Last updated: 2024-02-26

Checks: 7 0

Knit directory: paed-inflammation-CITEseq/

This reproducible R Markdown analysis was created with workflowr (version 1.7.1). The Checks tab describes the reproducibility checks that were applied when the results were created. The Past versions tab lists the development history.


Great! Since the R Markdown file has been committed to the Git repository, you know the exact version of the code that produced these results.

Great job! The global environment was empty. Objects defined in the global environment can affect the analysis in your R Markdown file in unknown ways. For reproduciblity it’s best to always run the code in an empty environment.

The command set.seed(20240216) was run prior to running the code in the R Markdown file. Setting a seed ensures that any results that rely on randomness, e.g. subsampling or permutations, are reproducible.

Great job! Recording the operating system, R version, and package versions is critical for reproducibility.

Nice! There were no cached chunks for this analysis, so you can be confident that you successfully produced the results during this run.

Great job! Using relative paths to the files within your workflowr project makes it easier to run your code on other machines.

Great! You are using Git for version control. Tracking code development and connecting the code version to the results is critical for reproducibility.

The results in this page were generated with repository version 025ceae. See the Past versions tab to see a history of the changes made to the R Markdown and HTML files.

Note that you need to be careful to ensure that all relevant files for the analysis have been committed to Git prior to generating the results (you can use wflow_publish or wflow_git_commit). workflowr only checks the R Markdown file, but you know if there are other scripts or data files that it depends on. Below is the status of the Git repository when the results were generated:


Ignored files:
    Ignored:    .Rhistory
    Ignored:    .Rproj.user/

Untracked files:
    Untracked:  .DS_Store
    Untracked:  analysis/02.0_quality_control.Rmd
    Untracked:  analysis/03.0_call_doublets.Rmd
    Untracked:  code/dropletutils.R
    Untracked:  code/utility.R
    Untracked:  data/.DS_Store
    Untracked:  data/C133_Neeland_batch0/
    Untracked:  data/C133_Neeland_batch1/
    Untracked:  data/C133_Neeland_batch2/
    Untracked:  data/C133_Neeland_batch3/
    Untracked:  data/C133_Neeland_batch4/
    Untracked:  data/C133_Neeland_batch5/
    Untracked:  data/C133_Neeland_batch6/
    Untracked:  renv.lock
    Untracked:  renv/

Unstaged changes:
    Modified:   .Rprofile
    Modified:   .gitignore

Note that any generated files, e.g. HTML, png, CSS, etc., are not included in this status report because it is ok for generated content to have uncommitted changes.


These are the previous versions of the repository in which changes were made to the R Markdown (analysis/01.2_preprocess_batch2.Rmd) and HTML (docs/01.2_preprocess_batch2.html) files. If you’ve configured a remote Git repository (see ?wflow_git_remote), click on the hyperlinks in the table below to view the files as they were in that past version.

File Version Author Date Message
Rmd 025ceae Jovana Maksimovic 2024-02-26 wflow_publish(c("analysis/index.Rmd", "analysis/01*"))

suppressPackageStartupMessages({
    library(here)
    library(readxl)
    library(BiocStyle)
    library(ggplot2)
    library(cowplot)
    library(patchwork)
    library(demuxmix)
    library(tidyverse)
    library(SingleCellExperiment)
    library(DropletUtils)
    library(scater)
})

source(here("code/utility.R"))

Overview

  • There are 8 samples in this batch.
  • Each sample comes from a different donor (i.e. each sample is genetically distinct).
  • Each has a unique HTO label.

We used simple HTO labelling whereby each sample is labelled with 1 HTO, shown in the table below:

sample_metadata_df <- read_excel(
  here("data/C133_Neeland_batch2/data/sample_sheets/CITEseq_48 samples_design_2.xlsx"),
  col_types = 
    c("text", "text", "text", "numeric", "text", "numeric", "text", "date"))
sample_metadata_df$`HASHTAG ID` <- paste0(
  "Human_HTO_",
  sample_metadata_df$`HASHTAG ID`)
knitr::kable(sample_metadata_df[sample_metadata_df$Batch == 2, ])
Donor Sample name Disease Age Sex Batch HASHTAG ID DATE OF CAPTURE
9 9 Wheeze 3.665753 M 2 Human_HTO_6 2021-09-06
10 10 True control 8.397260 F 2 Human_HTO_7 2021-09-06
11 11.1 CF 2.947945 F 2 Human_HTO_9 2021-09-06
11 11.2 CF 4.572603 F 2 Human_HTO_10 2021-09-06
11 11.3 CF 4.917808 F 2 Human_HTO_12 2021-09-06
12 12.1 CF 2.969863 M 2 Human_HTO_13 2021-09-06
12 12.2 CF 4.057534 M 2 Human_HTO_14 2021-09-06
12 12.3 CF 5.093151 M 2 Human_HTO_15 2021-09-06

Setting up the data

sce_raw <- readRDS(here("data", "C133_Neeland_batch2",
                    "data", "SCEs", "C133_Neeland_batch2.CellRanger.SCE.rds"))
sce_raw$Capture <- factor(sce_raw$Sample)
capture_names <- levels(sce_raw$Capture)
capture_names <- setNames(capture_names, capture_names)
sce_raw$Sample <- NULL
sce_raw
class: SingleCellExperiment 
dim: 36601 6612251 
metadata(1): Samples
assays(1): counts
rownames(36601): ENSG00000243485 ENSG00000237613 ... ENSG00000278817
  ENSG00000277196
rowData names(3): ID Symbol Type
colnames(6612251): 1_AAACCCAAGAAACACT-1 1_AAACCCAAGAAACCAT-1 ...
  2_TTTGTTGTCTTTGCAT-1 2_TTTGTTGTCTTTGGAG-1
colData names(2): Barcode Capture
reducedDimNames(0):
mainExpName: Gene Expression
altExpNames(1): Antibody Capture

Calling cells from empty droplets

par(mfrow = c(1, 2))
lapply(capture_names, function(cn) {
  sce_raw <- sce_raw[, sce_raw$Capture == cn]
  bcrank <- barcodeRanks(counts(sce_raw))
  # Only showing unique points for plotting speed.
  uniq <- !duplicated(bcrank$rank)
  plot(
    x = bcrank$rank[uniq],
    y = bcrank$total[uniq],
    log = "xy",
    xlab = "Rank",
    ylab = "Total UMI count",
    main = cn,
    cex.lab = 1.2,
    xlim = c(1, 500000),
    ylim = c(1, 200000))
  abline(h = metadata(bcrank)$inflection, col = "darkgreen", lty = 2)
  abline(h = metadata(bcrank)$knee, col = "dodgerblue", lty = 2)
})
Total UMI count for each barcode in the dataset, plotted against its rank (in decreasing order of total counts). The inferred locations of the inflection (dark green dashed lines) and knee points (blue dashed lines) are also shown.

Total UMI count for each barcode in the dataset, plotted against its rank (in decreasing order of total counts). The inferred locations of the inflection (dark green dashed lines) and knee points (blue dashed lines) are also shown.

Remove empty droplets.

empties <- do.call(rbind, lapply(capture_names, function(cn) {
  message(cn)
  empties <- readRDS(
    here("data",
         "C133_Neeland_batch2",
         "data",
         "emptyDrops", paste0(cn, ".emptyDrops.rds")))
  empties$Capture <- cn
  empties
}))
tapply(
  empties$FDR,
  empties$Capture,
  function(x) sum(x <= 0.001, na.rm = TRUE)) |>
  knitr::kable(
    caption = "Number of non-empty droplets identified using `emptyDrops()` from **DropletUtils**.")
Number of non-empty droplets identified using emptyDrops() from DropletUtils.
x
C133_batch2_1 23753
C133_batch2_2 29407
sce <- sce_raw[, which(empties$FDR <= 0.001)]
sce
class: SingleCellExperiment 
dim: 36601 53160 
metadata(1): Samples
assays(1): counts
rownames(36601): ENSG00000243485 ENSG00000237613 ... ENSG00000278817
  ENSG00000277196
rowData names(3): ID Symbol Type
colnames(53160): 1_AAACCCAAGACCTGGA-1 1_AAACCCAAGACTGTTC-1 ...
  2_TTTGTTGTCTCATGGA-1 2_TTTGTTGTCTCCAAGA-1
colData names(2): Barcode Capture
reducedDimNames(0):
mainExpName: Gene Expression
altExpNames(1): Antibody Capture

Adding per cell quality control information

sce <- scuttle::addPerCellQC(sce)
head(colData(sce)) %>%
  data.frame %>%
  knitr::kable()
Barcode Capture sum detected altexps_Antibody.Capture_sum altexps_Antibody.Capture_detected altexps_Antibody.Capture_percent total
1_AAACCCAAGACCTGGA-1 AAACCCAAGACCTGGA-1 C133_batch2_1 7891 2571 2715 154 25.59872 10606
1_AAACCCAAGACTGTTC-1 AAACCCAAGACTGTTC-1 C133_batch2_1 6160 2035 9563 167 60.82173 15723
1_AAACCCAAGAGCCATG-1 AAACCCAAGAGCCATG-1 C133_batch2_1 5190 1919 2424 159 31.83609 7614
1_AAACCCAAGAGGACTC-1 AAACCCAAGAGGACTC-1 C133_batch2_1 8594 2746 10553 163 55.11568 19147
1_AAACCCAAGATGATTG-1 AAACCCAAGATGATTG-1 C133_batch2_1 6089 2217 3779 159 38.29550 9868
1_AAACCCAAGCGCACAA-1 AAACCCAAGCGCACAA-1 C133_batch2_1 3273 1406 1976 160 37.64527 5249

Demultiplexing with hashtag oligos (HTOs)

is_adt <- grepl("^A[0-9]+", rownames(altExp(sce, "Antibody Capture")))
is_hto <- grepl("^Human_HTO", rownames(altExp(sce, "Antibody Capture")))
altExp(sce, "HTO") <- altExp(sce, "Antibody Capture")[is_hto, ]
altExp(sce, "ADT") <- altExp(sce, "Antibody Capture")[is_adt, ]
altExp(sce, "Antibody Capture") <- NULL
hto_counts <- counts(altExp(sce, "HTO"))
xmax <- ceiling(max(log2(hto_counts + 1)))

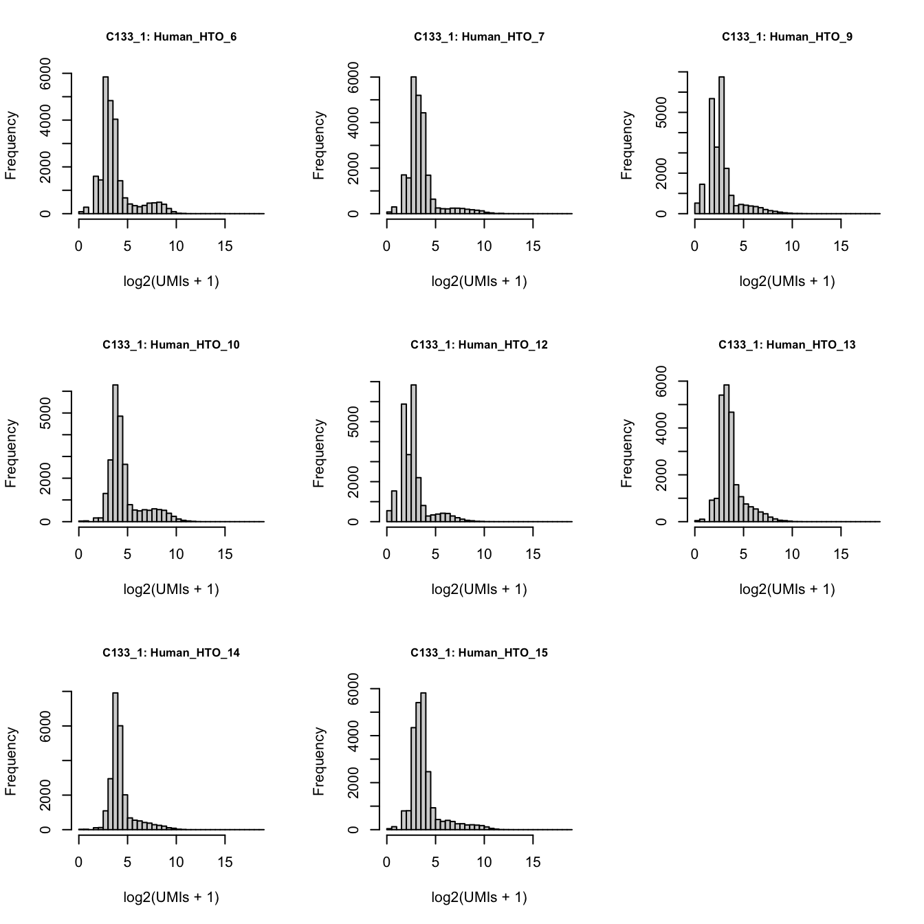
C133_batch2_1

par(mfrow = c(3, 3))
lapply(rownames(hto_counts), function(i) {
  hist(
    log2(hto_counts[i, sce$Capture == "C133_batch2_1"] + 1),
    xlab = "log2(UMIs + 1)", 
    main = paste0("C133_1: ", i), 
    xlim = c(0, xmax), 
    breaks = seq(0, xmax, 0.5),
    cex.main = 0.8)
})
Number of UMIs for each HTO across all non-empty droplets.

Number of UMIs for each HTO across all non-empty droplets.

Prepare the data.

hto <- as.matrix(counts(altExp(sce[, sce$Capture == "C133_batch2_1"], "HTO")))
detected <- sce$detected[sce$Capture == "C133_batch2_1"]

df <- data.frame(t(hto), 
                 detected = detected, 
                 hto = colSums(hto))

df %>% 
  pivot_longer(cols = starts_with("Human_HTO")) %>%
  mutate(logged = log(value + 1)) %>%
  ggplot(aes(x = logged)) +
  geom_density(adjust = 5) +
  facet_wrap(~name, scales = "free")

df %>% 
  pivot_longer(cols = starts_with("Human_HTO")) %>%
  ggplot(aes(x = detected, y = hto)) +
  geom_density_2d() +
  facet_wrap(~name) 

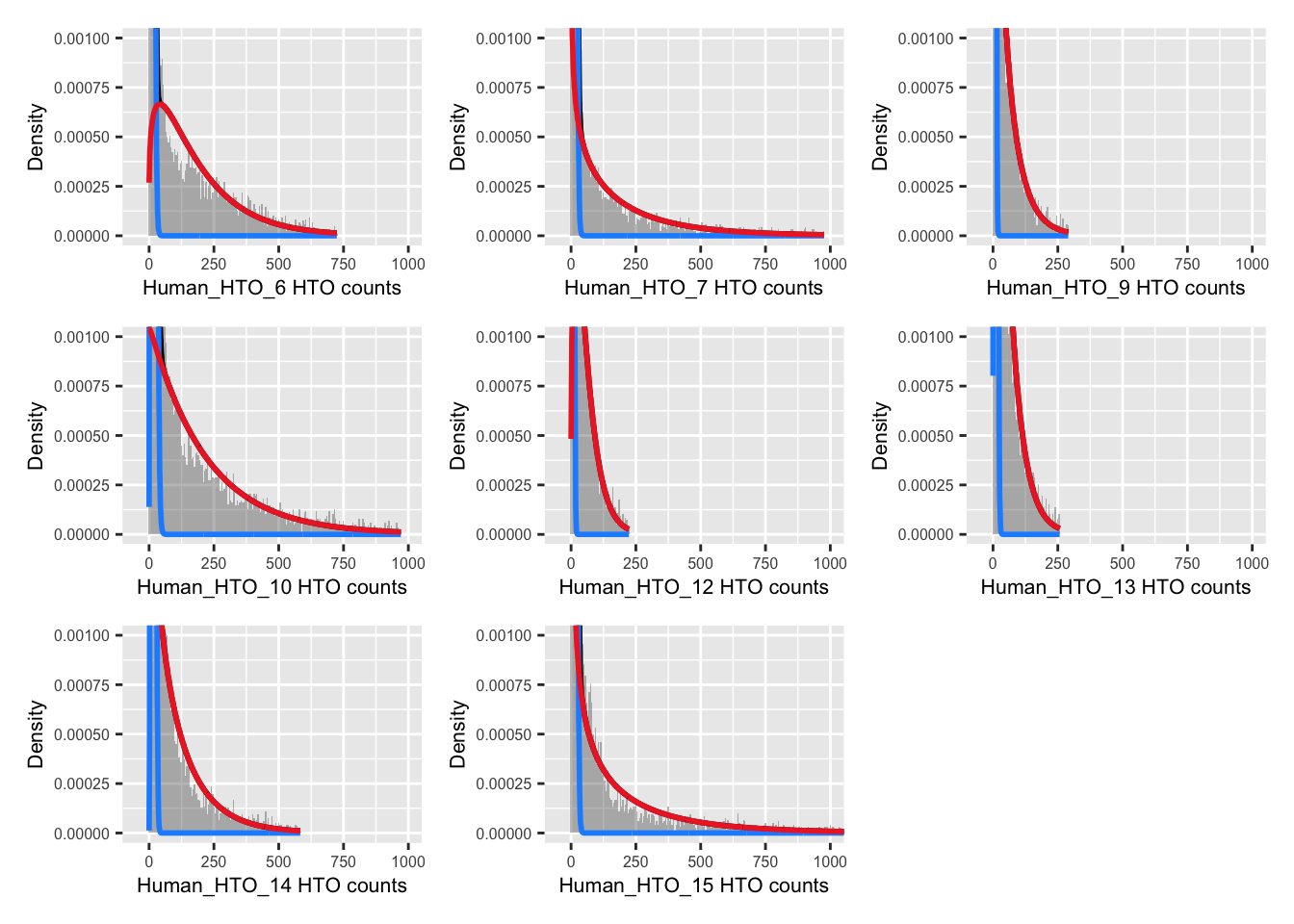
Run demultiplexing.

dmm <- demuxmix(hto = hto, 
                rna = detected,
                model = "naive")
summary(dmm)
          Class NumObs    RelFreq   MedProb    ExpFPs       FDR
1  Human_HTO_10   2866 0.12742308 0.7904544  705.2727 0.2460826
2  Human_HTO_12   1452 0.06455629 0.7769471  369.3228 0.2543545
3  Human_HTO_13   2378 0.10572648 0.8074798  564.1196 0.2372244
4  Human_HTO_14   1895 0.08425218 0.7970796  460.2876 0.2428958
5  Human_HTO_15   1527 0.06789081 0.7895507  375.2009 0.2457111
6   Human_HTO_6   1947 0.08656411 0.7746205  505.1135 0.2594317
7   Human_HTO_7   1071 0.04761693 0.7772905  275.3354 0.2570826
8   Human_HTO_9   1711 0.07607149 0.7996587  408.6939 0.2388626
9       singlet  14847 0.66010137 0.7890803 3663.3464 0.2467398
10    multiplet   4829 0.21469856 0.7580791 1355.1782 0.2806333
11     negative   2816 0.12520007 0.7051019  909.5577 0.3229963
12    uncertain   1261         NA        NA        NA        NA

Examine results.

p <- vector("list", nrow(hto))
for(i in 1:nrow(hto)){
  p[[i]] <- plotDmmHistogram(dmm, hto = i) + 
    coord_cartesian(ylim = c(0, 0.001),
                    xlim = c(-50, 1000)) +
    theme(axis.title = element_text(size = 8),
          axis.text = element_text(size = 6))
}

wrap_plots(p , ncol = 3) 

p <- vector("list", nrow(hto))
for(i in 1:nrow(hto)){
  p[[i]] <- plotDmmPosteriorP(dmm, hto = i) + 
    theme(axis.title = element_text(size = 8),
          axis.text = element_text(size = 6))
}

wrap_plots(p , ncol = 3) 

pAcpt(dmm) <- 0
classes1 <- dmmClassify(dmm)
classes1$dmmHTO <- ifelse(classes1$Type == "multiplet", "Doublet",
                           ifelse(classes1$Type %in% c("negative", "uncertain"), 
                                  "Negative", classes1$HTO))
table(classes1$dmmHTO)

     Doublet Human_HTO_10 Human_HTO_12 Human_HTO_13 Human_HTO_14 Human_HTO_15 
        5420         2917         1491         2434         1935         1564 
 Human_HTO_6  Human_HTO_7  Human_HTO_9     Negative 
        2019         1117         1769         3087 

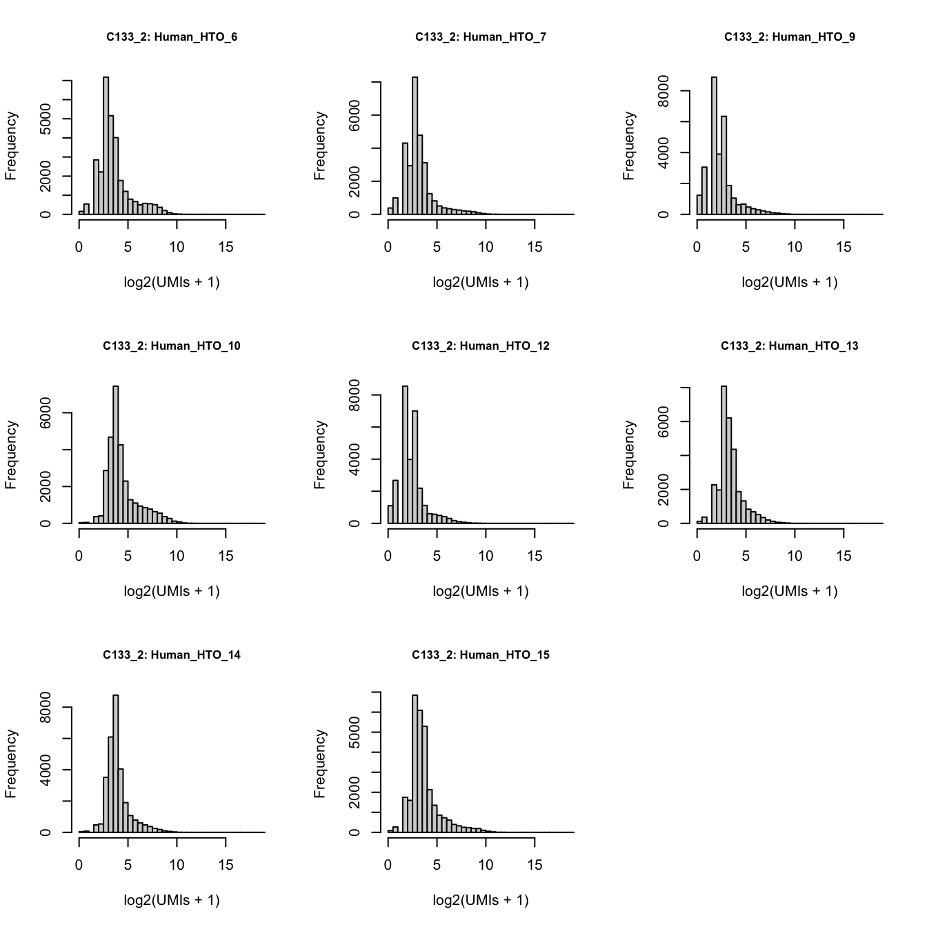
C133_batch2_2

par(mfrow = c(3, 3))
lapply(rownames(hto_counts), function(i) {
  hist(
    log2(hto_counts[i, sce$Capture == "C133_batch2_2"] + 1),
    xlab = "log2(UMIs + 1)", 
    main = paste0("C133_2: ", i), 
    xlim = c(0, xmax), 
    breaks = seq(0, xmax, 0.5),
    cex.main = 0.8)
})
Number of UMIs for each HTO across all non-empty droplets.

Number of UMIs for each HTO across all non-empty droplets.

Prepare the data.

hto <- as.matrix(counts(altExp(sce[, sce$Capture == "C133_batch2_2"], "HTO")))
detected <- sce$detected[sce$Capture == "C133_batch2_2"]

df <- data.frame(t(hto), 
                 detected = detected, 
                 hto = colSums(hto))

df %>% 
  pivot_longer(cols = starts_with("Human_HTO")) %>%
  mutate(logged = log(value + 1)) %>%
  ggplot(aes(x = logged)) +
  geom_density(adjust = 5) +
  facet_wrap(~name, scales = "free")

df %>% 
  pivot_longer(cols = starts_with("Human_HTO")) %>%
  ggplot(aes(x = detected, y = hto)) +
  geom_density_2d() +
  facet_wrap(~name) 

Run demultiplexing.

dmm <- demuxmix(hto = hto, 
                rna = detected,
                model = "naive")
summary(dmm)
          Class NumObs    RelFreq   MedProb    ExpFPs       FDR
1  Human_HTO_10   2904 0.12348514 0.6646074 1041.6423 0.3586922
2  Human_HTO_12   1376 0.05851086 0.6396228  522.7114 0.3798775
3  Human_HTO_13   1860 0.07909172 0.6550031  684.6002 0.3680646
4  Human_HTO_14   1653 0.07028958 0.6551081  603.1705 0.3648945
5  Human_HTO_15   1535 0.06527193 0.6626550  557.3451 0.3630913
6   Human_HTO_6   1837 0.07811370 0.6518793  679.4484 0.3698685
7   Human_HTO_7   1059 0.04503125 0.6447616  397.6371 0.3754835
8   Human_HTO_9   1487 0.06323085 0.6657127  533.7296 0.3589304
9       singlet  13711 0.58302505 0.6558067 5020.2847 0.3661501
10    multiplet   5104 0.21703449 0.6455794 1877.2924 0.3678081
11     negative   4702 0.19994047 0.5881868 1979.1232 0.4209109
12    uncertain   5890         NA        NA        NA        NA

Examine results.

p <- vector("list", nrow(hto))
for(i in 1:nrow(hto)){
  p[[i]] <- plotDmmHistogram(dmm, hto = i) + 
    coord_cartesian(ylim = c(0, 0.001),
                    xlim = c(-50, 1000)) +
    theme(axis.title = element_text(size = 8),
          axis.text = element_text(size = 6))
}

wrap_plots(p , ncol = 3) 

p <- vector("list", nrow(hto))
for(i in 1:nrow(hto)){
  p[[i]] <- plotDmmPosteriorP(dmm, hto = i) + 
    theme(axis.title = element_text(size = 8),
          axis.text = element_text(size = 6))
}

wrap_plots(p , ncol = 3) 

pAcpt(dmm) <- 0
classes2 <- dmmClassify(dmm)
classes2$dmmHTO <- ifelse(classes2$Type == "multiplet", "Doublet",
                           ifelse(classes2$Type %in% c("negative", "uncertain"), 
                                  "Negative", classes2$HTO))
table(classes2$dmmHTO)

     Doublet Human_HTO_10 Human_HTO_12 Human_HTO_13 Human_HTO_14 Human_HTO_15 
        7715         3269         1552         2179         1895         1777 
 Human_HTO_6  Human_HTO_7  Human_HTO_9     Negative 
        2123         1210         1665         6022 

Save HTO assignments

classes <- rbind(classes1, classes2)
all(rownames(classes) == colnames(sce))
[1] TRUE
sce$dmmHTO <- factor(classes$dmmHTO, 
                     levels = c(sort(unique(grep("Human",
                                               classes$dmmHTO,
                                               value = TRUE))), 
                                "Doublet",
                                "Negative"))

Demultiplexing cells without genotype reference

Matching donors across captures

library(vcfR)
f <- sapply(capture_names, function(cn) {
  here("data",
       "C133_Neeland_batch2",
       "data",
       "vireo", cn, "GT_donors.vireo.vcf.gz")
})
x <- lapply(f, read.vcfR, verbose = FALSE)
# Create unique ID for each locus in each capture.
y <- lapply(x, function(xx) {
  paste(
  xx@fix[,"CHROM"],
  xx@fix[,"POS"],
  xx@fix[,"REF"],
  xx@fix[,"ALT"],
  sep = "_")
})
# Only keep the loci in common between the 2 captures.
i <- lapply(y, function(yy) {
  na.omit(match(Reduce(intersect, y), yy))
})
# Construct genotype matrix at common loci from the 2 captures.
donor_names <- paste0("donor", 0:3)
g <- mapply(
  function(xx, ii) {
    apply(
      xx@gt[ii, donor_names],
      2,
      function(x) sapply(strsplit(x, ":"), `[[`, 1))
  },
  xx = x,
  ii = i,
  SIMPLIFY = FALSE)
# Count number of genotype matches between pairs of donors (one from each 
# capture) and convert to a proportion.
z <- lapply(2:length(capture_names), function(k) {
  zz <- matrix(
    NA_real_,
    nrow = length(donor_names),
    ncol = length(donor_names),
    dimnames = list(donor_names, donor_names))
  for (ii in rownames(zz)) {
    for (jj in colnames(zz)) {
      zz[ii, jj] <- sum(g[[1]][, ii] == g[[k]][, jj]) / nrow(g[[1]])
    }
  }
  zz
})
heatmaps <- lapply(seq_along(z), function(k) {
pheatmap::pheatmap(
  z[[k]],
  color = viridisLite::inferno(101),
  cluster_rows = FALSE,
  cluster_cols = FALSE,
  main = "Proportion of matching genotypes",
  display_numbers = TRUE,
  number_color = "grey50",
  labels_row = paste0("C133_batch2_1: ", rownames(z[[k]])),
  labels_col = paste0("C133_batch2_", k + 1, ": ", colnames(z[[k]])),
  silent = TRUE,
  fontsize = 10)
})

gridExtra::grid.arrange(grobs = lapply(heatmaps, `[[`, "gtable"), ncol = 1)
Proportion of matching genotypes between pairs of captures.

Proportion of matching genotypes between pairs of captures.

The table below gives the best matches between the captures.

best_match_df <- data.frame(
  c(
    list(rownames(z[[1]])),
    lapply(seq_along(z), function(k) {
      apply(
        z[[k]], 
        1,
        function(x) colnames(z[[k]])[which.max(x)])
    })),
  row.names = NULL)
colnames(best_match_df) <- capture_names
best_match_df$GeneticDonor <- LETTERS[seq_along(donor_names)]
best_match_df <- dplyr::select(best_match_df, GeneticDonor, everything())

knitr::kable(
  best_match_df, 
  caption = "Best match of donors between the scRNA-seq captures.")
Best match of donors between the scRNA-seq captures.
GeneticDonor C133_batch2_1 C133_batch2_2
A donor0 donor3
B donor1 donor1
C donor2 donor0
D donor3 donor2

Assigning barcodes to donors

vireo_df <- do.call(
  rbind,
  c(
    lapply(capture_names, function(cn) {
      # Read data
      vireo_df <- read.table(
        here("data",
             "C133_Neeland_batch2",
             "data",
             "vireo", cn, "donor_ids.tsv"),
        header = TRUE)
      
      # Replace `donor[0-9]+` with `donor_[A-Z]` using `best_match_df`.
      best_match <- setNames(
        c(best_match_df[["GeneticDonor"]], "Doublet", "Unknown"),
        c(best_match_df[[cn]], "doublet", "unassigned"))
      vireo_df$GeneticDonor <- factor(
        best_match[vireo_df$donor_id],
        levels = c(best_match_df[["GeneticDonor"]], "Doublet", "Unknown"))
      vireo_df$donor_id <- NULL
      vireo_df$best_singlet <- best_match[vireo_df$best_singlet]
      vireo_df$best_doublet <- sapply(
        strsplit(vireo_df$best_doublet, ","),
        function(x) {
          paste0(best_match[x[[1]]], ",", best_match[x[[2]]])
        })
      
      # Add additional useful metadata
      vireo_df$Confident <- factor(
        vireo_df$GeneticDonor == vireo_df$best_singlet,
        levels = c(TRUE, FALSE))
      vireo_df$Capture <- cn
      
      # Reorder so matches SCE.
      captureNumber <- sub("C133_batch2_", "", cn)
      vireo_df$colname <- paste0(captureNumber, "_", vireo_df$cell)
      j <- match(colnames(sce)[sce$Capture == cn], vireo_df$colname)
      stopifnot(!anyNA(j))
      vireo_df <- vireo_df[j, ]
      vireo_df
    }),
    list(make.row.names = FALSE)))

Vireo summary

We add the parsed outputs of vireo to the colData of the SingleCellExperiment object so that we can incorporate it into downstream analyses.

stopifnot(identical(colnames(sce), vireo_df$colname))
sce$GeneticDonor <- vireo_df$GeneticDonor
# NOTE: We exclude redundant columns.
sce$vireo <- DataFrame(
  vireo_df[, setdiff(
    colnames(vireo_df), 
    c("cell", "colname", "Capture", "GeneticDonor"))])
tmp_df <- data.frame(
    best_singlet = sce$vireo$best_singlet, 
    Confident = sce$vireo$Confident,
    Capture = sce$Capture)
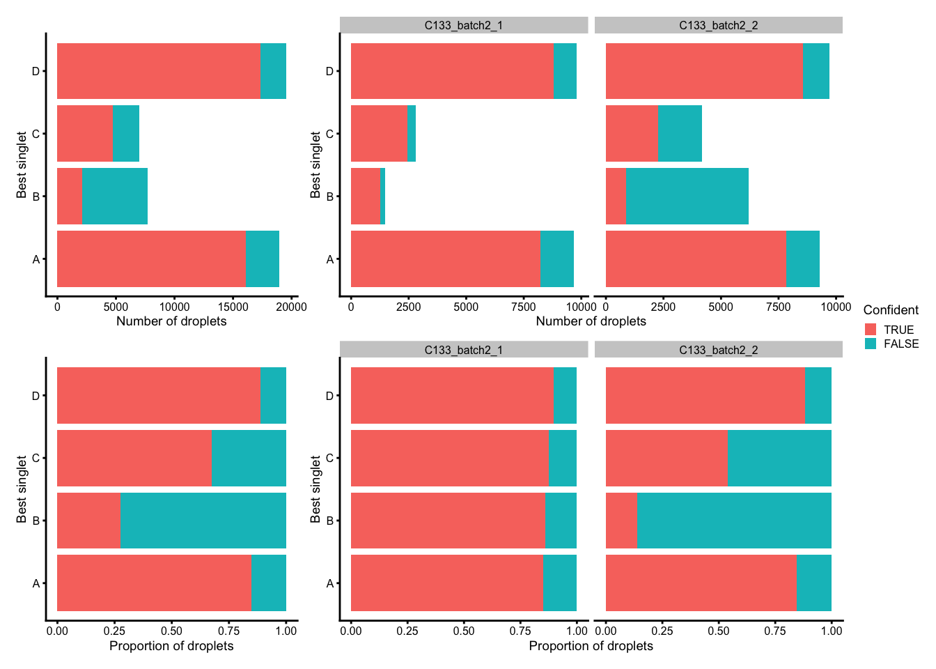
p1 <- ggplot(tmp_df) + 
  geom_bar(
    aes(x = best_singlet, fill = Confident), 
    position = position_stack(reverse = TRUE)) + 
  coord_flip() +
  ylab("Number of droplets") +
  xlab("Best singlet") +
  theme_cowplot(font_size = 7)
p2 <- ggplot(tmp_df) + 
  geom_bar(
    aes(x = best_singlet, fill = Confident), 
    position = position_fill(reverse = TRUE)) + 
  coord_flip() +
  ylab("Proportion of droplets") +
  xlab("Best singlet") +
  theme_cowplot(font_size = 7)

(p1 + p1 + facet_grid(~Capture) + plot_layout(widths = c(1, 2))) / 
  (p2 + p2 + facet_grid(~Capture) + plot_layout(widths = c(1, 2))) +
  plot_layout(guides = "collect")
Number (top) and proportion (bottom) of droplets assigned to each donor based on genetics (best singlet), and if these were confidently or not confidently assigned, overall (left) and within each capture (right).

Number (top) and proportion (bottom) of droplets assigned to each donor based on genetics (best singlet), and if these were confidently or not confidently assigned, overall (left) and within each capture (right).

p3 <- ggplot(
  data.frame(
    GeneticDonor = sce$GeneticDonor, 
    Confident = sce$vireo$Confident,
    Capture = sce$Capture)) + 
  geom_bar(
    aes(x = GeneticDonor, fill = Confident), 
    position = position_stack(reverse = TRUE)) + 
  coord_flip() +
  ylab("Number of droplets") +
  xlab("Final donor assignment") +
  theme_cowplot(font_size = 7)

(p3 + p3 + facet_grid(~Capture) + plot_layout(widths = c(1, 2))) +
  plot_layout(guides = "collect")
Number and proportion of droplets assigned to each donor based on genetics (final assignment), and if these were confidently or not confidently assigned, overall (left) and within each capture (right).

Number and proportion of droplets assigned to each donor based on genetics (final assignment), and if these were confidently or not confidently assigned, overall (left) and within each capture (right).

Overall summary

p <- scater::plotColData(
  sce,
  "dmmHTO", 
  "GeneticDonor", 
  colour_by = "GeneticDonor", 
  other_fields = "Capture") +
  scale_x_discrete(guide = guide_axis(n.dodge = 2)) +
  guides(colour = "none")
p / (p + facet_grid(~Capture))
Number of droplets assigned to each `dmmHTO`/`GeneticDonor` combination, overall (top) and within each capture (bottom)

Number of droplets assigned to each dmmHTO/GeneticDonor combination, overall (top) and within each capture (bottom)

janitor::tabyl(
  as.data.frame(colData(sce)[, c("dmmHTO", "GeneticDonor")]),
  dmmHTO,
  GeneticDonor) |>
  janitor::adorn_title(placement = "combined") |>
  janitor::adorn_totals("both") |>
  knitr::kable(
    caption = "Number of droplets assigned to each `dmmHTO`/`GeneticDonor` combination.")
Number of droplets assigned to each dmmHTO/GeneticDonor combination.
dmmHTO/GeneticDonor A B C D Doublet Unknown Total
Human_HTO_10 5424 9 8 67 463 215 6186
Human_HTO_12 2766 4 5 47 130 91 3043
Human_HTO_13 28 1 6 4350 125 103 4613
Human_HTO_14 31 5 4 3557 148 85 3830
Human_HTO_15 47 6 7 2901 210 170 3341
Human_HTO_6 48 1 3556 90 253 194 4142
Human_HTO_7 29 1544 11 66 303 374 2327
Human_HTO_9 3105 4 4 39 196 86 3434
Doublet 2952 373 632 2896 5656 626 13135
Negative 1648 180 478 3350 1607 1846 9109
Total 16078 2127 4711 17363 9091 3790 53160

Save data

saveRDS(
   sce,
   here("data",
        "C133_Neeland_batch2",
        "data",
        "SCEs",
        "C133_Neeland_batch2.preprocessed.SCE.rds"))

Session info


sessionInfo()
R version 4.3.2 (2023-10-31)
Platform: aarch64-apple-darwin20 (64-bit)
Running under: macOS Sonoma 14.3

Matrix products: default
BLAS:   /Library/Frameworks/R.framework/Versions/4.3-arm64/Resources/lib/libRblas.0.dylib 
LAPACK: /Library/Frameworks/R.framework/Versions/4.3-arm64/Resources/lib/libRlapack.dylib;  LAPACK version 3.11.0

locale:
[1] en_US.UTF-8/en_US.UTF-8/en_US.UTF-8/C/en_US.UTF-8/en_US.UTF-8

time zone: Australia/Melbourne
tzcode source: internal

attached base packages:
[1] stats4    stats     graphics  grDevices datasets  utils     methods  
[8] base     

other attached packages:
 [1] vcfR_1.15.0                 scater_1.30.1              
 [3] scuttle_1.12.0              DropletUtils_1.22.0        
 [5] SingleCellExperiment_1.24.0 SummarizedExperiment_1.32.0
 [7] Biobase_2.62.0              GenomicRanges_1.54.1       
 [9] GenomeInfoDb_1.38.6         IRanges_2.36.0             
[11] S4Vectors_0.40.2            BiocGenerics_0.48.1        
[13] MatrixGenerics_1.14.0       matrixStats_1.2.0          
[15] lubridate_1.9.3             forcats_1.0.0              
[17] stringr_1.5.1               dplyr_1.1.4                
[19] purrr_1.0.2                 readr_2.1.5                
[21] tidyr_1.3.1                 tibble_3.2.1               
[23] tidyverse_2.0.0             demuxmix_1.4.0             
[25] patchwork_1.2.0             cowplot_1.1.3              
[27] ggplot2_3.4.4               BiocStyle_2.30.0           
[29] readxl_1.4.3                here_1.0.1                 
[31] workflowr_1.7.1            

loaded via a namespace (and not attached):
  [1] RColorBrewer_1.1-3        rstudioapi_0.15.0        
  [3] jsonlite_1.8.8            magrittr_2.0.3           
  [5] ggbeeswarm_0.7.2          farver_2.1.1             
  [7] rmarkdown_2.25            fs_1.6.3                 
  [9] zlibbioc_1.48.0           vctrs_0.6.5              
 [11] DelayedMatrixStats_1.24.0 RCurl_1.98-1.14          
 [13] janitor_2.2.0             htmltools_0.5.7          
 [15] S4Arrays_1.2.0            BiocNeighbors_1.20.2     
 [17] cellranger_1.1.0          Rhdf5lib_1.24.2          
 [19] SparseArray_1.2.4         rhdf5_2.46.1             
 [21] sass_0.4.8                bslib_0.6.1              
 [23] cachem_1.0.8              whisker_0.4.1            
 [25] lifecycle_1.0.4           pkgconfig_2.0.3          
 [27] rsvd_1.0.5                Matrix_1.6-5             
 [29] R6_2.5.1                  fastmap_1.1.1            
 [31] snakecase_0.11.1          GenomeInfoDbData_1.2.11  
 [33] digest_0.6.34             colorspace_2.1-0         
 [35] ps_1.7.6                  rprojroot_2.0.4          
 [37] dqrng_0.3.2               irlba_2.3.5.1            
 [39] vegan_2.6-4               beachmat_2.18.1          
 [41] labeling_0.4.3            fansi_1.0.6              
 [43] timechange_0.3.0          mgcv_1.9-1               
 [45] httr_1.4.7                abind_1.4-5              
 [47] compiler_4.3.2            withr_3.0.0              
 [49] BiocParallel_1.36.0       viridis_0.6.5            
 [51] highr_0.10                HDF5Array_1.30.0         
 [53] R.utils_2.12.3            MASS_7.3-60.0.1          
 [55] DelayedArray_0.28.0       permute_0.9-7            
 [57] tools_4.3.2               vipor_0.4.7              
 [59] ape_5.7-1                 beeswarm_0.4.0           
 [61] httpuv_1.6.14             R.oo_1.26.0              
 [63] glue_1.7.0                callr_3.7.3              
 [65] nlme_3.1-164              rhdf5filters_1.14.1      
 [67] promises_1.2.1            grid_4.3.2               
 [69] getPass_0.2-4             cluster_2.1.6            
 [71] memuse_4.2-3              generics_0.1.3           
 [73] isoband_0.2.7             gtable_0.3.4             
 [75] tzdb_0.4.0                R.methodsS3_1.8.2        
 [77] pinfsc50_1.3.0            hms_1.1.3                
 [79] BiocSingular_1.18.0       ScaledMatrix_1.10.0      
 [81] utf8_1.2.4                XVector_0.42.0           
 [83] ggrepel_0.9.5             pillar_1.9.0             
 [85] limma_3.58.1              later_1.3.2              
 [87] splines_4.3.2             lattice_0.22-5           
 [89] renv_1.0.3                tidyselect_1.2.0         
 [91] locfit_1.5-9.8            knitr_1.45               
 [93] git2r_0.33.0              gridExtra_2.3            
 [95] edgeR_4.0.15              xfun_0.42                
 [97] statmod_1.5.0             pheatmap_1.0.12          
 [99] stringi_1.8.3             yaml_2.3.8               
[101] evaluate_0.23             codetools_0.2-19         
[103] BiocManager_1.30.22       cli_3.6.2                
[105] munsell_0.5.0             processx_3.8.3           
[107] jquerylib_0.1.4           Rcpp_1.0.12              
[109] parallel_4.3.2            sparseMatrixStats_1.14.0 
[111] bitops_1.0-7              viridisLite_0.4.2        
[113] scales_1.3.0              crayon_1.5.2             
[115] rlang_1.1.3