Last updated: 2024-10-09

Checks: 7 0

Knit directory: mito_age_fert/

This reproducible R Markdown analysis was created with workflowr (version 1.7.1). The Checks tab describes the reproducibility checks that were applied when the results were created. The Past versions tab lists the development history.


Great! Since the R Markdown file has been committed to the Git repository, you know the exact version of the code that produced these results.

Great job! The global environment was empty. Objects defined in the global environment can affect the analysis in your R Markdown file in unknown ways. For reproduciblity it’s best to always run the code in an empty environment.

The command set.seed(20230213) was run prior to running the code in the R Markdown file. Setting a seed ensures that any results that rely on randomness, e.g. subsampling or permutations, are reproducible.

Great job! Recording the operating system, R version, and package versions is critical for reproducibility.

Nice! There were no cached chunks for this analysis, so you can be confident that you successfully produced the results during this run.

Great job! Using relative paths to the files within your workflowr project makes it easier to run your code on other machines.

Great! You are using Git for version control. Tracking code development and connecting the code version to the results is critical for reproducibility.

The results in this page were generated with repository version 5f3a2a7. See the Past versions tab to see a history of the changes made to the R Markdown and HTML files.

Note that you need to be careful to ensure that all relevant files for the analysis have been committed to Git prior to generating the results (you can use wflow_publish or wflow_git_commit). workflowr only checks the R Markdown file, but you know if there are other scripts or data files that it depends on. Below is the status of the Git repository when the results were generated:


Ignored files:
    Ignored:    .DS_Store
    Ignored:    .Rhistory
    Ignored:    .Rproj.user/
    Ignored:    analysis/figure/
    Ignored:    data/.DS_Store

Untracked files:
    Untracked:  README.html
    Untracked:  analysis/SNP_clusters.Rmd
    Untracked:  check_lines.R
    Untracked:  code/data_wrangling.R
    Untracked:  code/plotting_Script.R
    Untracked:  data/Data_raw_emmely.csv
    Untracked:  data/defence.csv
    Untracked:  data/male_fertility.csv
    Untracked:  data/mito_34sigdiffSNPs_consensus_incl_colnames.csv
    Untracked:  data/mito_mt_copy_number.xlsx
    Untracked:  data/mito_mt_seq_major_alleles_sig_snptable.csv
    Untracked:  data/mito_mt_seq_sig_annotated.csv
    Untracked:  data/mito_mt_seq_sig_annotated.vcf
    Untracked:  data/offence.csv
    Untracked:  data/rawdata_PCA.csv
    Untracked:  data/snp-gene.txt
    Untracked:  data/sperm_metabolic_rate.csv
    Untracked:  data/sperm_viability.csv
    Untracked:  data/wrangled/
    Untracked:  figures/
    Untracked:  output/SNP_clusters.csv
    Untracked:  output/bod_brm.rds
    Untracked:  output/female_rate_dredge.rds
    Untracked:  output/female_rates_bb.Rdata
    Untracked:  output/female_rates_boot.Rdata
    Untracked:  output/female_rates_poly.Rdata
    Untracked:  output/male_fec_dredge.rds
    Untracked:  output/male_hatch_dredge.rds
    Untracked:  output/male_hatch_dredge_reduced.rds
    Untracked:  output/sperm_met_dredge.rds
    Untracked:  output/viab_ctrl_dredge.rds
    Untracked:  output/viab_trt_dredge.rds
    Untracked:  snp_matrix_dobler.csv

Unstaged changes:
    Modified:   analysis/index.Rmd
    Modified:   analysis/sperm_comp.Rmd
    Modified:   data/README.md

Note that any generated files, e.g. HTML, png, CSS, etc., are not included in this status report because it is ok for generated content to have uncommitted changes.


These are the previous versions of the repository in which changes were made to the R Markdown (analysis/male_fertility.Rmd) and HTML (docs/male_fertility.html) files. If you’ve configured a remote Git repository (see ?wflow_git_remote), click on the hyperlinks in the table below to view the files as they were in that past version.

File Version Author Date Message
Rmd 5f3a2a7 MartinGarlovsky 2024-10-09 wflow_publish("analysis/male_fertility.Rmd")

Load packages

library(tidyverse)

library(lme4)
library(DHARMa)
library(emmeans)
library(kableExtra)
library(knitrhooks) # install with devtools::install_github("nathaneastwood/knitrhooks")
library(showtext)

library(conflicted)

select <- dplyr::select
filter <- dplyr::filter

output_max_height() # a knitrhook option

options(stringsAsFactors = FALSE)

# colour palettes
met.pal <- MetBrewer::met.brewer('Johnson')
met3 <- met.pal[c(1, 3, 5)]

# set contrasts
options(contrasts = c("contr.sum", "contr.poly"))

Load data

# fecundity and hatching success
male_fert_filt <- read.csv('data/male_fertility.csv') %>% 
  mutate(age = fct_relevel(age, c("young","old")),
         mito_snp = as.factor(mito_snp),
         coevolved = if_else(mito == nuclear, "matched", "mismatched"))

#xtabs(~ mito + nuclear, data = male_fert)

# sperm viability
sperm_vib_filt <- read.csv("data/wrangled/sperm_viability_wrangled.csv") %>% 
  mutate(age = fct_relevel(age, c("young","old")),
         mito_snp = as.factor(mito_snp),
         coevolved = if_else(mito == nuclear, "matched", "mismatched"))

#xtabs(~ mito + nuclear, data = sperm_vib_filt)

# sperm metabolism
sperm_met <- read.csv("data/wrangled/sperm_met_wrangled.csv") %>% 
  mutate(mito_snp = as.factor(mito_snp),
         p.a2 = a2/100, # convert to percentage proportion
         coevolved = if_else(mito == nuclear, "matched", "mismatched")) 

#xtabs(~ mito + nuclear, data = sperm_met)

# sperm competition data
## P1
defence <- read.csv("data/wrangled/sperm_defence.csv", header = TRUE) %>% 
  mutate(mito_snp = as.factor(mito_snp),
         Day = ordered(Day),
         coevolved = if_else(mito == nuclear, "matched", "mismatched"))

## P2
offence <- read.csv("data/wrangled/sperm_offence.csv", header = TRUE) %>% 
  mutate(mito_snp = as.factor(mito_snp),
         Day = ordered(Day),
         coevolved = if_else(mito == nuclear, "matched", "mismatched"))

> Fecundity

male_fert_filt %>% 
  group_by(mito, nuclear, age) %>% 
  summarise(mn = mean(total_eggs),
            se = sd(total_eggs)/sqrt(n()),
            s95 = se * 1.96) %>% 
  ggplot(aes(x = mito, y = mn, fill = nuclear)) +
  geom_point(data = male_fert_filt,
             aes(y = total_eggs, colour = nuclear), alpha = .25,
             position = position_jitterdodge(dodge.width = .5, jitter.width = .1)) +
  geom_errorbar(aes(ymin = mn - s95, ymax = mn + s95), 
                width = .25, position = position_dodge(width = .5)) +
  geom_point(size = 3, pch = 21, position = position_dodge(width = .5)) +
  labs(y = 'Partner fecundity') +
  facet_wrap(~ age, scales = 'free_x') +
  scale_colour_manual(values = met3) +
  scale_fill_manual(values = met3) +
  theme_bw() + 
  theme() + 
  NULL

hist(male_fert_filt$total_eggs, breaks = 50)

# fit linear model - model diagnostics look better?
male_fec_test <- lmerTest::lmer(total_eggs ~ mito * nuclear * age + (1|LINE:age), 
                                data = male_fert_filt, REML = TRUE) 

anova(male_fec_test, type = "III", ddf = "Kenward-Roger") %>% broom::tidy() %>% 
  as_tibble() %>% 
  kable(digits = 3, 
        caption = 'Type III Analysis of Variance Table with Kenward-Roger`s method') %>% 
  kable_styling(full_width = FALSE)
Type III Analysis of Variance Table with Kenward-Roger`s method
term sumsq meansq NumDF DenDF statistic p.value
mito 655.057 327.529 2 36.119 0.375 0.690
nuclear 1328.203 664.101 2 36.089 0.761 0.474
age 628683.021 628683.021 1 36.120 720.654 0.000
mito:nuclear 3177.393 794.348 4 36.089 0.911 0.468
mito:age 2413.910 1206.955 2 36.119 1.384 0.264
nuclear:age 9125.522 4562.761 2 36.089 5.230 0.010
mito:nuclear:age 12241.283 3060.321 4 36.089 3.508 0.016
#summary(male_fec_test)

fec_emm <- emmeans(male_fec_test, ~ mito * nuclear * age)

#pairs(fec_emm, simple = list("age", "mito", "nuclear"))

bind_rows(pairs(fec_emm, simple = list("age", "mito", "nuclear"))$`simple contrasts for age` %>% broom::tidy(),
          pairs(fec_emm, simple = list("age", "mito", "nuclear"))$`simple contrasts for mito` %>% broom::tidy() %>%
            rename(p.value = adj.p.value),
          pairs(fec_emm, simple = list("age", "mito", "nuclear"))$`simple contrasts for nuclear` %>% broom::tidy() %>%
            rename(p.value = adj.p.value)) %>% 
  mutate(p.val = ifelse(p.value < 0.001, '< 0.001', round(p.value, 3))) %>% 
  select(-p.value, -term) %>% relocate(age, .before = contrast) %>% 
  kable(digits = 3, 
        caption = 'Posthoc Tukey tests to compare which groups differ') %>% 
  kable_styling(full_width = FALSE) %>%
  kableExtra::group_rows("Age", 1, 9) %>%
  kableExtra::group_rows("Mito contrasts", 10, 27) %>%
  kableExtra::group_rows("Nuclear contrasts", 28, 45)
Posthoc Tukey tests to compare which groups differ
mito nuclear age contrast null.value estimate std.error df statistic p.val
Age
A A NA young - old 0 61.156 8.602 34.548 7.109 < 0.001
B A NA young - old 0 54.244 8.602 34.548 6.306 < 0.001
C A NA young - old 0 78.724 8.628 34.960 9.124 < 0.001
A B NA young - old 0 81.208 8.825 37.887 9.202 < 0.001
B B NA young - old 0 100.156 8.882 39.205 11.276 < 0.001
C B NA young - old 0 70.090 8.888 39.184 7.886 < 0.001
A C NA young - old 0 90.000 8.602 34.548 10.463 < 0.001
B C NA young - old 0 97.573 8.684 35.849 11.236 < 0.001
C C NA young - old 0 67.711 8.602 34.548 7.871 < 0.001
Mito contrasts
NA A young A - B 0 -0.889 8.602 34.548 -0.103 0.994
NA A young A - C 0 -10.467 8.602 34.548 -1.217 0.452
NA A young B - C 0 -9.578 8.602 34.548 -1.113 0.512
NA B young A - B 0 -1.822 8.602 34.548 -0.212 0.976
NA B young A - C 0 10.600 8.602 34.548 1.232 0.443
NA B young B - C 0 12.422 8.602 34.548 1.444 0.33
NA C young A - B 0 -10.467 8.602 34.548 -1.217 0.452
NA C young A - C 0 13.556 8.602 34.548 1.576 0.269
NA C young B - C 0 24.022 8.602 34.548 2.793 0.022
NA A old A - B 0 -7.800 8.602 34.548 -0.907 0.64
NA A old A - C 0 7.102 8.628 34.960 0.823 0.691
NA A old B - C 0 14.902 8.628 34.960 1.727 0.21
NA B old A - B 0 17.126 9.098 42.719 1.882 0.156
NA B old A - C 0 -0.517 9.104 42.692 -0.057 0.998
NA B old B - C 0 -17.643 9.160 44.100 -1.926 0.143
NA C old A - B 0 -2.894 8.684 35.849 -0.333 0.941
NA C old A - C 0 -8.733 8.602 34.548 -1.015 0.572
NA C old B - C 0 -5.839 8.684 35.849 -0.672 0.781
Nuclear contrasts
A NA young A - B 0 -17.444 8.602 34.548 -2.028 0.121
A NA young A - C 0 -19.222 8.602 34.548 -2.235 0.079
A NA young B - C 0 -1.778 8.602 34.548 -0.207 0.977
B NA young A - B 0 -18.378 8.602 34.548 -2.136 0.097
B NA young A - C 0 -28.800 8.602 34.548 -3.348 0.005
B NA young B - C 0 -10.422 8.602 34.548 -1.212 0.454
C NA young A - B 0 3.622 8.602 34.548 0.421 0.907
C NA young A - C 0 4.800 8.602 34.548 0.558 0.843
C NA young B - C 0 1.178 8.602 34.548 0.137 0.99
A NA old A - B 0 2.608 8.825 37.887 0.295 0.953
A NA old A - C 0 9.622 8.602 34.548 1.119 0.509
A NA old B - C 0 7.015 8.825 37.887 0.795 0.708
B NA old A - B 0 27.533 8.882 39.205 3.100 0.01
B NA old A - C 0 14.528 8.684 35.849 1.673 0.229
B NA old B - C 0 -13.005 8.962 40.582 -1.451 0.325
C NA old A - B 0 -5.012 8.913 39.619 -0.562 0.841
C NA old A - C 0 -6.213 8.628 34.960 -0.720 0.753
C NA old B - C 0 -1.201 8.888 39.184 -0.135 0.99

>>> Results

>>>> Reaction norms

# reaction norms
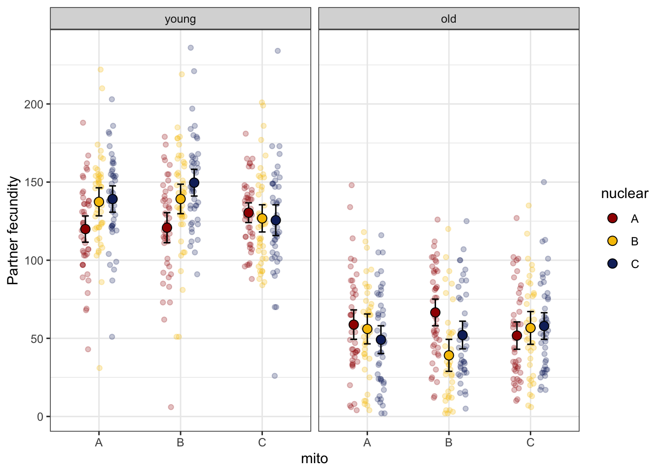
male_fecundity_norm <- emmeans(male_fec_test, ~ mito * nuclear * age) %>% as_tibble() %>% 
  ggplot(aes(x = nuclear, y = emmean, fill = mito)) +
  geom_line(aes(group = mito, colour = mito), position = position_dodge(width = .5)) +
  geom_point(size = 3, pch = 21, position = position_dodge(width = .5)) +
  labs(y = 'Partner fecundity (EMM)') +
  scale_colour_manual(values = met3) +
  scale_fill_manual(values = met3) +
  facet_wrap(~ age) +
  theme_bw() + 
  theme() +
  NULL

male_fecundity_norm

>>>> Raw data

male_fecundity_raw <- emmeans(male_fec_test, ~ mito * nuclear * age) %>% as_tibble() %>% 
  ggplot(aes(x = nuclear, y = emmean, fill = mito)) +
  geom_jitter(data = male_fert_filt,
              aes(y = total_eggs, colour = mito),
               position = position_jitterdodge(dodge.width = .5, jitter.width = .1),
              size = 0.75, alpha = .1) +
  geom_jitter(data = male_fert_filt %>% 
                group_by(LINE, age) %>% 
                summarise(mn = mean(total_eggs)) %>% 
                separate(LINE, into = c("mito", "nuclear", NA), sep = "(?<=.)", remove = FALSE),
              aes(y = mn, colour = mito),
              position = position_jitterdodge(dodge.width = .5, jitter.width = .1),
              alpha = .85, size = 2) +
  geom_errorbar(aes(ymin = lower.CL, ymax = upper.CL), 
                width = .25, position = position_dodge(width = .5)) +
  geom_point(size = 3, pch = 21, position = position_dodge(width = .5)) +
  labs(y = 'Partner fecundity (EMM ± 95% CIs)') +
  scale_colour_manual(values = met3) +
  scale_fill_manual(values = met3) +
  facet_wrap(~ age) +
  theme_bw() + 
  theme() + 
  geom_text(data = male_fert_filt %>% group_by(mito, nuclear, age) %>% count(), aes(y = -5, label = n), 
            size = 2, position = position_dodge(width = .5)) + 
  #ggsave('figures/male_fecundity_raw.pdf', height = 4, width = 8, dpi = 600, useDingbats = FALSE) +
  NULL

male_fecundity_raw

>>> Matched vs. mismatched

male_fec_coevo <- lmerTest::lmer(total_eggs ~ coevolved * age + (1 + age|LINE), 
                                 data = male_fert_filt, REML = TRUE) 

anova(male_fec_coevo, type = "III", ddf = "Kenward-Roger") %>% broom::tidy() %>% 
  as_tibble() %>% 
  kable(digits = 3, 
        caption = 'Type III Analysis of Variance Table with Kenward-Roger`s method') %>% 
  kable_styling(full_width = FALSE)
Type III Analysis of Variance Table with Kenward-Roger`s method
term sumsq meansq NumDF DenDF statistic p.value
coevolved 1255.595 1255.595 1 24.950 1.439 0.242
age 442491.873 442491.873 1 24.942 506.988 0.000
coevolved:age 151.029 151.029 1 24.942 0.173 0.681
#summary(male_fec_coevo)

>>> Mito-type analysis

# fit linear model
male_fec1_snp <- lmerTest::lmer(total_eggs ~ mito_snp * nuclear * age + (1|LINE:age), 
                                data = male_fert_filt, REML = TRUE) 

anova(male_fec1_snp, type = "III", ddf = "Kenward-Roger") %>% broom::tidy() %>% 
  as_tibble() %>% 
  kable(digits = 3, 
        caption = 'Type III Analysis of Variance Table with Kenward-Roger`s method') %>% 
  kable_styling(full_width = FALSE)
Type III Analysis of Variance Table with Kenward-Roger`s method
term sumsq meansq NumDF DenDF statistic p.value
mito_snp 1680.257 210.032 8 17.998 0.241 0.977
nuclear 169.779 84.889 2 18.050 0.097 0.908
age 254992.935 254992.935 1 17.837 292.215 0.000
mito_snp:nuclear 4216.698 602.385 7 18.144 0.690 0.679
mito_snp:age 3795.329 474.416 8 17.998 0.544 0.809
nuclear:age 5043.513 2521.757 2 18.050 2.890 0.082
mito_snp:nuclear:age 4183.266 597.609 7 18.144 0.685 0.683
#car::Anova(male_fec1_snp, type = "III")

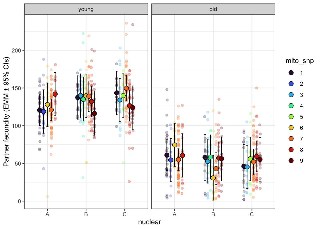
fec_emm_snp <- emmeans(male_fec1_snp, ~ mito_snp * nuclear * age)

male_fecundity_snp <- fec_emm_snp %>% as_tibble() %>% drop_na() %>% 
  ggplot(aes(x = nuclear, y = emmean, fill = mito_snp)) +
  geom_jitter(data = male_fert_filt,
              aes(y = total_eggs, colour = mito_snp),
               position = position_jitterdodge(dodge.width = .5, jitter.width = .1),
              alpha = .25) + 
  geom_errorbar(aes(ymin = lower.CL, ymax = upper.CL), 
                width = .25, position = position_dodge(width = .5)) +
  geom_point(size = 3, pch = 21, position = position_dodge(width = .5)) +
  labs(y = 'Partner fecundity (EMM ± 95% CIs)') +
  facet_wrap(~ age) +
  scale_colour_viridis_d(option = "H") +
  scale_fill_viridis_d(option = "H") +
  theme_bw() + 
  theme() + 
  #ggsave('figures/male_fecundity_snp.pdf', height = 4, width = 8.5, dpi = 600, useDingbats = FALSE) +
  NULL

male_fecundity_snp

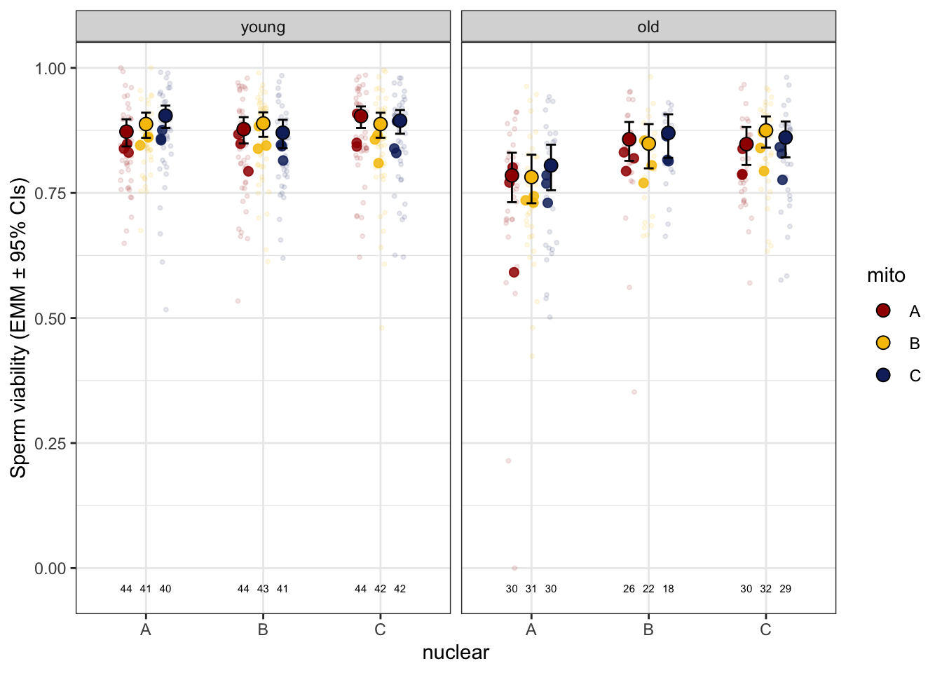
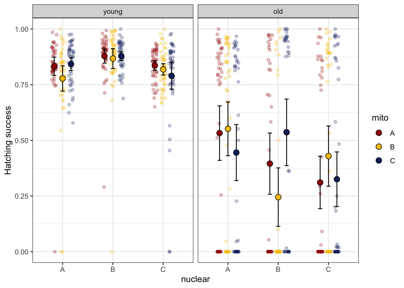
> Hatching success

Hatching success, our proxy for fertilisation success, shows different patterns in young and old males. In old males there is a very bimodal distribtuion, i.e., some males are fertile while others are completely sterile. Therefore, we model young and old males separately.

male_fert_filt %>%
  group_by(mito, nuclear, age) %>% 
  summarise(mn = mean(fertilised),
            se = sd(fertilised)/sqrt(n()),
            s95 = se * 1.96) %>% 
  ggplot(aes(x = nuclear, y = mn, fill = mito)) +
  geom_point(data = male_fert_filt,
             aes(y = fertilised, colour = mito), alpha = .25,
             position = position_jitterdodge(dodge.width = .5, jitter.width = .1)) +
  geom_errorbar(aes(ymin = mn - s95, ymax = mn + s95), 
                width = .25, position = position_dodge(width = .5)) +
  geom_point(size = 3, pch = 21, position = position_dodge(width = .5)) +
  labs(y = 'Hatching success') +
  coord_cartesian(ylim = c(0, 1)) +
  facet_wrap(~ age, scales = 'free_x') +
  scale_colour_manual(values = met3) +
  scale_fill_manual(values = met3) +
  theme_bw() + 
  theme() + 
  #ggsave('figures/male_hatchingsuccess_all.pdf', height = 4, width = 9, dpi = 600, useDingbats = FALSE) +
  NULL

#xtabs(~ mtn + age, data = male_fert_filt)

>>> Young males

In young males we model the proportion of eggs that hatch.

##model young only
hatch2 <- glmer(cbind(total_offs, total_fail) ~ mito * nuclear + (1|LINE) + (1|OLRE),
                data = male_fert_filt %>% filter(age == "young"), 
                family = 'binomial')

>>>> Check model diagnostics

performance::check_model(hatch2)

performance::check_overdispersion(hatch2)
# Overdispersion test

 dispersion ratio = 1.020
          p-value = 0.688
testDispersion(hatch2)
    DHARMa nonparametric dispersion test via sd of residuals fitted vs.
    simulated

data:  simulationOutput
dispersion = 1.02, p-value = 0.688
alternative hypothesis: two.sided
simulationOutput <- simulateResiduals(fittedModel = hatch2, plot = FALSE)
hist(residuals(simulationOutput))

hist(residuals(simulationOutput, quantileFunction = qnorm, outlierValues = c(-7,7)), breaks = 50)

plot(simulationOutput)

>>> Results

car::Anova(hatch2, type = "3") %>% broom::tidy() %>% 
  as_tibble() %>% 
  kable(digits = 3, 
        caption = 'Analysis of Deviance Table (Type III Wald chisquare tests)') %>% 
  kable_styling(full_width = FALSE)
Analysis of Deviance Table (Type III Wald chisquare tests)
term statistic df p.value
(Intercept) 1422.684 1 0.000
mito 1.540 2 0.463
nuclear 26.190 2 0.000
mito:nuclear 5.198 4 0.268
#summary(hatch2)

hatch_emm2 <- emmeans(hatch2, ~ mito * nuclear)

emmeans(hatch2, pairwise ~ nuclear, adjust = "tukey")$contrasts %>% as_tibble() %>% 
  kable(digits = 3, 
        caption = 'Posthoc Tukey tests for comparison between nuclear genotypes') %>% 
  kable_styling(full_width = FALSE)
Posthoc Tukey tests for comparison between nuclear genotypes
contrast estimate SE df z.ratio p.value
A - B -0.514 0.119 Inf -4.310 0.000
A - C 0.028 0.118 Inf 0.239 0.969
B - C 0.542 0.119 Inf 4.563 0.000

>>>> Reaction norms

# reaction norms
hatchingsuccess_young_norm <- emmeans(hatch2, ~ mito * nuclear, type = 'response') %>% as_tibble() %>% 
  ggplot(aes(x = nuclear, y = prob, fill = mito)) +
  geom_line(aes(group = mito, colour = mito), position = position_dodge(width = .5)) +
  geom_point(size = 3, pch = 21, position = position_dodge(width = .5)) +
  labs(y = '% Hatching success (EMM)') +
  scale_colour_manual(values = met3) +
  scale_fill_manual(values = met3) +
  theme_bw() + 
  theme() +
  NULL

hatchingsuccess_young_norm

>>>> Raw data with means

hatchingsuccess_young_raw <- emmeans(hatch2, ~ mito * nuclear, type = 'response') %>% as_tibble() %>% 
  ggplot(aes(x = nuclear, y = prob, fill = mito)) +
  geom_jitter(data = male_fert_filt %>% filter(age == "young"),
              aes(y = fertilised, colour = mito),
               position = position_jitterdodge(dodge.width = .5, jitter.width = .1),
              alpha = .25) + 
  geom_jitter(data = male_fert_filt %>% filter(age == "young") %>% 
                group_by(LINE, age) %>% 
                summarise(mn = mean(fertilised)) %>% 
                separate(LINE, into = c("mito", "nuclear", NA), sep = "(?<=.)", remove = FALSE),
              aes(y = mn, colour = mito),
              position = position_jitterdodge(dodge.width = .5, jitter.width = .1),
              alpha = .85, size = 2) +
  geom_errorbar(aes(ymin = asymp.LCL, ymax = asymp.UCL), 
                width = .25, position = position_dodge(width = .5)) +
  geom_point(size = 3, pch = 21, position = position_dodge(width = .5)) +
  labs(y = '% Hatching success (EMM ± 95% CIs)') +
  scale_colour_manual(values = met3) +
  scale_fill_manual(values = met3) +
  theme_bw() + 
  theme() + 
  geom_text(data = male_fert_filt %>% filter(age == "young") %>% 
              group_by(mito, nuclear) %>% count(), aes(y = -0.04, label = n), 
            size = 2, position = position_dodge(width = .5)) + 
  #ggsave('figures/hatchingsuccess_young_raw.pdf', height = 4, width = 5, dpi = 600, useDingbats = FALSE) +
  NULL

hatchingsuccess_young_raw

>>> Matched vs. mismatched

hatch_young_coevo <- glmer(cbind(total_offs, total_fail) ~ coevolved + (1|LINE) + (1|OLRE),
                           data = male_fert_filt %>% filter(age == "young"), 
                           family = 'binomial')

performance::check_model(hatch_young_coevo)

car::Anova(hatch_young_coevo, type = "3") %>% broom::tidy() %>% 
  as_tibble() %>% 
  kable(digits = 3, 
        caption = 'Analysis of Deviance Table (Type III Wald chisquare tests)') %>% 
  kable_styling(full_width = FALSE)
Analysis of Deviance Table (Type III Wald chisquare tests)
term statistic df p.value
(Intercept) 565.895 1 0.000
coevolved 0.002 1 0.964

>>> Mito-type analysis

young_fert_snp <- glmer(cbind(total_offs, total_fail) ~ mito_snp * nuclear + (1|LINE) + (1|OLRE),
                        data = male_fert_filt %>% filter(age == "young"),
                        family = "binomial",
                        control = glmerControl(optimizer = "bobyqa", optCtrl = list(maxfun = 50000)))

performance::check_model(young_fert_snp)

car::Anova(young_fert_snp, type = "3") %>% broom::tidy() %>% 
  as_tibble() %>% 
  kable(digits = 3, 
        caption = 'Analysis of Deviance Table (Type III Wald chisquare tests)') %>% 
  kable_styling(full_width = FALSE)
Analysis of Deviance Table (Type III Wald chisquare tests)
term statistic df p.value
(Intercept) 118.245 1 0.000
mito_snp 10.256 8 0.248
nuclear 2.496 2 0.287
mito_snp:nuclear 9.013 7 0.252

>>> Old males

In old males we will model fertility as a binary variable - whether a male was fertile (1) or sterile (0). A stacked barchart of the binary response again clearly shows most young males are fertile, but a significant proporiton of old males fail to fertilise any eggs.

# add a new variable giving a binary fertile (1) or sterile (0) based on whether the proportion fertilised was 0 or greater than 0.
male_sterilty <- male_fert_filt %>% 
  mutate(sterility = if_else(fertilised == 0, 'sterile', 'fertile'),
         sterilbin = if_else(fertilised == 0, 0, 1),
         OLRE = 1:nrow(.))

male_sterilty %>% 
  group_by(mito, nuclear, age, sterility) %>% 
  count() %>% 
  ggplot(aes(x = nuclear, y = n, fill = sterility)) +
  geom_col(position = 'fill') + 
  labs(y = "Proportion of males") +
  facet_grid(mito ~ age)

# model old males only
ster_md <- glmer(sterilbin ~ mito * nuclear + (1|LINE), family = 'binomial', 
                 data = male_sterilty %>% filter(age == "old"))

#summary(ster_md)

>>>> Check diagnostics

performance::check_model(ster_md)

performance::check_overdispersion(ster_md)
# Overdispersion test

 dispersion ratio = 1.005
          p-value = 0.848

>>>> Results

car::Anova(ster_md, type = "3") %>% broom::tidy() %>% 
  as_tibble() %>% 
  kable(digits = 3, 
        caption = 'Analysis of Deviance Table (Type III Wald chisquare tests)') %>% 
  kable_styling(full_width = FALSE)
Analysis of Deviance Table (Type III Wald chisquare tests)
term statistic df p.value
(Intercept) 1.819 1 0.177
mito 1.640 2 0.440
nuclear 6.819 2 0.033
mito:nuclear 6.935 4 0.139
ster_emm <- emmeans(ster_md, ~ mito * nuclear)

emmeans(ster_emm, pairwise ~ nuclear, adjust = "tukey")$contrasts %>% as_tibble() %>% 
  kable(digits = 3, 
        caption = 'Posthoc Tukey tests for comparison between nuclear genotypes') %>% 
  kable_styling(full_width = FALSE)
Posthoc Tukey tests for comparison between nuclear genotypes
contrast estimate SE df z.ratio p.value
A - B 0.680 0.298 Inf 2.280 0.059
A - C 0.629 0.282 Inf 2.226 0.067
B - C -0.051 0.294 Inf -0.175 0.983
>>>>> Reaction norms
# reaction norms
hatchingsuccess_old_norm <- emmeans(ster_emm, ~ mito * nuclear, type = 'response') %>% as_tibble() %>% 
  ggplot(aes(x = nuclear, y = prob, fill = mito)) +
  geom_line(aes(group = mito, colour = mito), position = position_dodge(width = .5)) +
  geom_point(size = 3, pch = 21, position = position_dodge(width = .5)) +
  labs(y = 'Proportion fertile (EMM)') +
  scale_colour_manual(values = met3) +
  scale_fill_manual(values = met3) +
  theme_bw() + 
  theme() +
  NULL

hatchingsuccess_old_norm

>>>>> Raw data and means
hatchingsuccess_old_raw <- emmeans(ster_emm, ~ mito * nuclear, type = 'response') %>% as_tibble() %>% 
  ggplot(aes(x = nuclear, y = prob, fill = mito)) +
  geom_jitter(data = male_fert_filt %>% filter(age == "old"),
              aes(y = fertilised, colour = mito),
               position = position_jitterdodge(dodge.width = .5, jitter.width = .1),
              alpha = .25) + 
  geom_jitter(data = male_fert_filt %>% filter(age == "old") %>% 
                group_by(LINE, age) %>% 
                summarise(mn = mean(fertilised)) %>% 
                separate(LINE, into = c("mito", "nuclear", NA), sep = "(?<=.)", remove = FALSE),
              aes(y = mn, colour = mito),
              position = position_jitterdodge(dodge.width = .5, jitter.width = .1),
              alpha = .85, size = 2) +
  geom_errorbar(aes(ymin = asymp.LCL, ymax = asymp.UCL), 
                width = .25, position = position_dodge(width = .5)) +
  geom_point(size = 3, pch = 21, position = position_dodge(width = .5)) +
  labs(y = 'Proportion fertile (EMM ± 95% CIs)') +
  scale_colour_manual(values = met3) +
  scale_fill_manual(values = met3) +
  theme_bw() + 
  theme() + 
  geom_text(data = male_fert_filt %>% filter(age == "young") %>% 
              group_by(mito, nuclear) %>% count(), aes(y = -0.04, label = n), 
            size = 2, position = position_dodge(width = .5)) + 
  #ggsave('figures/hatchingsuccess_old_raw.pdf', height = 4, width = 5, dpi = 600, useDingbats = FALSE) +
  NULL

hatchingsuccess_old_raw

>>> Matched vs. mismatched

ster_coevo <- glmer(sterilbin ~ coevolved + (1|LINE), family = 'binomial', 
                    data = male_sterilty %>% filter(age == "old"))

car::Anova(ster_coevo, type = "3") %>% broom::tidy() %>% 
  as_tibble() %>% 
  kable(digits = 3, 
        caption = 'Analysis of Deviance Table (Type III Wald chisquare tests)') %>% 
  kable_styling(full_width = FALSE)
Analysis of Deviance Table (Type III Wald chisquare tests)
term statistic df p.value
(Intercept) 0.749 1 0.387
coevolved 0.649 1 0.420

>>> Mito-type analysis

ster_md_snp <- glmer(sterilbin ~ mito_snp * nuclear + (1|LINE), 
                     family = 'binomial', 
                     data = male_sterilty %>% filter(age == "old"))

#summary(ster_md)

car::Anova(ster_md_snp, type = "3") %>% broom::tidy() %>% 
  as_tibble() %>% 
  kable(digits = 3, 
        caption = 'Analysis of Deviance Table (Type III Wald chisquare tests)') %>% 
  kable_styling(full_width = FALSE)
Analysis of Deviance Table (Type III Wald chisquare tests)
term statistic df p.value
(Intercept) 1.084 1 0.298
mito_snp 5.792 8 0.671
nuclear 3.084 2 0.214
mito_snp:nuclear 9.564 7 0.215
>>>>> combined plot
comb_fert <- bind_rows(
  emmeans(hatch2, ~ mito * nuclear, type = 'response') %>% as_tibble() %>% mutate(age = "Young"),
  emmeans(ster_emm, ~ mito * nuclear, type = 'response') %>% as_tibble() %>% mutate(age = "Old")) %>% 
  mutate(age = fct_relevel(tolower(age), c("young", "old"))) %>% 
  ggplot(aes(x = nuclear, y = prob, fill = mito)) +
  geom_line(aes(group = mito, colour = mito), position = position_dodge(width = .5)) +
  geom_point(size = 3, pch = 21, position = position_dodge(width = .5)) +
  labs(y = 'Proportion fertile (EMM)') +
  scale_colour_manual(values = met3) +
  scale_fill_manual(values = met3) +
  facet_wrap(~age) +
  theme_bw() + 
  theme() +
  NULL

comb_fert

> Sperm viability

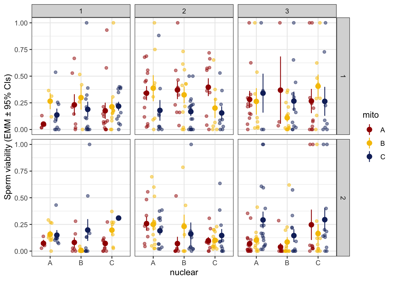
We measured sperm viability using live/dead staining in a control medium (t0 = c) and after 30mins in a stressor medium (t30 = t). First, we analysed control and treatment separately. For the measurement of sperm viability, we collected all males on a single day for each block. However, the dissection, staining and incubation protocol necessitated measurements were carried out over several days. The measurement of sperm viability in young males (collected at 5 days old) thus extended for 8 days and that of old males (collected at 6 weeks old) for 6 days. To account for this variation in age we included dissection day (an extension of male age) and block as fixed covariates.

The sperm viability models returned a singularity warning message due to a zero-variance component estimate for the line random effect intercept. We retained these models after trying a range of alternatives and checking simplified models without the random slopes term that all resulted in the same qualitative findings for the fixed effects part of the model.

sperm_vib_filt %>% 
  group_by(mito, nuclear, age, treatment) %>% 
  summarise(mn = mean(viability),
            se = sd(viability)/sqrt(n()),
            s95 = se * 1.96) %>% 
  ggplot(aes(x = nuclear, y = mn, fill = mito)) +
  geom_point(data = sperm_vib_filt %>% 
               group_by(mito, nuclear, age, treatment, male_ID) %>% 
               summarise(viability = mean(viability)),
             aes(y = viability, colour = mito), alpha = .15,
             position = position_jitterdodge(dodge.width = .5, jitter.width = .1)) +
  geom_errorbar(aes(ymin = mn - s95, ymax = mn + s95), 
                width = .25, position = position_dodge(width = .5)) +
  geom_line(aes(group = mito), position = position_dodge(width = .5)) + 
  geom_point(size = 3, pch = 21, position = position_dodge(width = .5)) +
  labs(y = 'Sperm viability') +
  facet_grid(treatment ~ age, scales = 'free_x') +
  scale_colour_manual(values = met3) +
  scale_fill_manual(values = met3) +
  theme_bw() + 
  theme() + 
  NULL

>>> Control treatment (t0)

First we take a look at the data to see how response changes with the covariates.

>>>> Day effect

spvfilt_control <- sperm_vib_filt %>% filter(treatment == 'c')

spvfilt_control %>% 
  group_by(mito, nuclear, age, days) %>% 
  summarise(mn = mean(viability),
            se = sd(viability)/sqrt(n()),
            s95 = se * 1.96) %>% 
  ggplot(aes(x = nuclear, y = mn, fill = mito)) +
  geom_point(data = spvfilt_control %>% 
                group_by(mito, nuclear, age, days, male_ID) %>% summarise(viability = mean(viability)),
             aes(y = viability, colour = mito), alpha = .15,
             position = position_jitterdodge(dodge.width = .5, jitter.width = .1)) +
  geom_errorbar(aes(ymin = mn - s95, ymax = mn + s95), 
                width = .25, position = position_dodge(width = .5)) +
  geom_line(aes(group = mito, colour = mito), position = position_dodge(width = .5)) + 
  geom_point(size = 3, pch = 21, position = position_dodge(width = .5)) +
  labs(y = 'Sperm viability') +
  facet_grid(age ~ days, scales = 'free_x') +
  scale_colour_manual(values = met3) +
  scale_fill_manual(values = met3) +
  theme_bw() + 
  theme() + 
  NULL

>>>> Block effect

spvfilt_control %>% 
  group_by(mito, nuclear, age, block) %>% 
  summarise(mn = mean(viability),
            se = sd(viability)/sqrt(n()),
            s95 = se * 1.96) %>% 
  ggplot(aes(x = nuclear, y = mn, fill = mito)) +
  geom_point(data = spvfilt_control %>% 
                group_by(mito, nuclear, age, block, male_ID) %>% summarise(viability = mean(viability)),
             aes(y = viability, colour = mito), alpha = .15,
             position = position_jitterdodge(dodge.width = .5, jitter.width = .1)) +
  geom_errorbar(aes(ymin = mn - s95, ymax = mn + s95), 
                width = .25, position = position_dodge(width = .5)) +
  geom_line(aes(group = mito, colour = mito), position = position_dodge(width = .5)) + 
  geom_point(size = 3, pch = 21, position = position_dodge(width = .5)) +
  labs(y = 'Sperm viability') +
  facet_grid(age ~ block, scales = 'free_x') +
  scale_colour_manual(values = met3) +
  scale_fill_manual(values = met3) +
  theme_bw() + 
  theme() + 
  NULL

>>> Results

viability_m1 <- glmer(cbind(live, dead) ~ mito * nuclear * age + days + block + (1|LINE:age) + (1|male_ID) + (1|OLRE),
                      data = spvfilt_control, family = 'binomial',
                   control = glmerControl(optimizer = "bobyqa", optCtrl = list(maxfun = 50000)))

>>>> Check diagnostics

performance::check_model(viability_m1)

performance::check_overdispersion(viability_m1)
# Overdispersion test

 dispersion ratio =   0.625
          p-value = < 0.001
# diagnostics
testDispersion(viability_m1)
    DHARMa nonparametric dispersion test via sd of residuals fitted vs.
    simulated

data:  simulationOutput
dispersion = 0.62462, p-value < 2.2e-16
alternative hypothesis: two.sided
simulationOutput <- simulateResiduals(fittedModel = viability_m1, plot = FALSE)
hist(residuals(simulationOutput))

hist(residuals(simulationOutput, quantileFunction = qnorm, outlierValues = c(-7,7)))

plot(simulationOutput)

>>>>

car::Anova(viability_m1, type = "3") %>% broom::tidy() %>% 
  as_tibble() %>% 
  kable(digits = 3, 
        caption = 'Analysis of Deviance Table (Type III Wald chisquare tests)') %>% 
  kable_styling(full_width = FALSE)
Analysis of Deviance Table (Type III Wald chisquare tests)
term statistic df p.value
(Intercept) 241.616 1 0.000
mito 0.986 2 0.611
nuclear 13.078 2 0.001
age 34.305 1 0.000
days 2.467 1 0.116
block 0.389 1 0.533
mito:nuclear 1.755 4 0.781
mito:age 0.125 2 0.939
nuclear:age 13.100 2 0.001
mito:nuclear:age 3.910 4 0.418
#summary(viability_m1)

# posthoc tests
bind_rows(emmeans(viability_m1, pairwise ~ age | nuclear, adjust = "tukey")$contrasts %>% broom::tidy(),
          emmeans(viability_m1, pairwise ~ nuclear | age, adjust = "tukey")$contrasts %>% broom::tidy() %>%
            rename(p.value = adj.p.value)) %>% 
  mutate(p.val = ifelse(p.value < 0.001, '< 0.001', round(p.value, 3))) %>% 
  select(-p.value, -term) %>% relocate(age, .before = contrast) %>% 
  kable(digits = 3, 
        caption = 'Posthoc Tukey tests to compare which groups differ') %>% 
  kable_styling(full_width = FALSE) %>%
  kableExtra::group_rows("Age", 1, 3) %>%
  kableExtra::group_rows("Nuclear - old", 4, 6) %>%
  kableExtra::group_rows("Nuclear - young", 7, 9)
Posthoc Tukey tests to compare which groups differ
nuclear age contrast null.value estimate std.error df statistic p.val
Age
A NA young - old 0 0.750 0.114 Inf 6.574 < 0.001
B NA young - old 0 0.179 0.128 Inf 1.397 0.163
C NA young - old 0 0.319 0.114 Inf 2.797 0.005
Nuclear - old
NA young A - B 0 0.095 0.104 Inf 0.919 0.628
NA young A - C 0 -0.067 0.104 Inf -0.647 0.794
NA young B - C 0 -0.162 0.103 Inf -1.574 0.257
Nuclear - young
NA old A - B 0 -0.476 0.133 Inf -3.582 < 0.001
NA old A - C 0 -0.499 0.121 Inf -4.134 < 0.001
NA old B - C 0 -0.023 0.133 Inf -0.170 0.984

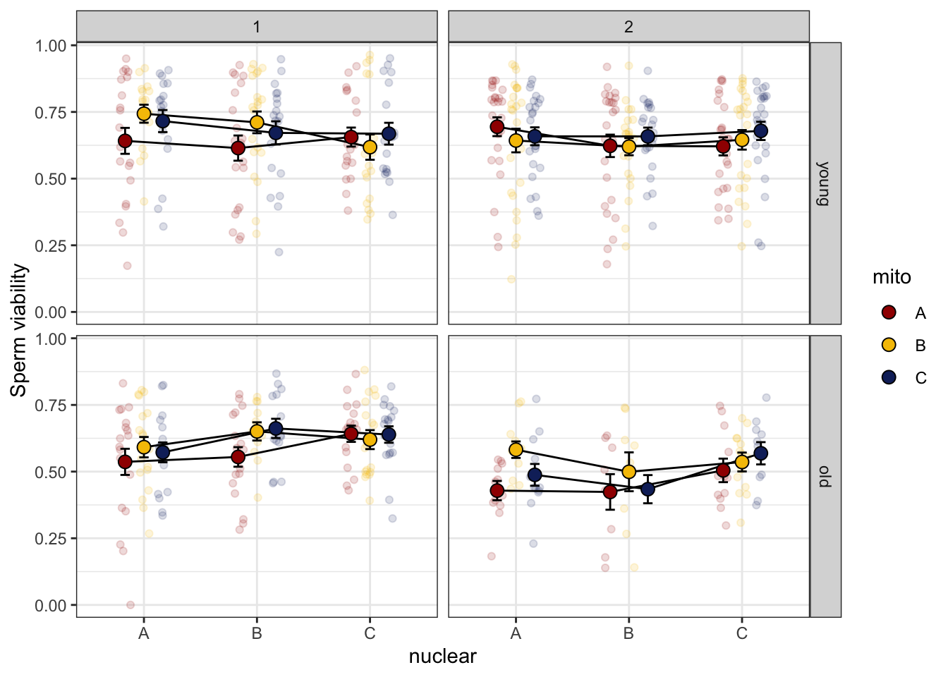
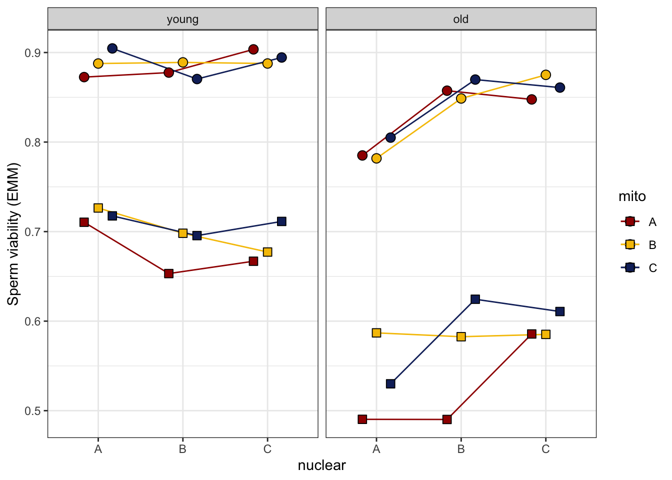
>>>> Reaction norms

sperm_vib_norm <- emmeans(viability_m1, ~ mito * nuclear * age, type = 'response') %>% as_tibble() %>% 
  ggplot(aes(x = nuclear, y = prob, fill = mito)) +
  geom_line(aes(group = mito, colour = mito), position = position_dodge(width = .5)) +
  # geom_errorbar(aes(ymin = asymp.LCL, ymax = asymp.UCL), 
  #               width = .25, position = position_dodge(width = .65)) +
  geom_point(size = 3, pch = 21, position = position_dodge(width = .5)) +
  labs(y = 'Sperm viability (EMM)') +
  scale_colour_manual(values = met3) +
  scale_fill_manual(values = met3) +
  #scale_y_continuous(limits = c(0, 1.05)) +
  facet_wrap(~ age) +
  theme_bw() + 
  theme() + 
  NULL

sperm_vib_norm

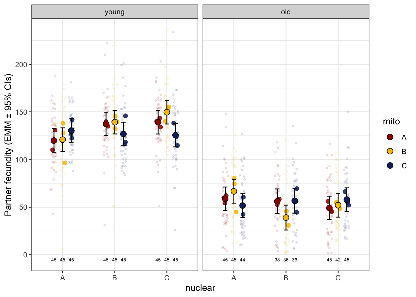
>>>> Raw data and means

sperm_vib_raw <- emmeans(viability_m1, ~ mito * nuclear * age, type = 'response') %>% as_tibble() %>% 
  ggplot(aes(x = nuclear, y = prob, fill = mito)) +
  geom_jitter(data = spvfilt_control %>% 
               group_by(mito, nuclear, age, treatment, male_ID) %>% 
               summarise(viability = mean(viability)),
              aes(y = viability, colour = mito),
               position = position_jitterdodge(dodge.width = .5, jitter.width = .1),
              size = 0.75, alpha = .1) +
  geom_jitter(data = spvfilt_control %>% 
                group_by(LINE, age) %>% 
                summarise(mn = mean(viability)) %>% 
                separate(LINE, into = c("mito", "nuclear", NA), sep = "(?<=.)", remove = FALSE),
              aes(y = mn, colour = mito),
              position = position_jitterdodge(dodge.width = .5, jitter.width = .1),
              alpha = .85, size = 2) +
  geom_errorbar(aes(ymin = asymp.LCL, ymax = asymp.UCL), 
                width = .25, position = position_dodge(width = .5)) +
  geom_point(size = 3, pch = 21, position = position_dodge(width = .5)) +
  labs(y = 'Sperm viability (EMM ± 95% CIs)') +
  scale_colour_manual(values = met3) +
  scale_fill_manual(values = met3) +
  facet_wrap(~ age) +
  theme_bw() + 
  theme() + 
  geom_text(data = spvfilt_control %>% 
              group_by(mito, nuclear, age) %>% 
              summarise(N = n_distinct(male_ID)), 
            aes(y = -0.04, label = N), 
            size = 2, position = position_dodge(width = .5)) + 
  #ggsave('figures/sperm_vib_contrl_supp.pdf', height = 4, width = 8, dpi = 600, useDingbats = FALSE) +
  NULL

sperm_vib_raw

Matched vs. mismatched

viability_coevo <- glmer(cbind(live, dead) ~ coevolved * age + days + block + (age|LINE) + (1|male_ID) + (1|OLRE),
                      data = spvfilt_control, family = 'binomial')

car::Anova(viability_coevo, type = "3")
Analysis of Deviance Table (Type III Wald chisquare tests)

Response: cbind(live, dead)
                 Chisq Df Pr(>Chisq)    
(Intercept)   222.9440  1  < 2.2e-16 ***
coevolved       0.2777  1     0.5982    
age            28.5398  1  9.179e-08 ***
days            2.3157  1     0.1281    
block           0.4828  1     0.4872    
coevolved:age   0.0162  1     0.8988    
---
Signif. codes:  0 '***' 0.001 '**' 0.01 '*' 0.05 '.' 0.1 ' ' 1

Mito-type analysis

viability_snp <- glmer(cbind(live, dead) ~ mito_snp * nuclear * age + 
                         days + block + (1 + age|LINE) + (1|male_ID) + (1|OLRE),
                       data = spvfilt_control, family = 'binomial',
                       control= glmerControl(optimizer="bobyqa", optCtrl=list(maxfun=50000)))

car::Anova(viability_snp, type = "3")
Analysis of Deviance Table (Type III Wald chisquare tests)

Response: cbind(live, dead)
                       Chisq Df Pr(>Chisq)    
(Intercept)          94.0598  1  < 2.2e-16 ***
mito_snp              6.2862  8   0.615205    
nuclear               0.2596  2   0.878279    
age                   6.9185  1   0.008531 ** 
days                  2.5477  1   0.110455    
block                 0.4244  1   0.514727    
mito_snp:nuclear      6.5456  7   0.477669    
mito_snp:age          3.1756  8   0.922859    
nuclear:age           4.1995  2   0.122486    
mito_snp:nuclear:age  5.3770  7   0.614063    
---
Signif. codes:  0 '***' 0.001 '**' 0.01 '*' 0.05 '.' 0.1 ' ' 1

>> Stress treatment (t30)

spvfilt_treat <- sperm_vib_filt %>% filter(treatment == 't')

>>>> Day effect

spvfilt_treat %>% 
  group_by(mito, nuclear, age, block) %>% 
  summarise(mn = mean(viability),
            se = sd(viability)/sqrt(n()),
            s95 = se * 1.96) %>% 
  ggplot(aes(x = nuclear, y = mn, fill = mito)) +
  geom_point(data = spvfilt_treat %>% 
                group_by(mito, nuclear, age, block, male_ID) %>% summarise(viability = mean(viability)),
             aes(y = viability, colour = mito), alpha = .15,
             position = position_jitterdodge(dodge.width = .5, jitter.width = .1)) +
  geom_errorbar(aes(ymin = mn - s95, ymax = mn + s95), 
                width = .25, position = position_dodge(width = .5)) +
  geom_line(aes(group = mito), position = position_dodge(width = .5)) + 
  geom_point(size = 3, pch = 21, position = position_dodge(width = .5)) +
  labs(y = 'Sperm viability') +
  facet_grid(age ~ block, scales = 'free_x') +
  scale_colour_manual(values = met3) +
  scale_fill_manual(values = met3) +
  theme_bw() + 
  theme() + 
  NULL

>>>> Block effect

spvfilt_treat %>% 
  group_by(mito, nuclear, age, days) %>% 
  summarise(mn = mean(viability),
            se = sd(viability)/sqrt(n()),
            s95 = se * 1.96) %>% 
  ggplot(aes(x = nuclear, y = mn, fill = mito)) +
  geom_point(data = spvfilt_treat %>% 
                group_by(mito, nuclear, age, days, male_ID) %>% summarise(viability = mean(viability)),
             aes(y = viability, colour = mito), alpha = .15,
             position = position_jitterdodge(dodge.width = .5, jitter.width = .1)) +
  geom_errorbar(aes(ymin = mn - s95, ymax = mn + s95), 
                width = .25, position = position_dodge(width = .5)) +
  geom_line(aes(group = mito), position = position_dodge(width = .5)) + 
  geom_point(size = 3, pch = 21, position = position_dodge(width = .5)) +
  labs(y = 'Sperm viability') +
  facet_grid(age ~ days, scales = 'free_x') +
  scale_colour_manual(values = met3) +
  scale_fill_manual(values = met3) +
  theme_bw() + 
  theme() + 
  NULL

>>> Results

# model
viability_m2 <- glmer(cbind(live, dead) ~ mito * nuclear * age + days + block + (1 + age|LINE) + (1|male_ID) + (1|OLRE),
                      data = spvfilt_treat, family = 'binomial',
                      control = glmerControl(optimizer = "bobyqa", optCtrl = list(maxfun = 50000)))

>>>> Check diagnostics

performance::check_model(viability_m2)

performance::check_overdispersion(viability_m2)
# Overdispersion test

 dispersion ratio =   0.854
          p-value = < 0.001
testDispersion(viability_m2)
    DHARMa nonparametric dispersion test via sd of residuals fitted vs.
    simulated

data:  simulationOutput
dispersion = 0.85413, p-value < 2.2e-16
alternative hypothesis: two.sided
simulationOutput <- simulateResiduals(fittedModel = viability_m2, plot = FALSE)
hist(residuals(simulationOutput))

hist(residuals(simulationOutput, quantileFunction = qnorm, outlierValues = c(-7,7)))

plot(simulationOutput)

>>>> Results

car::Anova(viability_m2, type = "3")
Analysis of Deviance Table (Type III Wald chisquare tests)

Response: cbind(live, dead)
                   Chisq Df Pr(>Chisq)    
(Intercept)      77.6979  1  < 2.2e-16 ***
mito              7.1190  2   0.028453 *  
nuclear           0.5454  2   0.761314    
age              58.1012  1   2.49e-14 ***
days              3.5141  1   0.060850 .  
block            15.1182  1   0.000101 ***
mito:nuclear      3.7595  4   0.439535    
mito:age          0.8531  2   0.652755    
nuclear:age       6.0222  2   0.049236 *  
mito:nuclear:age  1.7779  4   0.776531    
---
Signif. codes:  0 '***' 0.001 '**' 0.01 '*' 0.05 '.' 0.1 ' ' 1
#summary(viability_m2)

# posthoc tests
bind_rows(emmeans(viability_m2, pairwise ~ mito, adjust = "tukey")$contrasts %>% broom::tidy() %>%
            rename(p.value = adj.p.value),
          emmeans(viability_m2, pairwise ~ block, adjust = "tukey")$contrasts %>% broom::tidy(),
          emmeans(viability_m2, pairwise ~ age | nuclear, adjust = "tukey")$contrasts %>% broom::tidy(),
          emmeans(viability_m2, pairwise ~ nuclear | age, adjust = "tukey")$contrasts %>% broom::tidy() %>%
            rename(p.value = adj.p.value)) %>% 
  mutate(p.val = ifelse(p.value < 0.001, '< 0.001', round(p.value, 3))) %>% 
  select(-p.value, -term) %>% relocate(age, .before = contrast) %>% 
  kable(digits = 3, 
        caption = 'Posthoc Tukey tests to compare which groups differ') %>% 
  kable_styling(full_width = FALSE) %>%
  kableExtra::group_rows("Mitochondria", 1, 3) %>%
  kableExtra::group_rows("Block", 4, 4) %>%
  kableExtra::group_rows("Age", 5, 7) %>%
  kableExtra::group_rows("Nuclear - old", 8, 10) %>%
  kableExtra::group_rows("Nuclear - young", 11, 13)
Posthoc Tukey tests to compare which groups differ
age contrast null.value estimate std.error df statistic nuclear p.val
Mitochondria
NA A - B 0 -0.182 0.084 Inf -2.158 NA 0.079
NA A - C 0 -0.208 0.086 Inf -2.412 NA 0.042
NA B - C 0 -0.026 0.087 Inf -0.297 NA 0.953
Block
NA block1 - block2 0 0.270 0.069 Inf 3.888 NA < 0.001
Age
NA young - old 0 0.791 0.119 Inf 6.647 A < 0.001
NA young - old 0 0.498 0.133 Inf 3.741 B < 0.001
NA young - old 0 0.399 0.118 Inf 3.376 C < 0.001
Nuclear - old
young A - B 0 0.170 0.107 Inf 1.584 NA 0.253
young A - C 0 0.156 0.107 Inf 1.461 NA 0.31
young B - C 0 -0.013 0.106 Inf -0.124 NA 0.992
Nuclear - young
old A - B 0 -0.123 0.139 Inf -0.889 NA 0.647
old A - C 0 -0.236 0.126 Inf -1.874 NA 0.146
old B - C 0 -0.113 0.139 Inf -0.813 NA 0.695
>>>>> Reaction norms
sperm_stress_norm <- emmeans(viability_m2, ~ mito * nuclear * age, type = 'response') %>% as_tibble() %>% 
  ggplot(aes(x = nuclear, y = prob, fill = mito)) +
  geom_line(aes(group = mito, colour = mito), position = position_dodge(width = .5)) +
  geom_point(size = 3, pch = 21, position = position_dodge(width = .5)) +
  labs(y = 'Sperm viability (EMM)') +
  scale_colour_manual(values = met3) +
  scale_fill_manual(values = met3) +
  facet_wrap(~ age) +
  theme_bw() + 
  theme() + 
  NULL

sperm_stress_norm

>>>>> Raw data and means
sperm_stress_raw <- emmeans(viability_m2, ~ mito * nuclear * age, type = 'response') %>% as_tibble() %>% 
  ggplot(aes(x = nuclear, y = prob, fill = mito)) +
  geom_jitter(data = spvfilt_treat %>% 
               group_by(mito, nuclear, age, treatment, male_ID) %>% 
               summarise(viability = mean(viability)),
              aes(y = viability, colour = mito),
               position = position_jitterdodge(dodge.width = .5, jitter.width = .1),
              size = 0.75, alpha = .1) +
  geom_jitter(data = spvfilt_treat %>% 
                group_by(LINE, age) %>% 
                summarise(mn = mean(viability)) %>% 
                separate(LINE, into = c("mito", "nuclear", NA), sep = "(?<=.)", remove = FALSE),
              aes(y = mn, colour = mito),
              position = position_jitterdodge(dodge.width = .5, jitter.width = .1),
              alpha = .85, size = 2) +
  geom_errorbar(aes(ymin = asymp.LCL, ymax = asymp.UCL), 
                width = .25, position = position_dodge(width = .5)) +
  geom_point(size = 3, pch = 21, position = position_dodge(width = .5)) +
  labs(y = 'Sperm viability (EMM ± 95% CIs)') +
  scale_colour_manual(values = met3) +
  scale_fill_manual(values = met3) +
  facet_wrap(~ age) +
  theme_bw() + 
  theme() + 
  geom_text(data = spvfilt_control %>% 
              group_by(mito, nuclear, age) %>% 
              summarise(N = n_distinct(male_ID)), 
            aes(y = -0.04, label = N), 
            size = 2, position = position_dodge(width = .5)) + 
  #ggsave('figures/sperm_stress_raw.pdf', height = 4, width = 8, dpi = 600, useDingbats = FALSE) +
  NULL

sperm_stress_raw

Matched vs. mismatched

stress_coevo <- glmer(cbind(live, dead) ~ coevolved * age + days + block + (age|LINE) + (1|male_ID) + (1|OLRE),
                      data = spvfilt_treat, family = 'binomial')

car::Anova(stress_coevo, type = "3")
Analysis of Deviance Table (Type III Wald chisquare tests)

Response: cbind(live, dead)
                Chisq Df Pr(>Chisq)    
(Intercept)   75.6518  1  < 2.2e-16 ***
coevolved      0.1516  1  0.6970370    
age           56.4580  1  5.741e-14 ***
days           3.5747  1  0.0586647 .  
block         15.0434  1  0.0001051 ***
coevolved:age  0.5181  1  0.4716464    
---
Signif. codes:  0 '***' 0.001 '**' 0.01 '*' 0.05 '.' 0.1 ' ' 1

Mito-type analysis

viability_m2_snp <- glmer(cbind(live, dead) ~ mito_snp * nuclear * age +  days + block + 
                            (1 + age|LINE) + (1|male_ID) + (1|OLRE),
                          data = spvfilt_treat, family = 'binomial',
                      control = glmerControl(optimizer = "bobyqa", optCtrl = list(maxfun = 50000)))

car::Anova(viability_m2_snp, type = "3")
Analysis of Deviance Table (Type III Wald chisquare tests)

Response: cbind(live, dead)
                       Chisq Df Pr(>Chisq)    
(Intercept)          28.9303  1  7.503e-08 ***
mito_snp             11.0643  8    0.19808    
nuclear               0.5764  2    0.74962    
age                   5.6219  1    0.01774 *  
days                  3.6522  1    0.05600 .  
block                15.2930  1  9.206e-05 ***
mito_snp:nuclear      2.0731  7    0.95568    
mito_snp:age          0.9689  8    0.99844    
nuclear:age           2.4954  2    0.28716    
mito_snp:nuclear:age  2.8611  7    0.89755    
---
Signif. codes:  0 '***' 0.001 '**' 0.01 '*' 0.05 '.' 0.1 ' ' 1

Combined plots

sperm_diffs_norm <- emmeans(viability_m1, ~ mito * nuclear * age, type = 'response') %>% as_tibble() %>% 
  ggplot(aes(x = nuclear, y = prob, fill = mito)) +
  geom_line(aes(group = mito, colour = mito), position = position_dodge(width = .5)) +
  geom_point(size = 3, pch = 21, position = position_dodge(width = .5)) +
  geom_line(data = emmeans(viability_m2, ~ mito * nuclear * age, type = 'response') %>% as_tibble(),
            aes(group = mito, colour = mito), position = position_dodge(width = .5)) +
  geom_point(data = emmeans(viability_m2, ~ mito * nuclear * age, type = 'response') %>% as_tibble(),
             aes(fill = mito), size = 3, pch = 22, position = position_dodge(width = .5)) + 
  labs(y = 'Sperm viability (EMM)') +
  scale_colour_manual(values = met3) +
  scale_fill_manual(values = met3) +
  facet_wrap(~ age) +
  theme_bw() + 
  theme() + 
  NULL

sperm_diffs_norm

>> Sperm quality

For the analysis of sperm quality we calculated the mean difference in sperm viability between treated and control for each male. In the plots below lines connect the mean measurements for each male, showing the overall average decline in viability after stress treatment.

# calculate difference in viability between treatment/control for each male
viability_diff <- sperm_vib_filt %>%
  group_by(treatment, mito, mito_snp, nuclear, coevolved, LINE, age, male_ID, block, days) %>% 
  summarise(mn_vib = mean(viability)) %>% #filter(male_ID == 1) %>% 
  pivot_wider(names_from = treatment, 
              values_from = mn_vib) %>% 
  mutate(diff = t - c)

>>> Young males

viability_diff %>% pivot_longer(cols = c(c, t)) %>% filter(age == "young") %>% 
  ggplot(aes(x = name, y = value)) + 
  geom_line(aes(group = male_ID, colour = mito)) +
  scale_colour_manual(values = met3) +
  facet_grid(mito ~ nuclear) +
  NULL

>>> Old males

viability_diff %>% pivot_longer(cols = c(c, t)) %>% filter(age == "old") %>% 
  ggplot(aes(x = name, y = value)) + 
  geom_line(aes(group = male_ID, colour = mito)) +
  scale_colour_manual(values = met3) +
  facet_grid(mito ~ nuclear) +
  NULL

hist(viability_diff$diff)

vib_diff_test <- lmerTest::lmer(diff ~ mito * nuclear * age + block + days + (1 + age|LINE), 
                                data = viability_diff)

>>> Check diagnostics

performance::check_model(vib_diff_test)

testDispersion(vib_diff_test)
    DHARMa nonparametric dispersion test via sd of residuals fitted vs.
    simulated

data:  simulationOutput
dispersion = 0.96613, p-value = 0.528
alternative hypothesis: two.sided
simulationOutput <- simulateResiduals(fittedModel = vib_diff_test, plot = FALSE)
hist(residuals(simulationOutput))

hist(residuals(simulationOutput, quantileFunction = qnorm, outlierValues = c(-7,7)))

plot(simulationOutput)

>>> Results

anova(vib_diff_test, type = "III", ddf = "Kenward-Roger") %>% broom::tidy() %>% 
  as_tibble() %>% 
  kable(digits = 3, 
        caption = 'Type III Analysis of Variance Table with Kenward-Roger`s method') %>% 
  kable_styling(full_width = FALSE)
Type III Analysis of Variance Table with Kenward-Roger`s method
term sumsq meansq NumDF DenDF statistic p.value
mito 0.128 0.064 2 18.585 1.894 0.178
nuclear 0.130 0.065 2 18.471 1.915 0.176
age 0.315 0.315 1 22.638 9.312 0.006
block 0.345 0.345 1 579.154 10.204 0.001
days 0.255 0.255 1 576.522 7.549 0.006
mito:nuclear 0.172 0.043 4 18.333 1.271 0.317
mito:age 0.025 0.013 2 18.551 0.376 0.692
nuclear:age 0.030 0.015 2 18.432 0.447 0.646
mito:nuclear:age 0.093 0.023 4 18.331 0.686 0.611
#summary(vib_diff_test)

# posthoc tests
bind_rows(emmeans(vib_diff_test, pairwise ~ age, adjust = "tukey")$contrasts %>% broom::tidy(),
          emmeans(vib_diff_test, pairwise ~ block, adjust = "tukey")$contrasts %>% broom::tidy()) %>% 
  kable(digits = 3, 
        caption = 'Posthoc Tukey tests to compare which groups differ. Results are averaged over the levels of: mito, nuclear, age, block') %>% 
  kable_styling(full_width = FALSE) %>%
  kableExtra::group_rows("Age", 1, 1) %>%
  kableExtra::group_rows("Block", 2, 2)
Posthoc Tukey tests to compare which groups differ. Results are averaged over the levels of: mito, nuclear, age, block
term contrast null.value estimate std.error df statistic p.value
Age
age young - old 0 0.050 0.016 22.638 3.051 0.006
Block
block block1 - block2 0 0.048 0.015 579.154 3.194 0.001
emtrends(vib_diff_test, ~ days, var = "days") %>% broom::tidy() %>% 
  kable(digits = 3, 
        caption = 'Posthoc Tukey tests for days effect. Results are averaged over the levels of: mito, nuclear, age, block') %>% 
  kable_styling(full_width = FALSE)
Posthoc Tukey tests for days effect. Results are averaged over the levels of: mito, nuclear, age, block
days days.trend std.error df statistic p.value
3.738 -0.01 0.004 576.522 -2.747 0.006

>>>> Reaction norms

sperm_qual_norm <- emmeans(vib_diff_test, ~ mito * nuclear * age) %>% as_tibble() %>% 
  ggplot(aes(x = nuclear, y = emmean, fill = mito)) +
  geom_line(aes(group = mito, colour = mito), position = position_dodge(width = .5)) +
  geom_point(size = 3, pch = 23, position = position_dodge(width = .5)) +
  labs(y = 'Sperm viability (EMM)') +
  scale_colour_manual(values = met3) +
  scale_fill_manual(values = met3) +
  facet_wrap(~ age) +
  theme_bw() + 
  theme() + 
  NULL

sperm_qual_norm

>>> Matched vs. mismatched

vib_diff_coevo <- lmerTest::lmer(diff ~ coevolved * age + block + days + (age|LINE), 
                                 data = viability_diff,
                                 na.action = 'na.fail')

anova(vib_diff_coevo, type = "III", ddf = "Kenward-Roger")
Type III Analysis of Variance Table with Kenward-Roger's method
               Sum Sq Mean Sq NumDF  DenDF F value   Pr(>F)   
coevolved     0.01983 0.01983     1  24.82  0.5866 0.450964   
age           0.27915 0.27915     1  29.18  8.2593 0.007489 **
block         0.33197 0.33197     1 586.41  9.8219 0.001811 **
days          0.25758 0.25758     1 579.82  7.6210 0.005952 **
coevolved:age 0.00253 0.00253     1  24.85  0.0748 0.786719   
---
Signif. codes:  0 '***' 0.001 '**' 0.01 '*' 0.05 '.' 0.1 ' ' 1

>>> Mito-type analysis

vib_diff_snp <- lmerTest::lmer(diff ~ mito_snp * nuclear * age + block + days + (1 + age|LINE), 
                               data = viability_diff)

anova(vib_diff_snp, type = "III", ddf = "Kenward-Roger")
Type III Analysis of Variance Table with Kenward-Roger's method
                      Sum Sq Mean Sq NumDF  DenDF F value   Pr(>F)   
mito_snp             0.29901 0.03738     8   9.09  1.0899 0.445593   
nuclear              0.07678 0.03839     2   8.96  1.1188 0.368350   
age                  0.38706 0.38706     1  10.43 11.2829 0.006848 **
block                0.34418 0.34418     1 575.40 10.0328 0.001619 **
days                 0.25922 0.25922     1 575.16  7.5564 0.006168 **
mito_snp:nuclear     0.10879 0.01554     7   9.08  0.4530 0.845633   
mito_snp:age         0.23540 0.02942     8   9.09  0.8580 0.579924   
nuclear:age          0.01427 0.00714     2   8.95  0.2079 0.816073   
mito_snp:nuclear:age 0.14458 0.02065     7   9.08  0.6020 0.742017   
---
Signif. codes:  0 '***' 0.001 '**' 0.01 '*' 0.05 '.' 0.1 ' ' 1

> Sperm metabolic rate

We measured the metabolic rate of sperm dissected from seminal vesicles using NAD(P)H autofluorescence lifetime imaging (FLIM). Specifically, here we use parameter a2 (see online supplementary material for detailed methods).

Looking at the data there is a clear outlier in old males where a2 > 50. We will analyse the data including and excluding this outlier.

sperm_met %>% 
  group_by(mito, nuclear, age) %>% 
  summarise(mn = mean(a2),
            se = sd(a2)/sqrt(n()),
            s95 = se * 1.96) %>% 
  ggplot(aes(x = nuclear, y = mn, fill = mito)) +
  geom_point(data = sperm_met,
             aes(y = a2, colour = mito), alpha = .25,
             position = position_jitterdodge(dodge.width = .5, jitter.width = .1)) +
  geom_errorbar(aes(ymin = mn - s95, ymax = mn + s95), 
                width = .25, position = position_dodge(width = .5)) +
  geom_point(size = 3, pch = 21, position = position_dodge(width = .5)) +
  labs(y = 'a2') +
  facet_wrap(~ age, scales = 'free_x') +
  scale_colour_manual(values = met3) +
  scale_fill_manual(values = met3) +
  theme_bw() + 
  theme() + 
  NULL

>> Analysis

hist(sperm_met$p.a2, breaks = 50)

>>> With outlier

met_mod_outlier_test <- lmerTest::lmer(p.a2 ~ mito * nuclear * age + (1 + age|LINE),
                                       data = sperm_met, REML = TRUE)

anova(met_mod_outlier_test, type = "III", ddf = "Kenward-Roger")
Type III Analysis of Variance Table with Kenward-Roger's method
                   Sum Sq  Mean Sq NumDF  DenDF  F value    Pr(>F)    
mito             0.001762 0.000881     2 17.996   1.2674    0.3055    
nuclear          0.001419 0.000710     2 17.996   1.0206    0.3803    
age              0.086787 0.086787     1 17.996 124.8329 1.584e-09 ***
mito:nuclear     0.000415 0.000104     4 17.995   0.1492    0.9609    
mito:age         0.000956 0.000478     2 17.995   0.6876    0.5155    
nuclear:age      0.002506 0.001253     2 17.995   1.8020    0.1935    
mito:nuclear:age 0.002388 0.000597     4 17.994   0.8586    0.5072    
---
Signif. codes:  0 '***' 0.001 '**' 0.01 '*' 0.05 '.' 0.1 ' ' 1

>>> Without outlier

met_mod_test <- lmerTest::lmer(p.a2 ~ mito * nuclear * age + (1 + age|LINE),
                                       data = sperm_met %>% filter(a2 <= 30), REML = TRUE)

>>>> Check diagnostics

performance::check_model(met_mod_outlier_test)

testDispersion(met_mod_outlier_test)
    DHARMa nonparametric dispersion test via sd of residuals fitted vs.
    simulated

data:  simulationOutput
dispersion = 0.92929, p-value = 0.424
alternative hypothesis: two.sided
simulationOutput <- simulateResiduals(fittedModel = met_mod_outlier_test, plot = FALSE)
hist(residuals(simulationOutput))

hist(residuals(simulationOutput, quantileFunction = qnorm, outlierValues = c(-7,7)))

plot(simulationOutput)

>> Results

anova(met_mod_test, type = "III", ddf = "Kenward-Roger")
Type III Analysis of Variance Table with Kenward-Roger's method
                   Sum Sq  Mean Sq NumDF  DenDF  F value    Pr(>F)    
mito             0.000699 0.000350     2 17.984   1.1574    0.3366    
nuclear          0.000625 0.000313     2 17.980   1.0350    0.3754    
age              0.072582 0.072582     1 17.985 240.3372 7.514e-12 ***
mito:nuclear     0.000341 0.000085     4 17.978   0.2821    0.8857    
mito:age         0.000088 0.000044     2 17.985   0.1449    0.8661    
nuclear:age      0.000535 0.000268     2 17.981   0.8864    0.4294    
mito:nuclear:age 0.000611 0.000153     4 17.979   0.5057    0.7321    
---
Signif. codes:  0 '***' 0.001 '**' 0.01 '*' 0.05 '.' 0.1 ' ' 1
met_emm <- emmeans(met_mod_test, ~ mito * nuclear * age)

emmeans(met_mod_test, pairwise ~ age, adjust = "tukey")
$emmeans
 age   emmean      SE   df lower.CL upper.CL
 old    0.237 0.00150 17.9    0.234    0.240
 young  0.203 0.00153 18.0    0.200    0.207

Results are averaged over the levels of: mito, nuclear 
Degrees-of-freedom method: kenward-roger 
Confidence level used: 0.95 

$contrasts
 contrast    estimate      SE df t.ratio p.value
 old - young   0.0334 0.00215 18  15.503  <.0001

Results are averaged over the levels of: mito, nuclear 
Degrees-of-freedom method: kenward-roger 

>>> Reaction norms

sperm_met_norm <- emmeans(met_mod_test, ~ mito * nuclear * age) %>% as_tibble() %>% 
  ggplot(aes(x = nuclear, y = emmean, fill = mito)) +
  geom_line(aes(group = mito, colour = mito), position = position_dodge(width = .5)) +
  geom_point(size = 3, pch = 21, position = position_dodge(width = .5)) +
  labs(y = 'Sperm metabolic rate, a2 (EMM)') +
  scale_colour_manual(values = met3) +
  scale_fill_manual(values = met3) +
  facet_wrap(~ age) +
  theme_bw() + 
  theme() + 
  NULL

sperm_met_norm

>>> Raw data and means

sperm_met_raw <- emmeans(met_mod_test, ~ mito * nuclear * age) %>% as_tibble() %>% 
  ggplot(aes(x = nuclear, y = emmean, fill = mito)) +
  geom_jitter(data = sperm_met,
              aes(y = p.a2, colour = mito),
               position = position_jitterdodge(dodge.width = .5, jitter.width = .1),
              size = 0.75, alpha = .1) +
  geom_jitter(data = sperm_met %>% 
                group_by(LINE, age) %>% 
                summarise(mn = mean(p.a2)) %>% 
                separate(LINE, into = c("mito", "nuclear", NA), sep = "(?<=.)", remove = FALSE),
              aes(y = mn, colour = mito),
              position = position_jitterdodge(dodge.width = .5, jitter.width = .1),
              alpha = .85, size = 2) +
  geom_errorbar(aes(ymin = lower.CL, ymax = upper.CL), 
                width = .25, position = position_dodge(width = .5)) +
  geom_point(size = 3, pch = 21, position = position_dodge(width = .5)) +
  labs(y = 'Sperm metabolic rate, a2 (EMM ± 95% CIs)') +
  scale_colour_manual(values = met3) +
  scale_fill_manual(values = met3) +
  coord_cartesian(ylim = c(0.14, 0.34)) +
  facet_wrap(~ age) +
  theme_bw() + 
  theme() + 
  ggrepel::geom_text_repel(data = sperm_met %>% filter(a2 > 50), aes(y = p.a2), label = "CA1, a2 = 0.55") + 
  geom_text(data = sperm_met %>% group_by(mito, nuclear, age) %>% count(), aes(y = 0.14, label = n), 
            size = 2, position = position_dodge(width = .5)) + 
  #ggsave('figures/sperm_met_raw.pdf', height = 4, width = 8, dpi = 600, useDingbats = FALSE) +
  NULL

sperm_met_raw

>>> Matched vs. mismatched

met_mod_coevo <- lmerTest::lmer(p.a2 ~ coevolved * age + (1 + age|LINE), 
                                data = sperm_met %>% filter(a2 <= 30), REML = TRUE)

anova(met_mod_coevo, type = "III", ddf = "Kenward-Roger")
Type III Analysis of Variance Table with Kenward-Roger's method
                Sum Sq  Mean Sq NumDF  DenDF  F value    Pr(>F)    
coevolved     0.000071 0.000071     1 25.163   0.2392    0.6290    
age           0.069532 0.069532     1 25.163 234.5554 2.905e-14 ***
coevolved:age 0.000364 0.000364     1 25.163   1.2289    0.2781    
---
Signif. codes:  0 '***' 0.001 '**' 0.01 '*' 0.05 '.' 0.1 ' ' 1

>>> Mito-type analysis

met_mod_outlier_rm_snp <- lmerTest::lmer(p.a2 ~ mito_snp * nuclear * age + (1 + age|LINE), 
                                         data = sperm_met %>% filter(a2 <= 30))

anova(met_mod_outlier_rm_snp, type = "III", ddf = "Kenward-Roger")
Type III Analysis of Variance Table with Kenward-Roger's method
                       Sum Sq  Mean Sq NumDF  DenDF  F value    Pr(>F)    
mito_snp             0.001854 0.000232     8 8.8749   0.7690    0.6392    
nuclear              0.001367 0.000683     2 8.8614   2.2672    0.1603    
age                  0.054751 0.054751     1 9.0178 181.6457 2.792e-07 ***
mito_snp:nuclear     0.002263 0.000323     7 8.8640   1.0724    0.4509    
mito_snp:age         0.001489 0.000186     8 8.8749   0.6175    0.7456    
nuclear:age          0.000634 0.000317     2 8.8614   1.0511    0.3894    
mito_snp:nuclear:age 0.001933 0.000276     7 8.8640   0.9162    0.5358    
---
Signif. codes:  0 '***' 0.001 '**' 0.01 '*' 0.05 '.' 0.1 ' ' 1

> Sperm competition

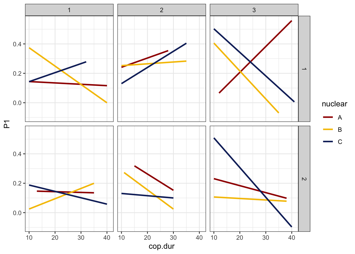
We measured sperm defence (P1) and offence (P2) for focal males against a competitor brown eyed (BW) male for 15 males from each mitonuclear population. The data shows overdispersion, so we use male ID as an observation level random effect. Note that here, we only measured young (5 day old) males.

>> Sperm defence (P1)

First we take a look at the data for each Day and Block, and see how P1 changes with copulation duration (cop.dur).

>>> Day and block effect

defence %>% 
  ggplot(aes(x = nuclear, y = P1, colour = mito)) +
  geom_jitter(position = position_jitterdodge(dodge.width = .65, jitter.width = .15),
              alpha = .5) +
  labs(y = 'Sperm viability (EMM ± 95% CIs)') +
  scale_colour_manual(values = met3) +
  scale_fill_manual(values = met3) +
  theme_bw() + 
  theme() + 
  stat_summary(position = position_dodge(width = 0.65)) +
  facet_grid(Day ~ Block) +
  NULL

>>> Copulation duration

defence %>% 
  ggplot(aes(x = cop.dur, y = P1, colour = nuclear)) +
  geom_smooth(method = "lm", se = FALSE) +
  scale_colour_manual(values = met3) +
  scale_fill_manual(values = met3) +
  theme_bw() + 
  theme() + 
  facet_grid(Day ~ Block) +
  NULL

p1.mod1 <- glmer(cbind(RED, BW) ~ mito * nuclear + Day + cop.dur + (1 + cop.dur|LINE) + (1|ID) + (1|Block),
                 data = defence, family = binomial, 
                 control= glmerControl(optimizer="bobyqa", optCtrl=list(maxfun=50000))
                 )

>>> Check diagnostics

performance::check_model(p1.mod1)

performance::check_overdispersion(p1.mod1)
# Overdispersion test

 dispersion ratio = 0.887
          p-value = 0.224
testDispersion(p1.mod1)
    DHARMa nonparametric dispersion test via sd of residuals fitted vs.
    simulated

data:  simulationOutput
dispersion = 0.8871, p-value = 0.224
alternative hypothesis: two.sided
simulationOutput <- simulateResiduals(fittedModel = p1.mod1, plot = FALSE)
hist(residuals(simulationOutput))

hist(residuals(simulationOutput, quantileFunction = qnorm, outlierValues = c(-7,7)))

plot(simulationOutput)

>>> Results

car::Anova(p1.mod1, type = "3")
Analysis of Deviance Table (Type III Wald chisquare tests)

Response: cbind(RED, BW)
               Chisq Df Pr(>Chisq)    
(Intercept)   6.2791  1   0.012217 *  
mito          0.5736  2   0.750651    
nuclear      12.7946  2   0.001666 ** 
Day          16.8611  1  4.022e-05 ***
cop.dur       2.2087  1   0.137236    
mito:nuclear  2.4555  4   0.652627    
---
Signif. codes:  0 '***' 0.001 '**' 0.01 '*' 0.05 '.' 0.1 ' ' 1
# posthoc tests
bind_rows(emmeans(p1.mod1, pairwise ~ nuclear, adjust = "tukey")$contrasts %>% broom::tidy() %>%
            rename(p.value = adj.p.value),
          emmeans(p1.mod1, pairwise ~ Day, adjust = "tukey")$contrasts %>% broom::tidy()) %>% 
  mutate(p.val = ifelse(p.value < 0.001, '< 0.001', round(p.value, 3))) %>% 
  select(-p.value, -term) %>% 
  kable(digits = 3, 
        caption = 'Posthoc Tukey tests to compare which groups differ') %>% 
  kable_styling(full_width = FALSE) %>%
  kableExtra::group_rows("Nuclear", 1, 3) %>%
  kableExtra::group_rows("Day", 4, 4)
Posthoc Tukey tests to compare which groups differ
contrast null.value estimate std.error df statistic p.val
Nuclear
A - B 0 0.954 0.272 Inf 3.510 0.001
A - C 0 0.291 0.260 Inf 1.118 0.503
B - C 0 -0.663 0.269 Inf -2.466 0.036
Day
Day1 - Day2 0 0.886 0.216 Inf 4.106 < 0.001
p1plot_raw <- emmeans(p1.mod1, ~ mito * nuclear, type = 'response') %>% as_tibble() %>% 
  ggplot(aes(x = nuclear, y = prob, fill = mito)) +
  geom_jitter(data = defence,
              aes(y = P1, colour = mito),
               position = position_jitterdodge(dodge.width = .5, jitter.width = .1),
              alpha = .25) + 
  geom_jitter(data = defence %>% 
                group_by(LINE) %>% 
                summarise(mn = mean(P1)) %>% 
                separate(LINE, into = c("mito", "nuclear", NA), sep = "(?<=.)", remove = FALSE),
              aes(y = mn, colour = mito),
              position = position_jitterdodge(dodge.width = .5, jitter.width = .1),
              alpha = .85, size = 2) +
  geom_errorbar(aes(ymin = asymp.LCL, ymax = asymp.UCL), 
                width = .25, position = position_dodge(width = .5)) +
  geom_point(size = 3, pch = 21, position = position_dodge(width = .5)) +
  labs(y = expression(P[1]*" (EMM ± 95% CIs)")) +
  scale_colour_manual(values = met3) +
  scale_fill_manual(values = met3) +
  theme_bw() + 
  theme() + 
  geom_text(data = defence %>% 
              group_by(mito, nuclear) %>% count(), aes(y = -0.04, label = n), 
            size = 2, position = position_dodge(width = .5)) + 
  #ggsave('figures/p1plot_raw.pdf', height = 4, width = 5, dpi = 600, useDingbats = FALSE) +
  NULL

p1plot_raw

>>> Matched vs. mismatched

p1.coevo <- glmer(cbind(RED, BW) ~ coevolved + Day + cop.dur + (1 + cop.dur|LINE) + (1|ID) + (1|Block),
                 data = defence, family = binomial, 
                 control= glmerControl(optimizer="bobyqa", optCtrl=list(maxfun=50000))
                 )

car::Anova(p1.coevo, type = "3")
Analysis of Deviance Table (Type III Wald chisquare tests)

Response: cbind(RED, BW)
              Chisq Df Pr(>Chisq)    
(Intercept)  7.2827  1  0.0069623 ** 
coevolved    1.8058  1  0.1790107    
Day         13.4235  1  0.0002485 ***
cop.dur      1.8764  1  0.1707460    
---
Signif. codes:  0 '***' 0.001 '**' 0.01 '*' 0.05 '.' 0.1 ' ' 1

>>> Mito-type analysis

p1.snp <- glmer(cbind(RED, BW) ~ mito_snp * nuclear + Day + cop.dur + (1 + cop.dur|LINE) + (1|ID) + (1|Block),
                 data = defence, family = binomial, 
                 control= glmerControl(optimizer="bobyqa", optCtrl=list(maxfun=1e6)))

car::Anova(p1.snp, type = "3")
Analysis of Deviance Table (Type III Wald chisquare tests)

Response: cbind(RED, BW)
                   Chisq Df Pr(>Chisq)    
(Intercept)       8.0205  1   0.004625 ** 
mito_snp          4.9541  8   0.762472    
nuclear           0.0089  2   0.995559    
Day              15.2078  1  9.631e-05 ***
cop.dur           2.0267  1   0.154558    
mito_snp:nuclear  8.6698  7   0.277241    
---
Signif. codes:  0 '***' 0.001 '**' 0.01 '*' 0.05 '.' 0.1 ' ' 1

>> Sperm offence (P2)

>>> Check covariates

>>>> Day and block effect

offence %>% 
  ggplot(aes(x = nuclear, y = P2, colour = mito)) +
  geom_jitter(position = position_jitterdodge(dodge.width = .65, jitter.width = .15),
              alpha = .5) +
  labs(y = 'Sperm viability (EMM ± 95% CIs)') +
  scale_colour_manual(values = met3) +
  scale_fill_manual(values = met3) +
  theme_bw() + 
  theme() + 
  stat_summary(position = position_dodge(width = 0.65)) +
  facet_grid(Day ~ Block) +
  NULL

>>>> Copulation duration

offence %>% 
  ggplot(aes(x = cop.dur, y = P2, colour = nuclear)) +
  geom_smooth(method = "lm", se = FALSE) +
  scale_colour_manual(values = met3) +
  scale_fill_manual(values = met3) +
  theme_bw() + 
  theme() + 
  facet_grid(Day ~ Block) +
  NULL

>>>

p2.mod1 <- glmer(cbind(RED, BW) ~ mito * nuclear + Day + cop.dur + (1 + cop.dur|LINE) + (1|ID) + (1|Block),
                 data = offence, family = binomial)

>>>> Check diagnostics

performance::check_model(p2.mod1)

performance::check_overdispersion(p2.mod1)
# Overdispersion test

 dispersion ratio =   1.085
          p-value = < 0.001
testDispersion(p2.mod1)
    DHARMa nonparametric dispersion test via sd of residuals fitted vs.
    simulated

data:  simulationOutput
dispersion = 1.0853, p-value < 2.2e-16
alternative hypothesis: two.sided
simulationOutput <- simulateResiduals(fittedModel = p2.mod1, plot = FALSE)
hist(residuals(simulationOutput))

hist(residuals(simulationOutput, quantileFunction = qnorm, outlierValues = c(-7,7)))

plot(simulationOutput)

car::Anova(p2.mod1, type = "3")
Analysis of Deviance Table (Type III Wald chisquare tests)

Response: cbind(RED, BW)
               Chisq Df Pr(>Chisq)    
(Intercept)  12.5291  1  0.0004007 ***
mito         10.6573  2  0.0048506 ** 
nuclear      54.5493  2  1.428e-12 ***
Day          49.9244  1  1.598e-12 ***
cop.dur       0.0002  1  0.9884506    
mito:nuclear  3.6814  4  0.4508420    
---
Signif. codes:  0 '***' 0.001 '**' 0.01 '*' 0.05 '.' 0.1 ' ' 1
# posthoc tests
bind_rows(emmeans(p2.mod1, pairwise ~ mito, adjust = "tukey")$contrasts %>% broom::tidy() %>%
            rename(p.value = adj.p.value),
          emmeans(p2.mod1, pairwise ~ nuclear, adjust = "tukey")$contrasts %>% broom::tidy() %>%
            rename(p.value = adj.p.value),
          emmeans(p2.mod1, pairwise ~ Day, adjust = "tukey")$contrasts %>% broom::tidy()) %>% 
  mutate(p.val = ifelse(p.value < 0.001, '< 0.001', round(p.value, 3))) %>% 
  select(-p.value, -term) %>% 
  kable(digits = 3, 
        caption = 'Posthoc Tukey tests to compare which groups differ') %>% 
  kable_styling(full_width = FALSE) %>%
  kableExtra::group_rows("Mitochondria", 1, 3) %>%
  kableExtra::group_rows("Nuclear", 4, 6) %>%
  kableExtra::group_rows("Day", 7, 7)
Posthoc Tukey tests to compare which groups differ
contrast null.value estimate std.error df statistic p.val
Mitochondria
A - B 0 0.250 0.141 Inf 1.777 0.177
A - C 0 0.455 0.140 Inf 3.260 0.003
B - C 0 0.205 0.140 Inf 1.458 0.311
Nuclear
A - B 0 0.027 0.143 Inf 0.191 0.98
A - C 0 -0.921 0.149 Inf -6.157 < 0.001
B - C 0 -0.948 0.142 Inf -6.689 < 0.001
Day
Day1 - Day2 0 0.875 0.124 Inf 7.066 < 0.001
p2plot_raw <- emmeans(p2.mod1, ~ mito * nuclear, type = 'response') %>% as_tibble() %>% 
  ggplot(aes(x = nuclear, y = prob, fill = mito)) +
  geom_jitter(data = offence,
              aes(y = P2, colour = mito),
               position = position_jitterdodge(dodge.width = .5, jitter.width = .1),
              alpha = .25) + 
  geom_jitter(data = offence %>% 
                group_by(LINE) %>% 
                summarise(mn = mean(P2)) %>% 
                separate(LINE, into = c("mito", "nuclear", NA), sep = "(?<=.)", remove = FALSE),
              aes(y = mn, colour = mito),
              position = position_jitterdodge(dodge.width = .5, jitter.width = .1),
              alpha = .85, size = 2) +
  geom_errorbar(aes(ymin = asymp.LCL, ymax = asymp.UCL), 
                width = .25, position = position_dodge(width = .5)) +
  geom_point(size = 3, pch = 21, position = position_dodge(width = .5)) +
  labs(y = expression(P[2]*" (EMM ± 95% CIs)")) +
  scale_colour_manual(values = met3) +
  scale_fill_manual(values = met3) +
  theme_bw() + 
  theme() + 
  geom_text(data = defence %>% 
              group_by(mito, nuclear) %>% count(), aes(y = -0.04, label = n), 
            size = 2, position = position_dodge(width = .5)) + 
  #ggsave('figures/p1plot_raw.pdf', height = 4, width = 5, dpi = 600, useDingbats = FALSE) +
  NULL

p2plot_raw

>>> Matched vs. mismatched

p2.coevo <- glmer(cbind(RED, BW) ~ coevolved + Day + cop.dur + (1|LINE) + (1|ID) + (1|Block),
                 data = offence, family = binomial, 
                 control= glmerControl(optimizer="bobyqa", optCtrl=list(maxfun=50000)))

car::Anova(p2.coevo, type = "3")
Analysis of Deviance Table (Type III Wald chisquare tests)

Response: cbind(RED, BW)
              Chisq Df Pr(>Chisq)    
(Intercept) 13.5083  1  0.0002375 ***
coevolved    0.0543  1  0.8157506    
Day         51.4143  1  7.479e-13 ***
cop.dur      0.2653  1  0.6064804    
---
Signif. codes:  0 '***' 0.001 '**' 0.01 '*' 0.05 '.' 0.1 ' ' 1

>>> Mito-type analysis

p2.snp <- glmer(cbind(RED, BW) ~ mito_snp * nuclear + Day + cop.dur + (1 + cop.dur|LINE) + (1|ID) + (1|Block),
                 data = offence, family = binomial)

car::Anova(p2.snp, type = "3")
Analysis of Deviance Table (Type III Wald chisquare tests)

Response: cbind(RED, BW)
                   Chisq Df Pr(>Chisq)    
(Intercept)       3.0321  1    0.08163 .  
mito_snp         10.0480  8    0.26167    
nuclear           8.1189  2    0.01726 *  
Day              44.6794  1  2.321e-11 ***
cop.dur           0.0209  1    0.88510    
mito_snp:nuclear  3.8621  7    0.79551    
---
Signif. codes:  0 '***' 0.001 '**' 0.01 '*' 0.05 '.' 0.1 ' ' 1
Combined plot
comb_spermcomp <- bind_rows(
  emmeans(p1.mod1, ~ mito * nuclear, type = 'response') %>% as_tibble() %>% mutate(trt = "P1"),
  emmeans(p2.mod1, ~ mito * nuclear, type = 'response') %>% as_tibble() %>% mutate(trt = "P2")) %>% 
  ggplot(aes(x = nuclear, y = prob, fill = mito)) +
  geom_line(aes(group = mito, colour = mito), position = position_dodge(width = .5)) +
  geom_point(size = 3, pch = 21, position = position_dodge(width = .5)) +
  labs(y = 'Proportion sired (EMM)') +
  scale_colour_manual(values = met3) +
  scale_fill_manual(values = met3) +
  facet_wrap(~trt) +
  theme_bw() + 
  theme() +
  NULL

comb_spermcomp

>> Correlation of P1 vs P2

Finally, we tested whether there was a correlation between P1 and P2 using the model estimated marginal means for each genotype. We can visualise this either as the ranked means (1-9) or as a scatterplot.

pdat <- bind_rows(emmeans(p1.mod1, ~ mito * nuclear) %>% as_tibble() %>% mutate(met = "P1"),
                  emmeans(p2.mod1, ~ mito * nuclear) %>% as_tibble() %>% mutate(met = "P2")) %>% 
  mutate(mt = rep(1:9, 2))

>>> Ranked means

pdat %>% 
  group_by(met) %>% 
  mutate(rank = dense_rank(desc(emmean))) %>% 
  ggplot(aes(x = met, y = rank)) +
  geom_point(size = 5, aes(shape = mito, colour = nuclear)) +
  geom_line(aes(group = mt)) +
  scale_colour_manual(values = met3) +
  scale_fill_manual(values = met3) +
  scale_y_continuous(breaks = 1:9) +
  theme_bw()

>>> Scatterplot

pdat.wide <- pdat %>% select(mito, nuclear, emmean, mt, met) %>% 
  pivot_wider(names_from = met, values_from = emmean)

pdat.wide %>% 
  ggplot(aes(x = P1, y = P2)) +
  geom_point(size = 5, aes(shape = mito, colour = nuclear)) +
  ggpubr::stat_cor(method = "s") +
  #geom_smooth(method = "lm", lty = 2, se = FALSE) +
  labs(x = "logit(P1)", y = "logit(P2)") +
  scale_colour_manual(values = met3) +
  scale_fill_manual(values = met3) +
  theme_bw() +
  theme() +
  #ggsave('figures/sperm_comp_cor.pdf', height = 4, width = 4.8, dpi = 600, useDingbats = FALSE) +
  NULL

cor.test(pdat.wide$P1, pdat.wide$P2, method = "s")
    Spearman's rank correlation rho

data:  pdat.wide$P1 and pdat.wide$P2
S = 114, p-value = 0.9116
alternative hypothesis: true rho is not equal to 0
sample estimates:
 rho 
0.05 

sessionInfo()
R version 4.4.0 (2024-04-24)
Platform: aarch64-apple-darwin20
Running under: macOS Sonoma 14.6.1

Matrix products: default
BLAS:   /Library/Frameworks/R.framework/Versions/4.4-arm64/Resources/lib/libRblas.0.dylib 
LAPACK: /Library/Frameworks/R.framework/Versions/4.4-arm64/Resources/lib/libRlapack.dylib;  LAPACK version 3.12.0

locale:
[1] en_US.UTF-8/en_US.UTF-8/en_US.UTF-8/C/en_US.UTF-8/en_US.UTF-8

time zone: Europe/London
tzcode source: internal

attached base packages:
[1] stats     graphics  grDevices utils     datasets  methods   base     

other attached packages:
 [1] conflicted_1.2.0 showtext_0.9-7   showtextdb_3.0   sysfonts_0.8.9  
 [5] knitrhooks_0.0.4 knitr_1.48       kableExtra_1.4.0 emmeans_1.10.3  
 [9] DHARMa_0.4.6     lme4_1.1-35.5    Matrix_1.7-0     lubridate_1.9.3 
[13] forcats_1.0.0    stringr_1.5.1    dplyr_1.1.4      purrr_1.0.2     
[17] readr_2.1.5      tidyr_1.3.1      tibble_3.2.1     ggplot2_3.5.1   
[21] tidyverse_2.0.0  workflowr_1.7.1 

loaded via a namespace (and not attached):
  [1] Rdpack_2.6          rlang_1.1.4         magrittr_2.0.3     
  [4] git2r_0.33.0        compiler_4.4.0      getPass_0.2-4      
  [7] mgcv_1.9-1          systemfonts_1.1.0   callr_3.7.6        
 [10] vctrs_0.6.5         pkgconfig_2.0.3     fastmap_1.2.0      
 [13] backports_1.5.0     MetBrewer_0.2.0     labeling_0.4.3     
 [16] utf8_1.2.4          promises_1.3.0      rmarkdown_2.27     
 [19] tzdb_0.4.0          ps_1.7.7            nloptr_2.1.1       
 [22] xfun_0.45           cachem_1.1.0        jsonlite_1.8.8     
 [25] highr_0.11          later_1.3.2         broom_1.0.6        
 [28] parallel_4.4.0      R6_2.5.1            gap.datasets_0.0.6 
 [31] qgam_1.3.4          bslib_0.7.0         stringi_1.8.4      
 [34] car_3.1-2           boot_1.3-30         jquerylib_0.1.4    
 [37] numDeriv_2016.8-1.1 estimability_1.5.1  iterators_1.0.14   
 [40] Rcpp_1.0.12         httpuv_1.6.15       splines_4.4.0      
 [43] timechange_0.3.0    tidyselect_1.2.1    abind_1.4-5        
 [46] rstudioapi_0.16.0   yaml_2.3.9          codetools_0.2-20   
 [49] doParallel_1.0.17   processx_3.8.4      plyr_1.8.9         
 [52] lattice_0.22-6      lmerTest_3.1-3      shiny_1.8.1.1      
 [55] bayestestR_0.13.2   withr_3.0.0         coda_0.19-4.1      
 [58] evaluate_0.24.0     xml2_1.3.6          ggpubr_0.6.0       
 [61] pillar_1.9.0        carData_3.0-5       gap_1.5-3          
 [64] whisker_0.4.1       foreach_1.5.2       insight_0.20.1     
 [67] generics_0.1.3      rprojroot_2.0.4     hms_1.1.3          
 [70] munsell_0.5.1       scales_1.3.0        minqa_1.2.7        
 [73] xtable_1.8-4        glue_1.7.0          tools_4.4.0        
 [76] see_0.8.4           ggsignif_0.6.4      fs_1.6.4           
 [79] mvtnorm_1.2-5       grid_4.4.0          rbibutils_2.2.16   
 [82] datawizard_0.11.0   colorspace_2.1-0    nlme_3.1-165       
 [85] patchwork_1.2.0     performance_0.12.0  cli_3.6.3          
 [88] fansi_1.0.6         viridisLite_0.4.2   svglite_2.1.3      
 [91] gtable_0.3.5        rstatix_0.7.2       sass_0.4.9         
 [94] digest_0.6.36       pbkrtest_0.5.3      ggrepel_0.9.5      
 [97] farver_2.1.2        memoise_2.0.1       htmltools_0.5.8.1  
[100] lifecycle_1.0.4     httr_1.4.7          mime_0.12          
[103] MASS_7.3-61