04: alpha=0.24572, lambda=5.963581 ## - Fold04: alpha=0.24572, lambda=5.963581 ## + Fold04: alpha=0.73214, lambda=0.681664 ## - Fold04: alpha=0.73214, lambda=0.681664 ## + Fold04: alpha=0.84745, lambda=0.009915 ## - Fold04: alpha=0.84745, lambda=0.009915 ## + Fold04: alpha=0.49753, lambda=0.007205 ## - Fold04: alpha=0.49753, lambda=0.007205 ## + Fold04: alpha=0.38791, lambda=0.204418 ## - Fold04: alpha=0.38791, lambda=0.204418 ## + Fold04: alpha=0.24645, lambda=0.010880 ## - Fold04: alpha=0.24645, lambda=0.010880 ## + Fold04: alpha=0.11110, lambda=0.116946 ## - Fold04: alpha=0.11110, lambda=0.116946 ## + Fold04: alpha=0.38999, lambda=1.155720 ## - Fold04: alpha=0.38999, lambda=1.155720 ## + Fold04: alpha=0.57194, lambda=0.004440 ## - Fold04: alpha=0.57194, lambda=0.004440 ## + Fold04: alpha=0.21689, lambda=0.037348 ## - Fold04: alpha=0.21689, lambda=0.037348 ## + Fold04: alpha=0.44477, lambda=0.068417 ## - Fold04: alpha=0.44477, lambda=0.068417 ## + Fold04: alpha=0.21799, lambda=2.437477 ## - Fold04: alpha=0.21799, lambda=2.437477 ## + Fold04: alpha=0.50230, lambda=4.095965 ## - Fold04: alpha=0.50230, lambda=4.095965 ## + Fold04: alpha=0.35390, lambda=2.761990 ## - Fold04: alpha=0.35390, lambda=2.761990 ## + Fold04: alpha=0.64999, lambda=0.424674 ## - Fold04: alpha=0.64999, lambda=0.424674 ## + Fold04: alpha=0.37471, lambda=5.105919 ## - Fold04: alpha=0.37471, lambda=5.105919 ## + Fold04: alpha=0.35545, lambda=0.102506 ## - Fold04: alpha=0.35545, lambda=0.102506 ## + Fold04: alpha=0.53369, lambda=0.176134 ## - Fold04: alpha=0.53369, lambda=0.176134 ## + Fold04: alpha=0.74033, lambda=0.020225 ## - Fold04: alpha=0.74033, lambda=0.020225 ## + Fold04: alpha=0.22110, lambda=0.022331 ## - Fold04: alpha=0.22110, lambda=0.022331 ## + Fold04: alpha=0.41275, lambda=0.001170 ## - Fold04: alpha=0.41275, lambda=0.001170 ## + Fold04: alpha=0.26569, lambda=0.090657 ## - Fold04: alpha=0.26569, lambda=0.090657 ## + Fold04: alpha=0.62997, lambda=2.502837 ## - Fold04: alpha=0.62997, lambda=2.502837 ## + Fold04: alpha=0.18383, lambda=0.001034 ## - Fold04: alpha=0.18383, lambda=0.001034 ## + Fold04: alpha=0.86364, lambda=0.001869 ## - Fold04: alpha=0.86364, lambda=0.001869 ## + Fold04: alpha=0.74657, lambda=0.004289 ## - Fold04: alpha=0.74657, lambda=0.004289 ## + Fold04: alpha=0.66828, lambda=1.009991 ## - Fold04: alpha=0.66828, lambda=1.009991 ## + Fold04: alpha=0.61802, lambda=0.735805 ## - Fold04: alpha=0.61802, lambda=0.735805 ## + Fold04: alpha=0.37224, lambda=6.209096 ## - Fold04: alpha=0.37224, lambda=6.209096 ## + Fold04: alpha=0.52984, lambda=0.065341 ## - Fold04: alpha=0.52984, lambda=0.065341 ## + Fold04: alpha=0.87468, lambda=0.001909 ## - Fold04: alpha=0.87468, lambda=0.001909 ## + Fold04: alpha=0.58175, lambda=0.337892 ## - Fold04: alpha=0.58175, lambda=0.337892 ## + Fold04: alpha=0.83977, lambda=0.908596 ## - Fold04: alpha=0.83977, lambda=0.908596 ## + Fold04: alpha=0.31245, lambda=0.003359 ## - Fold04: alpha=0.31245, lambda=0.003359 ## + Fold04: alpha=0.70829, lambda=0.034809 ## - Fold04: alpha=0.70829, lambda=0.034809 ## + Fold04: alpha=0.26502, lambda=0.007416 ## - Fold04: alpha=0.26502, lambda=0.007416 ## + Fold04: alpha=0.59434, lambda=0.001646 ## - Fold04: alpha=0.59434, lambda=0.001646 ## + Fold04: alpha=0.48129, lambda=0.034593 ## - Fold04: alpha=0.48129, lambda=0.034593 ## + Fold04: alpha=0.26503, lambda=0.001753 ## - Fold04: alpha=0.26503, lambda=0.001753 ## + Fold04: alpha=0.56459, lambda=0.007476 ## - Fold04: alpha=0.56459, lambda=0.007476 ## + Fold04: alpha=0.91319, lambda=0.001598 ## - Fold04: alpha=0.91319, lambda=0.001598 ## + Fold04: alpha=0.90187, lambda=0.409992 ## - Fold04: alpha=0.90187, lambda=0.409992 ## + Fold04: alpha=0.27417, lambda=0.014285 ## - Fold04: alpha=0.27417, lambda=0.014285 ## + Fold04: alpha=0.32148, lambda=0.002420 ## - Fold04: alpha=0.32148, lambda=0.002420 ## + Fold04: alpha=0.98564, lambda=0.001867 ## - Fold04: alpha=0.98564, lambda=0.001867 ## + Fold04: alpha=0.61999, lambda=2.724001 ## - Fold04: alpha=0.61999, lambda=2.724001 ## + Fold04: alpha=0.93731, lambda=0.873704 ## - Fold04: alpha=0.93731, lambda=0.873704 ## + Fold04: alpha=0.46653, lambda=1.532489 ## - Fold04: alpha=0.46653, lambda=1.532489 ## + Fold04: alpha=0.40683, lambda=6.810803 ## - Fold04: alpha=0.40683, lambda=6.810803 ## + Fold04: alpha=0.65923, lambda=0.002484 ## - Fold04: alpha=0.65923, lambda=0.002484 ## + Fold04: alpha=0.15235, lambda=0.002384 ## - Fold04: alpha=0.15235, lambda=0.002384 ## + Fold04: alpha=0.57287, lambda=1.305689 ## - Fold04: alpha=0.57287, lambda=1.305689 ## + Fold04: alpha=0.23873, lambda=1.148283 ## - Fold04: alpha=0.23873, lambda=1.148283 ## + Fold04: alpha=0.96236, lambda=0.001063 ## - Fold04: alpha=0.96236, lambda=0.001063 ## + Fold04: alpha=0.60137, lambda=1.092669 ## - Fold04: alpha=0.60137, lambda=1.092669 ## + Fold04: alpha=0.51503, lambda=0.698377 ## - Fold04: alpha=0.51503, lambda=0.698377 ## + Fold04: alpha=0.40257, lambda=0.285530 ## - Fold04: alpha=0.40257, lambda=0.285530 ## + Fold04: alpha=0.88025, lambda=0.074420 ## - Fold04: alpha=0.88025, lambda=0.074420 ## + Fold04: alpha=0.36409, lambda=0.004006 ## - Fold04: alpha=0.36409, lambda=0.004006 ## + Fold04: alpha=0.28824, lambda=0.001052 ## - Fold04: alpha=0.28824, lambda=0.001052 ## + Fold04: alpha=0.17065, lambda=0.057590 ## - Fold04: alpha=0.17065, lambda=0.057590 ## + Fold04: alpha=0.17217, lambda=0.082459 ## - Fold04: alpha=0.17217, lambda=0.082459 ## + Fold04: alpha=0.48204, lambda=0.032682 ## - Fold04: alpha=0.48204, lambda=0.032682 ## + Fold04: alpha=0.25296, lambda=0.064286 ## - Fold04: alpha=0.25296, lambda=0.064286 ## + Fold04: alpha=0.21625, lambda=0.604003 ## - Fold04: alpha=0.21625, lambda=0.604003 ## + Fold04: alpha=0.67438, lambda=0.001607 ## - Fold04: alpha=0.67438, lambda=0.001607 ## + Fold04: alpha=0.04766, lambda=0.023884 ## - Fold04: alpha=0.04766, lambda=0.023884 ## + Fold04: alpha=0.70085, lambda=1.353373 ## - Fold04: alpha=0.70085, lambda=1.353373 ## + Fold04: alpha=0.35189, lambda=1.820349 ## - Fold04: alpha=0.35189, lambda=1.820349 ## + Fold04: alpha=0.40894, lambda=0.008320 ## - Fold04: alpha=0.40894, lambda=0.008320 ## + Fold04: alpha=0.82095, lambda=0.023713 ## - Fold04: alpha=0.82095, lambda=0.023713 ## + Fold04: alpha=0.91886, lambda=2.203063 ## - Fold04: alpha=0.91886, lambda=2.203063 ## + Fold04: alpha=0.28253, lambda=2.141949 ## - Fold04: alpha=0.28253, lambda=2.141949 ## + Fold04: alpha=0.96110, lambda=0.014049 ## - Fold04: alpha=0.96110, lambda=0.014049 ## + Fold04: alpha=0.72839, lambda=0.003674 ## - Fold04: alpha=0.72839, lambda=0.003674 ## + Fold04: alpha=0.68638, lambda=0.555515 ## - Fold04: alpha=0.68638, lambda=0.555515 ## + Fold04: alpha=0.05284, lambda=0.002488 ## - Fold04: alpha=0.05284, lambda=0.002488 ## + Fold04: alpha=0.39522, lambda=0.001323 ## - Fold04: alpha=0.39522, lambda=0.001323 ## + Fold04: alpha=0.47785, lambda=7.957189 ## - Fold04: alpha=0.47785, lambda=7.957189 ## + Fold04: alpha=0.56025, lambda=0.001337 ## - Fold04: alpha=0.56025, lambda=0.001337 ## + Fold04: alpha=0.69826, lambda=0.020604 ## - Fold04: alpha=0.69826, lambda=0.020604 ## + Fold04: alpha=0.91568, lambda=3.721357 ## - Fold04: alpha=0.91568, lambda=3.721357 ## + Fold04: alpha=0.61835, lambda=0.254204 ## - Fold04: alpha=0.61835, lambda=0.254204 ## + Fold04: alpha=0.42842, lambda=0.012884 ## - Fold04: alpha=0.42842, lambda=0.012884 ## + Fold04: alpha=0.54208, lambda=0.753336 ## - Fold04: alpha=0.54208, lambda=0.753336 ## + Fold04: alpha=0.05848, lambda=1.793411 ## - Fold04: alpha=0.05848, lambda=1.793411 ## + Fold04: alpha=0.26086, lambda=0.016579 ## - Fold04: alpha=0.26086, lambda=0.016579 ## + Fold04: alpha=0.39715, lambda=0.082662 ## - Fold04: alpha=0.39715, lambda=0.082662 ## + Fold04: alpha=0.19774, lambda=0.523354 ## - Fold04: alpha=0.19774, lambda=0.523354 ## + Fold04: alpha=0.83193, lambda=0.316222 ## - Fold04: alpha=0.83193, lambda=0.316222 ## + Fold04: alpha=0.15289, lambda=0.323312 ## - Fold04: alpha=0.15289, lambda=0.323312 ## + Fold04: alpha=0.80342, lambda=6.552722 ## - Fold04: alpha=0.80342, lambda=6.552722 ## + Fold04: alpha=0.54683, lambda=0.040994 ## - Fold04: alpha=0.54683, lambda=0.040994 ## + Fold05: alpha=0.40947, lambda=0.381599 ## - Fold05: alpha=0.40947, lambda=0.381599 ## + Fold05: alpha=0.01047, lambda=0.004588 ## - Fold05: alpha=0.01047, lambda=0.004588 ## + Fold05: alpha=0.18385, lambda=0.293152 ## - Fold05: alpha=0.18385, lambda=0.293152 ## + Fold05: alpha=0.84273, lambda=0.016224 ## - Fold05: alpha=0.84273, lambda=0.016224 ## + Fold05: alpha=0.23116, lambda=0.668596 ## - Fold05: alpha=0.23116, lambda=0.668596 ## + Fold05: alpha=0.23910, lambda=0.035556 ## - Fold05: alpha=0.23910, lambda=0.035556 ## + Fold05: alpha=0.07669, lambda=6.069734 ## - Fold05: alpha=0.07669, lambda=6.069734 ## + Fold05: alpha=0.24572, lambda=5.963581 ## - Fold05: alpha=0.24572, lambda=5.963581 ## + Fold05: alpha=0.73214, lambda=0.681664 ## - Fold05: alpha=0.73214, lambda=0.681664 ## + Fold05: alpha=0.84745, lambda=0.009915 ## - Fold05: alpha=0.84745, lambda=0.009915 ## + Fold05: alpha=0.49753, lambda=0.007205 ## - Fold05: alpha=0.49753, lambda=0.007205 ## + Fold05: alpha=0.38791, lambda=0.204418 ## - Fold05: alpha=0.38791, lambda=0.204418 ## + Fold05: alpha=0.24645, lambda=0.010880 ## - Fold05: alpha=0.24645, lambda=0.010880 ## + Fold05: alpha=0.11110, lambda=0.116946 ## - Fold05: alpha=0.11110, lambda=0.116946 ## + Fold05: alpha=0.38999, lambda=1.155720 ## - Fold05: alpha=0.38999, lambda=1.155720 ## + Fold05: alpha=0.57194, lambda=0.004440 ## - Fold05: alpha=0.57194, lambda=0.004440 ## + Fold05: alpha=0.21689, lambda=0.037348 ## - Fold05: alpha=0.21689, lambda=0.037348 ## + Fold05: alpha=0.44477, lambda=0.068417 ## - Fold05: alpha=0.44477, lambda=0.068417 ## + Fold05: alpha=0.21799, lambda=2.437477 ## - Fold05: alpha=0.21799, lambda=2.437477 ## + Fold05: alpha=0.50230, lambda=4.095965 ## - Fold05: alpha=0.50230, lambda=4.095965 ## + Fold05: alpha=0.35390, lambda=2.761990 ## - Fold05: alpha=0.35390, lambda=2.761990 ## + Fold05: alpha=0.64999, lambda=0.424674 ## - Fold05: alpha=0.64999, lambda=0.424674 ## + Fold05: alpha=0.37471, lambda=5.105919 ## - Fold05: alpha=0.37471, lambda=5.105919 ## + Fold05: alpha=0.35545, lambda=0.102506 ## - Fold05: alpha=0.35545, lambda=0.102506 ## + Fold05: alpha=0.53369, lambda=0.176134 ## - Fold05: alpha=0.53369, lambda=0.176134 ## + Fold05: alpha=0.74033, lambda=0.020225 ## - Fold05: alpha=0.74033, lambda=0.020225 ## + Fold05: alpha=0.22110, lambda=0.022331 ## - Fold05: alpha=0.22110, lambda=0.022331 ## + Fold05: alpha=0.41275, lambda=0.001170 ## - Fold05: alpha=0.41275, lambda=0.001170 ## + Fold05: alpha=0.26569, lambda=0.090657 ## - Fold05: alpha=0.26569, lambda=0.090657 ## + Fold05: alpha=0.62997, lambda=2.502837 ## - Fold05: alpha=0.62997, lambda=2.502837 ## + Fold05: alpha=0.18383, lambda=0.001034 ## - Fold05: alpha=0.18383, lambda=0.001034 ## + Fold05: alpha=0.86364, lambda=0.001869 ## - Fold05: alpha=0.86364, lambda=0.001869 ## + Fold05: alpha=0.74657, lambda=0.004289 ## - Fold05: alpha=0.74657, lambda=0.004289 ## + Fold05: alpha=0.66828, lambda=1.009991 ## - Fold05: alpha=0.66828, lambda=1.009991 ## + Fold05: alpha=0.61802, lambda=0.735805 ## - Fold05: alpha=0.61802, lambda=0.735805 ## + Fold05: alpha=0.37224, lambda=6.209096 ## - Fold05: alpha=0.37224, lambda=6.209096 ## + Fold05: alpha=0.52984, lambda=0.065341 ## - Fold05: alpha=0.52984, lambda=0.065341 ## + Fold05: alpha=0.87468, lambda=0.001909 ## - Fold05: alpha=0.87468, lambda=0.001909 ## + Fold05: alpha=0.58175, lambda=0.337892 ## - Fold05: alpha=0.58175, lambda=0.337892 ## + Fold05: alpha=0.83977, lambda=0.908596 ## - Fold05: alpha=0.83977, lambda=0.908596 ## + Fold05: alpha=0.31245, lambda=0.003359 ## - Fold05: alpha=0.31245, lambda=0.003359 ## + Fold05: alpha=0.70829, lambda=0.034809 ## - Fold05: alpha=0.70829, lambda=0.034809 ## + Fold05: alpha=0.26502, lambda=0.007416 ## - Fold05: alpha=0.26502, lambda=0.007416 ## + Fold05: alpha=0.59434, lambda=0.001646 ## - Fold05: alpha=0.59434, lambda=0.001646 ## + Fold05: alpha=0.48129, lambda=0.034593 ## - Fold05: alpha=0.48129, lambda=0.034593 ## + Fold05: alpha=0.26503, lambda=0.001753 ## - Fold05: alpha=0.26503, lambda=0.001753 ## + Fold05: alpha=0.56459, lambda=0.007476 ## - Fold05: alpha=0.56459, lambda=0.007476 ## + Fold05: alpha=0.91319, lambda=0.001598 ## - Fold05: alpha=0.91319, lambda=0.001598 ## + Fold05: alpha=0.90187, lambda=0.409992 ## - Fold05: alpha=0.90187, lambda=0.409992 ## + Fold05: alpha=0.27417, lambda=0.014285 ## - Fold05: alpha=0.27417, lambda=0.014285 ## + Fold05: alpha=0.32148, lambda=0.002420 ## - Fold05: alpha=0.32148, lambda=0.002420 ## + Fold05: alpha=0.98564, lambda=0.001867 ## - Fold05: alpha=0.98564, lambda=0.001867 ## + Fold05: alpha=0.61999, lambda=2.724001 ## - Fold05: alpha=0.61999, lambda=2.724001 ## + Fold05: alpha=0.93731, lambda=0.873704 ## - Fold05: alpha=0.93731, lambda=0.873704 ## + Fold05: alpha=0.46653, lambda=1.532489 ## - Fold05: alpha=0.46653, lambda=1.532489 ## + Fold05: alpha=0.40683, lambda=6.810803 ## - Fold05: alpha=0.40683, lambda=6.810803 ## + Fold05: alpha=0.65923, lambda=0.002484 ## - Fold05: alpha=0.65923, lambda=0.002484 ## + Fold05: alpha=0.15235, lambda=0.002384 ## - Fold05: alpha=0.15235, lambda=0.002384 ## + Fold05: alpha=0.57287, lambda=1.305689 ## - Fold05: alpha=0.57287, lambda=1.305689 ## + Fold05: alpha=0.23873, lambda=1.148283 ## - Fold05: alpha=0.23873, lambda=1.148283 ## + Fold05: alpha=0.96236, lambda=0.001063 ## - Fold05: alpha=0.96236, lambda=0.001063 ## + Fold05: alpha=0.60137, lambda=1.092669 ## - Fold05: alpha=0.60137, lambda=1.092669 ## + Fold05: alpha=0.51503, lambda=0.698377 ## - Fold05: alpha=0.51503, lambda=0.698377 ## + Fold05: alpha=0.40257, lambda=0.285530 ## - Fold05: alpha=0.40257, lambda=0.285530 ## + Fold05: alpha=0.88025, lambda=0.074420 ## - Fold05: alpha=0.88025, lambda=0.074420 ## + Fold05: alpha=0.36409, lambda=0.004006 ## - Fold05: alpha=0.36409, lambda=0.004006 ## + Fold05: alpha=0.28824, lambda=0.001052 ## - Fold05: alpha=0.28824, lambda=0.001052 ## + Fold05: alpha=0.17065, lambda=0.057590 ## - Fold05: alpha=0.17065, lambda=0.057590 ## + Fold05: alpha=0.17217, lambda=0.082459 ## - Fold05: alpha=0.17217, lambda=0.082459 ## + Fold05: alpha=0.48204, lambda=0.032682 ## - Fold05: alpha=0.48204, lambda=0.032682 ## + Fold05: alpha=0.25296, lambda=0.064286 ## - Fold05: alpha=0.25296, lambda=0.064286 ## + Fold05: alpha=0.21625, lambda=0.604003 ## - Fold05: alpha=0.21625, lambda=0.604003 ## + Fold05: alpha=0.67438, lambda=0.001607 ## - Fold05: alpha=0.67438, lambda=0.001607 ## + Fold05: alpha=0.04766, lambda=0.023884 ## - Fold05: alpha=0.04766, lambda=0.023884 ## + Fold05: alpha=0.70085, lambda=1.353373 ## - Fold05: alpha=0.70085, lambda=1.353373 ## + Fold05: alpha=0.35189, lambda=1.820349 ## - Fold05: alpha=0.35189, lambda=1.820349 ## + Fold05: alpha=0.40894, lambda=0.008320 ## - Fold05: alpha=0.40894, lambda=0.008320 ## + Fold05: alpha=0.82095, lambda=0.023713 ## - Fold05: alpha=0.82095, lambda=0.023713 ## + Fold05: alpha=0.91886, lambda=2.203063 ## - Fold05: alpha=0.91886, lambda=2.203063 ## + Fold05: alpha=0.28253, lambda=2.141949 ## - Fold05: alpha=0.28253, lambda=2.141949 ## + Fold05: alpha=0.96110, lambda=0.014049 ## - Fold05: alpha=0.96110, lambda=0.014049 ## + Fold05: alpha=0.72839, lambda=0.003674 ## - Fold05: alpha=0.72839, lambda=0.003674 ## + Fold05: alpha=0.68638, lambda=0.555515 ## - Fold05: alpha=0.68638, lambda=0.555515 ## + Fold05: alpha=0.05284, lambda=0.002488 ## - Fold05: alpha=0.05284, lambda=0.002488 ## + Fold05: alpha=0.39522, lambda=0.001323 ## - Fold05: alpha=0.39522, lambda=0.001323 ## + Fold05: alpha=0.47785, lambda=7.957189 ## - Fold05: alpha=0.47785, lambda=7.957189 ## + Fold05: alpha=0.56025, lambda=0.001337 ## - Fold05: alpha=0.56025, lambda=0.001337 ## + Fold05: alpha=0.69826, lambda=0.020604 ## - Fold05: alpha=0.69826, lambda=0.020604 ## + Fold05: alpha=0.91568, lambda=3.721357 ## - Fold05: alpha=0.91568, lambda=3.721357 ## + Fold05: alpha=0.61835, lambda=0.254204 ## - Fold05: alpha=0.61835, lambda=0.254204 ## + Fold05: alpha=0.42842, lambda=0.012884 ## - Fold05: alpha=0.42842, lambda=0.012884 ## + Fold05: alpha=0.54208, lambda=0.753336 ## - Fold05: alpha=0.54208, lambda=0.753336 ## + Fold05: alpha=0.05848, lambda=1.793411 ## - Fold05: alpha=0.05848, lambda=1.793411 ## + Fold05: alpha=0.26086, lambda=0.016579 ## - Fold05: alpha=0.26086, lambda=0.016579 ## + Fold05: alpha=0.39715, lambda=0.082662 ## - Fold05: alpha=0.39715, lambda=0.082662 ## + Fold05: alpha=0.19774, lambda=0.523354 ## - Fold05: alpha=0.19774, lambda=0.523354 ## + Fold05: alpha=0.83193, lambda=0.316222 ## - Fold05: alpha=0.83193, lambda=0.316222 ## + Fold05: alpha=0.15289, lambda=0.323312 ## - Fold05: alpha=0.15289, lambda=0.323312 ## + Fold05: alpha=0.80342, lambda=6.552722 ## - Fold05: alpha=0.80342, lambda=6.552722 ## + Fold05: alpha=0.54683, lambda=0.040994 ## - Fold05: alpha=0.54683, lambda=0.040994 ## + Fold06: alpha=0.40947, lambda=0.381599 ## - Fold06: alpha=0.40947, lambda=0.381599 ## + Fold06: alpha=0.01047, lambda=0.004588 ## - Fold06: alpha=0.01047, lambda=0.004588 ## + Fold06: alpha=0.18385, lambda=0.293152 ## - Fold06: alpha=0.18385, lambda=0.293152 ## + Fold06: alpha=0.84273, lambda=0.016224 ## - Fold06: alpha=0.84273, lambda=0.016224 ## + Fold06: alpha=0.23116, lambda=0.668596 ## - Fold06: alpha=0.23116, lambda=0.668596 ## + Fold06: alpha=0.23910, lambda=0.035556 ## - Fold06: alpha=0.23910, lambda=0.035556 ## + Fold06: alpha=0.07669, lambda=6.069734 ## - Fold06: alpha=0.07669, lambda=6.069734 ## + Fold06: alpha=0.24572, lambda=5.963581 ## - Fold06: alpha=0.24572, lambda=5.963581 ## + Fold06: alpha=0.73214, lambda=0.681664 ## - Fold06: alpha=0.73214, lambda=0.681664 ## + Fold06: alpha=0.84745, lambda=0.009915 ## - Fold06: alpha=0.84745, lambda=0.009915 ## + Fold06: alpha=0.49753, lambda=0.007205 ## - Fold06: alpha=0.49753, lambda=0.007205 ## + Fold06: alpha=0.38791, lambda=0.204418 ## - Fold06: alpha=0.38791, lambda=0.204418 ## + Fold06: alpha=0.24645, lambda=0.010880 ## - Fold06: alpha=0.24645, lambda=0.010880 ## + Fold06: alpha=0.11110, lambda=0.116946 ## - Fold06: alpha=0.11110, lambda=0.116946 ## + Fold06: alpha=0.38999, lambda=1.155720 ## - Fold06: alpha=0.38999, lambda=1.155720 ## + Fold06: alpha=0.57194, lambda=0.004440 ## - Fold06: alpha=0.57194, lambda=0.004440 ## + Fold06: alpha=0.21689, lambda=0.037348 ## - Fold06: alpha=0.21689, lambda=0.037348 ## + Fold06: alpha=0.44477, lambda=0.068417 ## - Fold06: alpha=0.44477, lambda=0.068417 ## + Fold06: alpha=0.21799, lambda=2.437477 ## - Fold06: alpha=0.21799, lambda=2.437477 ## + Fold06: alpha=0.50230, lambda=4.095965 ## - Fold06: alpha=0.50230, lambda=4.095965 ## + Fold06: alpha=0.35390, lambda=2.761990 ## - Fold06: alpha=0.35390, lambda=2.761990 ## + Fold06: alpha=0.64999, lambda=0.424674 ## - Fold06: alpha=0.64999, lambda=0.424674 ## + Fold06: alpha=0.37471, lambda=5.105919 ## - Fold06: alpha=0.37471, lambda=5.105919 ## + Fold06: alpha=0.35545, lambda=0.102506 ## - Fold06: alpha=0.35545, lambda=0.102506 ## + Fold06: alpha=0.53369, lambda=0.176134 ## - Fold06: alpha=0.53369, lambda=0.176134 ## + Fold06: alpha=0.74033, lambda=0.020225 ## - Fold06: alpha=0.74033, lambda=0.020225 ## + Fold06: alpha=0.22110, lambda=0.022331 ## - Fold06: alpha=0.22110, lambda=0.022331 ## + Fold06: alpha=0.41275, lambda=0.001170 ## - Fold06: alpha=0.41275, lambda=0.001170 ## + Fold06: alpha=0.26569, lambda=0.090657 ## - Fold06: alpha=0.26569, lambda=0.090657 ## + Fold06: alpha=0.62997, lambda=2.502837 ## - Fold06: alpha=0.62997, lambda=2.502837 ## + Fold06: alpha=0.18383, lambda=0.001034 ## - Fold06: alpha=0.18383, lambda=0.001034 ## + Fold06: alpha=0.86364, lambda=0.001869 ## - Fold06: alpha=0.86364, lambda=0.001869 ## + Fold06: alpha=0.74657, lambda=0.004289 ## - Fold06: alpha=0.74657, lambda=0.004289 ## + Fold06: alpha=0.66828, lambda=1.009991 ## - Fold06: alpha=0.66828, lambda=1.009991 ## + Fold06: alpha=0.61802, lambda=0.735805 ## - Fold06: alpha=0.61802, lambda=0.735805 ## + Fold06: alpha=0.37224, lambda=6.209096 ## - Fold06: alpha=0.37224, lambda=6.209096 ## + Fold06: alpha=0.52984, lambda=0.065341 ## - Fold06: alpha=0.52984, lambda=0.065341 ## + Fold06: alpha=0.87468, lambda=0.001909 ## - Fold06: alpha=0.87468, lambda=0.001909 ## + Fold06: alpha=0.58175, lambda=0.337892 ## - Fold06: alpha=0.58175, lambda=0.337892 ## + Fold06: alpha=0.83977, lambda=0.908596 ## - Fold06: alpha=0.83977, lambda=0.908596 ## + Fold06: alpha=0.31245, lambda=0.003359 ## - Fold06: alpha=0.31245, lambda=0.003359 ## + Fold06: alpha=0.70829, lambda=0.034809 ## - Fold06: alpha=0.70829, lambda=0.034809 ## + Fold06: alpha=0.26502, lambda=0.007416 ## - Fold06: alpha=0.26502, lambda=0.007416 ## + Fold06: alpha=0.59434, lambda=0.001646 ## - Fold06: alpha=0.59434, lambda=0.001646 ## + Fold06: alpha=0.48129, lambda=0.034593 ## - Fold06: alpha=0.48129, lambda=0.034593 ## + Fold06: alpha=0.26503, lambda=0.001753 ## - Fold06: alpha=0.26503, lambda=0.001753 ## + Fold06: alpha=0.56459, lambda=0.007476 ## - Fold06: alpha=0.56459, lambda=0.007476 ## + Fold06: alpha=0.91319, lambda=0.001598 ## - Fold06: alpha=0.91319, lambda=0.001598 ## + Fold06: alpha=0.90187, lambda=0.409992 ## - Fold06: alpha=0.90187, lambda=0.409992 ## + Fold06: alpha=0.27417, lambda=0.014285 ## - Fold06: alpha=0.27417, lambda=0.014285 ## + Fold06: alpha=0.32148, lambda=0.002420 ## - Fold06: alpha=0.32148, lambda=0.002420 ## + Fold06: alpha=0.98564, lambda=0.001867 ## - Fold06: alpha=0.98564, lambda=0.001867 ## + Fold06: alpha=0.61999, lambda=2.724001 ## - Fold06: alpha=0.61999, lambda=2.724001 ## + Fold06: alpha=0.93731, lambda=0.873704 ## - Fold06: alpha=0.93731, lambda=0.873704 ## + Fold06: alpha=0.46653, lambda=1.532489 ## - Fold06: alpha=0.46653, lambda=1.532489 ## + Fold06: alpha=0.40683, lambda=6.810803 ## - Fold06: alpha=0.40683, lambda=6.810803 ## + Fold06: alpha=0.65923, lambda=0.002484 ## - Fold06: alpha=0.65923, lambda=0.002484 ## + Fold06: alpha=0.15235, lambda=0.002384 ## - Fold06: alpha=0.15235, lambda=0.002384 ## + Fold06: alpha=0.57287, lambda=1.305689 ## - Fold06: alpha=0.57287, lambda=1.305689 ## + Fold06: alpha=0.23873, lambda=1.148283 ## - Fold06: alpha=0.23873, lambda=1.148283 ## + Fold06: alpha=0.96236, lambda=0.001063 ## - Fold06: alpha=0.96236, lambda=0.001063 ## + Fold06: alpha=0.60137, lambda=1.092669 ## - Fold06: alpha=0.60137, lambda=1.092669 ## + Fold06: alpha=0.51503, lambda=0.698377 ## - Fold06: alpha=0.51503, lambda=0.698377 ## + Fold06: alpha=0.40257, lambda=0.285530 ## - Fold06: alpha=0.40257, lambda=0.285530 ## + Fold06: alpha=0.88025, lambda=0.074420 ## - Fold06: alpha=0.88025, lambda=0.074420 ## + Fold06: alpha=0.36409, lambda=0.004006 ## - Fold06: alpha=0.36409, lambda=0.004006 ## + Fold06: alpha=0.28824, lambda=0.001052 ## - Fold06: alpha=0.28824, lambda=0.001052 ## + Fold06: alpha=0.17065, lambda=0.057590 ## - Fold06: alpha=0.17065, lambda=0.057590 ## + Fold06: alpha=0.17217, lambda=0.082459 ## - Fold06: alpha=0.17217, lambda=0.082459 ## + Fold06: alpha=0.48204, lambda=0.032682 ## - Fold06: alpha=0.48204, lambda=0.032682 ## + Fold06: alpha=0.25296, lambda=0.064286 ## - Fold06: alpha=0.25296, lambda=0.064286 ## + Fold06: alpha=0.21625, lambda=0.604003 ## - Fold06: alpha=0.21625, lambda=0.604003 ## + Fold06: alpha=0.67438, lambda=0.001607 ## - Fold06: alpha=0.67438, lambda=0.001607 ## + Fold06: alpha=0.04766, lambda=0.023884 ## - Fold06: alpha=0.04766, lambda=0.023884 ## + Fold06: alpha=0.70085, lambda=1.353373 ## - Fold06: alpha=0.70085, lambda=1.353373 ## + Fold06: alpha=0.35189, lambda=1.820349 ## - Fold06: alpha=0.35189, lambda=1.820349 ## + Fold06: alpha=0.40894, lambda=0.008320 ## - Fold06: alpha=0.40894, lambda=0.008320 ## + Fold06: alpha=0.82095, lambda=0.023713 ## - Fold06: alpha=0.82095, lambda=0.023713 ## + Fold06: alpha=0.91886, lambda=2.203063 ## - Fold06: alpha=0.91886, lambda=2.203063 ## + Fold06: alpha=0.28253, lambda=2.141949 ## - Fold06: alpha=0.28253, lambda=2.141949 ## + Fold06: alpha=0.96110, lambda=0.014049 ## - Fold06: alpha=0.96110, lambda=0.014049 ## + Fold06: alpha=0.72839, lambda=0.003674 ## - Fold06: alpha=0.72839, lambda=0.003674 ## + Fold06: alpha=0.68638, lambda=0.555515 ## - Fold06: alpha=0.68638, lambda=0.555515 ## + Fold06: alpha=0.05284, lambda=0.002488 ## - Fold06: alpha=0.05284, lambda=0.002488 ## + Fold06: alpha=0.39522, lambda=0.001323 ## - Fold06: alpha=0.39522, lambda=0.001323 ## + Fold06: alpha=0.47785, lambda=7.957189 ## - Fold06: alpha=0.47785, lambda=7.957189 ## + Fold06: alpha=0.56025, lambda=0.001337 ## - Fold06: alpha=0.56025, lambda=0.001337 ## + Fold06: alpha=0.69826, lambda=0.020604 ## - Fold06: alpha=0.69826, lambda=0.020604 ## + Fold06: alpha=0.91568, lambda=3.721357 ## - Fold06: alpha=0.91568, lambda=3.721357 ## + Fold06: alpha=0.61835, lambda=0.254204 ## - Fold06: alpha=0.61835, lambda=0.254204 ## + Fold06: alpha=0.42842, lambda=0.012884 ## - Fold06: alpha=0.42842, lambda=0.012884 ## + Fold06: alpha=0.54208, lambda=0.753336 ## - Fold06: alpha=0.54208, lambda=0.753336 ## + Fold06: alpha=0.05848, lambda=1.793411 ## - Fold06: alpha=0.05848, lambda=1.793411 ## + Fold06: alpha=0.26086, lambda=0.016579 ## - Fold06: alpha=0.26086, lambda=0.016579 ## + Fold06: alpha=0.39715, lambda=0.082662 ## - Fold06: alpha=0.39715, lambda=0.082662 ## + Fold06: alpha=0.19774, lambda=0.523354 ## - Fold06: alpha=0.19774, lambda=0.523354 ## + Fold06: alpha=0.83193, lambda=0.316222 ## - Fold06: alpha=0.83193, lambda=0.316222 ## + Fold06: alpha=0.15289, lambda=0.323312 ## - Fold06: alpha=0.15289, lambda=0.323312 ## + Fold06: alpha=0.80342, lambda=6.552722 ## - Fold06: alpha=0.80342, lambda=6.552722 ## + Fold06: alpha=0.54683, lambda=0.040994 ## - Fold06: alpha=0.54683, lambda=0.040994 ## + Fold07: alpha=0.40947, lambda=0.381599 ## - Fold07: alpha=0.40947, lambda=0.381599 ## + Fold07: alpha=0.01047, lambda=0.004588 ## - Fold07: alpha=0.01047, lambda=0.004588 ## + Fold07: alpha=0.18385, lambda=0.293152 ## - Fold07: alpha=0.18385, lambda=0.293152 ## + Fold07: alpha=0.84273, lambda=0.016224 ## - Fold07: alpha=0.84273, lambda=0.016224 ## + Fold07: alpha=0.23116, lambda=0.668596 ## - Fold07: alpha=0.23116, lambda=0.668596 ## + Fold07: alpha=0.23910, lambda=0.035556 ## - Fold07: alpha=0.23910, lambda=0.035556 ## + Fold07: alpha=0.07669, lambda=6.069734 ## - Fold07: alpha=0.07669, lambda=6.069734 ## + Fold07: alpha=0.24572, lambda=5.963581 ## - Fold07: alpha=0.24572, lambda=5.963581 ## + Fold07: alpha=0.73214, lambda=0.681664 ## - Fold07: alpha=0.73214, lambda=0.681664 ## + Fold07: alpha=0.84745, lambda=0.009915 ## - Fold07: alpha=0.84745, lambda=0.009915 ## + Fold07: alpha=0.49753, lambda=0.007205 ## - Fold07: alpha=0.49753, lambda=0.007205 ## + Fold07: alpha=0.38791, lambda=0.204418 ## - Fold07: alpha=0.38791, lambda=0.204418 ## + Fold07: alpha=0.24645, lambda=0.010880 ## - Fold07: alpha=0.24645, lambda=0.010880 ## + Fold07: alpha=0.11110, lambda=0.116946 ## - Fold07: alpha=0.11110, lambda=0.116946 ## + Fold07: alpha=0.38999, lambda=1.155720 ## - Fold07: alpha=0.38999, lambda=1.155720 ## + Fold07: alpha=0.57194, lambda=0.004440 ## - Fold07: alpha=0.57194, lambda=0.004440 ## + Fold07: alpha=0.21689, lambda=0.037348 ## - Fold07: alpha=0.21689, lambda=0.037348 ## + Fold07: alpha=0.44477, lambda=0.068417 ## - Fold07: alpha=0.44477, lambda=0.068417 ## + Fold07: alpha=0.21799, lambda=2.437477 ## - Fold07: alpha=0.21799, lambda=2.437477 ## + Fold07: alpha=0.50230, lambda=4.095965 ## - Fold07: alpha=0.50230, lambda=4.095965 ## + Fold07: alpha=0.35390, lambda=2.761990 ## - Fold07: alpha=0.35390, lambda=2.761990 ## + Fold07: alpha=0.64999, lambda=0.424674 ## - Fold07: alpha=0.64999, lambda=0.424674 ## + Fold07: alpha=0.37471, lambda=5.105919 ## - Fold07: alpha=0.37471, lambda=5.105919 ## + Fold07: alpha=0.35545, lambda=0.102506 ## - Fold07: alpha=0.35545, lambda=0.102506 ## + Fold07: alpha=0.53369, lambda=0.176134 ## - Fold07: alpha=0.53369, lambda=0.176134 ## + Fold07: alpha=0.74033, lambda=0.020225 ## - Fold07: alpha=0.74033, lambda=0.020225 ## + Fold07: alpha=0.22110, lambda=0.022331 ## - Fold07: alpha=0.22110, lambda=0.022331 ## + Fold07: alpha=0.41275, lambda=0.001170 ## - Fold07: alpha=0.41275, lambda=0.001170 ## + Fold07: alpha=0.26569, lambda=0.090657 ## - Fold07: alpha=0.26569, lambda=0.090657 ## + Fold07: alpha=0.62997, lambda=2.502837 ## - Fold07: alpha=0.62997, lambda=2.502837 ## + Fold07: alpha=0.18383, lambda=0.001034 ## - Fold07: alpha=0.18383, lambda=0.001034 ## + Fold07: alpha=0.86364, lambda=0.001869 ## - Fold07: alpha=0.86364, lambda=0.001869 ## + Fold07: alpha=0.74657, lambda=0.004289 ## - Fold07: alpha=0.74657, lambda=0.004289 ## + Fold07: alpha=0.66828, lambda=1.009991 ## - Fold07: alpha=0.66828, lambda=1.009991 ## + Fold07: alpha=0.61802, lambda=0.735805 ## - Fold07: alpha=0.61802, lambda=0.735805 ## + Fold07: alpha=0.37224, lambda=6.209096 ## - Fold07: alpha=0.37224, lambda=6.209096 ## + Fold07: alpha=0.52984, lambda=0.065341 ## - Fold07: alpha=0.52984, lambda=0.065341 ## + Fold07: alpha=0.87468, lambda=0.001909 ## - Fold07: alpha=0.87468, lambda=0.001909 ## + Fold07: alpha=0.58175, lambda=0.337892 ## - Fold07: alpha=0.58175, lambda=0.337892 ## + Fold07: alpha=0.83977, lambda=0.908596 ## - Fold07: alpha=0.83977, lambda=0.908596 ## + Fold07: alpha=0.31245, lambda=0.003359 ## - Fold07: alpha=0.31245, lambda=0.003359 ## + Fold07: alpha=0.70829, lambda=0.034809 ## - Fold07: alpha=0.70829, lambda=0.034809 ## + Fold07: alpha=0.26502, lambda=0.007416 ## - Fold07: alpha=0.26502, lambda=0.007416 ## + Fold07: alpha=0.59434, lambda=0.001646 ## - Fold07: alpha=0.59434, lambda=0.001646 ## + Fold07: alpha=0.48129, lambda=0.034593 ## - Fold07: alpha=0.48129, lambda=0.034593 ## + Fold07: alpha=0.26503, lambda=0.001753 ## - Fold07: alpha=0.26503, lambda=0.001753 ## + Fold07: alpha=0.56459, lambda=0.007476 ## - Fold07: alpha=0.56459, lambda=0.007476 ## + Fold07: alpha=0.91319, lambda=0.001598 ## - Fold07: alpha=0.91319, lambda=0.001598 ## + Fold07: alpha=0.90187, lambda=0.409992 ## - Fold07: alpha=0.90187, lambda=0.409992 ## + Fold07: alpha=0.27417, lambda=0.014285 ## - Fold07: alpha=0.27417, lambda=0.014285 ## + Fold07: alpha=0.32148, lambda=0.002420 ## - Fold07: alpha=0.32148, lambda=0.002420 ## + Fold07: alpha=0.98564, lambda=0.001867 ## - Fold07: alpha=0.98564, lambda=0.001867 ## + Fold07: alpha=0.61999, lambda=2.724001 ## - Fold07: alpha=0.61999, lambda=2.724001 ## + Fold07: alpha=0.93731, lambda=0.873704 ## - Fold07: alpha=0.93731, lambda=0.873704 ## + Fold07: alpha=0.46653, lambda=1.532489 ## - Fold07: alpha=0.46653, lambda=1.532489 ## + Fold07: alpha=0.40683, lambda=6.810803 ## - Fold07: alpha=0.40683, lambda=6.810803 ## + Fold07: alpha=0.65923, lambda=0.002484 ## - Fold07: alpha=0.65923, lambda=0.002484 ## + Fold07: alpha=0.15235, lambda=0.002384 ## - Fold07: alpha=0.15235, lambda=0.002384 ## + Fold07: alpha=0.57287, lambda=1.305689 ## - Fold07: alpha=0.57287, lambda=1.305689 ## + Fold07: alpha=0.23873, lambda=1.148283 ## - Fold07: alpha=0.23873, lambda=1.148283 ## + Fold07: alpha=0.96236, lambda=0.001063 ## - Fold07: alpha=0.96236, lambda=0.001063 ## + Fold07: alpha=0.60137, lambda=1.092669 ## - Fold07: alpha=0.60137, lambda=1.092669 ## + Fold07: alpha=0.51503, lambda=0.698377 ## - Fold07: alpha=0.51503, lambda=0.698377 ## + Fold07: alpha=0.40257, lambda=0.285530 ## - Fold07: alpha=0.40257, lambda=0.285530 ## + Fold07: alpha=0.88025, lambda=0.074420 ## - Fold07: alpha=0.88025, lambda=0.074420 ## + Fold07: alpha=0.36409, lambda=0.004006 ## - Fold07: alpha=0.36409, lambda=0.004006 ## + Fold07: alpha=0.28824, lambda=0.001052 ## - Fold07: alpha=0.28824, lambda=0.001052 ## + Fold07: alpha=0.17065, lambda=0.057590 ## - Fold07: alpha=0.17065, lambda=0.057590 ## + Fold07: alpha=0.17217, lambda=0.082459 ## - Fold07: alpha=0.17217, lambda=0.082459 ## + Fold07: alpha=0.48204, lambda=0.032682 ## - Fold07: alpha=0.48204, lambda=0.032682 ## + Fold07: alpha=0.25296, lambda=0.064286 ## - Fold07: alpha=0.25296, lambda=0.064286 ## + Fold07: alpha=0.21625, lambda=0.604003 ## - Fold07: alpha=0.21625, lambda=0.604003 ## + Fold07: alpha=0.67438, lambda=0.001607 ## - Fold07: alpha=0.67438, lambda=0.001607 ## + Fold07: alpha=0.04766, lambda=0.023884 ## - Fold07: alpha=0.04766, lambda=0.023884 ## + Fold07: alpha=0.70085, lambda=1.353373 ## - Fold07: alpha=0.70085, lambda=1.353373 ## + Fold07: alpha=0.35189, lambda=1.820349 ## - Fold07: alpha=0.35189, lambda=1.820349 ## + Fold07: alpha=0.40894, lambda=0.008320 ## - Fold07: alpha=0.40894, lambda=0.008320 ## + Fold07: alpha=0.82095, lambda=0.023713 ## - Fold07: alpha=0.82095, lambda=0.023713 ## + Fold07: alpha=0.91886, lambda=2.203063 ## - Fold07: alpha=0.91886, lambda=2.203063 ## + Fold07: alpha=0.28253, lambda=2.141949 ## - Fold07: alpha=0.28253, lambda=2.141949 ## + Fold07: alpha=0.96110, lambda=0.014049 ## - Fold07: alpha=0.96110, lambda=0.014049 ## + Fold07: alpha=0.72839, lambda=0.003674 ## - Fold07: alpha=0.72839, lambda=0.003674 ## + Fold07: alpha=0.68638, lambda=0.555515 ## - Fold07: alpha=0.68638, lambda=0.555515 ## + Fold07: alpha=0.05284, lambda=0.002488 ## - Fold07: alpha=0.05284, lambda=0.002488 ## + Fold07: alpha=0.39522, lambda=0.001323 ## - Fold07: alpha=0.39522, lambda=0.001323 ## + Fold07: alpha=0.47785, lambda=7.957189 ## - Fold07: alpha=0.47785, lambda=7.957189 ## + Fold07: alpha=0.56025, lambda=0.001337 ## - Fold07: alpha=0.56025, lambda=0.001337 ## + Fold07: alpha=0.69826, lambda=0.020604 ## - Fold07: alpha=0.69826, lambda=0.020604 ## + Fold07: alpha=0.91568, lambda=3.721357 ## - Fold07: alpha=0.91568, lambda=3.721357 ## + Fold07: alpha=0.61835, lambda=0.254204 ## - Fold07: alpha=0.61835, lambda=0.254204 ## + Fold07: alpha=0.42842, lambda=0.012884 ## - Fold07: alpha=0.42842, lambda=0.012884 ## + Fold07: alpha=0.54208, lambda=0.753336 ## - Fold07: alpha=0.54208, lambda=0.753336 ## + Fold07: alpha=0.05848, lambda=1.793411 ## - Fold07: alpha=0.05848, lambda=1.793411 ## + Fold07: alpha=0.26086, lambda=0.016579 ## - Fold07: alpha=0.26086, lambda=0.016579 ## + Fold07: alpha=0.39715, lambda=0.082662 ## - Fold07: alpha=0.39715, lambda=0.082662 ## + Fold07: alpha=0.19774, lambda=0.523354 ## - Fold07: alpha=0.19774, lambda=0.523354 ## + Fold07: alpha=0.83193, lambda=0.316222 ## - Fold07: alpha=0.83193, lambda=0.316222 ## + Fold07: alpha=0.15289, lambda=0.323312 ## - Fold07: alpha=0.15289, lambda=0.323312 ## + Fold07: alpha=0.80342, lambda=6.552722 ## - Fold07: alpha=0.80342, lambda=6.552722 ## + Fold07: alpha=0.54683, lambda=0.040994 ## - Fold07: alpha=0.54683, lambda=0.040994 ## + Fold08: alpha=0.40947, lambda=0.381599 ## - Fold08: alpha=0.40947, lambda=0.381599 ## + Fold08: alpha=0.01047, lambda=0.004588 ## - Fold08: alpha=0.01047, lambda=0.004588 ## + Fold08: alpha=0.18385, lambda=0.293152 ## - Fold08: alpha=0.18385, lambda=0.293152 ## + Fold08: alpha=0.84273, lambda=0.016224 ## - Fold08: alpha=0.84273, lambda=0.016224 ## + Fold08: alpha=0.23116, lambda=0.668596 ## - Fold08: alpha=0.23116, lambda=0.668596 ## + Fold08: alpha=0.23910, lambda=0.035556 ## - Fold08: alpha=0.23910, lambda=0.035556 ## + Fold08: alpha=0.07669, lambda=6.069734 ## - Fold08: alpha=0.07669, lambda=6.069734 ## + Fold08: alpha=0.24572, lambda=5.963581 ## - Fold08: alpha=0.24572, lambda=5.963581 ## + Fold08: alpha=0.73214, lambda=0.681664 ## - Fold08: alpha=0.73214, lambda=0.681664 ## + Fold08: alpha=0.84745, lambda=0.009915 ## - Fold08: alpha=0.84745, lambda=0.009915 ## + Fold08: alpha=0.49753, lambda=0.007205 ## - Fold08: alpha=0.49753, lambda=0.007205 ## + Fold08: alpha=0.38791, lambda=0.204418 ## - Fold08: alpha=0.38791, lambda=0.204418 ## + Fold08: alpha=0.24645, lambda=0.010880 ## - Fold08: alpha=0.24645, lambda=0.010880 ## + Fold08: alpha=0.11110, lambda=0.116946 ## - Fold08: alpha=0.11110, lambda=0.116946 ## + Fold08: alpha=0.38999, lambda=1.155720 ## - Fold08: alpha=0.38999, lambda=1.155720 ## + Fold08: alpha=0.57194, lambda=0.004440 ## - Fold08: alpha=0.57194, lambda=0.004440 ## + Fold08: alpha=0.21689, lambda=0.037348 ## - Fold08: alpha=0.21689, lambda=0.037348 ## + Fold08: alpha=0.44477, lambda=0.068417 ## - Fold08: alpha=0.44477, lambda=0.068417 ## + Fold08: alpha=0.21799, lambda=2.437477 ## - Fold08: alpha=0.21799, lambda=2.437477 ## + Fold08: alpha=0.50230, lambda=4.095965 ## - Fold08: alpha=0.50230, lambda=4.095965 ## + Fold08: alpha=0.35390, lambda=2.761990 ## - Fold08: alpha=0.35390, lambda=2.761990 ## + Fold08: alpha=0.64999, lambda=0.424674 ## - Fold08: alpha=0.64999, lambda=0.424674 ## + Fold08: alpha=0.37471, lambda=5.105919 ## - Fold08: alpha=0.37471, lambda=5.105919 ## + Fold08: alpha=0.35545, lambda=0.102506 ## - Fold08: alpha=0.35545, lambda=0.102506 ## + Fold08: alpha=0.53369, lambda=0.176134 ## - Fold08: alpha=0.53369, lambda=0.176134 ## + Fold08: alpha=0.74033, lambda=0.020225 ## - Fold08: alpha=0.74033, lambda=0.020225 ## + Fold08: alpha=0.22110, lambda=0.022331 ## - Fold08: alpha=0.22110, lambda=0.022331 ## + Fold08: alpha=0.41275, lambda=0.001170 ## - Fold08: alpha=0.41275, lambda=0.001170 ## + Fold08: alpha=0.26569, lambda=0.090657 ## - Fold08: alpha=0.26569, lambda=0.090657 ## + Fold08: alpha=0.62997, lambda=2.502837 ## - Fold08: alpha=0.62997, lambda=2.502837 ## + Fold08: alpha=0.18383, lambda=0.001034 ## - Fold08: alpha=0.18383, lambda=0.001034 ## + Fold08: alpha=0.86364, lambda=0.001869 ## - Fold08: alpha=0.86364, lambda=0.001869 ## + Fold08: alpha=0.74657, lambda=0.004289 ## - Fold08: alpha=0.74657, lambda=0.004289 ## + Fold08: alpha=0.66828, lambda=1.009991 ## - Fold08: alpha=0.66828, lambda=1.009991 ## + Fold08: alpha=0.61802, lambda=0.735805 ## - Fold08: alpha=0.61802, lambda=0.735805 ## + Fold08: alpha=0.37224, lambda=6.209096 ## - Fold08: alpha=0.37224, lambda=6.209096 ## + Fold08: alpha=0.52984, lambda=0.065341 ## - Fold08: alpha=0.52984, lambda=0.065341 ## + Fold08: alpha=0.87468, lambda=0.001909 ## - Fold08: alpha=0.87468, lambda=0.001909 ## + Fold08: alpha=0.58175, lambda=0.337892 ## - Fold08: alpha=0.58175, lambda=0.337892 ## + Fold08: alpha=0.83977, lambda=0.908596 ## - Fold08: alpha=0.83977, lambda=0.908596 ## + Fold08: alpha=0.31245, lambda=0.003359 ## - Fold08: alpha=0.31245, lambda=0.003359 ## + Fold08: alpha=0.70829, lambda=0.034809 ## - Fold08: alpha=0.70829, lambda=0.034809 ## + Fold08: alpha=0.26502, lambda=0.007416 ## - Fold08: alpha=0.26502, lambda=0.007416 ## + Fold08: alpha=0.59434, lambda=0.001646 ## - Fold08: alpha=0.59434, lambda=0.001646 ## + Fold08: alpha=0.48129, lambda=0.034593 ## - Fold08: alpha=0.48129, lambda=0.034593 ## + Fold08: alpha=0.26503, lambda=0.001753 ## - Fold08: alpha=0.26503, lambda=0.001753 ## + Fold08: alpha=0.56459, lambda=0.007476 ## - Fold08: alpha=0.56459, lambda=0.007476 ## + Fold08: alpha=0.91319, lambda=0.001598 ## - Fold08: alpha=0.91319, lambda=0.001598 ## + Fold08: alpha=0.90187, lambda=0.409992 ## - Fold08: alpha=0.90187, lambda=0.409992 ## + Fold08: alpha=0.27417, lambda=0.014285 ## - Fold08: alpha=0.27417, lambda=0.014285 ## + Fold08: alpha=0.32148, lambda=0.002420 ## - Fold08: alpha=0.32148, lambda=0.002420 ## + Fold08: alpha=0.98564, lambda=0.001867 ## - Fold08: alpha=0.98564, lambda=0.001867 ## + Fold08: alpha=0.61999, lambda=2.724001 ## - Fold08: alpha=0.61999, lambda=2.724001 ## + Fold08: alpha=0.93731, lambda=0.873704 ## - Fold08: alpha=0.93731, lambda=0.873704 ## + Fold08: alpha=0.46653, lambda=1.532489 ## - Fold08: alpha=0.46653, lambda=1.532489 ## + Fold08: alpha=0.40683, lambda=6.810803 ## - Fold08: alpha=0.40683, lambda=6.810803 ## + Fold08: alpha=0.65923, lambda=0.002484 ## - Fold08: alpha=0.65923, lambda=0.002484 ## + Fold08: alpha=0.15235, lambda=0.002384 ## - Fold08: alpha=0.15235, lambda=0.002384 ## + Fold08: alpha=0.57287, lambda=1.305689 ## - Fold08: alpha=0.57287, lambda=1.305689 ## + Fold08: alpha=0.23873, lambda=1.148283 ## - Fold08: alpha=0.23873, lambda=1.148283 ## + Fold08: alpha=0.96236, lambda=0.001063 ## - Fold08: alpha=0.96236, lambda=0.001063 ## + Fold08: alpha=0.60137, lambda=1.092669 ## - Fold08: alpha=0.60137, lambda=1.092669 ## + Fold08: alpha=0.51503, lambda=0.698377 ## - Fold08: alpha=0.51503, lambda=0.698377 ## + Fold08: alpha=0.40257, lambda=0.285530 ## - Fold08: alpha=0.40257, lambda=0.285530 ## + Fold08: alpha=0.88025, lambda=0.074420 ## - Fold08: alpha=0.88025, lambda=0.074420 ## + Fold08: alpha=0.36409, lambda=0.004006 ## - Fold08: alpha=0.36409, lambda=0.004006 ## + Fold08: alpha=0.28824, lambda=0.001052 ## - Fold08: alpha=0.28824, lambda=0.001052 ## + Fold08: alpha=0.17065, lambda=0.057590 ## - Fold08: alpha=0.17065, lambda=0.057590 ## + Fold08: alpha=0.17217, lambda=0.082459 ## - Fold08: alpha=0.17217, lambda=0.082459 ## + Fold08: alpha=0.48204, lambda=0.032682 ## - Fold08: alpha=0.48204, lambda=0.032682 ## + Fold08: alpha=0.25296, lambda=0.064286 ## - Fold08: alpha=0.25296, lambda=0.064286 ## + Fold08: alpha=0.21625, lambda=0.604003 ## - Fold08: alpha=0.21625, lambda=0.604003 ## + Fold08: alpha=0.67438, lambda=0.001607 ## - Fold08: alpha=0.67438, lambda=0.001607 ## + Fold08: alpha=0.04766, lambda=0.023884 ## - Fold08: alpha=0.04766, lambda=0.023884 ## + Fold08: alpha=0.70085, lambda=1.353373 ## - Fold08: alpha=0.70085, lambda=1.353373 ## + Fold08: alpha=0.35189, lambda=1.820349 ## - Fold08: alpha=0.35189, lambda=1.820349 ## + Fold08: alpha=0.40894, lambda=0.008320 ## - Fold08: alpha=0.40894, lambda=0.008320 ## + Fold08: alpha=0.82095, lambda=0.023713 ## - Fold08: alpha=0.82095, lambda=0.023713 ## + Fold08: alpha=0.91886, lambda=2.203063 ## - Fold08: alpha=0.91886, lambda=2.203063 ## + Fold08: alpha=0.28253, lambda=2.141949 ## - Fold08: alpha=0.28253, lambda=2.141949 ## + Fold08: alpha=0.96110, lambda=0.014049 ## - Fold08: alpha=0.96110, lambda=0.014049 ## + Fold08: alpha=0.72839, lambda=0.003674 ## - Fold08: alpha=0.72839, lambda=0.003674 ## + Fold08: alpha=0.68638, lambda=0.555515 ## - Fold08: alpha=0.68638, lambda=0.555515 ## + Fold08: alpha=0.05284, lambda=0.002488 ## - Fold08: alpha=0.05284, lambda=0.002488 ## + Fold08: alpha=0.39522, lambda=0.001323 ## - Fold08: alpha=0.39522, lambda=0.001323 ## + Fold08: alpha=0.47785, lambda=7.957189 ## - Fold08: alpha=0.47785, lambda=7.957189 ## + Fold08: alpha=0.56025, lambda=0.001337 ## - Fold08: alpha=0.56025, lambda=0.001337 ## + Fold08: alpha=0.69826, lambda=0.020604 ## - Fold08: alpha=0.69826, lambda=0.020604 ## + Fold08: alpha=0.91568, lambda=3.721357 ## - Fold08: alpha=0.91568, lambda=3.721357 ## + Fold08: alpha=0.61835, lambda=0.254204 ## - Fold08: alpha=0.61835, lambda=0.254204 ## + Fold08: alpha=0.42842, lambda=0.012884 ## - Fold08: alpha=0.42842, lambda=0.012884 ## + Fold08: alpha=0.54208, lambda=0.753336 ## - Fold08: alpha=0.54208, lambda=0.753336 ## + Fold08: alpha=0.05848, lambda=1.793411 ## - Fold08: alpha=0.05848, lambda=1.793411 ## + Fold08: alpha=0.26086, lambda=0.016579 ## - Fold08: alpha=0.26086, lambda=0.016579 ## + Fold08: alpha=0.39715, lambda=0.082662 ## - Fold08: alpha=0.39715, lambda=0.082662 ## + Fold08: alpha=0.19774, lambda=0.523354 ## - Fold08: alpha=0.19774, lambda=0.523354 ## + Fold08: alpha=0.83193, lambda=0.316222 ## - Fold08: alpha=0.83193, lambda=0.316222 ## + Fold08: alpha=0.15289, lambda=0.323312 ## - Fold08: alpha=0.15289, lambda=0.323312 ## + Fold08: alpha=0.80342, lambda=6.552722 ## - Fold08: alpha=0.80342, lambda=6.552722 ## + Fold08: alpha=0.54683, lambda=0.040994 ## - Fold08: alpha=0.54683, lambda=0.040994 ## + Fold09: alpha=0.40947, lambda=0.381599 ## - Fold09: alpha=0.40947, lambda=0.381599 ## + Fold09: alpha=0.01047, lambda=0.004588 ## - Fold09: alpha=0.01047, lambda=0.004588 ## + Fold09: alpha=0.18385, lambda=0.293152 ## - Fold09: alpha=0.18385, lambda=0.293152 ## + Fold09: alpha=0.84273, lambda=0.016224 ## - Fold09: alpha=0.84273, lambda=0.016224 ## + Fold09: alpha=0.23116, lambda=0.668596 ## - Fold09: alpha=0.23116, lambda=0.668596 ## + Fold09: alpha=0.23910, lambda=0.035556 ## - Fold09: alpha=0.23910, lambda=0.035556 ## + Fold09: alpha=0.07669, lambda=6.069734 ## - Fold09: alpha=0.07669, lambda=6.069734 ## + Fold09: alpha=0.24572, lambda=5.963581 ## - Fold09: alpha=0.24572, lambda=5.963581 ## + Fold09: alpha=0.73214, lambda=0.681664 ## - Fold09: alpha=0.73214, lambda=0.681664 ## + Fold09: alpha=0.84745, lambda=0.009915 ## - Fold09: alpha=0.84745, lambda=0.009915 ## + Fold09: alpha=0.49753, lambda=0.007205 ## - Fold09: alpha=0.49753, lambda=0.007205 ## + Fold09: alpha=0.38791, lambda=0.204418 ## - Fold09: alpha=0.38791, lambda=0.204418 ## + Fold09: alpha=0.24645, lambda=0.010880 ## - Fold09: alpha=0.24645, lambda=0.010880 ## + Fold09: alpha=0.11110, lambda=0.116946 ## - Fold09: alpha=0.11110, lambda=0.116946 ## + Fold09: alpha=0.38999, lambda=1.155720 ## - Fold09: alpha=0.38999, lambda=1.155720 ## + Fold09: alpha=0.57194, lambda=0.004440 ## - Fold09: alpha=0.57194, lambda=0.004440 ## + Fold09: alpha=0.21689, lambda=0.037348 ## - Fold09: alpha=0.21689, lambda=0.037348 ## + Fold09: alpha=0.44477, lambda=0.068417 ## - Fold09: alpha=0.44477, lambda=0.068417 ## + Fold09: alpha=0.21799, lambda=2.437477 ## - Fold09: alpha=0.21799, lambda=2.437477 ## + Fold09: alpha=0.50230, lambda=4.095965 ## - Fold09: alpha=0.50230, lambda=4.095965 ## + Fold09: alpha=0.35390, lambda=2.761990 ## - Fold09: alpha=0.35390, lambda=2.761990 ## + Fold09: alpha=0.64999, lambda=0.424674 ## - Fold09: alpha=0.64999, lambda=0.424674 ## + Fold09: alpha=0.37471, lambda=5.105919 ## - Fold09: alpha=0.37471, lambda=5.105919 ## + Fold09: alpha=0.35545, lambda=0.102506 ## - Fold09: alpha=0.35545, lambda=0.102506 ## + Fold09: alpha=0.53369, lambda=0.176134 ## - Fold09: alpha=0.53369, lambda=0.176134 ## + Fold09: alpha=0.74033, lambda=0.020225 ## - Fold09: alpha=0.74033, lambda=0.020225 ## + Fold09: alpha=0.22110, lambda=0.022331 ## - Fold09: alpha=0.22110, lambda=0.022331 ## + Fold09: alpha=0.41275, lambda=0.001170 ## - Fold09: alpha=0.41275, lambda=0.001170 ## + Fold09: alpha=0.26569, lambda=0.090657 ## - Fold09: alpha=0.26569, lambda=0.090657 ## + Fold09: alpha=0.62997, lambda=2.502837 ## - Fold09: alpha=0.62997, lambda=2.502837 ## + Fold09: alpha=0.18383, lambda=0.001034 ## - Fold09: alpha=0.18383, lambda=0.001034 ## + Fold09: alpha=0.86364, lambda=0.001869 ## - Fold09: alpha=0.86364, lambda=0.001869 ## + Fold09: alpha=0.74657, lambda=0.004289 ## - Fold09: alpha=0.74657, lambda=0.004289 ## + Fold09: alpha=0.66828, lambda=1.009991 ## - Fold09: alpha=0.66828, lambda=1.009991 ## + Fold09: alpha=0.61802, lambda=0.735805 ## - Fold09: alpha=0.61802, lambda=0.735805 ## + Fold09: alpha=0.37224, lambda=6.209096 ## - Fold09: alpha=0.37224, lambda=6.209096 ## + Fold09: alpha=0.52984, lambda=0.065341 ## - Fold09: alpha=0.52984, lambda=0.065341 ## + Fold09: alpha=0.87468, lambda=0.001909 ## - Fold09: alpha=0.87468, lambda=0.001909 ## + Fold09: alpha=0.58175, lambda=0.337892 ## - Fold09: alpha=0.58175, lambda=0.337892 ## + Fold09: alpha=0.83977, lambda=0.908596 ## - Fold09: alpha=0.83977, lambda=0.908596 ## + Fold09: alpha=0.31245, lambda=0.003359 ## - Fold09: alpha=0.31245, lambda=0.003359 ## + Fold09: alpha=0.70829, lambda=0.034809 ## - Fold09: alpha=0.70829, lambda=0.034809 ## + Fold09: alpha=0.26502, lambda=0.007416 ## - Fold09: alpha=0.26502, lambda=0.007416 ## + Fold09: alpha=0.59434, lambda=0.001646 ## - Fold09: alpha=0.59434, lambda=0.001646 ## + Fold09: alpha=0.48129, lambda=0.034593 ## - Fold09: alpha=0.48129, lambda=0.034593 ## + Fold09: alpha=0.26503, lambda=0.001753 ## - Fold09: alpha=0.26503, lambda=0.001753 ## + Fold09: alpha=0.56459, lambda=0.007476 ## - Fold09: alpha=0.56459, lambda=0.007476 ## + Fold09: alpha=0.91319, lambda=0.001598 ## - Fold09: alpha=0.91319, lambda=0.001598 ## + Fold09: alpha=0.90187, lambda=0.409992 ## - Fold09: alpha=0.90187, lambda=0.409992 ## + Fold09: alpha=0.27417, lambda=0.014285 ## - Fold09: alpha=0.27417, lambda=0.014285 ## + Fold09: alpha=0.32148, lambda=0.002420 ## - Fold09: alpha=0.32148, lambda=0.002420 ## + Fold09: alpha=0.98564, lambda=0.001867 ## - Fold09: alpha=0.98564, lambda=0.001867 ## + Fold09: alpha=0.61999, lambda=2.724001 ## - Fold09: alpha=0.61999, lambda=2.724001 ## + Fold09: alpha=0.93731, lambda=0.873704 ## - Fold09: alpha=0.93731, lambda=0.873704 ## + Fold09: alpha=0.46653, lambda=1.532489 ## - Fold09: alpha=0.46653, lambda=1.532489 ## + Fold09: alpha=0.40683, lambda=6.810803 ## - Fold09: alpha=0.40683, lambda=6.810803 ## + Fold09: alpha=0.65923, lambda=0.002484 ## - Fold09: alpha=0.65923, lambda=0.002484 ## + Fold09: alpha=0.15235, lambda=0.002384 ## - Fold09: alpha=0.15235, lambda=0.002384 ## + Fold09: alpha=0.57287, lambda=1.305689 ## - Fold09: alpha=0.57287, lambda=1.305689 ## + Fold09: alpha=0.23873, lambda=1.148283 ## - Fold09: alpha=0.23873, lambda=1.148283 ## + Fold09: alpha=0.96236, lambda=0.001063 ## - Fold09: alpha=0.96236, lambda=0.001063 ## + Fold09: alpha=0.60137, lambda=1.092669 ## - Fold09: alpha=0.60137, lambda=1.092669 ## + Fold09: alpha=0.51503, lambda=0.698377 ## - Fold09: alpha=0.51503, lambda=0.698377 ## + Fold09: alpha=0.40257, lambda=0.285530 ## - Fold09: alpha=0.40257, lambda=0.285530 ## + Fold09: alpha=0.88025, lambda=0.074420 ## - Fold09: alpha=0.88025, lambda=0.074420 ## + Fold09: alpha=0.36409, lambda=0.004006 ## - Fold09: alpha=0.36409, lambda=0.004006 ## + Fold09: alpha=0.28824, lambda=0.001052 ## - Fold09: alpha=0.28824, lambda=0.001052 ## + Fold09: alpha=0.17065, lambda=0.057590 ## - Fold09: alpha=0.17065, lambda=0.057590 ## + Fold09: alpha=0.17217, lambda=0.082459 ## - Fold09: alpha=0.17217, lambda=0.082459 ## + Fold09: alpha=0.48204, lambda=0.032682 ## - Fold09: alpha=0.48204, lambda=0.032682 ## + Fold09: alpha=0.25296, lambda=0.064286 ## - Fold09: alpha=0.25296, lambda=0.064286 ## + Fold09: alpha=0.21625, lambda=0.604003 ## - Fold09: alpha=0.21625, lambda=0.604003 ## + Fold09: alpha=0.67438, lambda=0.001607 ## - Fold09: alpha=0.67438, lambda=0.001607 ## + Fold09: alpha=0.04766, lambda=0.023884 ## - Fold09: alpha=0.04766, lambda=0.023884 ## + Fold09: alpha=0.70085, lambda=1.353373 ## - Fold09: alpha=0.70085, lambda=1.353373 ## + Fold09: alpha=0.35189, lambda=1.820349 ## - Fold09: alpha=0.35189, lambda=1.820349 ## + Fold09: alpha=0.40894, lambda=0.008320 ## - Fold09: alpha=0.40894, lambda=0.008320 ## + Fold09: alpha=0.82095, lambda=0.023713 ## - Fold09: alpha=0.82095, lambda=0.023713 ## + Fold09: alpha=0.91886, lambda=2.203063 ## - Fold09: alpha=0.91886, lambda=2.203063 ## + Fold09: alpha=0.28253, lambda=2.141949 ## - Fold09: alpha=0.28253, lambda=2.141949 ## + Fold09: alpha=0.96110, lambda=0.014049 ## - Fold09: alpha=0.96110, lambda=0.014049 ## + Fold09: alpha=0.72839, lambda=0.003674 ## - Fold09: alpha=0.72839, lambda=0.003674 ## + Fold09: alpha=0.68638, lambda=0.555515 ## - Fold09: alpha=0.68638, lambda=0.555515 ## + Fold09: alpha=0.05284, lambda=0.002488 ## - Fold09: alpha=0.05284, lambda=0.002488 ## + Fold09: alpha=0.39522, lambda=0.001323 ## - Fold09: alpha=0.39522, lambda=0.001323 ## + Fold09: alpha=0.47785, lambda=7.957189 ## - Fold09: alpha=0.47785, lambda=7.957189 ## + Fold09: alpha=0.56025, lambda=0.001337 ## - Fold09: alpha=0.56025, lambda=0.001337 ## + Fold09: alpha=0.69826, lambda=0.020604 ## - Fold09: alpha=0.69826, lambda=0.020604 ## + Fold09: alpha=0.91568, lambda=3.721357 ## - Fold09: alpha=0.91568, lambda=3.721357 ## + Fold09: alpha=0.61835, lambda=0.254204 ## - Fold09: alpha=0.61835, lambda=0.254204 ## + Fold09: alpha=0.42842, lambda=0.012884 ## - Fold09: alpha=0.42842, lambda=0.012884 ## + Fold09: alpha=0.54208, lambda=0.753336 ## - Fold09: alpha=0.54208, lambda=0.753336 ## + Fold09: alpha=0.05848, lambda=1.793411 ## - Fold09: alpha=0.05848, lambda=1.793411 ## + Fold09: alpha=0.26086, lambda=0.016579 ## - Fold09: alpha=0.26086, lambda=0.016579 ## + Fold09: alpha=0.39715, lambda=0.082662 ## - Fold09: alpha=0.39715, lambda=0.082662 ## + Fold09: alpha=0.19774, lambda=0.523354 ## - Fold09: alpha=0.19774, lambda=0.523354 ## + Fold09: alpha=0.83193, lambda=0.316222 ## - Fold09: alpha=0.83193, lambda=0.316222 ## + Fold09: alpha=0.15289, lambda=0.323312 ## - Fold09: alpha=0.15289, lambda=0.323312 ## + Fold09: alpha=0.80342, lambda=6.552722 ## - Fold09: alpha=0.80342, lambda=6.552722 ## + Fold09: alpha=0.54683, lambda=0.040994 ## - Fold09: alpha=0.54683, lambda=0.040994 ## + Fold10: alpha=0.40947, lambda=0.381599 ## - Fold10: alpha=0.40947, lambda=0.381599 ## + Fold10: alpha=0.01047, lambda=0.004588 ## - Fold10: alpha=0.01047, lambda=0.004588 ## + Fold10: alpha=0.18385, lambda=0.293152 ## - Fold10: alpha=0.18385, lambda=0.293152 ## + Fold10: alpha=0.84273, lambda=0.016224 ## - Fold10: alpha=0.84273, lambda=0.016224 ## + Fold10: alpha=0.23116, lambda=0.668596 ## - Fold10: alpha=0.23116, lambda=0.668596 ## + Fold10: alpha=0.23910, lambda=0.035556 ## - Fold10: alpha=0.23910, lambda=0.035556 ## + Fold10: alpha=0.07669, lambda=6.069734 ## - Fold10: alpha=0.07669, lambda=6.069734 ## + Fold10: alpha=0.24572, lambda=5.963581 ## - Fold10: alpha=0.24572, lambda=5.963581 ## + Fold10: alpha=0.73214, lambda=0.681664 ## - Fold10: alpha=0.73214, lambda=0.681664 ## + Fold10: alpha=0.84745, lambda=0.009915 ## - Fold10: alpha=0.84745, lambda=0.009915 ## + Fold10: alpha=0.49753, lambda=0.007205 ## - Fold10: alpha=0.49753, lambda=0.007205 ## + Fold10: alpha=0.38791, lambda=0.204418 ## - Fold10: alpha=0.38791, lambda=0.204418 ## + Fold10: alpha=0.24645, lambda=0.010880 ## - Fold10: alpha=0.24645, lambda=0.010880 ## + Fold10: alpha=0.11110, lambda=0.116946 ## - Fold10: alpha=0.11110, lambda=0.116946 ## + Fold10: alpha=0.38999, lambda=1.155720 ## - Fold10: alpha=0.38999, lambda=1.155720 ## + Fold10: alpha=0.57194, lambda=0.004440 ## - Fold10: alpha=0.57194, lambda=0.004440 ## + Fold10: alpha=0.21689, lambda=0.037348 ## - Fold10: alpha=0.21689, lambda=0.037348 ## + Fold10: alpha=0.44477, lambda=0.068417 ## - Fold10: alpha=0.44477, lambda=0.068417 ## + Fold10: alpha=0.21799, lambda=2.437477 ## - Fold10: alpha=0.21799, lambda=2.437477 ## + Fold10: alpha=0.50230, lambda=4.095965 ## - Fold10: alpha=0.50230, lambda=4.095965 ## + Fold10: alpha=0.35390, lambda=2.761990 ## - Fold10: alpha=0.35390, lambda=2.761990 ## + Fold10: alpha=0.64999, lambda=0.424674 ## - Fold10: alpha=0.64999, lambda=0.424674 ## + Fold10: alpha=0.37471, lambda=5.105919 ## - Fold10: alpha=0.37471, lambda=5.105919 ## + Fold10: alpha=0.35545, lambda=0.102506 ## - Fold10: alpha=0.35545, lambda=0.102506 ## + Fold10: alpha=0.53369, lambda=0.176134 ## - Fold10: alpha=0.53369, lambda=0.176134 ## + Fold10: alpha=0.74033, lambda=0.020225 ## - Fold10: alpha=0.74033, lambda=0.020225 ## + Fold10: alpha=0.22110, lambda=0.022331 ## - Fold10: alpha=0.22110, lambda=0.022331 ## + Fold10: alpha=0.41275, lambda=0.001170 ## - Fold10: alpha=0.41275, lambda=0.001170 ## + Fold10: alpha=0.26569, lambda=0.090657 ## - Fold10: alpha=0.26569, lambda=0.090657 ## + Fold10: alpha=0.62997, lambda=2.502837 ## - Fold10: alpha=0.62997, lambda=2.502837 ## + Fold10: alpha=0.18383, lambda=0.001034 ## - Fold10: alpha=0.18383, lambda=0.001034 ## + Fold10: alpha=0.86364, lambda=0.001869 ## - Fold10: alpha=0.86364, lambda=0.001869 ## + Fold10: alpha=0.74657, lambda=0.004289 ## - Fold10: alpha=0.74657, lambda=0.004289 ## + Fold10: alpha=0.66828, lambda=1.009991 ## - Fold10: alpha=0.66828, lambda=1.009991 ## + Fold10: alpha=0.61802, lambda=0.735805 ## - Fold10: alpha=0.61802, lambda=0.735805 ## + Fold10: alpha=0.37224, lambda=6.209096 ## - Fold10: alpha=0.37224, lambda=6.209096 ## + Fold10: alpha=0.52984, lambda=0.065341 ## - Fold10: alpha=0.52984, lambda=0.065341 ## + Fold10: alpha=0.87468, lambda=0.001909 ## - Fold10: alpha=0.87468, lambda=0.001909 ## + Fold10: alpha=0.58175, lambda=0.337892 ## - Fold10: alpha=0.58175, lambda=0.337892 ## + Fold10: alpha=0.83977, lambda=0.908596 ## - Fold10: alpha=0.83977, lambda=0.908596 ## + Fold10: alpha=0.31245, lambda=0.003359 ## - Fold10: alpha=0.31245, lambda=0.003359 ## + Fold10: alpha=0.70829, lambda=0.034809 ## - Fold10: alpha=0.70829, lambda=0.034809 ## + Fold10: alpha=0.26502, lambda=0.007416 ## - Fold10: alpha=0.26502, lambda=0.007416 ## + Fold10: alpha=0.59434, lambda=0.001646 ## - Fold10: alpha=0.59434, lambda=0.001646 ## + Fold10: alpha=0.48129, lambda=0.034593 ## - Fold10: alpha=0.48129, lambda=0.034593 ## + Fold10: alpha=0.26503, lambda=0.001753 ## - Fold10: alpha=0.26503, lambda=0.001753 ## + Fold10: alpha=0.56459, lambda=0.007476 ## - Fold10: alpha=0.56459, lambda=0.007476 ## + Fold10: alpha=0.91319, lambda=0.001598 ## - Fold10: alpha=0.91319, lambda=0.001598 ## + Fold10: alpha=0.90187, lambda=0.409992 ## - Fold10: alpha=0.90187, lambda=0.409992 ## + Fold10: alpha=0.27417, lambda=0.014285 ## - Fold10: alpha=0.27417, lambda=0.014285 ## + Fold10: alpha=0.32148, lambda=0.002420 ## - Fold10: alpha=0.32148, lambda=0.002420 ## + Fold10: alpha=0.98564, lambda=0.001867 ## - Fold10: alpha=0.98564, lambda=0.001867 ## + Fold10: alpha=0.61999, lambda=2.724001 ## - Fold10: alpha=0.61999, lambda=2.724001 ## + Fold10: alpha=0.93731, lambda=0.873704 ## - Fold10: alpha=0.93731, lambda=0.873704 ## + Fold10: alpha=0.46653, lambda=1.532489 ## - Fold10: alpha=0.46653, lambda=1.532489 ## + Fold10: alpha=0.40683, lambda=6.810803 ## - Fold10: alpha=0.40683, lambda=6.810803 ## + Fold10: alpha=0.65923, lambda=0.002484 ## - Fold10: alpha=0.65923, lambda=0.002484 ## + Fold10: alpha=0.15235, lambda=0.002384 ## - Fold10: alpha=0.15235, lambda=0.002384 ## + Fold10: alpha=0.57287, lambda=1.305689 ## - Fold10: alpha=0.57287, lambda=1.305689 ## + Fold10: alpha=0.23873, lambda=1.148283 ## - Fold10: alpha=0.23873, lambda=1.148283 ## + Fold10: alpha=0.96236, lambda=0.001063 ## - Fold10: alpha=0.96236, lambda=0.001063 ## + Fold10: alpha=0.60137, lambda=1.092669 ## - Fold10: alpha=0.60137, lambda=1.092669 ## + Fold10: alpha=0.51503, lambda=0.698377 ## - Fold10: alpha=0.51503, lambda=0.698377 ## + Fold10: alpha=0.40257, lambda=0.285530 ## - Fold10: alpha=0.40257, lambda=0.285530 ## + Fold10: alpha=0.88025, lambda=0.074420 ## - Fold10: alpha=0.88025, lambda=0.074420 ## + Fold10: alpha=0.36409, lambda=0.004006 ## - Fold10: alpha=0.36409, lambda=0.004006 ## + Fold10: alpha=0.28824, lambda=0.001052 ## - Fold10: alpha=0.28824, lambda=0.001052 ## + Fold10: alpha=0.17065, lambda=0.057590 ## - Fold10: alpha=0.17065, lambda=0.057590 ## + Fold10: alpha=0.17217, lambda=0.082459 ## - Fold10: alpha=0.17217, lambda=0.082459 ## + Fold10: alpha=0.48204, lambda=0.032682 ## - Fold10: alpha=0.48204, lambda=0.032682 ## + Fold10: alpha=0.25296, lambda=0.064286 ## - Fold10: alpha=0.25296, lambda=0.064286 ## + Fold10: alpha=0.21625, lambda=0.604003 ## - Fold10: alpha=0.21625, lambda=0.604003 ## + Fold10: alpha=0.67438, lambda=0.001607 ## - Fold10: alpha=0.67438, lambda=0.001607 ## + Fold10: alpha=0.04766, lambda=0.023884 ## - Fold10: alpha=0.04766, lambda=0.023884 ## + Fold10: alpha=0.70085, lambda=1.353373 ## - Fold10: alpha=0.70085, lambda=1.353373 ## + Fold10: alpha=0.35189, lambda=1.820349 ## - Fold10: alpha=0.35189, lambda=1.820349 ## + Fold10: alpha=0.40894, lambda=0.008320 ## - Fold10: alpha=0.40894, lambda=0.008320 ## + Fold10: alpha=0.82095, lambda=0.023713 ## - Fold10: alpha=0.82095, lambda=0.023713 ## + Fold10: alpha=0.91886, lambda=2.203063 ## - Fold10: alpha=0.91886, lambda=2.203063 ## + Fold10: alpha=0.28253, lambda=2.141949 ## - Fold10: alpha=0.28253, lambda=2.141949 ## + Fold10: alpha=0.96110, lambda=0.014049 ## - Fold10: alpha=0.96110, lambda=0.014049 ## + Fold10: alpha=0.72839, lambda=0.003674 ## - Fold10: alpha=0.72839, lambda=0.003674 ## + Fold10: alpha=0.68638, lambda=0.555515 ## - Fold10: alpha=0.68638, lambda=0.555515 ## + Fold10: alpha=0.05284, lambda=0.002488 ## - Fold10: alpha=0.05284, lambda=0.002488 ## + Fold10: alpha=0.39522, lambda=0.001323 ## - Fold10: alpha=0.39522, lambda=0.001323 ## + Fold10: alpha=0.47785, lambda=7.957189 ## - Fold10: alpha=0.47785, lambda=7.957189 ## + Fold10: alpha=0.56025, lambda=0.001337 ## - Fold10: alpha=0.56025, lambda=0.001337 ## + Fold10: alpha=0.69826, lambda=0.020604 ## - Fold10: alpha=0.69826, lambda=0.020604 ## + Fold10: alpha=0.91568, lambda=3.721357 ## - Fold10: alpha=0.91568, lambda=3.721357 ## + Fold10: alpha=0.61835, lambda=0.254204 ## - Fold10: alpha=0.61835, lambda=0.254204 ## + Fold10: alpha=0.42842, lambda=0.012884 ## - Fold10: alpha=0.42842, lambda=0.012884 ## + Fold10: alpha=0.54208, lambda=0.753336 ## - Fold10: alpha=0.54208, lambda=0.753336 ## + Fold10: alpha=0.05848, lambda=1.793411 ## - Fold10: alpha=0.05848, lambda=1.793411 ## + Fold10: alpha=0.26086, lambda=0.016579 ## - Fold10: alpha=0.26086, lambda=0.016579 ## + Fold10: alpha=0.39715, lambda=0.082662 ## - Fold10: alpha=0.39715, lambda=0.082662 ## + Fold10: alpha=0.19774, lambda=0.523354 ## - Fold10: alpha=0.19774, lambda=0.523354 ## + Fold10: alpha=0.83193, lambda=0.316222 ## - Fold10: alpha=0.83193, lambda=0.316222 ## + Fold10: alpha=0.15289, lambda=0.323312 ## - Fold10: alpha=0.15289, lambda=0.323312 ## + Fold10: alpha=0.80342, lambda=6.552722 ## - Fold10: alpha=0.80342, lambda=6.552722 ## + Fold10: alpha=0.54683, lambda=0.040994 ## - Fold10: alpha=0.54683, lambda=0.040994 ``` ``` ## Warning in nominalTrainWorkflow(x = x, y = y, wts = weights, info = trainInfo, : There were missing values in resampled performance measures. ``` ``` ## Aggregating results ## Selecting tuning parameters ## Fitting alpha = 0.0585, lambda = 1.79 on full training set ``` --- # Elastic net with caret We can figure out the best set of tuning parameters by looking at `bestTune` ```r elastic_net_model$bestTune ``` ``` ## alpha lambda ## 4 0.05847849 1.793411 ``` Here we selected something close to ridge regression --- # Elastic net with caret ```r plot(elastic_net_model) ``` <img src="10_machine_learning_files/figure-html/unnamed-chunk-17-1.png" style="display: block; margin: auto;" /> --- # Non-parametric regression: Regression Trees .hi-blue[Regression trees] sequentially split the feature space into subspaces where the function is estimated as the average outcome for units with features in that subspace -- These are called .hi-blue[trees] because the splitting is sequential, one feature at a time, so when you plot all the splits it begins to look like an upside down tree where Each split is called a .hi-blue[node], and the first split is called your .hi-blue[root node] Each terminal point of your tree is called a .hi-blue[leaf node] -- Trees effectively partition the space into a bunch of hyperrectangles in a way that reduces RSS --- # Growing a regression tree How do we grow our regression tree? 1. Let `\(g(x) = \bar{y}\)` and let the sum of squared errors be `$$Q(g) = \sum_{i=1}^N(y_i-g(x_i))^2 = \sum_{i=1}^N (y_i - \bar{y})^2$$` 2. For a feature `\(j\)` and split point `\(s\)` consider splitting the data depending on whether `\(x_{i,j} \leq s\)` or `\(x_{i,j} > s\)`, and let `\(\bar{y}_{left}\)` and `\(\bar{y}_{right}\)` be the average values in the two subspaces 3. If `\(x_j \leq t\)` let `\(g_{j,t}(x) = \bar{y}_{left}\)` else `\(g_{j,t}(x) =\bar{y}_{right}\)` 4. Find the `\(j^*,s^* = argmin_{j,s} Q(g_{j,s}(\cdot))\)` --- # Growing a regression tree This gives us the covariate `\(j^*\)` to split, and where to split it into separate subspaces `\(s^*\)` in order to minimize the sum of squared errors This first split will end up being our root node We then continue this process for each of the subspaces, splitting on the best covariates and creating new nodes and growing our tree -- This is called a .hi-blue[greedy] approach because we are selecting the best split at each step instead of looking ahead --- # What do regression trees look like? Whats the probability of kyphosis after surgery given age and the starting vertabrae? <div align="center"> <img src="figures/regression_tree.png"> </div> The left shows the tree diagram The middle shows the actual regression function The right shows a 2d projection of the regression function where darker colors are higher probabilities --- # Regularizing regression trees If we just followed the regression tree algorithm we could minimize error by splitting until there is just one observation in each feature subspace, this will have perfect in-sample prediction but terrible out-of-sample prediction -- We solve this problem similar to how we did linear regression: we penalize complexity (the number of leaves) `$$Q(g) + \lambda \cdot \#leaves$$` The penalty (if large enough) will keep the tree from having too many nodes --- # Cross-validating trees How do we choose `\(\lambda\)`? Basically the same way as we did for linear regression - Create a grid of `\(\lambda\)`s - For each `\(\lambda\)`: - Split data into `\(k\)` mutually-exclusive folds of about equal size, usually choose `\(k=5,10\)` - For `\(j=1,...,k\)` - Grow the tree using all folds but fold `\(j\)` - Predict out-of-sample on fold `\(j\)` - Compute squared prediction error across the `\(k\)` folds: `\(Q(\lambda) = \sum_{j=1}^k \sum_{i \in \text{fold j}} \left(y_i - g(j,\lambda)\right)\)` - Choose `\(\hat{\lambda}_{min} = argmin_{\lambda} Q(\lambda)\)` --- # Pruning trees Using this simple cross-validation approach may stop growing the tree too early, one split may not help immediately, but it may help us find future profitable splits - This is a drawback of a greedy algorithm This suggests that one way we can improve is by .hi-blue[pruning] the tree 1. Grow a big tree, select some rule to stop like 5 observations per leaf, or a very small `\(\lambda\)` 2. Prune branches or leaves that don't improve the prediction by a sufficient amount --- # Pruning trees: examples The simplest way to prune is called .hi-blue[reduced error pruning] It works as follows 1. Starting at the leaves, remove each node 2. Check if prediction accuracy on the validation sample is the same or better 3. If 2 is true, remove the node 4. Continue until we cannot improve the tree any further This is simple and fast There are other more complex ways to prune (e.g. cost complexity) --- # Bagging predictors Single trees typically are not great predictors -- One way to improve upon a single tree is to bootstrap aggregate (bag) a prediction -- This generally reduces variance and helps with avoiding overfitting -- Bagging is easy: 1. Bootstrap resample B datasets 2. Estimate a tree on each dataset (can use data-driven cross-validation, pruning, whatever) 3. Average all the predictions: `\(\frac{1}{B}\sum_{j=1}^B g_j(x)\)` -- This only matters because trees are non-linear, so bagging smooths out the end predictions --- # Random forests The problem with bagging is that the `\(B\)` bagged estimated are correlated Important regressors will always appear near the top of the tree in the bootstrapped samples This means all the trees will look similar Predictions won't actually be as good as you might think How can we break this correlation? --- # Random forests Randomly select only `\(L\)` out of `\(K\)` features: feature bagging -- How big should `\(L\)` be? -- Not obvious, no real theoretical guidance -- For classification problems `\(\sqrt{K}\)` is recommended For regression `\(K/3\)` is recommended --- # Boosted trees .hi-blue[Boosting] is another method to improve prediction from weak learners (better than random chance predictors) -- We can improve on a regression tree by repeatedly applying shallow trees to residualized data Let `\(g(x|X,Y)\)` be a simple regression tree -- Define the residual as `\(\varepsilon{1i} = Y_i - g_1(X_i|X,Y)\)` -- With a boosted tree we then estimate a regression tree on the new data `\((X,\varepsilon_{1})\)` --- # Boosted trees Repeat this process many times to get a set of `\(g\)`s -- These give you an additive approximation to the actual regression tree: `$$\sum_{m=1}^M g_m(x|X,\varepsilon_{m-1}) = \sum_{k=1}^K h_k(x_k) \text{ where } \varepsilon_0 = Y$$` -- By continually residualizing and re-estimating, its like we are adding functions `\(h_k\)` sequentially to our regression -- When boosting, we typically use shallow trees of only around 4-8 splits, but we grow many, many trees -- We generally fix tree depth but select number of trees in a quasi-cross-validation procedure --- # Trees examples: Preliminaries We need `ISLR` to get our dataset, `tree` to do the regression tree, `MASS` for our random forest dataset, and `randomForest` to estimate a random forest We will be working with the carseats dataset ```r if (!require("pacman")) install.packages("pacman") pacman::p_load(ISLR, tree, randomForest, gbm, tidyverse) set.seed(123) ``` --- # Supervised learning examples: Preliminaries ```r carseats <- Carseats %>% as_tibble() carseats ``` ``` ## # A tibble: 400 x 11 ## Sales CompPrice Income Advertising Population Price ShelveLoc Age Education Urban US ## <dbl> <dbl> <dbl> <dbl> <dbl> <dbl> <fct> <dbl> <dbl> <fct> <fct> ## 1 9.5 138 73 11 276 120 Bad 42 17 Yes Yes ## 2 11.2 111 48 16 260 83 Good 65 10 Yes Yes ## 3 10.1 113 35 10 269 80 Medium 59 12 Yes Yes ## 4 7.4 117 100 4 466 97 Medium 55 14 Yes Yes ## 5 4.15 141 64 3 340 128 Bad 38 13 Yes No ## 6 10.8 124 113 13 501 72 Bad 78 16 No Yes ## 7 6.63 115 105 0 45 108 Medium 71 15 Yes No ## 8 11.8 136 81 15 425 120 Good 67 10 Yes Yes ## 9 6.54 132 110 0 108 124 Medium 76 10 No No ## 10 4.69 132 113 0 131 124 Medium 76 17 No Yes ## # … with 390 more rows ``` --- # Supervised learning example: estimating a tree Lets estimate our regression tree with car sales as the outcome ```r tree_carseats <- tree(Sales ~ ., data = carseats) summary(tree_carseats) ``` ``` ## ## Regression tree: ## tree(formula = Sales ~ ., data = carseats) ## Variables actually used in tree construction: ## [1] "ShelveLoc" "Price" "Age" "Income" "Population" "Advertising" ## Number of terminal nodes: 17 ## Residual mean deviance: 2.878 = 1102 / 383 ## Distribution of residuals: ## Min. 1st Qu. Median Mean 3rd Qu. Max. ## -4.98700 -1.23000 -0.06125 0.00000 1.22500 4.75400 ``` --- # Supervised learning example: the tree ```r plot(tree_carseats) text(tree_carseats, pretty = 0) ``` <img src="10_machine_learning_files/figure-html/unnamed-chunk-22-1.png" style="display: block; margin: auto;" /> --- # Supervised learning example: the tree ```r set.seed(101) train <- sample(1:nrow(carseats), 320) tree_carseats <- tree(Sales ~ ., carseats, subset = train) plot(tree_carseats) text(tree_carseats, pretty = 0) ``` <img src="10_machine_learning_files/figure-html/unnamed-chunk-23-1.png" style="display: block; margin: auto;" /> --- # Supervised learning example: the tree's error ```r tree_pred <- predict(tree_carseats, carseats[-train,]) mse <- mean((carseats[-train,]$Sales - tree_pred)^2) mse ``` ``` ## [1] 5.040445 ``` --- # Supervised learning example: cross-validation ```r cv_carseats = cv.tree(tree_carseats) plot(cv_carseats) ``` <img src="10_machine_learning_files/figure-html/unnamed-chunk-25-1.png" style="display: block; margin: auto;" /> --- # Supervised learning example: pruning ```r set.seed(123) prune_carseats <- prune.tree(tree_carseats, best = 10) plot(prune_carseats) text(prune_carseats, pretty = 0) ``` <img src="10_machine_learning_files/figure-html/unnamed-chunk-26-1.png" style="display: block; margin: auto;" /> --- # Supervised learning example: pruning ```r tree_pred_prune = predict(prune_carseats, carseats[-train,]) mse_prune <- mean((carseats[-train,]$Sales - tree_pred_prune)^2) mse ``` ``` ## [1] 5.040445 ``` ```r mse_prune ``` ``` ## [1] 5.905862 ``` --- # Supervised learning example: random forests ```r set.seed(101) train = sample(1:nrow(carseats), 320) rf_carseats = randomForest(Sales~., data = carseats, subset = train) rf_carseats ``` ``` ## ## Call: ## randomForest(formula = Sales ~ ., data = carseats, subset = train) ## Type of random forest: regression ## Number of trees: 500 ## No. of variables tried at each split: 3 ## ## Mean of squared residuals: 2.779889 ## % Var explained: 64.79 ``` ```r mse ``` ``` ## [1] 5.040445 ``` ```r mse_prune ``` ``` ## [1] 5.905862 ``` --- # Random forests: variable importance ```r varImpPlot(rf_carseats) ``` <img src="10_machine_learning_files/figure-html/unnamed-chunk-29-1.png" style="display: block; margin: auto;" /> --- # Random forests: tuning feature bagging ```r oob_err = double(10) test_err = double(10) for (mtry in 1:10) { set.seed(101) fit = randomForest(Sales~., data = carseats, subset = train, mtry = mtry, ntree = 350) oob_err[mtry] = mean(fit$mse) pred = predict(fit, carseats[-train,]) test_err[mtry] = with(carseats[-train,], mean( (Sales - pred)^2 )) } ``` --- # Random forests: tuning feature bagging ```r matplot(1:mtry, cbind(test.err, oob.err), pch = 23, col = c("red", "blue"), type = "b", ylab = "Mean Squared Error") legend("topright", legend = c("OOB", "Test"), pch = 23, col = c("red", "blue")) ``` <img src="10_machine_learning_files/figure-html/unnamed-chunk-31-1.png" style="display: block; margin: auto;" /> --- # Boosted trees ```r boost_carseats = gbm(Sales~., data = carseats[train,], distribution = "gaussian", n.trees = 10000, shrinkage = 0.01, interaction.depth = 4) summary(boost_carseats) ``` <img src="10_machine_learning_files/figure-html/unnamed-chunk-32-1.png" style="display: block; margin: auto;" /> ``` ## var rel.inf ## Price Price 29.4259366 ## ShelveLoc ShelveLoc 23.2557766 ## CompPrice CompPrice 13.2196144 ## Age Age 10.0723335 ## Income Income 7.5246307 ## Advertising Advertising 7.2502481 ## Population Population 5.7258635 ## Education Education 2.4757019 ## US US 0.6202035 ## Urban Urban 0.4296911 ``` --- # Boosted trees, the important variables ```r plot(boost_carseats, i = "Price") ``` <img src="10_machine_learning_files/figure-html/unnamed-chunk-33-1.png" style="display: block; margin: auto;" /> ```r plot(boost_carseats, i = "CompPrice") ``` <img src="10_machine_learning_files/figure-html/unnamed-chunk-33-2.png" style="display: block; margin: auto;" /> --- # Boosted trees, prediction error ```r n_trees = seq(from = 100, to = 10000, by = 100) predmat = predict(boost_carseats, newdata = carseats[-train,], n.trees = n_trees) boost_err = with(carseats[-train,], apply( (predmat - Sales)^2, 2, mean) ) plot(n_trees, boost_err, pch = 23, ylab = "Mean Squared Error", xlab = "# Trees", main = "Boosting Test Error") abline(h = min(test_err), col = "red") ``` <img src="10_machine_learning_files/figure-html/unnamed-chunk-34-1.png" style="display: block; margin: auto;" /> --- # Econ-specific stuff Often times we may want to predict using FEs Aproblem with LASSO is that it may only select a few of them (recall they're just a vector of dummy variables) How do we force LASSO to either select all or none? .hi-blue[Group LASSO]