Last updated: 2024-12-31

Checks: 7 0

Knit directory: paed-inflammation-CITEseq/

This reproducible R Markdown analysis was created with workflowr (version 1.7.1). The Checks tab describes the reproducibility checks that were applied when the results were created. The Past versions tab lists the development history.


Great! Since the R Markdown file has been committed to the Git repository, you know the exact version of the code that produced these results.

Great job! The global environment was empty. Objects defined in the global environment can affect the analysis in your R Markdown file in unknown ways. For reproduciblity it’s best to always run the code in an empty environment.

The command set.seed(20240216) was run prior to running the code in the R Markdown file. Setting a seed ensures that any results that rely on randomness, e.g. subsampling or permutations, are reproducible.

Great job! Recording the operating system, R version, and package versions is critical for reproducibility.

Nice! There were no cached chunks for this analysis, so you can be confident that you successfully produced the results during this run.

Great job! Using relative paths to the files within your workflowr project makes it easier to run your code on other machines.

Great! You are using Git for version control. Tracking code development and connecting the code version to the results is critical for reproducibility.

The results in this page were generated with repository version 010673b. See the Past versions tab to see a history of the changes made to the R Markdown and HTML files.

Note that you need to be careful to ensure that all relevant files for the analysis have been committed to Git prior to generating the results (you can use wflow_publish or wflow_git_commit). workflowr only checks the R Markdown file, but you know if there are other scripts or data files that it depends on. Below is the status of the Git repository when the results were generated:


Ignored files:
    Ignored:    .Rhistory
    Ignored:    .Rproj.user/
    Ignored:    analysis/obsolete/
    Ignored:    data/C133_Neeland_batch1/
    Ignored:    data/C133_Neeland_merged/
    Ignored:    output/dge_analysis/obsolete/
    Ignored:    renv/library/
    Ignored:    renv/staging/

Untracked files:
    Untracked:  analysis/14.0_DGE_analysis_T-cells.Rmd
    Untracked:  analysis/17.0_Figure_3.Rmd
    Untracked:  analysis/17.0_Figure_4.Rmd
    Untracked:  analysis/17.0_Figure_5.Rmd
    Untracked:  broad_markers_seurat.csv
    Untracked:  code/background_job.R
    Untracked:  code/reverse_modifier_severity_comparisons.sh
    Untracked:  data/intermediate_objects/CD4 T cells.CF_samples.fit.rds
    Untracked:  data/intermediate_objects/CD4 T cells.all_samples.fit.rds
    Untracked:  data/intermediate_objects/CD8 T cells.CF_samples.fit.rds
    Untracked:  data/intermediate_objects/CD8 T cells.all_samples.fit.rds
    Untracked:  data/intermediate_objects/DC cells.CF_samples.fit.rds
    Untracked:  data/intermediate_objects/DC cells.all_samples.fit.rds
    Untracked:  data/intermediate_objects/T cells.CF_samples.fit.rds
    Untracked:  data/intermediate_objects/T cells.all_samples.fit.rds
    Untracked:  output/dge_analysis/T cells/

Unstaged changes:
    Modified:   .gitignore
    Modified:   analysis/06.0_azimuth_annotation.Rmd
    Modified:   analysis/09.0_integrate_cluster_macro_cells.Rmd
    Modified:   analysis/13.1_DGE_analysis_macro-alveolar.Rmd
    Deleted:    analysis/14.0_proportions_analysis_ann_level_1.Rmd
    Deleted:    analysis/14.1_proportions_analysis_ann_level_3_non-macrophages.Rmd
    Deleted:    analysis/14.2_proportions_analysis_ann_level_3_macrophages.Rmd
    Modified:   analysis/15.0_Figure_1.Rmd
    Modified:   analysis/16.0_Figure_2.Rmd
    Modified:   analysis/17.0_Supplementary_Figure_ADTs.Rmd
    Modified:   code/utility.R
    Modified:   data/cluster_annotations/marker_proteins_TNK_supp.xlsx
    Modified:   data/cluster_annotations/marker_proteins_macrophages_supp.xlsx
    Modified:   data/cluster_annotations/marker_proteins_other_supp.xlsx
    Modified:   data/cluster_annotations/seurat_markers_all_cells.rds
    Modified:   data/intermediate_objects/macro-alveolar.CF_samples.fit.rds
    Modified:   data/intermediate_objects/macro-alveolar.all_samples.fit.rds
    Modified:   output/dge_analysis/macro-alveolar/ORA.FIBROSIS.CF.IVAvCF.NO_MOD.csv
    Modified:   output/dge_analysis/macro-alveolar/ORA.FIBROSIS.CF.IVAvNON_CF.CTRL.csv
    Modified:   output/dge_analysis/macro-alveolar/ORA.FIBROSIS.CF.NO_MOD.SvCF.NO_MOD.M.csv
    Modified:   output/dge_analysis/macro-alveolar/ORA.FIBROSIS.CF.NO_MODvNON_CF.CTRL.csv
    Modified:   output/dge_analysis/macro-alveolar/ORA.GO.CF.IVAvCF.NO_MOD.csv
    Modified:   output/dge_analysis/macro-alveolar/ORA.GO.CF.IVAvNON_CF.CTRL.csv
    Modified:   output/dge_analysis/macro-alveolar/ORA.GO.CF.NO_MOD.SvCF.NO_MOD.M.csv
    Modified:   output/dge_analysis/macro-alveolar/ORA.GO.CF.NO_MODvNON_CF.CTRL.csv
    Modified:   output/dge_analysis/macro-alveolar/ORA.HALLMARK.CF.IVAvCF.NO_MOD.csv
    Modified:   output/dge_analysis/macro-alveolar/ORA.HALLMARK.CF.IVAvNON_CF.CTRL.csv
    Modified:   output/dge_analysis/macro-alveolar/ORA.HALLMARK.CF.NO_MOD.SvCF.NO_MOD.M.csv
    Modified:   output/dge_analysis/macro-alveolar/ORA.HALLMARK.CF.NO_MODvNON_CF.CTRL.csv
    Modified:   output/dge_analysis/macro-alveolar/ORA.REACTOME.CF.IVAvCF.NO_MOD.csv
    Modified:   output/dge_analysis/macro-alveolar/ORA.REACTOME.CF.IVAvNON_CF.CTRL.csv
    Modified:   output/dge_analysis/macro-alveolar/ORA.REACTOME.CF.NO_MOD.SvCF.NO_MOD.M.csv
    Modified:   output/dge_analysis/macro-alveolar/ORA.REACTOME.CF.NO_MODvNON_CF.CTRL.csv
    Modified:   output/dge_analysis/macro-alveolar/ORA.WP.CF.IVAvCF.NO_MOD.csv
    Modified:   output/dge_analysis/macro-alveolar/ORA.WP.CF.IVAvNON_CF.CTRL.csv
    Modified:   output/dge_analysis/macro-alveolar/ORA.WP.CF.NO_MOD.SvCF.NO_MOD.M.csv
    Modified:   output/dge_analysis/macro-alveolar/ORA.WP.CF.NO_MODvNON_CF.CTRL.csv

Note that any generated files, e.g. HTML, png, CSS, etc., are not included in this status report because it is ok for generated content to have uncommitted changes.


These are the previous versions of the repository in which changes were made to the R Markdown (analysis/15.2_proportions_analysis_ann_level_3_macrophages.Rmd) and HTML (docs/15.2_proportions_analysis_ann_level_3_macrophages.html) files. If you’ve configured a remote Git repository (see ?wflow_git_remote), click on the hyperlinks in the table below to view the files as they were in that past version.

File Version Author Date Message
Rmd 010673b Jovana Maksimovic 2024-12-31 wflow_publish("analysis/15.2_proportions_analysis_ann_level_3_macrophages.Rmd")

Load libraries

suppressPackageStartupMessages({
  library(SingleCellExperiment)
  library(edgeR)
  library(tidyverse)
  library(ggplot2)
  library(Seurat)
  library(glmGamPoi)
  library(dittoSeq)
  library(clustree)
  library(AnnotationDbi)
  library(org.Hs.eg.db)
  library(glue)
  library(speckle)
  library(patchwork)
  library(paletteer)
  library(tidyHeatmap)
  library(here)
})

set.seed(42)
options(scipen=999)
options(future.globals.maxSize = 6500 * 1024^2)

Load Data

file <- here("data",
            "C133_Neeland_merged",
            glue("C133_Neeland_full_clean_macrophages_annotated_diet.SEU.rds"))

seu <- readRDS(file)
seu
An object of class Seurat 
21568 features across 165209 samples within 1 assay 
Active assay: RNA (21568 features, 0 variable features)
             used   (Mb) gc trigger    (Mb)   max used   (Mb)
Ncells   12017388  641.8   19484418  1040.6   13737458  733.7
Vcells 1236493467 9433.7 1762452996 13446.5 1236885756 9436.7

Analyse Cell type proportions

# Differences in cell type proportions
props <- getTransformedProps(clusters = seu$ann_level_3,
                             sample = seu$sample.id, transform="asin")
props$Proportions %>% knitr::kable()
sample_1.1 sample_15.1 sample_16.1 sample_17.1 sample_18.1 sample_19.1 sample_2.1 sample_20.1 sample_21.1 sample_22.1 sample_23.1 sample_24.1 sample_25.1 sample_26.1 sample_27.1 sample_28.1 sample_29.1 sample_3.1 sample_30.1 sample_31.1 sample_32.1 sample_33.1 sample_34.1 sample_34.2 sample_34.3 sample_35.1 sample_35.2 sample_36.1 sample_36.2 sample_37.1 sample_37.2 sample_37.3 sample_38.1 sample_38.2 sample_38.3 sample_39.1 sample_39.2 sample_4.1 sample_40.1 sample_41.1 sample_42.1 sample_43.1 sample_5.1 sample_6.1 sample_7.1
macro-alveolar 0.4750594 0.3657272 0.2234348 0.2772310 0.3252813 0.5249291 0.2832045 0.2779856 0.3101203 0.2744355 0.0458716 0.3651142 0.2920383 0.4566441 0.3492996 0.3700948 0.2007401 0.3678344 0.0897690 0.1948441 0.3414193 0.1957774 0.1299001 0.2399031 0.2225579 0.4291600 0.3967425 0.5215483 0.3704100 0.2633531 0.4786416 0.3373068 0.4354883 0.3365323 0.3201247 0.2666667 0.2914300 0.0884395 0.3238696 0.3059867 0.3034502 0.2702652 0.4068059 0.2751848 0.3496872
macro-APOC2+ 0.0109264 0.0651118 0.1585296 0.1371391 0.0198544 0.1236319 0.0955727 0.1273043 0.0854212 0.0868313 0.0000000 0.0002580 0.1261976 0.0467342 0.0329869 0.1250182 0.0888067 0.1756142 0.0429043 0.1804556 0.1162201 0.1199616 0.1345119 0.2617124 0.2832326 0.0205997 0.0200459 0.0670391 0.0745098 0.0318991 0.0685604 0.0463576 0.1048143 0.1081254 0.1050757 0.0848200 0.0903459 0.0362209 0.0835962 0.0082357 0.0108078 0.0045455 0.1941222 0.0767440 0.0922360
macro-CCL 0.0361045 0.0285066 0.0134980 0.0469160 0.0488087 0.0137819 0.0597330 0.0212396 0.0658907 0.0289438 0.0550459 0.0273513 0.0181698 0.0230856 0.0162675 0.0207148 0.1091582 0.0639217 0.1141914 0.0449640 0.0380159 0.0527831 0.0860876 0.0129241 0.0312185 0.0183108 0.0478179 0.0179569 0.0278075 0.1331602 0.0388723 0.1249448 0.0093535 0.0287908 0.0258237 0.0860720 0.0753743 0.4633263 0.0988433 0.2169781 0.0267424 0.1350379 0.0201083 0.0344234 0.0344658
macro-CCL18 0.1453682 0.0664075 0.0709362 0.0318241 0.1358372 0.0506688 0.0548138 0.1180871 0.0307753 0.0162146 0.0091743 0.0704425 0.0716881 0.0185811 0.0329869 0.0229030 0.0471785 0.0363967 0.1881188 0.0281775 0.1028240 0.0556622 0.1614143 0.1090468 0.0757805 0.0444038 0.0281896 0.0458899 0.1547237 0.1283383 0.1114908 0.1086093 0.0503439 0.0153551 0.0347284 0.0694836 0.0433660 0.0167522 0.0525762 0.1042129 0.0529306 0.0543561 0.0487239 0.0798826 0.0497976
macro-IFI27 0.0370546 0.1127308 0.1748995 0.1466535 0.0415288 0.0664775 0.0660576 0.1297088 0.1110673 0.0971359 0.0000000 0.1559799 0.0835811 0.1216216 0.2227745 0.0850474 0.0638298 0.1037307 0.0554455 0.1366906 0.0615496 0.0556622 0.0253651 0.0678514 0.0518630 0.1210803 0.1229902 0.0243416 0.0377897 0.0541543 0.0337463 0.0189845 0.1155433 0.1666667 0.0756901 0.0475743 0.1040268 0.0937217 0.0541535 0.0538486 0.1806845 0.2045455 0.0193349 0.1701934 0.2012756
macro-IFI27+APOC2+ 0.0009501 0.0119857 0.0953475 0.0626640 0.0043018 0.0218889 0.0281096 0.0454181 0.0327481 0.0259130 0.0000000 0.0003870 0.0419557 0.0118243 0.0140081 0.0288840 0.0379278 0.0586897 0.0455446 0.0977218 0.0177408 0.0374280 0.0299769 0.0379645 0.0362538 0.0059510 0.0060555 0.0027933 0.0057041 0.0126113 0.0044853 0.0035320 0.0231087 0.0489443 0.0276046 0.0169014 0.0294269 0.0437670 0.0089380 0.0003168 0.0018013 0.0022727 0.0108275 0.0459654 0.0482031
macro-IFI27+CCL18+ 0.0114014 0.0077745 0.0376221 0.0104987 0.0095963 0.0020268 0.0063247 0.0253807 0.0023673 0.0010608 0.0000000 0.0145788 0.0095804 0.0011261 0.0112969 0.0029176 0.0037003 0.0050045 0.1425743 0.0065947 0.0126720 0.0076775 0.0215219 0.0105008 0.0060423 0.0080110 0.0043850 0.0019952 0.0092692 0.0181751 0.0057668 0.0039735 0.0137552 0.0047985 0.0035619 0.0059468 0.0121322 0.0086025 0.0026288 0.0142540 0.0213385 0.0227273 0.0015468 0.0346259 0.0202379
macro-IFN 0.0114014 0.0145773 0.0134980 0.0065617 0.0090999 0.0060803 0.0063247 0.0040075 0.0130203 0.0122746 0.0000000 0.0167720 0.0105715 0.0191441 0.0108450 0.0086069 0.0129510 0.0113740 0.0099010 0.0239808 0.0170167 0.0038388 0.0146042 0.0121163 0.0123364 0.0144198 0.0110670 0.0063847 0.0049911 0.0096439 0.0102520 0.0154525 0.0178817 0.0339091 0.0258237 0.0172144 0.0172948 0.0033203 0.0157729 0.0326259 0.0230012 0.0195076 0.0038670 0.0054672 0.0042929
macro-IGF1 0.0047506 0.0874636 0.0290063 0.0272310 0.0799140 0.0141873 0.0238932 0.0545017 0.0420201 0.1160782 0.0000000 0.0458005 0.0697060 0.0996622 0.0488025 0.0414296 0.0277521 0.0195632 0.0085809 0.0629496 0.0467053 0.0095969 0.0084550 0.0306947 0.0760322 0.0771344 0.1160994 0.0327215 0.0185383 0.0103858 0.0226399 0.0088300 0.0486933 0.0665387 0.0814782 0.0278560 0.0281363 0.0090552 0.1035752 0.0402281 0.1292781 0.0797348 0.0232019 0.0173129 0.0099350
macro-interstitial 0.0118765 0.0330418 0.0031591 0.0249344 0.0072799 0.0077017 0.0182713 0.0044082 0.0339317 0.0045461 0.7706422 0.0130306 0.0082590 0.0242117 0.0162675 0.0051058 0.1110083 0.0045496 0.0217822 0.0191847 0.0021723 0.1986564 0.1813989 0.0767367 0.0324773 0.0082399 0.0077260 0.0554669 0.0313725 0.0459941 0.0175139 0.1094923 0.0027510 0.0063980 0.0160285 0.0691706 0.0627259 0.0107154 0.0315457 0.0310421 0.0052653 0.0068182 0.0092807 0.0045560 0.0034343
macro-lipid 0.0418052 0.0382248 0.0163699 0.0423228 0.1767042 0.0194568 0.1742797 0.0081485 0.0658907 0.1786634 0.0091743 0.0708296 0.0723489 0.0506757 0.0750113 0.0762947 0.1119334 0.0113740 0.0118812 0.0263789 0.0557567 0.0527831 0.0322829 0.0185784 0.0317221 0.0391394 0.1016914 0.0311253 0.0245989 0.1275964 0.0258437 0.1125828 0.0211829 0.0409469 0.0943900 0.1276995 0.0862158 0.0123755 0.0289169 0.0627178 0.0780103 0.0257576 0.0177881 0.0750228 0.0073593
macro-lipid-APOC2+ 0.0004751 0.0058309 0.0097645 0.0252625 0.0105890 0.0052696 0.0393535 0.0050761 0.0213060 0.0371268 0.0000000 0.0001290 0.0363396 0.0033784 0.0031631 0.0268417 0.0518039 0.0054595 0.0079208 0.0221823 0.0202752 0.0374280 0.0837817 0.0193861 0.0324773 0.0020600 0.0045939 0.0043895 0.0046346 0.0252226 0.0057668 0.0229581 0.0038514 0.0057582 0.0213713 0.0519562 0.0309757 0.0123755 0.0094637 0.0031676 0.0013856 0.0003788 0.0100541 0.0231852 0.0023304
macro-monocyte-derived 0.1292162 0.0631681 0.0789776 0.0492126 0.0342488 0.0328334 0.0288124 0.0435480 0.0952851 0.0403091 0.1100917 0.1385628 0.0630988 0.0534910 0.0402169 0.1296864 0.0832562 0.0618744 0.2158416 0.0557554 0.0774801 0.1007678 0.0284397 0.0387722 0.0347432 0.1215381 0.0703696 0.0913807 0.1433155 0.0778932 0.0931226 0.0569536 0.0679505 0.0697377 0.0828139 0.0666667 0.0562726 0.1696348 0.1493165 0.0424454 0.0644312 0.0825758 0.1337974 0.0725929 0.0983687
macro-MT 0.0190024 0.0168448 0.0103389 0.0252625 0.0190271 0.0372923 0.0421644 0.0617152 0.0341290 0.0315199 0.0000000 0.0130306 0.0247770 0.0185811 0.0533213 0.0138585 0.0083256 0.0191083 0.0105611 0.0263789 0.0231716 0.0239923 0.0138355 0.0040388 0.0239174 0.0189975 0.0187931 0.0319234 0.0281640 0.0181751 0.0237078 0.0123620 0.0181568 0.0127959 0.0133571 0.0178404 0.0260712 0.0075460 0.0215563 0.0202724 0.0597201 0.0361742 0.0409899 0.0188316 0.0134920
macro-proliferating-G2M 0.0109264 0.0181406 0.0068926 0.0219816 0.0198544 0.0226996 0.0168658 0.0189687 0.0126258 0.0081831 0.0000000 0.0247710 0.0181698 0.0112613 0.0293719 0.0103574 0.0101758 0.0150136 0.0112211 0.0191847 0.0184649 0.0239923 0.0184473 0.0153473 0.0156093 0.0274662 0.0127375 0.0207502 0.0210339 0.0129822 0.0196497 0.0048565 0.0242091 0.0153551 0.0227070 0.0115806 0.0105834 0.0049804 0.0057834 0.0177384 0.0076209 0.0140152 0.0193349 0.0139719 0.0116522
macro-proliferating-S 0.0304038 0.0398445 0.0272832 0.0465879 0.0309398 0.0356709 0.0323261 0.0292546 0.0232788 0.0174269 0.0000000 0.0220617 0.0393129 0.0236486 0.0253050 0.0128373 0.0185014 0.0227480 0.0165017 0.0383693 0.0293266 0.0143954 0.0284397 0.0371567 0.0284491 0.0357061 0.0223429 0.0331205 0.0338681 0.0211424 0.0288338 0.0057395 0.0360385 0.0271913 0.0365093 0.0203443 0.0209086 0.0090552 0.0063091 0.0389610 0.0250797 0.0295455 0.0185615 0.0263238 0.0268613
macro-T 0.0232779 0.0246194 0.0304423 0.0177165 0.0271343 0.0154033 0.0238932 0.0252471 0.0201223 0.0233369 0.0000000 0.0209005 0.0142055 0.0163288 0.0180750 0.0194019 0.0129510 0.0177434 0.0072607 0.0161871 0.0191890 0.0095969 0.0015373 0.0072698 0.0052870 0.0077821 0.0083525 0.0111732 0.0092692 0.0092730 0.0111064 0.0070640 0.0068776 0.0121561 0.0129118 0.0122066 0.0147135 0.0101117 0.0031546 0.0069686 0.0084523 0.0117424 0.0216551 0.0257163 0.0263707

Cell type proportions by sample

Create sample meta data table.

seu@meta.data %>%
  dplyr::select(sample.id,
                Participant,
                Disease,
                Treatment,
                Severity,
                Group,
                Group_severity,
                Batch, 
                Age, 
                Sex) %>%
     left_join(props$Counts %>% 
                 data.frame %>%
                 group_by(sample) %>%
                 summarise(ncells = sum(Freq)),
               by = c("sample.id" = "sample")) %>%
    distinct() -> info

head(info) %>% knitr::kable()
sample.id Participant Disease Treatment Severity Group Group_severity Batch Age Sex ncells
sample_40.1 sample_40 CF untreated severe CF.NO_MOD CF.NO_MOD.S 0 2.990000 M 1902
sample_41.1 sample_41 CF untreated mild CF.NO_MOD CF.NO_MOD.M 0 2.990000 M 3157
sample_43.1 sample_43 Healthy Healthy healthy NON_CF.CTRL NON_CF.CTRL 0 3.000000 M 5280
sample_42.1 sample_42 CF treated (ivacaftor) severe CF.IVA CF.IVA.S 0 3.030000 M 7217
sample_31.1 sample_31 CF untreated mild CF.NO_MOD CF.NO_MOD.M 1 5.890411 F 1668
sample_25.1 sample_25 CF untreated severe CF.NO_MOD CF.NO_MOD.S 1 4.910000 F 3027
props$Proportions %>%
  data.frame %>%
  left_join(info, 
             by = c("sample" = "sample.id")) %>%
ggplot(aes(x = sample, y = Freq, fill = clusters)) +
  geom_bar(stat = "identity", color = "black", size = 0.1) +
  theme(axis.text.x = element_text(angle = 90,
                                   vjust = 0.5,
                                   hjust = 1),
        legend.text = element_text(size = 8),
        legend.position = "bottom") +
  labs(y = "Proportion", fill = "Cell Label") +
  scale_fill_paletteer_d("Polychrome::glasbey", direction = -1) +
  facet_grid(~Group, scales = "free_x", space = "free_x")

No. cells per sample

info %>%
ggplot(aes(x = sample.id, y = ncells, fill = Disease)) +
  geom_bar(stat = "identity") +
  theme(axis.text.x = element_text(angle = 90,
                                   vjust = 0.5,
                                   hjust = 1),
        legend.text = element_text(size = 8),
        legend.position = "bottom") +
  labs(y = "No. cells", fill = "Disease") +
  facet_grid(~Group, scales = "free_x", space = "free_x") +
  geom_hline(yintercept = 100, linetype = "dashed")

Cell proportions by cell type

props$Proportions %>%
  data.frame %>%
  left_join(info, 
             by = c("sample" = "sample.id")) %>%
ggplot(aes(x = clusters, y = Freq, fill = clusters)) +
  geom_boxplot(outlier.size = 0.1, size = 0.25) +
  theme(axis.text.x = element_text(angle = 45,
                                   vjust = 1,
                                   hjust = 1),
        legend.text = element_text(size = 8)) +
  labs(y = "Proportion") +
  scale_fill_paletteer_d("Polychrome::glasbey", direction = -1) +
  NoLegend()

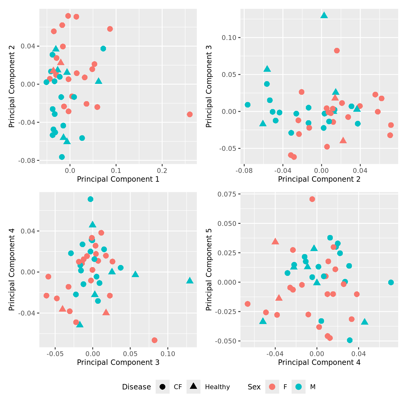
Explore sources of variation

Cell count data

Look at the sources of variation in the raw cell count level data.

dims <- list(c(1,2), c(2:3), c(3,4), c(4,5))
p <- vector("list", length(dims))

for(i in 1:length(dims)){
  mds <- plotMDS(props$Counts,
    gene.selection = "common",
    plot = FALSE, dim.plot = dims[[i]])
  
  data.frame(x = mds$x, 
             y = mds$y,
             sample = rownames(mds$distance.matrix.squared)) %>%
    left_join(info, 
             by = c("sample" = "sample.id")) %>%
    distinct() -> dat
  
  p[[i]] <- ggplot(dat, aes(x = x, y = y, 
                            shape = as.factor(Disease),
                            color = as.factor(Batch))) +
    geom_point(size = 3) +
    labs(x = glue("Principal Component {dims[[i]][1]}"),
         y = glue("Principal Component {dims[[i]][2]}"),
         colour = "Batch",
         shape = "Disease") +
    theme(legend.direction = "horizontal",
          legend.text = element_text(size = 8),
          legend.title = element_text(size = 9),
          axis.text = element_text(size = 8),
          axis.title = element_text(size = 9)) 
}

wrap_plots(p, cols = 2) + plot_layout(guides = "collect") &
  theme(legend.position = "bottom") 

dims <- list(c(1,2), c(2:3), c(3,4), c(4,5))
p <- vector("list", length(dims))

for(i in 1:length(dims)){
  mds <- plotMDS(props$Counts, 
                 gene.selection = "common",
                 plot = FALSE, dim.plot = dims[[i]])
  
  data.frame(x = mds$x, 
             y = mds$y,
             sample = rownames(mds$distance.matrix.squared)) %>%
    left_join(info, 
             by = c("sample" = "sample.id")) %>%
    distinct() -> dat
  
  p[[i]] <- ggplot(dat, aes(x = x, y = y, 
                            colour = log2(ncells)))+
    geom_text(aes(label = str_remove_all(sample, "sample_")), size = 2.5) +
    labs(x = glue("Principal Component {dims[[i]][1]}"),
         y = glue("Principal Component {dims[[i]][2]}"),
         colour = "Log2 No. Cells") +
    theme(legend.direction = "horizontal",
          legend.text = element_text(size = 8),
          legend.title = element_text(size = 9),
          axis.text = element_text(size = 8),
          axis.title = element_text(size = 9)) +
    scale_colour_viridis_c(option = "magma")
}

wrap_plots(p, cols = 2) + plot_layout(guides = "collect") &
  theme(legend.position = "bottom") 

Cell proportion data

Look at the sources of variation in the cell proportions data.

dims <- list(c(1,2), c(2:3), c(3,4), c(4,5))
p <- vector("list", length(dims))

for(i in 1:length(dims)){
  mds <- plotMDS(props$TransformedProps,
    gene.selection = "common",
    plot = FALSE, dim.plot = dims[[i]])
  
  data.frame(x = mds$x, 
             y = mds$y,
             sample = rownames(mds$distance.matrix.squared)) %>%
    left_join(info, 
             by = c("sample" = "sample.id")) %>%
    distinct() -> dat
  
  p[[i]] <- ggplot(dat, aes(x = x, y = y, 
                            shape = as.factor(Disease),
                            color = as.factor(Batch)))+
    geom_point(size = 3) +
    labs(x = glue("Principal Component {dims[[i]][1]}"),
         y = glue("Principal Component {dims[[i]][2]}"),
         colour = "Batch",
         shape = "Disease") +
    theme(legend.direction = "horizontal",
          legend.text = element_text(size = 8),
          legend.title = element_text(size = 9),
          axis.text = element_text(size = 8),
          axis.title = element_text(size = 9))
}

wrap_plots(p, cols = 2) + plot_layout(guides = "collect") &
  theme(legend.position = "bottom") 

dims <- list(c(1,2), c(2:3), c(3,4), c(4,5))
p <- vector("list", length(dims))

for(i in 1:length(dims)){
  mds <- plotMDS(props$TransformedProps,
    gene.selection = "common",
    plot = FALSE, dim.plot = dims[[i]])
  
  data.frame(x = mds$x, 
             y = mds$y,
             sample = rownames(mds$distance.matrix.squared)) %>%
    left_join(info, 
             by = c("sample" = "sample.id")) %>%
    distinct() -> dat
  
  p[[i]] <- ggplot(dat, aes(x = x, y = y, 
                            shape = as.factor(Disease),
                            color = Sex))+
    geom_point(size = 3) +
    labs(x = glue("Principal Component {dims[[i]][1]}"),
         y = glue("Principal Component {dims[[i]][2]}"),
         colour = "Sex",
         shape = "Disease") +
    theme(legend.direction = "horizontal",
          legend.text = element_text(size = 8),
          legend.title = element_text(size = 9),
          axis.text = element_text(size = 8),
          axis.title = element_text(size = 9))
}

wrap_plots(p, cols = 2) + plot_layout(guides = "collect") &
  theme(legend.position = "bottom") 

dims <- list(c(1,2), c(2:3), c(3,4), c(4,5))
p <- vector("list", length(dims))

for(i in 1:length(dims)){
  mds <- plotMDS(props$TransformedProps, 
                 gene.selection = "common",
                 plot = FALSE, dim.plot = dims[[i]])
  
   data.frame(x = mds$x, 
             y = mds$y,
             sample = rownames(mds$distance.matrix.squared)) %>%
    left_join(info, 
             by = c("sample" = "sample.id")) %>%
    distinct() -> dat
  
  p[[i]] <- ggplot(dat, aes(x = x, y = y, 
                            colour = log2(Age)))+
    geom_text(aes(label = str_remove_all(sample, "sample_")), size = 2.5) +
    labs(x = glue("Principal Component {dims[[i]][1]}"),
         y = glue("Principal Component {dims[[i]][2]}"),
         colour = "Log2 Age") +
    theme(legend.direction = "horizontal",
          legend.text = element_text(size = 8),
          legend.title = element_text(size = 9),
          axis.text = element_text(size = 8),
          axis.title = element_text(size = 9)) +
    scale_colour_viridis_c(option = "magma")
}

wrap_plots(p, cols = 2) + plot_layout(guides = "collect") &
  theme(legend.position = "bottom") 

dims <- list(c(1,2), c(2:3), c(3,4), c(4,5))
p <- vector("list", length(dims))

for(i in 1:length(dims)){
  mds <- plotMDS(props$TransformedProps, 
                 gene.selection = "common",
                 plot = FALSE, dim.plot = dims[[i]])
  
  data.frame(x = mds$x, 
             y = mds$y,
             sample = rownames(mds$distance.matrix.squared)) %>%
    left_join(info, 
             by = c("sample" = "sample.id")) %>%
    distinct() -> dat
  
  p[[i]] <- ggplot(dat, aes(x = x, y = y, 
                            colour = log2(ncells)))+
    geom_text(aes(label = str_remove_all(sample, "sample_")), size = 2.5) +
    labs(x = glue("Principal Component {dims[[i]][1]}"),
         y = glue("Principal Component {dims[[i]][2]}"),
         colour = "Log2 No. Cells") +
    theme(legend.direction = "horizontal",
          legend.text = element_text(size = 8),
          legend.title = element_text(size = 9),
          axis.text = element_text(size = 8),
          axis.title = element_text(size = 9)) +
    scale_colour_viridis_c(option = "magma")
}

wrap_plots(p, cols = 2) + plot_layout(guides = "collect") &
  theme(legend.position = "bottom") 

Principal components versus traits

Principal components analysis (PCA) allows us to mathematically determine the sources of variation in the data. We can then investigate whether these correlate with any of the specifed covariates. First, we calculate the principal components. The scree plot belows shows us that most of the variation in this data is captured by the top 7 principal components.

# remove outlying sample
info <- info[info$sample.id != "sample_23.1",]
props$TransformedProps <- props$TransformedProps[, colnames(props$TransformedProps) != "sample_23.1"]

PCs <- prcomp(t(props$TransformedProps), center = TRUE, 
              scale = TRUE, retx = TRUE)
loadings = PCs$x # pc loadings
plot(PCs, type="lines") # scree plot

Collect all of the known sample traits.

nGenes = nrow(props$TransformedProps)
nSamples = ncol(props$TransformedProps)

m <- match(colnames(props$TransformedProps), info$sample.id)
info <- info[m,]

datTraits <- info %>% dplyr::select(Participant, Batch, Disease, Treatment,
                                    Group, Severity, Age, Sex, ncells) %>%
  mutate(Age = log2(Age),
         ncells = log2(ncells),
    Donor = factor(Participant),
         Batch = factor(Batch),
         Disease = factor(Disease, 
                          labels = 1:length(unique(Disease))),
         Group = factor(Group, 
                        labels = 1:length(unique(Group))),
         Treatment = factor(Treatment, 
                            labels = 1:length(unique(Treatment))),
         Sex = factor(Sex, labels = length(unique(Sex))),
         Severity = factor(Severity, labels = length(unique(Severity)))) %>%
  mutate(across(everything(), as.numeric)) %>%
  dplyr::select(-Participant)

datTraits %>% 
  knitr::kable()
Batch Disease Treatment Group Severity Age Sex ncells Donor
27 4 2 1 4 1 -0.2590872 2 11.03960 1
23 4 1 4 3 2 -0.0939001 2 11.59199 2
22 4 1 4 3 2 -0.1151479 1 11.76570 3
28 5 1 4 3 2 -0.0441471 1 11.57365 4
30 5 1 4 3 2 0.1428834 2 12.56129 5
35 6 1 4 3 2 -0.0729608 1 11.26854 6
26 4 2 1 4 1 0.1464588 2 10.47472 7
36 6 1 4 3 3 0.5597097 2 12.86998 8
24 4 1 4 3 3 1.5743836 1 12.30749 9
20 4 1 2 1 2 1.5993830 2 12.68803 10
33 6 1 2 1 2 2.3883594 2 12.92017 11
6 2 1 4 3 3 2.2957230 1 11.56367 12
12 2 1 4 3 2 2.3360877 2 10.79442 13
8 2 1 2 1 2 2.2980155 2 11.11179 14
32 6 1 4 3 2 2.5790214 1 12.74294 15
11 2 1 4 3 3 2.5823250 1 10.07815 16
34 6 2 1 4 1 0.1321035 2 12.10198 17
9 2 1 4 3 3 2.5889097 1 10.56510 18
5 2 1 4 3 2 2.5583683 1 10.70390 19
7 2 1 4 3 2 2.5670653 1 11.43150 20
10 2 1 2 1 3 2.5730557 2 10.02514 21
41 7 1 4 3 2 -0.9343238 1 10.34541 22
40 7 1 4 3 2 0.0918737 1 10.27380 22
45 7 1 4 3 2 1.0409164 1 11.95565 22
42 7 1 4 3 2 0.0807044 2 12.09309 23
39 7 1 4 3 2 0.9940589 2 12.22551 23
43 7 1 4 3 3 -0.0564254 1 11.29117 24
44 7 1 3 2 3 1.1764977 1 11.45379 24
16 3 1 4 3 2 1.5597097 1 11.39660 25
18 3 1 3 2 2 2.1930156 1 12.19291 25
13 3 1 3 2 2 2.2980155 1 11.14530 25
15 3 1 2 1 2 1.5703964 2 11.82774 26
17 3 1 2 1 2 2.0206033 2 11.61010 26
14 3 1 2 1 2 2.3485584 2 11.13314 26
31 5 1 4 3 2 1.9730702 1 11.64160 27
29 5 1 3 2 2 2.6297159 1 11.91961 27
38 7 2 1 4 1 0.2923784 2 12.69392 28
1 1 1 4 3 3 1.5801455 2 10.89330 29
2 1 1 4 3 2 1.5801455 2 11.62434 30
4 1 1 2 1 3 1.5993178 2 12.81718 31
3 1 2 1 4 1 1.5849625 2 12.36632 32
19 3 2 1 4 1 3.0699187 1 10.33651 33
21 4 2 1 4 1 2.4204621 2 13.26986 34
25 4 2 1 4 1 2.2356012 1 12.99312 35

Correlate known sample traits with the top 10 principal components. This can help us determine which traits are potentially contributing to the main sources of variation in the data and should thus be included in our statistical analysis.

moduleTraitCor <- suppressWarnings(cor(loadings[, 1:10], datTraits, use = "p"))
moduleTraitPvalue <- WGCNA::corPvalueStudent(moduleTraitCor, (nSamples - 2))

textMatrix <- paste(signif(moduleTraitCor, 2), "\n(", 
                    signif(moduleTraitPvalue, 1), ")", sep = "")
dim(textMatrix) <- dim(moduleTraitCor)

## Display the correlation values within a heatmap plot
par(cex=0.75, mar = c(6, 8.5, 3, 3))
WGCNA::labeledHeatmap(Matrix = t(moduleTraitCor),
                      xLabels = colnames(loadings)[1:10],
                      yLabels = names(datTraits),
                      colorLabels = FALSE,
                      colors = WGCNA::blueWhiteRed(6),
                      textMatrix = t(textMatrix),
                      setStdMargins = FALSE,
                      cex.text = 1,
                      zlim = c(-1,1),
                      main = paste("PCA-trait relationships: Top 10 PCs"))

Statistical analysis using propeller and limma

Create the design matrix.

group <- factor(info$Group_severity)
participant <- factor(info$Participant)
age <- log2(info$Age)
batch <- factor(info$Batch)
sex <- factor(info$Sex)

design <- model.matrix(~ 0 + group + batch + age + sex)
colnames(design)[1:7] <- levels(group) 
design
   CF.IVA.M CF.IVA.S CF.LUMA_IVA.M CF.LUMA_IVA.S CF.NO_MOD.M CF.NO_MOD.S
1         0        0             0             0           0           0
2         0        0             0             0           1           0
3         0        0             0             0           1           0
4         0        0             0             0           1           0
5         0        0             0             0           1           0
6         0        0             0             0           1           0
7         0        0             0             0           0           0
8         0        0             0             0           0           1
9         0        0             0             0           0           1
10        1        0             0             0           0           0
11        1        0             0             0           0           0
12        0        0             0             0           0           1
13        0        0             0             0           1           0
14        1        0             0             0           0           0
15        0        0             0             0           1           0
16        0        0             0             0           0           1
17        0        0             0             0           0           0
18        0        0             0             0           0           1
19        0        0             0             0           1           0
20        0        0             0             0           1           0
21        0        1             0             0           0           0
22        0        0             0             0           1           0
23        0        0             0             0           1           0
24        0        0             0             0           1           0
25        0        0             0             0           1           0
26        0        0             0             0           1           0
27        0        0             0             0           0           1
28        0        0             0             1           0           0
29        0        0             0             0           1           0
30        0        0             1             0           0           0
31        0        0             1             0           0           0
32        1        0             0             0           0           0
33        1        0             0             0           0           0
34        1        0             0             0           0           0
35        0        0             0             0           1           0
36        0        0             1             0           0           0
37        0        0             0             0           0           0
38        0        0             0             0           0           1
39        0        0             0             0           1           0
40        0        1             0             0           0           0
41        0        0             0             0           0           0
42        0        0             0             0           0           0
43        0        0             0             0           0           0
44        0        0             0             0           0           0
   NON_CF.CTRL batch1 batch2 batch3 batch4 batch5 batch6         age sexM
1            1      0      0      1      0      0      0 -0.25908722    1
2            0      0      0      1      0      0      0 -0.09390014    1
3            0      0      0      1      0      0      0 -0.11514787    0
4            0      0      0      0      1      0      0 -0.04414710    0
5            0      0      0      0      1      0      0  0.14288337    1
6            0      0      0      0      0      1      0 -0.07296080    0
7            1      0      0      1      0      0      0  0.14645883    1
8            0      0      0      0      0      1      0  0.55970971    1
9            0      0      0      1      0      0      0  1.57438357    0
10           0      0      0      1      0      0      0  1.59938302    1
11           0      0      0      0      0      1      0  2.38835941    1
12           0      1      0      0      0      0      0  2.29572302    0
13           0      1      0      0      0      0      0  2.33608770    1
14           0      1      0      0      0      0      0  2.29801547    1
15           0      0      0      0      0      1      0  2.57902140    0
16           0      1      0      0      0      0      0  2.58232503    0
17           1      0      0      0      0      1      0  0.13210354    1
18           0      1      0      0      0      0      0  2.58890969    0
19           0      1      0      0      0      0      0  2.55836829    0
20           0      1      0      0      0      0      0  2.56706530    0
21           0      1      0      0      0      0      0  2.57305573    1
22           0      0      0      0      0      0      1 -0.93432383    0
23           0      0      0      0      0      0      1  0.09187369    0
24           0      0      0      0      0      0      1  1.04091644    0
25           0      0      0      0      0      0      1  0.08070438    1
26           0      0      0      0      0      0      1  0.99405890    1
27           0      0      0      0      0      0      1 -0.05642543    0
28           0      0      0      0      0      0      1  1.17649766    0
29           0      0      1      0      0      0      0  1.55970971    0
30           0      0      1      0      0      0      0  2.19301559    0
31           0      0      1      0      0      0      0  2.29801547    0
32           0      0      1      0      0      0      0  1.57039639    1
33           0      0      1      0      0      0      0  2.02060327    1
34           0      0      1      0      0      0      0  2.34855840    1
35           0      0      0      0      1      0      0  1.97307024    0
36           0      0      0      0      1      0      0  2.62971590    0
37           1      0      0      0      0      0      1  0.29237837    1
38           0      0      0      0      0      0      0  1.58014548    1
39           0      0      0      0      0      0      0  1.58014548    1
40           0      0      0      0      0      0      0  1.59931779    1
41           1      0      0      0      0      0      0  1.58496250    1
42           1      0      1      0      0      0      0  3.06991870    0
43           1      0      0      1      0      0      0  2.42046210    1
44           1      0      0      1      0      0      0  2.23560118    0
attr(,"assign")
 [1] 1 1 1 1 1 1 1 2 2 2 2 2 2 3 4
attr(,"contrasts")
attr(,"contrasts")$group
[1] "contr.treatment"

attr(,"contrasts")$batch
[1] "contr.treatment"

attr(,"contrasts")$sex
[1] "contr.treatment"

Create the contrast matrix.

contr <- makeContrasts(CF.NO_MODvNON_CF.CTRL = 0.5*(CF.NO_MOD.M + CF.NO_MOD.S) - NON_CF.CTRL,
                       CF.IVAvCF.NO_MOD = 0.5*(CF.IVA.S + CF.IVA.M) - 0.5*(CF.NO_MOD.S + CF.NO_MOD.M),
                       CF.LUMA_IVAvCF.NO_MOD = 0.5*(CF.LUMA_IVA.S + CF.LUMA_IVA.M) - 0.5*(CF.NO_MOD.S + CF.NO_MOD.M),
                       CF.NO_MOD.SvCF.NO_MOD.M = CF.NO_MOD.S - CF.NO_MOD.M,
                       levels = design)
contr
               Contrasts
Levels          CF.NO_MODvNON_CF.CTRL CF.IVAvCF.NO_MOD CF.LUMA_IVAvCF.NO_MOD
  CF.IVA.M                        0.0              0.5                   0.0
  CF.IVA.S                        0.0              0.5                   0.0
  CF.LUMA_IVA.M                   0.0              0.0                   0.5
  CF.LUMA_IVA.S                   0.0              0.0                   0.5
  CF.NO_MOD.M                     0.5             -0.5                  -0.5
  CF.NO_MOD.S                     0.5             -0.5                  -0.5
  NON_CF.CTRL                    -1.0              0.0                   0.0
  batch1                          0.0              0.0                   0.0
  batch2                          0.0              0.0                   0.0
  batch3                          0.0              0.0                   0.0
  batch4                          0.0              0.0                   0.0
  batch5                          0.0              0.0                   0.0
  batch6                          0.0              0.0                   0.0
  age                             0.0              0.0                   0.0
  sexM                            0.0              0.0                   0.0
               Contrasts
Levels          CF.NO_MOD.SvCF.NO_MOD.M
  CF.IVA.M                            0
  CF.IVA.S                            0
  CF.LUMA_IVA.M                       0
  CF.LUMA_IVA.S                       0
  CF.NO_MOD.M                        -1
  CF.NO_MOD.S                         1
  NON_CF.CTRL                         0
  batch1                              0
  batch2                              0
  batch3                              0
  batch4                              0
  batch5                              0
  batch6                              0
  age                                 0
  sexM                                0

Add random effect for samples from the same individual.

dupcor <- duplicateCorrelation(props$TransformedProps, design=design,
                                block=participant)
dupcor
$consensus.correlation
[1] 0.6239257

$cor
[1] 0.6239257

$atanh.correlations
 [1]  0.80080074  1.27682941  0.70836292  1.46926384  0.63499798  1.30012069
 [7]  1.42121492  0.64466135  1.01553796  0.29787332  0.45725389  0.35069044
[13]  1.03135931  0.60024395 -0.53606034  0.04722491  0.38956524

Fit the model.

fit <- lmFit(props$TransformedProps, design=design, block=participant, 
                correlation=dupcor$consensus)
fit2 <- contrasts.fit(fit, contr)
fit2 <- eBayes(fit2, robust=TRUE, trend=FALSE)
pvalue <- 0.05
summary(decideTests(fit2, p.value = pvalue))
       CF.NO_MODvNON_CF.CTRL CF.IVAvCF.NO_MOD CF.LUMA_IVAvCF.NO_MOD
Down                       0                0                     0
NotSig                    16               17                    17
Up                         1                0                     0
       CF.NO_MOD.SvCF.NO_MOD.M
Down                         0
NotSig                      17
Up                           0

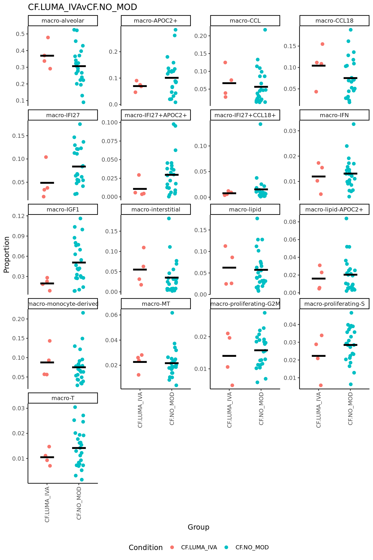
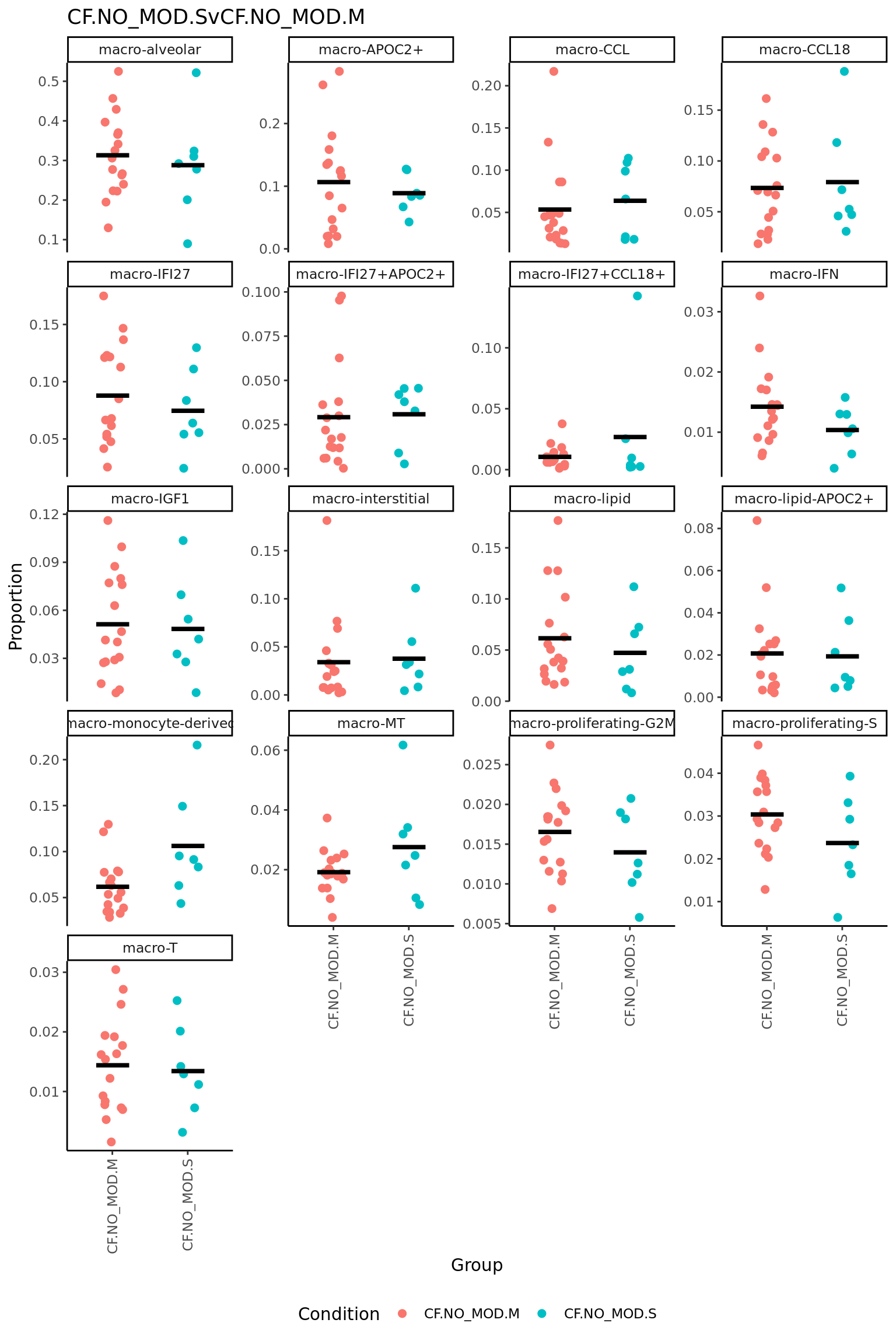
Results

p <- vector("list", ncol(contr))

for(i in 1:ncol(contr)){
  print(knitr::kable(topTable(fit2, coef = i, number = Inf),
                     caption = colnames(contr)[i]))
  
  props$Proportions %>% data.frame %>%
    left_join(info,
              by = c("sample" = "sample.id")) %>%
    mutate(Group = Group_severity) %>%
    dplyr::filter(Group %in% names(contr[,i])[abs(contr[, i]) > 0]) -> dat
  
  if(length(unique(dat$Group)) > 2) dat$Group <- str_remove(dat$Group, ".(M|S)$")
  ggplot(dat, aes(x = Group,
                  y = Freq,
                  colour = Group,
                  group = Group)) +
    geom_jitter(stat = "identity",
                width = 0.15,
                size = 2) +
    stat_summary(geom = "point",
      fun.y = "mean",
      col = "black",
      shape = "_",
      size = 14) +
    theme_classic() +
    theme(axis.text.x = element_text(angle = 90,
                                     hjust = 1,
                                     vjust = 0.5),
          legend.position = "bottom",
          legend.direction = "horizontal") +
    labs(x = "Group", y = "Proportion",
         colour = "Condition") +
    facet_wrap(~clusters, scales = "free_y", ncol = 4) +
    ggtitle(colnames(contr)[i]) -> p[[i]]
  
  print(p[[i]])
}
CF.NO_MODvNON_CF.CTRL
logFC AveExpr t P.Value adj.P.Val B
macro-IGF1 0.1238936 0.2016823 3.5143548 0.0013738 0.0233541 -1.078640
macro-IFN 0.0236105 0.1102832 1.6483086 0.1092447 0.8171448 -4.896312
macro-lipid 0.0753321 0.2289080 1.4815109 0.1485239 0.8171448 -5.134942
macro-CCL -0.0839676 0.2263490 -1.3328079 0.1922694 0.8171448 -5.328955
macro-IFI27 -0.0397423 0.3007553 -0.8255214 0.4153581 0.8506807 -5.848981
macro-interstitial 0.0427504 0.1522175 0.7983011 0.4307447 0.8506807 -5.870365
macro-T -0.0104680 0.1182567 -0.7977494 0.4309980 0.8506807 -5.870858
macro-IFI27+APOC2+ -0.0242895 0.1468071 -0.6542859 0.5177331 0.8506807 -5.971994
macro-monocyte-derived -0.0228342 0.2791111 -0.6151733 0.5429121 0.8506807 -5.996219
macro-alveolar 0.0359628 0.5919576 0.5623725 0.5778902 0.8506807 -6.026609
macro-CCL18 0.0236844 0.2540647 0.5496066 0.5865114 0.8506807 -6.033557
macro-IFI27+CCL18+ -0.0182912 0.1008002 -0.5059483 0.6164576 0.8506807 -6.056133
macro-lipid-APOC2+ 0.0164207 0.1152469 0.4574559 0.6505205 0.8506807 -6.079055
macro-proliferating-G2M -0.0031971 0.1237643 -0.1915489 0.8493268 0.9833917 -6.164046
macro-MT -0.0029058 0.1487592 -0.1191196 0.9059384 0.9833917 -6.175159
macro-APOC2+ -0.0020525 0.2841019 -0.0360064 0.9715072 0.9833917 -6.181531
macro-proliferating-S 0.0004136 0.1610808 0.0209831 0.9833917 0.9833917 -6.181954

CF.IVAvCF.NO_MOD
logFC AveExpr t P.Value adj.P.Val B
macro-IFI27 0.0772602 0.3007553 1.3692886 0.1807087 0.9831210 -4.907573
macro-IGF1 -0.0505640 0.2016823 -1.2237763 0.2302198 0.9831210 -5.073126
macro-CCL -0.0797410 0.2263490 -1.0799450 0.2884639 0.9831210 -5.220257
macro-MT 0.0285045 0.1487592 0.9970053 0.3263730 0.9831210 -5.297472
macro-CCL18 -0.0499042 0.2540647 -0.9880788 0.3307331 0.9831210 -5.305370
macro-interstitial 0.0550669 0.1522175 0.8773672 0.3870091 0.9831210 -5.398526
macro-proliferating-G2M 0.0152719 0.1237643 0.7806807 0.4408268 0.9831210 -5.471355
macro-alveolar -0.0385831 0.5919576 -0.5147923 0.6103347 0.9831210 -5.629028
macro-T -0.0061848 0.1182567 -0.4021564 0.6902890 0.9831210 -5.676717
macro-monocyte-derived -0.0154171 0.2791111 -0.3543871 0.7254385 0.9831210 -5.693415
macro-IFN -0.0050610 0.1102832 -0.3014630 0.7650457 0.9831210 -5.709506
macro-lipid-APOC2+ 0.0104105 0.1152469 0.2474526 0.8061830 0.9831210 -5.723242
macro-IFI27+APOC2+ 0.0105365 0.1468071 0.2421640 0.8102416 0.9831210 -5.724444
macro-IFI27+CCL18+ 0.0091863 0.1008002 0.2168048 0.8297753 0.9831210 -5.729846
macro-lipid 0.0063157 0.2289080 0.1059763 0.9162812 0.9831210 -5.746463
macro-APOC2+ -0.0063159 0.2841019 -0.0945347 0.9252904 0.9831210 -5.747530
macro-proliferating-S 0.0004377 0.1610808 0.0189455 0.9850043 0.9850043 -5.751518

CF.LUMA_IVAvCF.NO_MOD
logFC AveExpr t P.Value adj.P.Val B
macro-CCL18 0.1066688 0.2540647 2.4765341 0.0189042 0.3213710 -3.240610
macro-IGF1 -0.0617442 0.2016823 -1.7523037 0.0895689 0.7613355 -4.502771
macro-lipid -0.0669550 0.2289080 -1.3174221 0.1973129 0.9545225 -5.091744
macro-lipid-APOC2+ -0.0330901 0.1152469 -0.9223003 0.3634662 0.9545225 -5.496578
macro-IFI27+CCL18+ 0.0183941 0.1008002 0.5090482 0.6143083 0.9545225 -5.773949
macro-IFI27+APOC2+ -0.0178241 0.1468071 -0.4803683 0.6343245 0.9545225 -5.787396
macro-T -0.0062990 0.1182567 -0.4802746 0.6343558 0.9545225 -5.787470
macro-proliferating-S 0.0094593 0.1610808 0.4801454 0.6344466 0.9545225 -5.787529
macro-MT 0.0099350 0.1487592 0.4074768 0.6864188 0.9545225 -5.818136
macro-proliferating-G2M 0.0066590 0.1237643 0.3991574 0.6924747 0.9545225 -5.821325
macro-CCL -0.0189778 0.2263490 -0.3013821 0.7651274 0.9545225 -5.853896
macro-alveolar 0.0168623 0.5919576 0.2638177 0.7936592 0.9545225 -5.864014
macro-APOC2+ -0.0143164 0.2841019 -0.2512695 0.8032573 0.9545225 -5.867096
macro-monocyte-derived 0.0080995 0.2791111 0.2183160 0.8286079 0.9545225 -5.874477
macro-interstitial 0.0107434 0.1522175 0.2007169 0.8422257 0.9545225 -5.877996
macro-IFI27 -0.0053180 0.3007553 -0.1105195 0.9127070 0.9697511 -5.891400
macro-IFN 0.0000923 0.1102832 0.0064460 0.9948976 0.9948976 -5.897216

CF.NO_MOD.SvCF.NO_MOD.M
logFC AveExpr t P.Value adj.P.Val B
macro-IFN -0.0271627 0.1102832 -2.0027903 0.0538831 0.6305075 -4.137732
macro-monocyte-derived 0.0649346 0.2791111 1.8476423 0.0741774 0.6305075 -4.393307
macro-proliferating-S -0.0202295 0.1610808 -1.0839516 0.2866259 0.8535663 -5.392948
macro-IFI27 -0.0489569 0.3007553 -1.0740353 0.2910628 0.8535663 -5.402790
macro-MT 0.0218460 0.1487592 0.9458464 0.3514392 0.8535663 -5.523309
macro-interstitial 0.0389267 0.1522175 0.7677221 0.4484374 0.8535663 -5.666573
macro-CCL18 0.0244336 0.2540647 0.5988361 0.5536158 0.8535663 -5.775934
macro-IFI27+CCL18+ 0.0202417 0.1008002 0.5913447 0.5585600 0.8535663 -5.780176
macro-alveolar -0.0355601 0.5919576 -0.5873055 0.5612351 0.8535663 -5.782441
macro-T -0.0067967 0.1182567 -0.5470588 0.5881992 0.8535663 -5.804225
macro-proliferating-G2M -0.0072880 0.1237643 -0.4611650 0.6478536 0.8535663 -5.845554
macro-CCL 0.0219568 0.2263490 0.3680913 0.7152967 0.8535663 -5.882472
macro-lipid -0.0169940 0.2289080 -0.3529794 0.7264831 0.8535663 -5.887696
macro-IGF1 -0.0111826 0.2016823 -0.3350185 0.7398585 0.8535663 -5.893623
macro-lipid-APOC2+ 0.0107835 0.1152469 0.3172839 0.7531467 0.8535663 -5.899173
macro-IFI27+APOC2+ 0.0080421 0.1468071 0.2287955 0.8205244 0.8718072 -5.922381
macro-APOC2+ -0.0010110 0.2841019 -0.0187314 0.9851749 0.9851749 -5.947398

Session info

The analysis and this document were prepared using the following software (click triangle to expand)
sessioninfo::session_info()
─ Session info ───────────────────────────────────────────────────────────────
 setting  value
 version  R version 4.3.3 (2024-02-29)
 os       Ubuntu 22.04.4 LTS
 system   x86_64, linux-gnu
 ui       X11
 language (EN)
 collate  en_AU.UTF-8
 ctype    en_AU.UTF-8
 tz       Etc/UTC
 date     2024-12-31
 pandoc   3.1.1 @ /usr/lib/rstudio-server/bin/quarto/bin/tools/ (via rmarkdown)

─ Packages ───────────────────────────────────────────────────────────────────
 ! package              * version    date (UTC) lib source
 P abind                  1.4-5      2016-07-21 [?] RSPM (R 4.3.0)
 P AnnotationDbi        * 1.64.1     2023-11-03 [?] Bioconductor
 P backports              1.4.1      2021-12-13 [?] RSPM (R 4.3.0)
 P base64enc              0.1-3      2015-07-28 [?] RSPM (R 4.3.0)
 P Biobase              * 2.62.0     2023-10-24 [?] Bioconductor
 P BiocGenerics         * 0.48.1     2023-11-01 [?] Bioconductor
 P BiocManager            1.30.22    2023-08-08 [?] RSPM (R 4.3.0)
 P Biostrings             2.70.2     2024-01-28 [?] Bioconductor 3.18 (R 4.3.3)
 P bit                    4.0.5      2022-11-15 [?] RSPM (R 4.3.0)
 P bit64                  4.0.5      2020-08-30 [?] RSPM (R 4.3.0)
 P bitops                 1.0-7      2021-04-24 [?] RSPM (R 4.3.0)
 P blob                   1.2.4      2023-03-17 [?] RSPM (R 4.3.0)
 P bslib                  0.6.1      2023-11-28 [?] RSPM (R 4.3.0)
 P cachem                 1.0.8      2023-05-01 [?] RSPM (R 4.3.0)
 P callr                  3.7.3      2022-11-02 [?] RSPM (R 4.3.0)
 P checkmate              2.3.1      2023-12-04 [?] RSPM (R 4.3.0)
 P circlize               0.4.15     2022-05-10 [?] RSPM (R 4.3.0)
 P cli                    3.6.2      2023-12-11 [?] RSPM (R 4.3.0)
 P clue                   0.3-65     2023-09-23 [?] RSPM (R 4.3.0)
 P cluster                2.1.6      2023-12-01 [?] CRAN (R 4.3.2)
 P clustree             * 0.5.1      2023-11-05 [?] RSPM (R 4.3.0)
 P codetools              0.2-19     2023-02-01 [?] CRAN (R 4.2.2)
 P colorspace             2.1-0      2023-01-23 [?] RSPM (R 4.3.0)
 P ComplexHeatmap         2.18.0     2023-10-24 [?] Bioconductor
 P cowplot                1.1.3      2024-01-22 [?] RSPM (R 4.3.0)
 P crayon                 1.5.2      2022-09-29 [?] RSPM (R 4.3.0)
 P data.table             1.15.0     2024-01-30 [?] RSPM (R 4.3.0)
 P DBI                    1.2.1      2024-01-12 [?] RSPM (R 4.3.0)
 P DelayedArray           0.28.0     2023-10-24 [?] Bioconductor
 P deldir                 2.0-2      2023-11-23 [?] RSPM (R 4.3.0)
 P dendextend             1.17.1     2023-03-25 [?] RSPM (R 4.3.0)
 P digest                 0.6.34     2024-01-11 [?] RSPM (R 4.3.0)
 P dittoSeq             * 1.14.2     2024-02-09 [?] Bioconductor 3.18 (R 4.3.3)
 P doParallel             1.0.17     2022-02-07 [?] RSPM (R 4.3.0)
 P dplyr                * 1.1.4      2023-11-17 [?] RSPM (R 4.3.0)
 P dynamicTreeCut         1.63-1     2016-03-11 [?] RSPM (R 4.3.0)
 P edgeR                * 4.0.15     2024-02-11 [?] Bioconductor 3.18 (R 4.3.3)
 P ellipsis               0.3.2      2021-04-29 [?] RSPM (R 4.3.0)
 P evaluate               0.23       2023-11-01 [?] RSPM (R 4.3.0)
 P fansi                  1.0.6      2023-12-08 [?] RSPM (R 4.3.0)
 P farver                 2.1.1      2022-07-06 [?] RSPM (R 4.3.0)
 P fastcluster            1.2.6      2024-01-12 [?] RSPM (R 4.3.0)
 P fastmap                1.1.1      2023-02-24 [?] RSPM (R 4.3.0)
 P fitdistrplus           1.1-11     2023-04-25 [?] RSPM (R 4.3.0)
 P forcats              * 1.0.0      2023-01-29 [?] RSPM (R 4.3.0)
 P foreach                1.5.2      2022-02-02 [?] RSPM (R 4.3.0)
 P foreign                0.8-86     2023-11-28 [?] CRAN (R 4.3.2)
 P Formula                1.2-5      2023-02-24 [?] RSPM (R 4.3.0)
 P fs                     1.6.3      2023-07-20 [?] RSPM (R 4.3.0)
 P future                 1.33.1     2023-12-22 [?] RSPM (R 4.3.0)
 P future.apply           1.11.1     2023-12-21 [?] RSPM (R 4.3.0)
 P generics               0.1.3      2022-07-05 [?] RSPM (R 4.3.0)
 P GenomeInfoDb         * 1.38.6     2024-02-08 [?] Bioconductor 3.18 (R 4.3.3)
 P GenomeInfoDbData       1.2.11     2024-04-23 [?] Bioconductor
 P GenomicRanges        * 1.54.1     2023-10-29 [?] Bioconductor
 P GetoptLong             1.0.5      2020-12-15 [?] RSPM (R 4.3.0)
 P getPass                0.2-4      2023-12-10 [?] RSPM (R 4.3.0)
 P ggforce                0.4.2      2024-02-19 [?] RSPM (R 4.3.0)
 P ggplot2              * 3.5.0      2024-02-23 [?] RSPM (R 4.3.0)
 P ggraph               * 2.2.0      2024-02-27 [?] RSPM (R 4.3.0)
 P ggrepel                0.9.5      2024-01-10 [?] RSPM (R 4.3.0)
 P ggridges               0.5.6      2024-01-23 [?] RSPM (R 4.3.0)
 P git2r                  0.33.0     2023-11-26 [?] RSPM (R 4.3.0)
 P glmGamPoi            * 1.14.3     2024-02-11 [?] Bioconductor 3.18 (R 4.3.3)
 P GlobalOptions          0.1.2      2020-06-10 [?] RSPM (R 4.3.0)
 P globals                0.16.2     2022-11-21 [?] RSPM (R 4.3.0)
 P glue                 * 1.7.0      2024-01-09 [?] RSPM (R 4.3.0)
 P GO.db                  3.18.0     2024-04-23 [?] Bioconductor
 P goftest                1.2-3      2021-10-07 [?] RSPM (R 4.3.0)
 P graphlayouts           1.1.0      2024-01-19 [?] RSPM (R 4.3.0)
 P gridExtra              2.3        2017-09-09 [?] RSPM (R 4.3.0)
 P gtable                 0.3.4      2023-08-21 [?] RSPM (R 4.3.0)
 P here                 * 1.0.1      2020-12-13 [?] RSPM (R 4.3.0)
 P highr                  0.10       2022-12-22 [?] RSPM (R 4.3.0)
 P Hmisc                  5.1-1      2023-09-12 [?] RSPM (R 4.3.0)
 P hms                    1.1.3      2023-03-21 [?] RSPM (R 4.3.0)
 P htmlTable              2.4.2      2023-10-29 [?] RSPM (R 4.3.0)
 P htmltools              0.5.7      2023-11-03 [?] RSPM (R 4.3.0)
 P htmlwidgets            1.6.4      2023-12-06 [?] RSPM (R 4.3.0)
 P httpuv                 1.6.14     2024-01-26 [?] RSPM (R 4.3.0)
 P httr                   1.4.7      2023-08-15 [?] RSPM (R 4.3.0)
 P ica                    1.0-3      2022-07-08 [?] RSPM (R 4.3.0)
 P igraph                 2.0.1.1    2024-01-30 [?] RSPM (R 4.3.0)
 P impute                 1.76.0     2023-10-24 [?] Bioconductor
 P IRanges              * 2.36.0     2023-10-24 [?] Bioconductor
 P irlba                  2.3.5.1    2022-10-03 [?] RSPM (R 4.3.0)
 P iterators              1.0.14     2022-02-05 [?] RSPM (R 4.3.0)
 P jquerylib              0.1.4      2021-04-26 [?] RSPM (R 4.3.0)
 P jsonlite               1.8.8      2023-12-04 [?] RSPM (R 4.3.0)
 P KEGGREST               1.42.0     2023-10-24 [?] Bioconductor
 P KernSmooth             2.23-24    2024-05-17 [?] RSPM (R 4.3.0)
 P knitr                  1.45       2023-10-30 [?] RSPM (R 4.3.0)
 P labeling               0.4.3      2023-08-29 [?] RSPM (R 4.3.0)
 P later                  1.3.2      2023-12-06 [?] RSPM (R 4.3.0)
 P lattice                0.22-5     2023-10-24 [?] CRAN (R 4.3.1)
 P lazyeval               0.2.2      2019-03-15 [?] RSPM (R 4.3.0)
 P leiden                 0.4.3.1    2023-11-17 [?] RSPM (R 4.3.0)
 P lifecycle              1.0.4      2023-11-07 [?] RSPM (R 4.3.0)
 P limma                * 3.58.1     2023-10-31 [?] Bioconductor
 P listenv                0.9.1      2024-01-29 [?] RSPM (R 4.3.0)
 P lmtest                 0.9-40     2022-03-21 [?] RSPM (R 4.3.0)
 P locfit                 1.5-9.8    2023-06-11 [?] RSPM (R 4.3.0)
 P lubridate            * 1.9.3      2023-09-27 [?] RSPM (R 4.3.0)
 P magrittr               2.0.3      2022-03-30 [?] RSPM (R 4.3.0)
 P MASS                   7.3-60.0.1 2024-01-13 [?] RSPM (R 4.3.0)
 P Matrix                 1.6-5      2024-01-11 [?] CRAN (R 4.3.3)
 P MatrixGenerics       * 1.14.0     2023-10-24 [?] Bioconductor
 P matrixStats          * 1.2.0      2023-12-11 [?] RSPM (R 4.3.0)
 P memoise                2.0.1      2021-11-26 [?] RSPM (R 4.3.0)
 P mime                   0.12       2021-09-28 [?] RSPM (R 4.3.0)
 P miniUI                 0.1.1.1    2018-05-18 [?] RSPM (R 4.3.0)
 P munsell                0.5.0      2018-06-12 [?] RSPM (R 4.3.0)
 P nlme                   3.1-164    2023-11-27 [?] RSPM (R 4.3.0)
 P nnet                   7.3-19     2023-05-03 [?] CRAN (R 4.3.1)
 P org.Hs.eg.db         * 3.18.0     2024-04-23 [?] Bioconductor
 P paletteer            * 1.6.0      2024-01-21 [?] RSPM (R 4.3.0)
 P parallelly             1.37.0     2024-02-14 [?] RSPM (R 4.3.0)
 P patchwork            * 1.2.0      2024-01-08 [?] RSPM (R 4.3.0)
 P pbapply                1.7-2      2023-06-27 [?] RSPM (R 4.3.0)
 P pheatmap               1.0.12     2019-01-04 [?] RSPM (R 4.3.0)
 P pillar                 1.9.0      2023-03-22 [?] RSPM (R 4.3.0)
 P pkgconfig              2.0.3      2019-09-22 [?] RSPM (R 4.3.0)
 P plotly                 4.10.4     2024-01-13 [?] RSPM (R 4.3.0)
 P plyr                   1.8.9      2023-10-02 [?] RSPM (R 4.3.0)
 P png                    0.1-8      2022-11-29 [?] RSPM (R 4.3.0)
 P polyclip               1.10-6     2023-09-27 [?] RSPM (R 4.3.0)
 P preprocessCore         1.64.0     2023-10-24 [?] Bioconductor
 P prismatic              1.1.1      2022-08-15 [?] RSPM (R 4.3.0)
 P processx               3.8.3      2023-12-10 [?] RSPM (R 4.3.0)
 P progressr              0.14.0     2023-08-10 [?] RSPM (R 4.3.0)
 P promises               1.2.1      2023-08-10 [?] RSPM (R 4.3.0)
 P ps                     1.7.6      2024-01-18 [?] RSPM (R 4.3.0)
 P purrr                * 1.0.2      2023-08-10 [?] RSPM (R 4.3.0)
 P R6                     2.5.1      2021-08-19 [?] RSPM (R 4.3.0)
 P RANN                   2.6.1      2019-01-08 [?] RSPM (R 4.3.0)
 P RColorBrewer           1.1-3      2022-04-03 [?] RSPM (R 4.3.0)
 P Rcpp                   1.0.12     2024-01-09 [?] RSPM (R 4.3.0)
 P RcppAnnoy              0.0.22     2024-01-23 [?] RSPM (R 4.3.0)
 P RCurl                  1.98-1.14  2024-01-09 [?] RSPM (R 4.3.0)
 P readr                * 2.1.5      2024-01-10 [?] RSPM (R 4.3.0)
 P rematch2               2.1.2      2020-05-01 [?] RSPM (R 4.3.0)
   renv                   1.0.3      2023-09-19 [1] CRAN (R 4.3.3)
 P reshape2               1.4.4      2020-04-09 [?] RSPM (R 4.3.0)
 P reticulate             1.35.0     2024-01-31 [?] RSPM (R 4.3.0)
 P rjson                  0.2.21     2022-01-09 [?] RSPM (R 4.3.0)
 P rlang                  1.1.3      2024-01-10 [?] RSPM (R 4.3.0)
 P rmarkdown              2.25       2023-09-18 [?] RSPM (R 4.3.0)
 P ROCR                   1.0-11     2020-05-02 [?] RSPM (R 4.3.0)
 P rpart                  4.1.23     2023-12-05 [?] RSPM (R 4.3.0)
 P rprojroot              2.0.4      2023-11-05 [?] RSPM (R 4.3.0)
 P RSQLite                2.3.5      2024-01-21 [?] RSPM (R 4.3.0)
 P rstudioapi             0.15.0     2023-07-07 [?] RSPM (R 4.3.0)
 P Rtsne                  0.17       2023-12-07 [?] RSPM (R 4.3.0)
 P S4Arrays               1.2.0      2023-10-24 [?] Bioconductor
 P S4Vectors            * 0.40.2     2023-11-23 [?] Bioconductor 3.18 (R 4.3.3)
 P sass                   0.4.8      2023-12-06 [?] RSPM (R 4.3.0)
 P scales                 1.3.0      2023-11-28 [?] RSPM (R 4.3.0)
 P scattermore            1.2        2023-06-12 [?] RSPM (R 4.3.0)
   sctransform            0.4.1      2023-10-19 [1] RSPM (R 4.3.0)
 P sessioninfo            1.2.2      2021-12-06 [?] RSPM (R 4.3.0)
   Seurat               * 4.4.0      2024-04-25 [1] https://satijalab.r-universe.dev (R 4.3.3)
   SeuratObject         * 4.1.4      2024-04-25 [1] https://satijalab.r-universe.dev (R 4.3.3)
 P shape                  1.4.6      2021-05-19 [?] RSPM (R 4.3.0)
 P shiny                  1.8.0      2023-11-17 [?] RSPM (R 4.3.0)
 P SingleCellExperiment * 1.24.0     2023-10-24 [?] Bioconductor
 P sp                     2.1-3      2024-01-30 [?] RSPM (R 4.3.0)
 P SparseArray            1.2.4      2024-02-11 [?] Bioconductor 3.18 (R 4.3.3)
 P spatstat.data          3.0-4      2024-01-15 [?] RSPM (R 4.3.0)
 P spatstat.explore       3.2-6      2024-02-01 [?] RSPM (R 4.3.0)
 P spatstat.geom          3.2-8      2024-01-26 [?] RSPM (R 4.3.0)
 P spatstat.random        3.2-2      2023-11-29 [?] RSPM (R 4.3.0)
 P spatstat.sparse        3.0-3      2023-10-24 [?] RSPM (R 4.3.0)
 P spatstat.utils         3.0-4      2023-10-24 [?] RSPM (R 4.3.0)
 P speckle              * 1.2.0      2023-10-24 [?] Bioconductor
 P statmod                1.5.0      2023-01-06 [?] RSPM (R 4.3.0)
 P stringi                1.8.3      2023-12-11 [?] RSPM (R 4.3.0)
 P stringr              * 1.5.1      2023-11-14 [?] RSPM (R 4.3.0)
 P SummarizedExperiment * 1.32.0     2023-10-24 [?] Bioconductor
 P survival               3.7-0      2024-06-05 [?] RSPM (R 4.3.0)
 P tensor                 1.5        2012-05-05 [?] RSPM (R 4.3.0)
 P tibble               * 3.2.1      2023-03-20 [?] RSPM (R 4.3.0)
 P tidygraph              1.3.1      2024-01-30 [?] RSPM (R 4.3.0)
 P tidyHeatmap          * 1.8.1      2022-05-20 [?] RSPM (R 4.3.3)
 P tidyr                * 1.3.1      2024-01-24 [?] RSPM (R 4.3.0)
 P tidyselect             1.2.0      2022-10-10 [?] RSPM (R 4.3.0)
 P tidyverse            * 2.0.0      2023-02-22 [?] RSPM (R 4.3.0)
 P timechange             0.3.0      2024-01-18 [?] RSPM (R 4.3.0)
 P tweenr                 2.0.3      2024-02-26 [?] RSPM (R 4.3.0)
 P tzdb                   0.4.0      2023-05-12 [?] RSPM (R 4.3.0)
 P utf8                   1.2.4      2023-10-22 [?] RSPM (R 4.3.0)
 P uwot                   0.1.16     2023-06-29 [?] RSPM (R 4.3.0)
 P vctrs                  0.6.5      2023-12-01 [?] RSPM (R 4.3.0)
 P viridis                0.6.5      2024-01-29 [?] RSPM (R 4.3.0)
 P viridisLite            0.4.2      2023-05-02 [?] RSPM (R 4.3.0)
 P WGCNA                  1.72-5     2023-12-07 [?] RSPM (R 4.3.3)
 P whisker                0.4.1      2022-12-05 [?] RSPM (R 4.3.0)
 P withr                  3.0.0      2024-01-16 [?] RSPM (R 4.3.0)
 P workflowr            * 1.7.1      2023-08-23 [?] RSPM (R 4.3.0)
 P xfun                   0.42       2024-02-08 [?] RSPM (R 4.3.0)
 P xtable                 1.8-4      2019-04-21 [?] RSPM (R 4.3.0)
 P XVector                0.42.0     2023-10-24 [?] Bioconductor
 P yaml                   2.3.8      2023-12-11 [?] RSPM (R 4.3.0)
 P zlibbioc               1.48.0     2023-10-24 [?] Bioconductor
 P zoo                    1.8-12     2023-04-13 [?] RSPM (R 4.3.0)

 [1] /mnt/allandata/jovana_data/paed-inflammation-CITEseq/renv/library/R-4.3/x86_64-pc-linux-gnu
 [2] /home/jovana/.cache/R/renv/sandbox/R-4.3/x86_64-pc-linux-gnu/9a444a72

 P ── Loaded and on-disk path mismatch.

──────────────────────────────────────────────────────────────────────────────

sessionInfo()
R version 4.3.3 (2024-02-29)
Platform: x86_64-pc-linux-gnu (64-bit)
Running under: Ubuntu 22.04.4 LTS

Matrix products: default
BLAS:   /usr/lib/x86_64-linux-gnu/openblas-pthread/libblas.so.3 
LAPACK: /usr/lib/x86_64-linux-gnu/openblas-pthread/libopenblasp-r0.3.20.so;  LAPACK version 3.10.0

locale:
 [1] LC_CTYPE=en_AU.UTF-8       LC_NUMERIC=C              
 [3] LC_TIME=en_AU.UTF-8        LC_COLLATE=en_AU.UTF-8    
 [5] LC_MONETARY=en_AU.UTF-8    LC_MESSAGES=en_AU.UTF-8   
 [7] LC_PAPER=en_AU.UTF-8       LC_NAME=C                 
 [9] LC_ADDRESS=C               LC_TELEPHONE=C            
[11] LC_MEASUREMENT=en_AU.UTF-8 LC_IDENTIFICATION=C       

time zone: Etc/UTC
tzcode source: system (glibc)

attached base packages:
[1] stats4    stats     graphics  grDevices datasets  utils     methods  
[8] base     

other attached packages:
 [1] here_1.0.1                  tidyHeatmap_1.8.1          
 [3] paletteer_1.6.0             patchwork_1.2.0            
 [5] speckle_1.2.0               glue_1.7.0                 
 [7] org.Hs.eg.db_3.18.0         AnnotationDbi_1.64.1       
 [9] clustree_0.5.1              ggraph_2.2.0               
[11] dittoSeq_1.14.2             glmGamPoi_1.14.3           
[13] SeuratObject_4.1.4          Seurat_4.4.0               
[15] lubridate_1.9.3             forcats_1.0.0              
[17] stringr_1.5.1               dplyr_1.1.4                
[19] purrr_1.0.2                 readr_2.1.5                
[21] tidyr_1.3.1                 tibble_3.2.1               
[23] ggplot2_3.5.0               tidyverse_2.0.0            
[25] edgeR_4.0.15                limma_3.58.1               
[27] SingleCellExperiment_1.24.0 SummarizedExperiment_1.32.0
[29] Biobase_2.62.0              GenomicRanges_1.54.1       
[31] GenomeInfoDb_1.38.6         IRanges_2.36.0             
[33] S4Vectors_0.40.2            BiocGenerics_0.48.1        
[35] MatrixGenerics_1.14.0       matrixStats_1.2.0          
[37] workflowr_1.7.1            

loaded via a namespace (and not attached):
  [1] fs_1.6.3                spatstat.sparse_3.0-3   bitops_1.0-7           
  [4] httr_1.4.7              RColorBrewer_1.1-3      doParallel_1.0.17      
  [7] dynamicTreeCut_1.63-1   backports_1.4.1         tools_4.3.3            
 [10] sctransform_0.4.1       utf8_1.2.4              R6_2.5.1               
 [13] lazyeval_0.2.2          uwot_0.1.16             GetoptLong_1.0.5       
 [16] withr_3.0.0             sp_2.1-3                gridExtra_2.3          
 [19] preprocessCore_1.64.0   progressr_0.14.0        WGCNA_1.72-5           
 [22] cli_3.6.2               spatstat.explore_3.2-6  labeling_0.4.3         
 [25] sass_0.4.8              prismatic_1.1.1         spatstat.data_3.0-4    
 [28] ggridges_0.5.6          pbapply_1.7-2           foreign_0.8-86         
 [31] sessioninfo_1.2.2       parallelly_1.37.0       impute_1.76.0          
 [34] rstudioapi_0.15.0       RSQLite_2.3.5           generics_0.1.3         
 [37] shape_1.4.6             ica_1.0-3               spatstat.random_3.2-2  
 [40] dendextend_1.17.1       GO.db_3.18.0            Matrix_1.6-5           
 [43] fansi_1.0.6             abind_1.4-5             lifecycle_1.0.4        
 [46] whisker_0.4.1           yaml_2.3.8              SparseArray_1.2.4      
 [49] Rtsne_0.17              grid_4.3.3              blob_1.2.4             
 [52] promises_1.2.1          crayon_1.5.2            miniUI_0.1.1.1         
 [55] lattice_0.22-5          cowplot_1.1.3           KEGGREST_1.42.0        
 [58] pillar_1.9.0            knitr_1.45              ComplexHeatmap_2.18.0  
 [61] rjson_0.2.21            future.apply_1.11.1     codetools_0.2-19       
 [64] leiden_0.4.3.1          getPass_0.2-4           data.table_1.15.0      
 [67] vctrs_0.6.5             png_0.1-8               gtable_0.3.4           
 [70] rematch2_2.1.2          cachem_1.0.8            xfun_0.42              
 [73] S4Arrays_1.2.0          mime_0.12               tidygraph_1.3.1        
 [76] survival_3.7-0          pheatmap_1.0.12         iterators_1.0.14       
 [79] statmod_1.5.0           ellipsis_0.3.2          fitdistrplus_1.1-11    
 [82] ROCR_1.0-11             nlme_3.1-164            bit64_4.0.5            
 [85] RcppAnnoy_0.0.22        rprojroot_2.0.4         bslib_0.6.1            
 [88] irlba_2.3.5.1           rpart_4.1.23            KernSmooth_2.23-24     
 [91] Hmisc_5.1-1             colorspace_2.1-0        DBI_1.2.1              
 [94] nnet_7.3-19             tidyselect_1.2.0        processx_3.8.3         
 [97] bit_4.0.5               compiler_4.3.3          git2r_0.33.0           
[100] htmlTable_2.4.2         DelayedArray_0.28.0     plotly_4.10.4          
[103] checkmate_2.3.1         scales_1.3.0            lmtest_0.9-40          
[106] callr_3.7.3             digest_0.6.34           goftest_1.2-3          
[109] spatstat.utils_3.0-4    rmarkdown_2.25          XVector_0.42.0         
[112] base64enc_0.1-3         htmltools_0.5.7         pkgconfig_2.0.3        
[115] highr_0.10              fastmap_1.1.1           rlang_1.1.3            
[118] GlobalOptions_0.1.2     htmlwidgets_1.6.4       shiny_1.8.0            
[121] farver_2.1.1            jquerylib_0.1.4         zoo_1.8-12             
[124] jsonlite_1.8.8          RCurl_1.98-1.14         magrittr_2.0.3         
[127] Formula_1.2-5           GenomeInfoDbData_1.2.11 munsell_0.5.0          
[130] Rcpp_1.0.12             viridis_0.6.5           reticulate_1.35.0      
[133] stringi_1.8.3           zlibbioc_1.48.0         MASS_7.3-60.0.1        
[136] plyr_1.8.9              parallel_4.3.3          listenv_0.9.1          
[139] ggrepel_0.9.5           deldir_2.0-2            Biostrings_2.70.2      
[142] graphlayouts_1.1.0      splines_4.3.3           tensor_1.5             
[145] hms_1.1.3               circlize_0.4.15         locfit_1.5-9.8         
[148] ps_1.7.6                fastcluster_1.2.6       igraph_2.0.1.1         
[151] spatstat.geom_3.2-8     reshape2_1.4.4          evaluate_0.23          
[154] renv_1.0.3              BiocManager_1.30.22     tzdb_0.4.0             
[157] foreach_1.5.2           tweenr_2.0.3            httpuv_1.6.14          
[160] RANN_2.6.1              polyclip_1.10-6         future_1.33.1          
[163] clue_0.3-65             scattermore_1.2         ggforce_0.4.2          
[166] xtable_1.8-4            later_1.3.2             viridisLite_0.4.2      
[169] memoise_2.0.1           cluster_2.1.6           timechange_0.3.0       
[172] globals_0.16.2