Last updated: 2024-03-20

Checks: 7 0

Knit directory: paed-inflammation-CITEseq/

This reproducible R Markdown analysis was created with workflowr (version 1.7.1). The Checks tab describes the reproducibility checks that were applied when the results were created. The Past versions tab lists the development history.


Great! Since the R Markdown file has been committed to the Git repository, you know the exact version of the code that produced these results.

Great job! The global environment was empty. Objects defined in the global environment can affect the analysis in your R Markdown file in unknown ways. For reproduciblity it’s best to always run the code in an empty environment.

The command set.seed(20240216) was run prior to running the code in the R Markdown file. Setting a seed ensures that any results that rely on randomness, e.g. subsampling or permutations, are reproducible.

Great job! Recording the operating system, R version, and package versions is critical for reproducibility.

Nice! There were no cached chunks for this analysis, so you can be confident that you successfully produced the results during this run.

Great job! Using relative paths to the files within your workflowr project makes it easier to run your code on other machines.

Great! You are using Git for version control. Tracking code development and connecting the code version to the results is critical for reproducibility.

The results in this page were generated with repository version 6f4600b. See the Past versions tab to see a history of the changes made to the R Markdown and HTML files.

Note that you need to be careful to ensure that all relevant files for the analysis have been committed to Git prior to generating the results (you can use wflow_publish or wflow_git_commit). workflowr only checks the R Markdown file, but you know if there are other scripts or data files that it depends on. Below is the status of the Git repository when the results were generated:


Ignored files:
    Ignored:    .Rhistory
    Ignored:    .Rproj.user/
    Ignored:    data/C133_Neeland_batch0/
    Ignored:    data/C133_Neeland_batch1/
    Ignored:    data/C133_Neeland_batch2/
    Ignored:    data/C133_Neeland_batch3/
    Ignored:    data/C133_Neeland_batch4/
    Ignored:    data/C133_Neeland_batch5/
    Ignored:    data/C133_Neeland_batch6/
    Ignored:    data/C133_Neeland_merged/
    Ignored:    renv/library/
    Ignored:    renv/staging/

Untracked files:
    Untracked:  analysis/scar.Rmd
    Untracked:  analysis/scar.nb.html
    Untracked:  output/cluster_markers/ADT/
    Untracked:  output/cluster_markers/ADT_decontx/
    Untracked:  output/cluster_markers/RNA/
    Untracked:  output/cluster_markers/RNA_decontx/

Unstaged changes:
    Deleted:    output/cluster_markers/t_cells/REACTOME-cluster-limma-c0.csv
    Deleted:    output/cluster_markers/t_cells/REACTOME-cluster-limma-c1.csv
    Deleted:    output/cluster_markers/t_cells/REACTOME-cluster-limma-c10.csv
    Deleted:    output/cluster_markers/t_cells/REACTOME-cluster-limma-c11.csv
    Deleted:    output/cluster_markers/t_cells/REACTOME-cluster-limma-c12.csv
    Deleted:    output/cluster_markers/t_cells/REACTOME-cluster-limma-c13.csv
    Deleted:    output/cluster_markers/t_cells/REACTOME-cluster-limma-c14.csv
    Deleted:    output/cluster_markers/t_cells/REACTOME-cluster-limma-c15.csv
    Deleted:    output/cluster_markers/t_cells/REACTOME-cluster-limma-c16.csv
    Deleted:    output/cluster_markers/t_cells/REACTOME-cluster-limma-c17.csv
    Deleted:    output/cluster_markers/t_cells/REACTOME-cluster-limma-c18.csv
    Deleted:    output/cluster_markers/t_cells/REACTOME-cluster-limma-c19.csv
    Deleted:    output/cluster_markers/t_cells/REACTOME-cluster-limma-c2.csv
    Deleted:    output/cluster_markers/t_cells/REACTOME-cluster-limma-c20.csv
    Deleted:    output/cluster_markers/t_cells/REACTOME-cluster-limma-c21.csv
    Deleted:    output/cluster_markers/t_cells/REACTOME-cluster-limma-c3.csv
    Deleted:    output/cluster_markers/t_cells/REACTOME-cluster-limma-c4.csv
    Deleted:    output/cluster_markers/t_cells/REACTOME-cluster-limma-c5.csv
    Deleted:    output/cluster_markers/t_cells/REACTOME-cluster-limma-c6.csv
    Deleted:    output/cluster_markers/t_cells/REACTOME-cluster-limma-c7.csv
    Deleted:    output/cluster_markers/t_cells/REACTOME-cluster-limma-c8.csv
    Deleted:    output/cluster_markers/t_cells/REACTOME-cluster-limma-c9.csv
    Deleted:    output/cluster_markers/t_cells/up-cluster-limma-c0.csv
    Deleted:    output/cluster_markers/t_cells/up-cluster-limma-c1.csv
    Deleted:    output/cluster_markers/t_cells/up-cluster-limma-c10.csv
    Deleted:    output/cluster_markers/t_cells/up-cluster-limma-c11.csv
    Deleted:    output/cluster_markers/t_cells/up-cluster-limma-c12.csv
    Deleted:    output/cluster_markers/t_cells/up-cluster-limma-c13.csv
    Deleted:    output/cluster_markers/t_cells/up-cluster-limma-c14.csv
    Deleted:    output/cluster_markers/t_cells/up-cluster-limma-c15.csv
    Deleted:    output/cluster_markers/t_cells/up-cluster-limma-c16.csv
    Deleted:    output/cluster_markers/t_cells/up-cluster-limma-c17.csv
    Deleted:    output/cluster_markers/t_cells/up-cluster-limma-c18.csv
    Deleted:    output/cluster_markers/t_cells/up-cluster-limma-c19.csv
    Deleted:    output/cluster_markers/t_cells/up-cluster-limma-c2.csv
    Deleted:    output/cluster_markers/t_cells/up-cluster-limma-c20.csv
    Deleted:    output/cluster_markers/t_cells/up-cluster-limma-c21.csv
    Deleted:    output/cluster_markers/t_cells/up-cluster-limma-c3.csv
    Deleted:    output/cluster_markers/t_cells/up-cluster-limma-c4.csv
    Deleted:    output/cluster_markers/t_cells/up-cluster-limma-c5.csv
    Deleted:    output/cluster_markers/t_cells/up-cluster-limma-c6.csv
    Deleted:    output/cluster_markers/t_cells/up-cluster-limma-c7.csv
    Deleted:    output/cluster_markers/t_cells/up-cluster-limma-c8.csv
    Deleted:    output/cluster_markers/t_cells/up-cluster-limma-c9.csv

Note that any generated files, e.g. HTML, png, CSS, etc., are not included in this status report because it is ok for generated content to have uncommitted changes.


These are the previous versions of the repository in which changes were made to the R Markdown (analysis/07.1_integrate_cluster_t_cells_decontx.Rmd) and HTML (docs/07.1_integrate_cluster_t_cells_decontx.html) files. If you’ve configured a remote Git repository (see ?wflow_git_remote), click on the hyperlinks in the table below to view the files as they were in that past version.

File Version Author Date Message
Rmd 6f4600b Jovana Maksimovic 2024-03-20 wflow_publish(c("analysis/index.Rmd", "analysis/integrate_cluster"))
html fb50017 Jovana Maksimovic 2024-03-19 Build site.
Rmd 3e9ce40 Jovana Maksimovic 2024-03-19 wflow_publish(c("analysis/index.Rmd", "analysis/integrate"))

Load libraries.

suppressPackageStartupMessages({
 library(SingleCellExperiment)
 library(edgeR)
 library(tidyverse)
 library(ggplot2)
 library(Seurat)
 library(glmGamPoi)
 library(dittoSeq)
 library(here)
 library(clustree)
 library(patchwork)
 library(AnnotationDbi)
 library(org.Hs.eg.db)
 library(glue)
 library(speckle)
 library(tidyHeatmap)
 library(dsb)
})

Load data

Load T-cell subset Seurat object.

ambient <- "_decontx"
seu <- readRDS(here("data",
                    "C133_Neeland_merged",
                    glue("C133_Neeland_full_clean{ambient}_t_cells.SEU.rds")))
seu
An object of class Seurat 
20299 features across 15511 samples within 3 assays 
Active assay: RNA (19973 features, 0 variable features)
 2 other assays present: ADT, ADT.dsb

Data integration

Visualise batch effects.

seu <- ScaleData(seu) %>%
  FindVariableFeatures() %>%
  RunPCA(dims = 1:30, verbose = FALSE) %>%
  RunUMAP(dims = 1:30, verbose = FALSE)

DimPlot(seu, group.by = "Batch", reduction = "umap")

Version Author Date
fb50017 Jovana Maksimovic 2024-03-19

Cell cycle effect

Assign each cell a score, based on its expression of G2/M and S phase markers as described in the Seurat workflow here.

s.genes <- cc.genes.updated.2019$s.genes
g2m.genes <- cc.genes.updated.2019$g2m.genes

seu <- CellCycleScoring(seu, s.features = s.genes, g2m.features = g2m.genes, 
                        set.ident = TRUE)

PCA of cell cycle genes.

DimPlot(seu, group.by = "Phase") -> p1

seu %>%
  RunPCA(features = c(s.genes, g2m.genes),
                      dims = 1:30, verbose = FALSE) %>%
  DimPlot(reduction = "pca") -> p2

(p2 / p1) + plot_layout(guides = "collect")

Version Author Date
fb50017 Jovana Maksimovic 2024-03-19

Distribution of cell cycle markers.

# Visualize the distribution of cell cycle markers across
RidgePlot(seu, features = c("PCNA", "TOP2A", "MCM6", "MKI67"), ncol = 2,
          log = TRUE)

Version Author Date
fb50017 Jovana Maksimovic 2024-03-19

Using the Seurat Alternate Workflow from here, calculate the difference between the G2M and S phase scores so that signals separating non-cycling cells and cycling cells will be maintained, but differences in cell cycle phase among proliferating cells (which are often uninteresting), can be regressed out of the data.

seu$CC.Difference <- seu$S.Score - seu$G2M.Score

Integrate RNA data

Split by batch for integration. Normalise with SCTransform. Increase the strength of alignment by increasing k.anchor parameter to 20 as recommended in Seurat Fast integration with RPCA vignette.

First, integrate the RNA data.

out <- here("data",
            "C133_Neeland_merged",
            glue("C133_Neeland_full_clean{ambient}_integrated_t_cells.SEU.rds"))

if(!file.exists(out)){
  DefaultAssay(seu) <- "RNA"
  VariableFeatures(seu) <- NULL
  seu[["pca"]] <- NULL
  seu[["umap"]] <- NULL
  
  seuLst <- SplitObject(seu, split.by = "Batch")
  rm(seu)
  gc()
  
  # normalise with SCTransform and regress out cell cycle score difference
  seuLst <- lapply(X = seuLst, FUN = SCTransform, method = "glmGamPoi",
                   vars.to.regress = "CC.Difference")
  # integrate RNA data
  features <- SelectIntegrationFeatures(object.list = seuLst,
                                        nfeatures = 3000)
  seuLst <- PrepSCTIntegration(object.list = seuLst, anchor.features = features)
  seuLst <- lapply(X = seuLst, FUN = RunPCA, features = features)
  anchors <- FindIntegrationAnchors(object.list = seuLst,
                                    normalization.method = "SCT",
                                    anchor.features = features,
                                    k.anchor = 20,
                                    dims = 1:30, reduction = "rpca")
  seu <- IntegrateData(anchorset = anchors, 
                       k.weight = min(100, min(sapply(seuLst, ncol)) - 5),
                       normalization.method = "SCT",
                       dims = 1:30)
  
  DefaultAssay(seu) <- "integrated"
  seu <- RunPCA(seu, dims = 1:30, verbose = FALSE) %>%
    RunUMAP(dims = 1:30, verbose = FALSE)

  saveRDS(seu, file = out)
  fs::file_chmod(out, "664")
  if(any(str_detect(fs::group_ids()$group_name, 
                    "oshlack_lab"))) fs::file_chown(out, 
                                                    group_id = "oshlack_lab")
  
} else {
  seu <- readRDS(file = out)
  
}

Integrate ADT data

out <- here("data",
            "C133_Neeland_merged",
            glue("C133_Neeland_full_clean{ambient}_integrated_t_cells.ADT.SEU.rds"))

# get ADT meta data
read.csv(file = here("data",
                     "C133_Neeland_batch1",
                     "data",
                     "sample_sheets",
                     "ADT_features.csv")) -> adt_data 
# cleanup ADT meta data
pattern <- "anti-human/mouse |anti-human/mouse/rat |anti-mouse/human "
adt_data$name <- gsub(pattern, "", adt_data$name)
# change ADT rownames to antibody names
DefaultAssay(seu) <- "ADT"
if(all(rownames(seu[["ADT"]]@counts) == adt_data$id)){
  adt_counts <- seu[["ADT"]]@counts
  rownames(adt_counts) <- adt_data$name
  seu[["ADT"]] <- CreateAssayObject(counts = adt_counts)
}

if(!file.exists(out)){
  tmp <- DietSeurat(subset(seu, cells = which(seu$Batch != 0)), 
                    assays = "ADT")
  DefaultAssay(tmp) <- "ADT"
  
  seuLst <- SplitObject(tmp, split.by = "Batch")
  seuLst <- lapply(X = seuLst, FUN = function(x) {
    # set all ADT as variable features
    VariableFeatures(x) <- rownames(x)
    x <- NormalizeData(x, normalization.method = "CLR", margin = 2)
    x
  })
  features <- SelectIntegrationFeatures(object.list = seuLst)
  seuLst <- lapply(X = seuLst, FUN = function(x) {
    x <- ScaleData(x, features = features, verbose = FALSE) %>%
      RunPCA(features = features, verbose = FALSE)
    x
  })
  anchors <- FindIntegrationAnchors(object.list = seuLst, reduction = "rpca",
                                    dims = 1:30)
  tmp <- IntegrateData(anchorset = anchors, dims = 1:30)
  
  DefaultAssay(tmp) <- "integrated"
  tmp <- ScaleData(tmp) %>%
    RunPCA(dims = 1:30, verbose = FALSE) %>%
    RunUMAP(dims = 1:30, verbose = FALSE)

  # create combined object that only contains cells with RNA+ADT data
  seuADT <- subset(seu, cells = which(seu$Batch !=0))
  seuADT[["integrated.adt"]] <- tmp[["integrated"]]
  seuADT[["pca.adt"]] <- tmp[["pca"]]
  seuADT[["umap.adt"]] <- tmp[["umap"]]

  saveRDS(seuADT, file = out)
  fs::file_chmod(out, "664")
  if(any(str_detect(fs::group_ids()$group_name, 
                    "oshlack_lab"))) fs::file_chown(out, 
                                                    group_id = "oshlack_lab")
  
} else {
  seuADT <- readRDS(file = out)
  
}

View integrated data

DefaultAssay(seuADT) <- "integrated"

DimPlot(seu, group.by = "Batch", reduction = "umap") -> p1
DimPlot(seuADT, group.by = "Batch", reduction = "umap") -> p2
DimPlot(seuADT, group.by = "Batch", reduction = "umap.adt") -> p3

(p1 / ((p2 | p3) +
  plot_layout(guides = "collect"))) &
  theme(axis.title = element_text(size = 8),
        axis.text = element_text(size = 8)) 

Version Author Date
fb50017 Jovana Maksimovic 2024-03-19
DimPlot(seu, group.by = "Phase", reduction = "umap") -> p1
DimPlot(seuADT, group.by = "Phase", reduction = "umap") -> p2
DimPlot(seuADT, group.by = "Phase", reduction = "umap.adt") -> p3

(p1 / ((p2 | p3) +
  plot_layout(guides = "collect"))) &
  theme(axis.title = element_text(size = 8),
        axis.text = element_text(size = 8)) 

Version Author Date
fb50017 Jovana Maksimovic 2024-03-19

Cluster data

Perform clustering only on data that has ADT i.e. exclude batch 0.

Dimensionality reduction (RNA)

Exclude any mitochondrial, ribosomal, immunoglobulin and HLA genes from variable genes list, to encourage clustering by cell type.

# remove HLA, immunoglobulin, RNA, MT, and RP genes from variable genes list
var_regex = '^HLA-|^IG[HJKL]|^RNA|^MT-|^RP' 
hvg <- grep(var_regex, VariableFeatures(seuADT), invert = TRUE, value = TRUE)
# assign edited variable gene list back to object 
VariableFeatures(seuADT) <- hvg

# redo PCA and UMAP 
seuADT <- RunPCA(seuADT, dims = 1:30, verbose = FALSE) %>%
    RunUMAP(dims = 1:30, verbose = FALSE)

DimHeatmap(seuADT, dims = 1:30, cells = 500, balanced = TRUE,
           reduction = "pca", assays = "integrated")

Version Author Date
fb50017 Jovana Maksimovic 2024-03-19
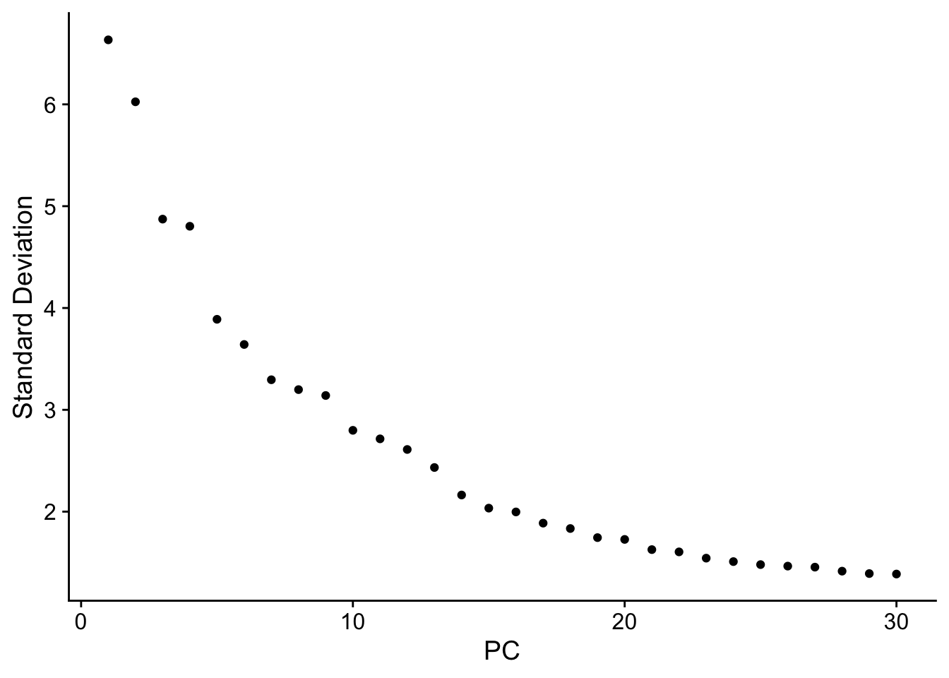
ElbowPlot(seuADT, ndims = 30, reduction = "pca")

Version Author Date
fb50017 Jovana Maksimovic 2024-03-19

Dimensionality reduction (ADT)

DimHeatmap(seuADT, dims = 1:30, cells = 500, balanced = TRUE,
           reduction = "pca.adt", assays = "integrated.adt")

Version Author Date
fb50017 Jovana Maksimovic 2024-03-19
ElbowPlot(seuADT, ndims = 30, reduction = "pca.adt")

Version Author Date
fb50017 Jovana Maksimovic 2024-03-19

Run WNN clustering

Perform clustering at a range of resolutions and visualise to see which is appropriate to proceed with.

out <- here("data",
            "C133_Neeland_merged",
            glue("C133_Neeland_full_clean{ambient}_integrated_clustered_t_cells.ADT.SEU.rds"))

if(!file.exists(out)){
  DefaultAssay(seuADT) <- "integrated"
  seuADT <- FindMultiModalNeighbors(seuADT, reduction.list = list("pca", "pca.adt"), 
                                 dims.list = list(1:30, 1:10), 
                                 modality.weight.name = "RNA.weight")
  seuADT <- FindClusters(seuADT, algorithm = 3, 
                      resolution = seq(0.1, 1, by = 0.1),
                      graph.name = "wsnn")
  seuADT <- RunUMAP(seuADT, dims = 1:30, nn.name = "weighted.nn", 
                 reduction.name = "wnn.umap", reduction.key = "wnnUMAP_",
                 return.model = TRUE)
  saveRDS(seuADT, file = out)
  fs::file_chmod(out, "664")
  if(any(str_detect(fs::group_ids()$group_name, 
                    "oshlack_lab"))) fs::file_chown(out, 
                                                    group_id = "oshlack_lab")
  
} else {
  seuADT <- readRDS(file = out)
  
}

clustree::clustree(seuADT, prefix = "wsnn_res.")

Version Author Date
fb50017 Jovana Maksimovic 2024-03-19

View clusters

Choose most appropriate resolution based on clustree plot above.

grp <- "wsnn_res.0.6"
# change factor ordering
seuADT@meta.data[,grp] <- fct_inseq(seuADT@meta.data[,grp])

DimPlot(seuADT, group.by = grp, label = T) + 
  theme(legend.position = "bottom")

Version Author Date
fb50017 Jovana Maksimovic 2024-03-19

Weighting of RNA and ADT data per cluster.

 VlnPlot(seuADT, features = "integrated.weight", group.by = grp, sort = TRUE, 
         pt.size = 0.1) +
  NoLegend()

Version Author Date
fb50017 Jovana Maksimovic 2024-03-19

Reference mapping

Batch 0 only has RNA data and was not included in the WNN clustering of batched 1-6. To add this data we will map it to the WNN clustered reference.

Map data

Find transfer anchors.

# use WNN clustered batches 1-6 as reference
reference <- seuADT
DefaultAssay(seu) <- "RNA"
# batch 0 RNA data is the query
query <- DietSeurat(subset(seu, cells = which(seu$Batch == 0)),
                    assays = "RNA")

DefaultAssay(reference) <- "integrated"

anchors <- FindTransferAnchors(
  reference = reference,
  query = query,
  normalization.method = "SCT",
  reference.reduction = "pca",
  dims = 1:50
)

Map batch 0 samples onto reference.

query <- MapQuery(
  anchorset = anchors,
  query = query,
  reference = reference,
  refdata = list(
    wsnn = grp,
    ADT = "ADT"
  ),
  reference.reduction = "pca", 
  reduction.model = "wnn.umap"
)

query
An object of class Seurat 
20156 features across 5106 samples within 3 assays 
Active assay: RNA (19973 features, 0 variable features)
 2 other assays present: prediction.score.wsnn, ADT
 2 dimensional reductions calculated: ref.pca, ref.umap

Visualise batch 0 samples on reference UMAP.

query$predicted.wsnn <- fct_inseq(query$predicted.wsnn)

DimPlot(query, reduction = "ref.umap", group.by = "predicted.wsnn", 
        label = TRUE, label.size = 3 ,repel = TRUE) + 
  theme(legend.position = "bottom")

Version Author Date
fb50017 Jovana Maksimovic 2024-03-19

Distribution of Azimuth prediction scores per WNN cluster.

ggplot(query@meta.data, aes(x = predicted.wsnn, 
                            y = predicted.wsnn.score,
                            fill = predicted.wsnn)) +
  geom_boxplot() + NoLegend()

Version Author Date
fb50017 Jovana Maksimovic 2024-03-19

Compute combined UMAP

Computing a new UMAP can help to identify any cell states present in the query but not reference.

# merge reference (integrated + WNN clustered) and query (RNA only samples)
reference$id <- 'reference'
query$id <- 'query'
DefaultAssay(reference) <- "integrated"
refquery <- merge(DietSeurat(reference,
                             assays = c("RNA","ADT","integrated","SCT"),
                             dimreducs = c("pca")),
                  DietSeurat(query,
                             assays = c("RNA"),
                             dimreducs = "ref.pca"))
refquery[["pca"]] <- merge(reference[["pca"]], query[["ref.pca"]])
refquery <- RunUMAP(refquery, reduction = 'pca', dims = 1:50, assay = "integrated")

View combined UMAP.

# combine cluster annotations from reference and query
refquery@meta.data[, grp] <- ifelse(is.na(refquery@meta.data[,grp]),
                          refquery$predicted.wsnn,
                          refquery@meta.data[,grp])
# change factor ordering
refquery@meta.data[,grp] <- fct_inseq(refquery@meta.data[,grp])

DimPlot(refquery, reduction = "umap", group.by = grp, 
             label = TRUE, label.size = 3) + NoLegend() 

Version Author Date
fb50017 Jovana Maksimovic 2024-03-19
DimPlot(refquery, reduction = "umap", group.by = "Phase", 
             label = FALSE, label.size = 3)

Version Author Date
fb50017 Jovana Maksimovic 2024-03-19
DimPlot(refquery, reduction = "umap", group.by = "Disease", 
             label = FALSE, label.size = 3)

Version Author Date
fb50017 Jovana Maksimovic 2024-03-19

Save results.

out <- here("data",
            "C133_Neeland_merged",
            glue("C133_Neeland_full_clean{ambient}_integrated_clustered_mapped_t_cells.ADT.SEU.rds"))
if(!file.exists(out)){
  saveRDS(refquery, file = out)
  fs::file_chmod(out, "664")
  if(any(str_detect(fs::group_ids()$group_name, 
                    "oshlack_lab"))) fs::file_chown(out, 
                                                    group_id = "oshlack_lab")
}

Examine combined clusters

Number of cells per cluster.

refquery@meta.data %>%
  ggplot(aes(x = !!sym(grp), fill = !!sym(grp))) +
  geom_bar() +
  geom_text(aes(label = ..count..), stat = "count",
            vjust = -0.5, colour = "black", size = 2) +
  theme(axis.text.x = element_text(angle = 90, vjust = 0.5, hjust = 1)) +
  NoLegend()

Version Author Date
fb50017 Jovana Maksimovic 2024-03-19

Visualise quality metrics by cluster. Cluster 17 potentially contains low quality cells.

refquery@meta.data %>%
  ggplot(aes(x = !!sym(grp),
             y = nCount_RNA,
             fill = !!sym(grp))) +
  geom_violin(scale = "area") +
  scale_y_log10() +
  NoLegend() -> p2

refquery@meta.data %>%
  ggplot(aes(x = !!sym(grp),
             y = nFeature_RNA,
             fill = !!sym(grp))) +
  geom_violin(scale = "area") +
  scale_y_log10() +
  NoLegend() -> p3

(p2 / p3) & theme(text = element_text(size = 8))

Version Author Date
fb50017 Jovana Maksimovic 2024-03-19

Check the batch composition of each of the clusters. Cluster 17 does not contain any cells from batch 0; could be a quality issue or the cell type was not captured in batch 0?

dittoBarPlot(refquery,
             var = "Batch", 
             group.by = grp)

Version Author Date
fb50017 Jovana Maksimovic 2024-03-19

Check the sample compositions of combined clusters.

dittoBarPlot(refquery,
             var = "sample.id", 
             group.by = grp) + ggtitle("Samples") +
  theme(legend.position = "bottom")

Version Author Date
fb50017 Jovana Maksimovic 2024-03-19

RNA marker gene analysis

Adapted from Dr. Belinda Phipson’s work for [@Sim2021-cg].

Test for marker genes using limma

# limma-trend for DE
Idents(refquery) <- grp

logcounts <- normCounts(DGEList(as.matrix(refquery[["RNA"]]@counts)),
                        log = TRUE, prior.count = 0.5)
entrez <- AnnotationDbi::mapIds(org.Hs.eg.db,
                                keys = rownames(logcounts),
                                column = c("ENTREZID"),
                                keytype = "SYMBOL",
                                multiVals = "first")
# remove genes without entrez IDs as these are difficult to interpret biologically
logcounts <- logcounts[!is.na(entrez),]
# remove confounding genes from counts table e.g. mitochondrial, ribosomal etc.
logcounts <- logcounts[!str_detect(rownames(logcounts), var_regex),]

maxclust <- length(levels(Idents(refquery))) - 1

clustgrp <- paste0("c", Idents(refquery))
clustgrp <- factor(clustgrp, levels = paste0("c", 0:maxclust))
donor <- factor(seu$sample.id)
batch <- factor(seu$Batch)

design <- model.matrix(~ 0 + clustgrp + donor)
colnames(design)[1:(length(levels(clustgrp)))] <- levels(clustgrp)

# Create contrast matrix
mycont <- matrix(NA, ncol = length(levels(clustgrp)),
                 nrow = length(levels(clustgrp)))
rownames(mycont) <- colnames(mycont) <- levels(clustgrp)
diag(mycont) <- 1
mycont[upper.tri(mycont)] <- -1/(length(levels(factor(clustgrp))) - 1)
mycont[lower.tri(mycont)] <- -1/(length(levels(factor(clustgrp))) - 1)

# Fill out remaining rows with 0s
zero.rows <- matrix(0, ncol = length(levels(clustgrp)),
                    nrow = (ncol(design) - length(levels(clustgrp))))
fullcont <- rbind(mycont, zero.rows)
rownames(fullcont) <- colnames(design)

fit <- lmFit(logcounts, design)

fit.cont <- contrasts.fit(fit, contrasts = fullcont)
fit.cont <- eBayes(fit.cont, trend = TRUE, robust = TRUE)

summary(decideTests(fit.cont))
          c0    c1    c2    c3    c4    c5    c6    c7    c8    c9   c10   c11
Down    1614   825  3626  1523  1869   474   448  1024   418   432   611   517
NotSig 13488 13418 11780 13353 12165 14550 14559 14101 14460 14419 14628 13872
Up       520  1379   216   746  1588   598   615   497   744   771   383  1233
         c12   c13   c14   c15   c16   c17   c18   c19
Down     463    81    89    25    88   184   101    62
NotSig 14783 15243 12657 15501 15270 14647 15121 14834
Up       376   298  2876    96   264   791   400   726

Test relative to a threshold (TREAT).

tr <- treat(fit.cont, lfc = 0.25)
dt <- decideTests(tr)
summary(dt)
          c0    c1    c2    c3    c4    c5    c6    c7    c8    c9   c10   c11
Down       8    14    28    19    84     5    12    30    24    12    12    32
NotSig 15587 15575 15591 15583 15531 15583 15580 15568 15569 15582 15592 15528
Up        27    33     3    20     7    34    30    24    29    28    18    62
         c12   c13   c14   c15   c16   c17   c18   c19
Down      12     1    12     0     1    23    12     5
NotSig 15578 15564 15335 15622 15602 15559 15574 15569
Up        32    57   275     0    19    40    36    48

Mean-difference (MD) plots per cluster.

par(mfrow=c(4,3))
par(mar=c(2,3,1,2))

for(i in 1:ncol(mycont)){
  plotMD(tr, coef = i, status = dt[,i], hl.cex = 0.5)
  abline(h = 0, col = "lightgrey")
  lines(lowess(tr$Amean, tr$coefficients[,i]), lwd = 1.5, col = 4)
}

Version Author Date
fb50017 Jovana Maksimovic 2024-03-19

Version Author Date
fb50017 Jovana Maksimovic 2024-03-19

limma marker gene dotplot

DefaultAssay(refquery) <- "RNA"
contnames <- colnames(mycont)
top_markers <- NULL
n_markers <- 10

for(i in 1:ncol(mycont)){
  top <- topTreat(tr, coef = i, n = Inf)
  top <- top[top$logFC > 0, ]
  top_markers <- c(top_markers, 
                   setNames(rownames(top)[1:n_markers], 
                            rep(contnames[i], n_markers)))
}

top_markers <- top_markers[!is.na(top_markers)]
top_markers <- top_markers[!duplicated(top_markers)]
cols <- paletteer::paletteer_d("pals::glasbey")[factor(names(top_markers))]

DotPlot(refquery,    
        features = unname(top_markers),
        group.by = grp,
        cols = c("azure1", "blueviolet"),
        dot.scale = 3, assay = "SCT") +
    RotatedAxis() +
    FontSize(y.text = 8, x.text = 12) +
    labs(y = element_blank(), x = element_blank()) +
    coord_flip() +
  theme(axis.text.y = element_text(color = cols)) +
  ggtitle("Top 10 cluster marker genes (no duplicates)")

Version Author Date
fb50017 Jovana Maksimovic 2024-03-19

Save marker genes and pathways

The Broad MSigDB Reactome pathways are tested for each contrast using cameraPR from limma. The cameraPR method tests whether a set of genes is highly ranked relative to other genes in terms of differential expression, accounting for inter-gene correlation.

Prepare gene sets of interest.

if(!file.exists(here("data/Hs.c2.cp.reactome.v7.1.entrez.rds")))
  download.file("https://bioinf.wehi.edu.au/MSigDB/v7.1/Hs.c2.cp.reactome.v7.1.entrez.rds",
                here("data/Hs.c2.cp.reactome.v7.1.entrez.rds"))

Hs.c2.reactome <- readRDS(here("data/Hs.c2.cp.reactome.v7.1.entrez.rds"))

gns <- AnnotationDbi::mapIds(org.Hs.eg.db, 
                             keys = rownames(tr), 
                             column = c("ENTREZID"),
                             keytype = "SYMBOL",
                             multiVals = "first")

Run pathway analysis and save results to file.

options(scipen=-1, digits = 6)
contnames <- colnames(mycont)
dirName <- here("output",
                "cluster_markers",
                glue("RNA{ambient}"),
                "t_cells")

if(!dir.exists(dirName)) dir.create(dirName, recursive = TRUE)

for(c in colnames(tr)){
  top <- topTreat(tr, coef = c, n = Inf)
  top <- top[top$logFC > 0, ]

  write.csv(top[1:100, ] %>%
              rownames_to_column(var = "Symbol"),
            file = glue("{dirName}/up-cluster-limma-{c}.csv"),
            sep = ",",
            quote = FALSE,
            col.names = NA,
            row.names = TRUE)

  # get marker indices
  c2.id <- ids2indices(Hs.c2.reactome, unname(gns[rownames(tr)]))
  # gene set testing results
  cameraPR(tr$t[,glue("{c}")], c2.id) %>%
    rownames_to_column(var = "Pathway") %>%
    dplyr::filter(Direction == "Up") %>%
    slice_head(n = 50) %>%
    write.csv(file = here(glue("{dirName}/REACTOME-cluster-limma-{c}.csv")),
            sep = ",",
            quote = FALSE,
            col.names = NA,
            row.names = TRUE)
}

ADT marker analysis

Find all marker ADT using limma

# identify isotype controls for DSB ADT normalisation
read_csv(file = here("data",
                     "C133_Neeland_batch1",
                     "data",
                     "sample_sheets",
                     "ADT_features.csv")) %>%
  dplyr::filter(grepl("[Ii]sotype", name)) %>%
  pull(name) -> isotype_controls

# normalise ADT using DSB normalisation
adt <- seuADT[["ADT"]]@counts
adt_dsb <- ModelNegativeADTnorm(cell_protein_matrix = adt,
                                denoise.counts = TRUE,
                                use.isotype.control = TRUE,
                                isotype.control.name.vec = isotype_controls)
[1] "fitting models to each cell for dsb technical component and removing cell to cell technical noise"

Running the limma analysis on the normalised counts.

# limma-trend for DE
Idents(seuADT) <- grp

logcounts <- adt_dsb
# remove isotype controls from marker analysis
logcounts <- logcounts[!rownames(logcounts) %in% isotype_controls,]
maxclust <- length(levels(Idents(seuADT))) - 1

clustgrp <- paste0("c", Idents(seuADT))
clustgrp <- factor(clustgrp, levels = paste0("c", 0:maxclust))
donor <- seuADT$sample.id

design <- model.matrix(~ 0 + clustgrp + donor)
colnames(design)[1:(length(levels(clustgrp)))] <- levels(clustgrp)

# Create contrast matrix
mycont <- matrix(NA, ncol = length(levels(clustgrp)),
                 nrow = length(levels(clustgrp)))
rownames(mycont) <- colnames(mycont) <- levels(clustgrp)
diag(mycont) <- 1
mycont[upper.tri(mycont)] <- -1/(length(levels(factor(clustgrp))) - 1)
mycont[lower.tri(mycont)] <- -1/(length(levels(factor(clustgrp))) - 1)

# Fill out remaining rows with 0s
zero.rows <- matrix(0, ncol = length(levels(clustgrp)),
                    nrow = (ncol(design) - length(levels(clustgrp))))
fullcont <- rbind(mycont, zero.rows)
rownames(fullcont) <- colnames(design)

fit <- lmFit(logcounts, design)
fit.cont <- contrasts.fit(fit, contrasts = fullcont)
fit.cont <- eBayes(fit.cont, trend = TRUE, robust = TRUE)

summary(decideTests(fit.cont))
        c0  c1  c2  c3  c4  c5  c6  c7  c8  c9 c10 c11 c12 c13 c14 c15 c16 c17
Down    39  25  33  39  14  24  16  32  20  32  14  20  27   2   6   8  26  25
NotSig  96  92 114 107  84 118 116 109 124 113 124 105 127 142 110 133 120 122
Up      19  37   7   8  56  12  22  13  10   9  16  29   0  10  38  13   8   7
       c18 c19
Down    17   1
NotSig 132 150
Up       5   3

Test relative to a threshold (TREAT).

tr <- treat(fit.cont, lfc = 0.1)
dt <- decideTests(tr)
summary(dt)
        c0  c1  c2  c3  c4  c5  c6  c7  c8  c9 c10 c11 c12 c13 c14 c15 c16 c17
Down     3   5   1   7   2   3   0   5   5  10   0   6   2   0   0   0   6  14
NotSig 142 136 153 144 130 145 149 144 146 139 149 133 152 152 145 148 142 138
Up       9  13   0   3  22   6   5   5   3   5   5  15   0   2   9   6   6   2
       c18 c19
Down     6   0
NotSig 145 154
Up       3   0

ADT marker dot plot

Dot plot of the top 5 ADT markers per cluster without duplication.

contnames <- colnames(mycont)
top_markers <- NULL
n_markers <- 5

for (i in 1:length(contnames)){
  top <- topTreat(tr, coef = i, n = Inf)
  top <- top[top$logFC > 0,]
  top_markers <- c(top_markers, 
                   setNames(rownames(top)[1:n_markers], 
                            rep(contnames[i], n_markers)))
}

top_markers <- top_markers[!is.na(top_markers)]
top_markers <- top_markers[!duplicated(top_markers)]
cols <- paletteer::paletteer_d("pals::glasbey")[factor(names(top_markers))][!duplicated(top_markers)]

# add DSB normalised data to Seurat assay for plotting
seuADT[["ADT.dsb"]] <- CreateAssayObject(data = logcounts)
DotPlot(seuADT, 
        group.by = grp,
        features = unname(top_markers), 
        cols = c("azure1", "blueviolet"),
        assay = "ADT.dsb")  +
  RotatedAxis() + 
  FontSize(y.text = 8, x.text = 9) +
  labs(y = element_blank(), x = element_blank()) +
  theme(axis.text.y = element_text(color = cols),
        legend.text = element_text(size = 10),
        legend.title = element_text(size = 10)) +
    coord_flip() +
  ggtitle("Top 5 cluster markers ADTs (no duplicates)")

Version Author Date
fb50017 Jovana Maksimovic 2024-03-19

ADT marker heatmap

Make data frame of proteins, clusters, expression levels.

cbind(seuADT@meta.data %>%
        dplyr::select(!!sym(grp)),
      as.data.frame(t(seuADT@assays$ADT.dsb@data))) %>%
  rownames_to_column(var = "cell") %>%
  pivot_longer(c(-!!sym(grp), -cell), 
               names_to = "ADT",
               values_to = "expression") %>%
  dplyr::group_by(!!sym(grp), ADT) %>%
  dplyr::summarize(Expression = mean(expression)) %>%
  ungroup() -> dat

# plot expression density to select heatmap colour scale range
plot(density(dat$Expression))

Version Author Date
fb50017 Jovana Maksimovic 2024-03-19
dat %>%
  dplyr::filter(ADT %in% top_markers) |>
  heatmap(
    .column = !!sym(grp),
    .row = ADT,
    .value = Expression,
    row_order = top_markers, 
    scale = "none",
    rect_gp = grid::gpar(col = "white", lwd = 1),
    show_row_names = TRUE,
    cluster_columns = FALSE,
    cluster_rows = FALSE,
    column_names_gp = grid::gpar(fontsize = 10),
    column_title_gp = grid::gpar(fontsize = 12),
    row_names_gp = grid::gpar(fontsize = 8, col = cols[order(top_markers)]),
    row_title_gp = grid::gpar(fontsize = 12),
    column_title_side = "top",
    palette_value = circlize::colorRamp2(seq(-0.25, 2, length.out = 256),
                                         viridis::magma(256)),
    heatmap_legend_param = list(direction = "vertical"))

Version Author Date
fb50017 Jovana Maksimovic 2024-03-19

Save ADT markers

options(scipen=-1, digits = 6)
contnames <- colnames(mycont)
dirName <- here("output",
                "cluster_markers",
                glue("ADT{ambient}"),
                "t_cells")
if(!dir.exists(dirName)) dir.create(dirName, recursive = TRUE)

for(c in contnames){
  top <- topTreat(tr, coef = c, n = Inf)
  top <- top[top$logFC > 0, ]
  write.csv(top,
            file = glue("{dirName}/up-cluster-limma-{c}.csv"),
            sep = ",",
            quote = FALSE,
            col.names = NA,
            row.names = TRUE)
}

Session info


sessionInfo()
R version 4.3.2 (2023-10-31)
Platform: aarch64-apple-darwin20 (64-bit)
Running under: macOS Sonoma 14.3.1

Matrix products: default
BLAS:   /Library/Frameworks/R.framework/Versions/4.3-arm64/Resources/lib/libRblas.0.dylib 
LAPACK: /Library/Frameworks/R.framework/Versions/4.3-arm64/Resources/lib/libRlapack.dylib;  LAPACK version 3.11.0

locale:
[1] en_US.UTF-8/en_US.UTF-8/en_US.UTF-8/C/en_US.UTF-8/en_US.UTF-8

time zone: Australia/Melbourne
tzcode source: internal

attached base packages:
[1] stats4    stats     graphics  grDevices datasets  utils     methods  
[8] base     

other attached packages:
 [1] dsb_1.0.3                   tidyHeatmap_1.8.1          
 [3] speckle_1.2.0               glue_1.7.0                 
 [5] org.Hs.eg.db_3.18.0         AnnotationDbi_1.64.1       
 [7] patchwork_1.2.0             clustree_0.5.1             
 [9] ggraph_2.2.0                here_1.0.1                 
[11] dittoSeq_1.14.2             glmGamPoi_1.14.3           
[13] SeuratObject_4.1.4          Seurat_4.4.0               
[15] lubridate_1.9.3             forcats_1.0.0              
[17] stringr_1.5.1               dplyr_1.1.4                
[19] purrr_1.0.2                 readr_2.1.5                
[21] tidyr_1.3.1                 tibble_3.2.1               
[23] ggplot2_3.5.0               tidyverse_2.0.0            
[25] edgeR_4.0.15                limma_3.58.1               
[27] SingleCellExperiment_1.24.0 SummarizedExperiment_1.32.0
[29] Biobase_2.62.0              GenomicRanges_1.54.1       
[31] GenomeInfoDb_1.38.6         IRanges_2.36.0             
[33] S4Vectors_0.40.2            BiocGenerics_0.48.1        
[35] MatrixGenerics_1.14.0       matrixStats_1.2.0          
[37] workflowr_1.7.1            

loaded via a namespace (and not attached):
  [1] fs_1.6.3                spatstat.sparse_3.0-3   bitops_1.0-7           
  [4] httr_1.4.7              RColorBrewer_1.1-3      doParallel_1.0.17      
  [7] backports_1.4.1         tools_4.3.2             sctransform_0.4.1      
 [10] utf8_1.2.4              R6_2.5.1                lazyeval_0.2.2         
 [13] uwot_0.1.16             GetoptLong_1.0.5        withr_3.0.0            
 [16] sp_2.1-3                gridExtra_2.3           progressr_0.14.0       
 [19] cli_3.6.2               Cairo_1.6-2             spatstat.explore_3.2-6 
 [22] prismatic_1.1.1         labeling_0.4.3          sass_0.4.8             
 [25] spatstat.data_3.0-4     ggridges_0.5.6          pbapply_1.7-2          
 [28] parallelly_1.37.0       rstudioapi_0.15.0       RSQLite_2.3.5          
 [31] generics_0.1.3          shape_1.4.6             vroom_1.6.5            
 [34] ica_1.0-3               spatstat.random_3.2-2   dendextend_1.17.1      
 [37] Matrix_1.6-5            ggbeeswarm_0.7.2        fansi_1.0.6            
 [40] abind_1.4-5             lifecycle_1.0.4         whisker_0.4.1          
 [43] yaml_2.3.8              SparseArray_1.2.4       Rtsne_0.17             
 [46] paletteer_1.6.0         grid_4.3.2              blob_1.2.4             
 [49] promises_1.2.1          crayon_1.5.2            miniUI_0.1.1.1         
 [52] lattice_0.22-5          cowplot_1.1.3           KEGGREST_1.42.0        
 [55] pillar_1.9.0            knitr_1.45              ComplexHeatmap_2.18.0  
 [58] rjson_0.2.21            future.apply_1.11.1     codetools_0.2-19       
 [61] leiden_0.4.3.1          getPass_0.2-4           data.table_1.15.0      
 [64] vctrs_0.6.5             png_0.1-8               gtable_0.3.4           
 [67] rematch2_2.1.2          cachem_1.0.8            xfun_0.42              
 [70] S4Arrays_1.2.0          mime_0.12               tidygraph_1.3.1        
 [73] survival_3.5-8          pheatmap_1.0.12         iterators_1.0.14       
 [76] statmod_1.5.0           ellipsis_0.3.2          fitdistrplus_1.1-11    
 [79] ROCR_1.0-11             nlme_3.1-164            bit64_4.0.5            
 [82] RcppAnnoy_0.0.22        rprojroot_2.0.4         bslib_0.6.1            
 [85] irlba_2.3.5.1           vipor_0.4.7             KernSmooth_2.23-22     
 [88] colorspace_2.1-0        DBI_1.2.1               ggrastr_1.0.2          
 [91] tidyselect_1.2.0        processx_3.8.3          bit_4.0.5              
 [94] compiler_4.3.2          git2r_0.33.0            DelayedArray_0.28.0    
 [97] plotly_4.10.4           checkmate_2.3.1         scales_1.3.0           
[100] lmtest_0.9-40           callr_3.7.3             digest_0.6.34          
[103] goftest_1.2-3           spatstat.utils_3.0-4    rmarkdown_2.25         
[106] XVector_0.42.0          htmltools_0.5.7         pkgconfig_2.0.3        
[109] highr_0.10              fastmap_1.1.1           rlang_1.1.3            
[112] GlobalOptions_0.1.2     htmlwidgets_1.6.4       shiny_1.8.0            
[115] farver_2.1.1            jquerylib_0.1.4         zoo_1.8-12             
[118] jsonlite_1.8.8          mclust_6.1              RCurl_1.98-1.14        
[121] magrittr_2.0.3          GenomeInfoDbData_1.2.11 munsell_0.5.0          
[124] Rcpp_1.0.12             viridis_0.6.5           reticulate_1.35.0      
[127] stringi_1.8.3           zlibbioc_1.48.0         MASS_7.3-60.0.1        
[130] plyr_1.8.9              parallel_4.3.2          listenv_0.9.1          
[133] ggrepel_0.9.5           deldir_2.0-2            Biostrings_2.70.2      
[136] graphlayouts_1.1.0      splines_4.3.2           tensor_1.5             
[139] hms_1.1.3               circlize_0.4.15         locfit_1.5-9.8         
[142] ps_1.7.6                igraph_2.0.1.1          spatstat.geom_3.2-8    
[145] reshape2_1.4.4          evaluate_0.23           renv_1.0.3             
[148] tzdb_0.4.0              foreach_1.5.2           tweenr_2.0.3           
[151] httpuv_1.6.14           RANN_2.6.1              polyclip_1.10-6        
[154] future_1.33.1           clue_0.3-65             scattermore_1.2        
[157] ggforce_0.4.2           xtable_1.8-4            later_1.3.2            
[160] viridisLite_0.4.2       memoise_2.0.1           beeswarm_0.4.0         
[163] cluster_2.1.6           timechange_0.3.0        globals_0.16.2