Last updated: 2025-08-29

Checks: 7 0

Knit directory: Improved_LD_SuSiE/

This reproducible R Markdown analysis was created with workflowr (version 1.7.1). The Checks tab describes the reproducibility checks that were applied when the results were created. The Past versions tab lists the development history.


Great! Since the R Markdown file has been committed to the Git repository, you know the exact version of the code that produced these results.

Great job! The global environment was empty. Objects defined in the global environment can affect the analysis in your R Markdown file in unknown ways. For reproduciblity it’s best to always run the code in an empty environment.

The command set.seed(20250821) was run prior to running the code in the R Markdown file. Setting a seed ensures that any results that rely on randomness, e.g. subsampling or permutations, are reproducible.

Great job! Recording the operating system, R version, and package versions is critical for reproducibility.

Nice! There were no cached chunks for this analysis, so you can be confident that you successfully produced the results during this run.

Great job! Using relative paths to the files within your workflowr project makes it easier to run your code on other machines.

Great! You are using Git for version control. Tracking code development and connecting the code version to the results is critical for reproducibility.

The results in this page were generated with repository version 3cf2f6b. See the Past versions tab to see a history of the changes made to the R Markdown and HTML files.

Note that you need to be careful to ensure that all relevant files for the analysis have been committed to Git prior to generating the results (you can use wflow_publish or wflow_git_commit). workflowr only checks the R Markdown file, but you know if there are other scripts or data files that it depends on. Below is the status of the Git repository when the results were generated:


Ignored files:
    Ignored:    .DS_Store
    Ignored:    .Rhistory

Untracked files:
    Untracked:  code_push.R

Unstaged changes:
    Modified:   analysis/index.Rmd

Note that any generated files, e.g. HTML, png, CSS, etc., are not included in this status report because it is ok for generated content to have uncommitted changes.


These are the previous versions of the repository in which changes were made to the R Markdown (analysis/Compare_LD_Mat.Rmd) and HTML (docs/Compare_LD_Mat.html) files. If you’ve configured a remote Git repository (see ?wflow_git_remote), click on the hyperlinks in the table below to view the files as they were in that past version.

File Version Author Date Message
Rmd 3cf2f6b dodat97 2025-08-29 wflow_publish(c("analysis/Compare_LD_Mat.Rmd"))

library(susieR)
gtex <- readRDS("data/Thyroid_ENSG00000132855.rds")

num_reps = 200

num_covs = 8
coverages = matrix(0, nrow = num_reps, ncol = num_covs)
powers = matrix(0, nrow = num_reps, ncol = num_covs)
no_CSs = matrix(0, nrow = num_reps, ncol = num_covs)
no_SNPs_CS = matrix(0, nrow = num_reps, ncol = num_covs)
compare_R = rep(0, num_reps)

maf = apply(gtex, 2, function(x) sum(x)/2/length(x))
X0 = gtex[, maf > 0.01]
dim(X0)
[1]  574 7154
X = na.omit(X0)
dim(X)
[1]  574 7154
snp_total = ncol(X0)
# L = 4 # true
L = 10 # overfitting
PVEs = rep(0, num_reps)

proj_B <- function(R, v){
  R_hat_minus = R - tcrossprod(v)
  eigen_R = eigen(R_hat_minus)
  
  V <- eigen_R$vectors
  D_plus <- diag(pmax(eigen_R$values, 0))
  
  R_hat_plus <- V %*% D_plus %*% t(V) + tcrossprod(v)
  return(R_hat_plus)
}

symmetrize <- function(R){
  (R + t(R)) / 2
}

for (seed in 1:num_reps){
  set.seed(seed)
  n = nrow(X0)
  ## good example: seed 3, 4, 8, 10, 11, 12
  ## bad example: seed 5
  # Remove SNPs with MAF < 0.01
  p = 200
  min_cor = 0.5
  # Start from a random point on the genome
  indx_start = sample(1: (snp_total - p), 1)
  X = X0[, indx_start:(indx_start + p -1)]
  # View(cor(X)[1:10, 1:10])
  
  ## sub-sample into two
  out_sample = sample(1:n, 100)
  X_out = X[out_sample, ]
  X_in = X[setdiff(1:n, out_sample), ]
  sum(is.na(X_out))
  
  rm_p = c(which(diag(cov(X_in))==0), which(diag(cov(X_out))==0))
  length(rm_p)
  indx_p = setdiff(1:p, rm_p)
  X_in = X_in[, indx_p]
  X_out = X_out[, indx_p]
  
  ## Standardize both sample matrices
  X_in <- scale(X_in)
  X_out <- scale(X_out)
  
  ## out-sample LD matrix
  R_hat = cor(X_out)
  R0 = cor(X_in)
  
  ## generate data from in-sample X matrix
  p = ncol(X_in)
  beta <- rep(0,p)
  n = nrow(X_in)
  truth = c(1, 50, 100, 150)
  true_effect_val = c(2, 1, -2, 3)
  beta[truth] <- true_effect_val
  # plot(beta, pch=16, ylab='effect size')
  sigma_true = 2
  y <- X_in %*% beta + sigma_true * rnorm(n)
  PVE_unnorm = var(X_in[, c(1, 50, 100, 150)] %*% true_effect_val) 
  PVE = PVE_unnorm / (PVE_unnorm + sigma_true^2)
  PVEs[seed] = PVE
  y = scale(y)
  
  ## compute summary statistics 
  sumstats <- univariate_regression(X_in, y)
  z_scores <- sumstats$betahat / sumstats$sebetahat
  # susie_plot(z_scores, y = "z", b=beta)
  # L = 10 # overfitted
  
  
  ## fit the susie-rss model with in-sample R
  fitted_rss1 <- susie_rss(bhat = sumstats$betahat, shat = sumstats$sebetahat, n = n, 
                           R = R0, var_y = var(y), L = L,
                           estimate_residual_variance = F,
                           min_abs_corr=min_cor)
  
  summary(fitted_rss1)$cs
  # p1 = susie_plot(fitted_rss1, y="PIP", b=beta)
  
  ## fit the model with out-sample R
  fitted_rss2 <- susie_rss(bhat = sumstats$betahat, shat = sumstats$sebetahat, n = n, 
                           R = R_hat, var_y = var(y), L = L,
                           estimate_residual_variance = F,
                           min_abs_corr=min_cor)
  # will have problem non-positive cov if estimate_residual_variance = TRUE
  summary(fitted_rss2)$cs
  # p2 = susie_plot(fitted_rss2, y="PIP", b=beta) ## miss the true or does not run
  
  
  ## adjusted by identity matrix
  lambda = 0.1
  R_hat_lambd = (1-lambda) * R_hat + lambda * diag(p)
  fitted_rss3 <- susie_rss(bhat = sumstats$betahat, shat = sumstats$sebetahat, n = n, 
                           R = R_hat_lambd, var_y = var(y), L = L,
                           estimate_residual_variance = F,
                           min_abs_corr=min_cor)
  # will have problem non-positive cov if estimate_residual_variance = TRUE
  # summary(fitted_rss3)$cs
  # susie_plot(fitted_rss3, y="PIP", b=beta) 
  
  ## using truncated SVD
  
  XtY = t(X_in) %*% y
  v = XtY / (n-1)
  R_hat_plus = proj_B(R_hat, v)
  
  
  fitted_rss4 <- susie_rss(bhat = sumstats$betahat, shat = sumstats$sebetahat, n = n, 
                           R = R_hat_plus, var_y = var(y), L = L,
                           estimate_residual_variance = F,
                           min_abs_corr=min_cor)
  # summary(fitted_rss4)$cs
  # susie_plot(fitted_rss4, y="PIP", b=beta)
  
  ## Dykstra projection algorithm
  P = matrix(0, nrow = p, ncol = p)
  Q = matrix(0, nrow = p, ncol = p)
  R = R_hat
  for (iter_proj in 1:20){
    R_ = R + P 
    diag(R_) = 1 ## project C (diagonal constraint)
    P = R + P - R_
    R = proj_B(R_ + Q, v) ## project B (semidefinite constraint)
    Q = R_ + Q - R
    # print(sum((R - R0)^2))
  }
  R_hat_dykstra = R
  
  fitted_rss5 <- susie_rss(bhat = sumstats$betahat, shat = sumstats$sebetahat, n = n, 
                           R = R_hat_dykstra, var_y = var(y), L = L,
                           estimate_residual_variance = F,
                           min_abs_corr=min_cor)
  
  ## multiple trait true covariance matrix of Y
  M = 10  ## ntraits
  betas = matrix(rnorm((M-1) * 4, mean = 0, sd=2), nrow=4, ncol=M-1)
  Y = X_in[, truth] %*% betas + sigma_true * matrix(rnorm(n*(M-1)), nrow=n, ncol=M-1)
  Y = cbind(y, Y)
  Y = scale(Y)
  C_Y = (t(Y) %*% Y) / (n-1)
  V_XY = (t(X_in) %*% Y) / (n-1)
  
  R_hat_minus = R_hat - V_XY %*% solve(C_Y, t(V_XY))
  eigen_R = eigen(R_hat_minus)
  
  V <- eigen_R$vectors
  D_plus <- diag(pmax(eigen_R$values, 0))
  
  R_hat_plus_multi <- V %*% D_plus %*% solve(V) + V_XY %*% solve(C_Y, t(V_XY))
  R_hat_plus_multi = symmetrize(R_hat_plus_multi)
  
  err_1trait = sum((R_hat_plus - R0)^2)
  err_Mtrait = sum((R_hat_plus_multi - R0)^2)
  print(err_1trait)
  print(err_Mtrait)
  print((err_Mtrait < err_1trait))
  fitted_rss6 <- susie_rss(bhat = sumstats$betahat, shat = sumstats$sebetahat, n = n,
                           R = R_hat_plus_multi, var_y = var(y), L = L,
                           estimate_residual_variance = F,
                           min_abs_corr=min_cor)
  
  ## multiple trait true covariance matrix of Y
  M = 100  ## ntraits
  betas = matrix(rnorm((M-1) * 4, mean = 0, sd=2), nrow=4, ncol=M-1)
  Y = X_in[, truth] %*% betas + sigma_true * matrix(rnorm(n*(M-1)), nrow=n, ncol=M-1)
  Y = cbind(y, Y)
  Y = scale(Y)
  C_Y = (t(Y) %*% Y) / (n-1)
  V_XY = (t(X_in) %*% Y) / (n-1)
  
  R_hat_minus = R_hat - V_XY %*% solve(C_Y, t(V_XY))
  eigen_R = eigen(R_hat_minus)
  
  V <- eigen_R$vectors
  D_plus <- diag(pmax(eigen_R$values, 0))
  
  R_hat_plus_multi <- V %*% D_plus %*% t(V) + V_XY %*% solve(C_Y, t(V_XY))
  R_hat_plus_multi = symmetrize(R_hat_plus_multi)
  
  err_1trait = sum((R_hat_plus - R0)^2)
  err_Mtrait = sum((R_hat_plus_multi - R0)^2)
  print(err_1trait)
  print(err_Mtrait)
  print((err_Mtrait < err_1trait))
  fitted_rss7 <- susie_rss(bhat = sumstats$betahat, shat = sumstats$sebetahat, n = n,
                           R = R_hat_plus_multi, var_y = var(y), L = L,
                           estimate_residual_variance = F,
                           min_abs_corr=min_cor)
  
  M = 200  ## ntraits
  betas = matrix(rnorm((M-1) * 4, mean = 0, sd=2), nrow=4, ncol=M-1)
  Y = X_in[, truth] %*% betas + sigma_true * matrix(rnorm(n*(M-1)), nrow=n, ncol=M-1)
  Y = cbind(y, Y)
  Y = scale(Y)
  C_Y = (t(Y) %*% Y) / (n-1)
  V_XY = (t(X_in) %*% Y) / (n-1)
  
  R_hat_minus = R_hat - V_XY %*% solve(C_Y, t(V_XY))
  eigen_R = eigen(R_hat_minus)
  
  V <- eigen_R$vectors
  D_plus <- diag(pmax(eigen_R$values, 0))
  
  R_hat_plus_multi <- V %*% D_plus %*% t(V) + V_XY %*% solve(C_Y, t(V_XY))
  R_hat_plus_multi = symmetrize(R_hat_plus_multi)
  
  fitted_rss8 <- susie_rss(bhat = sumstats$betahat, shat = sumstats$sebetahat, n = n,
                           R = R_hat_plus_multi, var_y = var(y), L = L,
                           estimate_residual_variance = F,
                           min_abs_corr=min_cor)
  
  ## multiple trait Dykstra
  # y2 <- X_in %*% beta + sigma_true * rnorm(n)
  # y3 <- X_in %*% beta + sigma_true * rnorm(n)
  # y2 = scale(y2)
  # y3 = scale(y3)
  # 
  # XtY2 = t(X_in) %*% y2
  # v2 = XtY2 / (n-1)
  # XtY3 = t(X_in) %*% y3
  # v3 = XtY3 / (n-1)
  # 
  # Q_ = matrix(0, nrow = p, ncol = p)
  # Q1 = matrix(0, nrow = p, ncol = p)
  # Q2 = matrix(0, nrow = p, ncol = p)
  # Q3 = matrix(0, nrow = p, ncol = p)
  # R3 = R_hat
  # for (iter_proj in 1:20){
  #   R_ = R3 + Q3
  #   diag(R_) = 1 ## project C (diagonal constraint)
  #   Q3 = R3 + Q3 - R_
  #   
  #   R1 = proj_B(symmetrize(R_ + Q_), v) ## project B1 (semidefinite constraint)
  #   Q_ = R_ + Q_ - R1
  #   
  #   R2 = proj_B(symmetrize(R1 + Q1), v2) ## project B2 (semidefinite constraint)
  #   Q1 = R1 + Q1 - R2
  #   
  #   R3 = proj_B(symmetrize(R2 + Q2), v3) ## project B3 (semidefinite constraint)
  #   Q2 = R2 + Q2 - R3
  #   
  #   print(sum((R3 - R0)^2))
  # }
  # R_hat_dykstra_multi = symmetrize(R3)
  # 
  # fitted_rss7 <- susie_rss(bhat = sumstats$betahat, shat = sumstats$sebetahat, n = n, 
  #                          R = R_hat_dykstra_multi, var_y = var(y), L = L,
  #                          estimate_residual_variance = F,
  #                          min_abs_corr=min_cor)
  
  fitted_rss = list(fitted_rss1, 
                    fitted_rss2, 
                    fitted_rss3, 
                    fitted_rss4, 
                    fitted_rss5, 
                    fitted_rss6,
                    fitted_rss7, 
                    fitted_rss8)
  
  for (v in 1:num_covs){
    L_infer = nrow(summary(fitted_rss[[v]])$cs)
    if (is.null(summary(fitted_rss[[v]])$cs)) {
      coverages[seed, v] = 0
      powers[seed, v] = 0
      no_CSs[seed, v] = 0
      no_SNPs_CS[seed, v] = 0
    } else{
      no_contains = 0
      all_selected_SNPs = c()
      for (ell in 1:L_infer){
        this_CS = unlist(strsplit((summary(fitted_rss[[v]])$cs$variable[ell]), ",\\s*"))
        all_selected_SNPs = c(all_selected_SNPs, this_CS)
        no_contains = no_contains + (length(intersect(this_CS, truth)) > 0)
        ## coverage = proportion of CS that contains a true casual SNP
        coverages[seed, v] = no_contains / L_infer
        ## power = proportion of casual SNP that is contained in a CS
        selected = length(intersect(all_selected_SNPs, truth)) 
        powers[seed, v] = selected / 4
        
        ## number of CSs
        no_CSs[seed, v] = L_infer
        
        ## number of SNPs per CSs
        no_SNPs_CS[seed, v] = length(all_selected_SNPs) / L_infer
    }
    }
    
  }
}
[1] 422.6502
[1] 381.6376
[1] TRUE
[1] 422.6502
[1] 341.1284
[1] TRUE
[1] 356.8823
[1] 291.9237
[1] TRUE
[1] 356.8823
[1] 254.1751
[1] TRUE
[1] 249.7343
[1] 240.2404
[1] TRUE
[1] 249.7343
[1] 231.1387
[1] TRUE
[1] 357.831
[1] 338.7294
[1] TRUE
[1] 357.831
[1] 319.8527
[1] TRUE
[1] 282.4174
[1] 260.0658
[1] TRUE
[1] 282.4174
[1] 241.0683
[1] TRUE
[1] 371.9472
[1] 324.0056
[1] TRUE
[1] 371.9472
[1] 303.4876
[1] TRUE
[1] 385.2506
[1] 352.6382
[1] TRUE
[1] 385.2506
[1] 319.908
[1] TRUE
[1] 339.0323
[1] 302.6947
[1] TRUE
[1] 339.0323
[1] 251.6014
[1] TRUE
[1] 388.9171
[1] 374.8204
[1] TRUE
[1] 388.9171
[1] 357.7304
[1] TRUE
[1] 308.2762
[1] 296.3449
[1] TRUE
[1] 308.2762
[1] 284.5312
[1] TRUE
[1] 305.1699
[1] 261.199
[1] TRUE
[1] 305.1699
[1] 233.789
[1] TRUE
[1] 442.8338
[1] 406.5592
[1] TRUE
[1] 442.8338
[1] 386.4054
[1] TRUE
[1] 490.1448
[1] 423.7746
[1] TRUE
[1] 490.1448
[1] 396.8402
[1] TRUE
[1] 308.4906
[1] 304.3834
[1] TRUE
[1] 308.4906
[1] 290.9952
[1] TRUE
[1] 260.293
[1] 227.7581
[1] TRUE
[1] 260.293
[1] 203.5376
[1] TRUE
[1] 258.9817
[1] 239.7557
[1] TRUE
[1] 258.9817
[1] 217.324
[1] TRUE
[1] 261.27
[1] 245.9253
[1] TRUE
[1] 261.27
[1] 208.5736
[1] TRUE
[1] 476.4908
[1] 456.3106
[1] TRUE
[1] 476.4908
[1] 437.6717
[1] TRUE
[1] 370.5441
[1] 353.4715
[1] TRUE
[1] 370.5441
[1] 324.7954
[1] TRUE
[1] 387.8306
[1] 370.5259
[1] TRUE
[1] 387.8306
[1] 344.2133
[1] TRUE
[1] 221.5606
[1] 202.4716
[1] TRUE
[1] 221.5606
[1] 167.5095
[1] TRUE
[1] 350.513
[1] 286.2123
[1] TRUE
[1] 350.513
[1] 253.5553
[1] TRUE
[1] 363.1827
[1] 306.1433
[1] TRUE
[1] 363.1827
[1] 283.082
[1] TRUE
[1] 272.6315
[1] 260.0276
[1] TRUE
[1] 272.6315
[1] 246.9226
[1] TRUE
[1] 233.5831
[1] 217.0929
[1] TRUE
[1] 233.5831
[1] 182.9429
[1] TRUE
[1] 656.309
[1] 617.7446
[1] TRUE
[1] 656.309
[1] 568.6667
[1] TRUE
[1] 361.3278
[1] 351.9936
[1] TRUE
[1] 361.3278
[1] 337.1388
[1] TRUE
[1] 299.4013
[1] 270.1916
[1] TRUE
[1] 299.4013
[1] 253.0509
[1] TRUE
[1] 277.8102
[1] 251.3708
[1] TRUE
[1] 277.8102
[1] 217.0582
[1] TRUE
[1] 236.1165
[1] 225.9965
[1] TRUE
[1] 236.1165
[1] 213.5658
[1] TRUE
[1] 455.1162
[1] 404.5815
[1] TRUE
[1] 455.1162
[1] 314.177
[1] TRUE
[1] 236.0926
[1] 199.2493
[1] TRUE
[1] 236.0926
[1] 178.8846
[1] TRUE
[1] 452.6451
[1] 423.0813
[1] TRUE
[1] 452.6451
[1] 399.9299
[1] TRUE
[1] 507.9885
[1] 473.7591
[1] TRUE
[1] 507.9885
[1] 423.7366
[1] TRUE
[1] 272.6706
[1] 262.6438
[1] TRUE
[1] 272.6706
[1] 240.7268
[1] TRUE
[1] 455.3187
[1] 427.3231
[1] TRUE
[1] 455.3187
[1] 402.3359
[1] TRUE
[1] 401.391
[1] 352.5166
[1] TRUE
[1] 401.391
[1] 324.9734
[1] TRUE
[1] 332.0074
[1] 313.4026
[1] TRUE
[1] 332.0074
[1] 279.6271
[1] TRUE
[1] 511.4976
[1] 468.2019
[1] TRUE
[1] 511.4976
[1] 445.3597
[1] TRUE
[1] 484.1817
[1] 456.4863
[1] TRUE
[1] 484.1817
[1] 438.6088
[1] TRUE
[1] 270.1073
[1] 253.9184
[1] TRUE
[1] 270.1073
[1] 240.4182
[1] TRUE
[1] 274.4567
[1] 257.1556
[1] TRUE
[1] 274.4567
[1] 227.4846
[1] TRUE
[1] 240.0795
[1] 216.5072
[1] TRUE
[1] 240.0795
[1] 197.1794
[1] TRUE
[1] 318.2581
[1] 298.1766
[1] TRUE
[1] 318.2581
[1] 286.3658
[1] TRUE
[1] 415.3916
[1] 376.2561
[1] TRUE
[1] 415.3916
[1] 353.2344
[1] TRUE
[1] 430.6551
[1] 401.4212
[1] TRUE
[1] 430.6551
[1] 384.1483
[1] TRUE
[1] 250.6282
[1] 172.515
[1] TRUE
[1] 250.6282
[1] 151.9092
[1] TRUE
[1] 276.5405
[1] 275.5156
[1] TRUE
[1] 276.5405
[1] 243.1888
[1] TRUE
[1] 365.2555
[1] 355.1984
[1] TRUE
[1] 365.2555
[1] 329.1423
[1] TRUE
[1] 212.2994
[1] 199.4881
[1] TRUE
[1] 212.2994
[1] 183.3799
[1] TRUE
[1] 397.2397
[1] 348.7508
[1] TRUE
[1] 397.2397
[1] 298.5011
[1] TRUE
[1] 411.0458
[1] 377.4612
[1] TRUE
[1] 411.0458
[1] 352.6968
[1] TRUE
[1] 194.1763
[1] 172.9691
[1] TRUE
[1] 194.1763
[1] 147.9458
[1] TRUE
[1] 398.6754
[1] 384.473
[1] TRUE
[1] 398.6754
[1] 371.4216
[1] TRUE
[1] 499.041
[1] 465.8583
[1] TRUE
[1] 499.041
[1] 443.8961
[1] TRUE
[1] 280.7637
[1] 267.4738
[1] TRUE
[1] 280.7637
[1] 258.5628
[1] TRUE
[1] 424.8702
[1] 395.8407
[1] TRUE
[1] 424.8702
[1] 383.82
[1] TRUE
[1] 529.0751
[1] 432.6903
[1] TRUE
[1] 529.0751
[1] 372.7197
[1] TRUE
[1] 249.9019
[1] 230.8397
[1] TRUE
[1] 249.9019
[1] 212.8107
[1] TRUE
[1] 474.2418
[1] 415.6543
[1] TRUE
[1] 474.2418
[1] 362.6853
[1] TRUE
[1] 218.2956
[1] 193.6222
[1] TRUE
[1] 218.2956
[1] 178.0515
[1] TRUE
[1] 285.4649
[1] 238.7469
[1] TRUE
[1] 285.4649
[1] 201.6376
[1] TRUE
[1] 299.1813
[1] 291.2444
[1] TRUE
[1] 299.1813
[1] 283.6335
[1] TRUE
[1] 331.5855
[1] 307.0363
[1] TRUE
[1] 331.5855
[1] 293.4906
[1] TRUE
[1] 247.1391
[1] 238.2145
[1] TRUE
[1] 247.1391
[1] 222.6203
[1] TRUE
[1] 334.4516
[1] 321.5125
[1] TRUE
[1] 334.4516
[1] 266.6752
[1] TRUE
[1] 386.7839
[1] 354.3492
[1] TRUE
[1] 386.7839
[1] 330.3322
[1] TRUE
[1] 599.9153
[1] 551.2687
[1] TRUE
[1] 599.9153
[1] 519.8884
[1] TRUE
[1] 220.6698
[1] 201.5125
[1] TRUE
[1] 220.6698
[1] 180.0665
[1] TRUE
[1] 268.3148
[1] 250.8049
[1] TRUE
[1] 268.3148
[1] 234.7525
[1] TRUE
[1] 365.2633
[1] 334.1716
[1] TRUE
[1] 365.2633
[1] 310.5926
[1] TRUE
[1] 259.9844
[1] 240.1318
[1] TRUE
[1] 259.9844
[1] 224.4136
[1] TRUE
[1] 240.3788
[1] 225.6712
[1] TRUE
[1] 240.3788
[1] 206.5517
[1] TRUE
[1] 370.0155
[1] 303.3181
[1] TRUE
[1] 370.0155
[1] 285.186
[1] TRUE
[1] 289.682
[1] 252.9439
[1] TRUE
[1] 289.682
[1] 238.4109
[1] TRUE
[1] 182.7091
[1] 150.231
[1] TRUE
[1] 182.7091
[1] 117.8461
[1] TRUE
[1] 278.5485
[1] 260.3338
[1] TRUE
[1] 278.5485
[1] 245.7282
[1] TRUE
[1] 406.4459
[1] 386.6918
[1] TRUE
[1] 406.4459
[1] 345.2225
[1] TRUE
[1] 429.3005
[1] 406.3402
[1] TRUE
[1] 429.3005
[1] 384.7146
[1] TRUE
[1] 229.0077
[1] 185.1661
[1] TRUE
[1] 229.0077
[1] 175.5318
[1] TRUE
[1] 316.1648
[1] 302.4458
[1] TRUE
[1] 316.1648
[1] 270.7396
[1] TRUE
[1] 263.9825
[1] 252.4279
[1] TRUE
[1] 263.9825
[1] 240.5727
[1] TRUE
[1] 291.3045
[1] 264.9525
[1] TRUE
[1] 291.3045
[1] 245.8792
[1] TRUE
[1] 377.514
[1] 359.7875
[1] TRUE
[1] 377.514
[1] 321.3323
[1] TRUE
[1] 391.4703
[1] 359.7498
[1] TRUE
[1] 391.4703
[1] 341.7123
[1] TRUE
[1] 370.3972
[1] 352.5566
[1] TRUE
[1] 370.3972
[1] 328.0841
[1] TRUE
[1] 440.947
[1] 431.9511
[1] TRUE
[1] 440.947
[1] 421.3775
[1] TRUE
[1] 283.1169
[1] 235.4258
[1] TRUE
[1] 283.1169
[1] 217.6678
[1] TRUE
[1] 436.2004
[1] 411.1754
[1] TRUE
[1] 436.2004
[1] 393.1185
[1] TRUE
[1] 251.0078
[1] 236.3997
[1] TRUE
[1] 251.0078
[1] 212.5642
[1] TRUE
[1] 326.5844
[1] 294.3381
[1] TRUE
[1] 326.5844
[1] 238.5931
[1] TRUE
[1] 351.7101
[1] 339.3546
[1] TRUE
[1] 351.7101
[1] 323.8533
[1] TRUE
[1] 431.4354
[1] 414.5441
[1] TRUE
[1] 431.4354
[1] 392.9817
[1] TRUE
[1] 416.852
[1] 394.8486
[1] TRUE
[1] 416.852
[1] 322.1487
[1] TRUE
[1] 393.361
[1] 261.8755
[1] TRUE
[1] 393.361
[1] 245.7234
[1] TRUE
[1] 507.6171
[1] 504.0127
[1] TRUE
[1] 507.6171
[1] 494.4907
[1] TRUE
[1] 458.5678
[1] 410.1441
[1] TRUE
[1] 458.5678
[1] 381.6306
[1] TRUE
[1] 282.4495
[1] 268.2168
[1] TRUE
[1] 282.4495
[1] 245.1806
[1] TRUE
[1] 292.1876
[1] 265.8877
[1] TRUE
[1] 292.1876
[1] 244.3727
[1] TRUE
[1] 286.0628
[1] 225.6024
[1] TRUE
[1] 286.0628
[1] 200.2085
[1] TRUE
[1] 426.7393
[1] 327.772
[1] TRUE
[1] 426.7393
[1] 305.8303
[1] TRUE
[1] 405.0594
[1] 371.0151
[1] TRUE
[1] 405.0594
[1] 318.8849
[1] TRUE
[1] 292.385
[1] 250.7544
[1] TRUE
[1] 292.385
[1] 216.117
[1] TRUE
[1] 348.7843
[1] 249.1387
[1] TRUE
[1] 348.7843
[1] 210.7945
[1] TRUE
[1] 363.9116
[1] 328.579
[1] TRUE
[1] 363.9116
[1] 294.1579
[1] TRUE
[1] 383.5406
[1] 344.5954
[1] TRUE
[1] 383.5406
[1] 315.0828
[1] TRUE
[1] 424.8249
[1] 385.277
[1] TRUE
[1] 424.8249
[1] 344.1201
[1] TRUE
[1] 318.0093
[1] 266.825
[1] TRUE
[1] 318.0093
[1] 243.0254
[1] TRUE
[1] 339.8771
[1] 328.3382
[1] TRUE
[1] 339.8771
[1] 310.0607
[1] TRUE
[1] 273.9187
[1] 246.716
[1] TRUE
[1] 273.9187
[1] 220.9681
[1] TRUE
[1] 234.3422
[1] 226.0172
[1] TRUE
[1] 234.3422
[1] 212.0908
[1] TRUE
[1] 436.1428
[1] 397.7862
[1] TRUE
[1] 436.1428
[1] 373.08
[1] TRUE
[1] 272.3974
[1] 223.7265
[1] TRUE
[1] 272.3974
[1] 193.7958
[1] TRUE
[1] 244.5573
[1] 219.8633
[1] TRUE
[1] 244.5573
[1] 192.7637
[1] TRUE
[1] 384.657
[1] 366.6744
[1] TRUE
[1] 384.657
[1] 338.1741
[1] TRUE
[1] 438.2971
[1] 413.7659
[1] TRUE
[1] 438.2971
[1] 395.578
[1] TRUE
[1] 326.5897
[1] 298.5016
[1] TRUE
[1] 326.5897
[1] 273.1456
[1] TRUE
[1] 457.5391
[1] 428.2877
[1] TRUE
[1] 457.5391
[1] 407.6547
[1] TRUE
[1] 488.8236
[1] 396.7763
[1] TRUE
[1] 488.8236
[1] 360.9153
[1] TRUE
[1] 365.3144
[1] 305.2603
[1] TRUE
[1] 365.3144
[1] 284.7688
[1] TRUE
[1] 324.5664
[1] 291.2496
[1] TRUE
[1] 324.5664
[1] 260.053
[1] TRUE
[1] 400.2362
[1] 334.2438
[1] TRUE
[1] 400.2362
[1] 308.6129
[1] TRUE
[1] 317.7166
[1] 251.5053
[1] TRUE
[1] 317.7166
[1] 226.2613
[1] TRUE
[1] 362.0217
[1] 337.9804
[1] TRUE
[1] 362.0217
[1] 317.8432
[1] TRUE
[1] 287.5549
[1] 238.1895
[1] TRUE
[1] 287.5549
[1] 212.769
[1] TRUE
[1] 366.1475
[1] 347.8595
[1] TRUE
[1] 366.1475
[1] 307.2756
[1] TRUE
[1] 293.5857
[1] 283.4289
[1] TRUE
[1] 293.5857
[1] 260.1727
[1] TRUE
[1] 251.4664
[1] 176.8344
[1] TRUE
[1] 251.4664
[1] 144.0058
[1] TRUE
[1] 298.7849
[1] 271.3697
[1] TRUE
[1] 298.7849
[1] 248.4719
[1] TRUE
[1] 383.7644
[1] 299.0894
[1] TRUE
[1] 383.7644
[1] 236.9191
[1] TRUE
[1] 447.2413
[1] 434.519
[1] TRUE
[1] 447.2413
[1] 408.5271
[1] TRUE
[1] 323.6735
[1] 272.3909
[1] TRUE
[1] 323.6735
[1] 224.8742
[1] TRUE
[1] 234.666
[1] 226.2156
[1] TRUE
[1] 234.666
[1] 202.7498
[1] TRUE
[1] 343.7518
[1] 288.6831
[1] TRUE
[1] 343.7518
[1] 207.1004
[1] TRUE
[1] 241.5412
[1] 206.5196
[1] TRUE
[1] 241.5412
[1] 186.585
[1] TRUE
[1] 517.0587
[1] 498.2971
[1] TRUE
[1] 517.0587
[1] 470.1533
[1] TRUE
[1] 478.3191
[1] 280.8682
[1] TRUE
[1] 478.3191
[1] 251.7729
[1] TRUE
[1] 509.6037
[1] 411.89
[1] TRUE
[1] 509.6037
[1] 363.7263
[1] TRUE
[1] 312.322
[1] 286.4964
[1] TRUE
[1] 312.322
[1] 255.2201
[1] TRUE
[1] 304.7523
[1] 282.1999
[1] TRUE
[1] 304.7523
[1] 264.9176
[1] TRUE
[1] 362.0255
[1] 342.8727
[1] TRUE
[1] 362.0255
[1] 311.4544
[1] TRUE
[1] 280.1307
[1] 259.6035
[1] TRUE
[1] 280.1307
[1] 214.0236
[1] TRUE
[1] 387.9444
[1] 335.686
[1] TRUE
[1] 387.9444
[1] 309.6657
[1] TRUE
[1] 376.0977
[1] 339.6697
[1] TRUE
[1] 376.0977
[1] 315.5921
[1] TRUE
[1] 354.6581
[1] 329.6265
[1] TRUE
[1] 354.6581
[1] 309.4777
[1] TRUE
[1] 529.4563
[1] 510.5001
[1] TRUE
[1] 529.4563
[1] 483.0139
[1] TRUE
[1] 452.5478
[1] 430.1929
[1] TRUE
[1] 452.5478
[1] 408.6823
[1] TRUE
[1] 151.3592
[1] 139.1663
[1] TRUE
[1] 151.3592
[1] 117.7825
[1] TRUE
[1] 339.3582
[1] 334.1314
[1] TRUE
[1] 339.3582
[1] 324.9705
[1] TRUE
[1] 320.7576
[1] 267.0286
[1] TRUE
[1] 320.7576
[1] 237.2482
[1] TRUE
[1] 198.7203
[1] 161.0565
[1] TRUE
[1] 198.7203
[1] 145.3264
[1] TRUE
[1] 324.6551
[1] 304.9592
[1] TRUE
[1] 324.6551
[1] 285.649
[1] TRUE
[1] 449.4651
[1] 399.8267
[1] TRUE
[1] 449.4651
[1] 365.1437
[1] TRUE
[1] 360.2984
[1] 327.2456
[1] TRUE
[1] 360.2984
[1] 308.9794
[1] TRUE
[1] 559.8572
[1] 465.0618
[1] TRUE
[1] 559.8572
[1] 402.4227
[1] TRUE
[1] 221.5716
[1] 211.6915
[1] TRUE
[1] 221.5716
[1] 203.1391
[1] TRUE
[1] 341.957
[1] 318.1004
[1] TRUE
[1] 341.957
[1] 308.5367
[1] TRUE
[1] 596.0435
[1] 540.6588
[1] TRUE
[1] 596.0435
[1] 493.4568
[1] TRUE
[1] 423.3444
[1] 385.0741
[1] TRUE
[1] 423.3444
[1] 352.4636
[1] TRUE
[1] 331.6989
[1] 293.3978
[1] TRUE
[1] 331.6989
[1] 247.3301
[1] TRUE
[1] 303.0863
[1] 238.2397
[1] TRUE
[1] 303.0863
[1] 200.5599
[1] TRUE
[1] 524.6428
[1] 506.0204
[1] TRUE
[1] 524.6428
[1] 441.3279
[1] TRUE
[1] 388.9088
[1] 370.3126
[1] TRUE
[1] 388.9088
[1] 313.5356
[1] TRUE
[1] 325.1736
[1] 308.4964
[1] TRUE
[1] 325.1736
[1] 291.9653
[1] TRUE
[1] 288.9003
[1] 258.9557
[1] TRUE
[1] 288.9003
[1] 216.471
[1] TRUE
[1] 252.5627
[1] 198.7185
[1] TRUE
[1] 252.5627
[1] 174.9561
[1] TRUE
[1] 282.0269
[1] 222.3823
[1] TRUE
[1] 282.0269
[1] 203.8095
[1] TRUE
[1] 561.7743
[1] 458.8701
[1] TRUE
[1] 561.7743
[1] 417.1665
[1] TRUE
[1] 283.82
[1] 267.3035
[1] TRUE
[1] 283.82
[1] 252.5178
[1] TRUE
[1] 285.9888
[1] 267.888
[1] TRUE
[1] 285.9888
[1] 248.3121
[1] TRUE
[1] 201.9247
[1] 191.8766
[1] TRUE
[1] 201.9247
[1] 183.8417
[1] TRUE
[1] 305.1604
[1] 284.3155
[1] TRUE
[1] 305.1604
[1] 249.9362
[1] TRUE
[1] 301.4914
[1] 295.0059
[1] TRUE
[1] 301.4914
[1] 280.0932
[1] TRUE
[1] 397.7553
[1] 317.1025
[1] TRUE
[1] 397.7553
[1] 307.1226
[1] TRUE
[1] 199.2146
[1] 195.1238
[1] TRUE
[1] 199.2146
[1] 190.8785
[1] TRUE
[1] 200.2041
[1] 158.5042
[1] TRUE
[1] 200.2041
[1] 130.2179
[1] TRUE
[1] 511.2594
[1] 453.1421
[1] TRUE
[1] 511.2594
[1] 416.9216
[1] TRUE
[1] 370.5435
[1] 325.8109
[1] TRUE
[1] 370.5435
[1] 272.4777
[1] TRUE
[1] 296.1406
[1] 221.3705
[1] TRUE
[1] 296.1406
[1] 181.0734
[1] TRUE
[1] 210.1217
[1] 197.8726
[1] TRUE
[1] 210.1217
[1] 179.238
[1] TRUE
[1] 284.9472
[1] 246.9281
[1] TRUE
[1] 284.9472
[1] 221.364
[1] TRUE
[1] 483.4776
[1] 449.4289
[1] TRUE
[1] 483.4776
[1] 418.2472
[1] TRUE
[1] 295.4161
[1] 226.7765
[1] TRUE
[1] 295.4161
[1] 182.3624
[1] TRUE
[1] 246.8289
[1] 227.2274
[1] TRUE
[1] 246.8289
[1] 165.8523
[1] TRUE
[1] 627.2817
[1] 598.4622
[1] TRUE
[1] 627.2817
[1] 560.0337
[1] TRUE
[1] 267.0879
[1] 243.8516
[1] TRUE
[1] 267.0879
[1] 190.5505
[1] TRUE
[1] 282.7821
[1] 270.1459
[1] TRUE
[1] 282.7821
[1] 246.9882
[1] TRUE
[1] 305.8921
[1] 272.6123
[1] TRUE
[1] 305.8921
[1] 247.0695
[1] TRUE
[1] 264.6905
[1] 241.1438
[1] TRUE
[1] 264.6905
[1] 227.1703
[1] TRUE
[1] 435.746
[1] 426.9864
[1] TRUE
[1] 435.746
[1] 406.0514
[1] TRUE
[1] 341.1549
[1] 297.8384
[1] TRUE
[1] 341.1549
[1] 261.2043
[1] TRUE
[1] 271.1868
[1] 250.2352
[1] TRUE
[1] 271.1868
[1] 218.965
[1] TRUE
[1] 318.1006
[1] 298.8694
[1] TRUE
[1] 318.1006
[1] 272.1811
[1] TRUE
[1] 174.7828
[1] 161.7286
[1] TRUE
[1] 174.7828
[1] 134.7932
[1] TRUE
[1] 275.983
[1] 245.5787
[1] TRUE
[1] 275.983
[1] 159.1687
[1] TRUE
[1] 445.6211
[1] 427.8493
[1] TRUE
[1] 445.6211
[1] 391.3898
[1] TRUE
[1] 204.9818
[1] 164.982
[1] TRUE
[1] 204.9818
[1] 144.6685
[1] TRUE
[1] 280.5569
[1] 239.8759
[1] TRUE
[1] 280.5569
[1] 218.4396
[1] TRUE
[1] 399.0212
[1] 382.4932
[1] TRUE
[1] 399.0212
[1] 360.2112
[1] TRUE
[1] 379.107
[1] 372.918
[1] TRUE
[1] 379.107
[1] 361.6448
[1] TRUE
# save(coverages, file='data/coverages_mat_overfit_worsePVE.RData')
# save(powers, file='data/powers_mat_overfit_worsePVE.RData')
# save(no_CSs, file='data/number_CSs_mat_overfit_worsePVE.RData')
# save(no_SNPs_CS, file='data/number_SNPs_per_CS_mat_overfit_worsePVE.RData')
# save(PVEs, file='data/PVE_worsePVE.RData')



# 
# 
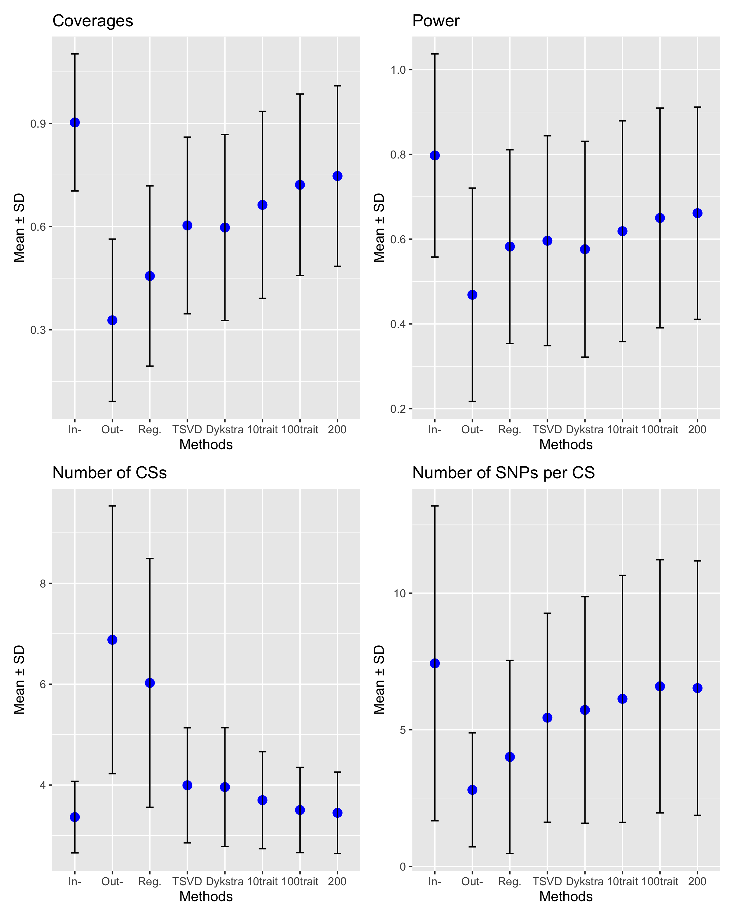
library(ggplot2)

list_mat = list(coverages, powers, no_CSs, no_SNPs_CS)
list_name = c("Coverages", "Power", "Number of CSs", "Number of SNPs per CS")
plots = list()
for (i in 1:4){
  m = list_mat[[i]]
  colnames(m) <- c('In-', 'Out-', 'Reg.', 'TSVD', 'Dykstra', '10trait', '100trait', '200')
  means <- colMeans(m)
  sds   <- apply(m, 2, sd)
  df <- data.frame(
    variable = factor(colnames(m), levels = colnames(m)),
    mean = means,
    sd = sds
  )
  
  plots[[i]] = ggplot(df, aes(x = variable, y = mean)) +
    geom_point(size = 3, color = "blue") +
    geom_errorbar(aes(ymin = mean - sd, ymax = mean + sd), width = 0.2) +
    labs(title = list_name[i],
         x = "Methods", y = "Mean ± SD")
}

library(patchwork)
wrap_plots(plots, ncol = 2)

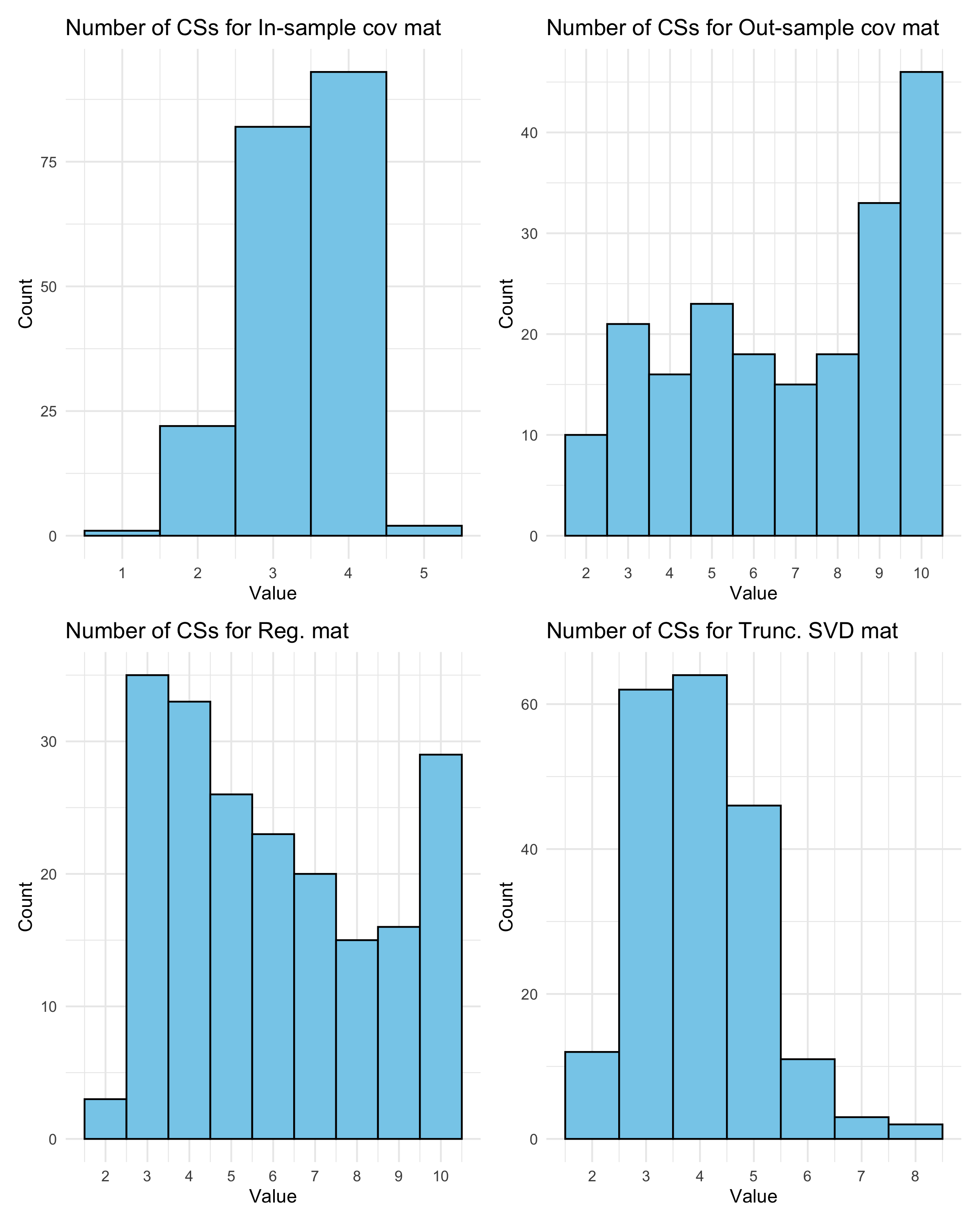
##Plot histogram of the number of CSs
cov_type = c('In-sample cov mat', 'Out-sample cov mat', 'Reg. mat', 'Trunc. SVD mat')

hists = list()
for (i in 1:4){
  df <- data.frame(x = no_CSs[, i])

  hists[[i]] = ggplot(df, aes(x = x)) +
    geom_histogram(binwidth = 1, fill = "skyblue", color = "black", boundary = 0.5) +
    scale_x_continuous(breaks = 1:max(df)) +
    labs(title = paste("Number of CSs for", cov_type[i]),
         x = "Value",
         y = "Count") +
    theme_minimal()
}

wrap_plots(hists, ncol = 2)


sessionInfo()
R version 4.5.1 (2025-06-13)
Platform: aarch64-apple-darwin20
Running under: macOS Sequoia 15.6.1

Matrix products: default
BLAS:   /Library/Frameworks/R.framework/Versions/4.5-arm64/Resources/lib/libRblas.0.dylib 
LAPACK: /Library/Frameworks/R.framework/Versions/4.5-arm64/Resources/lib/libRlapack.dylib;  LAPACK version 3.12.1

locale:
[1] en_US.UTF-8/en_US.UTF-8/en_US.UTF-8/C/en_US.UTF-8/en_US.UTF-8

time zone: America/Chicago
tzcode source: internal

attached base packages:
[1] stats     graphics  grDevices utils     datasets  methods   base     

other attached packages:
[1] patchwork_1.3.1 ggplot2_3.5.2   susieR_0.14.2   workflowr_1.7.1

loaded via a namespace (and not attached):
 [1] sass_0.4.10        generics_0.1.4     stringi_1.8.7      lattice_0.22-7    
 [5] digest_0.6.37      magrittr_2.0.3     evaluate_1.0.4     grid_4.5.1        
 [9] RColorBrewer_1.1-3 fastmap_1.2.0      plyr_1.8.9         rprojroot_2.1.0   
[13] jsonlite_2.0.0     Matrix_1.7-3       processx_3.8.6     whisker_0.4.1     
[17] reshape_0.8.10     ps_1.9.1           mixsqp_0.3-54      promises_1.3.3    
[21] httr_1.4.7         scales_1.4.0       jquerylib_0.1.4    cli_3.6.5         
[25] rlang_1.1.6        crayon_1.5.3       withr_3.0.2        cachem_1.1.0      
[29] yaml_2.3.10        tools_4.5.1        dplyr_1.1.4        httpuv_1.6.16     
[33] vctrs_0.6.5        R6_2.6.1           matrixStats_1.5.0  lifecycle_1.0.4   
[37] git2r_0.36.2       stringr_1.5.1      fs_1.6.6           irlba_2.3.5.1     
[41] pkgconfig_2.0.3    callr_3.7.6        pillar_1.11.0      bslib_0.9.0       
[45] later_1.4.2        gtable_0.3.6       glue_1.8.0         Rcpp_1.1.0        
[49] xfun_0.52          tibble_3.3.0       tidyselect_1.2.1   rstudioapi_0.17.1 
[53] knitr_1.50         farver_2.1.2       htmltools_0.5.8.1  labeling_0.4.3    
[57] rmarkdown_2.29     compiler_4.5.1     getPass_0.2-4