Last updated: 2024-02-26

Checks: 7 0

Knit directory: paed-inflammation-CITEseq/

This reproducible R Markdown analysis was created with workflowr (version 1.7.1). The Checks tab describes the reproducibility checks that were applied when the results were created. The Past versions tab lists the development history.


Great! Since the R Markdown file has been committed to the Git repository, you know the exact version of the code that produced these results.

Great job! The global environment was empty. Objects defined in the global environment can affect the analysis in your R Markdown file in unknown ways. For reproduciblity it’s best to always run the code in an empty environment.

The command set.seed(20240216) was run prior to running the code in the R Markdown file. Setting a seed ensures that any results that rely on randomness, e.g. subsampling or permutations, are reproducible.

Great job! Recording the operating system, R version, and package versions is critical for reproducibility.

Nice! There were no cached chunks for this analysis, so you can be confident that you successfully produced the results during this run.

Great job! Using relative paths to the files within your workflowr project makes it easier to run your code on other machines.

Great! You are using Git for version control. Tracking code development and connecting the code version to the results is critical for reproducibility.

The results in this page were generated with repository version 025ceae. See the Past versions tab to see a history of the changes made to the R Markdown and HTML files.

Note that you need to be careful to ensure that all relevant files for the analysis have been committed to Git prior to generating the results (you can use wflow_publish or wflow_git_commit). workflowr only checks the R Markdown file, but you know if there are other scripts or data files that it depends on. Below is the status of the Git repository when the results were generated:


Ignored files:
    Ignored:    .Rhistory
    Ignored:    .Rproj.user/

Untracked files:
    Untracked:  .DS_Store
    Untracked:  analysis/02.0_quality_control.Rmd
    Untracked:  analysis/03.0_call_doublets.Rmd
    Untracked:  code/dropletutils.R
    Untracked:  code/utility.R
    Untracked:  data/.DS_Store
    Untracked:  data/C133_Neeland_batch0/
    Untracked:  data/C133_Neeland_batch1/
    Untracked:  data/C133_Neeland_batch2/
    Untracked:  data/C133_Neeland_batch3/
    Untracked:  data/C133_Neeland_batch4/
    Untracked:  data/C133_Neeland_batch5/
    Untracked:  data/C133_Neeland_batch6/
    Untracked:  renv.lock
    Untracked:  renv/

Unstaged changes:
    Modified:   .Rprofile
    Modified:   .gitignore

Note that any generated files, e.g. HTML, png, CSS, etc., are not included in this status report because it is ok for generated content to have uncommitted changes.


These are the previous versions of the repository in which changes were made to the R Markdown (analysis/01.5_preprocess_batch5.Rmd) and HTML (docs/01.5_preprocess_batch5.html) files. If you’ve configured a remote Git repository (see ?wflow_git_remote), click on the hyperlinks in the table below to view the files as they were in that past version.

File Version Author Date Message
Rmd 025ceae Jovana Maksimovic 2024-02-26 wflow_publish(c("analysis/index.Rmd", "analysis/01*"))

suppressPackageStartupMessages({
    library(here)
    library(readxl)
    library(BiocStyle)
    library(ggplot2)
    library(cowplot)
    library(patchwork)
    library(demuxmix)
    library(tidyverse)
    library(SingleCellExperiment)
    library(DropletUtils)
    library(scater)
})

Overview

  • There are 8 samples in this batch.
  • Each sample comes from a different donor (i.e. each sample is genetically distinct).
  • Each has a unique HTO label.

We used simple HTO labelling whereby each sample is labelled with 1 HTO, shown in the table below:

sample_metadata_df <- read_excel(
  here("data/C133_Neeland_batch5/data/sample_sheets/CITEseq_48 samples_design_2.xlsx"),
  col_types = 
    c("text", "text", "text", "numeric", "text", "numeric", "text", "date"))
sample_metadata_df$`HASHTAG ID` <- paste0(
  "Human_HTO_",
  sample_metadata_df$`HASHTAG ID`)
knitr::kable(sample_metadata_df[sample_metadata_df$Batch == 5, ])
Donor Sample name Disease Age Sex Batch HASHTAG ID DATE OF CAPTURE
28 28 True control 1.0958904 M 5 Human_HTO_6 2021-09-09
29 29 CSLD 7.4602740 F 5 Human_HTO_7 2021-09-09
30 30 CF 0.9506849 F 5 Human_HTO_9 2021-09-09
31 31 CF 1.4739726 M 5 Human_HTO_10 2021-09-09
32 32 Wheeze 5.9000000 M 5 Human_HTO_12 2021-09-09
33 33 CF 3.9232877 F 5 Human_HTO_13 2021-09-09
34 34 CF 5.2356164 M 5 Human_HTO_14 2021-09-09
35 35 CF 5.9753425 F 5 Human_HTO_15 2021-09-09

Setting up the data

sce <- readRDS(here("data", "C133_Neeland_batch5",
                    "data", "SCEs", "C133_Neeland_batch5.CellRanger.SCE.rds"))
sce$Capture <- factor(sce$Sample)
capture_names <- levels(sce$Capture)
capture_names <- setNames(capture_names, capture_names)
sce$Sample <- NULL
sce
class: SingleCellExperiment 
dim: 36601 6971974 
metadata(1): Samples
assays(1): counts
rownames(36601): ENSG00000243485 ENSG00000237613 ... ENSG00000278817
  ENSG00000277196
rowData names(3): ID Symbol Type
colnames(6971974): 1_AAACCCAAGAAACACT-1 1_AAACCCAAGAAACCAT-1 ...
  2_TTTGTTGTCTTTGCTG-1 2_TTTGTTGTCTTTGTCG-1
colData names(2): Barcode Capture
reducedDimNames(0):
mainExpName: Gene Expression
altExpNames(1): Antibody Capture

Calling cells from empty droplets

par(mfrow = c(1, 2))
lapply(capture_names, function(cn) {
  sce <- sce[, sce$Capture == cn]
  bcrank <- barcodeRanks(counts(sce))
  # Only showing unique points for plotting speed.
  uniq <- !duplicated(bcrank$rank)
  plot(
    x = bcrank$rank[uniq],
    y = bcrank$total[uniq],
    log = "xy",
    xlab = "Rank",
    ylab = "Total UMI count",
    main = cn,
    cex.lab = 1.2,
    xlim = c(1, 500000),
    ylim = c(1, 200000))
  abline(h = metadata(bcrank)$inflection, col = "darkgreen", lty = 2)
  abline(h = metadata(bcrank)$knee, col = "dodgerblue", lty = 2)
})
Total UMI count for each barcode in the dataset, plotted against its rank (in decreasing order of total counts). The inferred locations of the inflection (dark green dashed lines) and knee points (blue dashed lines) are also shown.

Total UMI count for each barcode in the dataset, plotted against its rank (in decreasing order of total counts). The inferred locations of the inflection (dark green dashed lines) and knee points (blue dashed lines) are also shown.

Remove empty droplets.

empties <- do.call(rbind, lapply(capture_names, function(cn) {
  message(cn)
  empties <- readRDS(
    here("data",
         "C133_Neeland_batch5",
         "data",
         "emptyDrops", paste0(cn, ".emptyDrops.rds")))
  empties$Capture <- cn
  empties
}))
tapply(
  empties$FDR,
  empties$Capture,
  function(x) sum(x <= 0.001, na.rm = TRUE)) |>
  knitr::kable(
    caption = "Number of non-empty droplets identified using `emptyDrops()` from **DropletUtils**.")
Number of non-empty droplets identified using emptyDrops() from DropletUtils.
x
C133_batch5_1 24905
C133_batch5_2 25763
sce <- sce[, which(empties$FDR <= 0.001)]
sce
class: SingleCellExperiment 
dim: 36601 50668 
metadata(1): Samples
assays(1): counts
rownames(36601): ENSG00000243485 ENSG00000237613 ... ENSG00000278817
  ENSG00000277196
rowData names(3): ID Symbol Type
colnames(50668): 1_AAACCCAAGAAGATCT-1 1_AAACCCAAGATGCAGC-1 ...
  2_TTTGTTGTCGGATTAC-1 2_TTTGTTGTCTGAGAGG-1
colData names(2): Barcode Capture
reducedDimNames(0):
mainExpName: Gene Expression
altExpNames(1): Antibody Capture

Adding per cell quality control information

sce <- scuttle::addPerCellQC(sce)
head(colData(sce)) %>%
  data.frame %>%
  knitr::kable()
Barcode Capture sum detected altexps_Antibody.Capture_sum altexps_Antibody.Capture_detected altexps_Antibody.Capture_percent total
1_AAACCCAAGAAGATCT-1 AAACCCAAGAAGATCT-1 C133_batch5_1 3556 1822 3027 166 45.98208 6583
1_AAACCCAAGATGCAGC-1 AAACCCAAGATGCAGC-1 C133_batch5_1 1227 719 2296 162 65.17173 3523
1_AAACCCAAGCACTAAA-1 AAACCCAAGCACTAAA-1 C133_batch5_1 11917 3278 4356 166 26.76827 16273
1_AAACCCAAGGAGAGGC-1 AAACCCAAGGAGAGGC-1 C133_batch5_1 5706 2020 3361 167 37.06849 9067
1_AAACCCAAGGATACAT-1 AAACCCAAGGATACAT-1 C133_batch5_1 10001 3478 4361 163 30.36485 14362
1_AAACCCAAGGATACCG-1 AAACCCAAGGATACCG-1 C133_batch5_1 9187 2850 3285 165 26.33900 12472

Demultiplexing with hashtag oligos (HTOs)

is_adt <- grepl("^A[0-9]+", rownames(altExp(sce, "Antibody Capture")))
is_hto <- grepl("^Human_HTO", rownames(altExp(sce, "Antibody Capture")))
altExp(sce, "HTO") <- altExp(sce, "Antibody Capture")[is_hto, ]
altExp(sce, "ADT") <- altExp(sce, "Antibody Capture")[is_adt, ]
altExp(sce, "Antibody Capture") <- NULL
hto_counts <- counts(altExp(sce, "HTO"))
xmax <- ceiling(max(log2(hto_counts + 1)))

C133_batch5_1

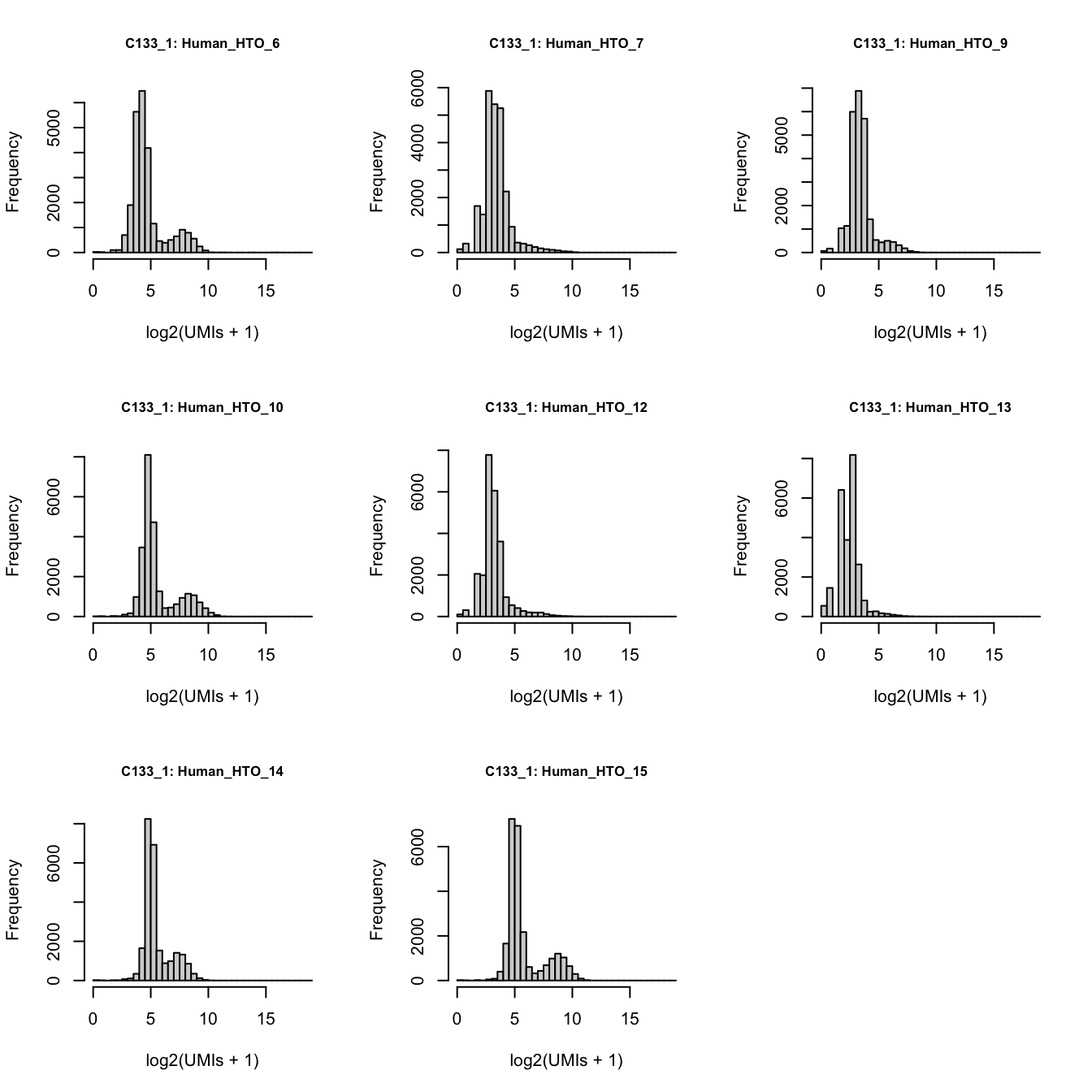
par(mfrow = c(3, 3))
lapply(rownames(hto_counts), function(i) {
  hist(
    log2(hto_counts[i, sce$Capture == "C133_batch5_1"] + 1),
    xlab = "log2(UMIs + 1)", 
    main = paste0("C133_1: ", i), 
    xlim = c(0, xmax), 
    breaks = seq(0, xmax, 0.5),
    cex.main = 0.8)
})
Number of UMIs for each HTO across all non-empty droplets.

Number of UMIs for each HTO across all non-empty droplets.

Prepare the data.

hto <- as.matrix(counts(altExp(sce[, sce$Capture == "C133_batch5_1"], "HTO")))
detected <- sce$detected[sce$Capture == "C133_batch5_1"]

df <- data.frame(t(hto), 
                 detected = detected, 
                 hto = colSums(hto))

df %>% 
  pivot_longer(cols = starts_with("Human_HTO")) %>%
  mutate(logged = log(value + 1)) %>%
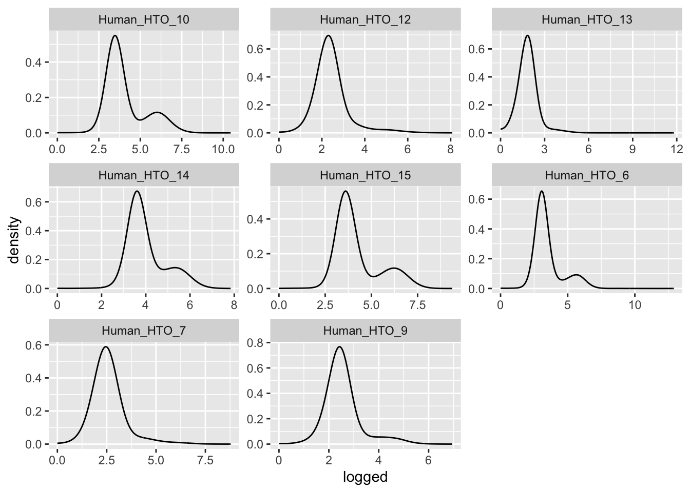
  ggplot(aes(x = logged)) +
  geom_density(adjust = 5) +
  facet_wrap(~name, scales = "free")

df %>% 
  pivot_longer(cols = starts_with("Human_HTO")) %>%
  ggplot(aes(x = detected, y = hto)) +
  geom_density_2d() +
  facet_wrap(~name) 

Run demultiplexing.

dmm <- demuxmix(hto = hto, 
                rna = detected,
                model = "naive")
summary(dmm)
          Class NumObs    RelFreq   MedProb    ExpFPs       FDR
1  Human_HTO_10   3520 0.14500515 0.8792272  553.3198 0.1571931
2  Human_HTO_12   1147 0.04725026 0.9004420  170.2223 0.1484065
3  Human_HTO_13    508 0.02092688 0.8842605   79.3876 0.1562748
4  Human_HTO_14   3660 0.15077240 0.8997272  513.5337 0.1403098
5  Human_HTO_15   3381 0.13927909 0.8789055  520.9637 0.1540857
6   Human_HTO_6   2354 0.09697219 0.8758755  372.6597 0.1583091
7   Human_HTO_7    871 0.03588054 0.9006736  128.6942 0.1477545
8   Human_HTO_9   1167 0.04807415 0.8807931  187.2453 0.1604502
9       singlet  16608 0.68416066 0.8842431 2526.0263 0.1520970
10    multiplet   5595 0.23048404 0.8404114 1188.3842 0.2124011
11     negative   2072 0.08535530 0.7930126  512.4674 0.2473298
12    uncertain    630         NA        NA        NA        NA

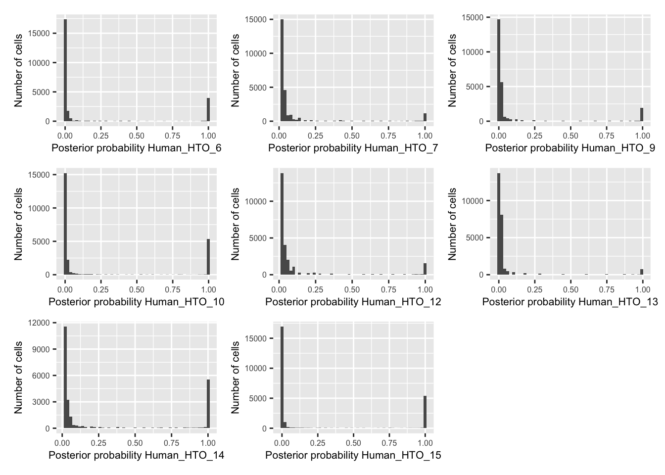
Examine results.

p <- vector("list", nrow(hto))
for(i in 1:nrow(hto)){
  p[[i]] <- plotDmmHistogram(dmm, hto = i) + 
    coord_cartesian(ylim = c(0, 0.001),
                    xlim = c(-50, 1000)) +
    theme(axis.title = element_text(size = 8),
          axis.text = element_text(size = 6))
}

wrap_plots(p , ncol = 3) 

p <- vector("list", nrow(hto))
for(i in 1:nrow(hto)){
  p[[i]] <- plotDmmPosteriorP(dmm, hto = i) + 
    theme(axis.title = element_text(size = 8),
          axis.text = element_text(size = 6))
}

wrap_plots(p , ncol = 3) 

pAcpt(dmm) <- 0
classes1 <- dmmClassify(dmm)
classes1$dmmHTO <- ifelse(classes1$Type == "multiplet", "Doublet",
                           ifelse(classes1$Type %in% c("negative", "uncertain"), 
                                  "Negative", classes1$HTO))
table(classes1$dmmHTO)

     Doublet Human_HTO_10 Human_HTO_12 Human_HTO_13 Human_HTO_14 Human_HTO_15 
        6034         3544         1156          512         3679         3395 
 Human_HTO_6  Human_HTO_7  Human_HTO_9     Negative 
        2376          883         1173         2153 

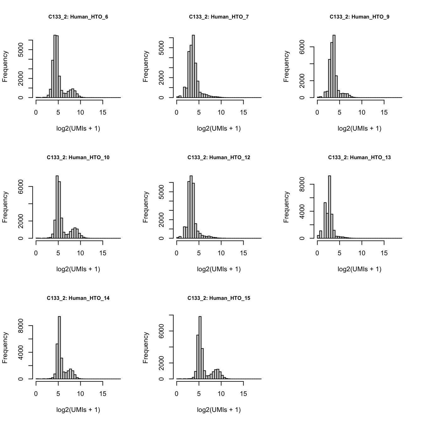
C133_batch5_2

par(mfrow = c(3, 3))
lapply(rownames(hto_counts), function(i) {
  hist(
    log2(hto_counts[i, sce$Capture == "C133_batch5_2"] + 1),
    xlab = "log2(UMIs + 1)", 
    main = paste0("C133_2: ", i), 
    xlim = c(0, xmax), 
    breaks = seq(0, xmax, 0.5),
    cex.main = 0.8)
})
Number of UMIs for each HTO across all non-empty droplets.

Number of UMIs for each HTO across all non-empty droplets.

Prepare the data.

hto <- as.matrix(counts(altExp(sce[, sce$Capture == "C133_batch5_2"], "HTO")))
detected <- sce$detected[sce$Capture == "C133_batch5_2"]

df <- data.frame(t(hto), 
                 detected = detected, 
                 hto = colSums(hto))

df %>% 
  pivot_longer(cols = starts_with("Human_HTO")) %>%
  mutate(logged = log(value + 1)) %>%
  ggplot(aes(x = logged)) +
  geom_density(adjust = 5) +
  facet_wrap(~name, scales = "free")

df %>% 
  pivot_longer(cols = starts_with("Human_HTO")) %>%
  ggplot(aes(x = detected, y = hto)) +
  geom_density_2d() +
  facet_wrap(~name) 

Run demultiplexing.

dmm <- demuxmix(hto = hto, 
                rna = detected,
                model = "naive")
summary(dmm)
          Class NumObs    RelFreq   MedProb     ExpFPs       FDR
1  Human_HTO_10   3404 0.13705359 0.8676921  576.92511 0.1694845
2  Human_HTO_12   1204 0.04847606 0.8939240  187.78576 0.1559682
3  Human_HTO_13    560 0.02254701 0.8789921   89.94687 0.1606194
4  Human_HTO_14   3666 0.14760237 0.8875104  553.63686 0.1510193
5  Human_HTO_15   3412 0.13737569 0.8672174  560.23655 0.1641959
6   Human_HTO_6   2306 0.09284535 0.8670192  388.23607 0.1683591
7   Human_HTO_7    859 0.03458550 0.8968726  123.42747 0.1436874
8   Human_HTO_9   1153 0.04642268 0.8747345  189.02508 0.1639420
9       singlet  16564 0.66690824 0.8745076 2669.21977 0.1611458
10    multiplet   5991 0.24121271 0.8216820 1368.36594 0.2284036
11     negative   2282 0.09187905 0.7818686  586.50753 0.2570147
12    uncertain    926         NA        NA         NA        NA

Examine results.

p <- vector("list", nrow(hto))
for(i in 1:nrow(hto)){
  p[[i]] <- plotDmmHistogram(dmm, hto = i) + 
    coord_cartesian(ylim = c(0, 0.001),
                    xlim = c(-50, 1000)) +
    theme(axis.title = element_text(size = 8),
          axis.text = element_text(size = 6))
}

wrap_plots(p , ncol = 3) 

p <- vector("list", nrow(hto))
for(i in 1:nrow(hto)){
  p[[i]] <- plotDmmPosteriorP(dmm, hto = i) + 
    theme(axis.title = element_text(size = 8),
          axis.text = element_text(size = 6))
}

wrap_plots(p , ncol = 3) 

pAcpt(dmm) <- 0
classes2 <- dmmClassify(dmm)
classes2$dmmHTO <- ifelse(classes2$Type == "multiplet", "Doublet",
                           ifelse(classes2$Type %in% c("negative", "uncertain"), 
                                  "Negative", classes2$HTO))
table(classes2$dmmHTO)

     Doublet Human_HTO_10 Human_HTO_12 Human_HTO_13 Human_HTO_14 Human_HTO_15 
        6590         3442         1211          562         3713         3436 
 Human_HTO_6  Human_HTO_7  Human_HTO_9     Negative 
        2338          864         1162         2445 

Save HTO assignments

classes <- rbind(classes1, classes2)
all(rownames(classes) == colnames(sce))
[1] TRUE
sce$dmmHTO <- factor(classes$dmmHTO, 
                     levels = c(sort(unique(grep("Human",
                                               classes$dmmHTO,
                                               value = TRUE))), 
                                "Doublet",
                                "Negative"))

Demultiplexing cells without genotype reference

Matching donors across captures

library(vcfR)
f <- sapply(capture_names, function(cn) {
  here("data",
       "C133_Neeland_batch5",
       "data",
       "vireo", cn, "GT_donors.vireo.vcf.gz")
})
x <- lapply(f, read.vcfR, verbose = FALSE)
# Create unique ID for each locus in each capture.
y <- lapply(x, function(xx) {
  paste(
  xx@fix[,"CHROM"],
  xx@fix[,"POS"],
  xx@fix[,"REF"],
  xx@fix[,"ALT"],
  sep = "_")
})
# Only keep the loci in common between the 2 captures.
i <- lapply(y, function(yy) {
  na.omit(match(Reduce(intersect, y), yy))
})
# Construct genotype matrix at common loci from the 2 captures.
donor_names <- paste0("donor", 0:7)
g <- mapply(
  function(xx, ii) {
    apply(
      xx@gt[ii, donor_names],
      2,
      function(x) sapply(strsplit(x, ":"), `[[`, 1))
  },
  xx = x,
  ii = i,
  SIMPLIFY = FALSE)
# Count number of genotype matches between pairs of donors (one from each 
# capture) and convert to a proportion.
z <- lapply(2:length(capture_names), function(k) {
  zz <- matrix(
    NA_real_,
    nrow = length(donor_names),
    ncol = length(donor_names),
    dimnames = list(donor_names, donor_names))
  for (ii in rownames(zz)) {
    for (jj in colnames(zz)) {
      zz[ii, jj] <- sum(g[[1]][, ii] == g[[k]][, jj]) / nrow(g[[1]])
    }
  }
  zz
})
heatmaps <- lapply(seq_along(z), function(k) {
pheatmap::pheatmap(
  z[[k]],
  color = viridisLite::inferno(101),
  cluster_rows = FALSE,
  cluster_cols = FALSE,
  main = "Proportion of matching genotypes",
  display_numbers = TRUE,
  number_color = "grey50",
  labels_row = paste0("C133_batch5_1: ", rownames(z[[k]])),
  labels_col = paste0("C133_batch5_", k + 1, ": ", colnames(z[[k]])),
  silent = TRUE,
  fontsize = 10)
})

gridExtra::grid.arrange(grobs = lapply(heatmaps, `[[`, "gtable"), ncol = 1)
Proportion of matching genotypes between pairs of captures.

Proportion of matching genotypes between pairs of captures.

The table below gives the best matches between the captures.

best_match_df <- data.frame(
  c(
    list(rownames(z[[1]])),
    lapply(seq_along(z), function(k) {
      apply(
        z[[k]], 
        1,
        function(x) colnames(z[[k]])[which.max(x)])
    })),
  row.names = NULL)
colnames(best_match_df) <- capture_names
best_match_df$GeneticDonor <- LETTERS[seq_along(donor_names)]
best_match_df <- dplyr::select(best_match_df, GeneticDonor, everything())

knitr::kable(
  best_match_df, 
  caption = "Best match of donors between the scRNA-seq captures.")
Best match of donors between the scRNA-seq captures.
GeneticDonor C133_batch5_1 C133_batch5_2
A donor0 donor3
B donor1 donor0
C donor2 donor4
D donor3 donor7
E donor4 donor1
F donor5 donor2
G donor6 donor5
H donor7 donor6

Assigning barcodes to donors

vireo_df <- do.call(
  rbind,
  c(
    lapply(capture_names, function(cn) {
      # Read data
      vireo_df <- read.table(
        here("data",
             "C133_Neeland_batch5",
             "data",
             "vireo", cn, "donor_ids.tsv"),
        header = TRUE)
      
      # Replace `donor[0-9]+` with `donor_[A-Z]` using `best_match_df`.
      best_match <- setNames(
        c(best_match_df[["GeneticDonor"]], "Doublet", "Unknown"),
        c(best_match_df[[cn]], "doublet", "unassigned"))
      vireo_df$GeneticDonor <- factor(
        best_match[vireo_df$donor_id],
        levels = c(best_match_df[["GeneticDonor"]], "Doublet", "Unknown"))
      vireo_df$donor_id <- NULL
      vireo_df$best_singlet <- best_match[vireo_df$best_singlet]
      vireo_df$best_doublet <- sapply(
        strsplit(vireo_df$best_doublet, ","),
        function(x) {
          paste0(best_match[x[[1]]], ",", best_match[x[[2]]])
        })
      
      # Add additional useful metadata
      vireo_df$Confident <- factor(
        vireo_df$GeneticDonor == vireo_df$best_singlet,
        levels = c(TRUE, FALSE))
      vireo_df$Capture <- cn
      
      # Reorder so matches SCE.
      captureNumber <- sub("C133_batch5_", "", cn)
      vireo_df$colname <- paste0(captureNumber, "_", vireo_df$cell)
      j <- match(colnames(sce)[sce$Capture == cn], vireo_df$colname)
      stopifnot(!anyNA(j))
      vireo_df <- vireo_df[j, ]
      vireo_df
    }),
    list(make.row.names = FALSE)))

Vireo summary

We add the parsed outputs of vireo to the colData of the SingleCellExperiment object so that we can incorporate it into downstream analyses.

stopifnot(identical(colnames(sce), vireo_df$colname))
sce$GeneticDonor <- vireo_df$GeneticDonor
# NOTE: We exclude redundant columns.
sce$vireo <- DataFrame(
  vireo_df[, setdiff(
    colnames(vireo_df), 
    c("cell", "colname", "Capture", "GeneticDonor"))])
tmp_df <- data.frame(
    best_singlet = sce$vireo$best_singlet, 
    Confident = sce$vireo$Confident,
    Capture = sce$Capture)
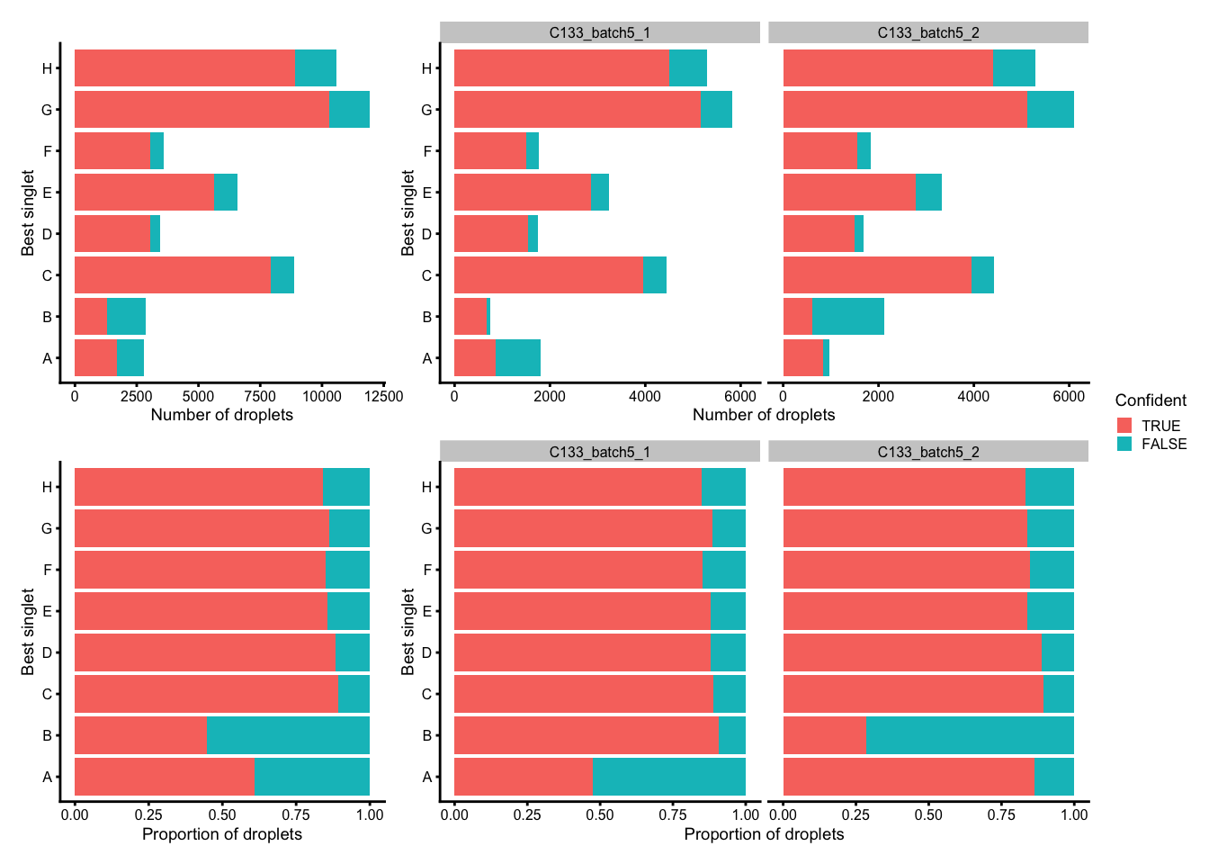
p1 <- ggplot(tmp_df) + 
  geom_bar(
    aes(x = best_singlet, fill = Confident), 
    position = position_stack(reverse = TRUE)) + 
  coord_flip() +
  ylab("Number of droplets") +
  xlab("Best singlet") +
  theme_cowplot(font_size = 7)
p2 <- ggplot(tmp_df) + 
  geom_bar(
    aes(x = best_singlet, fill = Confident), 
    position = position_fill(reverse = TRUE)) + 
  coord_flip() +
  ylab("Proportion of droplets") +
  xlab("Best singlet") +
  theme_cowplot(font_size = 7)

(p1 + p1 + facet_grid(~Capture) + plot_layout(widths = c(1, 2))) / 
  (p2 + p2 + facet_grid(~Capture) + plot_layout(widths = c(1, 2))) +
  plot_layout(guides = "collect")
Number (top) and proportion (bottom) of droplets assigned to each donor based on genetics (best singlet), and if these were confidently or not confidently assigned, overall (left) and within each capture (right).

Number (top) and proportion (bottom) of droplets assigned to each donor based on genetics (best singlet), and if these were confidently or not confidently assigned, overall (left) and within each capture (right).

p3 <- ggplot(
  data.frame(
    GeneticDonor = sce$GeneticDonor, 
    Confident = sce$vireo$Confident,
    Capture = sce$Capture)) + 
  geom_bar(
    aes(x = GeneticDonor, fill = Confident), 
    position = position_stack(reverse = TRUE)) + 
  coord_flip() +
  ylab("Number of droplets") +
  xlab("Final donor assignment") +
  theme_cowplot(font_size = 7)

(p3 + p3 + facet_grid(~Capture) + plot_layout(widths = c(1, 2))) +
  plot_layout(guides = "collect")
Number and proportion of droplets assigned to each donor based on genetics (final assignment), and if these were confidently or not confidently assigned, overall (left) and within each capture (right).

Number and proportion of droplets assigned to each donor based on genetics (final assignment), and if these were confidently or not confidently assigned, overall (left) and within each capture (right).

Overall summary

p <- scater::plotColData(
  sce,
  "dmmHTO", 
  "GeneticDonor", 
  colour_by = "GeneticDonor", 
  other_fields = "Capture") +
  scale_x_discrete(guide = guide_axis(n.dodge = 2)) +
  guides(colour = "none")
p / (p + facet_grid(~Capture))
Number of droplets assigned to each `dmmHTO`/`GeneticDonor` combination, overall (top) and within each capture (bottom)

Number of droplets assigned to each dmmHTO/GeneticDonor combination, overall (top) and within each capture (bottom)

janitor::tabyl(
  as.data.frame(colData(sce)[, c("dmmHTO", "GeneticDonor")]),
  dmmHTO,
  GeneticDonor) |>
  janitor::adorn_title(placement = "combined") |>
  janitor::adorn_totals("both") |>
  knitr::kable(
    caption = "Number of droplets assigned to each `dmmHTO`/`GeneticDonor` combination.")
Number of droplets assigned to each dmmHTO/GeneticDonor combination.
dmmHTO/GeneticDonor A B C D E F G H Doublet Unknown Total
Human_HTO_10 1 6 0 4 4 6 18 6760 120 67 6986
Human_HTO_12 1 0 0 2053 4 6 14 5 62 222 2367
Human_HTO_13 0 869 1 4 2 2 4 4 45 143 1074
Human_HTO_14 2 2 0 9 2 7 7197 6 85 82 7392
Human_HTO_15 1 8 6466 17 1 10 25 3 167 133 6831
Human_HTO_6 3 2 2 11 4473 13 24 10 84 92 4714
Human_HTO_7 1356 6 2 5 2 7 13 1 62 293 1747
Human_HTO_9 0 2 2 6 2 2246 18 2 37 20 2335
Doublet 216 159 1328 415 928 493 1813 1787 5238 247 12624
Negative 120 229 119 508 219 275 1151 324 563 1090 4598
Total 1700 1283 7920 3032 5637 3065 10277 8902 6463 2389 50668

Save data

saveRDS(
   sce,
   here("data",
        "C133_Neeland_batch5",
        "data",
        "SCEs",
        "C133_Neeland_batch5.preprocessed.SCE.rds"))

Session info


sessionInfo()
R version 4.3.2 (2023-10-31)
Platform: aarch64-apple-darwin20 (64-bit)
Running under: macOS Sonoma 14.3

Matrix products: default
BLAS:   /Library/Frameworks/R.framework/Versions/4.3-arm64/Resources/lib/libRblas.0.dylib 
LAPACK: /Library/Frameworks/R.framework/Versions/4.3-arm64/Resources/lib/libRlapack.dylib;  LAPACK version 3.11.0

locale:
[1] en_US.UTF-8/en_US.UTF-8/en_US.UTF-8/C/en_US.UTF-8/en_US.UTF-8

time zone: Australia/Melbourne
tzcode source: internal

attached base packages:
[1] stats4    stats     graphics  grDevices datasets  utils     methods  
[8] base     

other attached packages:
 [1] vcfR_1.15.0                 scater_1.30.1              
 [3] scuttle_1.12.0              DropletUtils_1.22.0        
 [5] SingleCellExperiment_1.24.0 SummarizedExperiment_1.32.0
 [7] Biobase_2.62.0              GenomicRanges_1.54.1       
 [9] GenomeInfoDb_1.38.6         IRanges_2.36.0             
[11] S4Vectors_0.40.2            BiocGenerics_0.48.1        
[13] MatrixGenerics_1.14.0       matrixStats_1.2.0          
[15] lubridate_1.9.3             forcats_1.0.0              
[17] stringr_1.5.1               dplyr_1.1.4                
[19] purrr_1.0.2                 readr_2.1.5                
[21] tidyr_1.3.1                 tibble_3.2.1               
[23] tidyverse_2.0.0             demuxmix_1.4.0             
[25] patchwork_1.2.0             cowplot_1.1.3              
[27] ggplot2_3.4.4               BiocStyle_2.30.0           
[29] readxl_1.4.3                here_1.0.1                 
[31] workflowr_1.7.1            

loaded via a namespace (and not attached):
  [1] RColorBrewer_1.1-3        rstudioapi_0.15.0        
  [3] jsonlite_1.8.8            magrittr_2.0.3           
  [5] ggbeeswarm_0.7.2          farver_2.1.1             
  [7] rmarkdown_2.25            fs_1.6.3                 
  [9] zlibbioc_1.48.0           vctrs_0.6.5              
 [11] DelayedMatrixStats_1.24.0 RCurl_1.98-1.14          
 [13] janitor_2.2.0             htmltools_0.5.7          
 [15] S4Arrays_1.2.0            BiocNeighbors_1.20.2     
 [17] cellranger_1.1.0          Rhdf5lib_1.24.2          
 [19] SparseArray_1.2.4         rhdf5_2.46.1             
 [21] sass_0.4.8                bslib_0.6.1              
 [23] cachem_1.0.8              whisker_0.4.1            
 [25] lifecycle_1.0.4           pkgconfig_2.0.3          
 [27] rsvd_1.0.5                Matrix_1.6-5             
 [29] R6_2.5.1                  fastmap_1.1.1            
 [31] snakecase_0.11.1          GenomeInfoDbData_1.2.11  
 [33] digest_0.6.34             colorspace_2.1-0         
 [35] ps_1.7.6                  rprojroot_2.0.4          
 [37] dqrng_0.3.2               irlba_2.3.5.1            
 [39] vegan_2.6-4               beachmat_2.18.1          
 [41] labeling_0.4.3            fansi_1.0.6              
 [43] timechange_0.3.0          mgcv_1.9-1               
 [45] httr_1.4.7                abind_1.4-5              
 [47] compiler_4.3.2            withr_3.0.0              
 [49] BiocParallel_1.36.0       viridis_0.6.5            
 [51] highr_0.10                HDF5Array_1.30.0         
 [53] R.utils_2.12.3            MASS_7.3-60.0.1          
 [55] DelayedArray_0.28.0       permute_0.9-7            
 [57] tools_4.3.2               vipor_0.4.7              
 [59] ape_5.7-1                 beeswarm_0.4.0           
 [61] httpuv_1.6.14             R.oo_1.26.0              
 [63] glue_1.7.0                callr_3.7.3              
 [65] nlme_3.1-164              rhdf5filters_1.14.1      
 [67] promises_1.2.1            grid_4.3.2               
 [69] getPass_0.2-4             cluster_2.1.6            
 [71] memuse_4.2-3              generics_0.1.3           
 [73] isoband_0.2.7             gtable_0.3.4             
 [75] tzdb_0.4.0                R.methodsS3_1.8.2        
 [77] pinfsc50_1.3.0            hms_1.1.3                
 [79] BiocSingular_1.18.0       ScaledMatrix_1.10.0      
 [81] utf8_1.2.4                XVector_0.42.0           
 [83] ggrepel_0.9.5             pillar_1.9.0             
 [85] limma_3.58.1              later_1.3.2              
 [87] splines_4.3.2             lattice_0.22-5           
 [89] renv_1.0.3                tidyselect_1.2.0         
 [91] locfit_1.5-9.8            knitr_1.45               
 [93] git2r_0.33.0              gridExtra_2.3            
 [95] edgeR_4.0.15              xfun_0.42                
 [97] statmod_1.5.0             pheatmap_1.0.12          
 [99] stringi_1.8.3             yaml_2.3.8               
[101] evaluate_0.23             codetools_0.2-19         
[103] BiocManager_1.30.22       cli_3.6.2                
[105] munsell_0.5.0             processx_3.8.3           
[107] jquerylib_0.1.4           Rcpp_1.0.12              
[109] parallel_4.3.2            sparseMatrixStats_1.14.0 
[111] bitops_1.0-7              viridisLite_0.4.2        
[113] scales_1.3.0              crayon_1.5.2             
[115] rlang_1.1.3