Last updated: 2024-08-09
Checks: 7 0
Knit directory: paed-inflammation-CITEseq/
This reproducible R Markdown analysis was created with workflowr (version 1.7.1). The Checks tab describes the reproducibility checks that were applied when the results were created. The Past versions tab lists the development history.
Great! Since the R Markdown file has been committed to the Git repository, you know the exact version of the code that produced these results.
Great job! The global environment was empty. Objects defined in the global environment can affect the analysis in your R Markdown file in unknown ways. For reproduciblity it’s best to always run the code in an empty environment.
The command set.seed(20240216) was run prior to running
the code in the R Markdown file. Setting a seed ensures that any results
that rely on randomness, e.g. subsampling or permutations, are
reproducible.
Great job! Recording the operating system, R version, and package versions is critical for reproducibility.
Nice! There were no cached chunks for this analysis, so you can be confident that you successfully produced the results during this run.
Great job! Using relative paths to the files within your workflowr project makes it easier to run your code on other machines.
Great! You are using Git for version control. Tracking code development and connecting the code version to the results is critical for reproducibility.
The results in this page were generated with repository version 01f0f43. See the Past versions tab to see a history of the changes made to the R Markdown and HTML files.
Note that you need to be careful to ensure that all relevant files for
the analysis have been committed to Git prior to generating the results
(you can use wflow_publish or
wflow_git_commit). workflowr only checks the R Markdown
file, but you know if there are other scripts or data files that it
depends on. Below is the status of the Git repository when the results
were generated:
Ignored files:
Ignored: .Rhistory
Ignored: .Rproj.user/
Ignored: code/voomByGroup/
Ignored: data/.DS_Store
Ignored: data/C133_Neeland/
Ignored: data/C133_Neeland_batch0/
Ignored: data/C133_Neeland_batch1/
Ignored: data/C133_Neeland_batch2/
Ignored: data/C133_Neeland_batch3/
Ignored: data/C133_Neeland_batch4/
Ignored: data/C133_Neeland_batch5/
Ignored: data/C133_Neeland_batch6/
Ignored: data/C133_Neeland_merged/
Ignored: renv/library/
Ignored: renv/staging/
Untracked files:
Untracked: analysis/13.1_DGE_analysis_macro-alveolar_cells_decontx.Rmd
Untracked: code/cellbender.sh
Untracked: code/move_files.R
Untracked: data/heart10k_raw_feature_bc_matrix.h5
Untracked: data/oshlack_lab/
Untracked: data/output.log
Untracked: data/tiny_output.log
Untracked: data/tiny_raw_feature_bc_matrix.h5ad
Unstaged changes:
Modified: .DS_Store
Modified: analysis/06.1_azimuth_annotation_decontx.Rmd
Modified: code/run_cellbender.R
Note that any generated files, e.g. HTML, png, CSS, etc., are not included in this status report because it is ok for generated content to have uncommitted changes.
These are the previous versions of the repository in which changes were
made to the R Markdown
(analysis/14.1_proportions_analysis_fine.Rmd) and HTML
(docs/14.1_proportions_analysis_fine.html) files. If you’ve
configured a remote Git repository (see ?wflow_git_remote),
click on the hyperlinks in the table below to view the files as they
were in that past version.
| File | Version | Author | Date | Message |
|---|---|---|---|---|
| Rmd | 01f0f43 | Jovana Maksimovic | 2024-08-09 | wflow_publish("analysis/14.*") |
suppressPackageStartupMessages({
library(SingleCellExperiment)
library(edgeR)
library(tidyverse)
library(ggplot2)
library(Seurat)
library(glmGamPoi)
library(dittoSeq)
library(clustree)
library(AnnotationDbi)
library(org.Hs.eg.db)
library(glue)
library(speckle)
library(patchwork)
library(paletteer)
library(tidyHeatmap)
library(here)
})
set.seed(42)
options(scipen=999)
options(future.globals.maxSize = 6500 * 1024^2)
files <- list.files(here("data/C133_Neeland_merged"),
pattern = "C133_Neeland_full_clean.*(macrophages|t_cells|other_cells)_annotated_diet.SEU.rds",
full.names = TRUE)
seuLst <- lapply(files[2:4], function(f) readRDS(f))
seu <- merge(seuLst[[1]],
y = c(seuLst[[2]],
seuLst[[3]]))
seu
An object of class Seurat
21568 features across 191521 samples within 1 assay
Active assay: RNA (21568 features, 0 variable features)
used (Mb) gc trigger (Mb) limit (Mb) max used (Mb)
Ncells 10361251 553.4 17390818 928.8 NA 11881777 634.6
Vcells 1328308325 10134.2 3629549058 27691.3 65536 3489907699 26625.9
# Differences in cell type proportions
props <- getTransformedProps(clusters = seu$Annotation,
sample = seu$sample.id, transform="asin")
props$Proportions %>% knitr::kable()
| sample_1.1 | sample_15.1 | sample_16.1 | sample_17.1 | sample_18.1 | sample_19.1 | sample_2.1 | sample_20.1 | sample_21.1 | sample_22.1 | sample_23.1 | sample_24.1 | sample_25.1 | sample_26.1 | sample_27.1 | sample_28.1 | sample_29.1 | sample_3.1 | sample_30.1 | sample_31.1 | sample_32.1 | sample_33.1 | sample_34.1 | sample_34.2 | sample_34.3 | sample_35.1 | sample_35.2 | sample_36.1 | sample_36.2 | sample_37.1 | sample_37.2 | sample_37.3 | sample_38.1 | sample_38.2 | sample_38.3 | sample_39.1 | sample_39.2 | sample_4.1 | sample_40.1 | sample_41.1 | sample_42.1 | sample_43.1 | sample_5.1 | sample_6.1 | sample_7.1 | |
|---|---|---|---|---|---|---|---|---|---|---|---|---|---|---|---|---|---|---|---|---|---|---|---|---|---|---|---|---|---|---|---|---|---|---|---|---|---|---|---|---|---|---|---|---|---|
| B cells | 0.0206838 | 0.0071704 | 0.0018883 | 0.0423365 | 0.0013711 | 0.0023866 | 0.0910706 | 0.0016652 | 0.0093304 | 0.0023447 | 0.1954813 | 0.0054013 | 0.0024450 | 0.0117647 | 0.0020268 | 0.0006984 | 0.0911990 | 0.0117371 | 0.0064935 | 0.0041667 | 0.0027000 | 0.0593735 | 0.0026738 | 0.0000000 | 0.0014215 | 0.0177419 | 0.0081239 | 0.0261132 | 0.0502624 | 0.0069589 | 0.0122811 | 0.0101543 | 0.0048374 | 0.0058787 | 0.0340689 | 0.0356179 | 0.0267338 | 0.0091732 | 0.0000000 | 0.0000000 | 0.0000000 | 0.0000000 | 0.0181922 | 0.0046205 | 0.0279341 |
| CD4 T cells | 0.0054875 | 0.0148924 | 0.0078230 | 0.0115220 | 0.0042657 | 0.0011933 | 0.0284318 | 0.0062764 | 0.0098793 | 0.0051290 | 0.0923379 | 0.0170682 | 0.0122249 | 0.0200980 | 0.0097284 | 0.0036318 | 0.0159439 | 0.0046948 | 0.1435786 | 0.0513889 | 0.0097874 | 0.0892941 | 0.0060160 | 0.0021946 | 0.0018953 | 0.0108871 | 0.0081239 | 0.0046870 | 0.0267882 | 0.0066110 | 0.0086571 | 0.0134037 | 0.0037624 | 0.0058787 | 0.0154859 | 0.0118726 | 0.0300271 | 0.0081815 | 0.1054745 | 0.0325397 | 0.0253611 | 0.0329297 | 0.0488914 | 0.0101839 | 0.0224110 |
| CD4 T-IFN | 0.0016885 | 0.0063431 | 0.0008093 | 0.0008039 | 0.0004570 | 0.0007955 | 0.0000000 | 0.0000000 | 0.0012806 | 0.0002931 | 0.0039293 | 0.0034568 | 0.0009169 | 0.0024510 | 0.0012161 | 0.0002794 | 0.0000000 | 0.0004268 | 0.0043290 | 0.0037037 | 0.0013500 | 0.0056101 | 0.0006684 | 0.0000000 | 0.0004738 | 0.0008065 | 0.0032118 | 0.0000000 | 0.0011047 | 0.0000000 | 0.0004027 | 0.0012185 | 0.0005375 | 0.0018564 | 0.0023229 | 0.0005397 | 0.0027121 | 0.0002479 | 0.0010949 | 0.0047619 | 0.0056863 | 0.0023132 | 0.0005685 | 0.0007544 | 0.0007435 |
| CD4 T-naïve | 0.0004221 | 0.0030336 | 0.0002698 | 0.0013398 | 0.0013711 | 0.0003978 | 0.0026655 | 0.0007685 | 0.0016465 | 0.0005862 | 0.0304519 | 0.0011883 | 0.0009169 | 0.0049020 | 0.0008107 | 0.0005587 | 0.0051020 | 0.0004268 | 0.0266955 | 0.0078704 | 0.0003375 | 0.0112202 | 0.0006684 | 0.0000000 | 0.0000000 | 0.0016129 | 0.0005668 | 0.0000000 | 0.0038663 | 0.0010438 | 0.0006040 | 0.0004062 | 0.0000000 | 0.0003094 | 0.0011614 | 0.0005397 | 0.0081364 | 0.0006198 | 0.0175182 | 0.0026455 | 0.0022745 | 0.0046265 | 0.0108016 | 0.0006601 | 0.0088157 |
| CD4 T-NFKB | 0.0000000 | 0.0011031 | 0.0002698 | 0.0008039 | 0.0004570 | 0.0000000 | 0.0022212 | 0.0003843 | 0.0043908 | 0.0010258 | 0.0166994 | 0.0016204 | 0.0012225 | 0.0024510 | 0.0004054 | 0.0002794 | 0.0063776 | 0.0002134 | 0.0014430 | 0.0027778 | 0.0023625 | 0.0327256 | 0.0033422 | 0.0014631 | 0.0007107 | 0.0016129 | 0.0013225 | 0.0043522 | 0.0052472 | 0.0041754 | 0.0026173 | 0.0044679 | 0.0002687 | 0.0006188 | 0.0023229 | 0.0097140 | 0.0133669 | 0.0003719 | 0.0109489 | 0.0164021 | 0.0012510 | 0.0023132 | 0.0028425 | 0.0005658 | 0.0021243 |
| CD4 T-reg | 0.0012664 | 0.0008274 | 0.0029674 | 0.0024116 | 0.0010664 | 0.0000000 | 0.0022212 | 0.0008966 | 0.0014636 | 0.0008792 | 0.0157171 | 0.0020525 | 0.0018337 | 0.0019608 | 0.0004054 | 0.0005587 | 0.0012755 | 0.0002134 | 0.0140693 | 0.0050926 | 0.0016875 | 0.0130902 | 0.0006684 | 0.0014631 | 0.0004738 | 0.0022177 | 0.0030229 | 0.0023435 | 0.0049710 | 0.0017397 | 0.0028186 | 0.0060926 | 0.0005375 | 0.0012376 | 0.0042586 | 0.0018888 | 0.0025184 | 0.0006198 | 0.0083942 | 0.0021164 | 0.0028432 | 0.0040822 | 0.0045480 | 0.0007544 | 0.0027616 |
| CD4 T-rm | 0.0004221 | 0.0013789 | 0.0008093 | 0.0008039 | 0.0006094 | 0.0000000 | 0.0008885 | 0.0003843 | 0.0005488 | 0.0002931 | 0.0058939 | 0.0008642 | 0.0003056 | 0.0004902 | 0.0008107 | 0.0006984 | 0.0012755 | 0.0002134 | 0.0010823 | 0.0013889 | 0.0000000 | 0.0028050 | 0.0000000 | 0.0000000 | 0.0000000 | 0.0002016 | 0.0001889 | 0.0000000 | 0.0005523 | 0.0017397 | 0.0012080 | 0.0012185 | 0.0005375 | 0.0003094 | 0.0019357 | 0.0005397 | 0.0017435 | 0.0006198 | 0.0000000 | 0.0000000 | 0.0000000 | 0.0000000 | 0.0125071 | 0.0008487 | 0.0012746 |
| CD8 T-GZMK | 0.0008442 | 0.0041368 | 0.0056650 | 0.0093783 | 0.0028946 | 0.0000000 | 0.0066637 | 0.0007685 | 0.0025613 | 0.0004396 | 0.0039293 | 0.0018364 | 0.0045844 | 0.0068627 | 0.0016214 | 0.0009778 | 0.0063776 | 0.0006402 | 0.0281385 | 0.0115741 | 0.0013500 | 0.0056101 | 0.0006684 | 0.0000000 | 0.0000000 | 0.0048387 | 0.0015114 | 0.0000000 | 0.0008285 | 0.0013918 | 0.0008053 | 0.0016247 | 0.0002687 | 0.0006188 | 0.0011614 | 0.0002698 | 0.0034870 | 0.0035949 | 0.0510949 | 0.0029101 | 0.0052314 | 0.0161927 | 0.0045480 | 0.0011315 | 0.0031864 |
| CD8 T-inflammasome | 0.0033770 | 0.0107557 | 0.0059347 | 0.0085745 | 0.0097502 | 0.0007955 | 0.0084407 | 0.0067888 | 0.0065862 | 0.0045428 | 0.0127701 | 0.0136113 | 0.0051956 | 0.0107843 | 0.0072963 | 0.0046096 | 0.0051020 | 0.0029876 | 0.0497835 | 0.0375000 | 0.0057374 | 0.0640486 | 0.0046791 | 0.0007315 | 0.0016584 | 0.0064516 | 0.0058568 | 0.0023435 | 0.0127037 | 0.0038274 | 0.0028186 | 0.0044679 | 0.0018812 | 0.0024752 | 0.0081301 | 0.0040475 | 0.0116234 | 0.0086773 | 0.0160584 | 0.0251323 | 0.0461731 | 0.0874949 | 0.0403638 | 0.0164074 | 0.0165693 |
| CD8 T-rm | 0.0021106 | 0.0146167 | 0.0167251 | 0.0174169 | 0.0038087 | 0.0003978 | 0.0359840 | 0.0023056 | 0.0087816 | 0.0045428 | 0.1110020 | 0.0155558 | 0.0036675 | 0.0132353 | 0.0178354 | 0.0097779 | 0.0471939 | 0.0055484 | 0.0198413 | 0.0458333 | 0.0104624 | 0.0584385 | 0.0046791 | 0.0021946 | 0.0035537 | 0.0090726 | 0.0028339 | 0.0010044 | 0.0113228 | 0.0093946 | 0.0038252 | 0.0138099 | 0.0016125 | 0.0018564 | 0.0158730 | 0.0026983 | 0.0579233 | 0.0131400 | 0.0328467 | 0.0462963 | 0.0382122 | 0.1035515 | 0.0500284 | 0.0096181 | 0.0182687 |
| cDC1 | 0.0008442 | 0.0002758 | 0.0002698 | 0.0008039 | 0.0001523 | 0.0000000 | 0.0000000 | 0.0007685 | 0.0009147 | 0.0004396 | 0.0039293 | 0.0011883 | 0.0003056 | 0.0019608 | 0.0000000 | 0.0000000 | 0.0006378 | 0.0000000 | 0.0137085 | 0.0004630 | 0.0003375 | 0.0060776 | 0.0000000 | 0.0000000 | 0.0007107 | 0.0006048 | 0.0007557 | 0.0000000 | 0.0030378 | 0.0000000 | 0.0006040 | 0.0000000 | 0.0000000 | 0.0000000 | 0.0007743 | 0.0005397 | 0.0013561 | 0.0011157 | 0.0000000 | 0.0000000 | 0.0000000 | 0.0000000 | 0.0028425 | 0.0005658 | 0.0012746 |
| cDC2 | 0.0021106 | 0.0013789 | 0.0008093 | 0.0305466 | 0.0155393 | 0.0043755 | 0.0008885 | 0.0033303 | 0.0021954 | 0.0008792 | 0.0206287 | 0.0322999 | 0.0158924 | 0.0181373 | 0.0137819 | 0.0053080 | 0.0357143 | 0.0100299 | 0.0147908 | 0.0129630 | 0.0101249 | 0.0467508 | 0.0648396 | 0.0468178 | 0.0236911 | 0.0167339 | 0.0162479 | 0.0271175 | 0.0389395 | 0.0052192 | 0.0034226 | 0.0040617 | 0.0000000 | 0.0009282 | 0.0042586 | 0.0183486 | 0.0288648 | 0.0099169 | 0.0000000 | 0.0000000 | 0.0000000 | 0.0000000 | 0.0096646 | 0.0013201 | 0.0023367 |
| ciliated epithelial cells | 0.0375686 | 0.0057915 | 0.0000000 | 0.0026795 | 0.0042657 | 0.0007955 | 0.1110618 | 0.0037146 | 0.0087816 | 0.0030774 | 0.1699411 | 0.0024846 | 0.0006112 | 0.0019608 | 0.0202675 | 0.0006984 | 0.0414541 | 0.0012804 | 0.0010823 | 0.0018519 | 0.0000000 | 0.0191678 | 0.0060160 | 0.0051207 | 0.0021322 | 0.0040323 | 0.0064236 | 0.0056913 | 0.0027617 | 0.0052192 | 0.0014093 | 0.0036556 | 0.0005375 | 0.0006188 | 0.0100658 | 0.0029682 | 0.0060054 | 0.0019834 | 0.0000000 | 0.0000000 | 0.0000000 | 0.0000000 | 0.0034110 | 0.0009430 | 0.0008497 |
| dividing innate cells | 0.0000000 | 0.0002758 | 0.0002698 | 0.0024116 | 0.0006094 | 0.0003978 | 0.0093292 | 0.0002562 | 0.0000000 | 0.0000000 | 0.0108055 | 0.0012963 | 0.0006112 | 0.0000000 | 0.0000000 | 0.0001397 | 0.0031888 | 0.0006402 | 0.0003608 | 0.0000000 | 0.0003375 | 0.0032726 | 0.0013369 | 0.0000000 | 0.0002369 | 0.0002016 | 0.0001889 | 0.0016739 | 0.0008285 | 0.0000000 | 0.0000000 | 0.0004062 | 0.0000000 | 0.0003094 | 0.0011614 | 0.0035078 | 0.0017435 | 0.0006198 | 0.0000000 | 0.0000000 | 0.0000000 | 0.0000000 | 0.0000000 | 0.0000000 | 0.0001062 |
| gamma delta T cells | 0.0000000 | 0.0005516 | 0.0008093 | 0.0008039 | 0.0003047 | 0.0000000 | 0.0000000 | 0.0003843 | 0.0007318 | 0.0000000 | 0.0000000 | 0.0003241 | 0.0006112 | 0.0004902 | 0.0012161 | 0.0001397 | 0.0000000 | 0.0000000 | 0.0223665 | 0.0064815 | 0.0003375 | 0.0014025 | 0.0000000 | 0.0000000 | 0.0000000 | 0.0002016 | 0.0000000 | 0.0003348 | 0.0000000 | 0.0010438 | 0.0000000 | 0.0000000 | 0.0000000 | 0.0003094 | 0.0038715 | 0.0002698 | 0.0027121 | 0.0000000 | 0.0171533 | 0.0029101 | 0.0028432 | 0.0017689 | 0.0005685 | 0.0000000 | 0.0009559 |
| HSP+ B cells | 0.0000000 | 0.0000000 | 0.0000000 | 0.0000000 | 0.0001523 | 0.0000000 | 0.0000000 | 0.0001281 | 0.0000000 | 0.0000000 | 0.0383104 | 0.0000000 | 0.0000000 | 0.0000000 | 0.0000000 | 0.0000000 | 0.0000000 | 0.0000000 | 0.0000000 | 0.0000000 | 0.0000000 | 0.0000000 | 0.0000000 | 0.0000000 | 0.0000000 | 0.0002016 | 0.0000000 | 0.0043522 | 0.0000000 | 0.0000000 | 0.0000000 | 0.0004062 | 0.0000000 | 0.0000000 | 0.0000000 | 0.0056665 | 0.0001937 | 0.0002479 | 0.0000000 | 0.0000000 | 0.0000000 | 0.0000000 | 0.0000000 | 0.0000000 | 0.0000000 |
| innate lymphocytes | 0.0029548 | 0.0353006 | 0.0045859 | 0.0077706 | 0.0039610 | 0.0023866 | 0.0075522 | 0.0019214 | 0.0012806 | 0.0038101 | 0.0245580 | 0.0046451 | 0.0058068 | 0.0083333 | 0.0044589 | 0.0006984 | 0.0082908 | 0.0014938 | 0.0339105 | 0.0129630 | 0.0006750 | 0.0144928 | 0.0006684 | 0.0007315 | 0.0016584 | 0.0036290 | 0.0039675 | 0.0006696 | 0.0138083 | 0.0013918 | 0.0018120 | 0.0020309 | 0.0002687 | 0.0003094 | 0.0046458 | 0.0010793 | 0.0048431 | 0.0047105 | 0.0229927 | 0.0177249 | 0.0378710 | 0.0168730 | 0.0136441 | 0.0071664 | 0.0023367 |
| macro-alveolar | 0.4221190 | 0.3113624 | 0.2098732 | 0.2264202 | 0.2995125 | 0.5151154 | 0.1790315 | 0.2665557 | 0.2875960 | 0.2653869 | 0.0049116 | 0.3057146 | 0.2701711 | 0.3975490 | 0.3133360 | 0.3543791 | 0.1383929 | 0.3450704 | 0.0490620 | 0.1504630 | 0.3182585 | 0.0953717 | 0.1129679 | 0.2172641 | 0.2094290 | 0.3780242 | 0.3589647 | 0.4375628 | 0.2869373 | 0.2470424 | 0.4511778 | 0.3103168 | 0.4254233 | 0.3254950 | 0.2783585 | 0.2298975 | 0.2187137 | 0.0726416 | 0.2248175 | 0.2555556 | 0.2490618 | 0.1941761 | 0.2990335 | 0.2562942 | 0.3028147 |
| macro-APOC2+ | 0.0097087 | 0.0554330 | 0.1489075 | 0.1120043 | 0.0182815 | 0.1213206 | 0.0604176 | 0.1220699 | 0.0792170 | 0.0839683 | 0.0000000 | 0.0002161 | 0.1167482 | 0.0406863 | 0.0295906 | 0.1197095 | 0.0612245 | 0.1647461 | 0.0234488 | 0.1393519 | 0.1083361 | 0.0584385 | 0.1169786 | 0.2370154 | 0.2665245 | 0.0181452 | 0.0181372 | 0.0562437 | 0.0577189 | 0.0299235 | 0.0646265 | 0.0426483 | 0.1023918 | 0.1045792 | 0.0913666 | 0.0731247 | 0.0678032 | 0.0297508 | 0.0580292 | 0.0068783 | 0.0088707 | 0.0032658 | 0.1426947 | 0.0714757 | 0.0798725 |
| macro-CCL | 0.0320810 | 0.0242692 | 0.0126787 | 0.0383173 | 0.0449421 | 0.0135243 | 0.0377610 | 0.0203663 | 0.0611050 | 0.0279894 | 0.0058939 | 0.0229016 | 0.0168093 | 0.0200980 | 0.0145926 | 0.0198352 | 0.0752551 | 0.0599659 | 0.0624098 | 0.0347222 | 0.0354371 | 0.0257129 | 0.0748663 | 0.0117045 | 0.0293769 | 0.0161290 | 0.0432647 | 0.0150653 | 0.0215410 | 0.1249130 | 0.0366418 | 0.1149472 | 0.0091373 | 0.0278465 | 0.0224545 | 0.0742040 | 0.0565672 | 0.3805628 | 0.0686131 | 0.1812169 | 0.0219493 | 0.0970200 | 0.0147811 | 0.0320603 | 0.0298460 |
| macro-CCL18 | 0.1291684 | 0.0565361 | 0.0666307 | 0.0259914 | 0.1250762 | 0.0497216 | 0.0346513 | 0.1132317 | 0.0285401 | 0.0156800 | 0.0009823 | 0.0589824 | 0.0663203 | 0.0161765 | 0.0295906 | 0.0219304 | 0.0325255 | 0.0341443 | 0.1028139 | 0.0217593 | 0.0958488 | 0.0271155 | 0.1403743 | 0.0987564 | 0.0713101 | 0.0391129 | 0.0255054 | 0.0385002 | 0.1198564 | 0.1203897 | 0.1050936 | 0.0999188 | 0.0491803 | 0.0148515 | 0.0301974 | 0.0599029 | 0.0325455 | 0.0137598 | 0.0364964 | 0.0870370 | 0.0434436 | 0.0390529 | 0.0358158 | 0.0743989 | 0.0431227 |
| macro-IFI27 | 0.0329253 | 0.0959735 | 0.1642838 | 0.1197749 | 0.0382389 | 0.0652347 | 0.0417592 | 0.1243756 | 0.1030004 | 0.0939332 | 0.0000000 | 0.1306039 | 0.0773227 | 0.1058824 | 0.1998379 | 0.0814360 | 0.0440051 | 0.0973111 | 0.0303030 | 0.1055556 | 0.0573743 | 0.0271155 | 0.0220588 | 0.0614484 | 0.0488036 | 0.1066532 | 0.1112790 | 0.0204218 | 0.0292737 | 0.0508003 | 0.0318099 | 0.0174655 | 0.1128729 | 0.1612005 | 0.0658149 | 0.0410146 | 0.0780705 | 0.0769803 | 0.0375912 | 0.0449735 | 0.1482998 | 0.1469588 | 0.0142126 | 0.1585101 | 0.1742963 |
| macro-IFI27+APOC2+ | 0.0008442 | 0.0102041 | 0.0895603 | 0.0511790 | 0.0039610 | 0.0214797 | 0.0177699 | 0.0435507 | 0.0303696 | 0.0250586 | 0.0000000 | 0.0003241 | 0.0388142 | 0.0102941 | 0.0125659 | 0.0276575 | 0.0261480 | 0.0550576 | 0.0248918 | 0.0754630 | 0.0165373 | 0.0182328 | 0.0260695 | 0.0343819 | 0.0341151 | 0.0052419 | 0.0054789 | 0.0023435 | 0.0044187 | 0.0118302 | 0.0042279 | 0.0032494 | 0.0225746 | 0.0473391 | 0.0240031 | 0.0145710 | 0.0220845 | 0.0359489 | 0.0062044 | 0.0002646 | 0.0014784 | 0.0016329 | 0.0079591 | 0.0428100 | 0.0417419 |
| macro-IFI27+CCL18+ | 0.0101309 | 0.0066189 | 0.0353385 | 0.0085745 | 0.0088361 | 0.0019889 | 0.0039982 | 0.0243371 | 0.0021954 | 0.0010258 | 0.0000000 | 0.0122070 | 0.0088631 | 0.0009804 | 0.0101338 | 0.0027937 | 0.0025510 | 0.0046948 | 0.0779221 | 0.0050926 | 0.0118124 | 0.0037401 | 0.0187166 | 0.0095099 | 0.0056859 | 0.0070565 | 0.0039675 | 0.0016739 | 0.0071803 | 0.0170494 | 0.0054359 | 0.0036556 | 0.0134372 | 0.0046411 | 0.0030972 | 0.0051268 | 0.0091050 | 0.0070658 | 0.0018248 | 0.0119048 | 0.0175139 | 0.0163288 | 0.0011370 | 0.0322489 | 0.0175252 |
| macro-IFN | 0.0101309 | 0.0124104 | 0.0126787 | 0.0053591 | 0.0083790 | 0.0059666 | 0.0039982 | 0.0038427 | 0.0120746 | 0.0118699 | 0.0000000 | 0.0140434 | 0.0097800 | 0.0166667 | 0.0097284 | 0.0082414 | 0.0089286 | 0.0106701 | 0.0054113 | 0.0185185 | 0.0158623 | 0.0018700 | 0.0127005 | 0.0109729 | 0.0116086 | 0.0127016 | 0.0100132 | 0.0053565 | 0.0038663 | 0.0090466 | 0.0096638 | 0.0142161 | 0.0174684 | 0.0327970 | 0.0224545 | 0.0148408 | 0.0129795 | 0.0027272 | 0.0109489 | 0.0272487 | 0.0188787 | 0.0140155 | 0.0028425 | 0.0050919 | 0.0037175 |
| macro-IGF1 | 0.0042212 | 0.0744622 | 0.0272458 | 0.0222401 | 0.0735832 | 0.0139220 | 0.0151044 | 0.0522608 | 0.0389682 | 0.1122509 | 0.0000000 | 0.0383494 | 0.0644866 | 0.0867647 | 0.0437779 | 0.0396703 | 0.0191327 | 0.0183525 | 0.0046898 | 0.0486111 | 0.0435370 | 0.0046751 | 0.0073529 | 0.0277981 | 0.0715470 | 0.0679435 | 0.1050444 | 0.0274523 | 0.0143607 | 0.0097425 | 0.0213408 | 0.0081235 | 0.0475679 | 0.0643564 | 0.0708479 | 0.0240151 | 0.0211158 | 0.0074377 | 0.0718978 | 0.0335979 | 0.1061071 | 0.0572867 | 0.0170551 | 0.0161245 | 0.0086033 |
| macro-interstitial | 0.0105530 | 0.0281302 | 0.0029674 | 0.0203644 | 0.0067032 | 0.0075577 | 0.0115504 | 0.0042270 | 0.0314673 | 0.0043962 | 0.0825147 | 0.0109107 | 0.0076406 | 0.0210784 | 0.0145926 | 0.0048890 | 0.0765306 | 0.0042680 | 0.0119048 | 0.0148148 | 0.0020250 | 0.0967742 | 0.1577540 | 0.0694952 | 0.0305615 | 0.0072581 | 0.0069904 | 0.0465350 | 0.0243027 | 0.0431454 | 0.0165090 | 0.1007311 | 0.0026874 | 0.0061881 | 0.0139373 | 0.0596330 | 0.0470748 | 0.0088013 | 0.0218978 | 0.0259259 | 0.0043216 | 0.0048986 | 0.0068221 | 0.0042433 | 0.0029740 |
| macro-lipid | 0.0371465 | 0.0325427 | 0.0153763 | 0.0345659 | 0.1627057 | 0.0190931 | 0.1101733 | 0.0078135 | 0.0611050 | 0.1727726 | 0.0009823 | 0.0593065 | 0.0669315 | 0.0441176 | 0.0672882 | 0.0730549 | 0.0771684 | 0.0106701 | 0.0064935 | 0.0203704 | 0.0519744 | 0.0257129 | 0.0280749 | 0.0168252 | 0.0298507 | 0.0344758 | 0.0920083 | 0.0261132 | 0.0190555 | 0.1196938 | 0.0243608 | 0.1035743 | 0.0206934 | 0.0396040 | 0.0820751 | 0.1100917 | 0.0647036 | 0.0101649 | 0.0200730 | 0.0523810 | 0.0640282 | 0.0185059 | 0.0130756 | 0.0698727 | 0.0063728 |
| macro-lipid-APOC2+ | 0.0004221 | 0.0049641 | 0.0091718 | 0.0206324 | 0.0097502 | 0.0051710 | 0.0248778 | 0.0048674 | 0.0197585 | 0.0359027 | 0.0000000 | 0.0001080 | 0.0336186 | 0.0029412 | 0.0028375 | 0.0257019 | 0.0357143 | 0.0051216 | 0.0043290 | 0.0171296 | 0.0188998 | 0.0182328 | 0.0728610 | 0.0175567 | 0.0305615 | 0.0018145 | 0.0041564 | 0.0036826 | 0.0035902 | 0.0236604 | 0.0054359 | 0.0211210 | 0.0037624 | 0.0055693 | 0.0185830 | 0.0447922 | 0.0232468 | 0.0101649 | 0.0065693 | 0.0026455 | 0.0011373 | 0.0002721 | 0.0073906 | 0.0215936 | 0.0020181 |
| macro-monocyte-derived | 0.1148164 | 0.0537783 | 0.0741840 | 0.0401929 | 0.0315356 | 0.0322196 | 0.0182141 | 0.0417574 | 0.0883644 | 0.0389801 | 0.0117878 | 0.1160203 | 0.0583741 | 0.0465686 | 0.0360762 | 0.1241794 | 0.0573980 | 0.0580452 | 0.1179654 | 0.0430556 | 0.0722241 | 0.0490884 | 0.0247326 | 0.0351134 | 0.0326937 | 0.1070565 | 0.0636690 | 0.0766656 | 0.1110191 | 0.0730689 | 0.0877793 | 0.0523964 | 0.0663800 | 0.0674505 | 0.0720093 | 0.0574744 | 0.0422317 | 0.1393331 | 0.1036496 | 0.0354497 | 0.0528830 | 0.0593278 | 0.0983513 | 0.0676096 | 0.0851832 |
| macro-MT | 0.0168848 | 0.0143409 | 0.0097114 | 0.0206324 | 0.0175198 | 0.0365951 | 0.0266548 | 0.0591777 | 0.0316502 | 0.0304807 | 0.0000000 | 0.0109107 | 0.0229218 | 0.0161765 | 0.0478314 | 0.0132700 | 0.0057398 | 0.0179257 | 0.0057720 | 0.0203704 | 0.0215997 | 0.0116877 | 0.0120321 | 0.0036576 | 0.0225065 | 0.0167339 | 0.0170036 | 0.0267827 | 0.0218172 | 0.0170494 | 0.0223475 | 0.0113729 | 0.0177372 | 0.0123762 | 0.0116144 | 0.0153805 | 0.0195661 | 0.0061981 | 0.0149635 | 0.0169312 | 0.0490163 | 0.0259899 | 0.0301308 | 0.0175389 | 0.0116835 |
| macro-proliferating-G2M | 0.0097087 | 0.0154440 | 0.0064742 | 0.0179528 | 0.0182815 | 0.0222753 | 0.0106619 | 0.0181888 | 0.0117087 | 0.0079132 | 0.0000000 | 0.0207411 | 0.0168093 | 0.0098039 | 0.0263478 | 0.0099176 | 0.0070153 | 0.0140845 | 0.0061328 | 0.0148148 | 0.0172123 | 0.0116877 | 0.0160428 | 0.0138990 | 0.0146885 | 0.0241935 | 0.0115247 | 0.0174088 | 0.0162938 | 0.0121781 | 0.0185222 | 0.0044679 | 0.0236496 | 0.0148515 | 0.0197445 | 0.0099838 | 0.0079427 | 0.0040907 | 0.0040146 | 0.0148148 | 0.0062550 | 0.0100694 | 0.0142126 | 0.0130127 | 0.0100903 |
| macro-proliferating-S | 0.0270156 | 0.0339217 | 0.0256272 | 0.0380493 | 0.0284887 | 0.0350040 | 0.0204354 | 0.0280517 | 0.0215880 | 0.0168523 | 0.0000000 | 0.0184725 | 0.0363692 | 0.0205882 | 0.0226996 | 0.0122922 | 0.0127551 | 0.0213402 | 0.0090188 | 0.0296296 | 0.0273372 | 0.0070126 | 0.0247326 | 0.0336503 | 0.0267709 | 0.0314516 | 0.0202154 | 0.0277871 | 0.0262358 | 0.0198330 | 0.0271794 | 0.0052803 | 0.0352056 | 0.0262995 | 0.0317460 | 0.0175391 | 0.0156916 | 0.0074377 | 0.0043796 | 0.0325397 | 0.0205846 | 0.0212274 | 0.0136441 | 0.0245167 | 0.0232608 |
| macro-T | 0.0206838 | 0.0209597 | 0.0285946 | 0.0144695 | 0.0249848 | 0.0151154 | 0.0151044 | 0.0242090 | 0.0186608 | 0.0225674 | 0.0000000 | 0.0175003 | 0.0131418 | 0.0142157 | 0.0162140 | 0.0185780 | 0.0089286 | 0.0166453 | 0.0039683 | 0.0125000 | 0.0178873 | 0.0046751 | 0.0013369 | 0.0065838 | 0.0049751 | 0.0068548 | 0.0075572 | 0.0093740 | 0.0071803 | 0.0086987 | 0.0104691 | 0.0064988 | 0.0067186 | 0.0117574 | 0.0112273 | 0.0105235 | 0.0110422 | 0.0083054 | 0.0021898 | 0.0058201 | 0.0069373 | 0.0084365 | 0.0159181 | 0.0239510 | 0.0228359 |
| mast cells | 0.0000000 | 0.0000000 | 0.0000000 | 0.0005359 | 0.0001523 | 0.0000000 | 0.0008885 | 0.0000000 | 0.0000000 | 0.0000000 | 0.0098232 | 0.0001080 | 0.0012225 | 0.0014706 | 0.0008107 | 0.0000000 | 0.0063776 | 0.0000000 | 0.0007215 | 0.0023148 | 0.0000000 | 0.0112202 | 0.0000000 | 0.0000000 | 0.0004738 | 0.0004032 | 0.0003779 | 0.0010044 | 0.0000000 | 0.0000000 | 0.0000000 | 0.0004062 | 0.0002687 | 0.0000000 | 0.0007743 | 0.0002698 | 0.0001937 | 0.0021074 | 0.0000000 | 0.0000000 | 0.0000000 | 0.0000000 | 0.0005685 | 0.0000000 | 0.0000000 |
| migratory DC | 0.0000000 | 0.0002758 | 0.0000000 | 0.0048232 | 0.0004570 | 0.0007955 | 0.0000000 | 0.0007685 | 0.0000000 | 0.0000000 | 0.0049116 | 0.0014043 | 0.0033619 | 0.0019608 | 0.0016214 | 0.0011175 | 0.0044643 | 0.0006402 | 0.0064935 | 0.0013889 | 0.0010125 | 0.0116877 | 0.0127005 | 0.0175567 | 0.0059228 | 0.0030242 | 0.0007557 | 0.0026783 | 0.0091135 | 0.0000000 | 0.0002013 | 0.0000000 | 0.0000000 | 0.0000000 | 0.0000000 | 0.0032380 | 0.0036807 | 0.0009917 | 0.0000000 | 0.0000000 | 0.0000000 | 0.0000000 | 0.0000000 | 0.0000000 | 0.0003186 |
| monocytes | 0.0113972 | 0.0013789 | 0.0013488 | 0.0200965 | 0.0195003 | 0.0023866 | 0.0035540 | 0.0044832 | 0.0012806 | 0.0013189 | 0.0098232 | 0.0468834 | 0.0097800 | 0.0127451 | 0.0097284 | 0.0108954 | 0.0114796 | 0.0134443 | 0.0119048 | 0.0087963 | 0.0155248 | 0.0107527 | 0.0106952 | 0.0065838 | 0.0073442 | 0.0217742 | 0.0171925 | 0.0133914 | 0.0265120 | 0.0059151 | 0.0094625 | 0.0064988 | 0.0037624 | 0.0046411 | 0.0061943 | 0.0218564 | 0.0240217 | 0.1063592 | 0.0000000 | 0.0000000 | 0.0000000 | 0.0000000 | 0.0187607 | 0.0086752 | 0.0065852 |
| neutrophil-like | 0.0000000 | 0.0000000 | 0.0000000 | 0.0056270 | 0.0012188 | 0.0000000 | 0.0000000 | 0.0001281 | 0.0000000 | 0.0000000 | 0.0108055 | 0.0006482 | 0.0003056 | 0.0014706 | 0.0000000 | 0.0004191 | 0.0063776 | 0.0004268 | 0.0010823 | 0.0013889 | 0.0006750 | 0.0229079 | 0.0033422 | 0.0051207 | 0.0021322 | 0.0022177 | 0.0005668 | 0.0549046 | 0.0035902 | 0.0003479 | 0.0004027 | 0.0012185 | 0.0000000 | 0.0003094 | 0.0000000 | 0.0089045 | 0.0092987 | 0.0004958 | 0.0000000 | 0.0000000 | 0.0000000 | 0.0000000 | 0.0000000 | 0.0000000 | 0.0000000 |
| NK cells | 0.0046433 | 0.0085494 | 0.0051254 | 0.0058950 | 0.0036563 | 0.0000000 | 0.0026655 | 0.0014090 | 0.0020124 | 0.0011723 | 0.0157171 | 0.0016204 | 0.0015281 | 0.0014706 | 0.0008107 | 0.0000000 | 0.0044643 | 0.0014938 | 0.0266955 | 0.0060185 | 0.0016875 | 0.0079476 | 0.0020053 | 0.0000000 | 0.0002369 | 0.0020161 | 0.0011336 | 0.0010044 | 0.0033140 | 0.0003479 | 0.0004027 | 0.0012185 | 0.0013437 | 0.0006188 | 0.0011614 | 0.0000000 | 0.0019372 | 0.0019834 | 0.0175182 | 0.0100529 | 0.0068236 | 0.0073479 | 0.0068221 | 0.0005658 | 0.0098779 |
| NK-T cells | 0.0000000 | 0.0041368 | 0.0002698 | 0.0005359 | 0.0001523 | 0.0000000 | 0.0013327 | 0.0002562 | 0.0005488 | 0.0001465 | 0.0019646 | 0.0000000 | 0.0003056 | 0.0014706 | 0.0000000 | 0.0001397 | 0.0012755 | 0.0002134 | 0.0014430 | 0.0000000 | 0.0000000 | 0.0014025 | 0.0000000 | 0.0000000 | 0.0000000 | 0.0004032 | 0.0011336 | 0.0000000 | 0.0005523 | 0.0003479 | 0.0000000 | 0.0000000 | 0.0000000 | 0.0000000 | 0.0000000 | 0.0000000 | 0.0007749 | 0.0000000 | 0.0025547 | 0.0002646 | 0.0004549 | 0.0010886 | 0.0005685 | 0.0000943 | 0.0009559 |
| plasma B cells | 0.0016885 | 0.0000000 | 0.0000000 | 0.0005359 | 0.0000000 | 0.0000000 | 0.0039982 | 0.0000000 | 0.0001829 | 0.0000000 | 0.0098232 | 0.0003241 | 0.0003056 | 0.0004902 | 0.0000000 | 0.0000000 | 0.0006378 | 0.0002134 | 0.0000000 | 0.0000000 | 0.0000000 | 0.0014025 | 0.0000000 | 0.0000000 | 0.0002369 | 0.0002016 | 0.0000000 | 0.0000000 | 0.0000000 | 0.0000000 | 0.0002013 | 0.0000000 | 0.0000000 | 0.0000000 | 0.0015486 | 0.0021587 | 0.0005812 | 0.0002479 | 0.0000000 | 0.0000000 | 0.0000000 | 0.0000000 | 0.0000000 | 0.0000000 | 0.0003186 |
| plasmacytoid DC | 0.0067539 | 0.0165472 | 0.0026976 | 0.0029475 | 0.0012188 | 0.0003978 | 0.0008885 | 0.0019214 | 0.0049396 | 0.0002931 | 0.0333988 | 0.0049692 | 0.0006112 | 0.0009804 | 0.0008107 | 0.0001397 | 0.0031888 | 0.0040546 | 0.0147908 | 0.0009259 | 0.0006750 | 0.0074801 | 0.0013369 | 0.0000000 | 0.0018953 | 0.0016129 | 0.0073682 | 0.0050218 | 0.0033140 | 0.0020877 | 0.0020133 | 0.0008123 | 0.0010750 | 0.0015470 | 0.0030972 | 0.0010793 | 0.0011623 | 0.0006198 | 0.0000000 | 0.0000000 | 0.0000000 | 0.0000000 | 0.0079591 | 0.0026403 | 0.0020181 |
| proliferating T/NK | 0.0021106 | 0.0024821 | 0.0008093 | 0.0013398 | 0.0007617 | 0.0000000 | 0.0044425 | 0.0007685 | 0.0016465 | 0.0010258 | 0.0009823 | 0.0008642 | 0.0003056 | 0.0000000 | 0.0000000 | 0.0006984 | 0.0000000 | 0.0004268 | 0.0086580 | 0.0009259 | 0.0006750 | 0.0018700 | 0.0000000 | 0.0007315 | 0.0004738 | 0.0010081 | 0.0013225 | 0.0003348 | 0.0008285 | 0.0006959 | 0.0008053 | 0.0008123 | 0.0005375 | 0.0009282 | 0.0007743 | 0.0002698 | 0.0029059 | 0.0007438 | 0.0021898 | 0.0010582 | 0.0042079 | 0.0009525 | 0.0039795 | 0.0008487 | 0.0016994 |
| secretory epithelial cells | 0.0050654 | 0.0074462 | 0.0005395 | 0.0005359 | 0.0010664 | 0.0011933 | 0.0426477 | 0.0006405 | 0.0016465 | 0.0007327 | 0.0392927 | 0.0009722 | 0.0000000 | 0.0014706 | 0.0072963 | 0.0000000 | 0.0031888 | 0.0004268 | 0.0000000 | 0.0000000 | 0.0000000 | 0.0028050 | 0.0033422 | 0.0036576 | 0.0016584 | 0.0054435 | 0.0030229 | 0.0020087 | 0.0011047 | 0.0024356 | 0.0006040 | 0.0016247 | 0.0010750 | 0.0012376 | 0.0054201 | 0.0000000 | 0.0009686 | 0.0012396 | 0.0000000 | 0.0000000 | 0.0000000 | 0.0000000 | 0.0028425 | 0.0002829 | 0.0003186 |
props$Proportions %>%
data.frame %>%
inner_join(seu@meta.data %>%
dplyr::select(sample.id,
Disease,
Treatment,
Status,
Severity,
Group,
Batch,
Age,
Sex),
by = c("sample" = "sample.id")) %>%
distinct()-> dat
ggplot(dat, aes(x = sample, y = Freq, fill = clusters)) +
geom_bar(stat = "identity", color = "black", size = 0.1) +
theme(axis.text.x = element_text(angle = 90,
vjust = 0.5,
hjust = 1),
legend.text = element_text(size = 8),
legend.position = "bottom") +
labs(y = "Proportion", fill = "Cell Label") +
#scale_fill_paletteer_d("miscpalettes::pastel", direction = 1) +
facet_grid(~Group, scales = "free_x", space = "free_x")

props$Counts %>%
data.frame %>%
inner_join(seu@meta.data %>%
dplyr::select(sample.id,
Disease,
Treatment,
Status,
Severity,
Group,
Batch,
Age,
Sex),
by = c("sample" = "sample.id")) %>%
distinct() -> dat
ggplot(dat, aes(x = sample, y = Freq, fill = Disease)) +
geom_bar(stat = "identity") +
theme(axis.text.x = element_text(angle = 90,
vjust = 0.5,
hjust = 1),
legend.text = element_text(size = 8),
legend.position = "bottom") +
labs(y = "No. cells", fill = "Disease") +
facet_grid(~Group, scales = "free_x", space = "free_x") +
geom_hline(yintercept = 1000, linetype = "dashed")

Remove sample with too few cells.
seu <- subset(seu, cells = which(!seu$sample.id %in% c("sample_23.1")))
# Differences in cell type proportions
props <- getTransformedProps(clusters = seu$Annotation,
sample = seu$sample.id, transform="asin")
props$Proportions %>% knitr::kable()
| sample_1.1 | sample_15.1 | sample_16.1 | sample_17.1 | sample_18.1 | sample_19.1 | sample_2.1 | sample_20.1 | sample_21.1 | sample_22.1 | sample_24.1 | sample_25.1 | sample_26.1 | sample_27.1 | sample_28.1 | sample_29.1 | sample_3.1 | sample_30.1 | sample_31.1 | sample_32.1 | sample_33.1 | sample_34.1 | sample_34.2 | sample_34.3 | sample_35.1 | sample_35.2 | sample_36.1 | sample_36.2 | sample_37.1 | sample_37.2 | sample_37.3 | sample_38.1 | sample_38.2 | sample_38.3 | sample_39.1 | sample_39.2 | sample_4.1 | sample_40.1 | sample_41.1 | sample_42.1 | sample_43.1 | sample_5.1 | sample_6.1 | sample_7.1 | |
|---|---|---|---|---|---|---|---|---|---|---|---|---|---|---|---|---|---|---|---|---|---|---|---|---|---|---|---|---|---|---|---|---|---|---|---|---|---|---|---|---|---|---|---|---|
| B cells | 0.0206838 | 0.0071704 | 0.0018883 | 0.0423365 | 0.0013711 | 0.0023866 | 0.0910706 | 0.0016652 | 0.0093304 | 0.0023447 | 0.0054013 | 0.0024450 | 0.0117647 | 0.0020268 | 0.0006984 | 0.0911990 | 0.0117371 | 0.0064935 | 0.0041667 | 0.0027000 | 0.0593735 | 0.0026738 | 0.0000000 | 0.0014215 | 0.0177419 | 0.0081239 | 0.0261132 | 0.0502624 | 0.0069589 | 0.0122811 | 0.0101543 | 0.0048374 | 0.0058787 | 0.0340689 | 0.0356179 | 0.0267338 | 0.0091732 | 0.0000000 | 0.0000000 | 0.0000000 | 0.0000000 | 0.0181922 | 0.0046205 | 0.0279341 |
| CD4 T cells | 0.0054875 | 0.0148924 | 0.0078230 | 0.0115220 | 0.0042657 | 0.0011933 | 0.0284318 | 0.0062764 | 0.0098793 | 0.0051290 | 0.0170682 | 0.0122249 | 0.0200980 | 0.0097284 | 0.0036318 | 0.0159439 | 0.0046948 | 0.1435786 | 0.0513889 | 0.0097874 | 0.0892941 | 0.0060160 | 0.0021946 | 0.0018953 | 0.0108871 | 0.0081239 | 0.0046870 | 0.0267882 | 0.0066110 | 0.0086571 | 0.0134037 | 0.0037624 | 0.0058787 | 0.0154859 | 0.0118726 | 0.0300271 | 0.0081815 | 0.1054745 | 0.0325397 | 0.0253611 | 0.0329297 | 0.0488914 | 0.0101839 | 0.0224110 |
| CD4 T-IFN | 0.0016885 | 0.0063431 | 0.0008093 | 0.0008039 | 0.0004570 | 0.0007955 | 0.0000000 | 0.0000000 | 0.0012806 | 0.0002931 | 0.0034568 | 0.0009169 | 0.0024510 | 0.0012161 | 0.0002794 | 0.0000000 | 0.0004268 | 0.0043290 | 0.0037037 | 0.0013500 | 0.0056101 | 0.0006684 | 0.0000000 | 0.0004738 | 0.0008065 | 0.0032118 | 0.0000000 | 0.0011047 | 0.0000000 | 0.0004027 | 0.0012185 | 0.0005375 | 0.0018564 | 0.0023229 | 0.0005397 | 0.0027121 | 0.0002479 | 0.0010949 | 0.0047619 | 0.0056863 | 0.0023132 | 0.0005685 | 0.0007544 | 0.0007435 |
| CD4 T-naïve | 0.0004221 | 0.0030336 | 0.0002698 | 0.0013398 | 0.0013711 | 0.0003978 | 0.0026655 | 0.0007685 | 0.0016465 | 0.0005862 | 0.0011883 | 0.0009169 | 0.0049020 | 0.0008107 | 0.0005587 | 0.0051020 | 0.0004268 | 0.0266955 | 0.0078704 | 0.0003375 | 0.0112202 | 0.0006684 | 0.0000000 | 0.0000000 | 0.0016129 | 0.0005668 | 0.0000000 | 0.0038663 | 0.0010438 | 0.0006040 | 0.0004062 | 0.0000000 | 0.0003094 | 0.0011614 | 0.0005397 | 0.0081364 | 0.0006198 | 0.0175182 | 0.0026455 | 0.0022745 | 0.0046265 | 0.0108016 | 0.0006601 | 0.0088157 |
| CD4 T-NFKB | 0.0000000 | 0.0011031 | 0.0002698 | 0.0008039 | 0.0004570 | 0.0000000 | 0.0022212 | 0.0003843 | 0.0043908 | 0.0010258 | 0.0016204 | 0.0012225 | 0.0024510 | 0.0004054 | 0.0002794 | 0.0063776 | 0.0002134 | 0.0014430 | 0.0027778 | 0.0023625 | 0.0327256 | 0.0033422 | 0.0014631 | 0.0007107 | 0.0016129 | 0.0013225 | 0.0043522 | 0.0052472 | 0.0041754 | 0.0026173 | 0.0044679 | 0.0002687 | 0.0006188 | 0.0023229 | 0.0097140 | 0.0133669 | 0.0003719 | 0.0109489 | 0.0164021 | 0.0012510 | 0.0023132 | 0.0028425 | 0.0005658 | 0.0021243 |
| CD4 T-reg | 0.0012664 | 0.0008274 | 0.0029674 | 0.0024116 | 0.0010664 | 0.0000000 | 0.0022212 | 0.0008966 | 0.0014636 | 0.0008792 | 0.0020525 | 0.0018337 | 0.0019608 | 0.0004054 | 0.0005587 | 0.0012755 | 0.0002134 | 0.0140693 | 0.0050926 | 0.0016875 | 0.0130902 | 0.0006684 | 0.0014631 | 0.0004738 | 0.0022177 | 0.0030229 | 0.0023435 | 0.0049710 | 0.0017397 | 0.0028186 | 0.0060926 | 0.0005375 | 0.0012376 | 0.0042586 | 0.0018888 | 0.0025184 | 0.0006198 | 0.0083942 | 0.0021164 | 0.0028432 | 0.0040822 | 0.0045480 | 0.0007544 | 0.0027616 |
| CD4 T-rm | 0.0004221 | 0.0013789 | 0.0008093 | 0.0008039 | 0.0006094 | 0.0000000 | 0.0008885 | 0.0003843 | 0.0005488 | 0.0002931 | 0.0008642 | 0.0003056 | 0.0004902 | 0.0008107 | 0.0006984 | 0.0012755 | 0.0002134 | 0.0010823 | 0.0013889 | 0.0000000 | 0.0028050 | 0.0000000 | 0.0000000 | 0.0000000 | 0.0002016 | 0.0001889 | 0.0000000 | 0.0005523 | 0.0017397 | 0.0012080 | 0.0012185 | 0.0005375 | 0.0003094 | 0.0019357 | 0.0005397 | 0.0017435 | 0.0006198 | 0.0000000 | 0.0000000 | 0.0000000 | 0.0000000 | 0.0125071 | 0.0008487 | 0.0012746 |
| CD8 T-GZMK | 0.0008442 | 0.0041368 | 0.0056650 | 0.0093783 | 0.0028946 | 0.0000000 | 0.0066637 | 0.0007685 | 0.0025613 | 0.0004396 | 0.0018364 | 0.0045844 | 0.0068627 | 0.0016214 | 0.0009778 | 0.0063776 | 0.0006402 | 0.0281385 | 0.0115741 | 0.0013500 | 0.0056101 | 0.0006684 | 0.0000000 | 0.0000000 | 0.0048387 | 0.0015114 | 0.0000000 | 0.0008285 | 0.0013918 | 0.0008053 | 0.0016247 | 0.0002687 | 0.0006188 | 0.0011614 | 0.0002698 | 0.0034870 | 0.0035949 | 0.0510949 | 0.0029101 | 0.0052314 | 0.0161927 | 0.0045480 | 0.0011315 | 0.0031864 |
| CD8 T-inflammasome | 0.0033770 | 0.0107557 | 0.0059347 | 0.0085745 | 0.0097502 | 0.0007955 | 0.0084407 | 0.0067888 | 0.0065862 | 0.0045428 | 0.0136113 | 0.0051956 | 0.0107843 | 0.0072963 | 0.0046096 | 0.0051020 | 0.0029876 | 0.0497835 | 0.0375000 | 0.0057374 | 0.0640486 | 0.0046791 | 0.0007315 | 0.0016584 | 0.0064516 | 0.0058568 | 0.0023435 | 0.0127037 | 0.0038274 | 0.0028186 | 0.0044679 | 0.0018812 | 0.0024752 | 0.0081301 | 0.0040475 | 0.0116234 | 0.0086773 | 0.0160584 | 0.0251323 | 0.0461731 | 0.0874949 | 0.0403638 | 0.0164074 | 0.0165693 |
| CD8 T-rm | 0.0021106 | 0.0146167 | 0.0167251 | 0.0174169 | 0.0038087 | 0.0003978 | 0.0359840 | 0.0023056 | 0.0087816 | 0.0045428 | 0.0155558 | 0.0036675 | 0.0132353 | 0.0178354 | 0.0097779 | 0.0471939 | 0.0055484 | 0.0198413 | 0.0458333 | 0.0104624 | 0.0584385 | 0.0046791 | 0.0021946 | 0.0035537 | 0.0090726 | 0.0028339 | 0.0010044 | 0.0113228 | 0.0093946 | 0.0038252 | 0.0138099 | 0.0016125 | 0.0018564 | 0.0158730 | 0.0026983 | 0.0579233 | 0.0131400 | 0.0328467 | 0.0462963 | 0.0382122 | 0.1035515 | 0.0500284 | 0.0096181 | 0.0182687 |
| cDC1 | 0.0008442 | 0.0002758 | 0.0002698 | 0.0008039 | 0.0001523 | 0.0000000 | 0.0000000 | 0.0007685 | 0.0009147 | 0.0004396 | 0.0011883 | 0.0003056 | 0.0019608 | 0.0000000 | 0.0000000 | 0.0006378 | 0.0000000 | 0.0137085 | 0.0004630 | 0.0003375 | 0.0060776 | 0.0000000 | 0.0000000 | 0.0007107 | 0.0006048 | 0.0007557 | 0.0000000 | 0.0030378 | 0.0000000 | 0.0006040 | 0.0000000 | 0.0000000 | 0.0000000 | 0.0007743 | 0.0005397 | 0.0013561 | 0.0011157 | 0.0000000 | 0.0000000 | 0.0000000 | 0.0000000 | 0.0028425 | 0.0005658 | 0.0012746 |
| cDC2 | 0.0021106 | 0.0013789 | 0.0008093 | 0.0305466 | 0.0155393 | 0.0043755 | 0.0008885 | 0.0033303 | 0.0021954 | 0.0008792 | 0.0322999 | 0.0158924 | 0.0181373 | 0.0137819 | 0.0053080 | 0.0357143 | 0.0100299 | 0.0147908 | 0.0129630 | 0.0101249 | 0.0467508 | 0.0648396 | 0.0468178 | 0.0236911 | 0.0167339 | 0.0162479 | 0.0271175 | 0.0389395 | 0.0052192 | 0.0034226 | 0.0040617 | 0.0000000 | 0.0009282 | 0.0042586 | 0.0183486 | 0.0288648 | 0.0099169 | 0.0000000 | 0.0000000 | 0.0000000 | 0.0000000 | 0.0096646 | 0.0013201 | 0.0023367 |
| ciliated epithelial cells | 0.0375686 | 0.0057915 | 0.0000000 | 0.0026795 | 0.0042657 | 0.0007955 | 0.1110618 | 0.0037146 | 0.0087816 | 0.0030774 | 0.0024846 | 0.0006112 | 0.0019608 | 0.0202675 | 0.0006984 | 0.0414541 | 0.0012804 | 0.0010823 | 0.0018519 | 0.0000000 | 0.0191678 | 0.0060160 | 0.0051207 | 0.0021322 | 0.0040323 | 0.0064236 | 0.0056913 | 0.0027617 | 0.0052192 | 0.0014093 | 0.0036556 | 0.0005375 | 0.0006188 | 0.0100658 | 0.0029682 | 0.0060054 | 0.0019834 | 0.0000000 | 0.0000000 | 0.0000000 | 0.0000000 | 0.0034110 | 0.0009430 | 0.0008497 |
| dividing innate cells | 0.0000000 | 0.0002758 | 0.0002698 | 0.0024116 | 0.0006094 | 0.0003978 | 0.0093292 | 0.0002562 | 0.0000000 | 0.0000000 | 0.0012963 | 0.0006112 | 0.0000000 | 0.0000000 | 0.0001397 | 0.0031888 | 0.0006402 | 0.0003608 | 0.0000000 | 0.0003375 | 0.0032726 | 0.0013369 | 0.0000000 | 0.0002369 | 0.0002016 | 0.0001889 | 0.0016739 | 0.0008285 | 0.0000000 | 0.0000000 | 0.0004062 | 0.0000000 | 0.0003094 | 0.0011614 | 0.0035078 | 0.0017435 | 0.0006198 | 0.0000000 | 0.0000000 | 0.0000000 | 0.0000000 | 0.0000000 | 0.0000000 | 0.0001062 |
| gamma delta T cells | 0.0000000 | 0.0005516 | 0.0008093 | 0.0008039 | 0.0003047 | 0.0000000 | 0.0000000 | 0.0003843 | 0.0007318 | 0.0000000 | 0.0003241 | 0.0006112 | 0.0004902 | 0.0012161 | 0.0001397 | 0.0000000 | 0.0000000 | 0.0223665 | 0.0064815 | 0.0003375 | 0.0014025 | 0.0000000 | 0.0000000 | 0.0000000 | 0.0002016 | 0.0000000 | 0.0003348 | 0.0000000 | 0.0010438 | 0.0000000 | 0.0000000 | 0.0000000 | 0.0003094 | 0.0038715 | 0.0002698 | 0.0027121 | 0.0000000 | 0.0171533 | 0.0029101 | 0.0028432 | 0.0017689 | 0.0005685 | 0.0000000 | 0.0009559 |
| HSP+ B cells | 0.0000000 | 0.0000000 | 0.0000000 | 0.0000000 | 0.0001523 | 0.0000000 | 0.0000000 | 0.0001281 | 0.0000000 | 0.0000000 | 0.0000000 | 0.0000000 | 0.0000000 | 0.0000000 | 0.0000000 | 0.0000000 | 0.0000000 | 0.0000000 | 0.0000000 | 0.0000000 | 0.0000000 | 0.0000000 | 0.0000000 | 0.0000000 | 0.0002016 | 0.0000000 | 0.0043522 | 0.0000000 | 0.0000000 | 0.0000000 | 0.0004062 | 0.0000000 | 0.0000000 | 0.0000000 | 0.0056665 | 0.0001937 | 0.0002479 | 0.0000000 | 0.0000000 | 0.0000000 | 0.0000000 | 0.0000000 | 0.0000000 | 0.0000000 |
| innate lymphocytes | 0.0029548 | 0.0353006 | 0.0045859 | 0.0077706 | 0.0039610 | 0.0023866 | 0.0075522 | 0.0019214 | 0.0012806 | 0.0038101 | 0.0046451 | 0.0058068 | 0.0083333 | 0.0044589 | 0.0006984 | 0.0082908 | 0.0014938 | 0.0339105 | 0.0129630 | 0.0006750 | 0.0144928 | 0.0006684 | 0.0007315 | 0.0016584 | 0.0036290 | 0.0039675 | 0.0006696 | 0.0138083 | 0.0013918 | 0.0018120 | 0.0020309 | 0.0002687 | 0.0003094 | 0.0046458 | 0.0010793 | 0.0048431 | 0.0047105 | 0.0229927 | 0.0177249 | 0.0378710 | 0.0168730 | 0.0136441 | 0.0071664 | 0.0023367 |
| macro-alveolar | 0.4221190 | 0.3113624 | 0.2098732 | 0.2264202 | 0.2995125 | 0.5151154 | 0.1790315 | 0.2665557 | 0.2875960 | 0.2653869 | 0.3057146 | 0.2701711 | 0.3975490 | 0.3133360 | 0.3543791 | 0.1383929 | 0.3450704 | 0.0490620 | 0.1504630 | 0.3182585 | 0.0953717 | 0.1129679 | 0.2172641 | 0.2094290 | 0.3780242 | 0.3589647 | 0.4375628 | 0.2869373 | 0.2470424 | 0.4511778 | 0.3103168 | 0.4254233 | 0.3254950 | 0.2783585 | 0.2298975 | 0.2187137 | 0.0726416 | 0.2248175 | 0.2555556 | 0.2490618 | 0.1941761 | 0.2990335 | 0.2562942 | 0.3028147 |
| macro-APOC2+ | 0.0097087 | 0.0554330 | 0.1489075 | 0.1120043 | 0.0182815 | 0.1213206 | 0.0604176 | 0.1220699 | 0.0792170 | 0.0839683 | 0.0002161 | 0.1167482 | 0.0406863 | 0.0295906 | 0.1197095 | 0.0612245 | 0.1647461 | 0.0234488 | 0.1393519 | 0.1083361 | 0.0584385 | 0.1169786 | 0.2370154 | 0.2665245 | 0.0181452 | 0.0181372 | 0.0562437 | 0.0577189 | 0.0299235 | 0.0646265 | 0.0426483 | 0.1023918 | 0.1045792 | 0.0913666 | 0.0731247 | 0.0678032 | 0.0297508 | 0.0580292 | 0.0068783 | 0.0088707 | 0.0032658 | 0.1426947 | 0.0714757 | 0.0798725 |
| macro-CCL | 0.0320810 | 0.0242692 | 0.0126787 | 0.0383173 | 0.0449421 | 0.0135243 | 0.0377610 | 0.0203663 | 0.0611050 | 0.0279894 | 0.0229016 | 0.0168093 | 0.0200980 | 0.0145926 | 0.0198352 | 0.0752551 | 0.0599659 | 0.0624098 | 0.0347222 | 0.0354371 | 0.0257129 | 0.0748663 | 0.0117045 | 0.0293769 | 0.0161290 | 0.0432647 | 0.0150653 | 0.0215410 | 0.1249130 | 0.0366418 | 0.1149472 | 0.0091373 | 0.0278465 | 0.0224545 | 0.0742040 | 0.0565672 | 0.3805628 | 0.0686131 | 0.1812169 | 0.0219493 | 0.0970200 | 0.0147811 | 0.0320603 | 0.0298460 |
| macro-CCL18 | 0.1291684 | 0.0565361 | 0.0666307 | 0.0259914 | 0.1250762 | 0.0497216 | 0.0346513 | 0.1132317 | 0.0285401 | 0.0156800 | 0.0589824 | 0.0663203 | 0.0161765 | 0.0295906 | 0.0219304 | 0.0325255 | 0.0341443 | 0.1028139 | 0.0217593 | 0.0958488 | 0.0271155 | 0.1403743 | 0.0987564 | 0.0713101 | 0.0391129 | 0.0255054 | 0.0385002 | 0.1198564 | 0.1203897 | 0.1050936 | 0.0999188 | 0.0491803 | 0.0148515 | 0.0301974 | 0.0599029 | 0.0325455 | 0.0137598 | 0.0364964 | 0.0870370 | 0.0434436 | 0.0390529 | 0.0358158 | 0.0743989 | 0.0431227 |
| macro-IFI27 | 0.0329253 | 0.0959735 | 0.1642838 | 0.1197749 | 0.0382389 | 0.0652347 | 0.0417592 | 0.1243756 | 0.1030004 | 0.0939332 | 0.1306039 | 0.0773227 | 0.1058824 | 0.1998379 | 0.0814360 | 0.0440051 | 0.0973111 | 0.0303030 | 0.1055556 | 0.0573743 | 0.0271155 | 0.0220588 | 0.0614484 | 0.0488036 | 0.1066532 | 0.1112790 | 0.0204218 | 0.0292737 | 0.0508003 | 0.0318099 | 0.0174655 | 0.1128729 | 0.1612005 | 0.0658149 | 0.0410146 | 0.0780705 | 0.0769803 | 0.0375912 | 0.0449735 | 0.1482998 | 0.1469588 | 0.0142126 | 0.1585101 | 0.1742963 |
| macro-IFI27+APOC2+ | 0.0008442 | 0.0102041 | 0.0895603 | 0.0511790 | 0.0039610 | 0.0214797 | 0.0177699 | 0.0435507 | 0.0303696 | 0.0250586 | 0.0003241 | 0.0388142 | 0.0102941 | 0.0125659 | 0.0276575 | 0.0261480 | 0.0550576 | 0.0248918 | 0.0754630 | 0.0165373 | 0.0182328 | 0.0260695 | 0.0343819 | 0.0341151 | 0.0052419 | 0.0054789 | 0.0023435 | 0.0044187 | 0.0118302 | 0.0042279 | 0.0032494 | 0.0225746 | 0.0473391 | 0.0240031 | 0.0145710 | 0.0220845 | 0.0359489 | 0.0062044 | 0.0002646 | 0.0014784 | 0.0016329 | 0.0079591 | 0.0428100 | 0.0417419 |
| macro-IFI27+CCL18+ | 0.0101309 | 0.0066189 | 0.0353385 | 0.0085745 | 0.0088361 | 0.0019889 | 0.0039982 | 0.0243371 | 0.0021954 | 0.0010258 | 0.0122070 | 0.0088631 | 0.0009804 | 0.0101338 | 0.0027937 | 0.0025510 | 0.0046948 | 0.0779221 | 0.0050926 | 0.0118124 | 0.0037401 | 0.0187166 | 0.0095099 | 0.0056859 | 0.0070565 | 0.0039675 | 0.0016739 | 0.0071803 | 0.0170494 | 0.0054359 | 0.0036556 | 0.0134372 | 0.0046411 | 0.0030972 | 0.0051268 | 0.0091050 | 0.0070658 | 0.0018248 | 0.0119048 | 0.0175139 | 0.0163288 | 0.0011370 | 0.0322489 | 0.0175252 |
| macro-IFN | 0.0101309 | 0.0124104 | 0.0126787 | 0.0053591 | 0.0083790 | 0.0059666 | 0.0039982 | 0.0038427 | 0.0120746 | 0.0118699 | 0.0140434 | 0.0097800 | 0.0166667 | 0.0097284 | 0.0082414 | 0.0089286 | 0.0106701 | 0.0054113 | 0.0185185 | 0.0158623 | 0.0018700 | 0.0127005 | 0.0109729 | 0.0116086 | 0.0127016 | 0.0100132 | 0.0053565 | 0.0038663 | 0.0090466 | 0.0096638 | 0.0142161 | 0.0174684 | 0.0327970 | 0.0224545 | 0.0148408 | 0.0129795 | 0.0027272 | 0.0109489 | 0.0272487 | 0.0188787 | 0.0140155 | 0.0028425 | 0.0050919 | 0.0037175 |
| macro-IGF1 | 0.0042212 | 0.0744622 | 0.0272458 | 0.0222401 | 0.0735832 | 0.0139220 | 0.0151044 | 0.0522608 | 0.0389682 | 0.1122509 | 0.0383494 | 0.0644866 | 0.0867647 | 0.0437779 | 0.0396703 | 0.0191327 | 0.0183525 | 0.0046898 | 0.0486111 | 0.0435370 | 0.0046751 | 0.0073529 | 0.0277981 | 0.0715470 | 0.0679435 | 0.1050444 | 0.0274523 | 0.0143607 | 0.0097425 | 0.0213408 | 0.0081235 | 0.0475679 | 0.0643564 | 0.0708479 | 0.0240151 | 0.0211158 | 0.0074377 | 0.0718978 | 0.0335979 | 0.1061071 | 0.0572867 | 0.0170551 | 0.0161245 | 0.0086033 |
| macro-interstitial | 0.0105530 | 0.0281302 | 0.0029674 | 0.0203644 | 0.0067032 | 0.0075577 | 0.0115504 | 0.0042270 | 0.0314673 | 0.0043962 | 0.0109107 | 0.0076406 | 0.0210784 | 0.0145926 | 0.0048890 | 0.0765306 | 0.0042680 | 0.0119048 | 0.0148148 | 0.0020250 | 0.0967742 | 0.1577540 | 0.0694952 | 0.0305615 | 0.0072581 | 0.0069904 | 0.0465350 | 0.0243027 | 0.0431454 | 0.0165090 | 0.1007311 | 0.0026874 | 0.0061881 | 0.0139373 | 0.0596330 | 0.0470748 | 0.0088013 | 0.0218978 | 0.0259259 | 0.0043216 | 0.0048986 | 0.0068221 | 0.0042433 | 0.0029740 |
| macro-lipid | 0.0371465 | 0.0325427 | 0.0153763 | 0.0345659 | 0.1627057 | 0.0190931 | 0.1101733 | 0.0078135 | 0.0611050 | 0.1727726 | 0.0593065 | 0.0669315 | 0.0441176 | 0.0672882 | 0.0730549 | 0.0771684 | 0.0106701 | 0.0064935 | 0.0203704 | 0.0519744 | 0.0257129 | 0.0280749 | 0.0168252 | 0.0298507 | 0.0344758 | 0.0920083 | 0.0261132 | 0.0190555 | 0.1196938 | 0.0243608 | 0.1035743 | 0.0206934 | 0.0396040 | 0.0820751 | 0.1100917 | 0.0647036 | 0.0101649 | 0.0200730 | 0.0523810 | 0.0640282 | 0.0185059 | 0.0130756 | 0.0698727 | 0.0063728 |
| macro-lipid-APOC2+ | 0.0004221 | 0.0049641 | 0.0091718 | 0.0206324 | 0.0097502 | 0.0051710 | 0.0248778 | 0.0048674 | 0.0197585 | 0.0359027 | 0.0001080 | 0.0336186 | 0.0029412 | 0.0028375 | 0.0257019 | 0.0357143 | 0.0051216 | 0.0043290 | 0.0171296 | 0.0188998 | 0.0182328 | 0.0728610 | 0.0175567 | 0.0305615 | 0.0018145 | 0.0041564 | 0.0036826 | 0.0035902 | 0.0236604 | 0.0054359 | 0.0211210 | 0.0037624 | 0.0055693 | 0.0185830 | 0.0447922 | 0.0232468 | 0.0101649 | 0.0065693 | 0.0026455 | 0.0011373 | 0.0002721 | 0.0073906 | 0.0215936 | 0.0020181 |
| macro-monocyte-derived | 0.1148164 | 0.0537783 | 0.0741840 | 0.0401929 | 0.0315356 | 0.0322196 | 0.0182141 | 0.0417574 | 0.0883644 | 0.0389801 | 0.1160203 | 0.0583741 | 0.0465686 | 0.0360762 | 0.1241794 | 0.0573980 | 0.0580452 | 0.1179654 | 0.0430556 | 0.0722241 | 0.0490884 | 0.0247326 | 0.0351134 | 0.0326937 | 0.1070565 | 0.0636690 | 0.0766656 | 0.1110191 | 0.0730689 | 0.0877793 | 0.0523964 | 0.0663800 | 0.0674505 | 0.0720093 | 0.0574744 | 0.0422317 | 0.1393331 | 0.1036496 | 0.0354497 | 0.0528830 | 0.0593278 | 0.0983513 | 0.0676096 | 0.0851832 |
| macro-MT | 0.0168848 | 0.0143409 | 0.0097114 | 0.0206324 | 0.0175198 | 0.0365951 | 0.0266548 | 0.0591777 | 0.0316502 | 0.0304807 | 0.0109107 | 0.0229218 | 0.0161765 | 0.0478314 | 0.0132700 | 0.0057398 | 0.0179257 | 0.0057720 | 0.0203704 | 0.0215997 | 0.0116877 | 0.0120321 | 0.0036576 | 0.0225065 | 0.0167339 | 0.0170036 | 0.0267827 | 0.0218172 | 0.0170494 | 0.0223475 | 0.0113729 | 0.0177372 | 0.0123762 | 0.0116144 | 0.0153805 | 0.0195661 | 0.0061981 | 0.0149635 | 0.0169312 | 0.0490163 | 0.0259899 | 0.0301308 | 0.0175389 | 0.0116835 |
| macro-proliferating-G2M | 0.0097087 | 0.0154440 | 0.0064742 | 0.0179528 | 0.0182815 | 0.0222753 | 0.0106619 | 0.0181888 | 0.0117087 | 0.0079132 | 0.0207411 | 0.0168093 | 0.0098039 | 0.0263478 | 0.0099176 | 0.0070153 | 0.0140845 | 0.0061328 | 0.0148148 | 0.0172123 | 0.0116877 | 0.0160428 | 0.0138990 | 0.0146885 | 0.0241935 | 0.0115247 | 0.0174088 | 0.0162938 | 0.0121781 | 0.0185222 | 0.0044679 | 0.0236496 | 0.0148515 | 0.0197445 | 0.0099838 | 0.0079427 | 0.0040907 | 0.0040146 | 0.0148148 | 0.0062550 | 0.0100694 | 0.0142126 | 0.0130127 | 0.0100903 |
| macro-proliferating-S | 0.0270156 | 0.0339217 | 0.0256272 | 0.0380493 | 0.0284887 | 0.0350040 | 0.0204354 | 0.0280517 | 0.0215880 | 0.0168523 | 0.0184725 | 0.0363692 | 0.0205882 | 0.0226996 | 0.0122922 | 0.0127551 | 0.0213402 | 0.0090188 | 0.0296296 | 0.0273372 | 0.0070126 | 0.0247326 | 0.0336503 | 0.0267709 | 0.0314516 | 0.0202154 | 0.0277871 | 0.0262358 | 0.0198330 | 0.0271794 | 0.0052803 | 0.0352056 | 0.0262995 | 0.0317460 | 0.0175391 | 0.0156916 | 0.0074377 | 0.0043796 | 0.0325397 | 0.0205846 | 0.0212274 | 0.0136441 | 0.0245167 | 0.0232608 |
| macro-T | 0.0206838 | 0.0209597 | 0.0285946 | 0.0144695 | 0.0249848 | 0.0151154 | 0.0151044 | 0.0242090 | 0.0186608 | 0.0225674 | 0.0175003 | 0.0131418 | 0.0142157 | 0.0162140 | 0.0185780 | 0.0089286 | 0.0166453 | 0.0039683 | 0.0125000 | 0.0178873 | 0.0046751 | 0.0013369 | 0.0065838 | 0.0049751 | 0.0068548 | 0.0075572 | 0.0093740 | 0.0071803 | 0.0086987 | 0.0104691 | 0.0064988 | 0.0067186 | 0.0117574 | 0.0112273 | 0.0105235 | 0.0110422 | 0.0083054 | 0.0021898 | 0.0058201 | 0.0069373 | 0.0084365 | 0.0159181 | 0.0239510 | 0.0228359 |
| mast cells | 0.0000000 | 0.0000000 | 0.0000000 | 0.0005359 | 0.0001523 | 0.0000000 | 0.0008885 | 0.0000000 | 0.0000000 | 0.0000000 | 0.0001080 | 0.0012225 | 0.0014706 | 0.0008107 | 0.0000000 | 0.0063776 | 0.0000000 | 0.0007215 | 0.0023148 | 0.0000000 | 0.0112202 | 0.0000000 | 0.0000000 | 0.0004738 | 0.0004032 | 0.0003779 | 0.0010044 | 0.0000000 | 0.0000000 | 0.0000000 | 0.0004062 | 0.0002687 | 0.0000000 | 0.0007743 | 0.0002698 | 0.0001937 | 0.0021074 | 0.0000000 | 0.0000000 | 0.0000000 | 0.0000000 | 0.0005685 | 0.0000000 | 0.0000000 |
| migratory DC | 0.0000000 | 0.0002758 | 0.0000000 | 0.0048232 | 0.0004570 | 0.0007955 | 0.0000000 | 0.0007685 | 0.0000000 | 0.0000000 | 0.0014043 | 0.0033619 | 0.0019608 | 0.0016214 | 0.0011175 | 0.0044643 | 0.0006402 | 0.0064935 | 0.0013889 | 0.0010125 | 0.0116877 | 0.0127005 | 0.0175567 | 0.0059228 | 0.0030242 | 0.0007557 | 0.0026783 | 0.0091135 | 0.0000000 | 0.0002013 | 0.0000000 | 0.0000000 | 0.0000000 | 0.0000000 | 0.0032380 | 0.0036807 | 0.0009917 | 0.0000000 | 0.0000000 | 0.0000000 | 0.0000000 | 0.0000000 | 0.0000000 | 0.0003186 |
| monocytes | 0.0113972 | 0.0013789 | 0.0013488 | 0.0200965 | 0.0195003 | 0.0023866 | 0.0035540 | 0.0044832 | 0.0012806 | 0.0013189 | 0.0468834 | 0.0097800 | 0.0127451 | 0.0097284 | 0.0108954 | 0.0114796 | 0.0134443 | 0.0119048 | 0.0087963 | 0.0155248 | 0.0107527 | 0.0106952 | 0.0065838 | 0.0073442 | 0.0217742 | 0.0171925 | 0.0133914 | 0.0265120 | 0.0059151 | 0.0094625 | 0.0064988 | 0.0037624 | 0.0046411 | 0.0061943 | 0.0218564 | 0.0240217 | 0.1063592 | 0.0000000 | 0.0000000 | 0.0000000 | 0.0000000 | 0.0187607 | 0.0086752 | 0.0065852 |
| neutrophil-like | 0.0000000 | 0.0000000 | 0.0000000 | 0.0056270 | 0.0012188 | 0.0000000 | 0.0000000 | 0.0001281 | 0.0000000 | 0.0000000 | 0.0006482 | 0.0003056 | 0.0014706 | 0.0000000 | 0.0004191 | 0.0063776 | 0.0004268 | 0.0010823 | 0.0013889 | 0.0006750 | 0.0229079 | 0.0033422 | 0.0051207 | 0.0021322 | 0.0022177 | 0.0005668 | 0.0549046 | 0.0035902 | 0.0003479 | 0.0004027 | 0.0012185 | 0.0000000 | 0.0003094 | 0.0000000 | 0.0089045 | 0.0092987 | 0.0004958 | 0.0000000 | 0.0000000 | 0.0000000 | 0.0000000 | 0.0000000 | 0.0000000 | 0.0000000 |
| NK cells | 0.0046433 | 0.0085494 | 0.0051254 | 0.0058950 | 0.0036563 | 0.0000000 | 0.0026655 | 0.0014090 | 0.0020124 | 0.0011723 | 0.0016204 | 0.0015281 | 0.0014706 | 0.0008107 | 0.0000000 | 0.0044643 | 0.0014938 | 0.0266955 | 0.0060185 | 0.0016875 | 0.0079476 | 0.0020053 | 0.0000000 | 0.0002369 | 0.0020161 | 0.0011336 | 0.0010044 | 0.0033140 | 0.0003479 | 0.0004027 | 0.0012185 | 0.0013437 | 0.0006188 | 0.0011614 | 0.0000000 | 0.0019372 | 0.0019834 | 0.0175182 | 0.0100529 | 0.0068236 | 0.0073479 | 0.0068221 | 0.0005658 | 0.0098779 |
| NK-T cells | 0.0000000 | 0.0041368 | 0.0002698 | 0.0005359 | 0.0001523 | 0.0000000 | 0.0013327 | 0.0002562 | 0.0005488 | 0.0001465 | 0.0000000 | 0.0003056 | 0.0014706 | 0.0000000 | 0.0001397 | 0.0012755 | 0.0002134 | 0.0014430 | 0.0000000 | 0.0000000 | 0.0014025 | 0.0000000 | 0.0000000 | 0.0000000 | 0.0004032 | 0.0011336 | 0.0000000 | 0.0005523 | 0.0003479 | 0.0000000 | 0.0000000 | 0.0000000 | 0.0000000 | 0.0000000 | 0.0000000 | 0.0007749 | 0.0000000 | 0.0025547 | 0.0002646 | 0.0004549 | 0.0010886 | 0.0005685 | 0.0000943 | 0.0009559 |
| plasma B cells | 0.0016885 | 0.0000000 | 0.0000000 | 0.0005359 | 0.0000000 | 0.0000000 | 0.0039982 | 0.0000000 | 0.0001829 | 0.0000000 | 0.0003241 | 0.0003056 | 0.0004902 | 0.0000000 | 0.0000000 | 0.0006378 | 0.0002134 | 0.0000000 | 0.0000000 | 0.0000000 | 0.0014025 | 0.0000000 | 0.0000000 | 0.0002369 | 0.0002016 | 0.0000000 | 0.0000000 | 0.0000000 | 0.0000000 | 0.0002013 | 0.0000000 | 0.0000000 | 0.0000000 | 0.0015486 | 0.0021587 | 0.0005812 | 0.0002479 | 0.0000000 | 0.0000000 | 0.0000000 | 0.0000000 | 0.0000000 | 0.0000000 | 0.0003186 |
| plasmacytoid DC | 0.0067539 | 0.0165472 | 0.0026976 | 0.0029475 | 0.0012188 | 0.0003978 | 0.0008885 | 0.0019214 | 0.0049396 | 0.0002931 | 0.0049692 | 0.0006112 | 0.0009804 | 0.0008107 | 0.0001397 | 0.0031888 | 0.0040546 | 0.0147908 | 0.0009259 | 0.0006750 | 0.0074801 | 0.0013369 | 0.0000000 | 0.0018953 | 0.0016129 | 0.0073682 | 0.0050218 | 0.0033140 | 0.0020877 | 0.0020133 | 0.0008123 | 0.0010750 | 0.0015470 | 0.0030972 | 0.0010793 | 0.0011623 | 0.0006198 | 0.0000000 | 0.0000000 | 0.0000000 | 0.0000000 | 0.0079591 | 0.0026403 | 0.0020181 |
| proliferating T/NK | 0.0021106 | 0.0024821 | 0.0008093 | 0.0013398 | 0.0007617 | 0.0000000 | 0.0044425 | 0.0007685 | 0.0016465 | 0.0010258 | 0.0008642 | 0.0003056 | 0.0000000 | 0.0000000 | 0.0006984 | 0.0000000 | 0.0004268 | 0.0086580 | 0.0009259 | 0.0006750 | 0.0018700 | 0.0000000 | 0.0007315 | 0.0004738 | 0.0010081 | 0.0013225 | 0.0003348 | 0.0008285 | 0.0006959 | 0.0008053 | 0.0008123 | 0.0005375 | 0.0009282 | 0.0007743 | 0.0002698 | 0.0029059 | 0.0007438 | 0.0021898 | 0.0010582 | 0.0042079 | 0.0009525 | 0.0039795 | 0.0008487 | 0.0016994 |
| secretory epithelial cells | 0.0050654 | 0.0074462 | 0.0005395 | 0.0005359 | 0.0010664 | 0.0011933 | 0.0426477 | 0.0006405 | 0.0016465 | 0.0007327 | 0.0009722 | 0.0000000 | 0.0014706 | 0.0072963 | 0.0000000 | 0.0031888 | 0.0004268 | 0.0000000 | 0.0000000 | 0.0000000 | 0.0028050 | 0.0033422 | 0.0036576 | 0.0016584 | 0.0054435 | 0.0030229 | 0.0020087 | 0.0011047 | 0.0024356 | 0.0006040 | 0.0016247 | 0.0010750 | 0.0012376 | 0.0054201 | 0.0000000 | 0.0009686 | 0.0012396 | 0.0000000 | 0.0000000 | 0.0000000 | 0.0000000 | 0.0028425 | 0.0002829 | 0.0003186 |
props$Proportions %>%
data.frame %>%
inner_join(seu@meta.data %>%
dplyr::select(sample.id,
Disease,
Treatment,
Status,
Severity,
Group,
Batch,
Age,
Sex),
by = c("sample" = "sample.id")) %>%
distinct()-> dat
ggplot(dat, aes(x = sample, y = Freq, fill = clusters)) +
geom_bar(stat = "identity", color = "black", size = 0.1) +
theme(axis.text.x = element_text(angle = 90,
vjust = 0.5,
hjust = 1),
legend.text = element_text(size = 8),
legend.position = "bottom") +
labs(y = "Proportion", fill = "Cell Label") +
# scale_fill_paletteer_d("miscpalettes::pastel", direction = 1) +
facet_grid(~Group, scales = "free_x", space = "free_x")

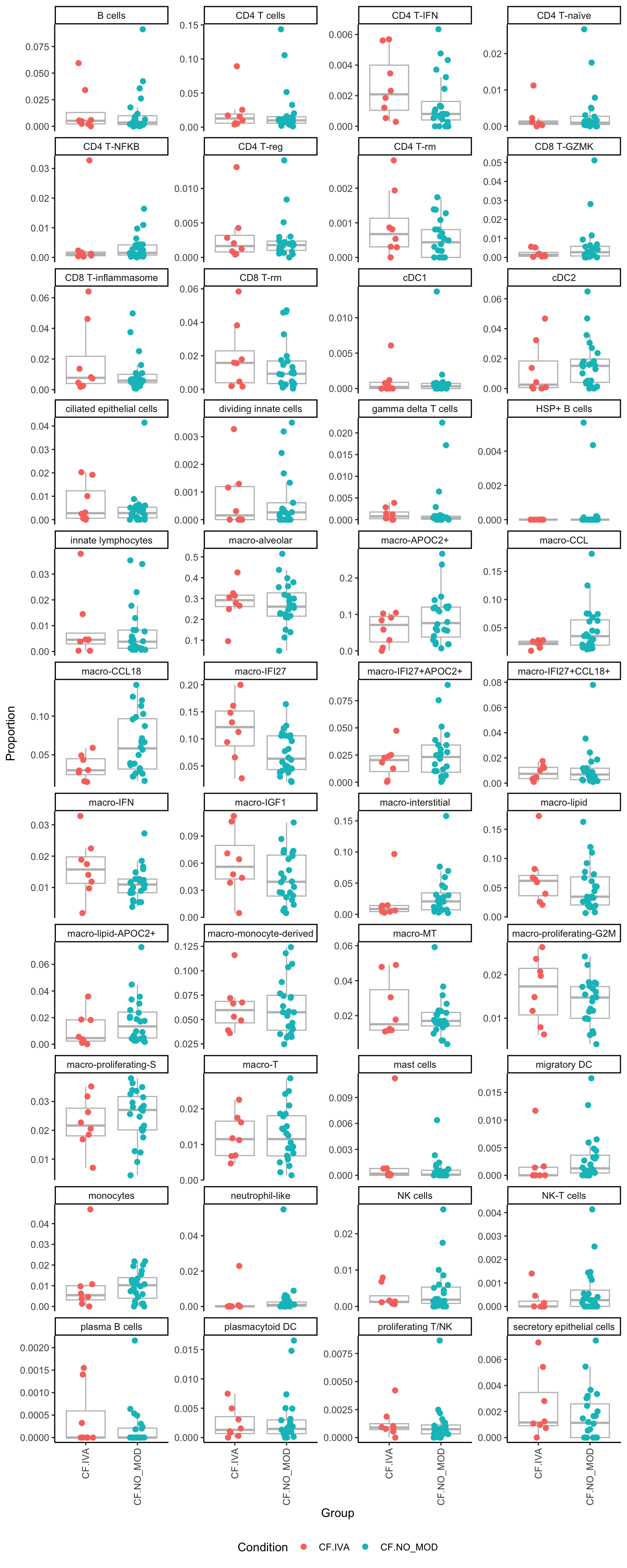
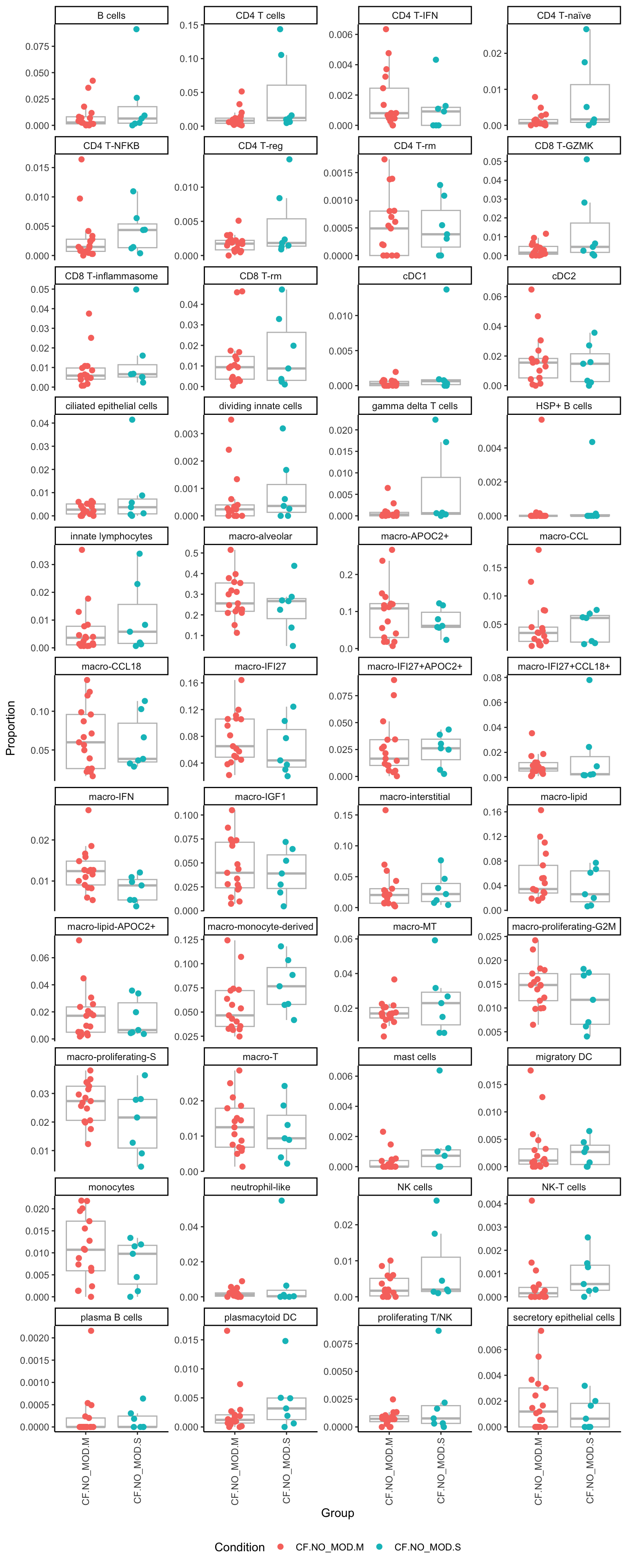
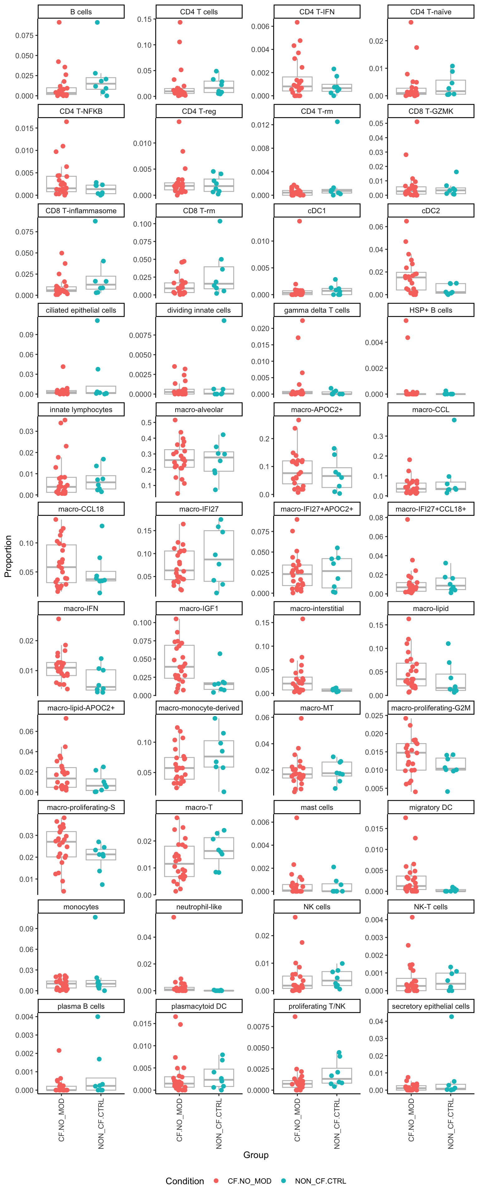
props$Proportions %>%
data.frame %>%
inner_join(seu@meta.data %>%
dplyr::select(sample.id,
Annotation,
Annotation,
Disease,
Treatment,
Status,
Severity,
Batch,
Age,
Sex),
by = c("sample" = "sample.id", "clusters" = "Annotation")) %>%
distinct()-> dat
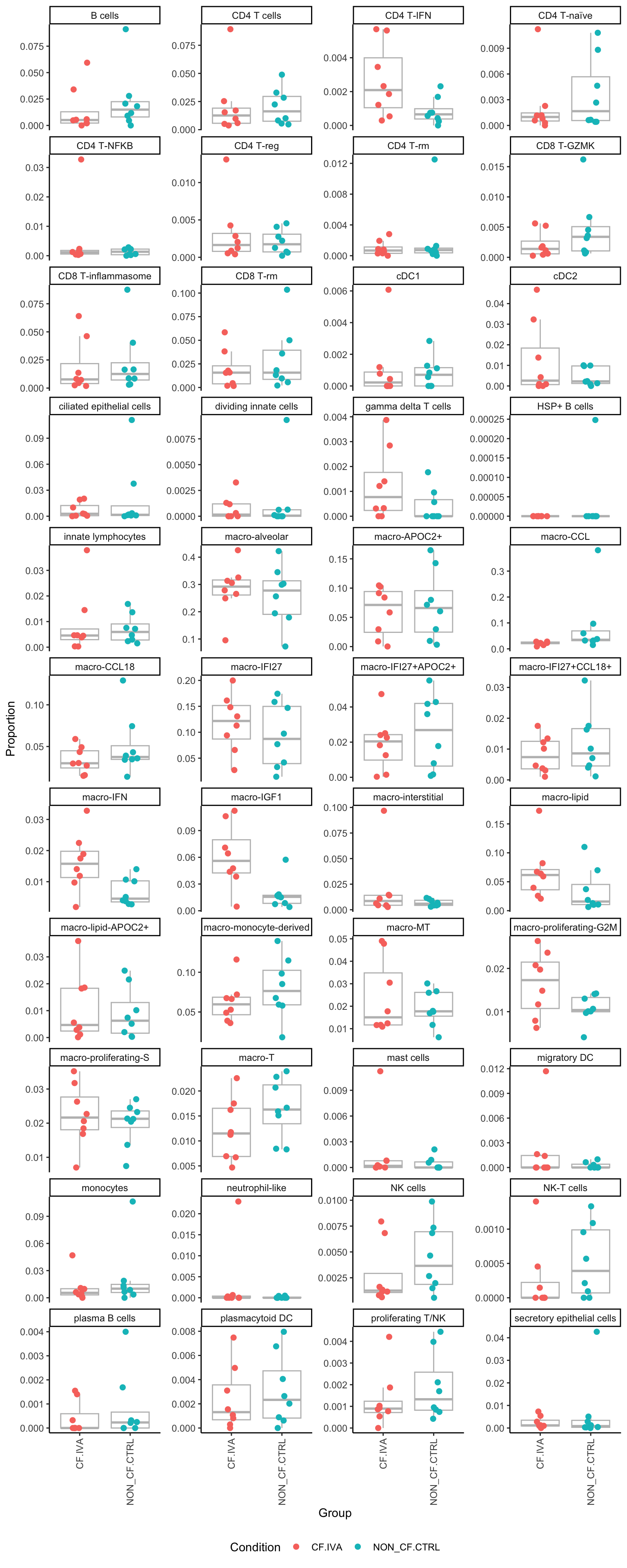
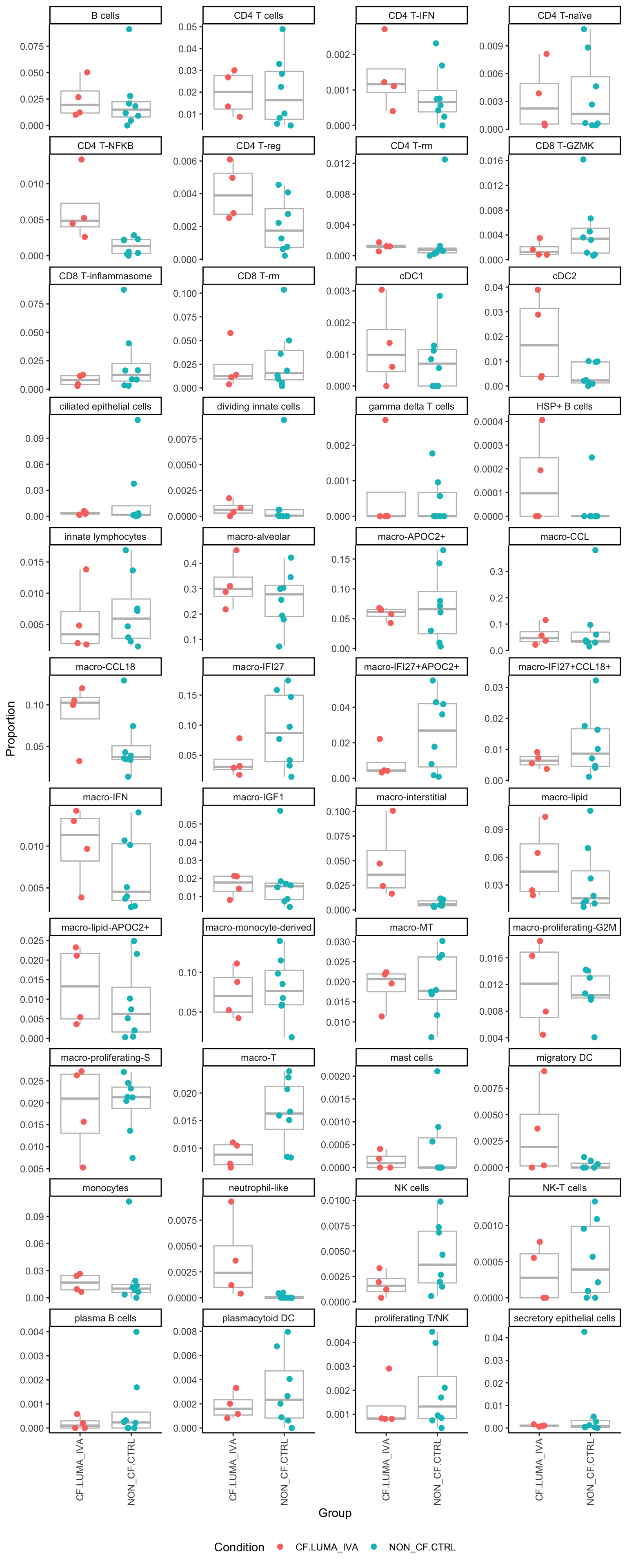
ggplot(dat,
aes(x = clusters, y = Freq, fill = clusters)) +
geom_boxplot(outlier.size = 0.1, size = 0.25) +
theme(axis.text.x = element_text(angle = 45,
vjust = 1,
hjust = 1),
legend.text = element_text(size = 8)) +
labs(y = "Proportion") +
# scale_fill_paletteer_d("miscpalettes::pastel", direction = 1) +
NoLegend()

Look at the sources of variation in the raw cell count level data.
dims <- list(c(1,2), c(2:3), c(3,4), c(4,5))
p <- vector("list", length(dims))
for(i in 1:length(dims)){
mds <- plotMDS(props$Counts,
gene.selection = "common",
plot = FALSE, dim.plot = dims[[i]])
data.frame(x = mds$x,
y = mds$y,
sample = rownames(mds$distance.matrix.squared)) %>%
left_join(seu@meta.data %>%
dplyr::select(sample.id,
Disease,
Treatment,
Status,
Severity,
Batch,
Age,
Sex),
by = c("sample" = "sample.id")) %>%
distinct() -> dat
p[[i]] <- ggplot(dat, aes(x = x, y = y,
shape = as.factor(Disease),
color = as.factor(Batch))) +
geom_point(size = 3) +
labs(x = glue("Principal Component {dims[[i]][1]}"),
y = glue("Principal Component {dims[[i]][2]}"),
colour = "Batch",
shape = "Disease") +
theme(legend.direction = "horizontal",
legend.text = element_text(size = 8),
legend.title = element_text(size = 9),
axis.text = element_text(size = 8),
axis.title = element_text(size = 9))
}
wrap_plots(p, cols = 2) + plot_layout(guides = "collect") &
theme(legend.position = "bottom")

dims <- list(c(1,2), c(2:3), c(3,4), c(4,5))
p <- vector("list", length(dims))
for(i in 1:length(dims)){
mds <- plotMDS(props$Counts,
gene.selection = "common",
plot = FALSE, dim.plot = dims[[i]])
data.frame(x = mds$x,
y = mds$y,
sample = rownames(mds$distance.matrix.squared)) %>%
left_join(seu@meta.data %>%
dplyr::select(sample.id,
Disease,
Treatment,
Status,
Severity,
Participant,
Batch,
Age,
Sex),
by = c("sample" = "sample.id")) %>%
group_by(sample) %>%
mutate(ncells = n()) %>%
ungroup() %>%
distinct() -> dat
p[[i]] <- ggplot(dat, aes(x = x, y = y,
colour = log2(ncells)))+
geom_text(aes(label = str_remove_all(sample, "sample_")), size = 2.5) +
labs(x = glue("Principal Component {dims[[i]][1]}"),
y = glue("Principal Component {dims[[i]][2]}"),
colour = "Log2 No. Cells") +
theme(legend.direction = "horizontal",
legend.text = element_text(size = 8),
legend.title = element_text(size = 9),
axis.text = element_text(size = 8),
axis.title = element_text(size = 9)) +
scale_colour_viridis_c(option = "magma")
}
wrap_plots(p, cols = 2) + plot_layout(guides = "collect") &
theme(legend.position = "bottom")

Look at the sources of variation in the cell proportions data.
dims <- list(c(1,2), c(2:3), c(3,4), c(4,5))
p <- vector("list", length(dims))
for(i in 1:length(dims)){
mds <- plotMDS(props$TransformedProps,
gene.selection = "common",
plot = FALSE, dim.plot = dims[[i]])
data.frame(x = mds$x,
y = mds$y,
sample = rownames(mds$distance.matrix.squared)) %>%
left_join(seu@meta.data %>%
dplyr::select(sample.id,
Disease,
Treatment,
Status,
Severity,
Batch,
Age,
Sex),
by = c("sample" = "sample.id")) %>%
distinct() -> dat
p[[i]] <- ggplot(dat, aes(x = x, y = y,
shape = as.factor(Disease),
color = as.factor(Batch)))+
geom_point(size = 3) +
labs(x = glue("Principal Component {dims[[i]][1]}"),
y = glue("Principal Component {dims[[i]][2]}"),
colour = "Batch",
shape = "Disease") +
theme(legend.direction = "horizontal",
legend.text = element_text(size = 8),
legend.title = element_text(size = 9),
axis.text = element_text(size = 8),
axis.title = element_text(size = 9))
}
wrap_plots(p, cols = 2) + plot_layout(guides = "collect") &
theme(legend.position = "bottom")

dims <- list(c(1,2), c(2:3), c(3,4), c(4,5))
p <- vector("list", length(dims))
for(i in 1:length(dims)){
mds <- plotMDS(props$TransformedProps,
gene.selection = "common",
plot = FALSE, dim.plot = dims[[i]])
data.frame(x = mds$x,
y = mds$y,
sample = rownames(mds$distance.matrix.squared)) %>%
left_join(seu@meta.data %>%
dplyr::select(sample.id,
Disease,
Treatment,
Status,
Severity,
Batch,
Age,
Sex),
by = c("sample" = "sample.id")) %>%
distinct() -> dat
p[[i]] <- ggplot(dat, aes(x = x, y = y,
shape = as.factor(Disease),
color = Sex))+
geom_point(size = 3) +
labs(x = glue("Principal Component {dims[[i]][1]}"),
y = glue("Principal Component {dims[[i]][2]}"),
colour = "Sex",
shape = "Disease") +
theme(legend.direction = "horizontal",
legend.text = element_text(size = 8),
legend.title = element_text(size = 9),
axis.text = element_text(size = 8),
axis.title = element_text(size = 9))
}
wrap_plots(p, cols = 2) + plot_layout(guides = "collect") &
theme(legend.position = "bottom")

dims <- list(c(1,2), c(2:3), c(3,4), c(4,5))
p <- vector("list", length(dims))
for(i in 1:length(dims)){
mds <- plotMDS(props$TransformedProps,
gene.selection = "common",
plot = FALSE, dim.plot = dims[[i]])
data.frame(x = mds$x,
y = mds$y,
sample = rownames(mds$distance.matrix.squared)) %>%
left_join(seu@meta.data %>%
dplyr::select(sample.id,
Disease,
Treatment,
Status,
Severity,
Participant,
Batch,
Age,
Sex),
by = c("sample" = "sample.id")) %>%
group_by(sample) %>%
mutate(ncells = n()) %>%
ungroup() %>%
distinct() -> dat
p[[i]] <- ggplot(dat, aes(x = x, y = y,
colour = log2(Age)))+
geom_text(aes(label = str_remove_all(sample, "sample_")), size = 2.5) +
labs(x = glue("Principal Component {dims[[i]][1]}"),
y = glue("Principal Component {dims[[i]][2]}"),
colour = "Log2 Age") +
theme(legend.direction = "horizontal",
legend.text = element_text(size = 8),
legend.title = element_text(size = 9),
axis.text = element_text(size = 8),
axis.title = element_text(size = 9)) +
scale_colour_viridis_c(option = "magma")
}
wrap_plots(p, cols = 2) + plot_layout(guides = "collect") &
theme(legend.position = "bottom")

dims <- list(c(1,2), c(2:3), c(3,4), c(4,5))
p <- vector("list", length(dims))
for(i in 1:length(dims)){
mds <- plotMDS(props$TransformedProps,
gene.selection = "common",
plot = FALSE, dim.plot = dims[[i]])
data.frame(x = mds$x,
y = mds$y,
sample = rownames(mds$distance.matrix.squared)) %>%
left_join(seu@meta.data %>%
dplyr::select(sample.id,
Disease,
Treatment,
Status,
Severity,
Participant,
Batch,
Age,
Sex),
by = c("sample" = "sample.id")) %>%
group_by(sample) %>%
mutate(ncells = n()) %>%
ungroup() %>%
distinct() -> dat
p[[i]] <- ggplot(dat, aes(x = x, y = y,
colour = log2(ncells)))+
geom_text(aes(label = str_remove_all(sample, "sample_")), size = 2.5) +
labs(x = glue("Principal Component {dims[[i]][1]}"),
y = glue("Principal Component {dims[[i]][2]}"),
colour = "Log2 No. Cells") +
theme(legend.direction = "horizontal",
legend.text = element_text(size = 8),
legend.title = element_text(size = 9),
axis.text = element_text(size = 8),
axis.title = element_text(size = 9)) +
scale_colour_viridis_c(option = "magma")
}
wrap_plots(p, cols = 2) + plot_layout(guides = "collect") &
theme(legend.position = "bottom")

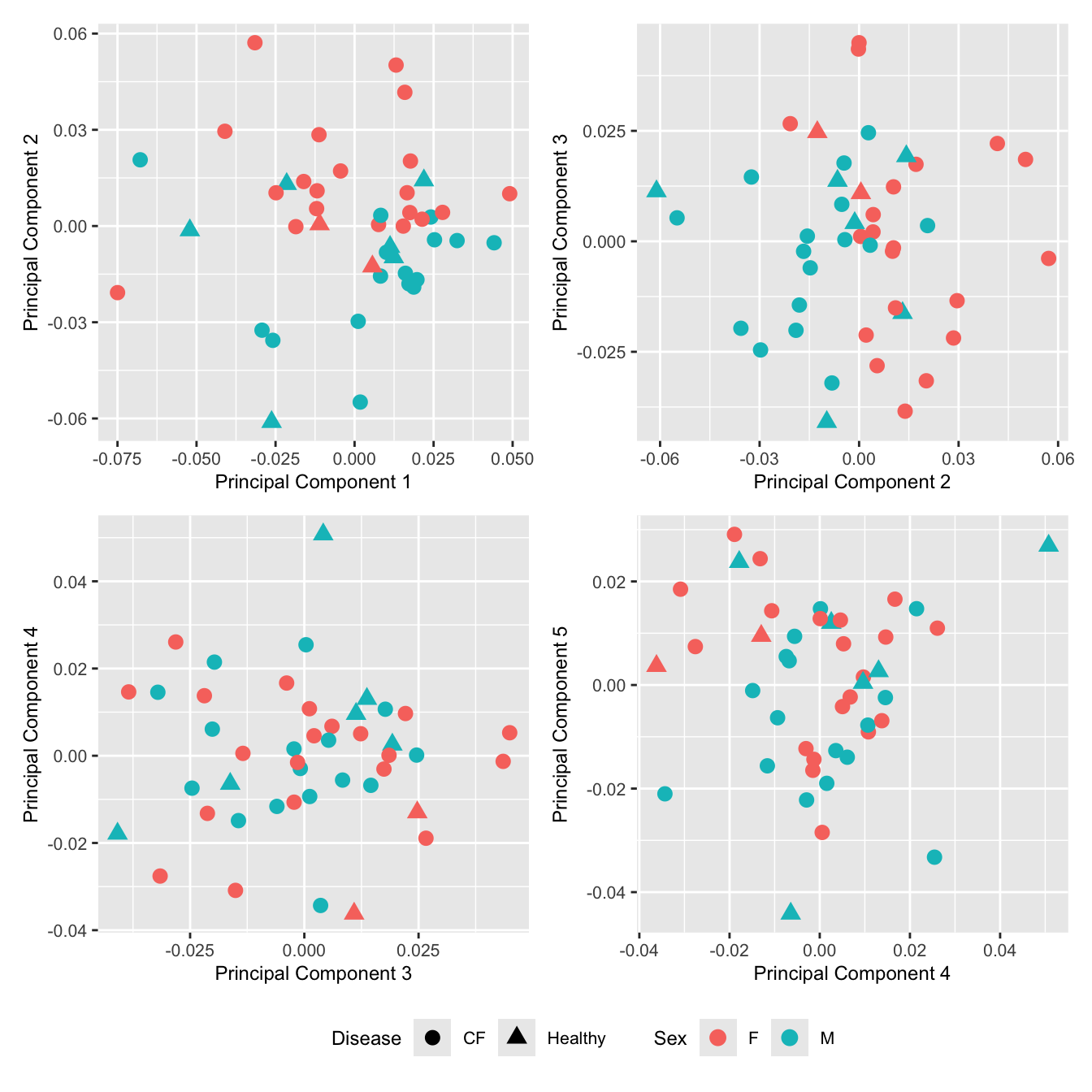
Principal components analysis (PCA) allows us to mathematically determine the sources of variation in the data. We can then investigate whether these correlate with any of the specifed covariates. First, we calculate the principal components. The scree plot belows shows us that most of the variation in this data is captured by the top 7 principal components.
PCs <- prcomp(t(props$TransformedProps), center = TRUE,
scale = TRUE, retx = TRUE)
loadings = PCs$x # pc loadings
plot(PCs, type="lines") # scree plot

Collect all of the known sample traits.
nGenes = nrow(props$TransformedProps)
nSamples = ncol(props$TransformedProps)
info <- seu@meta.data %>%
dplyr::select(sample.id,
Disease,
Treatment,
Status,
Severity,
Participant,
Group,
Batch,
Age,
Sex) %>%
group_by(sample.id) %>%
mutate(ncells = n()) %>%
ungroup() %>%
distinct()
m <- match(colnames(props$TransformedProps), info$sample.id)
info <- info[m,]
datTraits <- info %>% dplyr::select(Participant, Batch, Disease, Status,
Group, Severity, Age, Sex, ncells) %>%
mutate(Age = log2(Age),
ncells = log2(ncells),
Donor = factor(Participant),
Batch = factor(Batch),
Disease = factor(Disease,
labels = 1:length(unique(Disease))),
Group = factor(Group,
labels = 1:length(unique(Group))),
Treatment = factor(Status,
labels = 1:length(unique(Status))),
Sex = factor(Sex, labels = length(unique(Sex))),
Severity = factor(Severity, labels = length(unique(Severity)))) %>%
mutate(across(everything(), as.numeric)) %>%
dplyr::select(-Participant, -Status)
datTraits %>%
knitr::kable()
| Batch | Disease | Group | Severity | Age | Sex | ncells | Donor | Treatment |
|---|---|---|---|---|---|---|---|---|
| 4 | 2 | 7 | 1 | -0.2590872 | 2 | 11.21006 | 1 | 4 |
| 4 | 1 | 5 | 2 | -0.0939001 | 2 | 11.82416 | 2 | 3 |
| 4 | 1 | 5 | 2 | -0.1151479 | 1 | 11.85604 | 3 | 3 |
| 5 | 1 | 5 | 2 | -0.0441471 | 1 | 11.86573 | 4 | 3 |
| 5 | 1 | 5 | 2 | 0.1428834 | 2 | 12.68036 | 5 | 3 |
| 6 | 1 | 5 | 2 | -0.0729608 | 1 | 11.29577 | 6 | 3 |
| 4 | 2 | 7 | 1 | 0.1464588 | 2 | 11.13635 | 7 | 4 |
| 6 | 1 | 6 | 3 | 0.5597097 | 2 | 12.93055 | 8 | 3 |
| 4 | 1 | 6 | 3 | 1.5743836 | 1 | 12.41627 | 9 | 3 |
| 4 | 1 | 1 | 2 | 1.5993830 | 2 | 12.73640 | 10 | 1 |
| 6 | 1 | 1 | 2 | 2.3883594 | 2 | 13.17633 | 11 | 1 |
| 2 | 1 | 6 | 3 | 2.2957230 | 1 | 11.67596 | 12 | 3 |
| 2 | 1 | 5 | 2 | 2.3360877 | 2 | 10.99435 | 13 | 3 |
| 2 | 1 | 1 | 2 | 2.2980155 | 2 | 11.26854 | 14 | 1 |
| 6 | 1 | 5 | 2 | 2.5790214 | 1 | 12.80554 | 15 | 3 |
| 2 | 1 | 6 | 3 | 2.5823250 | 1 | 10.61471 | 16 | 3 |
| 6 | 2 | 7 | 1 | 0.1321035 | 2 | 12.19414 | 17 | 4 |
| 2 | 1 | 6 | 3 | 2.5889097 | 1 | 11.43671 | 18 | 3 |
| 2 | 1 | 5 | 2 | 2.5583683 | 1 | 11.07682 | 19 | 3 |
| 2 | 1 | 5 | 2 | 2.5670653 | 1 | 11.53284 | 20 | 3 |
| 2 | 1 | 2 | 3 | 2.5730557 | 2 | 11.06272 | 21 | 1 |
| 7 | 1 | 5 | 2 | -0.9343238 | 1 | 10.54689 | 22 | 3 |
| 7 | 1 | 5 | 2 | 0.0918737 | 1 | 10.41680 | 22 | 3 |
| 7 | 1 | 5 | 2 | 1.0409164 | 1 | 12.04337 | 22 | 3 |
| 7 | 1 | 5 | 2 | 0.0807044 | 2 | 12.27612 | 23 | 3 |
| 7 | 1 | 5 | 2 | 0.9940589 | 2 | 12.36987 | 23 | 3 |
| 7 | 1 | 6 | 3 | -0.0564254 | 1 | 11.54448 | 24 | 3 |
| 7 | 1 | 4 | 3 | 1.1764977 | 1 | 11.82217 | 24 | 2 |
| 3 | 1 | 5 | 2 | 1.5597097 | 1 | 11.48884 | 25 | 3 |
| 3 | 1 | 3 | 2 | 2.1930156 | 1 | 12.27816 | 25 | 2 |
| 3 | 1 | 3 | 2 | 2.2980155 | 1 | 11.26562 | 25 | 2 |
| 3 | 1 | 1 | 2 | 1.5703964 | 2 | 11.86147 | 26 | 1 |
| 3 | 1 | 1 | 2 | 2.0206033 | 2 | 11.65821 | 26 | 1 |
| 3 | 1 | 1 | 2 | 2.3485584 | 2 | 11.33483 | 26 | 1 |
| 5 | 1 | 5 | 2 | 1.9730702 | 1 | 11.85565 | 27 | 3 |
| 5 | 1 | 3 | 2 | 2.6297159 | 1 | 12.33371 | 27 | 2 |
| 7 | 2 | 7 | 1 | 0.2923784 | 2 | 12.97782 | 28 | 4 |
| 1 | 1 | 6 | 3 | 1.5801455 | 2 | 11.41996 | 29 | 3 |
| 1 | 1 | 5 | 2 | 1.5801455 | 2 | 11.88417 | 30 | 3 |
| 1 | 1 | 2 | 3 | 1.5993178 | 2 | 13.10214 | 31 | 1 |
| 1 | 2 | 7 | 1 | 1.5849625 | 2 | 12.84333 | 32 | 4 |
| 3 | 2 | 7 | 1 | 3.0699187 | 1 | 10.78054 | 33 | 4 |
| 4 | 2 | 7 | 1 | 2.4204621 | 2 | 13.37246 | 34 | 4 |
| 4 | 2 | 7 | 1 | 2.2356012 | 1 | 13.20075 | 35 | 4 |
Correlate known sample traits with the top 10 principal components. This can help us determine which traits are potentially contributing to the main sources of variation in the data and should thus be included in our statistical analysis.
moduleTraitCor <- suppressWarnings(cor(loadings[, 1:10], datTraits, use = "p"))
moduleTraitPvalue <- WGCNA::corPvalueStudent(moduleTraitCor, (nSamples - 2))
textMatrix <- paste(signif(moduleTraitCor, 2), "\n(",
signif(moduleTraitPvalue, 1), ")", sep = "")
dim(textMatrix) <- dim(moduleTraitCor)
## Display the correlation values within a heatmap plot
par(cex=0.75, mar = c(6, 8.5, 3, 3))
WGCNA::labeledHeatmap(Matrix = t(moduleTraitCor),
xLabels = colnames(loadings)[1:10],
yLabels = names(datTraits),
colorLabels = FALSE,
colors = WGCNA::blueWhiteRed(6),
textMatrix = t(textMatrix),
setStdMargins = FALSE,
cex.text = 1,
zlim = c(-1,1),
main = paste("PCA-trait relationships: Top 10 PCs"))

propeller and
limma approachCreate the design matrix.
group <- factor(info$Group)
participant <- factor(info$Participant)
age <- log2(info$Age)
batch <- factor(info$Batch)
sex <- factor(info$Sex)
design <- model.matrix(~ 0 + group + batch + age + sex)
colnames(design)[1:7] <- levels(group)
design
CF.IVA.M CF.IVA.S CF.LUMA_IVA.M CF.LUMA_IVA.S CF.NO_MOD.M CF.NO_MOD.S
1 0 0 0 0 0 0
2 0 0 0 0 1 0
3 0 0 0 0 1 0
4 0 0 0 0 1 0
5 0 0 0 0 1 0
6 0 0 0 0 1 0
7 0 0 0 0 0 0
8 0 0 0 0 0 1
9 0 0 0 0 0 1
10 1 0 0 0 0 0
11 1 0 0 0 0 0
12 0 0 0 0 0 1
13 0 0 0 0 1 0
14 1 0 0 0 0 0
15 0 0 0 0 1 0
16 0 0 0 0 0 1
17 0 0 0 0 0 0
18 0 0 0 0 0 1
19 0 0 0 0 1 0
20 0 0 0 0 1 0
21 0 1 0 0 0 0
22 0 0 0 0 1 0
23 0 0 0 0 1 0
24 0 0 0 0 1 0
25 0 0 0 0 1 0
26 0 0 0 0 1 0
27 0 0 0 0 0 1
28 0 0 0 1 0 0
29 0 0 0 0 1 0
30 0 0 1 0 0 0
31 0 0 1 0 0 0
32 1 0 0 0 0 0
33 1 0 0 0 0 0
34 1 0 0 0 0 0
35 0 0 0 0 1 0
36 0 0 1 0 0 0
37 0 0 0 0 0 0
38 0 0 0 0 0 1
39 0 0 0 0 1 0
40 0 1 0 0 0 0
41 0 0 0 0 0 0
42 0 0 0 0 0 0
43 0 0 0 0 0 0
44 0 0 0 0 0 0
NON_CF.CTRL batch1 batch2 batch3 batch4 batch5 batch6 age sexM
1 1 0 0 1 0 0 0 -0.25908722 1
2 0 0 0 1 0 0 0 -0.09390014 1
3 0 0 0 1 0 0 0 -0.11514787 0
4 0 0 0 0 1 0 0 -0.04414710 0
5 0 0 0 0 1 0 0 0.14288337 1
6 0 0 0 0 0 1 0 -0.07296080 0
7 1 0 0 1 0 0 0 0.14645883 1
8 0 0 0 0 0 1 0 0.55970971 1
9 0 0 0 1 0 0 0 1.57438357 0
10 0 0 0 1 0 0 0 1.59938302 1
11 0 0 0 0 0 1 0 2.38835941 1
12 0 1 0 0 0 0 0 2.29572302 0
13 0 1 0 0 0 0 0 2.33608770 1
14 0 1 0 0 0 0 0 2.29801547 1
15 0 0 0 0 0 1 0 2.57902140 0
16 0 1 0 0 0 0 0 2.58232503 0
17 1 0 0 0 0 1 0 0.13210354 1
18 0 1 0 0 0 0 0 2.58890969 0
19 0 1 0 0 0 0 0 2.55836829 0
20 0 1 0 0 0 0 0 2.56706530 0
21 0 1 0 0 0 0 0 2.57305573 1
22 0 0 0 0 0 0 1 -0.93432383 0
23 0 0 0 0 0 0 1 0.09187369 0
24 0 0 0 0 0 0 1 1.04091644 0
25 0 0 0 0 0 0 1 0.08070438 1
26 0 0 0 0 0 0 1 0.99405890 1
27 0 0 0 0 0 0 1 -0.05642543 0
28 0 0 0 0 0 0 1 1.17649766 0
29 0 0 1 0 0 0 0 1.55970971 0
30 0 0 1 0 0 0 0 2.19301559 0
31 0 0 1 0 0 0 0 2.29801547 0
32 0 0 1 0 0 0 0 1.57039639 1
33 0 0 1 0 0 0 0 2.02060327 1
34 0 0 1 0 0 0 0 2.34855840 1
35 0 0 0 0 1 0 0 1.97307024 0
36 0 0 0 0 1 0 0 2.62971590 0
37 1 0 0 0 0 0 1 0.29237837 1
38 0 0 0 0 0 0 0 1.58014548 1
39 0 0 0 0 0 0 0 1.58014548 1
40 0 0 0 0 0 0 0 1.59931779 1
41 1 0 0 0 0 0 0 1.58496250 1
42 1 0 1 0 0 0 0 3.06991870 0
43 1 0 0 1 0 0 0 2.42046210 1
44 1 0 0 1 0 0 0 2.23560118 0
attr(,"assign")
[1] 1 1 1 1 1 1 1 2 2 2 2 2 2 3 4
attr(,"contrasts")
attr(,"contrasts")$group
[1] "contr.treatment"
attr(,"contrasts")$batch
[1] "contr.treatment"
attr(,"contrasts")$sex
[1] "contr.treatment"
Create the contrast matrix.
contr <- makeContrasts(CF.NO_MODvCF.IVA = 0.5*(CF.NO_MOD.M + CF.NO_MOD.S) - 0.5*(CF.IVA.M + CF.IVA.S),
CF.NO_MODvCF.LUMA_IVA = 0.5*(CF.NO_MOD.M + CF.NO_MOD.S) - 0.5*(CF.LUMA_IVA.M + CF.LUMA_IVA.S),
CF.NO_MOD.MvCF.NO_MOD.S = CF.NO_MOD.M - CF.NO_MOD.S,
CF.NO_MODvNON_CF.CTRL = 0.5*(CF.NO_MOD.M + CF.NO_MOD.S) - NON_CF.CTRL,
CF.IVAvNON_CF.CTRL = 0.5*(CF.IVA.M + CF.IVA.S) - NON_CF.CTRL,
CF.LUMA_IVAvNON_CF.CTRL = 0.5*(CF.LUMA_IVA.M + CF.LUMA_IVA.S) - NON_CF.CTRL,
levels = design)
contr
Contrasts
Levels CF.NO_MODvCF.IVA CF.NO_MODvCF.LUMA_IVA CF.NO_MOD.MvCF.NO_MOD.S
CF.IVA.M -0.5 0.0 0
CF.IVA.S -0.5 0.0 0
CF.LUMA_IVA.M 0.0 -0.5 0
CF.LUMA_IVA.S 0.0 -0.5 0
CF.NO_MOD.M 0.5 0.5 1
CF.NO_MOD.S 0.5 0.5 -1
NON_CF.CTRL 0.0 0.0 0
batch1 0.0 0.0 0
batch2 0.0 0.0 0
batch3 0.0 0.0 0
batch4 0.0 0.0 0
batch5 0.0 0.0 0
batch6 0.0 0.0 0
age 0.0 0.0 0
sexM 0.0 0.0 0
Contrasts
Levels CF.NO_MODvNON_CF.CTRL CF.IVAvNON_CF.CTRL
CF.IVA.M 0.0 0.5
CF.IVA.S 0.0 0.5
CF.LUMA_IVA.M 0.0 0.0
CF.LUMA_IVA.S 0.0 0.0
CF.NO_MOD.M 0.5 0.0
CF.NO_MOD.S 0.5 0.0
NON_CF.CTRL -1.0 -1.0
batch1 0.0 0.0
batch2 0.0 0.0
batch3 0.0 0.0
batch4 0.0 0.0
batch5 0.0 0.0
batch6 0.0 0.0
age 0.0 0.0
sexM 0.0 0.0
Contrasts
Levels CF.LUMA_IVAvNON_CF.CTRL
CF.IVA.M 0.0
CF.IVA.S 0.0
CF.LUMA_IVA.M 0.5
CF.LUMA_IVA.S 0.5
CF.NO_MOD.M 0.0
CF.NO_MOD.S 0.0
NON_CF.CTRL -1.0
batch1 0.0
batch2 0.0
batch3 0.0
batch4 0.0
batch5 0.0
batch6 0.0
age 0.0
sexM 0.0
Add random effect for samples from the same individual.
dupcor <- duplicateCorrelation(props$TransformedProps, design=design,
block=participant)
dupcor
$consensus.correlation
[1] 0.6250941
$cor
[1] 0.6250941
$atanh.correlations
[1] 0.76811923 1.32273928 0.61140958 0.53633809 1.01612542 0.57559935
[7] 0.72951448 1.24765882 1.01475251 -0.53606034 0.93797080 0.34377796
[13] 1.06833501 0.41397905 0.26228503 0.07433215 1.16780264 0.67068831
[19] 1.08639046 0.65338501 1.43476320 0.63351546 1.28350769 1.24738214
[25] 0.63317472 0.91591486 0.24769902 0.49044207 0.34408607 0.89512501
[31] 0.59396879 -0.53606034 0.07991134 0.58554384 0.54921399 0.58214487
[37] 1.72028140 1.57899738 1.15405369 0.53292992 -0.16389086 0.60681356
[43] 0.97776902 0.86778258
Fit the model.
fit <- lmFit(props$TransformedProps, design=design, block=participant,
correlation=dupcor$consensus)
fit2 <- contrasts.fit(fit, contr)
fit2 <- eBayes(fit2, robust=TRUE, trend=FALSE)
pvalue <- 0.05
summary(decideTests(fit2, p.value = pvalue))
CF.NO_MODvCF.IVA CF.NO_MODvCF.LUMA_IVA CF.NO_MOD.MvCF.NO_MOD.S
Down 0 0 0
NotSig 44 44 44
Up 0 0 0
CF.NO_MODvNON_CF.CTRL CF.IVAvNON_CF.CTRL CF.LUMA_IVAvNON_CF.CTRL
Down 0 0 0
NotSig 43 44 44
Up 1 0 0
topTable(fit2)
CF.NO_MODvCF.IVA CF.NO_MODvCF.LUMA_IVA CF.NO_MOD.MvCF.NO_MOD.S
neutrophil-like -0.032103978 0.057343580 -0.03402256473
macro-IGF1 0.048434007 0.062714944 0.01695055528
macro-IFN 0.005205866 0.002539768 0.03003763351
monocytes -0.012241009 -0.018333988 0.00006196445
HSP+ B cells 0.001953553 0.032950480 -0.01113271600
CD4 T-IFN -0.013237507 -0.023120034 0.01914051357
migratory DC -0.024505953 -0.026378390 -0.00393855044
macro-CCL18 0.054168504 -0.088129567 -0.00654047889
CD8 T-rm -0.032141740 -0.056888959 0.01966709340
B cells -0.029827960 -0.047618397 -0.05057953351
CF.NO_MODvNON_CF.CTRL CF.IVAvNON_CF.CTRL
neutrophil-like 0.010971401 0.043075379
macro-IGF1 0.123586978 0.075152971
macro-IFN 0.025393765 0.020187900
monocytes -0.063451837 -0.051210829
HSP+ B cells 0.004247911 0.002294358
CD4 T-IFN 0.007947308 0.021184815
migratory DC -0.001232548 0.023273404
macro-CCL18 0.030308445 -0.023860059
CD8 T-rm -0.067488669 -0.035346929
B cells -0.048170472 -0.018342513
CF.LUMA_IVAvNON_CF.CTRL AveExpr F P.Value
neutrophil-like -0.0463721791 0.032259739 4.289830 0.006998831
macro-IGF1 0.0608720339 0.186514012 4.250580 0.007398005
macro-IFN 0.0228539972 0.101845137 3.261977 0.024009216
monocytes -0.0451178496 0.096400155 3.089859 0.029716354
HSP+ B cells -0.0287025686 0.005205621 3.011913 0.032748994
CD4 T-IFN 0.0310673422 0.033190241 2.672084 0.050229354
migratory DC 0.0251458414 0.033207675 2.265013 0.084463190
macro-CCL18 0.1184380122 0.233027675 1.883140 0.138403204
CD8 T-rm -0.0105997106 0.117802877 1.707808 0.173431159
B cells -0.0005520755 0.099333335 1.628640 0.191987607
adj.P.Val
neutrophil-like 0.1627561
macro-IGF1 0.1627561
macro-IFN 0.2881911
monocytes 0.2881911
HSP+ B cells 0.2881911
CD4 T-IFN 0.3683486
migratory DC 0.5309115
macro-CCL18 0.6637617
CD8 T-rm 0.6637617
B cells 0.6637617
p <- vector("list", ncol(contr))
for(i in 1:ncol(contr)){
props$Proportions %>% data.frame %>%
left_join(info,
by = c("sample" = "sample.id")) %>%
dplyr::filter(Group %in% names(contr[, i])[abs(contr[, i]) > 0]) -> dat
if(length(unique(dat$Group)) > 2) dat$Group <- str_remove(dat$Group, ".(M|S)$")
ggplot(dat, aes(x = Group,
y = Freq,
colour = Group,
group = Group)) +
geom_boxplot(outlier.shape = NA, colour = "grey") +
geom_jitter(stat = "identity",
width = 0.15,
size = 2) +
theme_classic() +
theme(axis.text.x = element_text(angle = 90,
hjust = 1,
vjust = 0.5),
legend.position = "bottom",
legend.direction = "horizontal") +
labs(x = "Group", y = "Proportion",
colour = "Condition") +
facet_wrap(~clusters, scales = "free_y", ncol = 4) -> p[[i]]
}
p
[[1]]

[[2]]

[[3]]

[[4]]

[[5]]

[[6]]

sessioninfo::session_info()
─ Session info ───────────────────────────────────────────────────────────────
setting value
version R version 4.3.2 (2023-10-31)
os macOS Sonoma 14.5
system aarch64, darwin20
ui X11
language (EN)
collate en_US.UTF-8
ctype en_US.UTF-8
tz Australia/Melbourne
date 2024-08-09
pandoc 3.1.11 @ /Applications/RStudio.app/Contents/Resources/app/quarto/bin/tools/aarch64/ (via rmarkdown)
─ Packages ───────────────────────────────────────────────────────────────────
! package * version date (UTC) lib source
P abind 1.4-5 2016-07-21 [?] RSPM (R 4.3.0)
P AnnotationDbi * 1.64.1 2023-11-02 [?] Bioconductor
P backports 1.4.1 2021-12-13 [?] RSPM (R 4.3.0)
P base64enc 0.1-3 2015-07-28 [?] RSPM (R 4.3.0)
P Biobase * 2.62.0 2023-10-26 [?] Bioconductor
P BiocGenerics * 0.48.1 2023-11-02 [?] Bioconductor
P BiocManager 1.30.22 2023-08-08 [?] RSPM (R 4.3.0)
P Biostrings 2.70.2 2024-01-30 [?] Bioconductor 3.18 (R 4.3.2)
P bit 4.0.5 2022-11-15 [?] RSPM (R 4.3.0)
P bit64 4.0.5 2020-08-30 [?] RSPM (R 4.3.0)
P bitops 1.0-7 2021-04-24 [?] RSPM (R 4.3.0)
P blob 1.2.4 2023-03-17 [?] RSPM (R 4.3.0)
P bslib 0.6.1 2023-11-28 [?] RSPM (R 4.3.0)
P cachem 1.0.8 2023-05-01 [?] RSPM (R 4.3.0)
P callr 3.7.3 2022-11-02 [?] RSPM (R 4.3.0)
P checkmate 2.3.1 2023-12-04 [?] RSPM (R 4.3.0)
P circlize 0.4.15 2022-05-10 [?] RSPM (R 4.3.0)
P cli 3.6.2 2023-12-11 [?] RSPM (R 4.3.0)
P clue 0.3-65 2023-09-23 [?] RSPM (R 4.3.0)
P cluster 2.1.6 2023-12-01 [?] CRAN (R 4.3.1)
P clustree * 0.5.1 2023-11-05 [?] RSPM (R 4.3.0)
P codetools 0.2-20 2024-03-31 [?] CRAN (R 4.3.1)
P colorspace 2.1-0 2023-01-23 [?] RSPM (R 4.3.0)
P ComplexHeatmap 2.18.0 2023-10-26 [?] Bioconductor
P cowplot 1.1.3 2024-01-22 [?] RSPM (R 4.3.0)
P crayon 1.5.2 2022-09-29 [?] RSPM (R 4.3.0)
P data.table 1.15.0 2024-01-30 [?] RSPM (R 4.3.0)
P DBI 1.2.1 2024-01-12 [?] RSPM (R 4.3.0)
P DelayedArray 0.28.0 2023-11-06 [?] Bioconductor
P deldir 2.0-2 2023-11-23 [?] RSPM (R 4.3.0)
P dendextend 1.17.1 2023-03-25 [?] RSPM (R 4.3.0)
P digest 0.6.34 2024-01-11 [?] RSPM (R 4.3.0)
P dittoSeq * 1.14.2 2024-02-10 [?] Bioconductor 3.18 (R 4.3.2)
P doParallel 1.0.17 2022-02-07 [?] RSPM (R 4.3.0)
P dplyr * 1.1.4 2023-11-17 [?] RSPM (R 4.3.0)
P dynamicTreeCut 1.63-1 2016-03-11 [?] RSPM (R 4.3.0)
P edgeR * 4.0.15 2024-02-10 [?] Bioconductor 3.18 (R 4.3.2)
P ellipsis 0.3.2 2021-04-29 [?] RSPM (R 4.3.0)
P evaluate 0.23 2023-11-01 [?] RSPM (R 4.3.0)
P fansi 1.0.6 2023-12-08 [?] RSPM (R 4.3.0)
P farver 2.1.1 2022-07-06 [?] RSPM (R 4.3.0)
P fastcluster 1.2.6 2024-01-12 [?] RSPM (R 4.3.0)
P fastmap 1.1.1 2023-02-24 [?] RSPM (R 4.3.0)
P fitdistrplus 1.1-11 2023-04-25 [?] RSPM (R 4.3.0)
P forcats * 1.0.0 2023-01-29 [?] RSPM (R 4.3.0)
P foreach 1.5.2 2022-02-02 [?] RSPM (R 4.3.0)
P foreign 0.8-86 2023-11-28 [?] CRAN (R 4.3.1)
Formula 1.2-5 2023-02-24 [1] RSPM (R 4.3.0)
P fs 1.6.3 2023-07-20 [?] RSPM (R 4.3.0)
P future 1.33.1 2023-12-22 [?] RSPM (R 4.3.0)
P future.apply 1.11.1 2023-12-21 [?] RSPM (R 4.3.0)
P generics 0.1.3 2022-07-05 [?] RSPM (R 4.3.0)
P GenomeInfoDb * 1.38.6 2024-02-10 [?] Bioconductor 3.18 (R 4.3.2)
P GenomeInfoDbData 1.2.11 2024-02-16 [?] Bioconductor
P GenomicRanges * 1.54.1 2023-10-30 [?] Bioconductor
P GetoptLong 1.0.5 2020-12-15 [?] RSPM (R 4.3.0)
P getPass 0.2-4 2023-12-10 [?] RSPM (R 4.3.0)
P ggforce 0.4.2 2024-02-19 [?] RSPM (R 4.3.0)
P ggplot2 * 3.5.0 2024-02-23 [?] RSPM (R 4.3.0)
P ggraph * 2.2.0 2024-02-27 [?] RSPM (R 4.3.0)
P ggrepel 0.9.5 2024-01-10 [?] RSPM (R 4.3.0)
P ggridges 0.5.6 2024-01-23 [?] RSPM (R 4.3.0)
P git2r 0.33.0 2023-11-26 [?] RSPM (R 4.3.0)
glmGamPoi * 1.14.3 2024-02-10 [1] Bioconductor 3.18 (R 4.3.2)
P GlobalOptions 0.1.2 2020-06-10 [?] RSPM (R 4.3.0)
P globals 0.16.2 2022-11-21 [?] RSPM (R 4.3.0)
P glue * 1.7.0 2024-01-09 [?] RSPM (R 4.3.0)
P GO.db 3.18.0 2024-02-21 [?] Bioconductor
P goftest 1.2-3 2021-10-07 [?] RSPM (R 4.3.0)
P graphlayouts 1.1.0 2024-01-19 [?] RSPM (R 4.3.0)
P gridExtra 2.3 2017-09-09 [?] RSPM (R 4.3.0)
P gtable 0.3.4 2023-08-21 [?] RSPM (R 4.3.0)
P here * 1.0.1 2020-12-13 [?] RSPM (R 4.3.0)
P highr 0.10 2022-12-22 [?] RSPM (R 4.3.0)
Hmisc 5.1-1 2023-09-12 [1] RSPM (R 4.3.0)
P hms 1.1.3 2023-03-21 [?] RSPM (R 4.3.0)
htmlTable 2.4.2 2023-10-29 [1] RSPM (R 4.3.0)
P htmltools 0.5.7 2023-11-03 [?] RSPM (R 4.3.0)
P htmlwidgets 1.6.4 2023-12-06 [?] RSPM (R 4.3.0)
P httpuv 1.6.14 2024-01-26 [?] RSPM (R 4.3.0)
P httr 1.4.7 2023-08-15 [?] RSPM (R 4.3.0)
P ica 1.0-3 2022-07-08 [?] RSPM (R 4.3.0)
P igraph 2.0.1.1 2024-01-30 [?] RSPM (R 4.3.0)
P impute 1.76.0 2023-10-26 [?] Bioconductor
P IRanges * 2.36.0 2023-10-26 [?] Bioconductor
P irlba 2.3.5.1 2022-10-03 [?] RSPM (R 4.3.0)
P iterators 1.0.14 2022-02-05 [?] RSPM (R 4.3.0)
P jquerylib 0.1.4 2021-04-26 [?] RSPM (R 4.3.0)
P jsonlite 1.8.8 2023-12-04 [?] RSPM (R 4.3.0)
P KEGGREST 1.42.0 2023-10-26 [?] Bioconductor
P KernSmooth 2.23-22 2023-07-10 [?] CRAN (R 4.3.2)
P knitr 1.45 2023-10-30 [?] RSPM (R 4.3.0)
P labeling 0.4.3 2023-08-29 [?] RSPM (R 4.3.0)
P later 1.3.2 2023-12-06 [?] RSPM (R 4.3.0)
P lattice 0.22-6 2024-03-20 [?] CRAN (R 4.3.1)
P lazyeval 0.2.2 2019-03-15 [?] RSPM (R 4.3.0)
P leiden 0.4.3.1 2023-11-17 [?] RSPM (R 4.3.0)
P lifecycle 1.0.4 2023-11-07 [?] RSPM (R 4.3.0)
P limma * 3.58.1 2023-11-02 [?] Bioconductor
P listenv 0.9.1 2024-01-29 [?] RSPM (R 4.3.0)
P lmtest 0.9-40 2022-03-21 [?] RSPM (R 4.3.0)
P locfit 1.5-9.8 2023-06-11 [?] RSPM (R 4.3.0)
P lubridate * 1.9.3 2023-09-27 [?] RSPM (R 4.3.0)
P magrittr 2.0.3 2022-03-30 [?] RSPM (R 4.3.0)
P MASS 7.3-60.0.1 2024-01-13 [?] CRAN (R 4.3.1)
P Matrix 1.6-5 2024-01-11 [?] CRAN (R 4.3.1)
P MatrixGenerics * 1.14.0 2023-10-26 [?] Bioconductor
P matrixStats * 1.2.0 2023-12-11 [?] RSPM (R 4.3.0)
P memoise 2.0.1 2021-11-26 [?] RSPM (R 4.3.0)
P mime 0.12 2021-09-28 [?] RSPM (R 4.3.0)
P miniUI 0.1.1.1 2018-05-18 [?] RSPM (R 4.3.0)
P munsell 0.5.0 2018-06-12 [?] RSPM (R 4.3.0)
P nlme 3.1-164 2023-11-27 [?] CRAN (R 4.3.1)
P nnet 7.3-19 2023-05-03 [?] CRAN (R 4.3.2)
P org.Hs.eg.db * 3.18.0 2024-02-21 [?] Bioconductor
P paletteer * 1.6.0 2024-01-21 [?] RSPM (R 4.3.0)
P parallelly 1.37.0 2024-02-14 [?] RSPM (R 4.3.0)
P patchwork * 1.2.0 2024-01-08 [?] RSPM (R 4.3.0)
P pbapply 1.7-2 2023-06-27 [?] RSPM (R 4.3.0)
P pheatmap 1.0.12 2019-01-04 [?] RSPM (R 4.3.0)
P pillar 1.9.0 2023-03-22 [?] RSPM (R 4.3.0)
P pkgconfig 2.0.3 2019-09-22 [?] RSPM (R 4.3.0)
P plotly 4.10.4 2024-01-13 [?] RSPM (R 4.3.0)
P plyr 1.8.9 2023-10-02 [?] RSPM (R 4.3.0)
P png 0.1-8 2022-11-29 [?] RSPM (R 4.3.0)
P polyclip 1.10-6 2023-09-27 [?] RSPM (R 4.3.0)
P preprocessCore 1.64.0 2023-10-26 [?] Bioconductor
P processx 3.8.3 2023-12-10 [?] RSPM (R 4.3.0)
P progressr 0.14.0 2023-08-10 [?] RSPM (R 4.3.0)
P promises 1.2.1 2023-08-10 [?] RSPM (R 4.3.0)
P ps 1.7.6 2024-01-18 [?] RSPM (R 4.3.0)
P purrr * 1.0.2 2023-08-10 [?] RSPM (R 4.3.0)
P R6 2.5.1 2021-08-19 [?] RSPM (R 4.3.0)
P RANN 2.6.1 2019-01-08 [?] RSPM (R 4.3.0)
P RColorBrewer 1.1-3 2022-04-03 [?] RSPM (R 4.3.0)
P Rcpp 1.0.12 2024-01-09 [?] RSPM (R 4.3.0)
P RcppAnnoy 0.0.22 2024-01-23 [?] RSPM (R 4.3.0)
P RCurl 1.98-1.14 2024-01-09 [?] RSPM (R 4.3.0)
P readr * 2.1.5 2024-01-10 [?] RSPM (R 4.3.0)
P rematch2 2.1.2 2020-05-01 [?] RSPM (R 4.3.0)
renv 1.0.3 2023-09-19 [1] CRAN (R 4.3.1)
P reshape2 1.4.4 2020-04-09 [?] RSPM (R 4.3.0)
P reticulate 1.35.0 2024-01-31 [?] RSPM (R 4.3.0)
P rjson 0.2.21 2022-01-09 [?] RSPM (R 4.3.0)
P rlang 1.1.3 2024-01-10 [?] RSPM (R 4.3.0)
P rmarkdown 2.25 2023-09-18 [?] RSPM (R 4.3.0)
P ROCR 1.0-11 2020-05-02 [?] RSPM (R 4.3.0)
P rpart 4.1.23 2023-12-05 [?] CRAN (R 4.3.1)
P rprojroot 2.0.4 2023-11-05 [?] RSPM (R 4.3.0)
P RSQLite 2.3.5 2024-01-21 [?] RSPM (R 4.3.0)
P rstudioapi 0.15.0 2023-07-07 [?] RSPM (R 4.3.0)
P Rtsne 0.17 2023-12-07 [?] RSPM (R 4.3.0)
P S4Arrays 1.2.0 2023-10-26 [?] Bioconductor
P S4Vectors * 0.40.2 2023-11-25 [?] Bioconductor 3.18 (R 4.3.2)
P sass 0.4.8 2023-12-06 [?] RSPM (R 4.3.0)
P scales 1.3.0 2023-11-28 [?] RSPM (R 4.3.0)
P scattermore 1.2 2023-06-12 [?] RSPM (R 4.3.0)
P sctransform 0.4.1 2023-10-19 [?] RSPM (R 4.3.0)
P sessioninfo 1.2.2 2021-12-06 [?] RSPM (R 4.3.0)
P Seurat * 4.4.0 2023-09-28 [?] RSPM (R 4.3.2)
P SeuratObject * 4.1.4 2023-09-26 [?] RSPM (R 4.3.2)
P shape 1.4.6 2021-05-19 [?] RSPM (R 4.3.0)
P shiny 1.8.0 2023-11-17 [?] RSPM (R 4.3.0)
P SingleCellExperiment * 1.24.0 2023-11-06 [?] Bioconductor
P sp 2.1-3 2024-01-30 [?] RSPM (R 4.3.0)
P SparseArray 1.2.4 2024-02-10 [?] Bioconductor 3.18 (R 4.3.2)
P spatstat.data 3.0-4 2024-01-15 [?] RSPM (R 4.3.0)
P spatstat.explore 3.2-6 2024-02-01 [?] RSPM (R 4.3.0)
P spatstat.geom 3.2-8 2024-01-26 [?] RSPM (R 4.3.0)
P spatstat.random 3.2-2 2023-11-29 [?] RSPM (R 4.3.0)
P spatstat.sparse 3.0-3 2023-10-24 [?] RSPM (R 4.3.0)
P spatstat.utils 3.0-4 2023-10-24 [?] RSPM (R 4.3.0)
P speckle * 1.2.0 2023-10-26 [?] Bioconductor
P statmod 1.5.0 2023-01-06 [?] RSPM (R 4.3.0)
P stringi 1.8.3 2023-12-11 [?] RSPM (R 4.3.0)
P stringr * 1.5.1 2023-11-14 [?] RSPM (R 4.3.0)
P SummarizedExperiment * 1.32.0 2023-11-06 [?] Bioconductor
P survival 3.5-8 2024-02-14 [?] CRAN (R 4.3.1)
P tensor 1.5 2012-05-05 [?] RSPM (R 4.3.0)
P tibble * 3.2.1 2023-03-20 [?] RSPM (R 4.3.0)
P tidygraph 1.3.1 2024-01-30 [?] RSPM (R 4.3.0)
P tidyHeatmap * 1.8.1 2022-05-20 [?] RSPM (R 4.3.2)
P tidyr * 1.3.1 2024-01-24 [?] RSPM (R 4.3.0)
P tidyselect 1.2.0 2022-10-10 [?] RSPM (R 4.3.0)
P tidyverse * 2.0.0 2023-02-22 [?] RSPM (R 4.3.0)
P timechange 0.3.0 2024-01-18 [?] RSPM (R 4.3.0)
P tweenr 2.0.3 2024-02-26 [?] RSPM (R 4.3.0)
P tzdb 0.4.0 2023-05-12 [?] RSPM (R 4.3.0)
P utf8 1.2.4 2023-10-22 [?] RSPM (R 4.3.0)
P uwot 0.1.16 2023-06-29 [?] RSPM (R 4.3.0)
P vctrs 0.6.5 2023-12-01 [?] RSPM (R 4.3.0)
P viridis 0.6.5 2024-01-29 [?] RSPM (R 4.3.0)
P viridisLite 0.4.2 2023-05-02 [?] RSPM (R 4.3.0)
P WGCNA 1.72-5 2023-12-07 [?] RSPM (R 4.3.2)
P whisker 0.4.1 2022-12-05 [?] RSPM (R 4.3.0)
P withr 3.0.0 2024-01-16 [?] RSPM (R 4.3.0)
P workflowr * 1.7.1 2023-08-23 [?] RSPM (R 4.3.2)
P xfun 0.42 2024-02-08 [?] RSPM (R 4.3.0)
P xtable 1.8-4 2019-04-21 [?] RSPM (R 4.3.0)
P XVector 0.42.0 2023-10-26 [?] Bioconductor
P yaml 2.3.8 2023-12-11 [?] RSPM (R 4.3.0)
P zlibbioc 1.48.0 2023-10-26 [?] Bioconductor
P zoo 1.8-12 2023-04-13 [?] RSPM (R 4.3.0)
[1] /Users/maksimovicjovana/Work/Projects/MCRI/melanie.neeland/paed-inflammation-CITEseq/renv/library/R-4.3/aarch64-apple-darwin20
[2] /Users/maksimovicjovana/Library/Caches/org.R-project.R/R/renv/sandbox/R-4.3/aarch64-apple-darwin20/ac5c2659
P ── Loaded and on-disk path mismatch.
──────────────────────────────────────────────────────────────────────────────
sessionInfo()
R version 4.3.2 (2023-10-31)
Platform: aarch64-apple-darwin20 (64-bit)
Running under: macOS Sonoma 14.5
Matrix products: default
BLAS: /Library/Frameworks/R.framework/Versions/4.3-arm64/Resources/lib/libRblas.0.dylib
LAPACK: /Library/Frameworks/R.framework/Versions/4.3-arm64/Resources/lib/libRlapack.dylib; LAPACK version 3.11.0
locale:
[1] en_US.UTF-8/en_US.UTF-8/en_US.UTF-8/C/en_US.UTF-8/en_US.UTF-8
time zone: Australia/Melbourne
tzcode source: internal
attached base packages:
[1] stats4 stats graphics grDevices datasets utils methods
[8] base
other attached packages:
[1] here_1.0.1 tidyHeatmap_1.8.1
[3] paletteer_1.6.0 patchwork_1.2.0
[5] speckle_1.2.0 glue_1.7.0
[7] org.Hs.eg.db_3.18.0 AnnotationDbi_1.64.1
[9] clustree_0.5.1 ggraph_2.2.0
[11] dittoSeq_1.14.2 glmGamPoi_1.14.3
[13] SeuratObject_4.1.4 Seurat_4.4.0
[15] lubridate_1.9.3 forcats_1.0.0
[17] stringr_1.5.1 dplyr_1.1.4
[19] purrr_1.0.2 readr_2.1.5
[21] tidyr_1.3.1 tibble_3.2.1
[23] ggplot2_3.5.0 tidyverse_2.0.0
[25] edgeR_4.0.15 limma_3.58.1
[27] SingleCellExperiment_1.24.0 SummarizedExperiment_1.32.0
[29] Biobase_2.62.0 GenomicRanges_1.54.1
[31] GenomeInfoDb_1.38.6 IRanges_2.36.0
[33] S4Vectors_0.40.2 BiocGenerics_0.48.1
[35] MatrixGenerics_1.14.0 matrixStats_1.2.0
[37] workflowr_1.7.1
loaded via a namespace (and not attached):
[1] fs_1.6.3 spatstat.sparse_3.0-3 bitops_1.0-7
[4] httr_1.4.7 RColorBrewer_1.1-3 doParallel_1.0.17
[7] dynamicTreeCut_1.63-1 backports_1.4.1 tools_4.3.2
[10] sctransform_0.4.1 utf8_1.2.4 R6_2.5.1
[13] lazyeval_0.2.2 uwot_0.1.16 GetoptLong_1.0.5
[16] withr_3.0.0 sp_2.1-3 gridExtra_2.3
[19] preprocessCore_1.64.0 progressr_0.14.0 WGCNA_1.72-5
[22] cli_3.6.2 spatstat.explore_3.2-6 labeling_0.4.3
[25] sass_0.4.8 spatstat.data_3.0-4 ggridges_0.5.6
[28] pbapply_1.7-2 foreign_0.8-86 sessioninfo_1.2.2
[31] parallelly_1.37.0 impute_1.76.0 rstudioapi_0.15.0
[34] RSQLite_2.3.5 generics_0.1.3 shape_1.4.6
[37] ica_1.0-3 spatstat.random_3.2-2 dendextend_1.17.1
[40] GO.db_3.18.0 Matrix_1.6-5 fansi_1.0.6
[43] abind_1.4-5 lifecycle_1.0.4 whisker_0.4.1
[46] yaml_2.3.8 SparseArray_1.2.4 Rtsne_0.17
[49] grid_4.3.2 blob_1.2.4 promises_1.2.1
[52] crayon_1.5.2 miniUI_0.1.1.1 lattice_0.22-6
[55] cowplot_1.1.3 KEGGREST_1.42.0 pillar_1.9.0
[58] knitr_1.45 ComplexHeatmap_2.18.0 rjson_0.2.21
[61] future.apply_1.11.1 codetools_0.2-20 leiden_0.4.3.1
[64] getPass_0.2-4 data.table_1.15.0 vctrs_0.6.5
[67] png_0.1-8 gtable_0.3.4 rematch2_2.1.2
[70] cachem_1.0.8 xfun_0.42 S4Arrays_1.2.0
[73] mime_0.12 tidygraph_1.3.1 survival_3.5-8
[76] pheatmap_1.0.12 iterators_1.0.14 statmod_1.5.0
[79] ellipsis_0.3.2 fitdistrplus_1.1-11 ROCR_1.0-11
[82] nlme_3.1-164 bit64_4.0.5 RcppAnnoy_0.0.22
[85] rprojroot_2.0.4 bslib_0.6.1 irlba_2.3.5.1
[88] rpart_4.1.23 KernSmooth_2.23-22 Hmisc_5.1-1
[91] colorspace_2.1-0 DBI_1.2.1 nnet_7.3-19
[94] tidyselect_1.2.0 processx_3.8.3 bit_4.0.5
[97] compiler_4.3.2 git2r_0.33.0 htmlTable_2.4.2
[100] DelayedArray_0.28.0 plotly_4.10.4 checkmate_2.3.1
[103] scales_1.3.0 lmtest_0.9-40 callr_3.7.3
[106] digest_0.6.34 goftest_1.2-3 spatstat.utils_3.0-4
[109] rmarkdown_2.25 XVector_0.42.0 base64enc_0.1-3
[112] htmltools_0.5.7 pkgconfig_2.0.3 highr_0.10
[115] fastmap_1.1.1 rlang_1.1.3 GlobalOptions_0.1.2
[118] htmlwidgets_1.6.4 shiny_1.8.0 farver_2.1.1
[121] jquerylib_0.1.4 zoo_1.8-12 jsonlite_1.8.8
[124] RCurl_1.98-1.14 magrittr_2.0.3 Formula_1.2-5
[127] GenomeInfoDbData_1.2.11 munsell_0.5.0 Rcpp_1.0.12
[130] viridis_0.6.5 reticulate_1.35.0 stringi_1.8.3
[133] zlibbioc_1.48.0 MASS_7.3-60.0.1 plyr_1.8.9
[136] parallel_4.3.2 listenv_0.9.1 ggrepel_0.9.5
[139] deldir_2.0-2 Biostrings_2.70.2 graphlayouts_1.1.0
[142] splines_4.3.2 tensor_1.5 hms_1.1.3
[145] circlize_0.4.15 locfit_1.5-9.8 ps_1.7.6
[148] fastcluster_1.2.6 igraph_2.0.1.1 spatstat.geom_3.2-8
[151] reshape2_1.4.4 evaluate_0.23 renv_1.0.3
[154] BiocManager_1.30.22 tzdb_0.4.0 foreach_1.5.2
[157] tweenr_2.0.3 httpuv_1.6.14 RANN_2.6.1
[160] polyclip_1.10-6 future_1.33.1 clue_0.3-65
[163] scattermore_1.2 ggforce_0.4.2 xtable_1.8-4
[166] later_1.3.2 viridisLite_0.4.2 memoise_2.0.1
[169] cluster_2.1.6 timechange_0.3.0 globals_0.16.2