Last updated: 2024-10-09

Checks: 7 0

Knit directory: mito_age_fert/

This reproducible R Markdown analysis was created with workflowr (version 1.7.1). The Checks tab describes the reproducibility checks that were applied when the results were created. The Past versions tab lists the development history.


Great! Since the R Markdown file has been committed to the Git repository, you know the exact version of the code that produced these results.

Great job! The global environment was empty. Objects defined in the global environment can affect the analysis in your R Markdown file in unknown ways. For reproduciblity it’s best to always run the code in an empty environment.

The command set.seed(20230213) was run prior to running the code in the R Markdown file. Setting a seed ensures that any results that rely on randomness, e.g. subsampling or permutations, are reproducible.

Great job! Recording the operating system, R version, and package versions is critical for reproducibility.

Nice! There were no cached chunks for this analysis, so you can be confident that you successfully produced the results during this run.

Great job! Using relative paths to the files within your workflowr project makes it easier to run your code on other machines.

Great! You are using Git for version control. Tracking code development and connecting the code version to the results is critical for reproducibility.

The results in this page were generated with repository version 5f6332f. See the Past versions tab to see a history of the changes made to the R Markdown and HTML files.

Note that you need to be careful to ensure that all relevant files for the analysis have been committed to Git prior to generating the results (you can use wflow_publish or wflow_git_commit). workflowr only checks the R Markdown file, but you know if there are other scripts or data files that it depends on. Below is the status of the Git repository when the results were generated:


Ignored files:
    Ignored:    .DS_Store
    Ignored:    .Rhistory
    Ignored:    .Rproj.user/
    Ignored:    data/.DS_Store

Untracked files:
    Untracked:  README.html
    Untracked:  analysis/SNP_clusters.Rmd
    Untracked:  analysis/female_fertility.Rmd
    Untracked:  analysis/male_fertility.Rmd
    Untracked:  check_lines.R
    Untracked:  code/data_wrangling.R
    Untracked:  code/plotting_Script.R
    Untracked:  data/Data_raw_emmely.csv
    Untracked:  data/defence.csv
    Untracked:  data/male_fertility.csv
    Untracked:  data/mito_34sigdiffSNPs_consensus_incl_colnames.csv
    Untracked:  data/mito_mt_copy_number.xlsx
    Untracked:  data/mito_mt_seq_major_alleles_sig_snptable.csv
    Untracked:  data/mito_mt_seq_sig_annotated.csv
    Untracked:  data/mito_mt_seq_sig_annotated.vcf
    Untracked:  data/offence.csv
    Untracked:  data/rawdata_PCA.csv
    Untracked:  data/snp-gene.txt
    Untracked:  data/sperm_metabolic_rate.csv
    Untracked:  data/sperm_viability.csv
    Untracked:  data/wrangled/
    Untracked:  figures/
    Untracked:  output/SNP_clusters.csv
    Untracked:  output/bod_brm.rds
    Untracked:  output/female_rate_dredge.rds
    Untracked:  output/female_rates_bb.Rdata
    Untracked:  output/female_rates_boot.Rdata
    Untracked:  output/female_rates_poly.Rdata
    Untracked:  output/male_fec_dredge.rds
    Untracked:  output/male_hatch_dredge.rds
    Untracked:  output/male_hatch_dredge_reduced.rds
    Untracked:  output/sperm_met_dredge.rds
    Untracked:  output/viab_ctrl_dredge.rds
    Untracked:  output/viab_trt_dredge.rds
    Untracked:  snp_matrix_dobler.csv

Unstaged changes:
    Modified:   analysis/index.Rmd
    Modified:   analysis/sperm_comp.Rmd
    Modified:   data/README.md

Note that any generated files, e.g. HTML, png, CSS, etc., are not included in this status report because it is ok for generated content to have uncommitted changes.


These are the previous versions of the repository in which changes were made to the R Markdown (analysis/body_size.Rmd) and HTML (docs/body_size.html) files. If you’ve configured a remote Git repository (see ?wflow_git_remote), click on the hyperlinks in the table below to view the files as they were in that past version.

File Version Author Date Message
Rmd 5f6332f MartinGarlovsky 2024-10-09 wflow_publish("analysis/body_size.Rmd")

Load packages

library(tidyverse)

library(lme4)
library(DHARMa)
library(emmeans)
library(kableExtra)
library(knitrhooks) # install with devtools::install_github("nathaneastwood/knitrhooks")
library(showtext)
output_max_height() # a knitrhook option

options(stringsAsFactors = FALSE)

# colour palettes
met.pal <- MetBrewer::met.brewer('Johnson')
met3 <- met.pal[c(1, 3, 5)]

# set contrasts
options(contrasts = c("contr.sum", "contr.poly"))

Load data

bd_dat <- read.csv('data//wrangled/body_data.csv') %>% 
  mutate(mito_snp = as.factor(mito_snp),
         coevolved = if_else(mito == nuclear, "matched", "mismatched"))

Geography based analysis

We collected 4 offspring of each sex from 4 females - a family (fam) in our analysis - and measured landmarks on the wing as a proxy for body size. We modelled body size with a linear mixed model, with scaled wing area as the response.

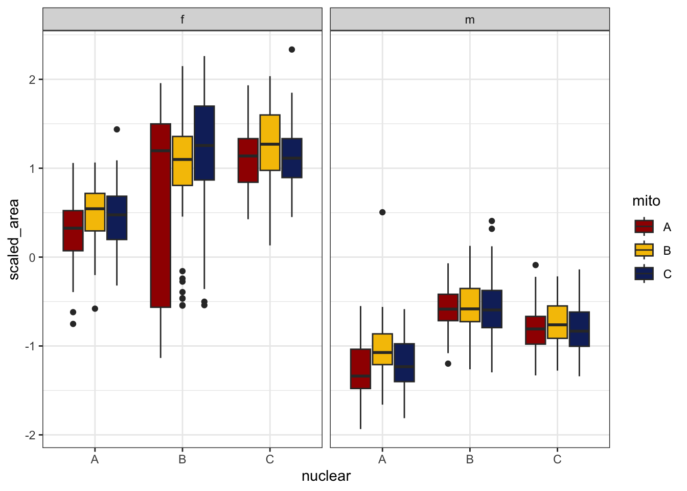
Look at the raw data

bd_dat %>% 
  ggplot(aes(x = nuclear, y = scaled_area, fill = mito)) +
  geom_boxplot() +
  facet_wrap(~sex, scales = 'free_x') +
  scale_colour_manual(values = met3) +
  scale_fill_manual(values = met3) +
  theme_bw() + 
  theme() + 
  NULL

hist(bd_dat$scaled_area, breaks = 50)

b1full <- lmerTest::lmer(scaled_area ~ mito * nuclear * sex + (sex|LINE) + (1|fam), 
                         data = bd_dat, REML = TRUE)

Check model diagnostics

performance::check_model(b1full)

Results

anova(b1full, type = "III", ddf = "Kenward-Roger") %>% broom::tidy() %>% 
  as_tibble() %>% 
  kable(digits = 3, 
        caption = 'Type III Analysis of Variance Table with Kenward-Roger`s method') %>% 
  kable_styling(full_width = FALSE)
Type III Analysis of Variance Table with Kenward-Roger`s method
term sumsq meansq NumDF DenDF statistic p.value
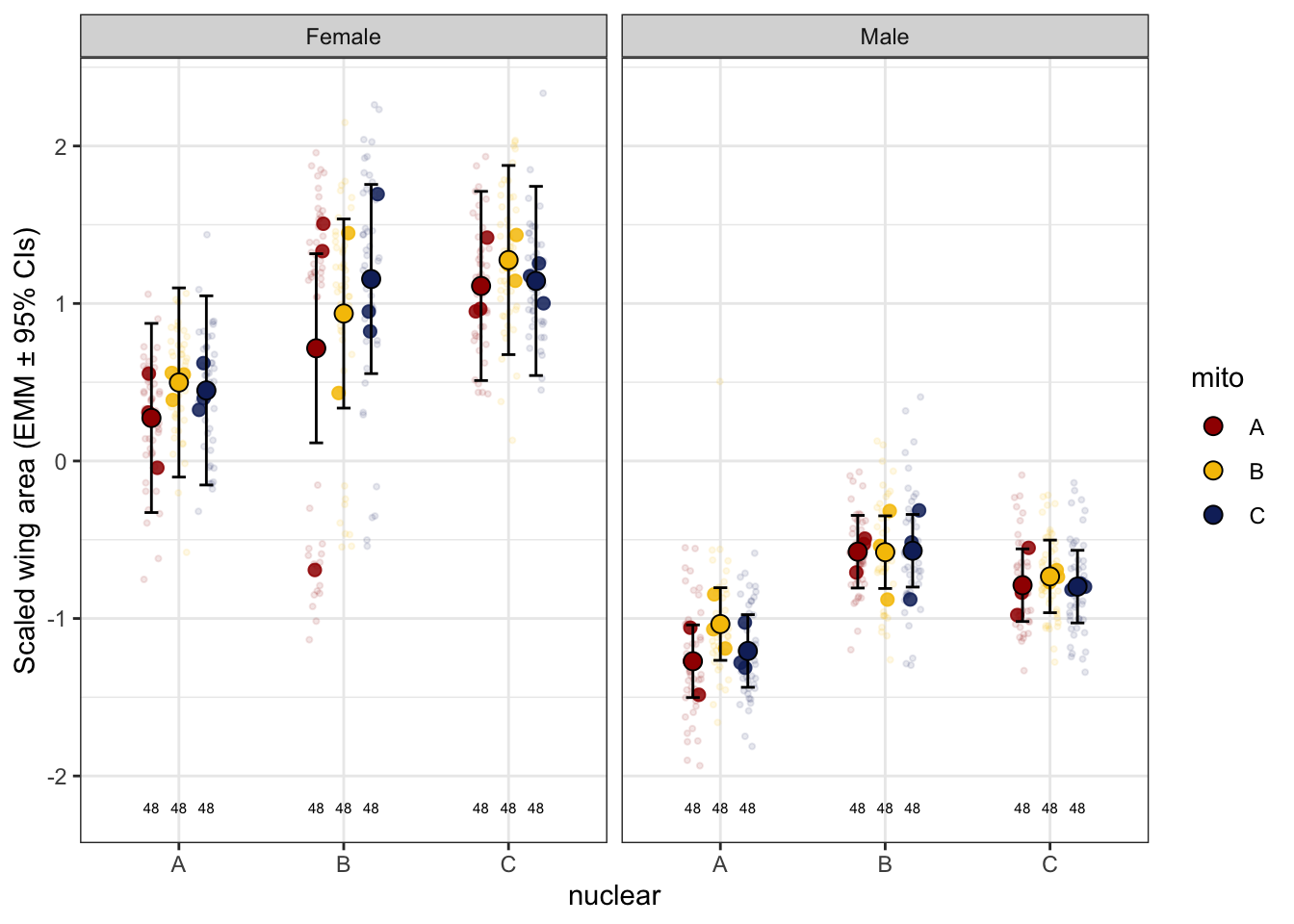
mito 0.107 0.054 2 18 0.601 0.559
nuclear 1.886 0.943 2 18 10.569 0.001
sex 35.956 35.956 1 18 403.047 0.000
mito:nuclear 0.061 0.015 4 18 0.172 0.950
mito:sex 0.081 0.040 2 18 0.454 0.642
nuclear:sex 0.476 0.238 2 18 2.667 0.097
mito:nuclear:sex 0.074 0.018 4 18 0.206 0.932
#summary(b1full)

bind_rows(emmeans(b1full, pairwise ~ sex, adjust = "tukey")$contrasts %>% as_tibble(),
          emmeans(b1full, pairwise ~ nuclear, adjust = "tukey")$contrasts %>% as_tibble()) %>% 
  kable(digits = 3, 
        caption = 'Posthoc Tukey tests to compare which groups differ') %>% 
  kable_styling(full_width = FALSE) %>%
  kableExtra::group_rows("Sex", 1, 1) %>%
  kableExtra::group_rows("Nuclear", 2, 4)
Posthoc Tukey tests to compare which groups differ
contrast estimate SE df t.ratio p.value
Sex
f - m 1.679 0.084 18 20.076 0.000
Nuclear
A - B -0.563 0.144 18 -3.905 0.003
A - C -0.584 0.144 18 -4.054 0.002
B - C -0.021 0.144 18 -0.149 0.988

Reaction norms

body2_emm <- emmeans(b1full, ~ mito * nuclear * sex)

# reaction norms
body_norms <- emmeans(body2_emm, ~ mito * nuclear * sex, type = 'response') %>% as_tibble() %>% 
  ggplot(aes(x = nuclear, y = emmean, fill = mito)) +
  geom_line(aes(group = mito, colour = mito), position = position_dodge(width = .5)) +
  geom_point(size = 3, pch = 21, position = position_dodge(width = .5)) +
  labs(y = 'Scaled wing area (EMM)') +
  scale_colour_manual(values = met3) +
  scale_fill_manual(values = met3) +
  facet_wrap(~ sex, labeller = as_labeller(c(f = "Female", m = "Male"))) +
  theme_bw() + 
  theme()

body_norms

Raw data with means

body_size <- emmeans(body2_emm, ~ mito * nuclear * sex, type = 'response') %>% as_tibble() %>% 
  ggplot(aes(x = nuclear, y = emmean, fill = mito)) +
  geom_jitter(data = bd_dat,
              aes(y = scaled_area, colour = mito),
               position = position_jitterdodge(dodge.width = .5, jitter.width = .1),
              size = 0.75, alpha = .1) +
  geom_jitter(data = bd_dat %>% 
                group_by(LINE, sex) %>% 
                summarise(mn = mean(scaled_area)) %>% 
                separate(LINE, into = c("mito", "nuclear", NA), sep = "(?<=.)", remove = FALSE),
              aes(y = mn, colour = mito),
              position = position_jitterdodge(dodge.width = .5, jitter.width = .1),
              alpha = .85, size = 2) +
  geom_errorbar(aes(ymin = lower.CL, ymax = upper.CL), 
                width = .25, position = position_dodge(width = .5)) +
  geom_point(size = 3, pch = 21, position = position_dodge(width = .5)) +
  labs(y = 'Scaled wing area (EMM ± 95% CIs)') +
  scale_colour_manual(values = met3) +
  scale_fill_manual(values = met3) +
  facet_wrap(~ sex, labeller = as_labeller(c(f = "Female", m = "Male"))) +
  theme_bw() + 
  theme() + 
  geom_text(data = bd_dat %>% group_by(mito, nuclear, sex) %>% count(), aes(y = -2.2, label = n), 
            size = 2, position = position_dodge(width = .5)) + 
  NULL

body_size

Matched vs. mismatched

body_matched_lmerTest <- lmerTest::lmer(scaled_area ~ sex * coevolved + (sex|LINE) + (1|fam), 
                                        data = bd_dat, REML = TRUE)

anova(body_matched_lmerTest, type = "III", ddf = "Kenward-Roger")
Type III Analysis of Variance Table with Kenward-Roger's method
              Sum Sq Mean Sq NumDF DenDF  F value    Pr(>F)    
sex           31.773  31.773     1    25 356.1571 2.647e-16 ***
coevolved      0.019   0.019     1    25   0.2154    0.6466    
sex:coevolved  0.001   0.001     1    25   0.0111    0.9169    
---
Signif. codes:  0 '***' 0.001 '**' 0.01 '*' 0.05 '.' 0.1 ' ' 1
#summary(body_matched_lmerTest)

Mito-type analysis

snp_full <- lmerTest::lmer(scaled_area ~ mito_snp * nuclear * sex + (sex|LINE) + (1|fam), 
                           data = bd_dat,
                           na.action = 'na.fail', REML = TRUE)

anova(snp_full, type = "III", ddf = "Kenward-Roger")
Type III Analysis of Variance Table with Kenward-Roger's method
                     Sum Sq Mean Sq NumDF DenDF   F value    Pr(>F)    
mito_snp              0.609   0.076     8     9    0.8532  0.583216    
nuclear               1.364   0.682     2     9    7.6439  0.011477 *  
sex                  95.474  95.474     1     9 1070.1992 1.147e-10 ***
mito_snp:nuclear      1.168   0.167     7     9    1.8699  0.187948    
mito_snp:sex          2.187   0.273     8     9    3.0639  0.057706 .  
nuclear:sex           1.797   0.898     2     9   10.0688  0.005059 ** 
mito_snp:nuclear:sex  4.200   0.600     7     9    6.7254  0.005424 ** 
---
Signif. codes:  0 '***' 0.001 '**' 0.01 '*' 0.05 '.' 0.1 ' ' 1
# snp_full_emm <- emmeans(snp_full, ~ mito_snp * nuclear * sex)
# pairs(snp_full_emm, simple = "each")

emmeans(snp_full, ~ mito_snp * nuclear * sex) %>% as_tibble() %>% drop_na() %>% 
  ggplot(aes(x = nuclear, y = emmean, fill = mito_snp)) +
  geom_jitter(data = bd_dat,
              aes(y = scaled_area, colour = mito_snp),
               position = position_jitterdodge(dodge.width = .5, jitter.width = .1),
              alpha = .25) +
  geom_errorbar(aes(ymin = lower.CL, ymax = upper.CL), 
                width = .25, position = position_dodge(width = .5)) +
  geom_point(size = 3, pch = 21, position = position_dodge(width = .5)) +
  labs(y = 'Scaled wing area (EMM ± 95% CIs)') +
  scale_colour_viridis_d(option = "H") +
  scale_fill_viridis_d(option = "H") +
  facet_wrap(~sex, labeller = as_labeller(c(f = "Female", m = "Male"))) +
  theme_bw() + 
  theme() +
  #ggsave('figures/body_size_mitocluster.pdf', height = 3.5, width = 7.5, dpi = 600, useDingbats = FALSE) +
  NULL


sessionInfo()
R version 4.4.0 (2024-04-24)
Platform: aarch64-apple-darwin20
Running under: macOS Sonoma 14.6.1

Matrix products: default
BLAS:   /Library/Frameworks/R.framework/Versions/4.4-arm64/Resources/lib/libRblas.0.dylib 
LAPACK: /Library/Frameworks/R.framework/Versions/4.4-arm64/Resources/lib/libRlapack.dylib;  LAPACK version 3.12.0

locale:
[1] en_US.UTF-8/en_US.UTF-8/en_US.UTF-8/C/en_US.UTF-8/en_US.UTF-8

time zone: Europe/London
tzcode source: internal

attached base packages:
[1] stats     graphics  grDevices utils     datasets  methods   base     

other attached packages:
 [1] showtext_0.9-7   showtextdb_3.0   sysfonts_0.8.9   knitrhooks_0.0.4
 [5] knitr_1.48       kableExtra_1.4.0 emmeans_1.10.3   DHARMa_0.4.6    
 [9] lme4_1.1-35.5    Matrix_1.7-0     lubridate_1.9.3  forcats_1.0.0   
[13] stringr_1.5.1    dplyr_1.1.4      purrr_1.0.2      readr_2.1.5     
[17] tidyr_1.3.1      tibble_3.2.1     ggplot2_3.5.1    tidyverse_2.0.0 
[21] workflowr_1.7.1 

loaded via a namespace (and not attached):
 [1] tidyselect_1.2.1    viridisLite_0.4.2   farver_2.1.2       
 [4] fastmap_1.2.0       bayestestR_0.13.2   promises_1.3.0     
 [7] digest_0.6.36       timechange_0.3.0    estimability_1.5.1 
[10] lifecycle_1.0.4     processx_3.8.4      magrittr_2.0.3     
[13] compiler_4.4.0      rlang_1.1.4         sass_0.4.9         
[16] tools_4.4.0         utf8_1.2.4          yaml_2.3.9         
[19] labeling_0.4.3      xml2_1.3.6          numDeriv_2016.8-1.1
[22] withr_3.0.0         datawizard_0.11.0   grid_4.4.0         
[25] fansi_1.0.6         git2r_0.33.0        xtable_1.8-4       
[28] colorspace_2.1-0    scales_1.3.0        MASS_7.3-61        
[31] insight_0.20.1      cli_3.6.3           mvtnorm_1.2-5      
[34] rmarkdown_2.27      generics_0.1.3      performance_0.12.0 
[37] rstudioapi_0.16.0   httr_1.4.7          tzdb_0.4.0         
[40] minqa_1.2.7         cachem_1.1.0        splines_4.4.0      
[43] parallel_4.4.0      vctrs_0.6.5         boot_1.3-30        
[46] jsonlite_1.8.8      callr_3.7.6         patchwork_1.2.0    
[49] hms_1.1.3           pbkrtest_0.5.3      ggrepel_0.9.5      
[52] systemfonts_1.1.0   see_0.8.4           jquerylib_0.1.4    
[55] glue_1.7.0          nloptr_2.1.1        ps_1.7.7           
[58] stringi_1.8.4       gtable_0.3.5        later_1.3.2        
[61] lmerTest_3.1-3      munsell_0.5.1       pillar_1.9.0       
[64] htmltools_0.5.8.1   R6_2.5.1            rprojroot_2.0.4    
[67] evaluate_0.24.0     lattice_0.22-6      MetBrewer_0.2.0    
[70] highr_0.11          backports_1.5.0     broom_1.0.6        
[73] httpuv_1.6.15       bslib_0.7.0         Rcpp_1.0.12        
[76] svglite_2.1.3       coda_0.19-4.1       nlme_3.1-165       
[79] mgcv_1.9-1          whisker_0.4.1       xfun_0.45          
[82] fs_1.6.4            getPass_0.2-4       pkgconfig_2.0.3