Last updated: 2024-09-10

Checks: 7 0

Knit directory: paed-inflammation-CITEseq/

This reproducible R Markdown analysis was created with workflowr (version 1.7.1). The Checks tab describes the reproducibility checks that were applied when the results were created. The Past versions tab lists the development history.


Great! Since the R Markdown file has been committed to the Git repository, you know the exact version of the code that produced these results.

Great job! The global environment was empty. Objects defined in the global environment can affect the analysis in your R Markdown file in unknown ways. For reproduciblity it’s best to always run the code in an empty environment.

The command set.seed(20240216) was run prior to running the code in the R Markdown file. Setting a seed ensures that any results that rely on randomness, e.g. subsampling or permutations, are reproducible.

Great job! Recording the operating system, R version, and package versions is critical for reproducibility.

Nice! There were no cached chunks for this analysis, so you can be confident that you successfully produced the results during this run.

Great job! Using relative paths to the files within your workflowr project makes it easier to run your code on other machines.

Great! You are using Git for version control. Tracking code development and connecting the code version to the results is critical for reproducibility.

The results in this page were generated with repository version 22d1806. See the Past versions tab to see a history of the changes made to the R Markdown and HTML files.

Note that you need to be careful to ensure that all relevant files for the analysis have been committed to Git prior to generating the results (you can use wflow_publish or wflow_git_commit). workflowr only checks the R Markdown file, but you know if there are other scripts or data files that it depends on. Below is the status of the Git repository when the results were generated:


Ignored files:
    Ignored:    .Rhistory
    Ignored:    .Rproj.user/
    Ignored:    data/C133_Neeland_batch1/
    Ignored:    data/C133_Neeland_merged/
    Ignored:    renv/library/
    Ignored:    renv/staging/

Untracked files:
    Untracked:  analysis/13.0_DGE_analysis_macro-alveolar_cells_CF-only-samples_OLD.Rmd
    Untracked:  analysis/13.1_DGE_analysis_macro-alveolar_cells_CF-vs-control-samples_OLD.Rmd
    Untracked:  analysis/13.3_DGE_analysis_macro-monocyte-derived_CF-only-samples_OLD.Rmd
    Untracked:  analysis/13.4_DGE_analysis_macro-monocyte-derived_CF-vs-control-samples_OLD.Rmd
    Untracked:  analysis/15.0_integrate_all_cells.Rmd

Unstaged changes:
    Modified:   analysis/09.0_integrate_cluster_macro_cells.Rmd
    Deleted:    analysis/14.0_proportions_analysis_broad.Rmd
    Deleted:    analysis/14.1_proportions_analysis_fine.Rmd
    Deleted:    analysis/14.2_proportions_analysis_macrophages.Rmd
    Modified:   analysis/index.Rmd
    Modified:   data/cluster_annotations/T-NK_ambientRNAremoval_21.03.24.xlsx
    Modified:   data/cluster_annotations/others_ambientRNAremoval_21.03.24.xlsx
    Modified:   data/cluster_annotations/seurat_markers_TNK_cells.rds
    Modified:   data/cluster_annotations/seurat_markers_other_cells.rds

Note that any generated files, e.g. HTML, png, CSS, etc., are not included in this status report because it is ok for generated content to have uncommitted changes.


These are the previous versions of the repository in which changes were made to the R Markdown (analysis/12.0_manual_annotations_other_cells.Rmd) and HTML (docs/12.0_manual_annotations_other_cells.html) files. If you’ve configured a remote Git repository (see ?wflow_git_remote), click on the hyperlinks in the table below to view the files as they were in that past version.

File Version Author Date Message
Rmd 22d1806 Jovana Maksimovic 2024-09-10 wflow_publish("analysis/12.0_manual_annotations_other_cells.Rmd")
html 0b24220 Jovana Maksimovic 2024-07-05 Build site.
Rmd 256e8cf Jovana Maksimovic 2024-07-05 wflow_publish(c("analysis/index.Rmd", "analysis/12.0_manual_annotations_other_cells.Rmd"))

Load libraries

Load Data

ambient <- "_decontx"
out <- here("data",
            "C133_Neeland_merged",
            glue("C133_Neeland_full_clean{ambient}_integrated_clustered_mapped_other_cells.ADT.SEU.rds"))
seuInt <- readRDS(file = out)

seuInt
An object of class Seurat 
41729 features across 13687 samples within 4 assays 
Active assay: integrated (3000 features, 0 variable features)
 3 other assays present: RNA, ADT, SCT
 2 dimensional reductions calculated: pca, umap

Update group labels

seuInt@meta.data %>%
  data.frame %>%
  mutate(Group = ifelse(str_detect(Treatment, "ivacaftor"),
                        "CF.IVA",
                        ifelse(str_detect(Treatment, "orkambi"),
                               "CF.LUMA_IVA",
                               ifelse(Treatment == "untreated",
                                      "CF.NO_MOD",
                                      "NON_CF.CTRL"))),
         Group_severity = ifelse(!Group %in% "NON_CF.CTRL", 
                                 paste(Group, 
                                       toupper(substr(Severity, 1, 1)),
                                       sep = "."), 
                                 Group),
         Severity = tolower(Severity),
         Participant = strsplit2(sample.id, ".", fixed = TRUE)[,1]) -> seuInt@meta.data

Sub-cluster labelling

Load manual annotations

labels <- read_excel(here("data",
                          "cluster_annotations",
                          "others_ambientRNAremoval_21.03.24.xlsx"),
                     skip = 1)


# set selected cluster resolution
grp <- "wsnn_res.0.6"
seuInt@meta.data %>%
  rownames_to_column(var = "cell") %>%
  left_join(labels %>%
              mutate(Cluster = as.factor(Cluster),
                     ann_level_3 = as.factor(ann_level_3),
                     ann_level_2 = as.factor(ann_level_2),
                     ann_level_1 = as.factor(ann_level_1)),
            by = c("wsnn_res.0.6" = "Cluster")) %>%
  column_to_rownames(var = "cell") -> seuInt@meta.data

seuInt <- subset(seuInt, cells = which(seuInt$ann_level_3 != "unknown"))
seuInt$ann_level_3 <- fct_drop(seuInt$ann_level_3)
seuInt$ann_level_2 <- fct_drop(seuInt$ann_level_2)
seuInt$ann_level_1 <- fct_drop(seuInt$ann_level_1)
seuInt
An object of class Seurat 
41729 features across 13687 samples within 4 assays 
Active assay: integrated (3000 features, 0 variable features)
 3 other assays present: RNA, ADT, SCT
 2 dimensional reductions calculated: pca, umap

Visualise annotations

options(ggrepel.max.overlaps = Inf)
DimPlot(seuInt, reduction = 'umap', label = TRUE, repel = TRUE, 
        label.size = 3, group.by = grp) + 
  NoLegend() -> p1

cluster_pal <- "ggsci::category20_d3"
DimPlot(seuInt, reduction = 'umap', label = FALSE, group.by = "ann_level_1") + 
  scale_color_paletteer_d(cluster_pal) +
  theme(text = element_text(size = 9),
        axis.text = element_blank(),
        axis.ticks = element_blank()) +
  NoLegend() -> p2

DimPlot(seuInt, reduction = 'umap', label = FALSE, group.by = "ann_level_3") + 
  scale_color_paletteer_d(cluster_pal) +
  theme(text = element_text(size = 9),
        axis.text = element_blank(),
        axis.ticks = element_blank()) +
  NoLegend() -> p3

p1

LabelClusters(p2, id = "ann_level_1", repel = TRUE, 
              size = 2.5, box = TRUE, fontfamily = "arial")

LabelClusters(p3, id = "ann_level_3", repel = TRUE, 
              size = 2.5, box = TRUE, fontfamily = "arial")

No. cells per cluster

seuInt@meta.data %>%
  ggplot(aes(x = ann_level_1, fill = ann_level_1)) +
  geom_bar() +
  geom_text(aes(label = after_stat(count)), stat = "count",
            vjust = -0.5, colour = "black", size = 2) +
  theme_classic() +
  theme(axis.text.x = element_text(angle = 90, vjust = 0.5, hjust = 1)) +
  NoLegend() +
  scale_fill_paletteer_d(cluster_pal)

Version Author Date
0b24220 Jovana Maksimovic 2024-07-05
seuInt@meta.data %>%
  ggplot(aes(x = ann_level_3, fill = ann_level_3)) +
  geom_bar() +
  geom_text(aes(label = after_stat(count)), stat = "count",
            vjust = -0.5, colour = "black", size = 2) +
  theme_classic() +
  theme(axis.text.x = element_text(angle = 90, vjust = 0.5, hjust = 1)) +
  NoLegend() +
  scale_fill_paletteer_d(cluster_pal)

Version Author Date
0b24220 Jovana Maksimovic 2024-07-05

RNA marker gene analysis

Adapted from Dr. Belinda Phipson’s work for [@Sim2021-cg].

Test for marker genes using limma

# limma-trend for DE
Idents(seuInt) <- "ann_level_3"

out <- here("data",
            "C133_Neeland_merged",
            glue("C133_Neeland_full_clean{ambient}_other_cells_logcounts.SEU.rds"))

if(!file.exists(out)){
  logcounts <- normCounts(DGEList(as.matrix(seuInt[["RNA"]]@counts)),
                          log = TRUE, prior.count = 0.5)
  entrez <- AnnotationDbi::mapIds(org.Hs.eg.db,
                                  keys = rownames(logcounts),
                                  column = c("ENTREZID"),
                                  keytype = "SYMBOL",
                                  multiVals = "first")
  # remove genes without entrez IDs as these are difficult to interpret biologically
  logcounts <- logcounts[!is.na(entrez),]
  saveRDS(logcounts, file = out)
  
} else {
  logcounts <- readRDS(out)  
}

maxclust <- length(levels(Idents(seuInt))) - 1

clustgrp <- seuInt$ann_level_3
clustgrp <- factor(clustgrp)
donor <- factor(seuInt$sample.id)
batch <- factor(seuInt$Batch)

design <- model.matrix(~ 0 + clustgrp + donor)
colnames(design)[1:(length(levels(clustgrp)))] <- levels(clustgrp)

# Create contrast matrix
mycont <- matrix(NA, ncol = length(levels(clustgrp)),
                 nrow = length(levels(clustgrp)))
rownames(mycont) <- colnames(mycont) <- levels(clustgrp)
diag(mycont) <- 1
mycont[upper.tri(mycont)] <- -1/(length(levels(factor(clustgrp))) - 1)
mycont[lower.tri(mycont)] <- -1/(length(levels(factor(clustgrp))) - 1)

# Fill out remaining rows with 0s
zero.rows <- matrix(0, ncol = length(levels(clustgrp)),
                    nrow = (ncol(design) - length(levels(clustgrp))))
fullcont <- rbind(mycont, zero.rows)
rownames(fullcont) <- colnames(design)

fit <- lmFit(logcounts, design)

fit.cont <- contrasts.fit(fit, contrasts = fullcont)
fit.cont <- eBayes(fit.cont, trend = TRUE, robust = TRUE)

summary(decideTests(fit.cont))
       B cells  cDC1  cDC2 ciliated epithelial cells dividing innate cells
Down      6533  2976  6055                      2723                   835
NotSig    6761 11885  7404                      4657                 12155
Up        2516   949  2351                      8430                  2820
       HSP+ B cells mast cells migratory DC monocytes neutrophil-like
Down            837       1928         6138      6409            6299
NotSig        14271      12253         8254      6988            8170
Up              702       1629         1418      2413            1341
       plasma B cells plasmacytoid DC secretory epithelial cells
Down             1295            3136                       3063
NotSig          13871            9003                       9094
Up                644            3671                       3653

Test relative to a threshold (TREAT).

tr <- treat(fit.cont, lfc = 0.5)
dt <- decideTests(tr)
summary(dt)
       B cells  cDC1  cDC2 ciliated epithelial cells dividing innate cells
Down        81    16    10                       204                     8
NotSig   15602 15643 15658                     14666                 15657
Up         127   151   142                       940                   145
       HSP+ B cells mast cells migratory DC monocytes neutrophil-like
Down             27        186           32        14              23
NotSig        15703      15581        15575     15595           15625
Up               80         43          203       201             162
       plasma B cells plasmacytoid DC secretory epithelial cells
Down              105              51                        165
NotSig          15634           15577                      15494
Up                 71             182                        151

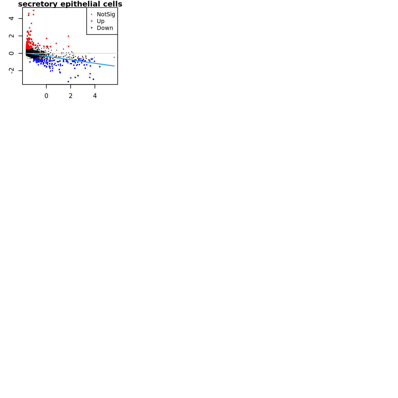
Mean-difference (MD) plots per cluster.

par(mfrow=c(4,3))
par(mar=c(2,3,1,2))

for(i in 1:ncol(mycont)){
  plotMD(tr, coef = i, status = dt[,i], hl.cex = 0.5)
  abline(h = 0, col = "lightgrey")
  lines(lowess(tr$Amean, tr$coefficients[,i]), lwd = 1.5, col = 4)
}

limma marker gene dotplot

DefaultAssay(seuInt) <- "RNA"
contnames <- colnames(mycont)
top_markers <- NULL
n_markers <- 5

for(i in 1:ncol(mycont)){
  top <- topTreat(tr, coef = i, n = Inf)
  top <- top[top$logFC > 0, ]
  top_markers <- c(top_markers, 
                   setNames(rownames(top)[1:n_markers], 
                            rep(contnames[i], n_markers)))
}

top_markers <- top_markers[!is.na(top_markers)]
d <- duplicated(top_markers)
top_markers <- top_markers[!d]
geneCols <- paletteer_d(cluster_pal)[factor(names(top_markers))]

strip <- strip_themed(background_x = elem_list_rect(fill = unique(geneCols)))
DotPlot(seuInt,
        features = unname(top_markers),
        group.by = "ann_level_3",
        cols = c("azure1", "blueviolet"),
        dot.scale = 2.5,
        assay = "SCT") +
  FontSize(x.text = 9, y.text = 9) +
  labs(y = element_blank(), x = element_blank()) +
  facet_grid2(~names(top_markers), 
              scales = "free_x", 
              space = "free_x", 
              strip = strip) +
  theme(axis.text.x = element_text(angle = 90,
                                   hjust = 1,
                                   vjust = 0.5),
        legend.text = element_text(size = 8),
        legend.title = element_text(size = 9),
        strip.text = element_text(size = 0),
        text = element_text(family = "arial"),
        axis.ticks = element_blank(),
        axis.line = element_blank(),
        panel.spacing = unit(2, "mm")) 

Test for marker genes using Seurat

DefaultAssay(seuInt) <- "RNA"
Idents(seuInt) <- "ann_level_3"

out <- here("data/cluster_annotations/seurat_markers_other_cells.rds")

if(!file.exists(out)){
  # restrict genes to same set as for limma analysis
  markers <- FindAllMarkers(seuInt, only.pos = TRUE, 
                            features = rownames(logcounts))
  saveRDS(markers, file = out)
  
} else {
  markers <- readRDS(out)
  
}

head(markers) %>% knitr::kable()
p_val avg_log2FC pct.1 pct.2 p_val_adj cluster gene
FCRL5 0 54.84147 0.409 0.016 0 B cells FCRL5
CD48 0 41.57641 0.632 0.276 0 B cells CD48
TTN 0 16.80242 0.214 0.013 0 B cells TTN
FCRL2 0 14.15510 0.254 0.008 0 B cells FCRL2
RALGPS2 0 11.58341 0.506 0.085 0 B cells RALGPS2
FCRL3 0 11.14185 0.211 0.003 0 B cells FCRL3

Seurat marker gene dotplot

DefaultAssay(seuInt) <- "RNA"

maxGenes <- 5
markers %>%
  group_by(cluster) %>%
  top_n(n = maxGenes, wt = avg_log2FC) -> top5

sig <- top5$gene
d <- duplicated(sig)
geneCols <- paletteer_d(cluster_pal)[top5$cluster][!d]

strip <- strip_themed(background_x = elem_list_rect(fill = unique(geneCols)))
DotPlot(seuInt,
        features = sig[!d],
        group.by = "ann_level_3",
        cols = c("azure1", "blueviolet"),
        dot.scale = 2.5,
        assay = "SCT") +
  FontSize(x.text = 9, y.text = 9) +
  labs(y = element_blank(), x = element_blank()) +
  facet_grid2(~top5$cluster[!d], 
              scales = "free_x", 
              space = "free_x", 
              strip = strip) +
  theme(axis.text.x = element_text(angle = 90,
                                   hjust = 1,
                                   vjust = 0.5),
        legend.text = element_text(size = 8),
        legend.title = element_text(size = 9),
        strip.text = element_text(size = 0),
        text = element_text(family = "arial"),
        axis.ticks = element_blank(),
        axis.line = element_blank(),
        panel.spacing = unit(2, "mm")) 

Version Author Date
0b24220 Jovana Maksimovic 2024-07-05

Visualise ADTs

Make data frame of proteins, clusters, expression levels.

out <- here("data",
            "C133_Neeland_merged",
            glue("C133_Neeland_full_clean{ambient}_other_cells_adt_dsb.SEU.rds"))

if(!file.exists(out)){
  read_csv(file = here("data",
                       "C133_Neeland_batch1",
                       "data",
                       "sample_sheets",
                       "ADT_features.csv")) -> adt_data
  
  pattern <- "anti-human/mouse |anti-human/mouse/rat |anti-mouse/human |anti-human "
  adt_data$name <- gsub(pattern, "", adt_data$name)
  adt <- seuInt[["ADT"]]@counts
  if(all(rownames(seuInt[["ADT"]]@counts) == adt_data$id)) rownames(adt) <- adt_data$name
  adt_data %>%
  dplyr::filter(grepl("[Ii]sotype", name)) %>%
  pull(name) -> isotype_controls
  
  # normalise ADT using DSB normalisation
  adt_dsb <- ModelNegativeADTnorm(cell_protein_matrix = adt,
                                  denoise.counts = TRUE,
                                  use.isotype.control = TRUE,
                                  isotype.control.name.vec = isotype_controls)
  saveRDS(adt_dsb, file = out)
  
} else {
  adt_dsb <- readRDS(out)
  
}

#seuInt[["ADT.dsb"]] <- NULL
m <- match(colnames(seuInt), colnames(adt_dsb)) # remove cells not present in Seurat obj
seuInt[["ADT.dsb"]] <- CreateAssayObject(data = adt_dsb[,m])
ADTs <- read_csv(file = here("data",
                       "Proteins_other_22.04.22.csv"))
pattern <- "anti-human/mouse |anti-human/mouse/rat |anti-mouse/human |anti-human "
ADTs$Description <- gsub(pattern, "", ADTs$Description)

DotPlot(seuInt,
        features = ADTs$Description,
        group.by = "ann_level_3",
        cols = c("azure1", "blueviolet"),
        dot.scale = 2.5,
        assay = "ADT.dsb") +
  FontSize(x.text = 9, y.text = 9) +
  labs(y = element_blank(), x = element_blank()) +
  theme(axis.text.x = element_text(angle = 90,
                                   hjust = 1,
                                   vjust = 0.5),
        legend.text = element_text(size = 8),
        legend.title = element_text(size = 9),
        strip.text = element_text(size = 0),
        text = element_text(family = "arial"),
        axis.ticks = element_blank(),
        axis.line = element_blank(),
        panel.spacing = unit(2, "mm")) 

Version Author Date
0b24220 Jovana Maksimovic 2024-07-05

Save data

out <- here("data",
            "C133_Neeland_merged",
            glue("C133_Neeland_full_clean{ambient}_other_cells_annotated_diet.SEU.rds"))
if(!file.exists(out)){
  DefaultAssay(seuInt) <- "RNA"
  saveRDS(DietSeurat(seuInt, assays = "RNA"), out)
}

out <- here("data",
            "C133_Neeland_merged",
            glue("C133_Neeland_full_clean{ambient}_other_cells_annotated_full.SEU.rds"))
if(!file.exists(out)){
  DefaultAssay(seuInt) <- "RNA"
  saveRDS(seuInt, out)
}

Session info


sessionInfo()
R version 4.3.3 (2024-02-29)
Platform: x86_64-pc-linux-gnu (64-bit)
Running under: Ubuntu 22.04.4 LTS

Matrix products: default
BLAS:   /usr/lib/x86_64-linux-gnu/openblas-pthread/libblas.so.3 
LAPACK: /usr/lib/x86_64-linux-gnu/openblas-pthread/libopenblasp-r0.3.20.so;  LAPACK version 3.10.0

locale:
 [1] LC_CTYPE=en_AU.UTF-8       LC_NUMERIC=C              
 [3] LC_TIME=en_AU.UTF-8        LC_COLLATE=en_AU.UTF-8    
 [5] LC_MONETARY=en_AU.UTF-8    LC_MESSAGES=en_AU.UTF-8   
 [7] LC_PAPER=en_AU.UTF-8       LC_NAME=C                 
 [9] LC_ADDRESS=C               LC_TELEPHONE=C            
[11] LC_MEASUREMENT=en_AU.UTF-8 LC_IDENTIFICATION=C       

time zone: Etc/UTC
tzcode source: system (glibc)

attached base packages:
[1] stats4    stats     graphics  grDevices datasets  utils     methods  
[8] base     

other attached packages:
 [1] dsb_1.0.3                   ggh4x_0.2.8                
 [3] speckle_1.2.0               org.Hs.eg.db_3.18.0        
 [5] AnnotationDbi_1.64.1        readxl_1.4.3               
 [7] tidyHeatmap_1.8.1           paletteer_1.6.0            
 [9] patchwork_1.2.0             glue_1.7.0                 
[11] here_1.0.1                  dittoSeq_1.14.2            
[13] SeuratObject_4.1.4          Seurat_4.4.0               
[15] lubridate_1.9.3             forcats_1.0.0              
[17] stringr_1.5.1               dplyr_1.1.4                
[19] purrr_1.0.2                 readr_2.1.5                
[21] tidyr_1.3.1                 tibble_3.2.1               
[23] ggplot2_3.5.0               tidyverse_2.0.0            
[25] edgeR_4.0.15                limma_3.58.1               
[27] SingleCellExperiment_1.24.0 SummarizedExperiment_1.32.0
[29] Biobase_2.62.0              GenomicRanges_1.54.1       
[31] GenomeInfoDb_1.38.6         IRanges_2.36.0             
[33] S4Vectors_0.40.2            BiocGenerics_0.48.1        
[35] MatrixGenerics_1.14.0       matrixStats_1.2.0          
[37] workflowr_1.7.1            

loaded via a namespace (and not attached):
  [1] RcppAnnoy_0.0.22        splines_4.3.3           later_1.3.2            
  [4] prismatic_1.1.1         bitops_1.0-7            cellranger_1.1.0       
  [7] polyclip_1.10-6         lifecycle_1.0.4         doParallel_1.0.17      
 [10] rprojroot_2.0.4         vroom_1.6.5             globals_0.16.2         
 [13] processx_3.8.3          lattice_0.22-5          MASS_7.3-60.0.1        
 [16] dendextend_1.17.1       magrittr_2.0.3          plotly_4.10.4          
 [19] sass_0.4.8              rmarkdown_2.25          jquerylib_0.1.4        
 [22] yaml_2.3.8              httpuv_1.6.14           sctransform_0.4.1      
 [25] sp_2.1-3                spatstat.sparse_3.0-3   reticulate_1.35.0      
 [28] DBI_1.2.1               cowplot_1.1.3           pbapply_1.7-2          
 [31] RColorBrewer_1.1-3      abind_1.4-5             zlibbioc_1.48.0        
 [34] Rtsne_0.17              RCurl_1.98-1.14         git2r_0.33.0           
 [37] circlize_0.4.15         GenomeInfoDbData_1.2.11 ggrepel_0.9.5          
 [40] irlba_2.3.5.1           listenv_0.9.1           spatstat.utils_3.0-4   
 [43] pheatmap_1.0.12         goftest_1.2-3           spatstat.random_3.2-2  
 [46] fitdistrplus_1.1-11     parallelly_1.37.0       leiden_0.4.3.1         
 [49] codetools_0.2-19        DelayedArray_0.28.0     shape_1.4.6            
 [52] tidyselect_1.2.0        farver_2.1.1            viridis_0.6.5          
 [55] spatstat.explore_3.2-6  jsonlite_1.8.8          GetoptLong_1.0.5       
 [58] ellipsis_0.3.2          progressr_0.14.0        iterators_1.0.14       
 [61] ggridges_0.5.6          survival_3.7-0          foreach_1.5.2          
 [64] tools_4.3.3             ica_1.0-3               Rcpp_1.0.12            
 [67] gridExtra_2.3           SparseArray_1.2.4       xfun_0.42              
 [70] withr_3.0.0             BiocManager_1.30.22     fastmap_1.1.1          
 [73] fansi_1.0.6             callr_3.7.3             digest_0.6.34          
 [76] timechange_0.3.0        R6_2.5.1                mime_0.12              
 [79] colorspace_2.1-0        scattermore_1.2         tensor_1.5             
 [82] RSQLite_2.3.5           spatstat.data_3.0-4     utf8_1.2.4             
 [85] generics_0.1.3          renv_1.0.3              data.table_1.15.0      
 [88] httr_1.4.7              htmlwidgets_1.6.4       S4Arrays_1.2.0         
 [91] whisker_0.4.1           uwot_0.1.16             pkgconfig_2.0.3        
 [94] gtable_0.3.4            blob_1.2.4              ComplexHeatmap_2.18.0  
 [97] lmtest_0.9-40           XVector_0.42.0          htmltools_0.5.7        
[100] clue_0.3-65             scales_1.3.0            png_0.1-8              
[103] knitr_1.45              rstudioapi_0.15.0       rjson_0.2.21           
[106] tzdb_0.4.0              reshape2_1.4.4          nlme_3.1-164           
[109] GlobalOptions_0.1.2     cachem_1.0.8            zoo_1.8-12             
[112] KernSmooth_2.23-24      parallel_4.3.3          miniUI_0.1.1.1         
[115] pillar_1.9.0            grid_4.3.3              vctrs_0.6.5            
[118] RANN_2.6.1              promises_1.2.1          xtable_1.8-4           
[121] cluster_2.1.6           evaluate_0.23           cli_3.6.2              
[124] locfit_1.5-9.8          compiler_4.3.3          rlang_1.1.3            
[127] crayon_1.5.2            future.apply_1.11.1     labeling_0.4.3         
[130] mclust_6.1              rematch2_2.1.2          ps_1.7.6               
[133] getPass_0.2-4           plyr_1.8.9              fs_1.6.3               
[136] stringi_1.8.3           viridisLite_0.4.2       deldir_2.0-2           
[139] Biostrings_2.70.2       munsell_0.5.0           lazyeval_0.2.2         
[142] spatstat.geom_3.2-8     Matrix_1.6-5            hms_1.1.3              
[145] bit64_4.0.5             future_1.33.1           KEGGREST_1.42.0        
[148] statmod_1.5.0           shiny_1.8.0             highr_0.10             
[151] ROCR_1.0-11             memoise_2.0.1           igraph_2.0.1.1         
[154] bslib_0.6.1             bit_4.0.5