Last updated: 2024-02-26

Checks: 7 0

Knit directory: paed-inflammation-CITEseq/

This reproducible R Markdown analysis was created with workflowr (version 1.7.1). The Checks tab describes the reproducibility checks that were applied when the results were created. The Past versions tab lists the development history.


Great! Since the R Markdown file has been committed to the Git repository, you know the exact version of the code that produced these results.

Great job! The global environment was empty. Objects defined in the global environment can affect the analysis in your R Markdown file in unknown ways. For reproduciblity it’s best to always run the code in an empty environment.

The command set.seed(20240216) was run prior to running the code in the R Markdown file. Setting a seed ensures that any results that rely on randomness, e.g. subsampling or permutations, are reproducible.

Great job! Recording the operating system, R version, and package versions is critical for reproducibility.

Nice! There were no cached chunks for this analysis, so you can be confident that you successfully produced the results during this run.

Great job! Using relative paths to the files within your workflowr project makes it easier to run your code on other machines.

Great! You are using Git for version control. Tracking code development and connecting the code version to the results is critical for reproducibility.

The results in this page were generated with repository version 025ceae. See the Past versions tab to see a history of the changes made to the R Markdown and HTML files.

Note that you need to be careful to ensure that all relevant files for the analysis have been committed to Git prior to generating the results (you can use wflow_publish or wflow_git_commit). workflowr only checks the R Markdown file, but you know if there are other scripts or data files that it depends on. Below is the status of the Git repository when the results were generated:


Ignored files:
    Ignored:    .Rhistory
    Ignored:    .Rproj.user/

Untracked files:
    Untracked:  .DS_Store
    Untracked:  analysis/02.0_quality_control.Rmd
    Untracked:  analysis/03.0_call_doublets.Rmd
    Untracked:  code/dropletutils.R
    Untracked:  code/utility.R
    Untracked:  data/.DS_Store
    Untracked:  data/C133_Neeland_batch0/
    Untracked:  data/C133_Neeland_batch1/
    Untracked:  data/C133_Neeland_batch2/
    Untracked:  data/C133_Neeland_batch3/
    Untracked:  data/C133_Neeland_batch4/
    Untracked:  data/C133_Neeland_batch5/
    Untracked:  data/C133_Neeland_batch6/
    Untracked:  renv.lock
    Untracked:  renv/

Unstaged changes:
    Modified:   .Rprofile
    Modified:   .gitignore

Note that any generated files, e.g. HTML, png, CSS, etc., are not included in this status report because it is ok for generated content to have uncommitted changes.


These are the previous versions of the repository in which changes were made to the R Markdown (analysis/01.0_preprocess_batch0.Rmd) and HTML (docs/01.0_preprocess_batch0.html) files. If you’ve configured a remote Git repository (see ?wflow_git_remote), click on the hyperlinks in the table below to view the files as they were in that past version.

File Version Author Date Message
Rmd 025ceae Jovana Maksimovic 2024-02-26 wflow_publish(c("analysis/index.Rmd", "analysis/01*"))
html da8df16 Jovana Maksimovic 2024-02-26 Build site.
Rmd 00319de Jovana Maksimovic 2024-02-26 wflow_publish("analysis/01.0_preprocess_batch0.Rmd")

suppressPackageStartupMessages({
    library(here)
    library(BiocStyle)
    library(ggplot2)
    library(cowplot)
    library(patchwork)
    library(tidyverse)
    library(SingleCellExperiment)
    library(DropletUtils)
    library(scater)
})

source(here("code/utility.R"))

Overview

Bronchoalveolar lavage (BAL) samples were collected from 4 individuals: 1 control sample and 3 cystic fibrosis (CF) samples. The samples were run on teh 10X Chromium and sequenced at the Garvan-Weizmann Centre for Cellular Genomics (GWCCG). The multiplexed samples were sequenced on an Illumina NovaSeq 6000 (NovaSeq Control Software v1.3.1 / Real Time Analysis v3.3.3) ) using a NovaSeq S1 200 cycle kit (Illumina, 20012864). The cellranger count pipeline (version 6.0.2) was used for alignment, filtering, barcode counting, and UMI counting from FASTQ files. The GRCh38 reference was used for the alignment. The number of cells from the pipeline was forced to 10,000. View the CellRanger capture-specific web summaries: A, B, C, D.

sample_metadata_df <- read_csv(
  here("data/C133_Neeland_batch0/data/sample_sheets/Sample_information.csv"))

knitr::kable(sample_metadata_df)
Participant Sample Sex Age Disease
A1_Ctrl C M 3.00 Ctrl
B1_CF A M 2.99 CF
C1_CF B M 2.99 CF
D1_CF D M 3.03 CF

Set up the data

sce <- readRDS(here("data", "C133_Neeland_batch0",
                    "data", "SCEs", "C133_Neeland_batch0.CellRanger.SCE.rds"))
sce$Capture <- factor(sce$Sample)
capture_names <- levels(sce$Capture)
capture_names <- setNames(capture_names, capture_names)
sce$Sample <- NULL
sce
class: SingleCellExperiment 
dim: 33538 8853584 
metadata(1): Samples
assays(1): counts
rownames(33538): ENSG00000243485 ENSG00000237613 ... ENSG00000277475
  ENSG00000268674
rowData names(3): ID Symbol Type
colnames(8853584): 1_AAACCCAAGAAACACT-1 1_AAACCCAAGAAACCCG-1 ...
  4_TTTGTTGTCTTTGGAG-1 4_TTTGTTGTCTTTGGCT-1
colData names(2): Barcode Capture
reducedDimNames(0):
mainExpName: Gene Expression
altExpNames(0):

Call cells from empty droplets

par(mfrow = c(2, 2))
lapply(capture_names, function(cn) {
  sce <- sce[, sce$Capture == cn]
  bcrank <- barcodeRanks(counts(sce))
  # Only showing unique points for plotting speed.
  uniq <- !duplicated(bcrank$rank)
  plot(
    x = bcrank$rank[uniq],
    y = bcrank$total[uniq],
    log = "xy",
    xlab = "Rank",
    ylab = "Total UMI count",
    main = cn,
    cex.lab = 1.2,
    xlim = c(1, 500000),
    ylim = c(1, 200000))
  abline(h = metadata(bcrank)$inflection, col = "darkgreen", lty = 2)
  abline(h = metadata(bcrank)$knee, col = "dodgerblue", lty = 2)
})
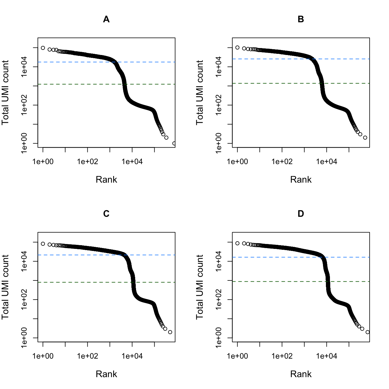
Total UMI count for each barcode in the dataset, plotted against its rank (in decreasing order of total counts). The inferred locations of the inflection (dark green dashed lines) and knee points (blue dashed lines) are also shown.

Total UMI count for each barcode in the dataset, plotted against its rank (in decreasing order of total counts). The inferred locations of the inflection (dark green dashed lines) and knee points (blue dashed lines) are also shown.

Version Author Date
da8df16 Jovana Maksimovic 2024-02-26

Remove empty droplets.

empties <- do.call(rbind, lapply(capture_names, function(cn) {
  message(cn)
  empties <- readRDS(
    here("data",
         "C133_Neeland_batch0",
         "data",
         "emptyDrops", paste0(cn, ".emptyDrops.rds")))
  empties$Capture <- cn
  empties
}))
tapply(
  empties$FDR,
  empties$Capture,
  function(x) sum(x <= 0.001, na.rm = TRUE)) |>
  knitr::kable(
    caption = "Number of non-empty droplets identified using `emptyDrops()` from **DropletUtils**.")
Number of non-empty droplets identified using emptyDrops() from DropletUtils.
x
A 4980
B 6093
C 11197
D 12313
sce <- sce[, which(empties$FDR <= 0.001)]
sce
class: SingleCellExperiment 
dim: 33538 34583 
metadata(1): Samples
assays(1): counts
rownames(33538): ENSG00000243485 ENSG00000237613 ... ENSG00000277475
  ENSG00000268674
rowData names(3): ID Symbol Type
colnames(34583): 1_AAACCCAAGCTAGTTC-1 1_AAACCCACAAGATTGA-1 ...
  4_TTTGTTGTCTAGTACG-1 4_TTTGTTGTCTCGAACA-1
colData names(2): Barcode Capture
reducedDimNames(0):
mainExpName: Gene Expression
altExpNames(0):

Add per cell quality control information

sce <- scuttle::addPerCellQC(sce)
head(colData(sce)) %>%
  data.frame %>%
  knitr::kable()
Barcode Capture sum detected total
1_AAACCCAAGCTAGTTC-1 AAACCCAAGCTAGTTC-1 A 8126 2657 8126
1_AAACCCACAAGATTGA-1 AAACCCACAAGATTGA-1 A 193 157 193
1_AAACCCACAGTCGCTG-1 AAACCCACAGTCGCTG-1 A 22141 4536 22141
1_AAACCCAGTACCTAAC-1 AAACCCAGTACCTAAC-1 A 17230 4084 17230
1_AAACCCATCGATTGGT-1 AAACCCATCGATTGGT-1 A 32312 5092 32312
1_AAACCCATCGTCTCAC-1 AAACCCATCGTCTCAC-1 A 28301 5044 28301

Add gene-based annotation

Having quantified gene expression against the Ensembl gene annotation, we have Ensembl-style identifiers for the genes. These identifiers are used as they are unambiguous and highly stable. However, they are difficult to interpret compared to the gene symbols which are more commonly used in the literature. Given the Ensembl identifiers, we obtain the corresponding gene symbols using annotation packages available through Bioconductor. Henceforth, we will use gene symbols (where available) to refer to genes in our analysis and otherwise use the Ensembl-style gene identifiers1.

sce <- addGeneInformation(sce)
# change rownames to gene symbol for easier plotting downstream
rownames(sce) <- rowData(sce)$Symbol
sce
class: SingleCellExperiment 
dim: 33538 34583 
metadata(1): Samples
assays(1): counts
rownames(33538): MIR1302-2HG FAM138A ... AC213203.1 FAM231C
rowData names(20): ID Symbol ... is_mito is_pseudogene
colnames(34583): 1_AAACCCAAGCTAGTTC-1 1_AAACCCACAAGATTGA-1 ...
  4_TTTGTTGTCTAGTACG-1 4_TTTGTTGTCTCGAACA-1
colData names(5): Barcode Capture sum detected total
reducedDimNames(0):
mainExpName: Gene Expression
altExpNames(0):

Save data

saveRDS(
   sce,
   here("data",
        "C133_Neeland_batch0",
        "data",
        "SCEs",
        "C133_Neeland_batch0.preprocessed.SCE.rds"))

Session info


sessionInfo()
R version 4.3.2 (2023-10-31)
Platform: aarch64-apple-darwin20 (64-bit)
Running under: macOS Sonoma 14.3

Matrix products: default
BLAS:   /Library/Frameworks/R.framework/Versions/4.3-arm64/Resources/lib/libRblas.0.dylib 
LAPACK: /Library/Frameworks/R.framework/Versions/4.3-arm64/Resources/lib/libRlapack.dylib;  LAPACK version 3.11.0

locale:
[1] en_US.UTF-8/en_US.UTF-8/en_US.UTF-8/C/en_US.UTF-8/en_US.UTF-8

time zone: Australia/Melbourne
tzcode source: internal

attached base packages:
[1] stats4    stats     graphics  grDevices datasets  utils     methods  
[8] base     

other attached packages:
 [1] msigdbr_7.5.1                          
 [2] Homo.sapiens_1.3.1                     
 [3] TxDb.Hsapiens.UCSC.hg19.knownGene_3.2.2
 [4] org.Hs.eg.db_3.18.0                    
 [5] GO.db_3.18.0                           
 [6] OrganismDbi_1.44.0                     
 [7] EnsDb.Hsapiens.v86_2.99.0              
 [8] ensembldb_2.26.0                       
 [9] AnnotationFilter_1.26.0                
[10] GenomicFeatures_1.54.3                 
[11] AnnotationDbi_1.64.1                   
[12] scater_1.30.1                          
[13] scuttle_1.12.0                         
[14] DropletUtils_1.22.0                    
[15] SingleCellExperiment_1.24.0            
[16] SummarizedExperiment_1.32.0            
[17] Biobase_2.62.0                         
[18] GenomicRanges_1.54.1                   
[19] GenomeInfoDb_1.38.6                    
[20] IRanges_2.36.0                         
[21] S4Vectors_0.40.2                       
[22] BiocGenerics_0.48.1                    
[23] MatrixGenerics_1.14.0                  
[24] matrixStats_1.2.0                      
[25] lubridate_1.9.3                        
[26] forcats_1.0.0                          
[27] stringr_1.5.1                          
[28] dplyr_1.1.4                            
[29] purrr_1.0.2                            
[30] readr_2.1.5                            
[31] tidyr_1.3.1                            
[32] tibble_3.2.1                           
[33] tidyverse_2.0.0                        
[34] patchwork_1.2.0                        
[35] cowplot_1.1.3                          
[36] ggplot2_3.4.4                          
[37] BiocStyle_2.30.0                       
[38] here_1.0.1                             
[39] workflowr_1.7.1                        

loaded via a namespace (and not attached):
  [1] later_1.3.2               BiocIO_1.12.0            
  [3] bitops_1.0-7              filelock_1.0.3           
  [5] R.oo_1.26.0               graph_1.80.0             
  [7] XML_3.99-0.16.1           lifecycle_1.0.4          
  [9] edgeR_4.0.15              rprojroot_2.0.4          
 [11] processx_3.8.3            lattice_0.22-5           
 [13] vroom_1.6.5               magrittr_2.0.3           
 [15] limma_3.58.1              sass_0.4.8               
 [17] rmarkdown_2.25            jquerylib_0.1.4          
 [19] yaml_2.3.8                httpuv_1.6.14            
 [21] DBI_1.2.1                 abind_1.4-5              
 [23] zlibbioc_1.48.0           R.utils_2.12.3           
 [25] RCurl_1.98-1.14           rappdirs_0.3.3           
 [27] git2r_0.33.0              GenomeInfoDbData_1.2.11  
 [29] ggrepel_0.9.5             irlba_2.3.5.1            
 [31] dqrng_0.3.2               DelayedMatrixStats_1.24.0
 [33] codetools_0.2-19          DelayedArray_0.28.0      
 [35] xml2_1.3.6                tidyselect_1.2.0         
 [37] ScaledMatrix_1.10.0       viridis_0.6.5            
 [39] BiocFileCache_2.10.1      GenomicAlignments_1.38.2 
 [41] jsonlite_1.8.8            BiocNeighbors_1.20.2     
 [43] tools_4.3.2               progress_1.2.3           
 [45] Rcpp_1.0.12               glue_1.7.0               
 [47] gridExtra_2.3             SparseArray_1.2.4        
 [49] xfun_0.42                 HDF5Array_1.30.0         
 [51] withr_3.0.0               BiocManager_1.30.22      
 [53] fastmap_1.1.1             rhdf5filters_1.14.1      
 [55] fansi_1.0.6               callr_3.7.3              
 [57] digest_0.6.34             rsvd_1.0.5               
 [59] timechange_0.3.0          R6_2.5.1                 
 [61] colorspace_2.1-0          biomaRt_2.58.2           
 [63] RSQLite_2.3.5             R.methodsS3_1.8.2        
 [65] utf8_1.2.4                generics_0.1.3           
 [67] renv_1.0.3                rtracklayer_1.62.0       
 [69] prettyunits_1.2.0         httr_1.4.7               
 [71] S4Arrays_1.2.0            whisker_0.4.1            
 [73] pkgconfig_2.0.3           gtable_0.3.4             
 [75] blob_1.2.4                XVector_0.42.0           
 [77] htmltools_0.5.7           RBGL_1.78.0              
 [79] ProtGenerics_1.34.0       scales_1.3.0             
 [81] png_0.1-8                 knitr_1.45               
 [83] rstudioapi_0.15.0         tzdb_0.4.0               
 [85] rjson_0.2.21              curl_5.2.0               
 [87] cachem_1.0.8              rhdf5_2.46.1             
 [89] parallel_4.3.2            vipor_0.4.7              
 [91] restfulr_0.0.15           pillar_1.9.0             
 [93] grid_4.3.2                vctrs_0.6.5              
 [95] promises_1.2.1            BiocSingular_1.18.0      
 [97] dbplyr_2.4.0              beachmat_2.18.1          
 [99] beeswarm_0.4.0            evaluate_0.23            
[101] cli_3.6.2                 locfit_1.5-9.8           
[103] compiler_4.3.2            Rsamtools_2.18.0         
[105] rlang_1.1.3               crayon_1.5.2             
[107] ps_1.7.6                  getPass_0.2-4            
[109] fs_1.6.3                  ggbeeswarm_0.7.2         
[111] stringi_1.8.3             viridisLite_0.4.2        
[113] BiocParallel_1.36.0       babelgene_22.9           
[115] munsell_0.5.0             Biostrings_2.70.2        
[117] lazyeval_0.2.2            Matrix_1.6-5             
[119] hms_1.1.3                 sparseMatrixStats_1.14.0 
[121] bit64_4.0.5               Rhdf5lib_1.24.2          
[123] KEGGREST_1.42.0           statmod_1.5.0            
[125] highr_0.10                memoise_2.0.1            
[127] bslib_0.6.1               bit_4.0.5                

  1. Some care is taken to account for missing and duplicate gene symbols; missing symbols are replaced with the Ensembl identifier and duplicated symbols are concatenated with the (unique) Ensembl identifiers.↩︎