Last updated: 2024-09-10

Checks: 7 0

Knit directory: paed-inflammation-CITEseq/

This reproducible R Markdown analysis was created with workflowr (version 1.7.1). The Checks tab describes the reproducibility checks that were applied when the results were created. The Past versions tab lists the development history.


Great! Since the R Markdown file has been committed to the Git repository, you know the exact version of the code that produced these results.

Great job! The global environment was empty. Objects defined in the global environment can affect the analysis in your R Markdown file in unknown ways. For reproduciblity it’s best to always run the code in an empty environment.

The command set.seed(20240216) was run prior to running the code in the R Markdown file. Setting a seed ensures that any results that rely on randomness, e.g. subsampling or permutations, are reproducible.

Great job! Recording the operating system, R version, and package versions is critical for reproducibility.

Nice! There were no cached chunks for this analysis, so you can be confident that you successfully produced the results during this run.

Great job! Using relative paths to the files within your workflowr project makes it easier to run your code on other machines.

Great! You are using Git for version control. Tracking code development and connecting the code version to the results is critical for reproducibility.

The results in this page were generated with repository version 5b48b0e. See the Past versions tab to see a history of the changes made to the R Markdown and HTML files.

Note that you need to be careful to ensure that all relevant files for the analysis have been committed to Git prior to generating the results (you can use wflow_publish or wflow_git_commit). workflowr only checks the R Markdown file, but you know if there are other scripts or data files that it depends on. Below is the status of the Git repository when the results were generated:


Ignored files:
    Ignored:    .Rhistory
    Ignored:    .Rproj.user/
    Ignored:    analysis/figure/
    Ignored:    data/C133_Neeland_batch1/
    Ignored:    data/C133_Neeland_merged/
    Ignored:    renv/library/
    Ignored:    renv/staging/

Untracked files:
    Untracked:  analysis/13.0_DGE_analysis_macro-alveolar_cells_CF-only-samples_OLD.Rmd
    Untracked:  analysis/13.1_DGE_analysis_macro-alveolar_cells_CF-vs-control-samples_OLD.Rmd
    Untracked:  analysis/13.3_DGE_analysis_macro-monocyte-derived_CF-only-samples_OLD.Rmd
    Untracked:  analysis/13.4_DGE_analysis_macro-monocyte-derived_CF-vs-control-samples_OLD.Rmd
    Untracked:  analysis/15.0_integrate_all_cells.Rmd

Unstaged changes:
    Modified:   analysis/09.0_integrate_cluster_macro_cells.Rmd
    Modified:   analysis/11.0_manual_annotations_t_cells_decontx.Rmd
    Modified:   analysis/12.0_manual_annotations_other_cells.Rmd
    Deleted:    analysis/14.0_proportions_analysis_broad.Rmd
    Deleted:    analysis/14.1_proportions_analysis_fine.Rmd
    Deleted:    analysis/14.2_proportions_analysis_macrophages.Rmd
    Modified:   data/cluster_annotations/T-NK_ambientRNAremoval_21.03.24.xlsx
    Modified:   data/cluster_annotations/others_ambientRNAremoval_21.03.24.xlsx
    Modified:   data/cluster_annotations/seurat_markers_TNK_cells.rds
    Modified:   data/cluster_annotations/seurat_markers_other_cells.rds

Note that any generated files, e.g. HTML, png, CSS, etc., are not included in this status report because it is ok for generated content to have uncommitted changes.


These are the previous versions of the repository in which changes were made to the R Markdown (analysis/14.2_proportions_analysis_ann_level_3_macrophages.Rmd) and HTML (docs/14.2_proportions_analysis_ann_level_3_macrophages.html) files. If you’ve configured a remote Git repository (see ?wflow_git_remote), click on the hyperlinks in the table below to view the files as they were in that past version.

File Version Author Date Message
Rmd 5b48b0e Jovana Maksimovic 2024-09-10 wflow_publish("analysis/14.2_proportions_analysis_ann_level_3_macrophages.Rmd")

Load libraries

suppressPackageStartupMessages({
  library(SingleCellExperiment)
  library(edgeR)
  library(tidyverse)
  library(ggplot2)
  library(Seurat)
  library(glmGamPoi)
  library(dittoSeq)
  library(clustree)
  library(AnnotationDbi)
  library(org.Hs.eg.db)
  library(glue)
  library(speckle)
  library(patchwork)
  library(paletteer)
  library(tidyHeatmap)
  library(here)
})

set.seed(42)
options(scipen=999)
options(future.globals.maxSize = 6500 * 1024^2)

Load Data

file <- here("data",
            "C133_Neeland_merged",
            glue("C133_Neeland_full_clean_macrophages_annotated_diet.SEU.rds"))

seu <- readRDS(file)
seu
An object of class Seurat 
21568 features across 165209 samples within 1 assay 
Active assay: RNA (21568 features, 0 variable features)

Analyse Cell type proportions

# Differences in cell type proportions
props <- getTransformedProps(clusters = seu$ann_level_3,
                             sample = seu$sample.id, transform="asin")
props$Proportions %>% knitr::kable()
sample_1.1 sample_15.1 sample_16.1 sample_17.1 sample_18.1 sample_19.1 sample_2.1 sample_20.1 sample_21.1 sample_22.1 sample_23.1 sample_24.1 sample_25.1 sample_26.1 sample_27.1 sample_28.1 sample_29.1 sample_3.1 sample_30.1 sample_31.1 sample_32.1 sample_33.1 sample_34.1 sample_34.2 sample_34.3 sample_35.1 sample_35.2 sample_36.1 sample_36.2 sample_37.1 sample_37.2 sample_37.3 sample_38.1 sample_38.2 sample_38.3 sample_39.1 sample_39.2 sample_4.1 sample_40.1 sample_41.1 sample_42.1 sample_43.1 sample_5.1 sample_6.1 sample_7.1
macro-alveolar 0.4750594 0.3657272 0.2234348 0.2772310 0.3252813 0.5249291 0.2832045 0.2779856 0.3101203 0.2744355 0.0458716 0.3651142 0.2920383 0.4566441 0.3492996 0.3700948 0.2007401 0.3678344 0.0897690 0.1948441 0.3414193 0.1957774 0.1299001 0.2399031 0.2225579 0.4291600 0.3967425 0.5215483 0.3704100 0.2633531 0.4786416 0.3373068 0.4354883 0.3365323 0.3201247 0.2666667 0.2914300 0.0884395 0.3238696 0.3059867 0.3034502 0.2702652 0.4068059 0.2751848 0.3496872
macro-APOC2+ 0.0109264 0.0651118 0.1585296 0.1371391 0.0198544 0.1236319 0.0955727 0.1273043 0.0854212 0.0868313 0.0000000 0.0002580 0.1261976 0.0467342 0.0329869 0.1250182 0.0888067 0.1756142 0.0429043 0.1804556 0.1162201 0.1199616 0.1345119 0.2617124 0.2832326 0.0205997 0.0200459 0.0670391 0.0745098 0.0318991 0.0685604 0.0463576 0.1048143 0.1081254 0.1050757 0.0848200 0.0903459 0.0362209 0.0835962 0.0082357 0.0108078 0.0045455 0.1941222 0.0767440 0.0922360
macro-CCL 0.0361045 0.0285066 0.0134980 0.0469160 0.0488087 0.0137819 0.0597330 0.0212396 0.0658907 0.0289438 0.0550459 0.0273513 0.0181698 0.0230856 0.0162675 0.0207148 0.1091582 0.0639217 0.1141914 0.0449640 0.0380159 0.0527831 0.0860876 0.0129241 0.0312185 0.0183108 0.0478179 0.0179569 0.0278075 0.1331602 0.0388723 0.1249448 0.0093535 0.0287908 0.0258237 0.0860720 0.0753743 0.4633263 0.0988433 0.2169781 0.0267424 0.1350379 0.0201083 0.0344234 0.0344658
macro-CCL18 0.1453682 0.0664075 0.0709362 0.0318241 0.1358372 0.0506688 0.0548138 0.1180871 0.0307753 0.0162146 0.0091743 0.0704425 0.0716881 0.0185811 0.0329869 0.0229030 0.0471785 0.0363967 0.1881188 0.0281775 0.1028240 0.0556622 0.1614143 0.1090468 0.0757805 0.0444038 0.0281896 0.0458899 0.1547237 0.1283383 0.1114908 0.1086093 0.0503439 0.0153551 0.0347284 0.0694836 0.0433660 0.0167522 0.0525762 0.1042129 0.0529306 0.0543561 0.0487239 0.0798826 0.0497976
macro-IFI27 0.0370546 0.1127308 0.1748995 0.1466535 0.0415288 0.0664775 0.0660576 0.1297088 0.1110673 0.0971359 0.0000000 0.1559799 0.0835811 0.1216216 0.2227745 0.0850474 0.0638298 0.1037307 0.0554455 0.1366906 0.0615496 0.0556622 0.0253651 0.0678514 0.0518630 0.1210803 0.1229902 0.0243416 0.0377897 0.0541543 0.0337463 0.0189845 0.1155433 0.1666667 0.0756901 0.0475743 0.1040268 0.0937217 0.0541535 0.0538486 0.1806845 0.2045455 0.0193349 0.1701934 0.2012756
macro-IFI27+APOC2+ 0.0009501 0.0119857 0.0953475 0.0626640 0.0043018 0.0218889 0.0281096 0.0454181 0.0327481 0.0259130 0.0000000 0.0003870 0.0419557 0.0118243 0.0140081 0.0288840 0.0379278 0.0586897 0.0455446 0.0977218 0.0177408 0.0374280 0.0299769 0.0379645 0.0362538 0.0059510 0.0060555 0.0027933 0.0057041 0.0126113 0.0044853 0.0035320 0.0231087 0.0489443 0.0276046 0.0169014 0.0294269 0.0437670 0.0089380 0.0003168 0.0018013 0.0022727 0.0108275 0.0459654 0.0482031
macro-IFI27+CCL18+ 0.0114014 0.0077745 0.0376221 0.0104987 0.0095963 0.0020268 0.0063247 0.0253807 0.0023673 0.0010608 0.0000000 0.0145788 0.0095804 0.0011261 0.0112969 0.0029176 0.0037003 0.0050045 0.1425743 0.0065947 0.0126720 0.0076775 0.0215219 0.0105008 0.0060423 0.0080110 0.0043850 0.0019952 0.0092692 0.0181751 0.0057668 0.0039735 0.0137552 0.0047985 0.0035619 0.0059468 0.0121322 0.0086025 0.0026288 0.0142540 0.0213385 0.0227273 0.0015468 0.0346259 0.0202379
macro-IFN 0.0114014 0.0145773 0.0134980 0.0065617 0.0090999 0.0060803 0.0063247 0.0040075 0.0130203 0.0122746 0.0000000 0.0167720 0.0105715 0.0191441 0.0108450 0.0086069 0.0129510 0.0113740 0.0099010 0.0239808 0.0170167 0.0038388 0.0146042 0.0121163 0.0123364 0.0144198 0.0110670 0.0063847 0.0049911 0.0096439 0.0102520 0.0154525 0.0178817 0.0339091 0.0258237 0.0172144 0.0172948 0.0033203 0.0157729 0.0326259 0.0230012 0.0195076 0.0038670 0.0054672 0.0042929
macro-IGF1 0.0047506 0.0874636 0.0290063 0.0272310 0.0799140 0.0141873 0.0238932 0.0545017 0.0420201 0.1160782 0.0000000 0.0458005 0.0697060 0.0996622 0.0488025 0.0414296 0.0277521 0.0195632 0.0085809 0.0629496 0.0467053 0.0095969 0.0084550 0.0306947 0.0760322 0.0771344 0.1160994 0.0327215 0.0185383 0.0103858 0.0226399 0.0088300 0.0486933 0.0665387 0.0814782 0.0278560 0.0281363 0.0090552 0.1035752 0.0402281 0.1292781 0.0797348 0.0232019 0.0173129 0.0099350
macro-interstitial 0.0118765 0.0330418 0.0031591 0.0249344 0.0072799 0.0077017 0.0182713 0.0044082 0.0339317 0.0045461 0.7706422 0.0130306 0.0082590 0.0242117 0.0162675 0.0051058 0.1110083 0.0045496 0.0217822 0.0191847 0.0021723 0.1986564 0.1813989 0.0767367 0.0324773 0.0082399 0.0077260 0.0554669 0.0313725 0.0459941 0.0175139 0.1094923 0.0027510 0.0063980 0.0160285 0.0691706 0.0627259 0.0107154 0.0315457 0.0310421 0.0052653 0.0068182 0.0092807 0.0045560 0.0034343
macro-lipid 0.0418052 0.0382248 0.0163699 0.0423228 0.1767042 0.0194568 0.1742797 0.0081485 0.0658907 0.1786634 0.0091743 0.0708296 0.0723489 0.0506757 0.0750113 0.0762947 0.1119334 0.0113740 0.0118812 0.0263789 0.0557567 0.0527831 0.0322829 0.0185784 0.0317221 0.0391394 0.1016914 0.0311253 0.0245989 0.1275964 0.0258437 0.1125828 0.0211829 0.0409469 0.0943900 0.1276995 0.0862158 0.0123755 0.0289169 0.0627178 0.0780103 0.0257576 0.0177881 0.0750228 0.0073593
macro-lipid-APOC2+ 0.0004751 0.0058309 0.0097645 0.0252625 0.0105890 0.0052696 0.0393535 0.0050761 0.0213060 0.0371268 0.0000000 0.0001290 0.0363396 0.0033784 0.0031631 0.0268417 0.0518039 0.0054595 0.0079208 0.0221823 0.0202752 0.0374280 0.0837817 0.0193861 0.0324773 0.0020600 0.0045939 0.0043895 0.0046346 0.0252226 0.0057668 0.0229581 0.0038514 0.0057582 0.0213713 0.0519562 0.0309757 0.0123755 0.0094637 0.0031676 0.0013856 0.0003788 0.0100541 0.0231852 0.0023304
macro-monocyte-derived 0.1292162 0.0631681 0.0789776 0.0492126 0.0342488 0.0328334 0.0288124 0.0435480 0.0952851 0.0403091 0.1100917 0.1385628 0.0630988 0.0534910 0.0402169 0.1296864 0.0832562 0.0618744 0.2158416 0.0557554 0.0774801 0.1007678 0.0284397 0.0387722 0.0347432 0.1215381 0.0703696 0.0913807 0.1433155 0.0778932 0.0931226 0.0569536 0.0679505 0.0697377 0.0828139 0.0666667 0.0562726 0.1696348 0.1493165 0.0424454 0.0644312 0.0825758 0.1337974 0.0725929 0.0983687
macro-MT 0.0190024 0.0168448 0.0103389 0.0252625 0.0190271 0.0372923 0.0421644 0.0617152 0.0341290 0.0315199 0.0000000 0.0130306 0.0247770 0.0185811 0.0533213 0.0138585 0.0083256 0.0191083 0.0105611 0.0263789 0.0231716 0.0239923 0.0138355 0.0040388 0.0239174 0.0189975 0.0187931 0.0319234 0.0281640 0.0181751 0.0237078 0.0123620 0.0181568 0.0127959 0.0133571 0.0178404 0.0260712 0.0075460 0.0215563 0.0202724 0.0597201 0.0361742 0.0409899 0.0188316 0.0134920
macro-proliferating-G2M 0.0109264 0.0181406 0.0068926 0.0219816 0.0198544 0.0226996 0.0168658 0.0189687 0.0126258 0.0081831 0.0000000 0.0247710 0.0181698 0.0112613 0.0293719 0.0103574 0.0101758 0.0150136 0.0112211 0.0191847 0.0184649 0.0239923 0.0184473 0.0153473 0.0156093 0.0274662 0.0127375 0.0207502 0.0210339 0.0129822 0.0196497 0.0048565 0.0242091 0.0153551 0.0227070 0.0115806 0.0105834 0.0049804 0.0057834 0.0177384 0.0076209 0.0140152 0.0193349 0.0139719 0.0116522
macro-proliferating-S 0.0304038 0.0398445 0.0272832 0.0465879 0.0309398 0.0356709 0.0323261 0.0292546 0.0232788 0.0174269 0.0000000 0.0220617 0.0393129 0.0236486 0.0253050 0.0128373 0.0185014 0.0227480 0.0165017 0.0383693 0.0293266 0.0143954 0.0284397 0.0371567 0.0284491 0.0357061 0.0223429 0.0331205 0.0338681 0.0211424 0.0288338 0.0057395 0.0360385 0.0271913 0.0365093 0.0203443 0.0209086 0.0090552 0.0063091 0.0389610 0.0250797 0.0295455 0.0185615 0.0263238 0.0268613
macro-T 0.0232779 0.0246194 0.0304423 0.0177165 0.0271343 0.0154033 0.0238932 0.0252471 0.0201223 0.0233369 0.0000000 0.0209005 0.0142055 0.0163288 0.0180750 0.0194019 0.0129510 0.0177434 0.0072607 0.0161871 0.0191890 0.0095969 0.0015373 0.0072698 0.0052870 0.0077821 0.0083525 0.0111732 0.0092692 0.0092730 0.0111064 0.0070640 0.0068776 0.0121561 0.0129118 0.0122066 0.0147135 0.0101117 0.0031546 0.0069686 0.0084523 0.0117424 0.0216551 0.0257163 0.0263707

Cell type proportions by sample

props$Proportions %>%
  data.frame %>%
  inner_join(seu@meta.data %>%
               dplyr::select(sample.id, 
                             Disease,
                             Treatment,
                             Severity,
                             Group,
                             Batch, 
                             Age, 
                             Sex), 
             by = c("sample" = "sample.id")) %>%
  distinct()-> dat

ggplot(dat, aes(x = sample, y = Freq, fill = clusters)) +
  geom_bar(stat = "identity", color = "black", size = 0.1) +
  theme(axis.text.x = element_text(angle = 90,
                                   vjust = 0.5,
                                   hjust = 1),
        legend.text = element_text(size = 8),
        legend.position = "bottom") +
  labs(y = "Proportion", fill = "Cell Label") +
  scale_fill_paletteer_d("Polychrome::glasbey", direction = -1) +
  facet_grid(~Group, scales = "free_x", space = "free_x")

No. cells per sample

props$Counts %>%
  data.frame %>%
  inner_join(seu@meta.data %>%
               dplyr::select(sample.id, 
                             Disease,
                             Treatment,
                             Severity, 
                             Group,
                             Batch, 
                             Age, 
                             Sex), 
             by = c("sample" = "sample.id")) %>%
  distinct() -> dat

ggplot(dat, aes(x = sample, y = Freq, fill = Disease)) +
  geom_bar(stat = "identity") +
  theme(axis.text.x = element_text(angle = 90,
                                   vjust = 0.5,
                                   hjust = 1),
        legend.text = element_text(size = 8),
        legend.position = "bottom") +
  labs(y = "No. cells", fill = "Disease") +
  facet_grid(~Group, scales = "free_x", space = "free_x") +
  geom_hline(yintercept = 1000, linetype = "dashed")

Remove sample with too few cells.

seu <- subset(seu, cells = which(!seu$sample.id %in% c("sample_23.1")))

# Differences in cell type proportions
props <- getTransformedProps(clusters = seu$ann_level_3,
                             sample = seu$sample.id, transform="asin")
props$Proportions %>% knitr::kable()
sample_1.1 sample_15.1 sample_16.1 sample_17.1 sample_18.1 sample_19.1 sample_2.1 sample_20.1 sample_21.1 sample_22.1 sample_24.1 sample_25.1 sample_26.1 sample_27.1 sample_28.1 sample_29.1 sample_3.1 sample_30.1 sample_31.1 sample_32.1 sample_33.1 sample_34.1 sample_34.2 sample_34.3 sample_35.1 sample_35.2 sample_36.1 sample_36.2 sample_37.1 sample_37.2 sample_37.3 sample_38.1 sample_38.2 sample_38.3 sample_39.1 sample_39.2 sample_4.1 sample_40.1 sample_41.1 sample_42.1 sample_43.1 sample_5.1 sample_6.1 sample_7.1
macro-alveolar 0.4750594 0.3657272 0.2234348 0.2772310 0.3252813 0.5249291 0.2832045 0.2779856 0.3101203 0.2744355 0.3651142 0.2920383 0.4566441 0.3492996 0.3700948 0.2007401 0.3678344 0.0897690 0.1948441 0.3414193 0.1957774 0.1299001 0.2399031 0.2225579 0.4291600 0.3967425 0.5215483 0.3704100 0.2633531 0.4786416 0.3373068 0.4354883 0.3365323 0.3201247 0.2666667 0.2914300 0.0884395 0.3238696 0.3059867 0.3034502 0.2702652 0.4068059 0.2751848 0.3496872
macro-APOC2+ 0.0109264 0.0651118 0.1585296 0.1371391 0.0198544 0.1236319 0.0955727 0.1273043 0.0854212 0.0868313 0.0002580 0.1261976 0.0467342 0.0329869 0.1250182 0.0888067 0.1756142 0.0429043 0.1804556 0.1162201 0.1199616 0.1345119 0.2617124 0.2832326 0.0205997 0.0200459 0.0670391 0.0745098 0.0318991 0.0685604 0.0463576 0.1048143 0.1081254 0.1050757 0.0848200 0.0903459 0.0362209 0.0835962 0.0082357 0.0108078 0.0045455 0.1941222 0.0767440 0.0922360
macro-CCL 0.0361045 0.0285066 0.0134980 0.0469160 0.0488087 0.0137819 0.0597330 0.0212396 0.0658907 0.0289438 0.0273513 0.0181698 0.0230856 0.0162675 0.0207148 0.1091582 0.0639217 0.1141914 0.0449640 0.0380159 0.0527831 0.0860876 0.0129241 0.0312185 0.0183108 0.0478179 0.0179569 0.0278075 0.1331602 0.0388723 0.1249448 0.0093535 0.0287908 0.0258237 0.0860720 0.0753743 0.4633263 0.0988433 0.2169781 0.0267424 0.1350379 0.0201083 0.0344234 0.0344658
macro-CCL18 0.1453682 0.0664075 0.0709362 0.0318241 0.1358372 0.0506688 0.0548138 0.1180871 0.0307753 0.0162146 0.0704425 0.0716881 0.0185811 0.0329869 0.0229030 0.0471785 0.0363967 0.1881188 0.0281775 0.1028240 0.0556622 0.1614143 0.1090468 0.0757805 0.0444038 0.0281896 0.0458899 0.1547237 0.1283383 0.1114908 0.1086093 0.0503439 0.0153551 0.0347284 0.0694836 0.0433660 0.0167522 0.0525762 0.1042129 0.0529306 0.0543561 0.0487239 0.0798826 0.0497976
macro-IFI27 0.0370546 0.1127308 0.1748995 0.1466535 0.0415288 0.0664775 0.0660576 0.1297088 0.1110673 0.0971359 0.1559799 0.0835811 0.1216216 0.2227745 0.0850474 0.0638298 0.1037307 0.0554455 0.1366906 0.0615496 0.0556622 0.0253651 0.0678514 0.0518630 0.1210803 0.1229902 0.0243416 0.0377897 0.0541543 0.0337463 0.0189845 0.1155433 0.1666667 0.0756901 0.0475743 0.1040268 0.0937217 0.0541535 0.0538486 0.1806845 0.2045455 0.0193349 0.1701934 0.2012756
macro-IFI27+APOC2+ 0.0009501 0.0119857 0.0953475 0.0626640 0.0043018 0.0218889 0.0281096 0.0454181 0.0327481 0.0259130 0.0003870 0.0419557 0.0118243 0.0140081 0.0288840 0.0379278 0.0586897 0.0455446 0.0977218 0.0177408 0.0374280 0.0299769 0.0379645 0.0362538 0.0059510 0.0060555 0.0027933 0.0057041 0.0126113 0.0044853 0.0035320 0.0231087 0.0489443 0.0276046 0.0169014 0.0294269 0.0437670 0.0089380 0.0003168 0.0018013 0.0022727 0.0108275 0.0459654 0.0482031
macro-IFI27+CCL18+ 0.0114014 0.0077745 0.0376221 0.0104987 0.0095963 0.0020268 0.0063247 0.0253807 0.0023673 0.0010608 0.0145788 0.0095804 0.0011261 0.0112969 0.0029176 0.0037003 0.0050045 0.1425743 0.0065947 0.0126720 0.0076775 0.0215219 0.0105008 0.0060423 0.0080110 0.0043850 0.0019952 0.0092692 0.0181751 0.0057668 0.0039735 0.0137552 0.0047985 0.0035619 0.0059468 0.0121322 0.0086025 0.0026288 0.0142540 0.0213385 0.0227273 0.0015468 0.0346259 0.0202379
macro-IFN 0.0114014 0.0145773 0.0134980 0.0065617 0.0090999 0.0060803 0.0063247 0.0040075 0.0130203 0.0122746 0.0167720 0.0105715 0.0191441 0.0108450 0.0086069 0.0129510 0.0113740 0.0099010 0.0239808 0.0170167 0.0038388 0.0146042 0.0121163 0.0123364 0.0144198 0.0110670 0.0063847 0.0049911 0.0096439 0.0102520 0.0154525 0.0178817 0.0339091 0.0258237 0.0172144 0.0172948 0.0033203 0.0157729 0.0326259 0.0230012 0.0195076 0.0038670 0.0054672 0.0042929
macro-IGF1 0.0047506 0.0874636 0.0290063 0.0272310 0.0799140 0.0141873 0.0238932 0.0545017 0.0420201 0.1160782 0.0458005 0.0697060 0.0996622 0.0488025 0.0414296 0.0277521 0.0195632 0.0085809 0.0629496 0.0467053 0.0095969 0.0084550 0.0306947 0.0760322 0.0771344 0.1160994 0.0327215 0.0185383 0.0103858 0.0226399 0.0088300 0.0486933 0.0665387 0.0814782 0.0278560 0.0281363 0.0090552 0.1035752 0.0402281 0.1292781 0.0797348 0.0232019 0.0173129 0.0099350
macro-interstitial 0.0118765 0.0330418 0.0031591 0.0249344 0.0072799 0.0077017 0.0182713 0.0044082 0.0339317 0.0045461 0.0130306 0.0082590 0.0242117 0.0162675 0.0051058 0.1110083 0.0045496 0.0217822 0.0191847 0.0021723 0.1986564 0.1813989 0.0767367 0.0324773 0.0082399 0.0077260 0.0554669 0.0313725 0.0459941 0.0175139 0.1094923 0.0027510 0.0063980 0.0160285 0.0691706 0.0627259 0.0107154 0.0315457 0.0310421 0.0052653 0.0068182 0.0092807 0.0045560 0.0034343
macro-lipid 0.0418052 0.0382248 0.0163699 0.0423228 0.1767042 0.0194568 0.1742797 0.0081485 0.0658907 0.1786634 0.0708296 0.0723489 0.0506757 0.0750113 0.0762947 0.1119334 0.0113740 0.0118812 0.0263789 0.0557567 0.0527831 0.0322829 0.0185784 0.0317221 0.0391394 0.1016914 0.0311253 0.0245989 0.1275964 0.0258437 0.1125828 0.0211829 0.0409469 0.0943900 0.1276995 0.0862158 0.0123755 0.0289169 0.0627178 0.0780103 0.0257576 0.0177881 0.0750228 0.0073593
macro-lipid-APOC2+ 0.0004751 0.0058309 0.0097645 0.0252625 0.0105890 0.0052696 0.0393535 0.0050761 0.0213060 0.0371268 0.0001290 0.0363396 0.0033784 0.0031631 0.0268417 0.0518039 0.0054595 0.0079208 0.0221823 0.0202752 0.0374280 0.0837817 0.0193861 0.0324773 0.0020600 0.0045939 0.0043895 0.0046346 0.0252226 0.0057668 0.0229581 0.0038514 0.0057582 0.0213713 0.0519562 0.0309757 0.0123755 0.0094637 0.0031676 0.0013856 0.0003788 0.0100541 0.0231852 0.0023304
macro-monocyte-derived 0.1292162 0.0631681 0.0789776 0.0492126 0.0342488 0.0328334 0.0288124 0.0435480 0.0952851 0.0403091 0.1385628 0.0630988 0.0534910 0.0402169 0.1296864 0.0832562 0.0618744 0.2158416 0.0557554 0.0774801 0.1007678 0.0284397 0.0387722 0.0347432 0.1215381 0.0703696 0.0913807 0.1433155 0.0778932 0.0931226 0.0569536 0.0679505 0.0697377 0.0828139 0.0666667 0.0562726 0.1696348 0.1493165 0.0424454 0.0644312 0.0825758 0.1337974 0.0725929 0.0983687
macro-MT 0.0190024 0.0168448 0.0103389 0.0252625 0.0190271 0.0372923 0.0421644 0.0617152 0.0341290 0.0315199 0.0130306 0.0247770 0.0185811 0.0533213 0.0138585 0.0083256 0.0191083 0.0105611 0.0263789 0.0231716 0.0239923 0.0138355 0.0040388 0.0239174 0.0189975 0.0187931 0.0319234 0.0281640 0.0181751 0.0237078 0.0123620 0.0181568 0.0127959 0.0133571 0.0178404 0.0260712 0.0075460 0.0215563 0.0202724 0.0597201 0.0361742 0.0409899 0.0188316 0.0134920
macro-proliferating-G2M 0.0109264 0.0181406 0.0068926 0.0219816 0.0198544 0.0226996 0.0168658 0.0189687 0.0126258 0.0081831 0.0247710 0.0181698 0.0112613 0.0293719 0.0103574 0.0101758 0.0150136 0.0112211 0.0191847 0.0184649 0.0239923 0.0184473 0.0153473 0.0156093 0.0274662 0.0127375 0.0207502 0.0210339 0.0129822 0.0196497 0.0048565 0.0242091 0.0153551 0.0227070 0.0115806 0.0105834 0.0049804 0.0057834 0.0177384 0.0076209 0.0140152 0.0193349 0.0139719 0.0116522
macro-proliferating-S 0.0304038 0.0398445 0.0272832 0.0465879 0.0309398 0.0356709 0.0323261 0.0292546 0.0232788 0.0174269 0.0220617 0.0393129 0.0236486 0.0253050 0.0128373 0.0185014 0.0227480 0.0165017 0.0383693 0.0293266 0.0143954 0.0284397 0.0371567 0.0284491 0.0357061 0.0223429 0.0331205 0.0338681 0.0211424 0.0288338 0.0057395 0.0360385 0.0271913 0.0365093 0.0203443 0.0209086 0.0090552 0.0063091 0.0389610 0.0250797 0.0295455 0.0185615 0.0263238 0.0268613
macro-T 0.0232779 0.0246194 0.0304423 0.0177165 0.0271343 0.0154033 0.0238932 0.0252471 0.0201223 0.0233369 0.0209005 0.0142055 0.0163288 0.0180750 0.0194019 0.0129510 0.0177434 0.0072607 0.0161871 0.0191890 0.0095969 0.0015373 0.0072698 0.0052870 0.0077821 0.0083525 0.0111732 0.0092692 0.0092730 0.0111064 0.0070640 0.0068776 0.0121561 0.0129118 0.0122066 0.0147135 0.0101117 0.0031546 0.0069686 0.0084523 0.0117424 0.0216551 0.0257163 0.0263707

Cell proportions by sample

props$Proportions %>%
  data.frame %>%
  inner_join(seu@meta.data %>%
               dplyr::select(sample.id, 
                             Disease,
                             Treatment,
                             Severity, 
                             Group,
                             Batch, 
                             Age, 
                             Sex), 
             by = c("sample" = "sample.id")) %>%
  distinct()-> dat

ggplot(dat, aes(x = sample, y = Freq, fill = clusters)) +
  geom_bar(stat = "identity", color = "black", size = 0.1) +
  theme(axis.text.x = element_text(angle = 90,
                                   vjust = 0.5,
                                   hjust = 1),
        legend.text = element_text(size = 8),
        legend.position = "bottom") +
  labs(y = "Proportion", fill = "Cell Label") +
  scale_fill_paletteer_d("Polychrome::glasbey", direction = -1) +
  facet_grid(~Group, scales = "free_x", space = "free_x")

Cell proportions by cell type

props$Proportions %>%
  data.frame %>%
  inner_join(seu@meta.data %>%
               dplyr::select(sample.id,
                             ann_level_3,
                             Disease,
                             Treatment,
                             Severity, 
                             Batch, 
                             Age, 
                             Sex), 
             by = c("sample" = "sample.id", "clusters" = "ann_level_3")) %>%
  distinct()-> dat

ggplot(dat, 
       aes(x = clusters, y = Freq, fill = clusters)) +
  geom_boxplot(outlier.size = 0.1, size = 0.25) +
  theme(axis.text.x = element_text(angle = 45,
                                   vjust = 1,
                                   hjust = 1),
        legend.text = element_text(size = 8)) +
  labs(y = "Proportion") +
  scale_fill_paletteer_d("Polychrome::glasbey", direction = -1) +
  NoLegend()

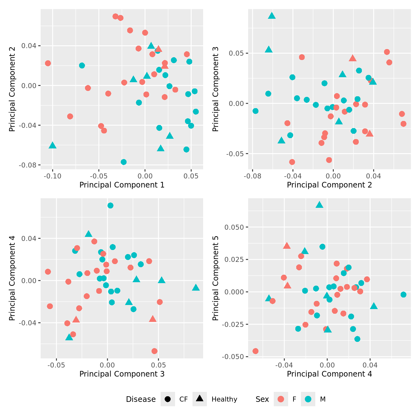
Explore sources of variation

Cell count data

Look at the sources of variation in the raw cell count level data.

dims <- list(c(1,2), c(2:3), c(3,4), c(4,5))
p <- vector("list", length(dims))

for(i in 1:length(dims)){
  mds <- plotMDS(props$Counts,
    gene.selection = "common",
    plot = FALSE, dim.plot = dims[[i]])
  
  data.frame(x = mds$x, 
             y = mds$y,
             sample = rownames(mds$distance.matrix.squared)) %>%
    left_join(seu@meta.data %>%
               dplyr::select(sample.id, 
                             Disease,
                             Treatment,
                             Severity, 
                             Batch, 
                             Age, 
                             Sex), 
             by = c("sample" = "sample.id")) %>%
    distinct() -> dat
  
  p[[i]] <- ggplot(dat, aes(x = x, y = y, 
                            shape = as.factor(Disease),
                            color = as.factor(Batch))) +
    geom_point(size = 3) +
    labs(x = glue("Principal Component {dims[[i]][1]}"),
         y = glue("Principal Component {dims[[i]][2]}"),
         colour = "Batch",
         shape = "Disease") +
    theme(legend.direction = "horizontal",
          legend.text = element_text(size = 8),
          legend.title = element_text(size = 9),
          axis.text = element_text(size = 8),
          axis.title = element_text(size = 9)) 
}

wrap_plots(p, cols = 2) + plot_layout(guides = "collect") &
  theme(legend.position = "bottom") 

dims <- list(c(1,2), c(2:3), c(3,4), c(4,5))
p <- vector("list", length(dims))

for(i in 1:length(dims)){
  mds <- plotMDS(props$Counts, 
                 gene.selection = "common",
                 plot = FALSE, dim.plot = dims[[i]])
  
   data.frame(x = mds$x, 
             y = mds$y,
             sample = rownames(mds$distance.matrix.squared)) %>%
    left_join(seu@meta.data %>%
               dplyr::select(sample.id, 
                             Disease,
                             Treatment,
                             Severity,
                             Participant,
                             Batch, 
                             Age, 
                             Sex), 
             by = c("sample" = "sample.id")) %>%
    group_by(sample) %>%
    mutate(ncells = n()) %>%
    ungroup() %>%
    distinct() -> dat
  
  p[[i]] <- ggplot(dat, aes(x = x, y = y, 
                            colour = log2(ncells)))+
    geom_text(aes(label = str_remove_all(sample, "sample_")), size = 2.5) +
    labs(x = glue("Principal Component {dims[[i]][1]}"),
         y = glue("Principal Component {dims[[i]][2]}"),
         colour = "Log2 No. Cells") +
    theme(legend.direction = "horizontal",
          legend.text = element_text(size = 8),
          legend.title = element_text(size = 9),
          axis.text = element_text(size = 8),
          axis.title = element_text(size = 9)) +
    scale_colour_viridis_c(option = "magma")
}

wrap_plots(p, cols = 2) + plot_layout(guides = "collect") &
  theme(legend.position = "bottom") 

Cell proportion data

Look at the sources of variation in the cell proportions data.

dims <- list(c(1,2), c(2:3), c(3,4), c(4,5))
p <- vector("list", length(dims))

for(i in 1:length(dims)){
  mds <- plotMDS(props$TransformedProps,
    gene.selection = "common",
    plot = FALSE, dim.plot = dims[[i]])
  
  data.frame(x = mds$x, 
             y = mds$y,
             sample = rownames(mds$distance.matrix.squared)) %>%
    left_join(seu@meta.data %>%
               dplyr::select(sample.id, 
                             Disease,
                             Treatment,
                             Severity, 
                             Batch, 
                             Age, 
                             Sex), 
             by = c("sample" = "sample.id")) %>%
    distinct() -> dat
  
  p[[i]] <- ggplot(dat, aes(x = x, y = y, 
                            shape = as.factor(Disease),
                            color = as.factor(Batch)))+
    geom_point(size = 3) +
    labs(x = glue("Principal Component {dims[[i]][1]}"),
         y = glue("Principal Component {dims[[i]][2]}"),
         colour = "Batch",
         shape = "Disease") +
    theme(legend.direction = "horizontal",
          legend.text = element_text(size = 8),
          legend.title = element_text(size = 9),
          axis.text = element_text(size = 8),
          axis.title = element_text(size = 9))
}

wrap_plots(p, cols = 2) + plot_layout(guides = "collect") &
  theme(legend.position = "bottom") 

dims <- list(c(1,2), c(2:3), c(3,4), c(4,5))
p <- vector("list", length(dims))

for(i in 1:length(dims)){
  mds <- plotMDS(props$TransformedProps,
    gene.selection = "common",
    plot = FALSE, dim.plot = dims[[i]])
  
  data.frame(x = mds$x, 
             y = mds$y,
             sample = rownames(mds$distance.matrix.squared)) %>%
    left_join(seu@meta.data %>%
               dplyr::select(sample.id, 
                             Disease,
                             Treatment,
                             Severity, 
                             Batch, 
                             Age, 
                             Sex), 
             by = c("sample" = "sample.id")) %>%
    distinct() -> dat
  
  p[[i]] <- ggplot(dat, aes(x = x, y = y, 
                            shape = as.factor(Disease),
                            color = Sex))+
    geom_point(size = 3) +
    labs(x = glue("Principal Component {dims[[i]][1]}"),
         y = glue("Principal Component {dims[[i]][2]}"),
         colour = "Sex",
         shape = "Disease") +
    theme(legend.direction = "horizontal",
          legend.text = element_text(size = 8),
          legend.title = element_text(size = 9),
          axis.text = element_text(size = 8),
          axis.title = element_text(size = 9))
}

wrap_plots(p, cols = 2) + plot_layout(guides = "collect") &
  theme(legend.position = "bottom") 

dims <- list(c(1,2), c(2:3), c(3,4), c(4,5))
p <- vector("list", length(dims))

for(i in 1:length(dims)){
  mds <- plotMDS(props$TransformedProps, 
                 gene.selection = "common",
                 plot = FALSE, dim.plot = dims[[i]])
  
   data.frame(x = mds$x, 
             y = mds$y,
             sample = rownames(mds$distance.matrix.squared)) %>%
    left_join(seu@meta.data %>%
               dplyr::select(sample.id, 
                             Disease,
                             Treatment,
                             Severity,
                             Participant,
                             Batch, 
                             Age, 
                             Sex), 
             by = c("sample" = "sample.id")) %>%
    group_by(sample) %>%
    mutate(ncells = n()) %>%
    ungroup() %>%
    distinct() -> dat
  
  p[[i]] <- ggplot(dat, aes(x = x, y = y, 
                            colour = log2(Age)))+
    geom_text(aes(label = str_remove_all(sample, "sample_")), size = 2.5) +
    labs(x = glue("Principal Component {dims[[i]][1]}"),
         y = glue("Principal Component {dims[[i]][2]}"),
         colour = "Log2 Age") +
    theme(legend.direction = "horizontal",
          legend.text = element_text(size = 8),
          legend.title = element_text(size = 9),
          axis.text = element_text(size = 8),
          axis.title = element_text(size = 9)) +
    scale_colour_viridis_c(option = "magma")
}

wrap_plots(p, cols = 2) + plot_layout(guides = "collect") &
  theme(legend.position = "bottom") 

dims <- list(c(1,2), c(2:3), c(3,4), c(4,5))
p <- vector("list", length(dims))

for(i in 1:length(dims)){
  mds <- plotMDS(props$TransformedProps, 
                 gene.selection = "common",
                 plot = FALSE, dim.plot = dims[[i]])
  
   data.frame(x = mds$x, 
             y = mds$y,
             sample = rownames(mds$distance.matrix.squared)) %>%
    left_join(seu@meta.data %>%
               dplyr::select(sample.id, 
                             Disease,
                             Treatment,
                             Severity,
                             Participant,
                             Batch, 
                             Age, 
                             Sex), 
             by = c("sample" = "sample.id")) %>%
    group_by(sample) %>%
    mutate(ncells = n()) %>%
    ungroup() %>%
    distinct() -> dat
  
  p[[i]] <- ggplot(dat, aes(x = x, y = y, 
                            colour = log2(ncells)))+
    geom_text(aes(label = str_remove_all(sample, "sample_")), size = 2.5) +
    labs(x = glue("Principal Component {dims[[i]][1]}"),
         y = glue("Principal Component {dims[[i]][2]}"),
         colour = "Log2 No. Cells") +
    theme(legend.direction = "horizontal",
          legend.text = element_text(size = 8),
          legend.title = element_text(size = 9),
          axis.text = element_text(size = 8),
          axis.title = element_text(size = 9)) +
    scale_colour_viridis_c(option = "magma")
}

wrap_plots(p, cols = 2) + plot_layout(guides = "collect") &
  theme(legend.position = "bottom") 

Principal components versus traits

Principal components analysis (PCA) allows us to mathematically determine the sources of variation in the data. We can then investigate whether these correlate with any of the specifed covariates. First, we calculate the principal components. The scree plot belows shows us that most of the variation in this data is captured by the top 7 principal components.

PCs <- prcomp(t(props$TransformedProps), center = TRUE, 
              scale = TRUE, retx = TRUE)
loadings = PCs$x # pc loadings
plot(PCs, type="lines") # scree plot

Collect all of the known sample traits.

nGenes = nrow(props$TransformedProps)
nSamples = ncol(props$TransformedProps)

info <- seu@meta.data %>%
  dplyr::select(sample.id, 
                Disease,
                Treatment,
                Severity,
                Participant,
                Group_severity,
                Group,
                Batch, 
                Age, 
                Sex) %>%
  group_by(sample.id) %>%
  mutate(ncells = n()) %>%
  ungroup() %>%
  distinct()

m <- match(colnames(props$TransformedProps), info$sample.id)
info <- info[m,]

datTraits <- info %>% dplyr::select(Participant, Batch, Disease, Treatment,
                                    Severity, Age, Sex, ncells, Group) %>%
  mutate(Age = log2(Age),
         ncells = log2(ncells),
         Donor = factor(Participant),
         Batch = factor(Batch),
         Disease = factor(Disease, 
                          labels = 1:length(unique(Disease))),
         Group = factor(Group, 
                        labels = 1:length(unique(Group))),
         Treatment = factor(Treatment, 
                            labels = 1:length(unique(Treatment))),
         Sex = factor(Sex, labels = length(unique(Sex))),
         Severity = factor(Severity, labels = length(unique(Severity)))) %>%
  mutate(across(everything(), as.numeric)) %>%
  dplyr::select(-Participant)

datTraits %>% 
  knitr::kable()
Batch Disease Treatment Severity Age Sex ncells Group Donor
4 2 1 1 -0.2590872 2 11.03960 4 1
4 1 4 2 -0.0939001 2 11.59199 3 2
4 1 4 2 -0.1151479 1 11.76570 3 3
5 1 4 2 -0.0441471 1 11.57365 3 4
5 1 4 2 0.1428834 2 12.56129 3 5
6 1 4 2 -0.0729608 1 11.26854 3 6
4 2 1 1 0.1464588 2 10.47472 4 7
6 1 4 3 0.5597097 2 12.86998 3 8
4 1 4 3 1.5743836 1 12.30749 3 9
4 1 2 2 1.5993830 2 12.68803 1 10
6 1 2 2 2.3883594 2 12.92017 1 11
2 1 4 3 2.2957230 1 11.56367 3 12
2 1 4 2 2.3360877 2 10.79442 3 13
2 1 2 2 2.2980155 2 11.11179 1 14
6 1 4 2 2.5790214 1 12.74294 3 15
2 1 4 3 2.5823250 1 10.07815 3 16
6 2 1 1 0.1321035 2 12.10198 4 17
2 1 4 3 2.5889097 1 10.56510 3 18
2 1 4 2 2.5583683 1 10.70390 3 19
2 1 4 2 2.5670653 1 11.43150 3 20
2 1 2 3 2.5730557 2 10.02514 1 21
7 1 4 2 -0.9343238 1 10.34541 3 22
7 1 4 2 0.0918737 1 10.27380 3 22
7 1 4 2 1.0409164 1 11.95565 3 22
7 1 4 2 0.0807044 2 12.09309 3 23
7 1 4 2 0.9940589 2 12.22551 3 23
7 1 4 3 -0.0564254 1 11.29117 3 24
7 1 3 3 1.1764977 1 11.45379 2 24
3 1 4 2 1.5597097 1 11.39660 3 25
3 1 3 2 2.1930156 1 12.19291 2 25
3 1 3 2 2.2980155 1 11.14530 2 25
3 1 2 2 1.5703964 2 11.82774 1 26
3 1 2 2 2.0206033 2 11.61010 1 26
3 1 2 2 2.3485584 2 11.13314 1 26
5 1 4 2 1.9730702 1 11.64160 3 27
5 1 3 2 2.6297159 1 11.91961 2 27
7 2 1 1 0.2923784 2 12.69392 4 28
1 1 4 3 1.5801455 2 10.89330 3 29
1 1 4 2 1.5801455 2 11.62434 3 30
1 1 2 3 1.5993178 2 12.81718 1 31
1 2 1 1 1.5849625 2 12.36632 4 32
3 2 1 1 3.0699187 1 10.33651 4 33
4 2 1 1 2.4204621 2 13.26986 4 34
4 2 1 1 2.2356012 1 12.99312 4 35

Correlate known sample traits with the top 10 principal components. This can help us determine which traits are potentially contributing to the main sources of variation in the data and should thus be included in our statistical analysis.

moduleTraitCor <- suppressWarnings(cor(loadings[, 1:10], datTraits, use = "p"))
moduleTraitPvalue <- WGCNA::corPvalueStudent(moduleTraitCor, (nSamples - 2))

textMatrix <- paste(signif(moduleTraitCor, 2), "\n(", 
                    signif(moduleTraitPvalue, 1), ")", sep = "")
dim(textMatrix) <- dim(moduleTraitCor)

## Display the correlation values within a heatmap plot
par(cex=0.75, mar = c(6, 8.5, 3, 3))
WGCNA::labeledHeatmap(Matrix = t(moduleTraitCor),
                      xLabels = colnames(loadings)[1:10],
                      yLabels = names(datTraits),
                      colorLabels = FALSE,
                      colors = WGCNA::blueWhiteRed(6),
                      textMatrix = t(textMatrix),
                      setStdMargins = FALSE,
                      cex.text = 1,
                      zlim = c(-1,1),
                      main = paste("PCA-trait relationships: Top 10 PCs"))

Statistical analysis using the propeller and limma approach

Create the design matrix.

group <- factor(info$Group_severity)
participant <- factor(info$Participant)
age <- log2(info$Age)
batch <- factor(info$Batch)
sex <- factor(info$Sex)

design <- model.matrix(~ 0 + group + batch + age + sex)
colnames(design)[1:7] <- levels(group) 
design
   CF.IVA.M CF.IVA.S CF.LUMA_IVA.M CF.LUMA_IVA.S CF.NO_MOD.M CF.NO_MOD.S
1         0        0             0             0           0           0
2         0        0             0             0           1           0
3         0        0             0             0           1           0
4         0        0             0             0           1           0
5         0        0             0             0           1           0
6         0        0             0             0           1           0
7         0        0             0             0           0           0
8         0        0             0             0           0           1
9         0        0             0             0           0           1
10        1        0             0             0           0           0
11        1        0             0             0           0           0
12        0        0             0             0           0           1
13        0        0             0             0           1           0
14        1        0             0             0           0           0
15        0        0             0             0           1           0
16        0        0             0             0           0           1
17        0        0             0             0           0           0
18        0        0             0             0           0           1
19        0        0             0             0           1           0
20        0        0             0             0           1           0
21        0        1             0             0           0           0
22        0        0             0             0           1           0
23        0        0             0             0           1           0
24        0        0             0             0           1           0
25        0        0             0             0           1           0
26        0        0             0             0           1           0
27        0        0             0             0           0           1
28        0        0             0             1           0           0
29        0        0             0             0           1           0
30        0        0             1             0           0           0
31        0        0             1             0           0           0
32        1        0             0             0           0           0
33        1        0             0             0           0           0
34        1        0             0             0           0           0
35        0        0             0             0           1           0
36        0        0             1             0           0           0
37        0        0             0             0           0           0
38        0        0             0             0           0           1
39        0        0             0             0           1           0
40        0        1             0             0           0           0
41        0        0             0             0           0           0
42        0        0             0             0           0           0
43        0        0             0             0           0           0
44        0        0             0             0           0           0
   NON_CF.CTRL batch1 batch2 batch3 batch4 batch5 batch6         age sexM
1            1      0      0      1      0      0      0 -0.25908722    1
2            0      0      0      1      0      0      0 -0.09390014    1
3            0      0      0      1      0      0      0 -0.11514787    0
4            0      0      0      0      1      0      0 -0.04414710    0
5            0      0      0      0      1      0      0  0.14288337    1
6            0      0      0      0      0      1      0 -0.07296080    0
7            1      0      0      1      0      0      0  0.14645883    1
8            0      0      0      0      0      1      0  0.55970971    1
9            0      0      0      1      0      0      0  1.57438357    0
10           0      0      0      1      0      0      0  1.59938302    1
11           0      0      0      0      0      1      0  2.38835941    1
12           0      1      0      0      0      0      0  2.29572302    0
13           0      1      0      0      0      0      0  2.33608770    1
14           0      1      0      0      0      0      0  2.29801547    1
15           0      0      0      0      0      1      0  2.57902140    0
16           0      1      0      0      0      0      0  2.58232503    0
17           1      0      0      0      0      1      0  0.13210354    1
18           0      1      0      0      0      0      0  2.58890969    0
19           0      1      0      0      0      0      0  2.55836829    0
20           0      1      0      0      0      0      0  2.56706530    0
21           0      1      0      0      0      0      0  2.57305573    1
22           0      0      0      0      0      0      1 -0.93432383    0
23           0      0      0      0      0      0      1  0.09187369    0
24           0      0      0      0      0      0      1  1.04091644    0
25           0      0      0      0      0      0      1  0.08070438    1
26           0      0      0      0      0      0      1  0.99405890    1
27           0      0      0      0      0      0      1 -0.05642543    0
28           0      0      0      0      0      0      1  1.17649766    0
29           0      0      1      0      0      0      0  1.55970971    0
30           0      0      1      0      0      0      0  2.19301559    0
31           0      0      1      0      0      0      0  2.29801547    0
32           0      0      1      0      0      0      0  1.57039639    1
33           0      0      1      0      0      0      0  2.02060327    1
34           0      0      1      0      0      0      0  2.34855840    1
35           0      0      0      0      1      0      0  1.97307024    0
36           0      0      0      0      1      0      0  2.62971590    0
37           1      0      0      0      0      0      1  0.29237837    1
38           0      0      0      0      0      0      0  1.58014548    1
39           0      0      0      0      0      0      0  1.58014548    1
40           0      0      0      0      0      0      0  1.59931779    1
41           1      0      0      0      0      0      0  1.58496250    1
42           1      0      1      0      0      0      0  3.06991870    0
43           1      0      0      1      0      0      0  2.42046210    1
44           1      0      0      1      0      0      0  2.23560118    0
attr(,"assign")
 [1] 1 1 1 1 1 1 1 2 2 2 2 2 2 3 4
attr(,"contrasts")
attr(,"contrasts")$group
[1] "contr.treatment"

attr(,"contrasts")$batch
[1] "contr.treatment"

attr(,"contrasts")$sex
[1] "contr.treatment"

Create the contrast matrix.

contr <- makeContrasts(CF.NO_MODvCF.IVA = 0.5*(CF.NO_MOD.M + CF.NO_MOD.S) - 0.5*(CF.IVA.M + CF.IVA.S),
                       CF.NO_MODvCF.LUMA_IVA = 0.5*(CF.NO_MOD.M + CF.NO_MOD.S) - 0.5*(CF.LUMA_IVA.M + CF.LUMA_IVA.S),
                       CF.NO_MOD.MvCF.NO_MOD.S = CF.NO_MOD.M - CF.NO_MOD.S,
                       CF.NO_MODvNON_CF.CTRL = 0.5*(CF.NO_MOD.M + CF.NO_MOD.S) - NON_CF.CTRL,
                       CF.IVAvNON_CF.CTRL = 0.5*(CF.IVA.M + CF.IVA.S) - NON_CF.CTRL,
                       CF.LUMA_IVAvNON_CF.CTRL = 0.5*(CF.LUMA_IVA.M + CF.LUMA_IVA.S) - NON_CF.CTRL,
                       levels = design)
contr
               Contrasts
Levels          CF.NO_MODvCF.IVA CF.NO_MODvCF.LUMA_IVA CF.NO_MOD.MvCF.NO_MOD.S
  CF.IVA.M                  -0.5                   0.0                       0
  CF.IVA.S                  -0.5                   0.0                       0
  CF.LUMA_IVA.M              0.0                  -0.5                       0
  CF.LUMA_IVA.S              0.0                  -0.5                       0
  CF.NO_MOD.M                0.5                   0.5                       1
  CF.NO_MOD.S                0.5                   0.5                      -1
  NON_CF.CTRL                0.0                   0.0                       0
  batch1                     0.0                   0.0                       0
  batch2                     0.0                   0.0                       0
  batch3                     0.0                   0.0                       0
  batch4                     0.0                   0.0                       0
  batch5                     0.0                   0.0                       0
  batch6                     0.0                   0.0                       0
  age                        0.0                   0.0                       0
  sexM                       0.0                   0.0                       0
               Contrasts
Levels          CF.NO_MODvNON_CF.CTRL CF.IVAvNON_CF.CTRL
  CF.IVA.M                        0.0                0.5
  CF.IVA.S                        0.0                0.5
  CF.LUMA_IVA.M                   0.0                0.0
  CF.LUMA_IVA.S                   0.0                0.0
  CF.NO_MOD.M                     0.5                0.0
  CF.NO_MOD.S                     0.5                0.0
  NON_CF.CTRL                    -1.0               -1.0
  batch1                          0.0                0.0
  batch2                          0.0                0.0
  batch3                          0.0                0.0
  batch4                          0.0                0.0
  batch5                          0.0                0.0
  batch6                          0.0                0.0
  age                             0.0                0.0
  sexM                            0.0                0.0
               Contrasts
Levels          CF.LUMA_IVAvNON_CF.CTRL
  CF.IVA.M                          0.0
  CF.IVA.S                          0.0
  CF.LUMA_IVA.M                     0.5
  CF.LUMA_IVA.S                     0.5
  CF.NO_MOD.M                       0.0
  CF.NO_MOD.S                       0.0
  NON_CF.CTRL                      -1.0
  batch1                            0.0
  batch2                            0.0
  batch3                            0.0
  batch4                            0.0
  batch5                            0.0
  batch6                            0.0
  age                               0.0
  sexM                              0.0

Add random effect for samples from the same individual.

dupcor <- duplicateCorrelation(props$TransformedProps, design=design,
                                block=participant)
dupcor
$consensus.correlation
[1] 0.6239257

$cor
[1] 0.6239257

$atanh.correlations
 [1]  0.80080074  1.27682941  0.70836292  1.46926384  0.63499798  1.30012069
 [7]  1.42121492  0.64466135  1.01553796  0.29787332  0.45725389  0.35069044
[13]  1.03135931  0.60024395 -0.53606034  0.04722491  0.38956524

Fit the model.

fit <- lmFit(props$TransformedProps, design=design, block=participant, 
                correlation=dupcor$consensus)
fit2 <- contrasts.fit(fit, contr)
fit2 <- eBayes(fit2, robust=TRUE, trend=FALSE)
pvalue <- 0.05
summary(decideTests(fit2, p.value = pvalue))
       CF.NO_MODvCF.IVA CF.NO_MODvCF.LUMA_IVA CF.NO_MOD.MvCF.NO_MOD.S
Down                  0                     0                       0
NotSig               17                    17                      17
Up                    0                     0                       0
       CF.NO_MODvNON_CF.CTRL CF.IVAvNON_CF.CTRL CF.LUMA_IVAvNON_CF.CTRL
Down                       0                  0                       0
NotSig                    16                 17                      17
Up                         1                  0                       0

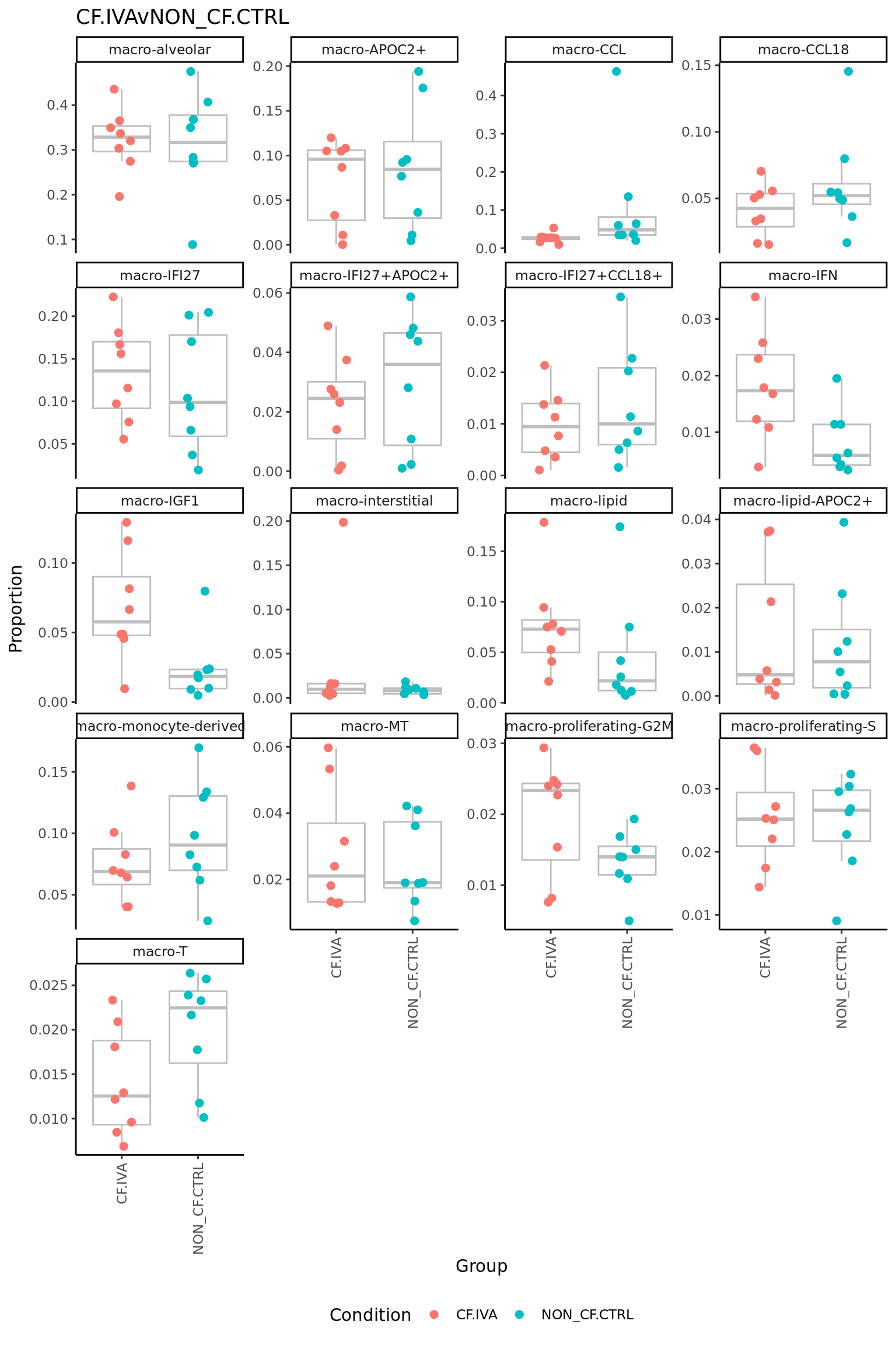
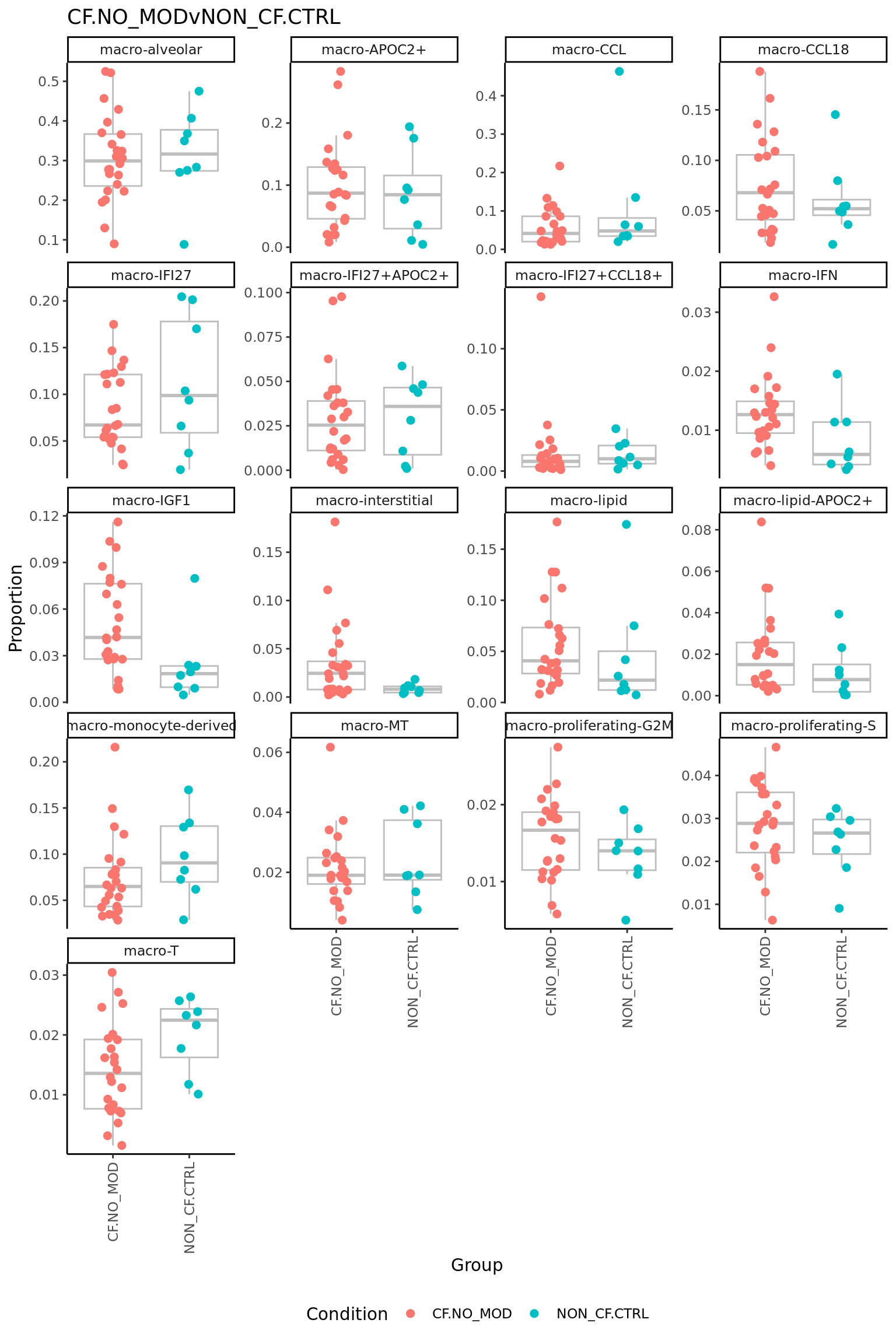
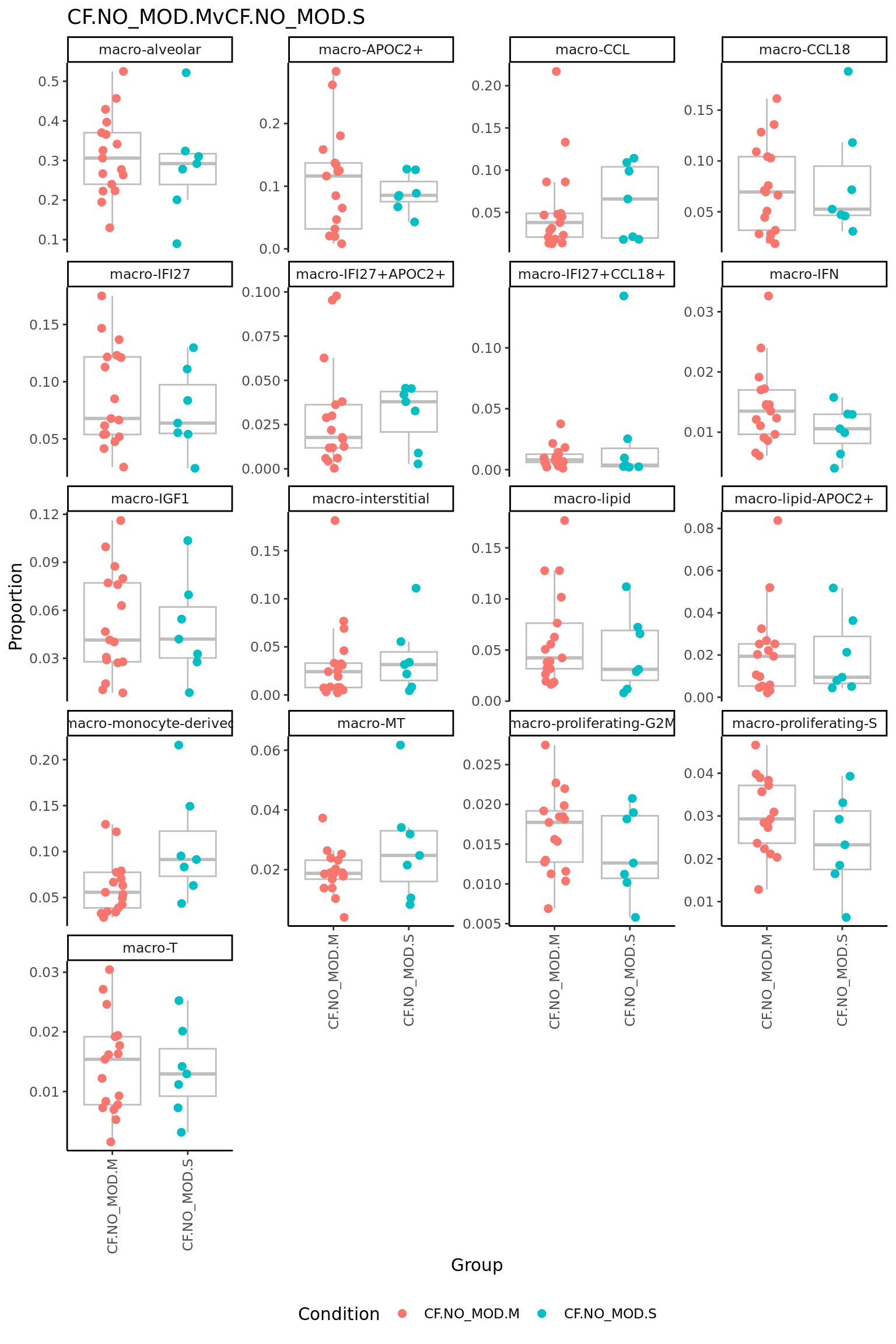
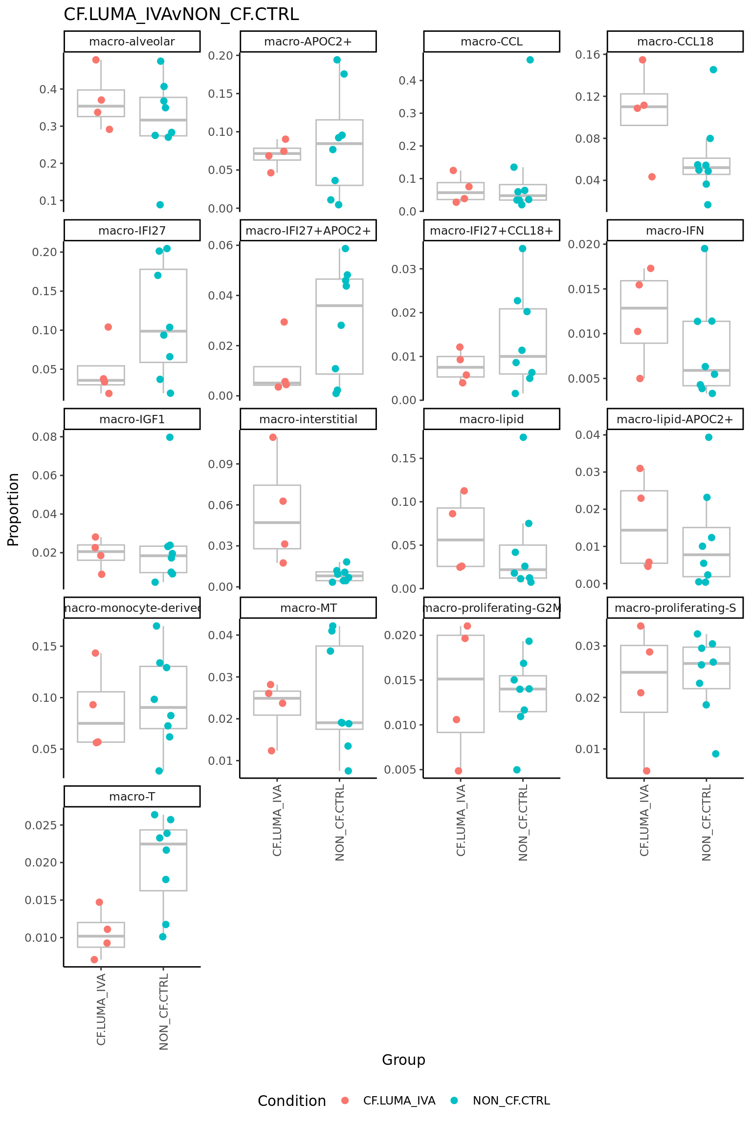
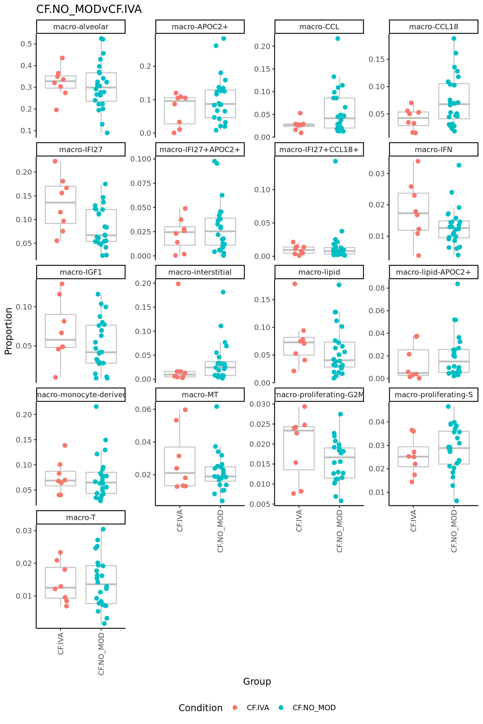
Results

p <- vector("list", ncol(contr))

for(i in 1:ncol(contr)){
  print(knitr::kable(topTable(fit2, coef = i),
                     caption = colnames(contr)[i]))
  
  props$Proportions %>% data.frame %>%
    left_join(info,
              by = c("sample" = "sample.id")) %>%
    mutate(Group = Group_severity) %>%
    dplyr::filter(Group %in% names(contr[,i])[abs(contr[, i]) > 0]) -> dat
  
  if(length(unique(dat$Group)) > 2) dat$Group <- str_remove(dat$Group, ".(M|S)$")
  ggplot(dat, aes(x = Group,
                  y = Freq,
                  colour = Group,
                  group = Group)) +
    geom_boxplot(outlier.shape = NA, colour = "grey") +
    geom_jitter(stat = "identity",
                width = 0.15,
                size = 2) +
    theme_classic() +
    theme(axis.text.x = element_text(angle = 90,
                                     hjust = 1,
                                     vjust = 0.5),
          legend.position = "bottom",
          legend.direction = "horizontal") +
    labs(x = "Group", y = "Proportion",
         colour = "Condition") +
    facet_wrap(~clusters, scales = "free_y", ncol = 4) +
    ggtitle(colnames(contr)[i]) -> p[[i]]
  
  print(p[[i]])
}
CF.NO_MODvCF.IVA
logFC AveExpr t P.Value adj.P.Val B
macro-IFI27 -0.0772602 0.3007553 -1.3692886 0.1807087 0.983121 -4.907573
macro-IGF1 0.0505640 0.2016823 1.2237763 0.2302198 0.983121 -5.073126
macro-CCL 0.0797410 0.2263490 1.0799450 0.2884639 0.983121 -5.220257
macro-MT -0.0285045 0.1487592 -0.9970053 0.3263730 0.983121 -5.297472
macro-CCL18 0.0499042 0.2540647 0.9880788 0.3307331 0.983121 -5.305370
macro-interstitial -0.0550669 0.1522175 -0.8773672 0.3870091 0.983121 -5.398526
macro-proliferating-G2M -0.0152719 0.1237643 -0.7806807 0.4408268 0.983121 -5.471355
macro-alveolar 0.0385831 0.5919576 0.5147923 0.6103347 0.983121 -5.629028
macro-T 0.0061848 0.1182567 0.4021564 0.6902890 0.983121 -5.676717
macro-monocyte-derived 0.0154171 0.2791111 0.3543871 0.7254385 0.983121 -5.693415

CF.NO_MODvCF.LUMA_IVA
logFC AveExpr t P.Value adj.P.Val B
macro-CCL18 -0.1066688 0.2540647 -2.4765341 0.0189042 0.3213710 -3.240610
macro-IGF1 0.0617442 0.2016823 1.7523037 0.0895689 0.7613355 -4.502771
macro-lipid 0.0669550 0.2289080 1.3174221 0.1973129 0.9545225 -5.091744
macro-lipid-APOC2+ 0.0330901 0.1152469 0.9223003 0.3634662 0.9545225 -5.496578
macro-IFI27+CCL18+ -0.0183941 0.1008002 -0.5090482 0.6143083 0.9545225 -5.773949
macro-IFI27+APOC2+ 0.0178241 0.1468071 0.4803683 0.6343245 0.9545225 -5.787396
macro-T 0.0062990 0.1182567 0.4802746 0.6343558 0.9545225 -5.787470
macro-proliferating-S -0.0094593 0.1610808 -0.4801454 0.6344466 0.9545225 -5.787529
macro-MT -0.0099350 0.1487592 -0.4074768 0.6864188 0.9545225 -5.818136
macro-proliferating-G2M -0.0066590 0.1237643 -0.3991574 0.6924747 0.9545225 -5.821325

CF.NO_MOD.MvCF.NO_MOD.S
logFC AveExpr t P.Value adj.P.Val B
macro-IFN 0.0271627 0.1102832 2.0027903 0.0538831 0.6305075 -4.137732
macro-monocyte-derived -0.0649346 0.2791111 -1.8476423 0.0741774 0.6305075 -4.393307
macro-proliferating-S 0.0202295 0.1610808 1.0839516 0.2866259 0.8535663 -5.392948
macro-IFI27 0.0489569 0.3007553 1.0740353 0.2910628 0.8535663 -5.402790
macro-MT -0.0218460 0.1487592 -0.9458464 0.3514392 0.8535663 -5.523309
macro-interstitial -0.0389267 0.1522175 -0.7677221 0.4484374 0.8535663 -5.666573
macro-CCL18 -0.0244336 0.2540647 -0.5988361 0.5536158 0.8535663 -5.775934
macro-IFI27+CCL18+ -0.0202417 0.1008002 -0.5913447 0.5585600 0.8535663 -5.780176
macro-alveolar 0.0355601 0.5919576 0.5873055 0.5612351 0.8535663 -5.782441
macro-T 0.0067967 0.1182567 0.5470588 0.5881992 0.8535663 -5.804225

CF.NO_MODvNON_CF.CTRL
logFC AveExpr t P.Value adj.P.Val B
macro-IGF1 0.1238936 0.2016823 3.5143548 0.0013738 0.0233541 -1.078640
macro-IFN 0.0236105 0.1102832 1.6483086 0.1092447 0.8171448 -4.896312
macro-lipid 0.0753321 0.2289080 1.4815109 0.1485239 0.8171448 -5.134942
macro-CCL -0.0839676 0.2263490 -1.3328079 0.1922694 0.8171448 -5.328955
macro-IFI27 -0.0397423 0.3007553 -0.8255214 0.4153581 0.8506807 -5.848981
macro-interstitial 0.0427504 0.1522175 0.7983011 0.4307447 0.8506807 -5.870365
macro-T -0.0104680 0.1182567 -0.7977494 0.4309980 0.8506807 -5.870858
macro-IFI27+APOC2+ -0.0242895 0.1468071 -0.6542859 0.5177331 0.8506807 -5.971994
macro-monocyte-derived -0.0228342 0.2791111 -0.6151733 0.5429121 0.8506807 -5.996219
macro-alveolar 0.0359628 0.5919576 0.5623725 0.5778902 0.8506807 -6.026609

CF.IVAvNON_CF.CTRL
logFC AveExpr t P.Value adj.P.Val B
macro-CCL -0.1637086 0.2263490 -2.2031311 0.0351144 0.5969454 -3.666995
macro-IGF1 0.0733297 0.2016823 1.7635562 0.0876219 0.7447863 -4.376015
macro-interstitial 0.0978174 0.1522175 1.5486572 0.1315729 0.7455796 -4.677054
macro-lipid 0.0816477 0.2289080 1.3613888 0.1831651 0.7784517 -4.912357
macro-IFN 0.0185495 0.1102832 1.0979399 0.2805653 0.8220100 -5.197827
macro-T -0.0166528 0.1182567 -1.0759794 0.2901212 0.8220100 -5.219109
macro-MT 0.0255988 0.1487592 0.8897154 0.3803755 0.8265480 -5.383474
macro-monocyte-derived -0.0382513 0.2791111 -0.8737168 0.3889638 0.8265480 -5.396162
macro-IFI27 0.0375179 0.3007553 0.6607333 0.5136442 0.8408146 -5.544782
macro-lipid-APOC2+ 0.0268312 0.1152469 0.6337387 0.5308811 0.8408146 -5.560773

CF.LUMA_IVAvNON_CF.CTRL
logFC AveExpr t P.Value adj.P.Val B
macro-CCL18 0.1303531 0.2540647 2.3049452 0.0280006 0.4760098 -3.448066
macro-IGF1 0.0621495 0.2016823 1.3433307 0.1888776 0.9451149 -4.858046
macro-IFN 0.0237028 0.1102832 1.2609030 0.2166172 0.9451149 -4.949804
macro-CCL -0.1029454 0.2263490 -1.2451209 0.2223800 0.9451149 -4.966753
macro-T -0.0167670 0.1182567 -0.9736580 0.3376557 0.9572141 -5.228228
macro-IFI27+APOC2+ -0.0421136 0.1468071 -0.8644118 0.3939746 0.9572141 -5.316545
macro-interstitial 0.0534938 0.1522175 0.7611648 0.4522870 0.9572141 -5.390896
macro-IFI27 -0.0450603 0.3007553 -0.7132112 0.4810285 0.9572141 -5.422349
macro-alveolar 0.0528250 0.5919576 0.6294479 0.5336491 0.9572141 -5.472545
macro-proliferating-S 0.0098729 0.1610808 0.3816720 0.7052712 0.9572141 -5.585109

Session info

The analysis and this document were prepared using the following software (click triangle to expand)
sessioninfo::session_info()
─ Session info ───────────────────────────────────────────────────────────────
 setting  value
 version  R version 4.3.3 (2024-02-29)
 os       Ubuntu 22.04.4 LTS
 system   x86_64, linux-gnu
 ui       X11
 language (EN)
 collate  en_AU.UTF-8
 ctype    en_AU.UTF-8
 tz       Etc/UTC
 date     2024-09-10
 pandoc   3.1.1 @ /usr/lib/rstudio-server/bin/quarto/bin/tools/ (via rmarkdown)

─ Packages ───────────────────────────────────────────────────────────────────
 ! package              * version    date (UTC) lib source
 P abind                  1.4-5      2016-07-21 [?] RSPM (R 4.3.0)
 P AnnotationDbi        * 1.64.1     2023-11-03 [?] Bioconductor
 P backports              1.4.1      2021-12-13 [?] RSPM (R 4.3.0)
 P base64enc              0.1-3      2015-07-28 [?] RSPM (R 4.3.0)
 P Biobase              * 2.62.0     2023-10-24 [?] Bioconductor
 P BiocGenerics         * 0.48.1     2023-11-01 [?] Bioconductor
 P BiocManager            1.30.22    2023-08-08 [?] RSPM (R 4.3.0)
 P Biostrings             2.70.2     2024-01-28 [?] Bioconductor 3.18 (R 4.3.3)
 P bit                    4.0.5      2022-11-15 [?] RSPM (R 4.3.0)
 P bit64                  4.0.5      2020-08-30 [?] RSPM (R 4.3.0)
 P bitops                 1.0-7      2021-04-24 [?] RSPM (R 4.3.0)
 P blob                   1.2.4      2023-03-17 [?] RSPM (R 4.3.0)
 P bslib                  0.6.1      2023-11-28 [?] RSPM (R 4.3.0)
 P cachem                 1.0.8      2023-05-01 [?] RSPM (R 4.3.0)
 P callr                  3.7.3      2022-11-02 [?] RSPM (R 4.3.0)
 P checkmate              2.3.1      2023-12-04 [?] RSPM (R 4.3.0)
 P circlize               0.4.15     2022-05-10 [?] RSPM (R 4.3.0)
 P cli                    3.6.2      2023-12-11 [?] RSPM (R 4.3.0)
 P clue                   0.3-65     2023-09-23 [?] RSPM (R 4.3.0)
 P cluster                2.1.6      2023-12-01 [?] CRAN (R 4.3.2)
 P clustree             * 0.5.1      2023-11-05 [?] RSPM (R 4.3.0)
 P codetools              0.2-19     2023-02-01 [?] CRAN (R 4.2.2)
 P colorspace             2.1-0      2023-01-23 [?] RSPM (R 4.3.0)
 P ComplexHeatmap         2.18.0     2023-10-24 [?] Bioconductor
 P cowplot                1.1.3      2024-01-22 [?] RSPM (R 4.3.0)
 P crayon                 1.5.2      2022-09-29 [?] RSPM (R 4.3.0)
 P data.table             1.15.0     2024-01-30 [?] RSPM (R 4.3.0)
 P DBI                    1.2.1      2024-01-12 [?] RSPM (R 4.3.0)
 P DelayedArray           0.28.0     2023-10-24 [?] Bioconductor
 P deldir                 2.0-2      2023-11-23 [?] RSPM (R 4.3.0)
 P dendextend             1.17.1     2023-03-25 [?] RSPM (R 4.3.0)
 P digest                 0.6.34     2024-01-11 [?] RSPM (R 4.3.0)
 P dittoSeq             * 1.14.2     2024-02-09 [?] Bioconductor 3.18 (R 4.3.3)
 P doParallel             1.0.17     2022-02-07 [?] RSPM (R 4.3.0)
 P dplyr                * 1.1.4      2023-11-17 [?] RSPM (R 4.3.0)
 P dynamicTreeCut         1.63-1     2016-03-11 [?] RSPM (R 4.3.0)
 P edgeR                * 4.0.15     2024-02-11 [?] Bioconductor 3.18 (R 4.3.3)
 P ellipsis               0.3.2      2021-04-29 [?] RSPM (R 4.3.0)
 P evaluate               0.23       2023-11-01 [?] RSPM (R 4.3.0)
 P fansi                  1.0.6      2023-12-08 [?] RSPM (R 4.3.0)
 P farver                 2.1.1      2022-07-06 [?] RSPM (R 4.3.0)
 P fastcluster            1.2.6      2024-01-12 [?] RSPM (R 4.3.0)
 P fastmap                1.1.1      2023-02-24 [?] RSPM (R 4.3.0)
 P fitdistrplus           1.1-11     2023-04-25 [?] RSPM (R 4.3.0)
 P forcats              * 1.0.0      2023-01-29 [?] RSPM (R 4.3.0)
 P foreach                1.5.2      2022-02-02 [?] RSPM (R 4.3.0)
 P foreign                0.8-86     2023-11-28 [?] CRAN (R 4.3.2)
 P Formula                1.2-5      2023-02-24 [?] RSPM (R 4.3.0)
 P fs                     1.6.3      2023-07-20 [?] RSPM (R 4.3.0)
 P future                 1.33.1     2023-12-22 [?] RSPM (R 4.3.0)
 P future.apply           1.11.1     2023-12-21 [?] RSPM (R 4.3.0)
 P generics               0.1.3      2022-07-05 [?] RSPM (R 4.3.0)
 P GenomeInfoDb         * 1.38.6     2024-02-08 [?] Bioconductor 3.18 (R 4.3.3)
 P GenomeInfoDbData       1.2.11     2024-04-23 [?] Bioconductor
 P GenomicRanges        * 1.54.1     2023-10-29 [?] Bioconductor
 P GetoptLong             1.0.5      2020-12-15 [?] RSPM (R 4.3.0)
 P getPass                0.2-4      2023-12-10 [?] RSPM (R 4.3.0)
 P ggforce                0.4.2      2024-02-19 [?] RSPM (R 4.3.0)
 P ggplot2              * 3.5.0      2024-02-23 [?] RSPM (R 4.3.0)
 P ggraph               * 2.2.0      2024-02-27 [?] RSPM (R 4.3.0)
 P ggrepel                0.9.5      2024-01-10 [?] RSPM (R 4.3.0)
 P ggridges               0.5.6      2024-01-23 [?] RSPM (R 4.3.0)
 P git2r                  0.33.0     2023-11-26 [?] RSPM (R 4.3.0)
 P glmGamPoi            * 1.14.3     2024-02-11 [?] Bioconductor 3.18 (R 4.3.3)
 P GlobalOptions          0.1.2      2020-06-10 [?] RSPM (R 4.3.0)
 P globals                0.16.2     2022-11-21 [?] RSPM (R 4.3.0)
 P glue                 * 1.7.0      2024-01-09 [?] RSPM (R 4.3.0)
 P GO.db                  3.18.0     2024-04-23 [?] Bioconductor
 P goftest                1.2-3      2021-10-07 [?] RSPM (R 4.3.0)
 P graphlayouts           1.1.0      2024-01-19 [?] RSPM (R 4.3.0)
 P gridExtra              2.3        2017-09-09 [?] RSPM (R 4.3.0)
 P gtable                 0.3.4      2023-08-21 [?] RSPM (R 4.3.0)
 P here                 * 1.0.1      2020-12-13 [?] RSPM (R 4.3.0)
 P highr                  0.10       2022-12-22 [?] RSPM (R 4.3.0)
 P Hmisc                  5.1-1      2023-09-12 [?] RSPM (R 4.3.0)
 P hms                    1.1.3      2023-03-21 [?] RSPM (R 4.3.0)
 P htmlTable              2.4.2      2023-10-29 [?] RSPM (R 4.3.0)
 P htmltools              0.5.7      2023-11-03 [?] RSPM (R 4.3.0)
 P htmlwidgets            1.6.4      2023-12-06 [?] RSPM (R 4.3.0)
 P httpuv                 1.6.14     2024-01-26 [?] RSPM (R 4.3.0)
 P httr                   1.4.7      2023-08-15 [?] RSPM (R 4.3.0)
 P ica                    1.0-3      2022-07-08 [?] RSPM (R 4.3.0)
 P igraph                 2.0.1.1    2024-01-30 [?] RSPM (R 4.3.0)
 P impute                 1.76.0     2023-10-24 [?] Bioconductor
 P IRanges              * 2.36.0     2023-10-24 [?] Bioconductor
 P irlba                  2.3.5.1    2022-10-03 [?] RSPM (R 4.3.0)
 P iterators              1.0.14     2022-02-05 [?] RSPM (R 4.3.0)
 P jquerylib              0.1.4      2021-04-26 [?] RSPM (R 4.3.0)
 P jsonlite               1.8.8      2023-12-04 [?] RSPM (R 4.3.0)
 P KEGGREST               1.42.0     2023-10-24 [?] Bioconductor
 P KernSmooth             2.23-24    2024-05-17 [?] RSPM (R 4.3.0)
 P knitr                  1.45       2023-10-30 [?] RSPM (R 4.3.0)
 P labeling               0.4.3      2023-08-29 [?] RSPM (R 4.3.0)
 P later                  1.3.2      2023-12-06 [?] RSPM (R 4.3.0)
 P lattice                0.22-5     2023-10-24 [?] CRAN (R 4.3.1)
 P lazyeval               0.2.2      2019-03-15 [?] RSPM (R 4.3.0)
 P leiden                 0.4.3.1    2023-11-17 [?] RSPM (R 4.3.0)
 P lifecycle              1.0.4      2023-11-07 [?] RSPM (R 4.3.0)
 P limma                * 3.58.1     2023-10-31 [?] Bioconductor
 P listenv                0.9.1      2024-01-29 [?] RSPM (R 4.3.0)
 P lmtest                 0.9-40     2022-03-21 [?] RSPM (R 4.3.0)
 P locfit                 1.5-9.8    2023-06-11 [?] RSPM (R 4.3.0)
 P lubridate            * 1.9.3      2023-09-27 [?] RSPM (R 4.3.0)
 P magrittr               2.0.3      2022-03-30 [?] RSPM (R 4.3.0)
 P MASS                   7.3-60.0.1 2024-01-13 [?] RSPM (R 4.3.0)
 P Matrix                 1.6-5      2024-01-11 [?] CRAN (R 4.3.3)
 P MatrixGenerics       * 1.14.0     2023-10-24 [?] Bioconductor
 P matrixStats          * 1.2.0      2023-12-11 [?] RSPM (R 4.3.0)
 P memoise                2.0.1      2021-11-26 [?] RSPM (R 4.3.0)
 P mime                   0.12       2021-09-28 [?] RSPM (R 4.3.0)
 P miniUI                 0.1.1.1    2018-05-18 [?] RSPM (R 4.3.0)
 P munsell                0.5.0      2018-06-12 [?] RSPM (R 4.3.0)
 P nlme                   3.1-164    2023-11-27 [?] RSPM (R 4.3.0)
 P nnet                   7.3-19     2023-05-03 [?] CRAN (R 4.3.1)
 P org.Hs.eg.db         * 3.18.0     2024-04-23 [?] Bioconductor
 P paletteer            * 1.6.0      2024-01-21 [?] RSPM (R 4.3.0)
 P parallelly             1.37.0     2024-02-14 [?] RSPM (R 4.3.0)
 P patchwork            * 1.2.0      2024-01-08 [?] RSPM (R 4.3.0)
 P pbapply                1.7-2      2023-06-27 [?] RSPM (R 4.3.0)
 P pheatmap               1.0.12     2019-01-04 [?] RSPM (R 4.3.0)
 P pillar                 1.9.0      2023-03-22 [?] RSPM (R 4.3.0)
 P pkgconfig              2.0.3      2019-09-22 [?] RSPM (R 4.3.0)
 P plotly                 4.10.4     2024-01-13 [?] RSPM (R 4.3.0)
 P plyr                   1.8.9      2023-10-02 [?] RSPM (R 4.3.0)
 P png                    0.1-8      2022-11-29 [?] RSPM (R 4.3.0)
 P polyclip               1.10-6     2023-09-27 [?] RSPM (R 4.3.0)
 P preprocessCore         1.64.0     2023-10-24 [?] Bioconductor
 P prismatic              1.1.1      2022-08-15 [?] RSPM (R 4.3.0)
 P processx               3.8.3      2023-12-10 [?] RSPM (R 4.3.0)
 P progressr              0.14.0     2023-08-10 [?] RSPM (R 4.3.0)
 P promises               1.2.1      2023-08-10 [?] RSPM (R 4.3.0)
 P ps                     1.7.6      2024-01-18 [?] RSPM (R 4.3.0)
 P purrr                * 1.0.2      2023-08-10 [?] RSPM (R 4.3.0)
 P R6                     2.5.1      2021-08-19 [?] RSPM (R 4.3.0)
 P RANN                   2.6.1      2019-01-08 [?] RSPM (R 4.3.0)
 P RColorBrewer           1.1-3      2022-04-03 [?] RSPM (R 4.3.0)
 P Rcpp                   1.0.12     2024-01-09 [?] RSPM (R 4.3.0)
 P RcppAnnoy              0.0.22     2024-01-23 [?] RSPM (R 4.3.0)
 P RCurl                  1.98-1.14  2024-01-09 [?] RSPM (R 4.3.0)
 P readr                * 2.1.5      2024-01-10 [?] RSPM (R 4.3.0)
 P rematch2               2.1.2      2020-05-01 [?] RSPM (R 4.3.0)
   renv                   1.0.3      2023-09-19 [1] CRAN (R 4.3.3)
 P reshape2               1.4.4      2020-04-09 [?] RSPM (R 4.3.0)
 P reticulate             1.35.0     2024-01-31 [?] RSPM (R 4.3.0)
 P rjson                  0.2.21     2022-01-09 [?] RSPM (R 4.3.0)
 P rlang                  1.1.3      2024-01-10 [?] RSPM (R 4.3.0)
 P rmarkdown              2.25       2023-09-18 [?] RSPM (R 4.3.0)
 P ROCR                   1.0-11     2020-05-02 [?] RSPM (R 4.3.0)
 P rpart                  4.1.23     2023-12-05 [?] RSPM (R 4.3.0)
 P rprojroot              2.0.4      2023-11-05 [?] RSPM (R 4.3.0)
 P RSQLite                2.3.5      2024-01-21 [?] RSPM (R 4.3.0)
 P rstudioapi             0.15.0     2023-07-07 [?] RSPM (R 4.3.0)
 P Rtsne                  0.17       2023-12-07 [?] RSPM (R 4.3.0)
 P S4Arrays               1.2.0      2023-10-24 [?] Bioconductor
 P S4Vectors            * 0.40.2     2023-11-23 [?] Bioconductor 3.18 (R 4.3.3)
 P sass                   0.4.8      2023-12-06 [?] RSPM (R 4.3.0)
 P scales                 1.3.0      2023-11-28 [?] RSPM (R 4.3.0)
 P scattermore            1.2        2023-06-12 [?] RSPM (R 4.3.0)
   sctransform            0.4.1      2023-10-19 [1] RSPM (R 4.3.0)
 P sessioninfo            1.2.2      2021-12-06 [?] RSPM (R 4.3.0)
   Seurat               * 4.4.0      2024-04-25 [1] https://satijalab.r-universe.dev (R 4.3.3)
   SeuratObject         * 4.1.4      2024-04-25 [1] https://satijalab.r-universe.dev (R 4.3.3)
 P shape                  1.4.6      2021-05-19 [?] RSPM (R 4.3.0)
 P shiny                  1.8.0      2023-11-17 [?] RSPM (R 4.3.0)
 P SingleCellExperiment * 1.24.0     2023-10-24 [?] Bioconductor
 P sp                     2.1-3      2024-01-30 [?] RSPM (R 4.3.0)
 P SparseArray            1.2.4      2024-02-11 [?] Bioconductor 3.18 (R 4.3.3)
 P spatstat.data          3.0-4      2024-01-15 [?] RSPM (R 4.3.0)
 P spatstat.explore       3.2-6      2024-02-01 [?] RSPM (R 4.3.0)
 P spatstat.geom          3.2-8      2024-01-26 [?] RSPM (R 4.3.0)
 P spatstat.random        3.2-2      2023-11-29 [?] RSPM (R 4.3.0)
 P spatstat.sparse        3.0-3      2023-10-24 [?] RSPM (R 4.3.0)
 P spatstat.utils         3.0-4      2023-10-24 [?] RSPM (R 4.3.0)
 P speckle              * 1.2.0      2023-10-24 [?] Bioconductor
 P statmod                1.5.0      2023-01-06 [?] RSPM (R 4.3.0)
 P stringi                1.8.3      2023-12-11 [?] RSPM (R 4.3.0)
 P stringr              * 1.5.1      2023-11-14 [?] RSPM (R 4.3.0)
 P SummarizedExperiment * 1.32.0     2023-10-24 [?] Bioconductor
 P survival               3.7-0      2024-06-05 [?] RSPM (R 4.3.0)
 P tensor                 1.5        2012-05-05 [?] RSPM (R 4.3.0)
 P tibble               * 3.2.1      2023-03-20 [?] RSPM (R 4.3.0)
 P tidygraph              1.3.1      2024-01-30 [?] RSPM (R 4.3.0)
 P tidyHeatmap          * 1.8.1      2022-05-20 [?] RSPM (R 4.3.3)
 P tidyr                * 1.3.1      2024-01-24 [?] RSPM (R 4.3.0)
 P tidyselect             1.2.0      2022-10-10 [?] RSPM (R 4.3.0)
 P tidyverse            * 2.0.0      2023-02-22 [?] RSPM (R 4.3.0)
 P timechange             0.3.0      2024-01-18 [?] RSPM (R 4.3.0)
 P tweenr                 2.0.3      2024-02-26 [?] RSPM (R 4.3.0)
 P tzdb                   0.4.0      2023-05-12 [?] RSPM (R 4.3.0)
 P utf8                   1.2.4      2023-10-22 [?] RSPM (R 4.3.0)
 P uwot                   0.1.16     2023-06-29 [?] RSPM (R 4.3.0)
 P vctrs                  0.6.5      2023-12-01 [?] RSPM (R 4.3.0)
 P viridis                0.6.5      2024-01-29 [?] RSPM (R 4.3.0)
 P viridisLite            0.4.2      2023-05-02 [?] RSPM (R 4.3.0)
 P WGCNA                  1.72-5     2023-12-07 [?] RSPM (R 4.3.3)
 P whisker                0.4.1      2022-12-05 [?] RSPM (R 4.3.0)
 P withr                  3.0.0      2024-01-16 [?] RSPM (R 4.3.0)
 P workflowr            * 1.7.1      2023-08-23 [?] RSPM (R 4.3.0)
 P xfun                   0.42       2024-02-08 [?] RSPM (R 4.3.0)
 P xtable                 1.8-4      2019-04-21 [?] RSPM (R 4.3.0)
 P XVector                0.42.0     2023-10-24 [?] Bioconductor
 P yaml                   2.3.8      2023-12-11 [?] RSPM (R 4.3.0)
 P zlibbioc               1.48.0     2023-10-24 [?] Bioconductor
 P zoo                    1.8-12     2023-04-13 [?] RSPM (R 4.3.0)

 [1] /mnt/allandata/jovana_data/paed-inflammation-CITEseq/renv/library/R-4.3/x86_64-pc-linux-gnu
 [2] /home/jovana/.cache/R/renv/sandbox/R-4.3/x86_64-pc-linux-gnu/9a444a72

 P ── Loaded and on-disk path mismatch.

──────────────────────────────────────────────────────────────────────────────

sessionInfo()
R version 4.3.3 (2024-02-29)
Platform: x86_64-pc-linux-gnu (64-bit)
Running under: Ubuntu 22.04.4 LTS

Matrix products: default
BLAS:   /usr/lib/x86_64-linux-gnu/openblas-pthread/libblas.so.3 
LAPACK: /usr/lib/x86_64-linux-gnu/openblas-pthread/libopenblasp-r0.3.20.so;  LAPACK version 3.10.0

locale:
 [1] LC_CTYPE=en_AU.UTF-8       LC_NUMERIC=C              
 [3] LC_TIME=en_AU.UTF-8        LC_COLLATE=en_AU.UTF-8    
 [5] LC_MONETARY=en_AU.UTF-8    LC_MESSAGES=en_AU.UTF-8   
 [7] LC_PAPER=en_AU.UTF-8       LC_NAME=C                 
 [9] LC_ADDRESS=C               LC_TELEPHONE=C            
[11] LC_MEASUREMENT=en_AU.UTF-8 LC_IDENTIFICATION=C       

time zone: Etc/UTC
tzcode source: system (glibc)

attached base packages:
[1] stats4    stats     graphics  grDevices datasets  utils     methods  
[8] base     

other attached packages:
 [1] here_1.0.1                  tidyHeatmap_1.8.1          
 [3] paletteer_1.6.0             patchwork_1.2.0            
 [5] speckle_1.2.0               glue_1.7.0                 
 [7] org.Hs.eg.db_3.18.0         AnnotationDbi_1.64.1       
 [9] clustree_0.5.1              ggraph_2.2.0               
[11] dittoSeq_1.14.2             glmGamPoi_1.14.3           
[13] SeuratObject_4.1.4          Seurat_4.4.0               
[15] lubridate_1.9.3             forcats_1.0.0              
[17] stringr_1.5.1               dplyr_1.1.4                
[19] purrr_1.0.2                 readr_2.1.5                
[21] tidyr_1.3.1                 tibble_3.2.1               
[23] ggplot2_3.5.0               tidyverse_2.0.0            
[25] edgeR_4.0.15                limma_3.58.1               
[27] SingleCellExperiment_1.24.0 SummarizedExperiment_1.32.0
[29] Biobase_2.62.0              GenomicRanges_1.54.1       
[31] GenomeInfoDb_1.38.6         IRanges_2.36.0             
[33] S4Vectors_0.40.2            BiocGenerics_0.48.1        
[35] MatrixGenerics_1.14.0       matrixStats_1.2.0          
[37] workflowr_1.7.1            

loaded via a namespace (and not attached):
  [1] fs_1.6.3                spatstat.sparse_3.0-3   bitops_1.0-7           
  [4] httr_1.4.7              RColorBrewer_1.1-3      doParallel_1.0.17      
  [7] dynamicTreeCut_1.63-1   backports_1.4.1         tools_4.3.3            
 [10] sctransform_0.4.1       utf8_1.2.4              R6_2.5.1               
 [13] lazyeval_0.2.2          uwot_0.1.16             GetoptLong_1.0.5       
 [16] withr_3.0.0             sp_2.1-3                gridExtra_2.3          
 [19] preprocessCore_1.64.0   progressr_0.14.0        WGCNA_1.72-5           
 [22] cli_3.6.2               spatstat.explore_3.2-6  labeling_0.4.3         
 [25] sass_0.4.8              prismatic_1.1.1         spatstat.data_3.0-4    
 [28] ggridges_0.5.6          pbapply_1.7-2           foreign_0.8-86         
 [31] sessioninfo_1.2.2       parallelly_1.37.0       impute_1.76.0          
 [34] rstudioapi_0.15.0       RSQLite_2.3.5           generics_0.1.3         
 [37] shape_1.4.6             ica_1.0-3               spatstat.random_3.2-2  
 [40] dendextend_1.17.1       GO.db_3.18.0            Matrix_1.6-5           
 [43] fansi_1.0.6             abind_1.4-5             lifecycle_1.0.4        
 [46] whisker_0.4.1           yaml_2.3.8              SparseArray_1.2.4      
 [49] Rtsne_0.17              grid_4.3.3              blob_1.2.4             
 [52] promises_1.2.1          crayon_1.5.2            miniUI_0.1.1.1         
 [55] lattice_0.22-5          cowplot_1.1.3           KEGGREST_1.42.0        
 [58] pillar_1.9.0            knitr_1.45              ComplexHeatmap_2.18.0  
 [61] rjson_0.2.21            future.apply_1.11.1     codetools_0.2-19       
 [64] leiden_0.4.3.1          getPass_0.2-4           data.table_1.15.0      
 [67] vctrs_0.6.5             png_0.1-8               gtable_0.3.4           
 [70] rematch2_2.1.2          cachem_1.0.8            xfun_0.42              
 [73] S4Arrays_1.2.0          mime_0.12               tidygraph_1.3.1        
 [76] survival_3.7-0          pheatmap_1.0.12         iterators_1.0.14       
 [79] statmod_1.5.0           ellipsis_0.3.2          fitdistrplus_1.1-11    
 [82] ROCR_1.0-11             nlme_3.1-164            bit64_4.0.5            
 [85] RcppAnnoy_0.0.22        rprojroot_2.0.4         bslib_0.6.1            
 [88] irlba_2.3.5.1           rpart_4.1.23            KernSmooth_2.23-24     
 [91] Hmisc_5.1-1             colorspace_2.1-0        DBI_1.2.1              
 [94] nnet_7.3-19             tidyselect_1.2.0        processx_3.8.3         
 [97] bit_4.0.5               compiler_4.3.3          git2r_0.33.0           
[100] htmlTable_2.4.2         DelayedArray_0.28.0     plotly_4.10.4          
[103] checkmate_2.3.1         scales_1.3.0            lmtest_0.9-40          
[106] callr_3.7.3             digest_0.6.34           goftest_1.2-3          
[109] spatstat.utils_3.0-4    rmarkdown_2.25          XVector_0.42.0         
[112] base64enc_0.1-3         htmltools_0.5.7         pkgconfig_2.0.3        
[115] highr_0.10              fastmap_1.1.1           rlang_1.1.3            
[118] GlobalOptions_0.1.2     htmlwidgets_1.6.4       shiny_1.8.0            
[121] farver_2.1.1            jquerylib_0.1.4         zoo_1.8-12             
[124] jsonlite_1.8.8          RCurl_1.98-1.14         magrittr_2.0.3         
[127] Formula_1.2-5           GenomeInfoDbData_1.2.11 munsell_0.5.0          
[130] Rcpp_1.0.12             viridis_0.6.5           reticulate_1.35.0      
[133] stringi_1.8.3           zlibbioc_1.48.0         MASS_7.3-60.0.1        
[136] plyr_1.8.9              parallel_4.3.3          listenv_0.9.1          
[139] ggrepel_0.9.5           deldir_2.0-2            Biostrings_2.70.2      
[142] graphlayouts_1.1.0      splines_4.3.3           tensor_1.5             
[145] hms_1.1.3               circlize_0.4.15         locfit_1.5-9.8         
[148] ps_1.7.6                fastcluster_1.2.6       igraph_2.0.1.1         
[151] spatstat.geom_3.2-8     reshape2_1.4.4          evaluate_0.23          
[154] renv_1.0.3              BiocManager_1.30.22     tzdb_0.4.0             
[157] foreach_1.5.2           tweenr_2.0.3            httpuv_1.6.14          
[160] RANN_2.6.1              polyclip_1.10-6         future_1.33.1          
[163] clue_0.3-65             scattermore_1.2         ggforce_0.4.2          
[166] xtable_1.8-4            later_1.3.2             viridisLite_0.4.2      
[169] memoise_2.0.1           cluster_2.1.6           timechange_0.3.0       
[172] globals_0.16.2