Last updated: 2025-12-01

Checks: 7 0

Knit directory: Improved_LD_SuSiE/

This reproducible R Markdown analysis was created with workflowr (version 1.7.1). The Checks tab describes the reproducibility checks that were applied when the results were created. The Past versions tab lists the development history.


Great! Since the R Markdown file has been committed to the Git repository, you know the exact version of the code that produced these results.

Great job! The global environment was empty. Objects defined in the global environment can affect the analysis in your R Markdown file in unknown ways. For reproduciblity it’s best to always run the code in an empty environment.

The command set.seed(20250821) was run prior to running the code in the R Markdown file. Setting a seed ensures that any results that rely on randomness, e.g. subsampling or permutations, are reproducible.

Great job! Recording the operating system, R version, and package versions is critical for reproducibility.

Nice! There were no cached chunks for this analysis, so you can be confident that you successfully produced the results during this run.

Great job! Using relative paths to the files within your workflowr project makes it easier to run your code on other machines.

Great! You are using Git for version control. Tracking code development and connecting the code version to the results is critical for reproducibility.

The results in this page were generated with repository version 2cee783. See the Past versions tab to see a history of the changes made to the R Markdown and HTML files.

Note that you need to be careful to ensure that all relevant files for the analysis have been committed to Git prior to generating the results (you can use wflow_publish or wflow_git_commit). workflowr only checks the R Markdown file, but you know if there are other scripts or data files that it depends on. Below is the status of the Git repository when the results were generated:


Ignored files:
    Ignored:    .DS_Store
    Ignored:    .RData
    Ignored:    .Rhistory

Unstaged changes:
    Modified:   analysis/index.Rmd
    Modified:   code_push.R

Note that any generated files, e.g. HTML, png, CSS, etc., are not included in this status report because it is ok for generated content to have uncommitted changes.


These are the previous versions of the repository in which changes were made to the R Markdown (analysis/genotype-matrix-rank-investigation.Rmd) and HTML (docs/genotype-matrix-rank-investigation.html) files. If you’ve configured a remote Git repository (see ?wflow_git_remote), click on the hyperlinks in the table below to view the files as they were in that past version.

File Version Author Date Message
html 691542f dodat97 2025-12-01 Build site.
Rmd 317d89b dodat97 2025-12-01 wflow_publish(c("analysis/genotype-matrix-rank-investigation.Rmd"))

library(susieR)
library(Matrix)

data(N3finemapping)
attach(N3finemapping)
X0 = N3finemapping$X
## getting covariance matrix from the whole sample
## and examine the eigendecomposition to estimate numerical rank
R = cov(X0)
eig <- eigen(R)
plot(eig$values,
     main = "Eigenvalues of covariance matrix calculated using all samples",
     ylab = "Value",
     xlab = "Eigenvalue index")

Version Author Date
691542f dodat97 2025-12-01
n0 = dim(X0)[1]
p0 = dim(X0)[2]
percent_explained = .95
eig_cumsum = cumsum(eig$values)
r_p = sum(eig_cumsum < percent_explained * eig_cumsum[p0]) ## percentage variance explained
sprintf("%d first principle components explain %.1f percent of variance", r_p, percent_explained*100)
[1] "82 first principle components explain 95.0 percent of variance"
snp_total = p0
sprintf("Total number of SNPs is %d", p0)
[1] "Total number of SNPs is 1001"
sprintf("Sample size %d", n0)
[1] "Sample size 574"

Now we proceed to split the data into half and look at the heatmap of the covariance matrices of two sub-samples.

Later we want to examine the Inverse-Wishart likelihood so I also sub-sample the SNPs here to make sure that the number of SNPs is less than the sample size.

#### randomly split the data into half
#### randomly select p consecutive SNPs where p < n so IW is proper
seed = 10
p = 50
# Start from a random point on the genome
indx_start = sample(1: (snp_total - p), 1)
X = X0[, indx_start:(indx_start + p -1)]
# View(cor(X)[1:10, 1:10])
## sub-sample into two
out_sample_size = n0 / 2
out_sample = sample(1:n0, out_sample_size)
X_out = X[out_sample, ]
X_in = X[setdiff(1:n0, out_sample), ]

rm_p = c(which(diag(cov(X_in))==0), which(diag(cov(X_out))==0))
indx_p = setdiff(1:p, rm_p)
X_in = X_in[, indx_p]
X_out = X_out[, indx_p]
## out-sample LD matrix
p = length(indx_p)
Rp = cov(X_out)
R0 = cov(X_in)
library(ggplot2)
library(reshape2)
df1 <- melt(R0)
df2 <- melt(Rp)
N_in = nrow(X_in)
N_out = nrow(X_out)
p1 <- ggplot(df1, aes(Var1, Var2, fill = value)) +
  geom_tile() +
  scale_fill_gradient2(low="blue", mid="white", high="red") +
  coord_fixed() +
  ggtitle(sprintf("In-sample Cov, %d samples", nrow(X_in)))
p2 <- ggplot(df2, aes(Var1, Var2, fill = value)) +
  geom_tile() +
  scale_fill_gradient2(low="blue", mid="white", high="red") +
  coord_fixed() +
  ggtitle(sprintf("Out-of-sample Cov, %d samples", nrow(X_out)))
library(gridExtra)
grid.arrange(p1, p2, ncol = 2)

Version Author Date
691542f dodat97 2025-12-01

They look pretty similar, let us see what is the MLE of \(\nu_0\) in the likelihood \(IW(R_0 | mean = R', df=\nu_0 + p + 1)\).

## IW and examine IW likelihood  
#### log IW(R0 | nu0 * Rp, nu0 + J + 1)
log_multigamma_vec <- function(a, p) {
  # vectorized multivariate gamma
  j <- 1:p
  # sum over j, but broadcasting a over j
  (p*(p-1)/4)*log(pi) +
    rowSums(matrix(lgamma(a), nrow=length(a), ncol=p, byrow=FALSE) +
              matrix((1 - j)/2, nrow=length(a), ncol=p, byrow=TRUE))
}

log_iw <- function(R0, Rp, nu_vec) {
  p <- nrow(R0)
  jitter = 1e-8
  R0 = R0 + jitter * diag(rep(1, p))
  Rp = Rp + jitter * diag(rep(1, p))
  # Precompute expensive shared quantities
  logdet_nu_Rp <- determinant(Rp, logarithm = TRUE)$modulus + p * log(nu_vec)
  logdetR0   <- determinant(R0,   logarithm = TRUE)$modulus
  tr_term   <- nu_vec * sum(t(Rp) * solve(R0))
  llhs = (.5 * (nu_vec + p + 1) * logdet_nu_Rp
          - .5 * (nu_vec + p + 1) * p * log(2)
          - log_multigamma_vec((nu_vec + p + 1) / 2, p)
          - .5 * (nu_vec + 2 * (p + 1)) * logdetR0
          - .5 * tr_term)
  as.numeric(llhs)
}

nu_vec = c(1:100) 
llhs = log_iw(R0, Rp, nu_vec)
plot(nu_vec, llhs, xlab = "nu value", ylab = "log-likelihood")

Version Author Date
691542f dodat97 2025-12-01

The likelihood just decreases linearly as \(\nu_0\) increases. It is because of the term \(\mathrm{trace}((R_0)^{-1} R')\) that dominates the log det term, and \(\nu_0\) is multiplied into this trace term in the log-likelihood. This numerical behavior is similar to when calculating \(v^\top R^{-1} v\) in the presentation in the group meeting we saw earlier (curse of dimensionality).

jitter = 1e-8
R0_ = R0 + jitter * diag(rep(1, p))
Rp_ = Rp + jitter * diag(rep(1, p))
trace_term = sum(t(Rp_) * solve(R0_))
logdet_nu_Rp <- determinant(Rp_, logarithm = TRUE)$modulus
logdetR0   <- determinant(R0_,   logarithm = TRUE)$modulus

print(trace_term)
[1] 299475.8
print(logdetR0)
[1] -227.7098
attr(,"logarithm")
[1] TRUE
print(logdet_nu_Rp)
[1] -217.3115
attr(,"logarithm")
[1] TRUE
## now let's try to turn it into the FA-like form and learn nu again

eig <- eigen(Rp)
eig_cumsum = cumsum(eig$values)
percent_explained = .99
eig_cumsum = cumsum(eig$values)
r_p = sum(eig_cumsum < percent_explained * eig_cumsum[p]) 
sprintf("%d first principle components explain %.1f percent of variance", r_p, percent_explained*100)
[1] "26 first principle components explain 99.0 percent of variance"
Vp = eig$vectors[, c(1:r_p)]
Dp = diag(eig$values[c(1:r_p)])
print(sum((Rp - Vp %*% Dp %*% t(Vp))**2))
[1] 0.001417822
Rp_FA = Vp %*% Dp %*% t(Vp) + diag(rep(1, p)) * sum(eig$values[c(r_p + 1, p)])

eig <- eigen(R0)
V0 = eig$vectors[, c(1:r_p)]
D0 = diag(eig$values[c(1:r_p)])
print(sum((R0 - V0 %*% D0 %*% t(V0))**2))
[1] 0.001456942
R0_FA = V0 %*% D0 %*% t(V0) + diag(rep(1, p)) * sum(eig$values[c(r_p + 1, p)])

df3 <- melt(R0_FA)
df4 <- melt(Rp_FA)
p3 <- ggplot(df3, aes(Var1, Var2, fill = value)) +
  geom_tile() +
  scale_fill_gradient2(low="blue", mid="white", high="red") +
  coord_fixed() +
  ggtitle(paste0("In-sample FA"))
p4 <- ggplot(df4, aes(Var1, Var2, fill = value)) +
  geom_tile() +
  scale_fill_gradient2(low="blue", mid="white", high="red") +
  coord_fixed() +
  ggtitle(paste0("Out-of-sample FA"))

grid.arrange(p1, p2, p3, p4, ncol = 2, nrow = 2)

Version Author Date
691542f dodat97 2025-12-01
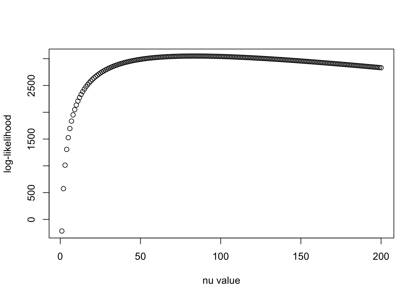
nu_vec = c(1:200) 
llhs = log_iw(R0_FA, Rp_FA, nu_vec)
plot(nu_vec, llhs, xlab = "nu value", ylab = "log-likelihood")

Version Author Date
691542f dodat97 2025-12-01
print(nu_vec[which.max(llhs)])
[1] 84

Seems like we get more reasonable estimate of \(\nu_0\) with 99% variance-explained Factor Analysis version of the covariance matrix.


sessionInfo()
R version 4.5.1 (2025-06-13)
Platform: aarch64-apple-darwin20
Running under: macOS Sequoia 15.6.1

Matrix products: default
BLAS:   /Library/Frameworks/R.framework/Versions/4.5-arm64/Resources/lib/libRblas.0.dylib 
LAPACK: /Library/Frameworks/R.framework/Versions/4.5-arm64/Resources/lib/libRlapack.dylib;  LAPACK version 3.12.1

locale:
[1] en_US.UTF-8/en_US.UTF-8/en_US.UTF-8/C/en_US.UTF-8/en_US.UTF-8

time zone: America/Chicago
tzcode source: internal

attached base packages:
[1] stats     graphics  grDevices utils     datasets  methods   base     

other attached packages:
[1] gridExtra_2.3   reshape2_1.4.4  ggplot2_3.5.2   Matrix_1.7-3   
[5] susieR_0.14.2   workflowr_1.7.1

loaded via a namespace (and not attached):
 [1] sass_0.4.10        generics_0.1.4     stringi_1.8.7      lattice_0.22-7    
 [5] digest_0.6.37      magrittr_2.0.3     evaluate_1.0.4     grid_4.5.1        
 [9] RColorBrewer_1.1-3 fastmap_1.2.0      plyr_1.8.9         rprojroot_2.1.0   
[13] jsonlite_2.0.0     processx_3.8.6     whisker_0.4.1      reshape_0.8.10    
[17] ps_1.9.1           mixsqp_0.3-54      promises_1.3.3     httr_1.4.7        
[21] scales_1.4.0       jquerylib_0.1.4    cli_3.6.5          rlang_1.1.6       
[25] crayon_1.5.3       withr_3.0.2        cachem_1.1.0       yaml_2.3.10       
[29] tools_4.5.1        dplyr_1.1.4        httpuv_1.6.16      vctrs_0.6.5       
[33] R6_2.6.1           matrixStats_1.5.0  lifecycle_1.0.4    git2r_0.36.2      
[37] stringr_1.5.1      fs_1.6.6           irlba_2.3.5.1      pkgconfig_2.0.3   
[41] callr_3.7.6        pillar_1.11.0      bslib_0.9.0        later_1.4.2       
[45] gtable_0.3.6       glue_1.8.0         Rcpp_1.1.0         xfun_0.52         
[49] tibble_3.3.0       tidyselect_1.2.1   rstudioapi_0.17.1  knitr_1.50        
[53] farver_2.1.2       htmltools_0.5.8.1  labeling_0.4.3     rmarkdown_2.29    
[57] compiler_4.5.1     getPass_0.2-4