Last updated: 2024-03-20

Checks: 7 0

Knit directory: paed-inflammation-CITEseq/

This reproducible R Markdown analysis was created with workflowr (version 1.7.1). The Checks tab describes the reproducibility checks that were applied when the results were created. The Past versions tab lists the development history.


Great! Since the R Markdown file has been committed to the Git repository, you know the exact version of the code that produced these results.

Great job! The global environment was empty. Objects defined in the global environment can affect the analysis in your R Markdown file in unknown ways. For reproduciblity it’s best to always run the code in an empty environment.

The command set.seed(20240216) was run prior to running the code in the R Markdown file. Setting a seed ensures that any results that rely on randomness, e.g. subsampling or permutations, are reproducible.

Great job! Recording the operating system, R version, and package versions is critical for reproducibility.

Nice! There were no cached chunks for this analysis, so you can be confident that you successfully produced the results during this run.

Great job! Using relative paths to the files within your workflowr project makes it easier to run your code on other machines.

Great! You are using Git for version control. Tracking code development and connecting the code version to the results is critical for reproducibility.

The results in this page were generated with repository version 6f4600b. See the Past versions tab to see a history of the changes made to the R Markdown and HTML files.

Note that you need to be careful to ensure that all relevant files for the analysis have been committed to Git prior to generating the results (you can use wflow_publish or wflow_git_commit). workflowr only checks the R Markdown file, but you know if there are other scripts or data files that it depends on. Below is the status of the Git repository when the results were generated:


Ignored files:
    Ignored:    .Rhistory
    Ignored:    .Rproj.user/
    Ignored:    data/C133_Neeland_batch0/
    Ignored:    data/C133_Neeland_batch1/
    Ignored:    data/C133_Neeland_batch2/
    Ignored:    data/C133_Neeland_batch3/
    Ignored:    data/C133_Neeland_batch4/
    Ignored:    data/C133_Neeland_batch5/
    Ignored:    data/C133_Neeland_batch6/
    Ignored:    data/C133_Neeland_merged/
    Ignored:    renv/library/
    Ignored:    renv/staging/

Untracked files:
    Untracked:  analysis/scar.Rmd
    Untracked:  analysis/scar.nb.html
    Untracked:  output/cluster_markers/ADT/
    Untracked:  output/cluster_markers/ADT_decontx/
    Untracked:  output/cluster_markers/RNA/
    Untracked:  output/cluster_markers/RNA_decontx/

Unstaged changes:
    Deleted:    output/cluster_markers/t_cells/REACTOME-cluster-limma-c0.csv
    Deleted:    output/cluster_markers/t_cells/REACTOME-cluster-limma-c1.csv
    Deleted:    output/cluster_markers/t_cells/REACTOME-cluster-limma-c10.csv
    Deleted:    output/cluster_markers/t_cells/REACTOME-cluster-limma-c11.csv
    Deleted:    output/cluster_markers/t_cells/REACTOME-cluster-limma-c12.csv
    Deleted:    output/cluster_markers/t_cells/REACTOME-cluster-limma-c13.csv
    Deleted:    output/cluster_markers/t_cells/REACTOME-cluster-limma-c14.csv
    Deleted:    output/cluster_markers/t_cells/REACTOME-cluster-limma-c15.csv
    Deleted:    output/cluster_markers/t_cells/REACTOME-cluster-limma-c16.csv
    Deleted:    output/cluster_markers/t_cells/REACTOME-cluster-limma-c17.csv
    Deleted:    output/cluster_markers/t_cells/REACTOME-cluster-limma-c18.csv
    Deleted:    output/cluster_markers/t_cells/REACTOME-cluster-limma-c19.csv
    Deleted:    output/cluster_markers/t_cells/REACTOME-cluster-limma-c2.csv
    Deleted:    output/cluster_markers/t_cells/REACTOME-cluster-limma-c20.csv
    Deleted:    output/cluster_markers/t_cells/REACTOME-cluster-limma-c21.csv
    Deleted:    output/cluster_markers/t_cells/REACTOME-cluster-limma-c3.csv
    Deleted:    output/cluster_markers/t_cells/REACTOME-cluster-limma-c4.csv
    Deleted:    output/cluster_markers/t_cells/REACTOME-cluster-limma-c5.csv
    Deleted:    output/cluster_markers/t_cells/REACTOME-cluster-limma-c6.csv
    Deleted:    output/cluster_markers/t_cells/REACTOME-cluster-limma-c7.csv
    Deleted:    output/cluster_markers/t_cells/REACTOME-cluster-limma-c8.csv
    Deleted:    output/cluster_markers/t_cells/REACTOME-cluster-limma-c9.csv
    Deleted:    output/cluster_markers/t_cells/up-cluster-limma-c0.csv
    Deleted:    output/cluster_markers/t_cells/up-cluster-limma-c1.csv
    Deleted:    output/cluster_markers/t_cells/up-cluster-limma-c10.csv
    Deleted:    output/cluster_markers/t_cells/up-cluster-limma-c11.csv
    Deleted:    output/cluster_markers/t_cells/up-cluster-limma-c12.csv
    Deleted:    output/cluster_markers/t_cells/up-cluster-limma-c13.csv
    Deleted:    output/cluster_markers/t_cells/up-cluster-limma-c14.csv
    Deleted:    output/cluster_markers/t_cells/up-cluster-limma-c15.csv
    Deleted:    output/cluster_markers/t_cells/up-cluster-limma-c16.csv
    Deleted:    output/cluster_markers/t_cells/up-cluster-limma-c17.csv
    Deleted:    output/cluster_markers/t_cells/up-cluster-limma-c18.csv
    Deleted:    output/cluster_markers/t_cells/up-cluster-limma-c19.csv
    Deleted:    output/cluster_markers/t_cells/up-cluster-limma-c2.csv
    Deleted:    output/cluster_markers/t_cells/up-cluster-limma-c20.csv
    Deleted:    output/cluster_markers/t_cells/up-cluster-limma-c21.csv
    Deleted:    output/cluster_markers/t_cells/up-cluster-limma-c3.csv
    Deleted:    output/cluster_markers/t_cells/up-cluster-limma-c4.csv
    Deleted:    output/cluster_markers/t_cells/up-cluster-limma-c5.csv
    Deleted:    output/cluster_markers/t_cells/up-cluster-limma-c6.csv
    Deleted:    output/cluster_markers/t_cells/up-cluster-limma-c7.csv
    Deleted:    output/cluster_markers/t_cells/up-cluster-limma-c8.csv
    Deleted:    output/cluster_markers/t_cells/up-cluster-limma-c9.csv

Note that any generated files, e.g. HTML, png, CSS, etc., are not included in this status report because it is ok for generated content to have uncommitted changes.


These are the previous versions of the repository in which changes were made to the R Markdown (analysis/08.0_integrate_cluster_other_cells.Rmd) and HTML (docs/08.0_integrate_cluster_other_cells.html) files. If you’ve configured a remote Git repository (see ?wflow_git_remote), click on the hyperlinks in the table below to view the files as they were in that past version.

File Version Author Date Message
Rmd 6f4600b Jovana Maksimovic 2024-03-20 wflow_publish(c("analysis/index.Rmd", "analysis/integrate_cluster"))

Load libraries.

suppressPackageStartupMessages({
 library(SingleCellExperiment)
 library(edgeR)
 library(tidyverse)
 library(ggplot2)
 library(Seurat)
 library(glmGamPoi)
 library(dittoSeq)
 library(here)
 library(clustree)
 library(patchwork)
 library(AnnotationDbi)
 library(org.Hs.eg.db)
 library(glue)
 library(speckle)
 library(tidyHeatmap)
 library(dsb)
})

Load data

Load T-cell subset Seurat object.

ambient <- ""
seu <- readRDS(here("data",
                    "C133_Neeland_merged",
                    glue("C133_Neeland_full_clean{ambient}_other_cells.SEU.rds")))
seu
An object of class Seurat 
21894 features across 15687 samples within 3 assays 
Active assay: RNA (21568 features, 0 variable features)
 2 other assays present: ADT, ADT.dsb

Data integration

Visualise batch effects.

seu <- ScaleData(seu) %>%
  FindVariableFeatures() %>%
  RunPCA(dims = 1:30, verbose = FALSE) %>%
  RunUMAP(dims = 1:30, verbose = FALSE)

DimPlot(seu, group.by = "Batch", reduction = "umap")

Cell cycle effect

Assign each cell a score, based on its expression of G2/M and S phase markers as described in the Seurat workflow here.

s.genes <- cc.genes.updated.2019$s.genes
g2m.genes <- cc.genes.updated.2019$g2m.genes

seu <- CellCycleScoring(seu, s.features = s.genes, g2m.features = g2m.genes, 
                        set.ident = TRUE)

PCA of cell cycle genes.

DimPlot(seu, group.by = "Phase") -> p1

seu %>%
  RunPCA(features = c(s.genes, g2m.genes),
                      dims = 1:30, verbose = FALSE) %>%
  DimPlot(reduction = "pca") -> p2

(p2 / p1) + plot_layout(guides = "collect")

Distribution of cell cycle markers.

# Visualize the distribution of cell cycle markers across
RidgePlot(seu, features = c("PCNA", "TOP2A", "MCM6", "MKI67"), ncol = 2,
          log = TRUE)

Using the Seurat Alternate Workflow from here, calculate the difference between the G2M and S phase scores so that signals separating non-cycling cells and cycling cells will be maintained, but differences in cell cycle phase among proliferating cells (which are often uninteresting), can be regressed out of the data.

seu$CC.Difference <- seu$S.Score - seu$G2M.Score

Integrate RNA data

Split by batch for integration. Normalise with SCTransform. Increase the strength of alignment by increasing k.anchor parameter to 20 as recommended in Seurat Fast integration with RPCA vignette.

First, integrate the RNA data.

out <- here("data",
            "C133_Neeland_merged",
            glue("C133_Neeland_full_clean{ambient}_integrated_other_cells.SEU.rds"))

if(!file.exists(out)){
  DefaultAssay(seu) <- "RNA"
  VariableFeatures(seu) <- NULL
  seu[["pca"]] <- NULL
  seu[["umap"]] <- NULL
  
  seuLst <- SplitObject(seu, split.by = "Batch")
  rm(seu)
  gc()
  
  # normalise with SCTransform and regress out cell cycle score difference
  seuLst <- lapply(X = seuLst, FUN = SCTransform, method = "glmGamPoi",
                   vars.to.regress = "CC.Difference")
  # integrate RNA data
  features <- SelectIntegrationFeatures(object.list = seuLst,
                                        nfeatures = 3000)
  seuLst <- PrepSCTIntegration(object.list = seuLst, anchor.features = features)
  seuLst <- lapply(X = seuLst, FUN = RunPCA, features = features)
  anchors <- FindIntegrationAnchors(object.list = seuLst,
                                    normalization.method = "SCT",
                                    anchor.features = features,
                                    k.anchor = 20,
                                    dims = 1:30, reduction = "rpca")
  seu <- IntegrateData(anchorset = anchors, 
                       k.weight = min(100, min(sapply(seuLst, ncol)) - 5),
                       normalization.method = "SCT",
                       dims = 1:30)
  
  DefaultAssay(seu) <- "integrated"
  seu <- RunPCA(seu, dims = 1:30, verbose = FALSE) %>%
    RunUMAP(dims = 1:30, verbose = FALSE)

  saveRDS(seu, file = out)
  fs::file_chmod(out, "664")
  if(any(str_detect(fs::group_ids()$group_name, 
                    "oshlack_lab"))) fs::file_chown(out, 
                                                    group_id = "oshlack_lab")
  
} else {
  seu <- readRDS(file = out)
  
}

Integrate ADT data

out <- here("data",
            "C133_Neeland_merged",
            glue("C133_Neeland_full_clean{ambient}_integrated_other_cells.ADT.SEU.rds"))

# get ADT meta data
read.csv(file = here("data",
                     "C133_Neeland_batch1",
                     "data",
                     "sample_sheets",
                     "ADT_features.csv")) -> adt_data 
# cleanup ADT meta data
pattern <- "anti-human/mouse |anti-human/mouse/rat |anti-mouse/human "
adt_data$name <- gsub(pattern, "", adt_data$name)
# change ADT rownames to antibody names
DefaultAssay(seu) <- "ADT"
if(all(rownames(seu[["ADT"]]@counts) == adt_data$id)){
  adt_counts <- seu[["ADT"]]@counts
  rownames(adt_counts) <- adt_data$name
  seu[["ADT"]] <- CreateAssayObject(counts = adt_counts)
}

if(!file.exists(out)){
  tmp <- DietSeurat(subset(seu, cells = which(seu$Batch != 0)), 
                    assays = "ADT")
  DefaultAssay(tmp) <- "ADT"
  
  seuLst <- SplitObject(tmp, split.by = "Batch")
  seuLst <- lapply(X = seuLst, FUN = function(x) {
    # set all ADT as variable features
    VariableFeatures(x) <- rownames(x)
    x <- NormalizeData(x, normalization.method = "CLR", margin = 2)
    x
  })
  features <- SelectIntegrationFeatures(object.list = seuLst)
  seuLst <- lapply(X = seuLst, FUN = function(x) {
    x <- ScaleData(x, features = features, verbose = FALSE) %>%
      RunPCA(features = features, verbose = FALSE)
    x
  })
  anchors <- FindIntegrationAnchors(object.list = seuLst, reduction = "rpca",
                                    dims = 1:30)
  tmp <- IntegrateData(anchorset = anchors, dims = 1:30)
  
  DefaultAssay(tmp) <- "integrated"
  tmp <- ScaleData(tmp) %>%
    RunPCA(dims = 1:30, verbose = FALSE) %>%
    RunUMAP(dims = 1:30, verbose = FALSE)

  # create combined object that only contains cells with RNA+ADT data
  seuADT <- subset(seu, cells = which(seu$Batch !=0))
  seuADT[["integrated.adt"]] <- tmp[["integrated"]]
  seuADT[["pca.adt"]] <- tmp[["pca"]]
  seuADT[["umap.adt"]] <- tmp[["umap"]]

  saveRDS(seuADT, file = out)
  fs::file_chmod(out, "664")
  if(any(str_detect(fs::group_ids()$group_name, 
                    "oshlack_lab"))) fs::file_chown(out, 
                                                    group_id = "oshlack_lab")
  
} else {
  seuADT <- readRDS(file = out)
  
}

View integrated data

DefaultAssay(seuADT) <- "integrated"

DimPlot(seu, group.by = "Batch", reduction = "umap") -> p1
DimPlot(seuADT, group.by = "Batch", reduction = "umap") -> p2
DimPlot(seuADT, group.by = "Batch", reduction = "umap.adt") -> p3

(p1 / ((p2 | p3) +
  plot_layout(guides = "collect"))) &
  theme(axis.title = element_text(size = 8),
        axis.text = element_text(size = 8)) 

DimPlot(seu, group.by = "Phase", reduction = "umap") -> p1
DimPlot(seuADT, group.by = "Phase", reduction = "umap") -> p2
DimPlot(seuADT, group.by = "Phase", reduction = "umap.adt") -> p3

(p1 / ((p2 | p3) +
  plot_layout(guides = "collect"))) &
  theme(axis.title = element_text(size = 8),
        axis.text = element_text(size = 8)) 

Cluster data

Perform clustering only on data that has ADT i.e. exclude batch 0.

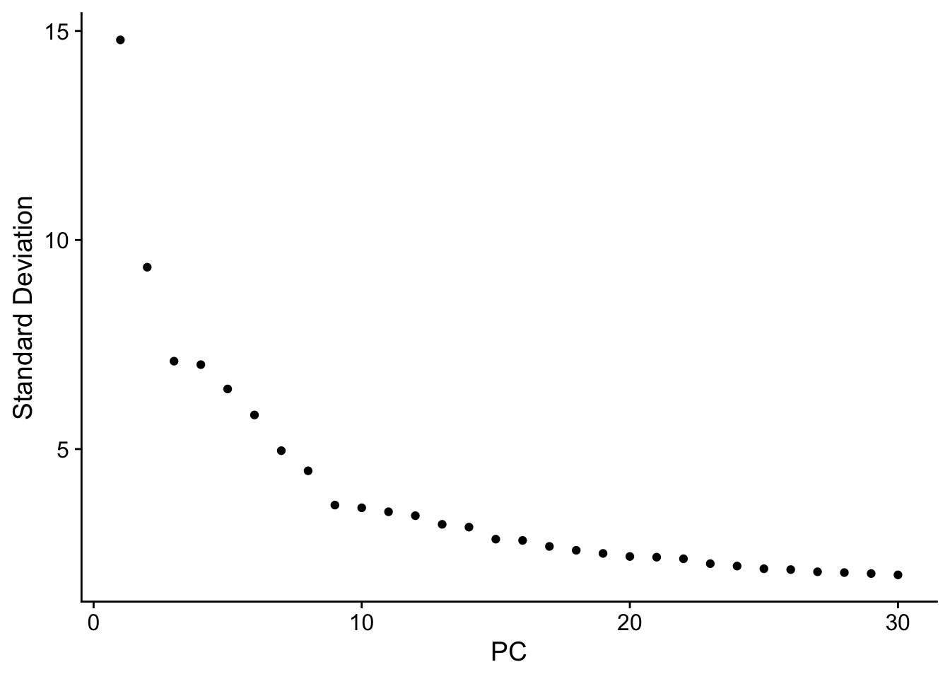
Dimensionality reduction (RNA)

Exclude any mitochondrial, ribosomal, immunoglobulin and HLA genes from variable genes list, to encourage clustering by cell type.

# remove HLA, immunoglobulin, RNA, MT, and RP genes from variable genes list
var_regex = '^HLA-|^IG[HJKL]|^RNA|^MT-|^RP' 
hvg <- grep(var_regex, VariableFeatures(seuADT), invert = TRUE, value = TRUE)
# assign edited variable gene list back to object 
VariableFeatures(seuADT) <- hvg

# redo PCA and UMAP 
seuADT <- RunPCA(seuADT, dims = 1:30, verbose = FALSE) %>%
    RunUMAP(dims = 1:30, verbose = FALSE)

DimHeatmap(seuADT, dims = 1:30, cells = 500, balanced = TRUE,
           reduction = "pca", assays = "integrated")

ElbowPlot(seuADT, ndims = 30, reduction = "pca")

Dimensionality reduction (ADT)

DimHeatmap(seuADT, dims = 1:30, cells = 500, balanced = TRUE,
           reduction = "pca.adt", assays = "integrated.adt")

ElbowPlot(seuADT, ndims = 30, reduction = "pca.adt")

Run WNN clustering

Perform clustering at a range of resolutions and visualise to see which is appropriate to proceed with.

out <- here("data",
            "C133_Neeland_merged",
            glue("C133_Neeland_full_clean{ambient}_integrated_clustered_other_cells.ADT.SEU.rds"))

if(!file.exists(out)){
  DefaultAssay(seuADT) <- "integrated"
  seuADT <- FindMultiModalNeighbors(seuADT, reduction.list = list("pca", "pca.adt"), 
                                 dims.list = list(1:30, 1:10), 
                                 modality.weight.name = "RNA.weight")
  seuADT <- FindClusters(seuADT, algorithm = 3, 
                      resolution = seq(0.1, 1, by = 0.1),
                      graph.name = "wsnn")
  seuADT <- RunUMAP(seuADT, dims = 1:30, nn.name = "weighted.nn", 
                 reduction.name = "wnn.umap", reduction.key = "wnnUMAP_",
                 return.model = TRUE)
  saveRDS(seuADT, file = out)
  fs::file_chmod(out, "664")
  if(any(str_detect(fs::group_ids()$group_name, 
                    "oshlack_lab"))) fs::file_chown(out, 
                                                    group_id = "oshlack_lab")
  
} else {
  seuADT <- readRDS(file = out)
  
}

clustree::clustree(seuADT, prefix = "wsnn_res.")

View clusters

Choose most appropriate resolution based on clustree plot above.

grp <- "wsnn_res.0.6"
# change factor ordering
seuADT@meta.data[,grp] <- fct_inseq(seuADT@meta.data[,grp])

DimPlot(seuADT, group.by = grp, label = T) + 
  theme(legend.position = "bottom")

Weighting of RNA and ADT data per cluster.

 VlnPlot(seuADT, features = "integrated.weight", group.by = grp, sort = TRUE, 
         pt.size = 0.1) +
  NoLegend()

Reference mapping

Batch 0 only has RNA data and was not included in the WNN clustering of batched 1-6. To add this data we will map it to the WNN clustered reference.

Map data

Find transfer anchors.

# use WNN clustered batches 1-6 as reference
reference <- seuADT
DefaultAssay(seu) <- "RNA"
# batch 0 RNA data is the query
query <- DietSeurat(subset(seu, cells = which(seu$Batch == 0)),
                    assays = "RNA")

DefaultAssay(reference) <- "integrated"

anchors <- FindTransferAnchors(
  reference = reference,
  query = query,
  normalization.method = "SCT",
  reference.reduction = "pca",
  dims = 1:50
)

Map batch 0 samples onto reference.

query <- MapQuery(
  anchorset = anchors,
  query = query,
  reference = reference,
  refdata = list(
    wsnn = grp,
    ADT = "ADT"
  ),
  reference.reduction = "pca", 
  reduction.model = "wnn.umap"
)

query
An object of class Seurat 
21756 features across 2971 samples within 3 assays 
Active assay: RNA (21568 features, 0 variable features)
 2 other assays present: prediction.score.wsnn, ADT
 2 dimensional reductions calculated: ref.pca, ref.umap

Visualise batch 0 samples on reference UMAP.

query$predicted.wsnn <- fct_inseq(query$predicted.wsnn)

DimPlot(query, reduction = "ref.umap", group.by = "predicted.wsnn", 
        label = TRUE, label.size = 3 ,repel = TRUE) + 
  theme(legend.position = "bottom")

Distribution of Azimuth prediction scores per WNN cluster.

ggplot(query@meta.data, aes(x = predicted.wsnn, 
                            y = predicted.wsnn.score,
                            fill = predicted.wsnn)) +
  geom_boxplot() + NoLegend()

Compute combined UMAP

Computing a new UMAP can help to identify any cell states present in the query but not reference.

# merge reference (integrated + WNN clustered) and query (RNA only samples)
reference$id <- 'reference'
query$id <- 'query'
DefaultAssay(reference) <- "integrated"
refquery <- merge(DietSeurat(reference,
                             assays = c("RNA","ADT","integrated","SCT"),
                             dimreducs = c("pca")),
                  DietSeurat(query,
                             assays = c("RNA"),
                             dimreducs = "ref.pca"))
refquery[["pca"]] <- merge(reference[["pca"]], query[["ref.pca"]])
refquery <- RunUMAP(refquery, reduction = 'pca', dims = 1:50, assay = "integrated")

View combined UMAP.

# combine cluster annotations from reference and query
refquery@meta.data[, grp] <- ifelse(is.na(refquery@meta.data[,grp]),
                          refquery$predicted.wsnn,
                          refquery@meta.data[,grp])
# change factor ordering
refquery@meta.data[,grp] <- fct_inseq(refquery@meta.data[,grp])

DimPlot(refquery, reduction = "umap", group.by = grp, 
             label = TRUE, label.size = 3) + NoLegend() 

DimPlot(refquery, reduction = "umap", group.by = "Phase", 
             label = FALSE, label.size = 3)

DimPlot(refquery, reduction = "umap", group.by = "Disease", 
             label = FALSE, label.size = 3)

Save results.

out <- here("data",
            "C133_Neeland_merged",
            glue("C133_Neeland_full_clean{ambient}_integrated_clustered_mapped_other_cells.ADT.SEU.rds"))
if(!file.exists(out)){
  saveRDS(refquery, file = out)
  fs::file_chmod(out, "664")
  if(any(str_detect(fs::group_ids()$group_name, 
                    "oshlack_lab"))) fs::file_chown(out, 
                                                    group_id = "oshlack_lab")
}

Examine combined clusters

Number of cells per cluster.

refquery@meta.data %>%
  ggplot(aes(x = !!sym(grp), fill = !!sym(grp))) +
  geom_bar() +
  geom_text(aes(label = ..count..), stat = "count",
            vjust = -0.5, colour = "black", size = 2) +
  theme(axis.text.x = element_text(angle = 90, vjust = 0.5, hjust = 1)) +
  NoLegend()

Visualise quality metrics by cluster. Cluster 17 potentially contains low quality cells.

refquery@meta.data %>%
  ggplot(aes(x = !!sym(grp),
             y = nCount_RNA,
             fill = !!sym(grp))) +
  geom_violin(scale = "area") +
  scale_y_log10() +
  NoLegend() -> p2

refquery@meta.data %>%
  ggplot(aes(x = !!sym(grp),
             y = nFeature_RNA,
             fill = !!sym(grp))) +
  geom_violin(scale = "area") +
  scale_y_log10() +
  NoLegend() -> p3

(p2 / p3) & theme(text = element_text(size = 8))

Check the batch composition of each of the clusters. Cluster 17 does not contain any cells from batch 0; could be a quality issue or the cell type was not captured in batch 0?

dittoBarPlot(refquery,
             var = "Batch", 
             group.by = grp)

Check the sample compositions of combined clusters.

dittoBarPlot(refquery,
             var = "sample.id", 
             group.by = grp) + ggtitle("Samples") +
  theme(legend.position = "bottom")

RNA marker gene analysis

Adapted from Dr. Belinda Phipson’s work for [@Sim2021-cg].

Test for marker genes using limma

# limma-trend for DE
Idents(refquery) <- grp

logcounts <- normCounts(DGEList(as.matrix(refquery[["RNA"]]@counts)),
                        log = TRUE, prior.count = 0.5)
entrez <- AnnotationDbi::mapIds(org.Hs.eg.db,
                                keys = rownames(logcounts),
                                column = c("ENTREZID"),
                                keytype = "SYMBOL",
                                multiVals = "first")
# remove genes without entrez IDs as these are difficult to interpret biologically
logcounts <- logcounts[!is.na(entrez),]
# remove confounding genes from counts table e.g. mitochondrial, ribosomal etc.
logcounts <- logcounts[!str_detect(rownames(logcounts), var_regex),]

maxclust <- length(levels(Idents(refquery))) - 1

clustgrp <- paste0("c", Idents(refquery))
clustgrp <- factor(clustgrp, levels = paste0("c", 0:maxclust))
donor <- factor(seu$sample.id)
batch <- factor(seu$Batch)

design <- model.matrix(~ 0 + clustgrp + donor)
colnames(design)[1:(length(levels(clustgrp)))] <- levels(clustgrp)

# Create contrast matrix
mycont <- matrix(NA, ncol = length(levels(clustgrp)),
                 nrow = length(levels(clustgrp)))
rownames(mycont) <- colnames(mycont) <- levels(clustgrp)
diag(mycont) <- 1
mycont[upper.tri(mycont)] <- -1/(length(levels(factor(clustgrp))) - 1)
mycont[lower.tri(mycont)] <- -1/(length(levels(factor(clustgrp))) - 1)

# Fill out remaining rows with 0s
zero.rows <- matrix(0, ncol = length(levels(clustgrp)),
                    nrow = (ncol(design) - length(levels(clustgrp))))
fullcont <- rbind(mycont, zero.rows)
rownames(fullcont) <- colnames(design)

fit <- lmFit(logcounts, design)

fit.cont <- contrasts.fit(fit, contrasts = fullcont)
fit.cont <- eBayes(fit.cont, trend = TRUE, robust = TRUE)

summary(decideTests(fit.cont))
          c0    c1    c2    c3    c4    c5    c6    c7    c8    c9   c10   c11
Down    6874  4155  3298  3238  2194  2356  3390  3423  5682  2839  4730  4258
NotSig  7386  9168  9606  4741 11216 11925 10069 11282  8564 12131  8399 10730
Up      2005  2942  3361  8286  2855  1984  2806  1560  2019  1295  3136  1277
         c12   c13   c14   c15   c16   c17   c18   c19   c20   c21   c22   c23
Down    4945   738  3325   269  2578  1136   471   216  2748  1687  1109  1140
NotSig  9648 14659 11223 12291 12217 13652 11704 14395 12687 12882 14517 14016
Up      1672   868  1717  3705  1470  1477  4090  1654   830  1696   639  1109
         c24
Down      17
NotSig 16078
Up       170

Test relative to a threshold (TREAT).

tr <- treat(fit.cont, lfc = 0.25)
dt <- decideTests(tr)
summary(dt)
          c0    c1    c2    c3    c4    c5    c6    c7    c8    c9   c10   c11
Down     424    64    38   470    13    45   250    56   535    14   600    83
NotSig 15666 15886 15858 13894 15941 15909 15637 15891 15518 15983 15349 15896
Up       175   315   369  1901   311   311   378   318   212   268   316   286
         c12   c13   c14   c15   c16   c17   c18   c19   c20   c21   c22   c23
Down     255     4   264     3   135     9    22     5   131   406   229   176
NotSig 15588 16160 15828 15966 15869 15911 15653 16110 15913 15662 15895 15885
Up       422   101   173   296   261   345   590   150   221   197   141   204
         c24
Down       0
NotSig 16263
Up         2

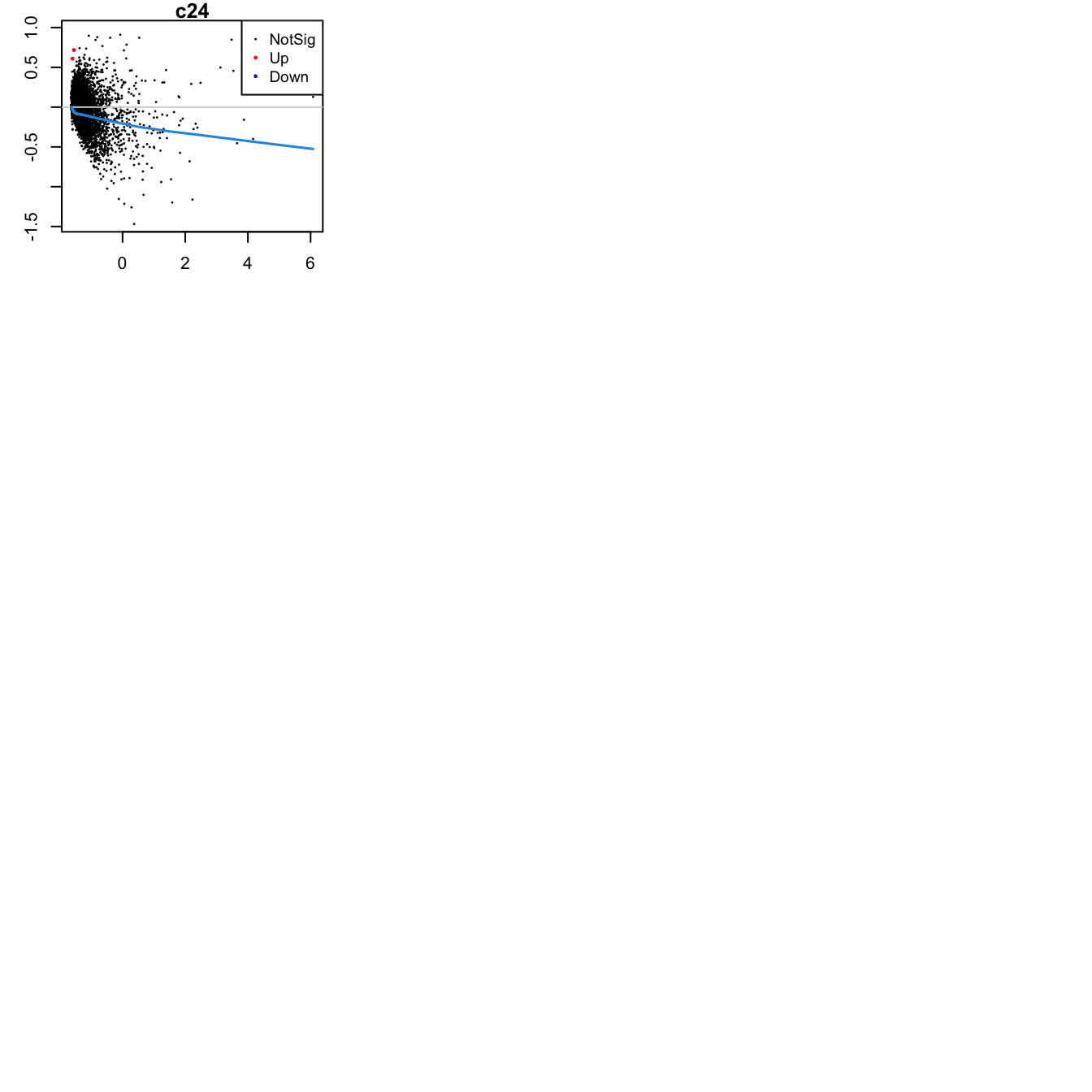
Mean-difference (MD) plots per cluster.

par(mfrow=c(4,3))
par(mar=c(2,3,1,2))

for(i in 1:ncol(mycont)){
  plotMD(tr, coef = i, status = dt[,i], hl.cex = 0.5)
  abline(h = 0, col = "lightgrey")
  lines(lowess(tr$Amean, tr$coefficients[,i]), lwd = 1.5, col = 4)
}

limma marker gene dotplot

DefaultAssay(refquery) <- "RNA"
contnames <- colnames(mycont)
top_markers <- NULL
n_markers <- 10

for(i in 1:ncol(mycont)){
  top <- topTreat(tr, coef = i, n = Inf)
  top <- top[top$logFC > 0, ]
  top_markers <- c(top_markers, 
                   setNames(rownames(top)[1:n_markers], 
                            rep(contnames[i], n_markers)))
}

top_markers <- top_markers[!is.na(top_markers)]
top_markers <- top_markers[!duplicated(top_markers)]
cols <- paletteer::paletteer_d("pals::glasbey")[factor(names(top_markers))]

DotPlot(refquery,    
        features = unname(top_markers),
        group.by = grp,
        cols = c("azure1", "blueviolet"),
        dot.scale = 3, assay = "SCT") +
    RotatedAxis() +
    FontSize(y.text = 8, x.text = 12) +
    labs(y = element_blank(), x = element_blank()) +
    coord_flip() +
  theme(axis.text.y = element_text(color = cols)) +
  ggtitle("Top 10 cluster marker genes (no duplicates)")

Save marker genes and pathways

The Broad MSigDB Reactome pathways are tested for each contrast using cameraPR from limma. The cameraPR method tests whether a set of genes is highly ranked relative to other genes in terms of differential expression, accounting for inter-gene correlation.

Prepare gene sets of interest.

if(!file.exists(here("data/Hs.c2.cp.reactome.v7.1.entrez.rds")))
  download.file("https://bioinf.wehi.edu.au/MSigDB/v7.1/Hs.c2.cp.reactome.v7.1.entrez.rds",
                here("data/Hs.c2.cp.reactome.v7.1.entrez.rds"))

Hs.c2.reactome <- readRDS(here("data/Hs.c2.cp.reactome.v7.1.entrez.rds"))

gns <- AnnotationDbi::mapIds(org.Hs.eg.db, 
                             keys = rownames(tr), 
                             column = c("ENTREZID"),
                             keytype = "SYMBOL",
                             multiVals = "first")

Run pathway analysis and save results to file.

options(scipen=-1, digits = 6)
contnames <- colnames(mycont)
dirName <- here("output",
                "cluster_markers",
                glue("RNA{ambient}"),
                "other_cells")

if(!dir.exists(dirName)) dir.create(dirName, recursive = TRUE)

for(c in colnames(tr)){
  top <- topTreat(tr, coef = c, n = Inf)
  top <- top[top$logFC > 0, ]

  write.csv(top[1:100, ] %>%
              rownames_to_column(var = "Symbol"),
            file = glue("{dirName}/up-cluster-limma-{c}.csv"),
            sep = ",",
            quote = FALSE,
            col.names = NA,
            row.names = TRUE)

  # get marker indices
  c2.id <- ids2indices(Hs.c2.reactome, unname(gns[rownames(tr)]))
  # gene set testing results
  cameraPR(tr$t[,glue("{c}")], c2.id) %>%
    rownames_to_column(var = "Pathway") %>%
    dplyr::filter(Direction == "Up") %>%
    slice_head(n = 50) %>%
    write.csv(file = here(glue("{dirName}/REACTOME-cluster-limma-{c}.csv")),
            sep = ",",
            quote = FALSE,
            col.names = NA,
            row.names = TRUE)
}

ADT marker analysis

Find all marker ADT using limma

# identify isotype controls for DSB ADT normalisation
read_csv(file = here("data",
                     "C133_Neeland_batch1",
                     "data",
                     "sample_sheets",
                     "ADT_features.csv")) %>%
  dplyr::filter(grepl("[Ii]sotype", name)) %>%
  pull(name) -> isotype_controls

# normalise ADT using DSB normalisation
adt <- seuADT[["ADT"]]@counts
adt_dsb <- ModelNegativeADTnorm(cell_protein_matrix = adt,
                                denoise.counts = TRUE,
                                use.isotype.control = TRUE,
                                isotype.control.name.vec = isotype_controls)
[1] "fitting models to each cell for dsb technical component and removing cell to cell technical noise"

Running the limma analysis on the normalised counts.

# limma-trend for DE
Idents(seuADT) <- grp

logcounts <- adt_dsb
# remove isotype controls from marker analysis
logcounts <- logcounts[!rownames(logcounts) %in% isotype_controls,]
maxclust <- length(levels(Idents(seuADT))) - 1

clustgrp <- paste0("c", Idents(seuADT))
clustgrp <- factor(clustgrp, levels = paste0("c", 0:maxclust))
donor <- seuADT$sample.id

design <- model.matrix(~ 0 + clustgrp + donor)
colnames(design)[1:(length(levels(clustgrp)))] <- levels(clustgrp)

# Create contrast matrix
mycont <- matrix(NA, ncol = length(levels(clustgrp)),
                 nrow = length(levels(clustgrp)))
rownames(mycont) <- colnames(mycont) <- levels(clustgrp)
diag(mycont) <- 1
mycont[upper.tri(mycont)] <- -1/(length(levels(factor(clustgrp))) - 1)
mycont[lower.tri(mycont)] <- -1/(length(levels(factor(clustgrp))) - 1)

# Fill out remaining rows with 0s
zero.rows <- matrix(0, ncol = length(levels(clustgrp)),
                    nrow = (ncol(design) - length(levels(clustgrp))))
fullcont <- rbind(mycont, zero.rows)
rownames(fullcont) <- colnames(design)

fit <- lmFit(logcounts, design)
fit.cont <- contrasts.fit(fit, contrasts = fullcont)
fit.cont <- eBayes(fit.cont, trend = TRUE, robust = TRUE)

summary(decideTests(fit.cont))
        c0  c1  c2  c3  c4  c5  c6  c7  c8  c9 c10 c11 c12 c13 c14 c15 c16 c17
Down    68  61  36  74  21  18  70  25  71  20  54  32  40  34  61  23  46   8
NotSig  47  62  79  55  78  88  67  95  59  98  73  68  86  80  78  57  86  94
Up      39  31  39  25  55  48  17  34  24  36  27  54  28  40  15  74  22  52
       c18 c19 c20 c21 c22 c23 c24
Down    10   6  23  16  22  46  77
NotSig 102 100 104 127 123  88  73
Up      42  48  27  11   9  20   4

Test relative to a threshold (TREAT).

tr <- treat(fit.cont, lfc = 0.1)
dt <- decideTests(tr)
summary(dt)
        c0  c1  c2  c3  c4  c5  c6  c7  c8  c9 c10 c11 c12 c13 c14 c15 c16 c17
Down    35  13   4  37   1   5  32   4  32   2  25   6   7   2  33   1  24   1
NotSig 104 127 132 110 125 128 113 131 113 134 119 127 132 137 113 100 119 133
Up      15  14  18   7  28  21   9  19   9  18  10  21  15  15   8  53  11  20
       c18 c19 c20 c21 c22 c23 c24
Down     0   1   4   7  10  28  59
NotSig 141 123 139 146 136 108  93
Up      13  30  11   1   8  18   2

ADT marker dot plot

Dot plot of the top 5 ADT markers per cluster without duplication.

contnames <- colnames(mycont)
top_markers <- NULL
n_markers <- 5

for (i in 1:length(contnames)){
  top <- topTreat(tr, coef = i, n = Inf)
  top <- top[top$logFC > 0,]
  top_markers <- c(top_markers, 
                   setNames(rownames(top)[1:n_markers], 
                            rep(contnames[i], n_markers)))
}

top_markers <- top_markers[!is.na(top_markers)]
top_markers <- top_markers[!duplicated(top_markers)]
cols <- paletteer::paletteer_d("pals::glasbey")[factor(names(top_markers))][!duplicated(top_markers)]

# add DSB normalised data to Seurat assay for plotting
seuADT[["ADT.dsb"]] <- CreateAssayObject(data = logcounts)
DotPlot(seuADT, 
        group.by = grp,
        features = unname(top_markers), 
        cols = c("azure1", "blueviolet"),
        assay = "ADT.dsb")  +
  RotatedAxis() + 
  FontSize(y.text = 8, x.text = 9) +
  labs(y = element_blank(), x = element_blank()) +
  theme(axis.text.y = element_text(color = cols),
        legend.text = element_text(size = 10),
        legend.title = element_text(size = 10)) +
    coord_flip() +
  ggtitle("Top 5 cluster markers ADTs (no duplicates)")

ADT marker heatmap

Make data frame of proteins, clusters, expression levels.

cbind(seuADT@meta.data %>%
        dplyr::select(!!sym(grp)),
      as.data.frame(t(seuADT@assays$ADT.dsb@data))) %>%
  rownames_to_column(var = "cell") %>%
  pivot_longer(c(-!!sym(grp), -cell), 
               names_to = "ADT",
               values_to = "expression") %>%
  dplyr::group_by(!!sym(grp), ADT) %>%
  dplyr::summarize(Expression = mean(expression)) %>%
  ungroup() -> dat

# plot expression density to select heatmap colour scale range
plot(density(dat$Expression))

dat %>%
  dplyr::filter(ADT %in% top_markers) |>
  heatmap(
    .column = !!sym(grp),
    .row = ADT,
    .value = Expression,
    row_order = top_markers, 
    scale = "none",
    rect_gp = grid::gpar(col = "white", lwd = 1),
    show_row_names = TRUE,
    cluster_columns = FALSE,
    cluster_rows = FALSE,
    column_names_gp = grid::gpar(fontsize = 10),
    column_title_gp = grid::gpar(fontsize = 12),
    row_names_gp = grid::gpar(fontsize = 8, col = cols[order(top_markers)]),
    row_title_gp = grid::gpar(fontsize = 12),
    column_title_side = "top",
    palette_value = circlize::colorRamp2(seq(-0.5, 2.5, length.out = 256),
                                         viridis::magma(256)),
    heatmap_legend_param = list(direction = "vertical"))

Save ADT markers

options(scipen=-1, digits = 6)
contnames <- colnames(mycont)
dirName <- here("output",
                "cluster_markers",
                glue("ADT{ambient}"),
                "other_cells")
if(!dir.exists(dirName)) dir.create(dirName, recursive = TRUE)

for(c in contnames){
  top <- topTreat(tr, coef = c, n = Inf)
  top <- top[top$logFC > 0, ]
  write.csv(top,
            file = glue("{dirName}/up-cluster-limma-{c}.csv"),
            sep = ",",
            quote = FALSE,
            col.names = NA,
            row.names = TRUE)
}

Session info


sessionInfo()
R version 4.3.2 (2023-10-31)
Platform: aarch64-apple-darwin20 (64-bit)
Running under: macOS Sonoma 14.3.1

Matrix products: default
BLAS:   /Library/Frameworks/R.framework/Versions/4.3-arm64/Resources/lib/libRblas.0.dylib 
LAPACK: /Library/Frameworks/R.framework/Versions/4.3-arm64/Resources/lib/libRlapack.dylib;  LAPACK version 3.11.0

locale:
[1] en_US.UTF-8/en_US.UTF-8/en_US.UTF-8/C/en_US.UTF-8/en_US.UTF-8

time zone: Australia/Melbourne
tzcode source: internal

attached base packages:
[1] stats4    stats     graphics  grDevices datasets  utils     methods  
[8] base     

other attached packages:
 [1] dsb_1.0.3                   tidyHeatmap_1.8.1          
 [3] speckle_1.2.0               glue_1.7.0                 
 [5] org.Hs.eg.db_3.18.0         AnnotationDbi_1.64.1       
 [7] patchwork_1.2.0             clustree_0.5.1             
 [9] ggraph_2.2.0                here_1.0.1                 
[11] dittoSeq_1.14.2             glmGamPoi_1.14.3           
[13] SeuratObject_4.1.4          Seurat_4.4.0               
[15] lubridate_1.9.3             forcats_1.0.0              
[17] stringr_1.5.1               dplyr_1.1.4                
[19] purrr_1.0.2                 readr_2.1.5                
[21] tidyr_1.3.1                 tibble_3.2.1               
[23] ggplot2_3.5.0               tidyverse_2.0.0            
[25] edgeR_4.0.15                limma_3.58.1               
[27] SingleCellExperiment_1.24.0 SummarizedExperiment_1.32.0
[29] Biobase_2.62.0              GenomicRanges_1.54.1       
[31] GenomeInfoDb_1.38.6         IRanges_2.36.0             
[33] S4Vectors_0.40.2            BiocGenerics_0.48.1        
[35] MatrixGenerics_1.14.0       matrixStats_1.2.0          
[37] workflowr_1.7.1            

loaded via a namespace (and not attached):
  [1] fs_1.6.3                spatstat.sparse_3.0-3   bitops_1.0-7           
  [4] httr_1.4.7              RColorBrewer_1.1-3      doParallel_1.0.17      
  [7] backports_1.4.1         tools_4.3.2             sctransform_0.4.1      
 [10] utf8_1.2.4              R6_2.5.1                lazyeval_0.2.2         
 [13] uwot_0.1.16             GetoptLong_1.0.5        withr_3.0.0            
 [16] sp_2.1-3                gridExtra_2.3           progressr_0.14.0       
 [19] cli_3.6.2               Cairo_1.6-2             spatstat.explore_3.2-6 
 [22] prismatic_1.1.1         labeling_0.4.3          sass_0.4.8             
 [25] spatstat.data_3.0-4     ggridges_0.5.6          pbapply_1.7-2          
 [28] parallelly_1.37.0       rstudioapi_0.15.0       RSQLite_2.3.5          
 [31] generics_0.1.3          shape_1.4.6             vroom_1.6.5            
 [34] ica_1.0-3               spatstat.random_3.2-2   dendextend_1.17.1      
 [37] Matrix_1.6-5            ggbeeswarm_0.7.2        fansi_1.0.6            
 [40] abind_1.4-5             lifecycle_1.0.4         whisker_0.4.1          
 [43] yaml_2.3.8              SparseArray_1.2.4       Rtsne_0.17             
 [46] paletteer_1.6.0         grid_4.3.2              blob_1.2.4             
 [49] promises_1.2.1          crayon_1.5.2            miniUI_0.1.1.1         
 [52] lattice_0.22-5          cowplot_1.1.3           KEGGREST_1.42.0        
 [55] pillar_1.9.0            knitr_1.45              ComplexHeatmap_2.18.0  
 [58] rjson_0.2.21            future.apply_1.11.1     codetools_0.2-19       
 [61] leiden_0.4.3.1          getPass_0.2-4           data.table_1.15.0      
 [64] vctrs_0.6.5             png_0.1-8               gtable_0.3.4           
 [67] rematch2_2.1.2          cachem_1.0.8            xfun_0.42              
 [70] S4Arrays_1.2.0          mime_0.12               tidygraph_1.3.1        
 [73] survival_3.5-8          pheatmap_1.0.12         iterators_1.0.14       
 [76] statmod_1.5.0           ellipsis_0.3.2          fitdistrplus_1.1-11    
 [79] ROCR_1.0-11             nlme_3.1-164            bit64_4.0.5            
 [82] RcppAnnoy_0.0.22        rprojroot_2.0.4         bslib_0.6.1            
 [85] irlba_2.3.5.1           vipor_0.4.7             KernSmooth_2.23-22     
 [88] colorspace_2.1-0        DBI_1.2.1               ggrastr_1.0.2          
 [91] tidyselect_1.2.0        processx_3.8.3          bit_4.0.5              
 [94] compiler_4.3.2          git2r_0.33.0            DelayedArray_0.28.0    
 [97] plotly_4.10.4           checkmate_2.3.1         scales_1.3.0           
[100] lmtest_0.9-40           callr_3.7.3             digest_0.6.34          
[103] goftest_1.2-3           spatstat.utils_3.0-4    rmarkdown_2.25         
[106] XVector_0.42.0          htmltools_0.5.7         pkgconfig_2.0.3        
[109] highr_0.10              fastmap_1.1.1           rlang_1.1.3            
[112] GlobalOptions_0.1.2     htmlwidgets_1.6.4       shiny_1.8.0            
[115] farver_2.1.1            jquerylib_0.1.4         zoo_1.8-12             
[118] jsonlite_1.8.8          mclust_6.1              RCurl_1.98-1.14        
[121] magrittr_2.0.3          GenomeInfoDbData_1.2.11 munsell_0.5.0          
[124] Rcpp_1.0.12             viridis_0.6.5           reticulate_1.35.0      
[127] stringi_1.8.3           zlibbioc_1.48.0         MASS_7.3-60.0.1        
[130] plyr_1.8.9              parallel_4.3.2          listenv_0.9.1          
[133] ggrepel_0.9.5           deldir_2.0-2            Biostrings_2.70.2      
[136] graphlayouts_1.1.0      splines_4.3.2           tensor_1.5             
[139] hms_1.1.3               circlize_0.4.15         locfit_1.5-9.8         
[142] ps_1.7.6                igraph_2.0.1.1          spatstat.geom_3.2-8    
[145] reshape2_1.4.4          evaluate_0.23           renv_1.0.3             
[148] tzdb_0.4.0              foreach_1.5.2           tweenr_2.0.3           
[151] httpuv_1.6.14           RANN_2.6.1              polyclip_1.10-6        
[154] future_1.33.1           clue_0.3-65             scattermore_1.2        
[157] ggforce_0.4.2           xtable_1.8-4            later_1.3.2            
[160] viridisLite_0.4.2       memoise_2.0.1           beeswarm_0.4.0         
[163] cluster_2.1.6           timechange_0.3.0        globals_0.16.2