Last updated: 2025-09-11
Checks: 7 0
Knit directory:
paediatric-cf-inflammation-citeseq/
This reproducible R Markdown analysis was created with workflowr (version 1.7.1). The Checks tab describes the reproducibility checks that were applied when the results were created. The Past versions tab lists the development history.
Great! Since the R Markdown file has been committed to the Git repository, you know the exact version of the code that produced these results.
Great job! The global environment was empty. Objects defined in the global environment can affect the analysis in your R Markdown file in unknown ways. For reproduciblity it’s best to always run the code in an empty environment.
The command set.seed(20240216) was run prior to running
the code in the R Markdown file. Setting a seed ensures that any results
that rely on randomness, e.g. subsampling or permutations, are
reproducible.
Great job! Recording the operating system, R version, and package versions is critical for reproducibility.
Nice! There were no cached chunks for this analysis, so you can be confident that you successfully produced the results during this run.
Great job! Using relative paths to the files within your workflowr project makes it easier to run your code on other machines.
Great! You are using Git for version control. Tracking code development and connecting the code version to the results is critical for reproducibility.
The results in this page were generated with repository version 38e61e8. See the Past versions tab to see a history of the changes made to the R Markdown and HTML files.
Note that you need to be careful to ensure that all relevant files for
the analysis have been committed to Git prior to generating the results
(you can use wflow_publish or
wflow_git_commit). workflowr only checks the R Markdown
file, but you know if there are other scripts or data files that it
depends on. Below is the status of the Git repository when the results
were generated:
Ignored files:
Ignored: .Rhistory
Ignored: .Rproj.user/
Ignored: analysis/.DS_Store
Ignored: code/obsolete/
Ignored: data/.DS_Store
Ignored: data/C133_Neeland_batch0/
Ignored: data/C133_Neeland_batch1/
Ignored: data/C133_Neeland_batch2/
Ignored: data/C133_Neeland_batch3/
Ignored: data/C133_Neeland_batch4/
Ignored: data/C133_Neeland_batch5/
Ignored: data/C133_Neeland_batch6/
Ignored: data/C133_Neeland_merged/
Ignored: data/Neeland_processed_data_1.h5ad
Ignored: data/Neeland_processed_data_2.h5ad
Ignored: data/Neeland_processed_data_3.h5ad
Ignored: data/intermediate_objects/.DS_Store
Ignored: data/updated_h5ad_files/
Ignored: renv/library/
Ignored: renv/staging/
Untracked files:
Untracked: analysis/14.2_DGE_analysis_ciliated-epithelial-cells.Rmd
Untracked: analysis/cellxgene_submission.Rmd
Untracked: analysis/epithelial_cell_analysis.Rmd
Untracked: analysis/epithelial_cell_analysis.nb.html
Untracked: data/GOBP_CYTOKINE_MEDIATED_SIGNALING_PATHWAY.v2025.1.Hs.tsv
Untracked: data/cellxgene_cell_ontologies_ann_level_3.xlsx
Untracked: data/gencode.v44.primary_assembly.annotation.gtf
Untracked: output/dge_analysis/epithelial cells/
Untracked: output/pdf_figures/
Unstaged changes:
Modified: .DS_Store
Modified: analysis/13.0_DGE_analysis_macrophages.Rmd
Modified: analysis/13.1_DGE_analysis_macro-alveolar.Rmd
Modified: analysis/13.2_DGE_analysis_macro-APOC2+.Rmd
Modified: analysis/13.3_DGE_analysis_macro-CCL.Rmd
Modified: analysis/13.4_DGE_analysis_macro-IFI27.Rmd
Modified: analysis/13.5_DGE_analysis_macro-lipid.Rmd
Modified: analysis/13.6_DGE_analysis_macro-monocyte-derived.Rmd
Modified: analysis/13.7_DGE_analysis_macro-proliferating.Rmd
Modified: analysis/14.0_DGE_analysis_CD4-T-cells.Rmd
Modified: analysis/14.1_DGE_analysis_CD8-T-cells.Rmd
Modified: analysis/14.2_DGE_analysis_DC-cells.Rmd
Modified: data/intermediate_objects/macrophages.CF_samples.fit.rds
Modified: data/intermediate_objects/macrophages.all_samples.fit.rds
Modified: output/dge_analysis/macrophages/CAM.FIBROSIS.CF.IVAvCF.NO_MOD.csv
Modified: output/dge_analysis/macrophages/CAM.FIBROSIS.CF.IVAvNON_CF.CTRL.csv
Modified: output/dge_analysis/macrophages/CAM.FIBROSIS.CF.LUMA_IVAvCF.NO_MOD.csv
Modified: output/dge_analysis/macrophages/CAM.FIBROSIS.CF.NO_MOD.SvCF.NO_MOD.M.csv
Modified: output/dge_analysis/macrophages/CAM.FIBROSIS.CF.NO_MODvNON_CF.CTRL.csv
Modified: output/dge_analysis/macrophages/CAM.GO.CF.IVAvCF.NO_MOD.csv
Modified: output/dge_analysis/macrophages/CAM.GO.CF.IVAvNON_CF.CTRL.csv
Modified: output/dge_analysis/macrophages/CAM.GO.CF.LUMA_IVAvCF.NO_MOD.csv
Modified: output/dge_analysis/macrophages/CAM.GO.CF.NO_MOD.SvCF.NO_MOD.M.csv
Modified: output/dge_analysis/macrophages/CAM.GO.CF.NO_MODvNON_CF.CTRL.csv
Modified: output/dge_analysis/macrophages/CAM.HALLMARK.CF.IVAvCF.NO_MOD.csv
Modified: output/dge_analysis/macrophages/CAM.HALLMARK.CF.IVAvNON_CF.CTRL.csv
Modified: output/dge_analysis/macrophages/CAM.HALLMARK.CF.LUMA_IVAvCF.NO_MOD.csv
Modified: output/dge_analysis/macrophages/CAM.HALLMARK.CF.NO_MOD.SvCF.NO_MOD.M.csv
Modified: output/dge_analysis/macrophages/CAM.HALLMARK.CF.NO_MODvNON_CF.CTRL.csv
Modified: output/dge_analysis/macrophages/CAM.REACTOME.CF.IVAvCF.NO_MOD.csv
Modified: output/dge_analysis/macrophages/CAM.REACTOME.CF.IVAvNON_CF.CTRL.csv
Modified: output/dge_analysis/macrophages/CAM.REACTOME.CF.LUMA_IVAvCF.NO_MOD.csv
Modified: output/dge_analysis/macrophages/CAM.REACTOME.CF.NO_MOD.SvCF.NO_MOD.M.csv
Modified: output/dge_analysis/macrophages/CAM.REACTOME.CF.NO_MODvNON_CF.CTRL.csv
Modified: output/dge_analysis/macrophages/CAM.WP.CF.IVAvCF.NO_MOD.csv
Modified: output/dge_analysis/macrophages/CAM.WP.CF.IVAvNON_CF.CTRL.csv
Modified: output/dge_analysis/macrophages/CAM.WP.CF.LUMA_IVAvCF.NO_MOD.csv
Modified: output/dge_analysis/macrophages/CAM.WP.CF.NO_MOD.SvCF.NO_MOD.M.csv
Modified: output/dge_analysis/macrophages/CAM.WP.CF.NO_MODvNON_CF.CTRL.csv
Modified: output/dge_analysis/macrophages/CF.IVAvCF.NO_MOD.csv
Modified: output/dge_analysis/macrophages/CF.IVAvNON_CF.CTRL.csv
Modified: output/dge_analysis/macrophages/CF.LUMA_IVAvCF.NO_MOD.csv
Modified: output/dge_analysis/macrophages/CF.NO_MOD.SvCF.NO_MOD.M.csv
Modified: output/dge_analysis/macrophages/CF.NO_MODvNON_CF.CTRL.csv
Modified: output/dge_analysis/macrophages/ORA.GO.CF.IVAvNON_CF.CTRL.csv
Modified: output/dge_analysis/macrophages/ORA.GO.CF.NO_MOD.SvCF.NO_MOD.M.csv
Modified: output/dge_analysis/macrophages/ORA.GO.CF.NO_MODvNON_CF.CTRL.csv
Modified: output/dge_analysis/macrophages/ORA.HALLMARK.CF.IVAvCF.NO_MOD.csv
Modified: output/dge_analysis/macrophages/ORA.REACTOME.CF.NO_MODvNON_CF.CTRL.csv
Note that any generated files, e.g. HTML, png, CSS, etc., are not included in this status report because it is ok for generated content to have uncommitted changes.
These are the previous versions of the repository in which changes were
made to the R Markdown
(analysis/07.1_integrate_cluster_t_cells_decontx.Rmd) and
HTML (docs/07.1_integrate_cluster_t_cells_decontx.html)
files. If you’ve configured a remote Git repository (see
?wflow_git_remote), click on the hyperlinks in the table
below to view the files as they were in that past version.
| File | Version | Author | Date | Message |
|---|---|---|---|---|
| html | 048f0f3 | Jovana Maksimovic | 2024-03-20 | Build site. |
| Rmd | 6f4600b | Jovana Maksimovic | 2024-03-20 | wflow_publish(c("analysis/index.Rmd", "analysis/integrate_cluster")) |
| html | fb50017 | Jovana Maksimovic | 2024-03-19 | Build site. |
| Rmd | 3e9ce40 | Jovana Maksimovic | 2024-03-19 | wflow_publish(c("analysis/index.Rmd", "analysis/integrate")) |
Load libraries.
suppressPackageStartupMessages({
library(SingleCellExperiment)
library(edgeR)
library(tidyverse)
library(ggplot2)
library(Seurat)
library(glmGamPoi)
library(dittoSeq)
library(here)
library(clustree)
library(patchwork)
library(AnnotationDbi)
library(org.Hs.eg.db)
library(glue)
library(speckle)
library(tidyHeatmap)
library(dsb)
})
Load T-cell subset Seurat object.
ambient <- "_decontx"
seu <- readRDS(here("data",
"C133_Neeland_merged",
glue("C133_Neeland_full_clean{ambient}_t_cells.SEU.rds")))
seu
An object of class Seurat
20299 features across 15511 samples within 3 assays
Active assay: RNA (19973 features, 0 variable features)
2 other assays present: ADT, ADT.dsb
Visualise batch effects.
seu <- ScaleData(seu) %>%
FindVariableFeatures() %>%
RunPCA(dims = 1:30, verbose = FALSE) %>%
RunUMAP(dims = 1:30, verbose = FALSE)
DimPlot(seu, group.by = "Batch", reduction = "umap")

Assign each cell a score, based on its expression of G2/M and S phase markers as described in the Seurat workflow here.
s.genes <- cc.genes.updated.2019$s.genes
g2m.genes <- cc.genes.updated.2019$g2m.genes
seu <- CellCycleScoring(seu, s.features = s.genes, g2m.features = g2m.genes,
set.ident = TRUE)
PCA of cell cycle genes.
DimPlot(seu, group.by = "Phase") -> p1
seu %>%
RunPCA(features = c(s.genes, g2m.genes),
dims = 1:30, verbose = FALSE) %>%
DimPlot(reduction = "pca") -> p2
(p2 / p1) + plot_layout(guides = "collect")

Distribution of cell cycle markers.
# Visualize the distribution of cell cycle markers across
RidgePlot(seu, features = c("PCNA", "TOP2A", "MCM6", "MKI67"), ncol = 2,
log = TRUE)

Using the Seurat Alternate Workflow from here,
calculate the difference between the G2M and S phase scores so that
signals separating non-cycling cells and cycling cells will be
maintained, but differences in cell cycle phase among proliferating
cells (which are often uninteresting), can be regressed out of the
data.
seu$CC.Difference <- seu$S.Score - seu$G2M.Score
Split by batch for integration. Normalise with
SCTransform. Increase the strength of alignment by
increasing k.anchor parameter to 20 as recommended in
Seurat Fast integration with RPCA vignette.
First, integrate the RNA data.
out <- here("data",
"C133_Neeland_merged",
glue("C133_Neeland_full_clean{ambient}_integrated_t_cells.SEU.rds"))
if(!file.exists(out)){
DefaultAssay(seu) <- "RNA"
VariableFeatures(seu) <- NULL
seu[["pca"]] <- NULL
seu[["umap"]] <- NULL
seuLst <- SplitObject(seu, split.by = "Batch")
rm(seu)
gc()
# normalise with SCTransform and regress out cell cycle score difference
seuLst <- lapply(X = seuLst, FUN = SCTransform, method = "glmGamPoi",
vars.to.regress = "CC.Difference")
# integrate RNA data
features <- SelectIntegrationFeatures(object.list = seuLst,
nfeatures = 3000)
seuLst <- PrepSCTIntegration(object.list = seuLst, anchor.features = features)
seuLst <- lapply(X = seuLst, FUN = RunPCA, features = features)
anchors <- FindIntegrationAnchors(object.list = seuLst,
normalization.method = "SCT",
anchor.features = features,
k.anchor = 20,
dims = 1:30, reduction = "rpca")
seu <- IntegrateData(anchorset = anchors,
k.weight = min(100, min(sapply(seuLst, ncol)) - 5),
normalization.method = "SCT",
dims = 1:30)
DefaultAssay(seu) <- "integrated"
seu <- RunPCA(seu, dims = 1:30, verbose = FALSE) %>%
RunUMAP(dims = 1:30, verbose = FALSE)
saveRDS(seu, file = out)
fs::file_chmod(out, "664")
if(any(str_detect(fs::group_ids()$group_name,
"oshlack_lab"))) fs::file_chown(out,
group_id = "oshlack_lab")
} else {
seu <- readRDS(file = out)
}
| | | 0% | |================== | 25% | |=================================== | 50% | |==================================================== | 75% | |======================================================================| 100%
| | | 0% | |== | 3% | |===== | 7% | |======= | 10% | |========= | 13% | |============ | 17% | |============== | 20% | |================ | 23% | |=================== | 27% | |===================== | 30% | |======================= | 33% | |========================== | 37% | |============================ | 40% | |============================== | 43% | |================================= | 47% | |=================================== | 50% | |===================================== | 53% | |======================================== | 57% | |========================================== | 60% | |============================================ | 63% | |=============================================== | 67% | |================================================= | 70% | |=================================================== | 73% | |====================================================== | 77% | |======================================================== | 80% | |========================================================== | 83% | |============================================================= | 87% | |=============================================================== | 90% | |================================================================= | 93% | |==================================================================== | 97% | |======================================================================| 100%
| | | 0% | |== | 3% | |===== | 7% | |======= | 10% | |========= | 13% | |============ | 17% | |============== | 20% | |================ | 23% | |=================== | 27% | |===================== | 30% | |======================= | 33% | |========================== | 37% | |============================ | 40% | |============================== | 43% | |================================= | 47% | |=================================== | 50% | |===================================== | 53% | |======================================== | 57% | |========================================== | 60% | |============================================ | 63% | |=============================================== | 67% | |================================================= | 70% | |=================================================== | 73% | |====================================================== | 77% | |======================================================== | 80% | |========================================================== | 83% | |============================================================= | 87% | |=============================================================== | 90% | |================================================================= | 93% | |==================================================================== | 97% | |======================================================================| 100%
| | | 0% | |================== | 25% | |=================================== | 50% | |==================================================== | 75% | |======================================================================| 100%
| | | 0% | |=== | 4% | |===== | 7% | |======== | 11% | |========== | 15% | |============= | 19% | |================ | 22% | |================== | 26% | |===================== | 30% | |======================= | 33% | |========================== | 37% | |============================= | 41% | |=============================== | 44% | |================================== | 48% | |==================================== | 52% | |======================================= | 56% | |========================================= | 59% | |============================================ | 63% | |=============================================== | 67% | |================================================= | 70% | |==================================================== | 74% | |====================================================== | 78% | |========================================================= | 81% | |============================================================ | 85% | |============================================================== | 89% | |================================================================= | 93% | |=================================================================== | 96% | |======================================================================| 100%
| | | 0% | |=== | 4% | |===== | 7% | |======== | 11% | |========== | 15% | |============= | 19% | |================ | 22% | |================== | 26% | |===================== | 30% | |======================= | 33% | |========================== | 37% | |============================= | 41% | |=============================== | 44% | |================================== | 48% | |==================================== | 52% | |======================================= | 56% | |========================================= | 59% | |============================================ | 63% | |=============================================== | 67% | |================================================= | 70% | |==================================================== | 74% | |====================================================== | 78% | |========================================================= | 81% | |============================================================ | 85% | |============================================================== | 89% | |================================================================= | 93% | |=================================================================== | 96% | |======================================================================| 100%
| | | 0% | |================== | 25% | |=================================== | 50% | |==================================================== | 75% | |======================================================================| 100%
| | | 0% | |==== | 5% | |======= | 10% | |========== | 15% | |============== | 20% | |================== | 25% | |===================== | 30% | |======================== | 35% | |============================ | 40% | |================================ | 45% | |=================================== | 50% | |====================================== | 55% | |========================================== | 60% | |============================================== | 65% | |================================================= | 70% | |==================================================== | 75% | |======================================================== | 80% | |============================================================ | 85% | |=============================================================== | 90% | |================================================================== | 95% | |======================================================================| 100%
| | | 0% | |==== | 5% | |======= | 10% | |========== | 15% | |============== | 20% | |================== | 25% | |===================== | 30% | |======================== | 35% | |============================ | 40% | |================================ | 45% | |=================================== | 50% | |====================================== | 55% | |========================================== | 60% | |============================================== | 65% | |================================================= | 70% | |==================================================== | 75% | |======================================================== | 80% | |============================================================ | 85% | |=============================================================== | 90% | |================================================================== | 95% | |======================================================================| 100%
| | | 0% | |================== | 25% | |=================================== | 50% | |==================================================== | 75% | |======================================================================| 100%
| | | 0% | |=== | 4% | |====== | 8% | |========= | 12% | |============ | 17% | |=============== | 21% | |================== | 25% | |==================== | 29% | |======================= | 33% | |========================== | 38% | |============================= | 42% | |================================ | 46% | |=================================== | 50% | |====================================== | 54% | |========================================= | 58% | |============================================ | 62% | |=============================================== | 67% | |================================================== | 71% | |==================================================== | 75% | |======================================================= | 79% | |========================================================== | 83% | |============================================================= | 88% | |================================================================ | 92% | |=================================================================== | 96% | |======================================================================| 100%
| | | 0% | |=== | 4% | |====== | 8% | |========= | 12% | |============ | 17% | |=============== | 21% | |================== | 25% | |==================== | 29% | |======================= | 33% | |========================== | 38% | |============================= | 42% | |================================ | 46% | |=================================== | 50% | |====================================== | 54% | |========================================= | 58% | |============================================ | 62% | |=============================================== | 67% | |================================================== | 71% | |==================================================== | 75% | |======================================================= | 79% | |========================================================== | 83% | |============================================================= | 88% | |================================================================ | 92% | |=================================================================== | 96% | |======================================================================| 100%
| | | 0% | |================== | 25% | |=================================== | 50% | |==================================================== | 75% | |======================================================================| 100%
| | | 0% | |=== | 5% | |====== | 9% | |========== | 14% | |============= | 18% | |================ | 23% | |=================== | 27% | |====================== | 32% | |========================= | 36% | |============================= | 41% | |================================ | 45% | |=================================== | 50% | |====================================== | 55% | |========================================= | 59% | |============================================= | 64% | |================================================ | 68% | |=================================================== | 73% | |====================================================== | 77% | |========================================================= | 82% | |============================================================ | 86% | |================================================================ | 91% | |=================================================================== | 95% | |======================================================================| 100%
| | | 0% | |=== | 5% | |====== | 9% | |========== | 14% | |============= | 18% | |================ | 23% | |=================== | 27% | |====================== | 32% | |========================= | 36% | |============================= | 41% | |================================ | 45% | |=================================== | 50% | |====================================== | 55% | |========================================= | 59% | |============================================= | 64% | |================================================ | 68% | |=================================================== | 73% | |====================================================== | 77% | |========================================================= | 82% | |============================================================ | 86% | |================================================================ | 91% | |=================================================================== | 95% | |======================================================================| 100%
| | | 0% | |================== | 25% | |=================================== | 50% | |==================================================== | 75% | |======================================================================| 100%
| | | 0% | |=== | 5% | |====== | 9% | |========== | 14% | |============= | 18% | |================ | 23% | |=================== | 27% | |====================== | 32% | |========================= | 36% | |============================= | 41% | |================================ | 45% | |=================================== | 50% | |====================================== | 55% | |========================================= | 59% | |============================================= | 64% | |================================================ | 68% | |=================================================== | 73% | |====================================================== | 77% | |========================================================= | 82% | |============================================================ | 86% | |================================================================ | 91% | |=================================================================== | 95% | |======================================================================| 100%
| | | 0% | |=== | 5% | |====== | 9% | |========== | 14% | |============= | 18% | |================ | 23% | |=================== | 27% | |====================== | 32% | |========================= | 36% | |============================= | 41% | |================================ | 45% | |=================================== | 50% | |====================================== | 55% | |========================================= | 59% | |============================================= | 64% | |================================================ | 68% | |=================================================== | 73% | |====================================================== | 77% | |========================================================= | 82% | |============================================================ | 86% | |================================================================ | 91% | |=================================================================== | 95% | |======================================================================| 100%
| | | 0% | |================== | 25% | |=================================== | 50% | |==================================================== | 75% | |======================================================================| 100%
| | | 0% | |=== | 5% | |====== | 9% | |========== | 14% | |============= | 18% | |================ | 23% | |=================== | 27% | |====================== | 32% | |========================= | 36% | |============================= | 41% | |================================ | 45% | |=================================== | 50% | |====================================== | 55% | |========================================= | 59% | |============================================= | 64% | |================================================ | 68% | |=================================================== | 73% | |====================================================== | 77% | |========================================================= | 82% | |============================================================ | 86% | |================================================================ | 91% | |=================================================================== | 95% | |======================================================================| 100%
| | | 0% | |=== | 5% | |====== | 9% | |========== | 14% | |============= | 18% | |================ | 23% | |=================== | 27% | |====================== | 32% | |========================= | 36% | |============================= | 41% | |================================ | 45% | |=================================== | 50% | |====================================== | 55% | |========================================= | 59% | |============================================= | 64% | |================================================ | 68% | |=================================================== | 73% | |====================================================== | 77% | |========================================================= | 82% | |============================================================ | 86% | |================================================================ | 91% | |=================================================================== | 95% | |======================================================================| 100%
out <- here("data",
"C133_Neeland_merged",
glue("C133_Neeland_full_clean{ambient}_integrated_t_cells.ADT.SEU.rds"))
# get ADT meta data
read.csv(file = here("data",
"C133_Neeland_batch1",
"data",
"sample_sheets",
"ADT_features.csv")) -> adt_data
# cleanup ADT meta data
pattern <- "anti-human/mouse |anti-human/mouse/rat |anti-mouse/human "
adt_data$name <- gsub(pattern, "", adt_data$name)
# change ADT rownames to antibody names
DefaultAssay(seu) <- "ADT"
if(all(rownames(seu[["ADT"]]@counts) == adt_data$id)){
adt_counts <- seu[["ADT"]]@counts
rownames(adt_counts) <- adt_data$name
seu[["ADT"]] <- CreateAssayObject(counts = adt_counts)
}
if(!file.exists(out)){
tmp <- DietSeurat(subset(seu, cells = which(seu$Batch != 0)),
assays = "ADT")
DefaultAssay(tmp) <- "ADT"
seuLst <- SplitObject(tmp, split.by = "Batch")
seuLst <- lapply(X = seuLst, FUN = function(x) {
# set all ADT as variable features
VariableFeatures(x) <- rownames(x)
x <- NormalizeData(x, normalization.method = "CLR", margin = 2)
x
})
features <- SelectIntegrationFeatures(object.list = seuLst)
seuLst <- lapply(X = seuLst, FUN = function(x) {
x <- ScaleData(x, features = features, verbose = FALSE) %>%
RunPCA(features = features, verbose = FALSE)
x
})
anchors <- FindIntegrationAnchors(object.list = seuLst, reduction = "rpca",
dims = 1:30)
tmp <- IntegrateData(anchorset = anchors, dims = 1:30)
DefaultAssay(tmp) <- "integrated"
tmp <- ScaleData(tmp) %>%
RunPCA(dims = 1:30, verbose = FALSE) %>%
RunUMAP(dims = 1:30, verbose = FALSE)
# create combined object that only contains cells with RNA+ADT data
seuADT <- subset(seu, cells = which(seu$Batch !=0))
seuADT[["integrated.adt"]] <- tmp[["integrated"]]
seuADT[["pca.adt"]] <- tmp[["pca"]]
seuADT[["umap.adt"]] <- tmp[["umap"]]
saveRDS(seuADT, file = out)
fs::file_chmod(out, "664")
if(any(str_detect(fs::group_ids()$group_name,
"oshlack_lab"))) fs::file_chown(out,
group_id = "oshlack_lab")
} else {
seuADT <- readRDS(file = out)
}
DefaultAssay(seuADT) <- "integrated"
DimPlot(seu, group.by = "Batch", reduction = "umap") -> p1
DimPlot(seuADT, group.by = "Batch", reduction = "umap") -> p2
DimPlot(seuADT, group.by = "Batch", reduction = "umap.adt") -> p3
(p1 / ((p2 | p3) +
plot_layout(guides = "collect"))) &
theme(axis.title = element_text(size = 8),
axis.text = element_text(size = 8))

DimPlot(seu, group.by = "Phase", reduction = "umap") -> p1
DimPlot(seuADT, group.by = "Phase", reduction = "umap") -> p2
DimPlot(seuADT, group.by = "Phase", reduction = "umap.adt") -> p3
(p1 / ((p2 | p3) +
plot_layout(guides = "collect"))) &
theme(axis.title = element_text(size = 8),
axis.text = element_text(size = 8))

Perform clustering only on data that has ADT i.e. exclude batch 0.
Exclude any mitochondrial, ribosomal, immunoglobulin and HLA genes from variable genes list, to encourage clustering by cell type.
# remove HLA, immunoglobulin, RNA, MT, and RP genes from variable genes list
var_regex = '^HLA-|^IG[HJKL]|^RNA|^MT-|^RP'
hvg <- grep(var_regex, VariableFeatures(seuADT), invert = TRUE, value = TRUE)
# assign edited variable gene list back to object
VariableFeatures(seuADT) <- hvg
# redo PCA and UMAP
seuADT <- RunPCA(seuADT, dims = 1:30, verbose = FALSE) %>%
RunUMAP(dims = 1:30, verbose = FALSE)
DimHeatmap(seuADT, dims = 1:30, cells = 500, balanced = TRUE,
reduction = "pca", assays = "integrated")

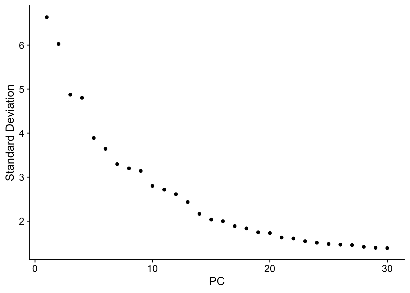
ElbowPlot(seuADT, ndims = 30, reduction = "pca")

DimHeatmap(seuADT, dims = 1:30, cells = 500, balanced = TRUE,
reduction = "pca.adt", assays = "integrated.adt")

ElbowPlot(seuADT, ndims = 30, reduction = "pca.adt")

Perform clustering at a range of resolutions and visualise to see which is appropriate to proceed with.
out <- here("data",
"C133_Neeland_merged",
glue("C133_Neeland_full_clean{ambient}_integrated_clustered_t_cells.ADT.SEU.rds"))
if(!file.exists(out)){
DefaultAssay(seuADT) <- "integrated"
seuADT <- FindMultiModalNeighbors(seuADT, reduction.list = list("pca", "pca.adt"),
dims.list = list(1:30, 1:10),
modality.weight.name = "RNA.weight")
seuADT <- FindClusters(seuADT, algorithm = 3,
resolution = seq(0.1, 1, by = 0.1),
graph.name = "wsnn")
seuADT <- RunUMAP(seuADT, dims = 1:30, nn.name = "weighted.nn",
reduction.name = "wnn.umap", reduction.key = "wnnUMAP_",
return.model = TRUE)
saveRDS(seuADT, file = out)
fs::file_chmod(out, "664")
if(any(str_detect(fs::group_ids()$group_name,
"oshlack_lab"))) fs::file_chown(out,
group_id = "oshlack_lab")
} else {
seuADT <- readRDS(file = out)
}
Modularity Optimizer version 1.3.0 by Ludo Waltman and Nees Jan van Eck
Number of nodes: 10405
Number of edges: 332172
Running smart local moving algorithm...
Maximum modularity in 10 random starts: 0.9597
Number of communities: 14
Elapsed time: 3 seconds
Modularity Optimizer version 1.3.0 by Ludo Waltman and Nees Jan van Eck
Number of nodes: 10405
Number of edges: 332172
Running smart local moving algorithm...
Maximum modularity in 10 random starts: 0.9477
Number of communities: 14
Elapsed time: 3 seconds
Modularity Optimizer version 1.3.0 by Ludo Waltman and Nees Jan van Eck
Number of nodes: 10405
Number of edges: 332172
Running smart local moving algorithm...
Maximum modularity in 10 random starts: 0.9380
Number of communities: 18
Elapsed time: 3 seconds
Modularity Optimizer version 1.3.0 by Ludo Waltman and Nees Jan van Eck
Number of nodes: 10405
Number of edges: 332172
Running smart local moving algorithm...
Maximum modularity in 10 random starts: 0.9311
Number of communities: 20
Elapsed time: 3 seconds
Modularity Optimizer version 1.3.0 by Ludo Waltman and Nees Jan van Eck
Number of nodes: 10405
Number of edges: 332172
Running smart local moving algorithm...
Maximum modularity in 10 random starts: 0.9248
Number of communities: 22
Elapsed time: 3 seconds
Modularity Optimizer version 1.3.0 by Ludo Waltman and Nees Jan van Eck
Number of nodes: 10405
Number of edges: 332172
Running smart local moving algorithm...
Maximum modularity in 10 random starts: 0.9185
Number of communities: 22
Elapsed time: 3 seconds
Modularity Optimizer version 1.3.0 by Ludo Waltman and Nees Jan van Eck
Number of nodes: 10405
Number of edges: 332172
Running smart local moving algorithm...
Maximum modularity in 10 random starts: 0.9124
Number of communities: 23
Elapsed time: 3 seconds
Modularity Optimizer version 1.3.0 by Ludo Waltman and Nees Jan van Eck
Number of nodes: 10405
Number of edges: 332172
Running smart local moving algorithm...
Maximum modularity in 10 random starts: 0.9065
Number of communities: 23
Elapsed time: 2 seconds
Modularity Optimizer version 1.3.0 by Ludo Waltman and Nees Jan van Eck
Number of nodes: 10405
Number of edges: 332172
Running smart local moving algorithm...
Maximum modularity in 10 random starts: 0.9006
Number of communities: 23
Elapsed time: 3 seconds
Modularity Optimizer version 1.3.0 by Ludo Waltman and Nees Jan van Eck
Number of nodes: 10405
Number of edges: 332172
Running smart local moving algorithm...
Maximum modularity in 10 random starts: 0.8950
Number of communities: 25
Elapsed time: 2 seconds
clustree::clustree(seuADT, prefix = "wsnn_res.")

Choose most appropriate resolution based on clustree
plot above.
grp <- "wsnn_res.0.6"
# change factor ordering
seuADT@meta.data[,grp] <- fct_inseq(seuADT@meta.data[,grp])
DimPlot(seuADT, group.by = grp, label = T) +
theme(legend.position = "bottom")

Weighting of RNA and ADT data per cluster.
VlnPlot(seuADT, features = "integrated.weight", group.by = grp, sort = TRUE,
pt.size = 0.1) +
NoLegend()

Batch 0 only has RNA data and was not included in the WNN clustering of batched 1-6. To add this data we will map it to the WNN clustered reference.
Find transfer anchors.
# use WNN clustered batches 1-6 as reference
reference <- seuADT
DefaultAssay(seu) <- "RNA"
# batch 0 RNA data is the query
query <- DietSeurat(subset(seu, cells = which(seu$Batch == 0)),
assays = "RNA")
DefaultAssay(reference) <- "integrated"
anchors <- FindTransferAnchors(
reference = reference,
query = query,
normalization.method = "SCT",
reference.reduction = "pca",
dims = 1:50
)
Map batch 0 samples onto reference.
query <- MapQuery(
anchorset = anchors,
query = query,
reference = reference,
refdata = list(
wsnn = grp,
ADT = "ADT"
),
reference.reduction = "pca",
reduction.model = "wnn.umap"
)
query
An object of class Seurat
20156 features across 5106 samples within 3 assays
Active assay: RNA (19973 features, 0 variable features)
2 other assays present: prediction.score.wsnn, ADT
2 dimensional reductions calculated: ref.pca, ref.umap
Visualise batch 0 samples on reference UMAP.
query$predicted.wsnn <- fct_inseq(query$predicted.wsnn)
DimPlot(query, reduction = "ref.umap", group.by = "predicted.wsnn",
label = TRUE, label.size = 3 ,repel = TRUE) +
theme(legend.position = "bottom")

Distribution of Azimuth prediction scores per WNN
cluster.
ggplot(query@meta.data, aes(x = predicted.wsnn,
y = predicted.wsnn.score,
fill = predicted.wsnn)) +
geom_boxplot() + NoLegend()

Computing a new UMAP can help to identify any cell states present in the query but not reference.
# merge reference (integrated + WNN clustered) and query (RNA only samples)
reference$id <- 'reference'
query$id <- 'query'
DefaultAssay(reference) <- "integrated"
refquery <- merge(DietSeurat(reference,
assays = c("RNA","ADT","integrated","SCT"),
dimreducs = c("pca")),
DietSeurat(query,
assays = c("RNA"),
dimreducs = "ref.pca"))
refquery[["pca"]] <- merge(reference[["pca"]], query[["ref.pca"]])
refquery <- RunUMAP(refquery, reduction = 'pca', dims = 1:50, assay = "integrated")
View combined UMAP.
# combine cluster annotations from reference and query
refquery@meta.data[, grp] <- ifelse(is.na(refquery@meta.data[,grp]),
refquery$predicted.wsnn,
refquery@meta.data[,grp])
# change factor ordering
refquery@meta.data[,grp] <- fct_inseq(refquery@meta.data[,grp])
DimPlot(refquery, reduction = "umap", group.by = grp,
label = TRUE, label.size = 3) + NoLegend()

DimPlot(refquery, reduction = "umap", group.by = "Phase",
label = FALSE, label.size = 3)

DimPlot(refquery, reduction = "umap", group.by = "Disease",
label = FALSE, label.size = 3)

Save results.
out <- here("data",
"C133_Neeland_merged",
glue("C133_Neeland_full_clean{ambient}_integrated_clustered_mapped_t_cells.ADT.SEU.rds"))
if(!file.exists(out)){
saveRDS(refquery, file = out)
fs::file_chmod(out, "664")
if(any(str_detect(fs::group_ids()$group_name,
"oshlack_lab"))) fs::file_chown(out,
group_id = "oshlack_lab")
}
Number of cells per cluster.
refquery@meta.data %>%
ggplot(aes(x = !!sym(grp), fill = !!sym(grp))) +
geom_bar() +
geom_text(aes(label = ..count..), stat = "count",
vjust = -0.5, colour = "black", size = 2) +
theme(axis.text.x = element_text(angle = 90, vjust = 0.5, hjust = 1)) +
NoLegend()

Visualise quality metrics by cluster. Cluster 17 potentially contains low quality cells.
refquery@meta.data %>%
ggplot(aes(x = !!sym(grp),
y = nCount_RNA,
fill = !!sym(grp))) +
geom_violin(scale = "area") +
scale_y_log10() +
NoLegend() -> p2
refquery@meta.data %>%
ggplot(aes(x = !!sym(grp),
y = nFeature_RNA,
fill = !!sym(grp))) +
geom_violin(scale = "area") +
scale_y_log10() +
NoLegend() -> p3
(p2 / p3) & theme(text = element_text(size = 8))

Check the batch composition of each of the clusters. Cluster 17 does not contain any cells from batch 0; could be a quality issue or the cell type was not captured in batch 0?
dittoBarPlot(refquery,
var = "Batch",
group.by = grp)

Check the sample compositions of combined clusters.
dittoBarPlot(refquery,
var = "sample.id",
group.by = grp) + ggtitle("Samples") +
theme(legend.position = "bottom")

Adapted from Dr. Belinda Phipson’s work for [@Sim2021-cg].
limma# limma-trend for DE
Idents(refquery) <- grp
logcounts <- normCounts(DGEList(as.matrix(refquery[["RNA"]]@counts)),
log = TRUE, prior.count = 0.5)
entrez <- AnnotationDbi::mapIds(org.Hs.eg.db,
keys = rownames(logcounts),
column = c("ENTREZID"),
keytype = "SYMBOL",
multiVals = "first")
# remove genes without entrez IDs as these are difficult to interpret biologically
logcounts <- logcounts[!is.na(entrez),]
# remove confounding genes from counts table e.g. mitochondrial, ribosomal etc.
logcounts <- logcounts[!str_detect(rownames(logcounts), var_regex),]
maxclust <- length(levels(Idents(refquery))) - 1
clustgrp <- paste0("c", Idents(refquery))
clustgrp <- factor(clustgrp, levels = paste0("c", 0:maxclust))
donor <- factor(seu$sample.id)
batch <- factor(seu$Batch)
design <- model.matrix(~ 0 + clustgrp + donor)
colnames(design)[1:(length(levels(clustgrp)))] <- levels(clustgrp)
# Create contrast matrix
mycont <- matrix(NA, ncol = length(levels(clustgrp)),
nrow = length(levels(clustgrp)))
rownames(mycont) <- colnames(mycont) <- levels(clustgrp)
diag(mycont) <- 1
mycont[upper.tri(mycont)] <- -1/(length(levels(factor(clustgrp))) - 1)
mycont[lower.tri(mycont)] <- -1/(length(levels(factor(clustgrp))) - 1)
# Fill out remaining rows with 0s
zero.rows <- matrix(0, ncol = length(levels(clustgrp)),
nrow = (ncol(design) - length(levels(clustgrp))))
fullcont <- rbind(mycont, zero.rows)
rownames(fullcont) <- colnames(design)
fit <- lmFit(logcounts, design)
fit.cont <- contrasts.fit(fit, contrasts = fullcont)
fit.cont <- eBayes(fit.cont, trend = TRUE, robust = TRUE)
summary(decideTests(fit.cont))
c0 c1 c2 c3 c4 c5 c6 c7 c8 c9 c10 c11
Down 1614 825 3626 1523 1869 474 448 1024 418 432 611 517
NotSig 13488 13418 11780 13353 12165 14550 14559 14101 14460 14419 14628 13872
Up 520 1379 216 746 1588 598 615 497 744 771 383 1233
c12 c13 c14 c15 c16 c17 c18 c19
Down 463 81 89 25 88 184 101 62
NotSig 14783 15243 12657 15501 15270 14647 15121 14834
Up 376 298 2876 96 264 791 400 726
Test relative to a threshold (TREAT).
tr <- treat(fit.cont, lfc = 0.25)
dt <- decideTests(tr)
summary(dt)
c0 c1 c2 c3 c4 c5 c6 c7 c8 c9 c10 c11
Down 8 14 28 19 84 5 12 30 24 12 12 32
NotSig 15587 15575 15591 15583 15531 15583 15580 15568 15569 15582 15592 15528
Up 27 33 3 20 7 34 30 24 29 28 18 62
c12 c13 c14 c15 c16 c17 c18 c19
Down 12 1 12 0 1 23 12 5
NotSig 15578 15564 15335 15622 15602 15559 15574 15569
Up 32 57 275 0 19 40 36 48
Mean-difference (MD) plots per cluster.
par(mfrow=c(4,3))
par(mar=c(2,3,1,2))
for(i in 1:ncol(mycont)){
plotMD(tr, coef = i, status = dt[,i], hl.cex = 0.5)
abline(h = 0, col = "lightgrey")
lines(lowess(tr$Amean, tr$coefficients[,i]), lwd = 1.5, col = 4)
}


limma marker gene dotplotDefaultAssay(refquery) <- "RNA"
contnames <- colnames(mycont)
top_markers <- NULL
n_markers <- 10
for(i in 1:ncol(mycont)){
top <- topTreat(tr, coef = i, n = Inf)
top <- top[top$logFC > 0, ]
top_markers <- c(top_markers,
setNames(rownames(top)[1:n_markers],
rep(contnames[i], n_markers)))
}
top_markers <- top_markers[!is.na(top_markers)]
top_markers <- top_markers[!duplicated(top_markers)]
cols <- paletteer::paletteer_d("pals::glasbey")[factor(names(top_markers))]
DotPlot(refquery,
features = unname(top_markers),
group.by = grp,
cols = c("azure1", "blueviolet"),
dot.scale = 3, assay = "SCT") +
RotatedAxis() +
FontSize(y.text = 8, x.text = 12) +
labs(y = element_blank(), x = element_blank()) +
coord_flip() +
theme(axis.text.y = element_text(color = cols)) +
ggtitle("Top 10 cluster marker genes (no duplicates)")

The Broad MSigDB Reactome pathways are tested for each contrast using
cameraPR from limma. The cameraPR
method tests whether a set of genes is highly ranked relative to other
genes in terms of differential expression, accounting for inter-gene
correlation.
Prepare gene sets of interest.
if(!file.exists(here("data/Hs.c2.cp.reactome.v7.1.entrez.rds")))
download.file("https://bioinf.wehi.edu.au/MSigDB/v7.1/Hs.c2.cp.reactome.v7.1.entrez.rds",
here("data/Hs.c2.cp.reactome.v7.1.entrez.rds"))
Hs.c2.reactome <- readRDS(here("data/Hs.c2.cp.reactome.v7.1.entrez.rds"))
gns <- AnnotationDbi::mapIds(org.Hs.eg.db,
keys = rownames(tr),
column = c("ENTREZID"),
keytype = "SYMBOL",
multiVals = "first")
Run pathway analysis and save results to file.
options(scipen=-1, digits = 6)
contnames <- colnames(mycont)
dirName <- here("output",
"cluster_markers",
glue("RNA{ambient}"),
"t_cells")
if(!dir.exists(dirName)) dir.create(dirName, recursive = TRUE)
for(c in colnames(tr)){
top <- topTreat(tr, coef = c, n = Inf)
top <- top[top$logFC > 0, ]
write.csv(top[1:100, ] %>%
rownames_to_column(var = "Symbol"),
file = glue("{dirName}/up-cluster-limma-{c}.csv"),
sep = ",",
quote = FALSE,
col.names = NA,
row.names = TRUE)
# get marker indices
c2.id <- ids2indices(Hs.c2.reactome, unname(gns[rownames(tr)]))
# gene set testing results
cameraPR(tr$t[,glue("{c}")], c2.id) %>%
rownames_to_column(var = "Pathway") %>%
dplyr::filter(Direction == "Up") %>%
slice_head(n = 50) %>%
write.csv(file = here(glue("{dirName}/REACTOME-cluster-limma-{c}.csv")),
sep = ",",
quote = FALSE,
col.names = NA,
row.names = TRUE)
}
limma# identify isotype controls for DSB ADT normalisation
read_csv(file = here("data",
"C133_Neeland_batch1",
"data",
"sample_sheets",
"ADT_features.csv")) %>%
dplyr::filter(grepl("[Ii]sotype", name)) %>%
pull(name) -> isotype_controls
# normalise ADT using DSB normalisation
adt <- seuADT[["ADT"]]@counts
adt_dsb <- ModelNegativeADTnorm(cell_protein_matrix = adt,
denoise.counts = TRUE,
use.isotype.control = TRUE,
isotype.control.name.vec = isotype_controls)
[1] "fitting models to each cell for dsb technical component and removing cell to cell technical noise"
Running the limma analysis on the normalised counts.
# limma-trend for DE
Idents(seuADT) <- grp
logcounts <- adt_dsb
# remove isotype controls from marker analysis
logcounts <- logcounts[!rownames(logcounts) %in% isotype_controls,]
maxclust <- length(levels(Idents(seuADT))) - 1
clustgrp <- paste0("c", Idents(seuADT))
clustgrp <- factor(clustgrp, levels = paste0("c", 0:maxclust))
donor <- seuADT$sample.id
design <- model.matrix(~ 0 + clustgrp + donor)
colnames(design)[1:(length(levels(clustgrp)))] <- levels(clustgrp)
# Create contrast matrix
mycont <- matrix(NA, ncol = length(levels(clustgrp)),
nrow = length(levels(clustgrp)))
rownames(mycont) <- colnames(mycont) <- levels(clustgrp)
diag(mycont) <- 1
mycont[upper.tri(mycont)] <- -1/(length(levels(factor(clustgrp))) - 1)
mycont[lower.tri(mycont)] <- -1/(length(levels(factor(clustgrp))) - 1)
# Fill out remaining rows with 0s
zero.rows <- matrix(0, ncol = length(levels(clustgrp)),
nrow = (ncol(design) - length(levels(clustgrp))))
fullcont <- rbind(mycont, zero.rows)
rownames(fullcont) <- colnames(design)
fit <- lmFit(logcounts, design)
fit.cont <- contrasts.fit(fit, contrasts = fullcont)
fit.cont <- eBayes(fit.cont, trend = TRUE, robust = TRUE)
summary(decideTests(fit.cont))
c0 c1 c2 c3 c4 c5 c6 c7 c8 c9 c10 c11 c12 c13 c14 c15 c16 c17
Down 39 25 33 39 14 24 16 32 20 32 14 20 27 2 6 8 26 25
NotSig 96 92 114 107 84 118 116 109 124 113 124 105 127 142 110 133 120 122
Up 19 37 7 8 56 12 22 13 10 9 16 29 0 10 38 13 8 7
c18 c19
Down 17 1
NotSig 132 150
Up 5 3
Test relative to a threshold (TREAT).
tr <- treat(fit.cont, lfc = 0.1)
dt <- decideTests(tr)
summary(dt)
c0 c1 c2 c3 c4 c5 c6 c7 c8 c9 c10 c11 c12 c13 c14 c15 c16 c17
Down 3 5 1 7 2 3 0 5 5 10 0 6 2 0 0 0 6 14
NotSig 142 136 153 144 130 145 149 144 146 139 149 133 152 152 145 148 142 138
Up 9 13 0 3 22 6 5 5 3 5 5 15 0 2 9 6 6 2
c18 c19
Down 6 0
NotSig 145 154
Up 3 0
Dot plot of the top 5 ADT markers per cluster without duplication.
contnames <- colnames(mycont)
top_markers <- NULL
n_markers <- 5
for (i in 1:length(contnames)){
top <- topTreat(tr, coef = i, n = Inf)
top <- top[top$logFC > 0,]
top_markers <- c(top_markers,
setNames(rownames(top)[1:n_markers],
rep(contnames[i], n_markers)))
}
top_markers <- top_markers[!is.na(top_markers)]
top_markers <- top_markers[!duplicated(top_markers)]
cols <- paletteer::paletteer_d("pals::glasbey")[factor(names(top_markers))][!duplicated(top_markers)]
# add DSB normalised data to Seurat assay for plotting
seuADT[["ADT.dsb"]] <- CreateAssayObject(data = logcounts)
DotPlot(seuADT,
group.by = grp,
features = unname(top_markers),
cols = c("azure1", "blueviolet"),
assay = "ADT.dsb") +
RotatedAxis() +
FontSize(y.text = 8, x.text = 9) +
labs(y = element_blank(), x = element_blank()) +
theme(axis.text.y = element_text(color = cols),
legend.text = element_text(size = 10),
legend.title = element_text(size = 10)) +
coord_flip() +
ggtitle("Top 5 cluster markers ADTs (no duplicates)")

Make data frame of proteins, clusters, expression levels.
cbind(seuADT@meta.data %>%
dplyr::select(!!sym(grp)),
as.data.frame(t(seuADT@assays$ADT.dsb@data))) %>%
rownames_to_column(var = "cell") %>%
pivot_longer(c(-!!sym(grp), -cell),
names_to = "ADT",
values_to = "expression") %>%
dplyr::group_by(!!sym(grp), ADT) %>%
dplyr::summarize(Expression = mean(expression)) %>%
ungroup() -> dat
# plot expression density to select heatmap colour scale range
plot(density(dat$Expression))

dat %>%
dplyr::filter(ADT %in% top_markers) |>
heatmap(
.column = !!sym(grp),
.row = ADT,
.value = Expression,
row_order = top_markers,
scale = "none",
rect_gp = grid::gpar(col = "white", lwd = 1),
show_row_names = TRUE,
cluster_columns = FALSE,
cluster_rows = FALSE,
column_names_gp = grid::gpar(fontsize = 10),
column_title_gp = grid::gpar(fontsize = 12),
row_names_gp = grid::gpar(fontsize = 8, col = cols[order(top_markers)]),
row_title_gp = grid::gpar(fontsize = 12),
column_title_side = "top",
palette_value = circlize::colorRamp2(seq(-0.25, 2, length.out = 256),
viridis::magma(256)),
heatmap_legend_param = list(direction = "vertical"))

options(scipen=-1, digits = 6)
contnames <- colnames(mycont)
dirName <- here("output",
"cluster_markers",
glue("ADT{ambient}"),
"t_cells")
if(!dir.exists(dirName)) dir.create(dirName, recursive = TRUE)
for(c in contnames){
top <- topTreat(tr, coef = c, n = Inf)
top <- top[top$logFC > 0, ]
write.csv(top,
file = glue("{dirName}/up-cluster-limma-{c}.csv"),
sep = ",",
quote = FALSE,
col.names = NA,
row.names = TRUE)
}
sessionInfo()
R version 4.3.3 (2024-02-29)
Platform: aarch64-apple-darwin20 (64-bit)
Running under: macOS 15.5
Matrix products: default
BLAS: /Library/Frameworks/R.framework/Versions/4.3-arm64/Resources/lib/libRblas.0.dylib
LAPACK: /Library/Frameworks/R.framework/Versions/4.3-arm64/Resources/lib/libRlapack.dylib; LAPACK version 3.11.0
locale:
[1] en_US.UTF-8/en_US.UTF-8/en_US.UTF-8/C/en_US.UTF-8/en_US.UTF-8
time zone: Australia/Melbourne
tzcode source: internal
attached base packages:
[1] stats4 stats graphics grDevices datasets utils methods
[8] base
other attached packages:
[1] dsb_1.0.3 tidyHeatmap_1.8.1
[3] speckle_1.2.0 glue_1.8.0
[5] org.Hs.eg.db_3.18.0 AnnotationDbi_1.64.1
[7] patchwork_1.3.1 clustree_0.5.1
[9] ggraph_2.2.0 here_1.0.1
[11] dittoSeq_1.14.2 glmGamPoi_1.14.3
[13] SeuratObject_4.1.4 Seurat_4.4.0
[15] lubridate_1.9.3 forcats_1.0.0
[17] stringr_1.5.1 dplyr_1.1.4
[19] purrr_1.0.2 readr_2.1.5
[21] tidyr_1.3.1 tibble_3.2.1
[23] ggplot2_3.5.2 tidyverse_2.0.0
[25] edgeR_4.0.15 limma_3.58.1
[27] SingleCellExperiment_1.24.0 SummarizedExperiment_1.32.0
[29] Biobase_2.62.0 GenomicRanges_1.54.1
[31] GenomeInfoDb_1.38.6 IRanges_2.36.0
[33] S4Vectors_0.40.2 BiocGenerics_0.48.1
[35] MatrixGenerics_1.14.0 matrixStats_1.2.0
[37] workflowr_1.7.1
loaded via a namespace (and not attached):
[1] fs_1.6.6 spatstat.sparse_3.0-3
[3] bitops_1.0-7 httr_1.4.7
[5] RColorBrewer_1.1-3 doParallel_1.0.17
[7] backports_1.4.1 tools_4.3.3
[9] sctransform_0.4.1 utf8_1.2.4
[11] R6_2.5.1 lazyeval_0.2.2
[13] uwot_0.1.16 GetoptLong_1.0.5
[15] withr_3.0.0 sp_2.1-3
[17] gridExtra_2.3 progressr_0.14.0
[19] cli_3.6.5 Cairo_1.6-2
[21] spatstat.explore_3.2-6 prismatic_1.1.1
[23] labeling_0.4.3 sass_0.4.10
[25] spatstat.data_3.0-4 ggridges_0.5.6
[27] pbapply_1.7-2 parallelly_1.37.0
[29] rstudioapi_0.15.0 RSQLite_2.3.5
[31] generics_0.1.3 shape_1.4.6
[33] vroom_1.6.5 ica_1.0-3
[35] spatstat.random_3.2-2 dendextend_1.17.1
[37] Matrix_1.6-5 ggbeeswarm_0.7.2
[39] fansi_1.0.6 abind_1.4-5
[41] lifecycle_1.0.4 whisker_0.4.1
[43] yaml_2.3.8 SparseArray_1.2.4
[45] Rtsne_0.17 paletteer_1.6.0
[47] grid_4.3.3 blob_1.2.4
[49] promises_1.2.1 crayon_1.5.2
[51] miniUI_0.1.1.1 lattice_0.22-5
[53] cowplot_1.1.3 KEGGREST_1.42.0
[55] pillar_1.9.0 knitr_1.50
[57] ComplexHeatmap_2.18.0 rjson_0.2.21
[59] future.apply_1.11.1 codetools_0.2-19
[61] leiden_0.4.3.1 getPass_0.2-4
[63] data.table_1.15.0 vctrs_0.6.5
[65] png_0.1-8 gtable_0.3.6
[67] rematch2_2.1.2 cachem_1.0.8
[69] xfun_0.52 S4Arrays_1.2.0
[71] mime_0.12 tidygraph_1.3.1
[73] survival_3.5-8 pheatmap_1.0.12
[75] iterators_1.0.14 statmod_1.5.0
[77] ellipsis_0.3.2 fitdistrplus_1.1-11
[79] ROCR_1.0-11 nlme_3.1-164
[81] bit64_4.0.5 RcppAnnoy_0.0.22
[83] rprojroot_2.0.4 bslib_0.6.1
[85] irlba_2.3.5.1 vipor_0.4.7
[87] KernSmooth_2.23-22 colorspace_2.1-0
[89] DBI_1.2.1 ggrastr_1.0.2
[91] tidyselect_1.2.1 processx_3.8.3
[93] bit_4.0.5 compiler_4.3.3
[95] git2r_0.33.0 DelayedArray_0.28.0
[97] plotly_4.10.4 checkmate_2.3.1
[99] scales_1.3.0 lmtest_0.9-40
[101] callr_3.7.3 digest_0.6.34
[103] goftest_1.2-3 spatstat.utils_3.0-4
[105] rmarkdown_2.29 XVector_0.42.0
[107] htmltools_0.5.8.1 pkgconfig_2.0.3
[109] sparseMatrixStats_1.14.0 fastmap_1.1.1
[111] rlang_1.1.6 GlobalOptions_0.1.2
[113] htmlwidgets_1.6.4 DelayedMatrixStats_1.24.0
[115] shiny_1.8.0 farver_2.1.1
[117] jquerylib_0.1.4 zoo_1.8-12
[119] jsonlite_1.8.8 mclust_6.1
[121] RCurl_1.98-1.14 magrittr_2.0.3
[123] GenomeInfoDbData_1.2.11 munsell_0.5.0
[125] Rcpp_1.0.12 viridis_0.6.5
[127] reticulate_1.42.0 stringi_1.8.3
[129] zlibbioc_1.48.0 MASS_7.3-60.0.1
[131] plyr_1.8.9 parallel_4.3.3
[133] listenv_0.9.1 ggrepel_0.9.5
[135] deldir_2.0-2 Biostrings_2.70.2
[137] graphlayouts_1.1.0 splines_4.3.3
[139] tensor_1.5 hms_1.1.3
[141] circlize_0.4.15 locfit_1.5-9.8
[143] ps_1.7.6 igraph_2.0.1.1
[145] spatstat.geom_3.2-8 reshape2_1.4.4
[147] evaluate_0.23 renv_1.1.4
[149] BiocManager_1.30.22 tzdb_0.4.0
[151] foreach_1.5.2 tweenr_2.0.3
[153] httpuv_1.6.14 RANN_2.6.1
[155] polyclip_1.10-6 future_1.33.1
[157] clue_0.3-65 scattermore_1.2
[159] ggforce_0.4.2 xtable_1.8-4
[161] later_1.3.2 viridisLite_0.4.2
[163] memoise_2.0.1 beeswarm_0.4.0
[165] cluster_2.1.6 timechange_0.3.0
[167] globals_0.16.2