Last updated: 2024-09-10

Checks: 7 0

Knit directory: paed-inflammation-CITEseq/

This reproducible R Markdown analysis was created with workflowr (version 1.7.1). The Checks tab describes the reproducibility checks that were applied when the results were created. The Past versions tab lists the development history.


Great! Since the R Markdown file has been committed to the Git repository, you know the exact version of the code that produced these results.

Great job! The global environment was empty. Objects defined in the global environment can affect the analysis in your R Markdown file in unknown ways. For reproduciblity it’s best to always run the code in an empty environment.

The command set.seed(20240216) was run prior to running the code in the R Markdown file. Setting a seed ensures that any results that rely on randomness, e.g. subsampling or permutations, are reproducible.

Great job! Recording the operating system, R version, and package versions is critical for reproducibility.

Nice! There were no cached chunks for this analysis, so you can be confident that you successfully produced the results during this run.

Great job! Using relative paths to the files within your workflowr project makes it easier to run your code on other machines.

Great! You are using Git for version control. Tracking code development and connecting the code version to the results is critical for reproducibility.

The results in this page were generated with repository version 9a02edf. See the Past versions tab to see a history of the changes made to the R Markdown and HTML files.

Note that you need to be careful to ensure that all relevant files for the analysis have been committed to Git prior to generating the results (you can use wflow_publish or wflow_git_commit). workflowr only checks the R Markdown file, but you know if there are other scripts or data files that it depends on. Below is the status of the Git repository when the results were generated:


Ignored files:
    Ignored:    .Rhistory
    Ignored:    .Rproj.user/
    Ignored:    data/C133_Neeland_batch1/
    Ignored:    data/C133_Neeland_merged/
    Ignored:    renv/library/
    Ignored:    renv/staging/

Untracked files:
    Untracked:  analysis/13.0_DGE_analysis_macro-alveolar_cells_CF-only-samples_OLD.Rmd
    Untracked:  analysis/13.1_DGE_analysis_macro-alveolar_cells_CF-vs-control-samples_OLD.Rmd
    Untracked:  analysis/13.3_DGE_analysis_macro-monocyte-derived_CF-only-samples_OLD.Rmd
    Untracked:  analysis/13.4_DGE_analysis_macro-monocyte-derived_CF-vs-control-samples_OLD.Rmd
    Untracked:  analysis/14.1_proportions_analysis_ann_level_3_non-macrophages.Rmd
    Untracked:  analysis/14.2_proportions_analysis_ann_level_3_macrophages.Rmd
    Untracked:  analysis/15.0_integrate_all_cells.Rmd

Unstaged changes:
    Modified:   analysis/09.0_integrate_cluster_macro_cells.Rmd
    Modified:   analysis/11.0_manual_annotations_t_cells_decontx.Rmd
    Modified:   analysis/12.0_manual_annotations_other_cells.Rmd
    Deleted:    analysis/14.0_proportions_analysis_broad.Rmd
    Deleted:    analysis/14.1_proportions_analysis_fine.Rmd
    Deleted:    analysis/14.2_proportions_analysis_macrophages.Rmd
    Modified:   data/cluster_annotations/T-NK_ambientRNAremoval_21.03.24.xlsx
    Modified:   data/cluster_annotations/others_ambientRNAremoval_21.03.24.xlsx
    Modified:   data/cluster_annotations/seurat_markers_TNK_cells.rds
    Modified:   data/cluster_annotations/seurat_markers_other_cells.rds

Note that any generated files, e.g. HTML, png, CSS, etc., are not included in this status report because it is ok for generated content to have uncommitted changes.


These are the previous versions of the repository in which changes were made to the R Markdown (analysis/14.0_proportions_analysis_ann_level_1.Rmd) and HTML (docs/14.0_proportions_analysis_ann_level_1.html) files. If you’ve configured a remote Git repository (see ?wflow_git_remote), click on the hyperlinks in the table below to view the files as they were in that past version.

File Version Author Date Message
Rmd 9a02edf Jovana Maksimovic 2024-09-10 wflow_publish("analysis/14.0_proportions_analysis_ann_level_1.Rmd")

Load libraries

suppressPackageStartupMessages({
  library(SingleCellExperiment)
  library(edgeR)
  library(tidyverse)
  library(ggplot2)
  library(Seurat)
  library(glmGamPoi)
  library(dittoSeq)
  library(clustree)
  library(AnnotationDbi)
  library(org.Hs.eg.db)
  library(glue)
  library(speckle)
  library(patchwork)
  library(paletteer)
  library(tidyHeatmap)
  library(here)
})

set.seed(42)
options(scipen=999)
options(future.globals.maxSize = 6500 * 1024^2)

Load Data

files <- list.files(here("data/C133_Neeland_merged"),
                    pattern = "C133_Neeland_full_clean.*(macrophages|t_cells|other_cells)_annotated_diet.SEU.rds",
                    full.names = TRUE)

seuLst <- lapply(files[2:4], function(f) readRDS(f))

# seuLst[1:2] <- lapply(seuLst[1:2], function(s){
#   s@meta.data %>%
#     mutate(ann_level_2 = Annotation) %>%
#     dplyr::rename("ann_level_1" = "Broad",
#                   "ann_level_3" = "Annotation") -> s@meta.data
#   s
# })

seu <- merge(seuLst[[1]], 
             y = c(seuLst[[2]], 
                   seuLst[[3]]))
seu
An object of class Seurat 
21568 features across 194407 samples within 1 assay 
Active assay: RNA (21568 features, 0 variable features)
             used    (Mb) gc trigger    (Mb)   max used    (Mb)
Ncells   12079525   645.2   20478437  1093.7   13853513   739.9
Vcells 1354150807 10331.4 3693733684 28181.0 3551484622 27095.7

Analyse Cell type proportions

# Differences in cell type proportions
props <- getTransformedProps(clusters = seu$ann_level_1,
                             sample = seu$sample.id, transform="asin")
props$Proportions %>% knitr::kable()
sample_1.1 sample_15.1 sample_16.1 sample_17.1 sample_18.1 sample_19.1 sample_2.1 sample_20.1 sample_21.1 sample_22.1 sample_23.1 sample_24.1 sample_25.1 sample_26.1 sample_27.1 sample_28.1 sample_29.1 sample_3.1 sample_30.1 sample_31.1 sample_32.1 sample_33.1 sample_34.1 sample_34.2 sample_34.3 sample_35.1 sample_35.2 sample_36.1 sample_36.2 sample_37.1 sample_37.2 sample_37.3 sample_38.1 sample_38.2 sample_38.3 sample_39.1 sample_39.2 sample_4.1 sample_40.1 sample_41.1 sample_42.1 sample_43.1 sample_5.1 sample_6.1 sample_7.1
B cells 0.0223723 0.0071704 0.0018883 0.0428725 0.0015235 0.0023866 0.0950689 0.0017933 0.0095134 0.0023447 0.2436149 0.0057254 0.0027506 0.0122549 0.0020268 0.0006984 0.0918367 0.0119505 0.0064935 0.0041667 0.0027000 0.0607761 0.0026738 0.0000000 0.0016584 0.0181452 0.0081239 0.0304653 0.0502624 0.0069589 0.0124824 0.0105605 0.0048374 0.0058787 0.0356175 0.0434431 0.0275087 0.0096690 0.1603532 0.0202830 0.0107823 0.0427193 0.0181922 0.0046205 0.0282528
CD4 T cells 0.0092866 0.0275786 0.0129485 0.0176849 0.0082267 0.0023866 0.0364283 0.0087101 0.0192097 0.0082063 0.1650295 0.0262504 0.0174205 0.0323529 0.0133766 0.0060064 0.0299745 0.0061886 0.1911977 0.0722222 0.0155248 0.1547452 0.0113636 0.0051207 0.0035537 0.0173387 0.0164368 0.0113827 0.0425297 0.0153097 0.0163076 0.0268075 0.0056436 0.0102104 0.0274874 0.0250944 0.0585045 0.0106607 0.1119339 0.0521226 0.0361976 0.0390446 0.0801592 0.0137671 0.0381306
CD8 T cells 0.0063318 0.0295091 0.0283248 0.0353698 0.0164534 0.0011933 0.0510884 0.0098629 0.0179290 0.0095252 0.1277014 0.0310036 0.0134474 0.0308824 0.0267531 0.0153653 0.0586735 0.0091763 0.0977633 0.0949074 0.0175498 0.1280972 0.0100267 0.0029261 0.0052120 0.0203629 0.0102022 0.0033478 0.0248550 0.0146138 0.0074492 0.0199025 0.0037624 0.0049505 0.0251645 0.0070157 0.0730337 0.0254122 0.0780404 0.0662736 0.0866982 0.1748966 0.0949403 0.0271570 0.0380244
DC cells 0.0097087 0.0184777 0.0037766 0.0391211 0.0173675 0.0055688 0.0017770 0.0067888 0.0080498 0.0016120 0.0628684 0.0398617 0.0201711 0.0230392 0.0162140 0.0065652 0.0440051 0.0147247 0.0497835 0.0157407 0.0121498 0.0719963 0.0788770 0.0643745 0.0322199 0.0219758 0.0251275 0.0348175 0.0544049 0.0073069 0.0062412 0.0048741 0.0010750 0.0024752 0.0081301 0.0232056 0.0350639 0.0126441 0.0185132 0.0570755 0.0064914 0.0705099 0.0204662 0.0045262 0.0059480
dividing innate cells 0.0000000 0.0002758 0.0002698 0.0024116 0.0006094 0.0003978 0.0093292 0.0002562 0.0000000 0.0000000 0.0108055 0.0012963 0.0006112 0.0000000 0.0000000 0.0001397 0.0031888 0.0006402 0.0003608 0.0000000 0.0003375 0.0032726 0.0013369 0.0000000 0.0002369 0.0002016 0.0001889 0.0016739 0.0008285 0.0000000 0.0000000 0.0004062 0.0000000 0.0003094 0.0011614 0.0035078 0.0017435 0.0006198 0.0034178 0.0023585 0.0003301 0.0026412 0.0000000 0.0000000 0.0001062
epithelial cells 0.0426340 0.0132377 0.0005395 0.0032154 0.0053321 0.0019889 0.1537095 0.0043551 0.0104281 0.0038101 0.2092338 0.0034568 0.0006112 0.0034314 0.0275638 0.0006984 0.0446429 0.0017072 0.0010823 0.0018519 0.0000000 0.0219729 0.0093583 0.0087783 0.0037906 0.0094758 0.0094464 0.0077000 0.0038663 0.0076548 0.0020133 0.0052803 0.0016125 0.0018564 0.0154859 0.0029682 0.0069740 0.0032230 0.0287667 0.0188679 0.0083618 0.0096463 0.0062536 0.0012258 0.0011683
gamma delta T cells 0.0000000 0.0005516 0.0008093 0.0008039 0.0003047 0.0000000 0.0000000 0.0003843 0.0007318 0.0000000 0.0000000 0.0003241 0.0006112 0.0004902 0.0012161 0.0001397 0.0000000 0.0000000 0.0223665 0.0064815 0.0003375 0.0014025 0.0000000 0.0000000 0.0000000 0.0002016 0.0000000 0.0003348 0.0000000 0.0010438 0.0000000 0.0000000 0.0000000 0.0003094 0.0038715 0.0002698 0.0027121 0.0000000 0.0133865 0.0025943 0.0027506 0.0014929 0.0005685 0.0000000 0.0009559
innate lymphocyte 0.0029548 0.0353006 0.0045859 0.0077706 0.0039610 0.0023866 0.0075522 0.0019214 0.0012806 0.0038101 0.0245580 0.0046451 0.0058068 0.0083333 0.0044589 0.0006984 0.0082908 0.0014938 0.0339105 0.0129630 0.0006750 0.0144928 0.0006684 0.0007315 0.0016584 0.0036290 0.0039675 0.0006696 0.0138083 0.0013918 0.0018120 0.0020309 0.0002687 0.0003094 0.0046458 0.0010793 0.0048431 0.0047105 0.0179436 0.0158019 0.0366377 0.0142398 0.0136441 0.0071664 0.0023367
macrophages 0.8518362 0.8019857 0.9072026 0.7607181 0.8740098 0.9240255 0.6010662 0.9126425 0.8940724 0.9422626 0.1070727 0.7980987 0.8719438 0.8401961 0.8479935 0.9353262 0.6696429 0.9026889 0.5313853 0.7277778 0.8876139 0.4684432 0.8288770 0.8580834 0.8995499 0.8252016 0.8730399 0.7937730 0.7321182 0.9060543 0.8969197 0.9102356 0.9180328 0.9260520 0.8180410 0.8345926 0.7268501 0.8098426 0.5351752 0.7023585 0.7680713 0.5799265 0.7072200 0.8938237 0.8326075
mast cells 0.0000000 0.0000000 0.0000000 0.0005359 0.0001523 0.0000000 0.0008885 0.0000000 0.0000000 0.0000000 0.0098232 0.0001080 0.0012225 0.0014706 0.0008107 0.0000000 0.0063776 0.0000000 0.0007215 0.0023148 0.0000000 0.0112202 0.0000000 0.0000000 0.0004738 0.0004032 0.0003779 0.0010044 0.0000000 0.0000000 0.0000000 0.0004062 0.0002687 0.0000000 0.0007743 0.0002698 0.0001937 0.0021074 0.0000000 0.0000000 0.0000000 0.0000000 0.0005685 0.0000000 0.0000000
monocytes 0.0113972 0.0013789 0.0013488 0.0200965 0.0195003 0.0023866 0.0035540 0.0044832 0.0012806 0.0013189 0.0098232 0.0468834 0.0097800 0.0127451 0.0097284 0.0108954 0.0114796 0.0134443 0.0119048 0.0087963 0.0155248 0.0107527 0.0106952 0.0065838 0.0073442 0.0217742 0.0171925 0.0133914 0.0265120 0.0059151 0.0094625 0.0064988 0.0037624 0.0046411 0.0061943 0.0218564 0.0240217 0.1063592 0.0005696 0.0073113 0.0061613 0.0297428 0.0187607 0.0086752 0.0065852
neutrophils 0.0000000 0.0000000 0.0000000 0.0056270 0.0012188 0.0000000 0.0000000 0.0001281 0.0000000 0.0000000 0.0108055 0.0006482 0.0003056 0.0014706 0.0000000 0.0004191 0.0063776 0.0004268 0.0010823 0.0013889 0.0006750 0.0229079 0.0033422 0.0051207 0.0021322 0.0022177 0.0005668 0.0549046 0.0035902 0.0003479 0.0004027 0.0012185 0.0000000 0.0003094 0.0000000 0.0089045 0.0092987 0.0004958 0.0079749 0.0025943 0.0004401 0.0008039 0.0000000 0.0000000 0.0000000
NK cells 0.0046433 0.0085494 0.0051254 0.0058950 0.0036563 0.0000000 0.0026655 0.0014090 0.0020124 0.0011723 0.0157171 0.0016204 0.0015281 0.0014706 0.0008107 0.0000000 0.0044643 0.0014938 0.0266955 0.0060185 0.0016875 0.0079476 0.0020053 0.0000000 0.0002369 0.0020161 0.0011336 0.0010044 0.0033140 0.0003479 0.0004027 0.0012185 0.0013437 0.0006188 0.0011614 0.0000000 0.0019372 0.0019834 0.0136713 0.0089623 0.0066014 0.0062012 0.0068221 0.0005658 0.0098779
NK-T cells 0.0000000 0.0041368 0.0002698 0.0005359 0.0001523 0.0000000 0.0013327 0.0002562 0.0005488 0.0001465 0.0019646 0.0000000 0.0003056 0.0014706 0.0000000 0.0001397 0.0012755 0.0002134 0.0014430 0.0000000 0.0000000 0.0014025 0.0000000 0.0000000 0.0000000 0.0004032 0.0011336 0.0000000 0.0005523 0.0003479 0.0000000 0.0000000 0.0000000 0.0000000 0.0000000 0.0000000 0.0007749 0.0000000 0.0019937 0.0002358 0.0004401 0.0009187 0.0005685 0.0000943 0.0009559
proliferating macrophages 0.0367244 0.0493657 0.0321014 0.0560021 0.0467703 0.0572792 0.0310973 0.0462406 0.0332967 0.0247655 0.0000000 0.0392136 0.0531785 0.0303922 0.0490474 0.0222098 0.0197704 0.0354247 0.0151515 0.0444444 0.0445494 0.0187003 0.0407754 0.0475494 0.0414594 0.0556452 0.0317400 0.0451958 0.0425297 0.0320111 0.0457016 0.0097482 0.0588551 0.0411510 0.0514905 0.0275229 0.0236343 0.0115284 0.0065508 0.0422170 0.0259655 0.0264125 0.0278567 0.0375295 0.0333510
proliferating T/NK 0.0021106 0.0024821 0.0008093 0.0013398 0.0007617 0.0000000 0.0044425 0.0007685 0.0016465 0.0010258 0.0009823 0.0008642 0.0003056 0.0000000 0.0000000 0.0006984 0.0000000 0.0004268 0.0086580 0.0009259 0.0006750 0.0018700 0.0000000 0.0007315 0.0004738 0.0010081 0.0013225 0.0003348 0.0008285 0.0006959 0.0008053 0.0008123 0.0005375 0.0009282 0.0007743 0.0002698 0.0029059 0.0007438 0.0017089 0.0009434 0.0040709 0.0008039 0.0039795 0.0008487 0.0016994

Cell type proportions by sample

props$Proportions %>%
  data.frame %>%
  inner_join(seu@meta.data %>%
               dplyr::select(sample.id, 
                             Disease,
                             Treatment,
                             Severity,
                             Group,
                             Batch, 
                             Age, 
                             Sex), 
             by = c("sample" = "sample.id")) %>%
  distinct()-> dat

ggplot(dat, aes(x = sample, y = Freq, fill = clusters)) +
  geom_bar(stat = "identity", color = "black", size = 0.1) +
  theme(axis.text.x = element_text(angle = 90,
                                   vjust = 0.5,
                                   hjust = 1),
        legend.text = element_text(size = 8),
        legend.position = "bottom") +
  labs(y = "Proportion", fill = "Cell Label") +
  scale_fill_paletteer_d("miscpalettes::pastel", direction = 1) +
  facet_grid(~Group, scales = "free_x", space = "free_x")

No. cells per sample

props$Counts %>%
  data.frame %>%
  inner_join(seu@meta.data %>%
               dplyr::select(sample.id, 
                             Disease,
                             Treatment,
                             Severity, 
                             Group,
                             Batch, 
                             Age, 
                             Sex), 
             by = c("sample" = "sample.id")) %>%
  distinct() -> dat

ggplot(dat, aes(x = sample, y = Freq, fill = Disease)) +
  geom_bar(stat = "identity") +
  theme(axis.text.x = element_text(angle = 90,
                                   vjust = 0.5,
                                   hjust = 1),
        legend.text = element_text(size = 8),
        legend.position = "bottom") +
  labs(y = "No. cells", fill = "Disease") +
  facet_grid(~Group, scales = "free_x", space = "free_x") +
  geom_hline(yintercept = 1000, linetype = "dashed")

Remove sample with too few cells.

seu <- subset(seu, cells = which(!seu$sample.id %in% c("sample_23.1")))

# Differences in cell type proportions
props <- getTransformedProps(clusters = seu$ann_level_1,
                             sample = seu$sample.id, transform="asin")
props$Proportions %>% knitr::kable()
sample_1.1 sample_15.1 sample_16.1 sample_17.1 sample_18.1 sample_19.1 sample_2.1 sample_20.1 sample_21.1 sample_22.1 sample_24.1 sample_25.1 sample_26.1 sample_27.1 sample_28.1 sample_29.1 sample_3.1 sample_30.1 sample_31.1 sample_32.1 sample_33.1 sample_34.1 sample_34.2 sample_34.3 sample_35.1 sample_35.2 sample_36.1 sample_36.2 sample_37.1 sample_37.2 sample_37.3 sample_38.1 sample_38.2 sample_38.3 sample_39.1 sample_39.2 sample_4.1 sample_40.1 sample_41.1 sample_42.1 sample_43.1 sample_5.1 sample_6.1 sample_7.1
B cells 0.0223723 0.0071704 0.0018883 0.0428725 0.0015235 0.0023866 0.0950689 0.0017933 0.0095134 0.0023447 0.0057254 0.0027506 0.0122549 0.0020268 0.0006984 0.0918367 0.0119505 0.0064935 0.0041667 0.0027000 0.0607761 0.0026738 0.0000000 0.0016584 0.0181452 0.0081239 0.0304653 0.0502624 0.0069589 0.0124824 0.0105605 0.0048374 0.0058787 0.0356175 0.0434431 0.0275087 0.0096690 0.1603532 0.0202830 0.0107823 0.0427193 0.0181922 0.0046205 0.0282528
CD4 T cells 0.0092866 0.0275786 0.0129485 0.0176849 0.0082267 0.0023866 0.0364283 0.0087101 0.0192097 0.0082063 0.0262504 0.0174205 0.0323529 0.0133766 0.0060064 0.0299745 0.0061886 0.1911977 0.0722222 0.0155248 0.1547452 0.0113636 0.0051207 0.0035537 0.0173387 0.0164368 0.0113827 0.0425297 0.0153097 0.0163076 0.0268075 0.0056436 0.0102104 0.0274874 0.0250944 0.0585045 0.0106607 0.1119339 0.0521226 0.0361976 0.0390446 0.0801592 0.0137671 0.0381306
CD8 T cells 0.0063318 0.0295091 0.0283248 0.0353698 0.0164534 0.0011933 0.0510884 0.0098629 0.0179290 0.0095252 0.0310036 0.0134474 0.0308824 0.0267531 0.0153653 0.0586735 0.0091763 0.0977633 0.0949074 0.0175498 0.1280972 0.0100267 0.0029261 0.0052120 0.0203629 0.0102022 0.0033478 0.0248550 0.0146138 0.0074492 0.0199025 0.0037624 0.0049505 0.0251645 0.0070157 0.0730337 0.0254122 0.0780404 0.0662736 0.0866982 0.1748966 0.0949403 0.0271570 0.0380244
DC cells 0.0097087 0.0184777 0.0037766 0.0391211 0.0173675 0.0055688 0.0017770 0.0067888 0.0080498 0.0016120 0.0398617 0.0201711 0.0230392 0.0162140 0.0065652 0.0440051 0.0147247 0.0497835 0.0157407 0.0121498 0.0719963 0.0788770 0.0643745 0.0322199 0.0219758 0.0251275 0.0348175 0.0544049 0.0073069 0.0062412 0.0048741 0.0010750 0.0024752 0.0081301 0.0232056 0.0350639 0.0126441 0.0185132 0.0570755 0.0064914 0.0705099 0.0204662 0.0045262 0.0059480
dividing innate cells 0.0000000 0.0002758 0.0002698 0.0024116 0.0006094 0.0003978 0.0093292 0.0002562 0.0000000 0.0000000 0.0012963 0.0006112 0.0000000 0.0000000 0.0001397 0.0031888 0.0006402 0.0003608 0.0000000 0.0003375 0.0032726 0.0013369 0.0000000 0.0002369 0.0002016 0.0001889 0.0016739 0.0008285 0.0000000 0.0000000 0.0004062 0.0000000 0.0003094 0.0011614 0.0035078 0.0017435 0.0006198 0.0034178 0.0023585 0.0003301 0.0026412 0.0000000 0.0000000 0.0001062
epithelial cells 0.0426340 0.0132377 0.0005395 0.0032154 0.0053321 0.0019889 0.1537095 0.0043551 0.0104281 0.0038101 0.0034568 0.0006112 0.0034314 0.0275638 0.0006984 0.0446429 0.0017072 0.0010823 0.0018519 0.0000000 0.0219729 0.0093583 0.0087783 0.0037906 0.0094758 0.0094464 0.0077000 0.0038663 0.0076548 0.0020133 0.0052803 0.0016125 0.0018564 0.0154859 0.0029682 0.0069740 0.0032230 0.0287667 0.0188679 0.0083618 0.0096463 0.0062536 0.0012258 0.0011683
gamma delta T cells 0.0000000 0.0005516 0.0008093 0.0008039 0.0003047 0.0000000 0.0000000 0.0003843 0.0007318 0.0000000 0.0003241 0.0006112 0.0004902 0.0012161 0.0001397 0.0000000 0.0000000 0.0223665 0.0064815 0.0003375 0.0014025 0.0000000 0.0000000 0.0000000 0.0002016 0.0000000 0.0003348 0.0000000 0.0010438 0.0000000 0.0000000 0.0000000 0.0003094 0.0038715 0.0002698 0.0027121 0.0000000 0.0133865 0.0025943 0.0027506 0.0014929 0.0005685 0.0000000 0.0009559
innate lymphocyte 0.0029548 0.0353006 0.0045859 0.0077706 0.0039610 0.0023866 0.0075522 0.0019214 0.0012806 0.0038101 0.0046451 0.0058068 0.0083333 0.0044589 0.0006984 0.0082908 0.0014938 0.0339105 0.0129630 0.0006750 0.0144928 0.0006684 0.0007315 0.0016584 0.0036290 0.0039675 0.0006696 0.0138083 0.0013918 0.0018120 0.0020309 0.0002687 0.0003094 0.0046458 0.0010793 0.0048431 0.0047105 0.0179436 0.0158019 0.0366377 0.0142398 0.0136441 0.0071664 0.0023367
macrophages 0.8518362 0.8019857 0.9072026 0.7607181 0.8740098 0.9240255 0.6010662 0.9126425 0.8940724 0.9422626 0.7980987 0.8719438 0.8401961 0.8479935 0.9353262 0.6696429 0.9026889 0.5313853 0.7277778 0.8876139 0.4684432 0.8288770 0.8580834 0.8995499 0.8252016 0.8730399 0.7937730 0.7321182 0.9060543 0.8969197 0.9102356 0.9180328 0.9260520 0.8180410 0.8345926 0.7268501 0.8098426 0.5351752 0.7023585 0.7680713 0.5799265 0.7072200 0.8938237 0.8326075
mast cells 0.0000000 0.0000000 0.0000000 0.0005359 0.0001523 0.0000000 0.0008885 0.0000000 0.0000000 0.0000000 0.0001080 0.0012225 0.0014706 0.0008107 0.0000000 0.0063776 0.0000000 0.0007215 0.0023148 0.0000000 0.0112202 0.0000000 0.0000000 0.0004738 0.0004032 0.0003779 0.0010044 0.0000000 0.0000000 0.0000000 0.0004062 0.0002687 0.0000000 0.0007743 0.0002698 0.0001937 0.0021074 0.0000000 0.0000000 0.0000000 0.0000000 0.0005685 0.0000000 0.0000000
monocytes 0.0113972 0.0013789 0.0013488 0.0200965 0.0195003 0.0023866 0.0035540 0.0044832 0.0012806 0.0013189 0.0468834 0.0097800 0.0127451 0.0097284 0.0108954 0.0114796 0.0134443 0.0119048 0.0087963 0.0155248 0.0107527 0.0106952 0.0065838 0.0073442 0.0217742 0.0171925 0.0133914 0.0265120 0.0059151 0.0094625 0.0064988 0.0037624 0.0046411 0.0061943 0.0218564 0.0240217 0.1063592 0.0005696 0.0073113 0.0061613 0.0297428 0.0187607 0.0086752 0.0065852
neutrophils 0.0000000 0.0000000 0.0000000 0.0056270 0.0012188 0.0000000 0.0000000 0.0001281 0.0000000 0.0000000 0.0006482 0.0003056 0.0014706 0.0000000 0.0004191 0.0063776 0.0004268 0.0010823 0.0013889 0.0006750 0.0229079 0.0033422 0.0051207 0.0021322 0.0022177 0.0005668 0.0549046 0.0035902 0.0003479 0.0004027 0.0012185 0.0000000 0.0003094 0.0000000 0.0089045 0.0092987 0.0004958 0.0079749 0.0025943 0.0004401 0.0008039 0.0000000 0.0000000 0.0000000
NK cells 0.0046433 0.0085494 0.0051254 0.0058950 0.0036563 0.0000000 0.0026655 0.0014090 0.0020124 0.0011723 0.0016204 0.0015281 0.0014706 0.0008107 0.0000000 0.0044643 0.0014938 0.0266955 0.0060185 0.0016875 0.0079476 0.0020053 0.0000000 0.0002369 0.0020161 0.0011336 0.0010044 0.0033140 0.0003479 0.0004027 0.0012185 0.0013437 0.0006188 0.0011614 0.0000000 0.0019372 0.0019834 0.0136713 0.0089623 0.0066014 0.0062012 0.0068221 0.0005658 0.0098779
NK-T cells 0.0000000 0.0041368 0.0002698 0.0005359 0.0001523 0.0000000 0.0013327 0.0002562 0.0005488 0.0001465 0.0000000 0.0003056 0.0014706 0.0000000 0.0001397 0.0012755 0.0002134 0.0014430 0.0000000 0.0000000 0.0014025 0.0000000 0.0000000 0.0000000 0.0004032 0.0011336 0.0000000 0.0005523 0.0003479 0.0000000 0.0000000 0.0000000 0.0000000 0.0000000 0.0000000 0.0007749 0.0000000 0.0019937 0.0002358 0.0004401 0.0009187 0.0005685 0.0000943 0.0009559
proliferating macrophages 0.0367244 0.0493657 0.0321014 0.0560021 0.0467703 0.0572792 0.0310973 0.0462406 0.0332967 0.0247655 0.0392136 0.0531785 0.0303922 0.0490474 0.0222098 0.0197704 0.0354247 0.0151515 0.0444444 0.0445494 0.0187003 0.0407754 0.0475494 0.0414594 0.0556452 0.0317400 0.0451958 0.0425297 0.0320111 0.0457016 0.0097482 0.0588551 0.0411510 0.0514905 0.0275229 0.0236343 0.0115284 0.0065508 0.0422170 0.0259655 0.0264125 0.0278567 0.0375295 0.0333510
proliferating T/NK 0.0021106 0.0024821 0.0008093 0.0013398 0.0007617 0.0000000 0.0044425 0.0007685 0.0016465 0.0010258 0.0008642 0.0003056 0.0000000 0.0000000 0.0006984 0.0000000 0.0004268 0.0086580 0.0009259 0.0006750 0.0018700 0.0000000 0.0007315 0.0004738 0.0010081 0.0013225 0.0003348 0.0008285 0.0006959 0.0008053 0.0008123 0.0005375 0.0009282 0.0007743 0.0002698 0.0029059 0.0007438 0.0017089 0.0009434 0.0040709 0.0008039 0.0039795 0.0008487 0.0016994

Cell proportions by sample

props$Proportions %>%
  data.frame %>%
  inner_join(seu@meta.data %>%
               dplyr::select(sample.id,
                             Disease,
                             Treatment,
                             Severity,
                             Group,
                             Batch,
                             Age,
                             Sex),
             by = c("sample" = "sample.id")) %>%
  distinct()-> dat

ggplot(dat, aes(x = sample, y = Freq, fill = clusters)) +
  geom_bar(stat = "identity", color = "black", size = 0.1) +
  theme(axis.text.x = element_text(angle = 90,
                                   vjust = 0.5,
                                   hjust = 1),
        legend.text = element_text(size = 8),
        legend.position = "bottom") +
  labs(y = "Proportion", fill = "Cell Label") +
  scale_fill_paletteer_d("miscpalettes::pastel", direction = 1) +
  facet_grid(~Group, scales = "free_x", space = "free_x")

Cell proportions by cell type

props$Proportions %>%
  data.frame %>%
  inner_join(seu@meta.data %>%
               dplyr::select(sample.id,
                             ann_level_1,
                             Disease,
                             Treatment,
                             Severity, 
                             Batch, 
                             Age, 
                             Sex), 
             by = c("sample" = "sample.id", "clusters" = "ann_level_1")) %>%
  distinct()-> dat

ggplot(dat, 
       aes(x = clusters, y = Freq, fill = clusters)) +
  geom_boxplot(outlier.size = 0.1, size = 0.25) +
  theme(axis.text.x = element_text(angle = 45,
                                   vjust = 1,
                                   hjust = 1),
        legend.text = element_text(size = 8)) +
  labs(y = "Proportion") +
  scale_fill_paletteer_d("miscpalettes::pastel", direction = 1) +
  NoLegend()

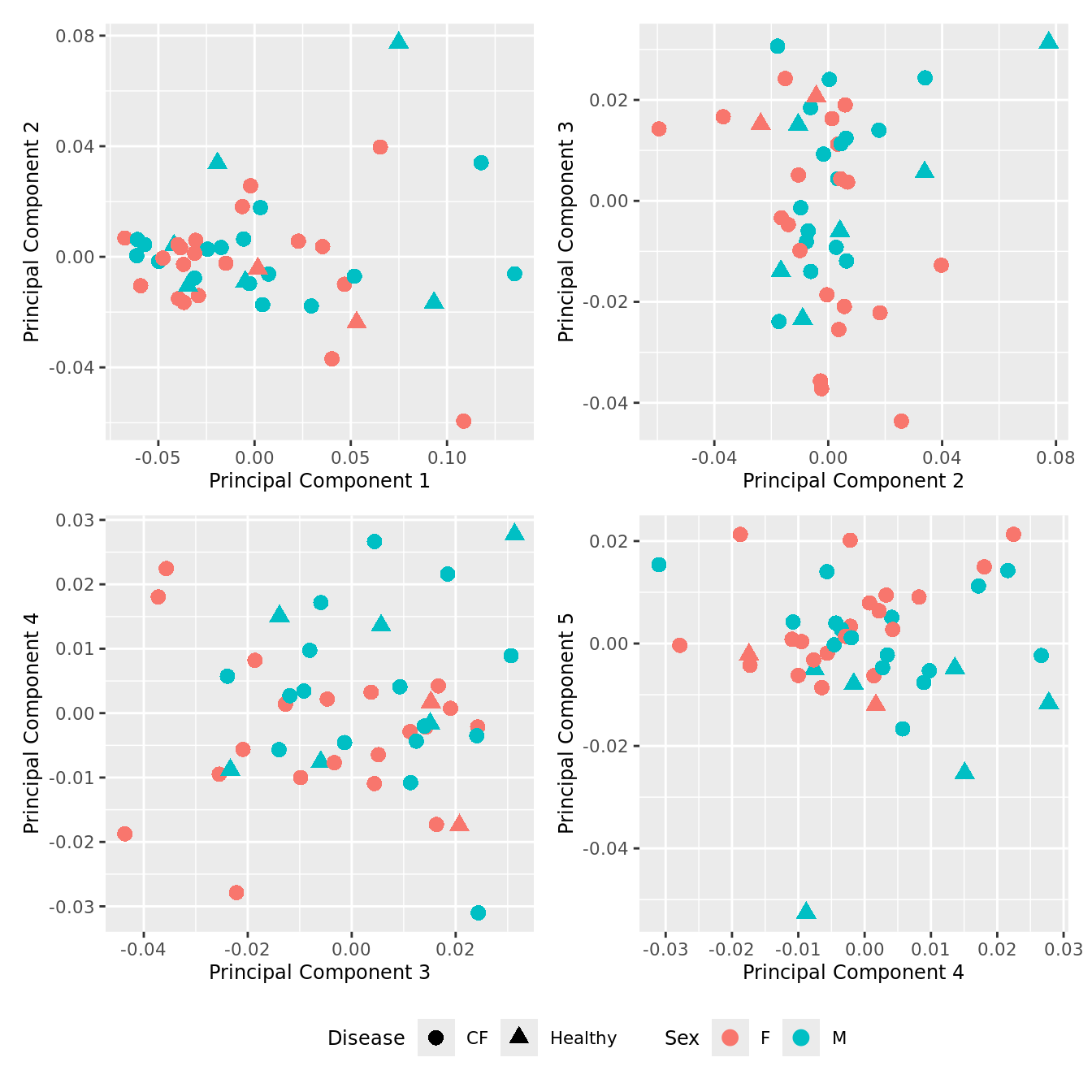
Explore sources of variation

Cell count data

Look at the sources of variation in the raw cell count level data.

dims <- list(c(1,2), c(2:3), c(3,4), c(4,5))
p <- vector("list", length(dims))

for(i in 1:length(dims)){
  mds <- plotMDS(props$Counts,
    gene.selection = "common",
    plot = FALSE, dim.plot = dims[[i]])
  
  data.frame(x = mds$x, 
             y = mds$y,
             sample = rownames(mds$distance.matrix.squared)) %>%
    left_join(seu@meta.data %>%
               dplyr::select(sample.id, 
                             Disease,
                             Treatment,
                             Severity, 
                             Batch, 
                             Age, 
                             Sex), 
             by = c("sample" = "sample.id")) %>%
    distinct() -> dat
  
  p[[i]] <- ggplot(dat, aes(x = x, y = y, 
                            shape = as.factor(Disease),
                            color = as.factor(Batch))) +
    geom_point(size = 3) +
    labs(x = glue("Principal Component {dims[[i]][1]}"),
         y = glue("Principal Component {dims[[i]][2]}"),
         colour = "Batch",
         shape = "Disease") +
    theme(legend.direction = "horizontal",
          legend.text = element_text(size = 8),
          legend.title = element_text(size = 9),
          axis.text = element_text(size = 8),
          axis.title = element_text(size = 9)) 
}

wrap_plots(p, cols = 2) + plot_layout(guides = "collect") &
  theme(legend.position = "bottom") 

dims <- list(c(1,2), c(2:3), c(3,4), c(4,5))
p <- vector("list", length(dims))

for(i in 1:length(dims)){
  mds <- plotMDS(props$Counts, 
                 gene.selection = "common",
                 plot = FALSE, dim.plot = dims[[i]])
  
   data.frame(x = mds$x, 
             y = mds$y,
             sample = rownames(mds$distance.matrix.squared)) %>%
    left_join(seu@meta.data %>%
               dplyr::select(sample.id, 
                             Disease,
                             Treatment,
                             Severity,
                             Participant,
                             Batch, 
                             Age, 
                             Sex), 
             by = c("sample" = "sample.id")) %>%
    group_by(sample) %>%
    mutate(ncells = n()) %>%
    ungroup() %>%
    distinct() -> dat
  
  p[[i]] <- ggplot(dat, aes(x = x, y = y, 
                            colour = log2(ncells)))+
    geom_text(aes(label = str_remove_all(sample, "sample_")), size = 2.5) +
    labs(x = glue("Principal Component {dims[[i]][1]}"),
         y = glue("Principal Component {dims[[i]][2]}"),
         colour = "Log2 No. Cells") +
    theme(legend.direction = "horizontal",
          legend.text = element_text(size = 8),
          legend.title = element_text(size = 9),
          axis.text = element_text(size = 8),
          axis.title = element_text(size = 9)) +
    scale_colour_viridis_c(option = "magma")
}

wrap_plots(p, cols = 2) + plot_layout(guides = "collect") &
  theme(legend.position = "bottom") 

Cell proportion data

Look at the sources of variation in the cell proportions data.

dims <- list(c(1,2), c(2:3), c(3,4), c(4,5))
p <- vector("list", length(dims))

for(i in 1:length(dims)){
  mds <- plotMDS(props$TransformedProps,
    gene.selection = "common",
    plot = FALSE, dim.plot = dims[[i]])
  
  data.frame(x = mds$x, 
             y = mds$y,
             sample = rownames(mds$distance.matrix.squared)) %>%
    left_join(seu@meta.data %>%
               dplyr::select(sample.id, 
                             Disease,
                             Treatment,
                             Severity, 
                             Batch, 
                             Age, 
                             Sex), 
             by = c("sample" = "sample.id")) %>%
    distinct() -> dat
  
  p[[i]] <- ggplot(dat, aes(x = x, y = y, 
                            shape = as.factor(Disease),
                            color = as.factor(Batch)))+
    geom_point(size = 3) +
    labs(x = glue("Principal Component {dims[[i]][1]}"),
         y = glue("Principal Component {dims[[i]][2]}"),
         colour = "Batch",
         shape = "Disease") +
    theme(legend.direction = "horizontal",
          legend.text = element_text(size = 8),
          legend.title = element_text(size = 9),
          axis.text = element_text(size = 8),
          axis.title = element_text(size = 9))
}

wrap_plots(p, cols = 2) + plot_layout(guides = "collect") &
  theme(legend.position = "bottom") 

dims <- list(c(1,2), c(2:3), c(3,4), c(4,5))
p <- vector("list", length(dims))

for(i in 1:length(dims)){
  mds <- plotMDS(props$TransformedProps,
    gene.selection = "common",
    plot = FALSE, dim.plot = dims[[i]])
  
  data.frame(x = mds$x, 
             y = mds$y,
             sample = rownames(mds$distance.matrix.squared)) %>%
    left_join(seu@meta.data %>%
               dplyr::select(sample.id, 
                             Disease,
                             Treatment,
                             Severity, 
                             Batch, 
                             Age, 
                             Sex), 
             by = c("sample" = "sample.id")) %>%
    distinct() -> dat
  
  p[[i]] <- ggplot(dat, aes(x = x, y = y, 
                            shape = as.factor(Disease),
                            color = Sex))+
    geom_point(size = 3) +
    labs(x = glue("Principal Component {dims[[i]][1]}"),
         y = glue("Principal Component {dims[[i]][2]}"),
         colour = "Sex",
         shape = "Disease") +
    theme(legend.direction = "horizontal",
          legend.text = element_text(size = 8),
          legend.title = element_text(size = 9),
          axis.text = element_text(size = 8),
          axis.title = element_text(size = 9))
}

wrap_plots(p, cols = 2) + plot_layout(guides = "collect") &
  theme(legend.position = "bottom") 

dims <- list(c(1,2), c(2:3), c(3,4), c(4,5))
p <- vector("list", length(dims))

for(i in 1:length(dims)){
  mds <- plotMDS(props$TransformedProps, 
                 gene.selection = "common",
                 plot = FALSE, dim.plot = dims[[i]])
  
   data.frame(x = mds$x, 
             y = mds$y,
             sample = rownames(mds$distance.matrix.squared)) %>%
    left_join(seu@meta.data %>%
               dplyr::select(sample.id, 
                             Disease,
                             Treatment,
                             Severity,
                             Participant,
                             Batch, 
                             Age, 
                             Sex), 
             by = c("sample" = "sample.id")) %>%
    group_by(sample) %>%
    mutate(ncells = n()) %>%
    ungroup() %>%
    distinct() -> dat
  
  p[[i]] <- ggplot(dat, aes(x = x, y = y, 
                            colour = log2(Age)))+
    geom_text(aes(label = str_remove_all(sample, "sample_")), size = 2.5) +
    labs(x = glue("Principal Component {dims[[i]][1]}"),
         y = glue("Principal Component {dims[[i]][2]}"),
         colour = "Log2 Age") +
    theme(legend.direction = "horizontal",
          legend.text = element_text(size = 8),
          legend.title = element_text(size = 9),
          axis.text = element_text(size = 8),
          axis.title = element_text(size = 9)) +
    scale_colour_viridis_c(option = "magma")
}

wrap_plots(p, cols = 2) + plot_layout(guides = "collect") &
  theme(legend.position = "bottom") 

dims <- list(c(1,2), c(2:3), c(3,4), c(4,5))
p <- vector("list", length(dims))

for(i in 1:length(dims)){
  mds <- plotMDS(props$TransformedProps, 
                 gene.selection = "common",
                 plot = FALSE, dim.plot = dims[[i]])
  
   data.frame(x = mds$x, 
             y = mds$y,
             sample = rownames(mds$distance.matrix.squared)) %>%
    left_join(seu@meta.data %>%
               dplyr::select(sample.id, 
                             Disease,
                             Treatment,
                             Severity,
                             Participant,
                             Batch, 
                             Age, 
                             Sex), 
             by = c("sample" = "sample.id")) %>%
    group_by(sample) %>%
    mutate(ncells = n()) %>%
    ungroup() %>%
    distinct() -> dat
  
  p[[i]] <- ggplot(dat, aes(x = x, y = y, 
                            colour = log2(ncells)))+
    geom_text(aes(label = str_remove_all(sample, "sample_")), size = 2.5) +
    labs(x = glue("Principal Component {dims[[i]][1]}"),
         y = glue("Principal Component {dims[[i]][2]}"),
         colour = "Log2 No. Cells") +
    theme(legend.direction = "horizontal",
          legend.text = element_text(size = 8),
          legend.title = element_text(size = 9),
          axis.text = element_text(size = 8),
          axis.title = element_text(size = 9)) +
    scale_colour_viridis_c(option = "magma")
}

wrap_plots(p, cols = 2) + plot_layout(guides = "collect") &
  theme(legend.position = "bottom") 

Principal components versus traits

Principal components analysis (PCA) allows us to mathematically determine the sources of variation in the data. We can then investigate whether these correlate with any of the specifed covariates. First, we calculate the principal components. The scree plot belows shows us that most of the variation in this data is captured by the top 7 principal components.

PCs <- prcomp(t(props$TransformedProps), center = TRUE, 
              scale = TRUE, retx = TRUE)
loadings = PCs$x # pc loadings
plot(PCs, type="lines") # scree plot

Collect all of the known sample traits.

nGenes = nrow(props$TransformedProps)
nSamples = ncol(props$TransformedProps)

info <- seu@meta.data %>%
  dplyr::select(sample.id, 
                Disease,
                Treatment,
                Severity,
                Participant,
                Group_severity,
                Group,
                Batch, 
                Age, 
                Sex) %>%
  group_by(sample.id) %>%
  mutate(ncells = n()) %>%
  ungroup() %>%
  distinct()

m <- match(colnames(props$TransformedProps), info$sample.id)
info <- info[m,]

datTraits <- info %>% dplyr::select(Participant, Batch, Disease, Treatment,
                                    Group, Severity, Age, Sex, ncells) %>%
  mutate(Age = log2(Age),
         ncells = log2(ncells),
    Donor = factor(Participant),
         Batch = factor(Batch),
         Disease = factor(Disease, 
                          labels = 1:length(unique(Disease))),
         Group = factor(Group, 
                        labels = 1:length(unique(Group))),
         Treatment = factor(Treatment, 
                            labels = 1:length(unique(Treatment))),
         Sex = factor(Sex, labels = length(unique(Sex))),
         Severity = factor(Severity, labels = length(unique(Severity)))) %>%
  mutate(across(everything(), as.numeric)) %>%
  dplyr::select(-Participant)

datTraits %>% 
  knitr::kable()
Batch Disease Treatment Group Severity Age Sex ncells Donor
4 2 1 4 1 -0.2590872 2 11.21006 1
4 1 4 3 2 -0.0939001 2 11.82416 2
4 1 4 3 2 -0.1151479 1 11.85604 3
5 1 4 3 2 -0.0441471 1 11.86573 4
5 1 4 3 2 0.1428834 2 12.68036 5
6 1 4 3 2 -0.0729608 1 11.29577 6
4 2 1 4 1 0.1464588 2 11.13635 7
6 1 4 3 3 0.5597097 2 12.93055 8
4 1 4 3 3 1.5743836 1 12.41627 9
4 1 2 1 2 1.5993830 2 12.73640 10
6 1 2 1 2 2.3883594 2 13.17633 11
2 1 4 3 3 2.2957230 1 11.67596 12
2 1 4 3 2 2.3360877 2 10.99435 13
2 1 2 1 2 2.2980155 2 11.26854 14
6 1 4 3 2 2.5790214 1 12.80554 15
2 1 4 3 3 2.5823250 1 10.61471 16
6 2 1 4 1 0.1321035 2 12.19414 17
2 1 4 3 3 2.5889097 1 11.43671 18
2 1 4 3 2 2.5583683 1 11.07682 19
2 1 4 3 2 2.5670653 1 11.53284 20
2 1 2 1 3 2.5730557 2 11.06272 21
7 1 4 3 2 -0.9343238 1 10.54689 22
7 1 4 3 2 0.0918737 1 10.41680 22
7 1 4 3 2 1.0409164 1 12.04337 22
7 1 4 3 2 0.0807044 2 12.27612 23
7 1 4 3 2 0.9940589 2 12.36987 23
7 1 4 3 3 -0.0564254 1 11.54448 24
7 1 3 2 3 1.1764977 1 11.82217 24
3 1 4 3 2 1.5597097 1 11.48884 25
3 1 3 2 2 2.1930156 1 12.27816 25
3 1 3 2 2 2.2980155 1 11.26562 25
3 1 2 1 2 1.5703964 2 11.86147 26
3 1 2 1 2 2.0206033 2 11.65821 26
3 1 2 1 2 2.3485584 2 11.33483 26
5 1 4 3 2 1.9730702 1 11.85565 27
5 1 3 2 2 2.6297159 1 12.33371 27
7 2 1 4 1 0.2923784 2 12.97782 28
1 1 4 3 3 1.5801455 2 11.77767 29
1 1 4 3 2 1.5801455 2 12.04985 30
1 1 2 1 3 1.5993178 2 13.14991 31
1 2 1 4 1 1.5849625 2 13.08813 32
3 2 1 4 1 3.0699187 1 10.78054 33
4 2 1 4 1 2.4204621 2 13.37246 34
4 2 1 4 1 2.2356012 1 13.20075 35

Correlate known sample traits with the top 10 principal components. This can help us determine which traits are potentially contributing to the main sources of variation in the data and should thus be included in our statistical analysis.

moduleTraitCor <- suppressWarnings(cor(loadings[, 1:10], datTraits, use = "p"))
moduleTraitPvalue <- WGCNA::corPvalueStudent(moduleTraitCor, (nSamples - 2))

textMatrix <- paste(signif(moduleTraitCor, 2), "\n(", 
                    signif(moduleTraitPvalue, 1), ")", sep = "")
dim(textMatrix) <- dim(moduleTraitCor)

## Display the correlation values within a heatmap plot
par(cex=0.75, mar = c(6, 8.5, 3, 3))
WGCNA::labeledHeatmap(Matrix = t(moduleTraitCor),
                      xLabels = colnames(loadings)[1:10],
                      yLabels = names(datTraits),
                      colorLabels = FALSE,
                      colors = WGCNA::blueWhiteRed(6),
                      textMatrix = t(textMatrix),
                      setStdMargins = FALSE,
                      cex.text = 1,
                      zlim = c(-1,1),
                      main = paste("PCA-trait relationships: Top 10 PCs"))

Statistical analysis using propeller and limma

Create the design matrix.

group <- factor(info$Group_severity)
participant <- factor(info$Participant)
age <- log2(info$Age)
batch <- factor(info$Batch)
sex <- factor(info$Sex)

design <- model.matrix(~ 0 + group + batch + age + sex)
colnames(design)[1:7] <- levels(group) 
design
   CF.IVA.M CF.IVA.S CF.LUMA_IVA.M CF.LUMA_IVA.S CF.NO_MOD.M CF.NO_MOD.S
1         0        0             0             0           0           0
2         0        0             0             0           1           0
3         0        0             0             0           1           0
4         0        0             0             0           1           0
5         0        0             0             0           1           0
6         0        0             0             0           1           0
7         0        0             0             0           0           0
8         0        0             0             0           0           1
9         0        0             0             0           0           1
10        1        0             0             0           0           0
11        1        0             0             0           0           0
12        0        0             0             0           0           1
13        0        0             0             0           1           0
14        1        0             0             0           0           0
15        0        0             0             0           1           0
16        0        0             0             0           0           1
17        0        0             0             0           0           0
18        0        0             0             0           0           1
19        0        0             0             0           1           0
20        0        0             0             0           1           0
21        0        1             0             0           0           0
22        0        0             0             0           1           0
23        0        0             0             0           1           0
24        0        0             0             0           1           0
25        0        0             0             0           1           0
26        0        0             0             0           1           0
27        0        0             0             0           0           1
28        0        0             0             1           0           0
29        0        0             0             0           1           0
30        0        0             1             0           0           0
31        0        0             1             0           0           0
32        1        0             0             0           0           0
33        1        0             0             0           0           0
34        1        0             0             0           0           0
35        0        0             0             0           1           0
36        0        0             1             0           0           0
37        0        0             0             0           0           0
38        0        0             0             0           0           1
39        0        0             0             0           1           0
40        0        1             0             0           0           0
41        0        0             0             0           0           0
42        0        0             0             0           0           0
43        0        0             0             0           0           0
44        0        0             0             0           0           0
   NON_CF.CTRL batch1 batch2 batch3 batch4 batch5 batch6         age sexM
1            1      0      0      1      0      0      0 -0.25908722    1
2            0      0      0      1      0      0      0 -0.09390014    1
3            0      0      0      1      0      0      0 -0.11514787    0
4            0      0      0      0      1      0      0 -0.04414710    0
5            0      0      0      0      1      0      0  0.14288337    1
6            0      0      0      0      0      1      0 -0.07296080    0
7            1      0      0      1      0      0      0  0.14645883    1
8            0      0      0      0      0      1      0  0.55970971    1
9            0      0      0      1      0      0      0  1.57438357    0
10           0      0      0      1      0      0      0  1.59938302    1
11           0      0      0      0      0      1      0  2.38835941    1
12           0      1      0      0      0      0      0  2.29572302    0
13           0      1      0      0      0      0      0  2.33608770    1
14           0      1      0      0      0      0      0  2.29801547    1
15           0      0      0      0      0      1      0  2.57902140    0
16           0      1      0      0      0      0      0  2.58232503    0
17           1      0      0      0      0      1      0  0.13210354    1
18           0      1      0      0      0      0      0  2.58890969    0
19           0      1      0      0      0      0      0  2.55836829    0
20           0      1      0      0      0      0      0  2.56706530    0
21           0      1      0      0      0      0      0  2.57305573    1
22           0      0      0      0      0      0      1 -0.93432383    0
23           0      0      0      0      0      0      1  0.09187369    0
24           0      0      0      0      0      0      1  1.04091644    0
25           0      0      0      0      0      0      1  0.08070438    1
26           0      0      0      0      0      0      1  0.99405890    1
27           0      0      0      0      0      0      1 -0.05642543    0
28           0      0      0      0      0      0      1  1.17649766    0
29           0      0      1      0      0      0      0  1.55970971    0
30           0      0      1      0      0      0      0  2.19301559    0
31           0      0      1      0      0      0      0  2.29801547    0
32           0      0      1      0      0      0      0  1.57039639    1
33           0      0      1      0      0      0      0  2.02060327    1
34           0      0      1      0      0      0      0  2.34855840    1
35           0      0      0      0      1      0      0  1.97307024    0
36           0      0      0      0      1      0      0  2.62971590    0
37           1      0      0      0      0      0      1  0.29237837    1
38           0      0      0      0      0      0      0  1.58014548    1
39           0      0      0      0      0      0      0  1.58014548    1
40           0      0      0      0      0      0      0  1.59931779    1
41           1      0      0      0      0      0      0  1.58496250    1
42           1      0      1      0      0      0      0  3.06991870    0
43           1      0      0      1      0      0      0  2.42046210    1
44           1      0      0      1      0      0      0  2.23560118    0
attr(,"assign")
 [1] 1 1 1 1 1 1 1 2 2 2 2 2 2 3 4
attr(,"contrasts")
attr(,"contrasts")$group
[1] "contr.treatment"

attr(,"contrasts")$batch
[1] "contr.treatment"

attr(,"contrasts")$sex
[1] "contr.treatment"

Create the contrast matrix.

contr <- makeContrasts(CF.NO_MODvCF.IVA = 0.5*(CF.NO_MOD.M + CF.NO_MOD.S) - 0.5*(CF.IVA.M + CF.IVA.S),
                       CF.NO_MODvCF.LUMA_IVA = 0.5*(CF.NO_MOD.M + CF.NO_MOD.S) - 0.5*(CF.LUMA_IVA.M + CF.LUMA_IVA.S),
                       CF.NO_MOD.MvCF.NO_MOD.S = CF.NO_MOD.M - CF.NO_MOD.S,
                       CF.NO_MODvNON_CF.CTRL = 0.5*(CF.NO_MOD.M + CF.NO_MOD.S) - NON_CF.CTRL,
                       CF.IVAvNON_CF.CTRL = 0.5*(CF.IVA.M + CF.IVA.S) - NON_CF.CTRL,
                       CF.LUMA_IVAvNON_CF.CTRL = 0.5*(CF.LUMA_IVA.M + CF.LUMA_IVA.S) - NON_CF.CTRL,
                       levels = design)
contr
               Contrasts
Levels          CF.NO_MODvCF.IVA CF.NO_MODvCF.LUMA_IVA CF.NO_MOD.MvCF.NO_MOD.S
  CF.IVA.M                  -0.5                   0.0                       0
  CF.IVA.S                  -0.5                   0.0                       0
  CF.LUMA_IVA.M              0.0                  -0.5                       0
  CF.LUMA_IVA.S              0.0                  -0.5                       0
  CF.NO_MOD.M                0.5                   0.5                       1
  CF.NO_MOD.S                0.5                   0.5                      -1
  NON_CF.CTRL                0.0                   0.0                       0
  batch1                     0.0                   0.0                       0
  batch2                     0.0                   0.0                       0
  batch3                     0.0                   0.0                       0
  batch4                     0.0                   0.0                       0
  batch5                     0.0                   0.0                       0
  batch6                     0.0                   0.0                       0
  age                        0.0                   0.0                       0
  sexM                       0.0                   0.0                       0
               Contrasts
Levels          CF.NO_MODvNON_CF.CTRL CF.IVAvNON_CF.CTRL
  CF.IVA.M                        0.0                0.5
  CF.IVA.S                        0.0                0.5
  CF.LUMA_IVA.M                   0.0                0.0
  CF.LUMA_IVA.S                   0.0                0.0
  CF.NO_MOD.M                     0.5                0.0
  CF.NO_MOD.S                     0.5                0.0
  NON_CF.CTRL                    -1.0               -1.0
  batch1                          0.0                0.0
  batch2                          0.0                0.0
  batch3                          0.0                0.0
  batch4                          0.0                0.0
  batch5                          0.0                0.0
  batch6                          0.0                0.0
  age                             0.0                0.0
  sexM                            0.0                0.0
               Contrasts
Levels          CF.LUMA_IVAvNON_CF.CTRL
  CF.IVA.M                          0.0
  CF.IVA.S                          0.0
  CF.LUMA_IVA.M                     0.5
  CF.LUMA_IVA.S                     0.5
  CF.NO_MOD.M                       0.0
  CF.NO_MOD.S                       0.0
  NON_CF.CTRL                      -1.0
  batch1                            0.0
  batch2                            0.0
  batch3                            0.0
  batch4                            0.0
  batch5                            0.0
  batch6                            0.0
  age                               0.0
  sexM                              0.0

Add random effect for samples from the same individual.

dupcor <- duplicateCorrelation(props$TransformedProps, design=design,
                                block=participant)
dupcor
$consensus.correlation
[1] 0.6815988

$cor
[1] 0.6815988

$atanh.correlations
 [1]  0.91280819  1.07781785 -0.05536504  0.85854344  0.52144441  1.11093619
 [7]  0.20770523  1.17122725  0.94099741  0.54921399  1.71581017  1.63069725
[13]  1.14397325  0.51267513 -0.53606034  0.97778570

Fit the model.

fit <- lmFit(props$TransformedProps, design=design, block=participant, 
                correlation=dupcor$consensus)
fit2 <- contrasts.fit(fit, contr)
fit2 <- eBayes(fit2, robust=TRUE, trend=FALSE)
pvalue <- 0.05
summary(decideTests(fit2, p.value = pvalue))
       CF.NO_MODvCF.IVA CF.NO_MODvCF.LUMA_IVA CF.NO_MOD.MvCF.NO_MOD.S
Down                  0                     0                       0
NotSig               16                    15                      16
Up                    0                     1                       0
       CF.NO_MODvNON_CF.CTRL CF.IVAvNON_CF.CTRL CF.LUMA_IVAvNON_CF.CTRL
Down                       1                  0                       0
NotSig                    15                 16                      16
Up                         0                  0                       0

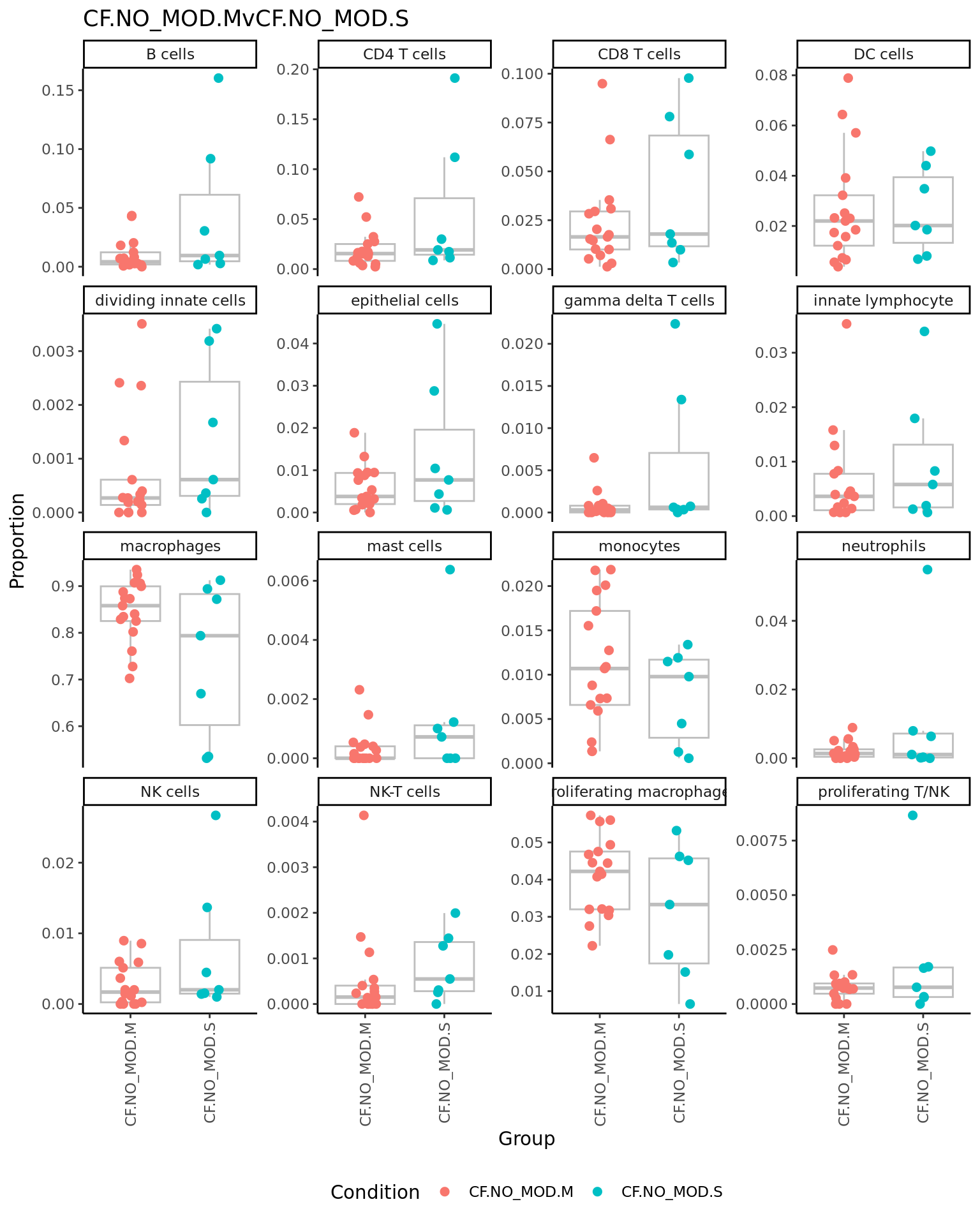
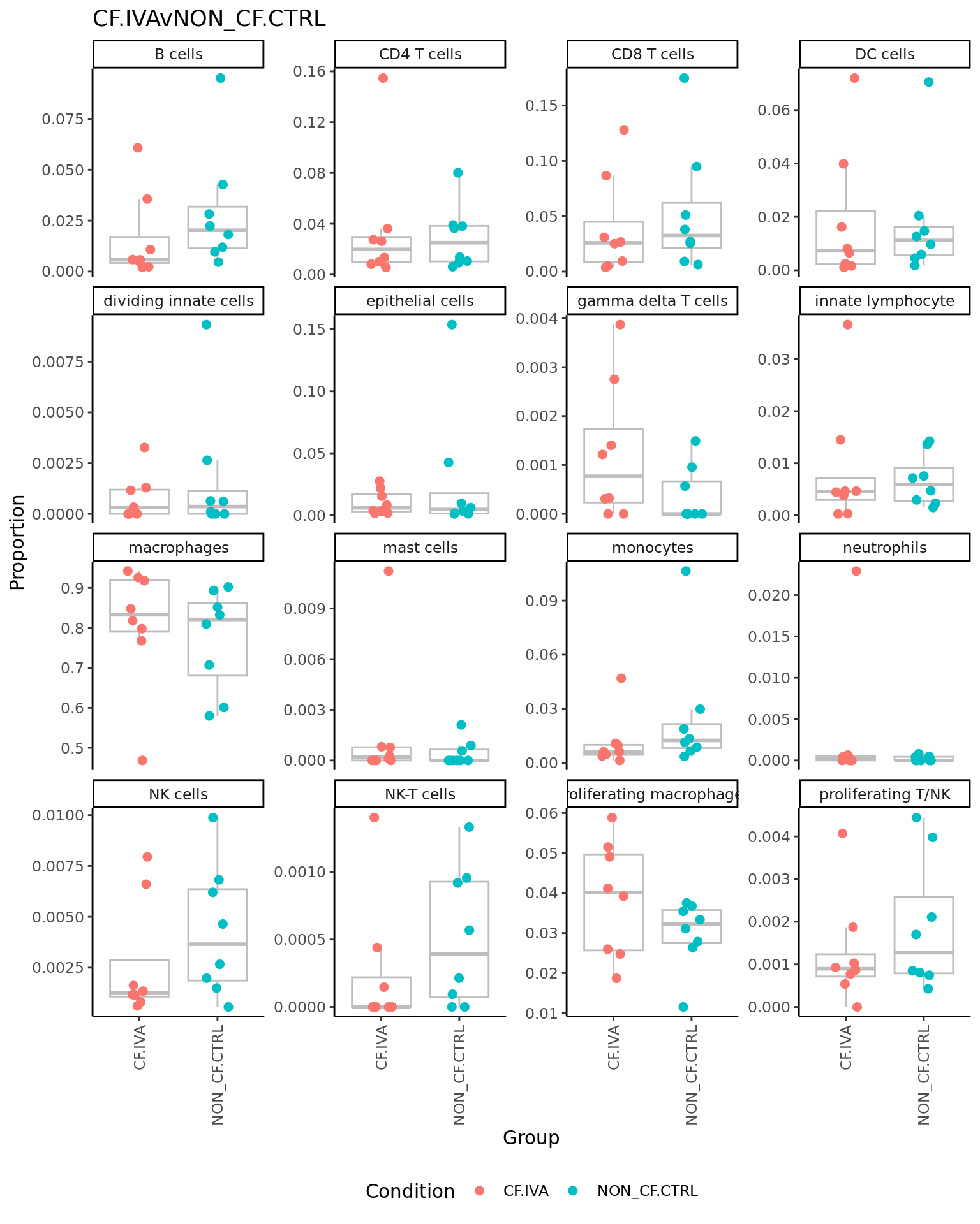
Results

p <- vector("list", ncol(contr))

for(i in 1:ncol(contr)){
  print(knitr::kable(topTable(fit2, coef = i),
                     caption = colnames(contr)[i]))
  
  props$Proportions %>% data.frame %>%
    left_join(info,
              by = c("sample" = "sample.id")) %>%
    mutate(Group = Group_severity) %>%
    dplyr::filter(Group %in% names(contr[,i])[abs(contr[, i]) > 0]) -> dat
  
  if(length(unique(dat$Group)) > 2) dat$Group <- str_remove(dat$Group, ".(M|S)$")
  ggplot(dat, aes(x = Group,
                  y = Freq,
                  colour = Group,
                  group = Group)) +
    geom_boxplot(outlier.shape = NA, colour = "grey") +
    geom_jitter(stat = "identity",
                width = 0.15,
                size = 2) +
    theme_classic() +
    theme(axis.text.x = element_text(angle = 90,
                                     hjust = 1,
                                     vjust = 0.5),
          legend.position = "bottom",
          legend.direction = "horizontal") +
    labs(x = "Group", y = "Proportion",
         colour = "Condition") +
    facet_wrap(~clusters, scales = "free_y") +
    ggtitle(colnames(contr)[i]) -> p[[i]]
  
  print(p[[i]])
}
CF.NO_MODvCF.IVA
logFC AveExpr t P.Value adj.P.Val B
NK-T cells 0.0178018 0.0158486 1.6771544 0.1035136 0.9866568 -4.880636
mast cells -0.0125230 0.0158193 -1.0766777 0.2898866 0.9866568 -5.649573
monocytes -0.0204331 0.1046134 -0.9115003 0.3690271 0.9866568 -5.807150
CD8 T cells -0.0365180 0.1671905 -0.7953837 0.4324648 0.9866568 -5.903003
neutrophils -0.0180237 0.0365714 -0.7879191 0.4366948 0.9866568 -5.908806
gamma delta T cells 0.0131149 0.0242845 0.6772627 0.5032350 0.9866568 -5.987763
B cells 0.0232246 0.1209003 0.4604248 0.6484389 0.9866568 -6.108684
macrophages 0.0324599 1.1311489 0.4301181 0.6700981 0.9866568 -6.121979
DC cells -0.0105310 0.1376617 -0.2937740 0.7708971 0.9866568 -6.170703
proliferating T/NK -0.0033930 0.0310578 -0.2711860 0.7880358 0.9866568 -6.177025

CF.NO_MODvCF.LUMA_IVA
logFC AveExpr t P.Value adj.P.Val B
neutrophils 0.0623699 0.0365714 3.409832 0.0018145 0.0290321 -1.482959
innate lymphocyte -0.0449772 0.0733282 -2.410706 0.0220055 0.1760439 -3.756250
mast cells 0.0165537 0.0158193 1.779886 0.0848459 0.4089010 -4.914571
CD8 T cells -0.0618318 0.1671905 -1.684230 0.1022253 0.4089010 -5.066366
NK cells -0.0236804 0.0505933 -1.557941 0.1293431 0.4138978 -5.255670
CD4 T cells -0.0514344 0.1587382 -1.414851 0.1671225 0.4456600 -5.455042
monocytes -0.0223527 0.1046134 -1.247018 0.2216793 0.4552617 -5.667274
DC cells -0.0342966 0.1376617 -1.196499 0.2406122 0.4552617 -5.726384
macrophages 0.0697972 1.1311489 1.156640 0.2562936 0.4552617 -5.771489
gamma delta T cells 0.0168610 0.0242845 1.088915 0.2845386 0.4552617 -5.844982

CF.NO_MOD.MvCF.NO_MOD.S
logFC AveExpr t P.Value adj.P.Val B
neutrophils -0.0399716 0.0365714 -2.159654 0.0386053 0.3092130 -4.238117
B cells -0.0881572 0.1209003 -2.160049 0.0386516 0.3092130 -4.238184
macrophages 0.0954724 1.1311489 1.563554 0.1281186 0.4022276 -5.236842
NK cells -0.0222587 0.0505933 -1.447224 0.1578166 0.4022276 -5.400533
CD4 T cells -0.0486446 0.1587382 -1.322411 0.1957475 0.4022276 -5.563891
gamma delta T cells -0.0204081 0.0242845 -1.302533 0.2022756 0.4022276 -5.588735
mast cells -0.0113367 0.0158193 -1.204650 0.2374051 0.4022276 -5.705992
proliferating macrophages 0.0258037 0.1876178 1.179550 0.2471137 0.4022276 -5.734717
proliferating T/NK -0.0114745 0.0310578 -1.133464 0.2656620 0.4022276 -5.786035
dividing innate cells -0.0139205 0.0232467 -1.119152 0.2716253 0.4022276 -5.801588

CF.NO_MODvNON_CF.CTRL
logFC AveExpr t P.Value adj.P.Val B
monocytes -0.0866804 0.1046134 -4.5306909 0.0000812 0.0012991 1.413145
CD8 T cells -0.0741143 0.1671905 -1.8914421 0.0679821 0.5438572 -4.779980
macrophages 0.0887124 1.1311489 1.3773538 0.1783099 0.7581057 -5.557175
NK-T cells 0.0121502 0.0158486 1.3412624 0.1895264 0.7581057 -5.603834
gamma delta T cells 0.0183142 0.0242845 1.1081569 0.2762713 0.8449842 -5.878127
neutrophils 0.0195569 0.0365714 1.0017495 0.3241777 0.8449842 -5.987338
B cells -0.0286482 0.1209003 -0.6654712 0.5106920 0.8449842 -6.263453
DC cells -0.0196543 0.1376617 -0.6424225 0.5253424 0.8449842 -6.278446
dividing innate cells -0.0073307 0.0232467 -0.5587345 0.5803349 0.8449842 -6.328590
innate lymphocyte 0.0095538 0.0733282 0.4797679 0.6347417 0.8449842 -6.369579

CF.IVAvNON_CF.CTRL
logFC AveExpr t P.Value adj.P.Val B
monocytes -0.0662473 0.1046134 -2.9328342 0.0062469 0.0999506 -2.462301
neutrophils 0.0375806 0.0365714 1.6304171 0.1130779 0.9046228 -4.944336
B cells -0.0518727 0.1209003 -1.0205810 0.3153863 0.9177239 -5.698767
CD8 T cells -0.0375963 0.1671905 -0.8126659 0.4226339 0.9177239 -5.882408
macrophages 0.0562524 1.1311489 0.7397390 0.4650480 0.9177239 -5.937399
mast cells 0.0078039 0.0158193 0.6658675 0.5103935 0.9177239 -5.988067
NK cells -0.0102128 0.0505933 -0.5331910 0.5976827 0.9177239 -6.065943
NK-T cells -0.0056516 0.0158486 -0.5284187 0.6009510 0.9177239 -6.068430
proliferating macrophages 0.0134737 0.1876178 0.4945648 0.6243790 0.9177239 -6.085437
epithelial cells -0.0174496 0.0868234 -0.3989841 0.6926521 0.9177239 -6.127450

CF.LUMA_IVAvNON_CF.CTRL
logFC AveExpr t P.Value adj.P.Val B
monocytes -0.0643277 0.1046134 -2.6369129 0.0129307 0.2068904 -3.058370
innate lymphocyte 0.0545310 0.0733282 2.1475906 0.0396307 0.3170456 -4.022453
neutrophils -0.0428130 0.0365714 -1.7198463 0.0953758 0.3290446 -4.744614
NK-T cells 0.0197436 0.0158486 1.7092746 0.0973393 0.3290446 -4.760848
mast cells -0.0212727 0.0158193 -1.6806490 0.1028264 0.3290446 -4.804395
CD4 T cells 0.0505941 0.1587382 1.0226167 0.3144378 0.8385007 -5.626538
NK cells 0.0171154 0.0505933 0.8273789 0.4143115 0.9454605 -5.799364
dividing innate cells -0.0074978 0.0232467 -0.4481766 0.6571254 0.9454605 -6.033954
proliferating macrophages 0.0116829 0.1876178 0.3970673 0.6940266 0.9454605 -6.055087
DC cells 0.0146423 0.1376617 0.3753407 0.7099742 0.9454605 -6.063289

Session info

The analysis and this document were prepared using the following software (click triangle to expand)
sessioninfo::session_info()
─ Session info ───────────────────────────────────────────────────────────────
 setting  value
 version  R version 4.3.3 (2024-02-29)
 os       Ubuntu 22.04.4 LTS
 system   x86_64, linux-gnu
 ui       X11
 language (EN)
 collate  en_AU.UTF-8
 ctype    en_AU.UTF-8
 tz       Etc/UTC
 date     2024-09-10
 pandoc   3.1.1 @ /usr/lib/rstudio-server/bin/quarto/bin/tools/ (via rmarkdown)

─ Packages ───────────────────────────────────────────────────────────────────
 ! package              * version    date (UTC) lib source
 P abind                  1.4-5      2016-07-21 [?] RSPM (R 4.3.0)
 P AnnotationDbi        * 1.64.1     2023-11-03 [?] Bioconductor
 P backports              1.4.1      2021-12-13 [?] RSPM (R 4.3.0)
 P base64enc              0.1-3      2015-07-28 [?] RSPM (R 4.3.0)
 P Biobase              * 2.62.0     2023-10-24 [?] Bioconductor
 P BiocGenerics         * 0.48.1     2023-11-01 [?] Bioconductor
 P BiocManager            1.30.22    2023-08-08 [?] RSPM (R 4.3.0)
 P Biostrings             2.70.2     2024-01-28 [?] Bioconductor 3.18 (R 4.3.3)
 P bit                    4.0.5      2022-11-15 [?] RSPM (R 4.3.0)
 P bit64                  4.0.5      2020-08-30 [?] RSPM (R 4.3.0)
 P bitops                 1.0-7      2021-04-24 [?] RSPM (R 4.3.0)
 P blob                   1.2.4      2023-03-17 [?] RSPM (R 4.3.0)
 P bslib                  0.6.1      2023-11-28 [?] RSPM (R 4.3.0)
 P cachem                 1.0.8      2023-05-01 [?] RSPM (R 4.3.0)
 P callr                  3.7.3      2022-11-02 [?] RSPM (R 4.3.0)
 P checkmate              2.3.1      2023-12-04 [?] RSPM (R 4.3.0)
 P circlize               0.4.15     2022-05-10 [?] RSPM (R 4.3.0)
 P cli                    3.6.2      2023-12-11 [?] RSPM (R 4.3.0)
 P clue                   0.3-65     2023-09-23 [?] RSPM (R 4.3.0)
 P cluster                2.1.6      2023-12-01 [?] CRAN (R 4.3.2)
 P clustree             * 0.5.1      2023-11-05 [?] RSPM (R 4.3.0)
 P codetools              0.2-19     2023-02-01 [?] CRAN (R 4.2.2)
 P colorspace             2.1-0      2023-01-23 [?] RSPM (R 4.3.0)
 P ComplexHeatmap         2.18.0     2023-10-24 [?] Bioconductor
 P cowplot                1.1.3      2024-01-22 [?] RSPM (R 4.3.0)
 P crayon                 1.5.2      2022-09-29 [?] RSPM (R 4.3.0)
 P data.table             1.15.0     2024-01-30 [?] RSPM (R 4.3.0)
 P DBI                    1.2.1      2024-01-12 [?] RSPM (R 4.3.0)
 P DelayedArray           0.28.0     2023-10-24 [?] Bioconductor
 P deldir                 2.0-2      2023-11-23 [?] RSPM (R 4.3.0)
 P dendextend             1.17.1     2023-03-25 [?] RSPM (R 4.3.0)
 P digest                 0.6.34     2024-01-11 [?] RSPM (R 4.3.0)
 P dittoSeq             * 1.14.2     2024-02-09 [?] Bioconductor 3.18 (R 4.3.3)
 P doParallel             1.0.17     2022-02-07 [?] RSPM (R 4.3.0)
 P dplyr                * 1.1.4      2023-11-17 [?] RSPM (R 4.3.0)
 P dynamicTreeCut         1.63-1     2016-03-11 [?] RSPM (R 4.3.0)
 P edgeR                * 4.0.15     2024-02-11 [?] Bioconductor 3.18 (R 4.3.3)
 P ellipsis               0.3.2      2021-04-29 [?] RSPM (R 4.3.0)
 P evaluate               0.23       2023-11-01 [?] RSPM (R 4.3.0)
 P fansi                  1.0.6      2023-12-08 [?] RSPM (R 4.3.0)
 P farver                 2.1.1      2022-07-06 [?] RSPM (R 4.3.0)
 P fastcluster            1.2.6      2024-01-12 [?] RSPM (R 4.3.0)
 P fastmap                1.1.1      2023-02-24 [?] RSPM (R 4.3.0)
 P fitdistrplus           1.1-11     2023-04-25 [?] RSPM (R 4.3.0)
 P forcats              * 1.0.0      2023-01-29 [?] RSPM (R 4.3.0)
 P foreach                1.5.2      2022-02-02 [?] RSPM (R 4.3.0)
 P foreign                0.8-86     2023-11-28 [?] CRAN (R 4.3.2)
 P Formula                1.2-5      2023-02-24 [?] RSPM (R 4.3.0)
 P fs                     1.6.3      2023-07-20 [?] RSPM (R 4.3.0)
 P future                 1.33.1     2023-12-22 [?] RSPM (R 4.3.0)
 P future.apply           1.11.1     2023-12-21 [?] RSPM (R 4.3.0)
 P generics               0.1.3      2022-07-05 [?] RSPM (R 4.3.0)
 P GenomeInfoDb         * 1.38.6     2024-02-08 [?] Bioconductor 3.18 (R 4.3.3)
 P GenomeInfoDbData       1.2.11     2024-04-23 [?] Bioconductor
 P GenomicRanges        * 1.54.1     2023-10-29 [?] Bioconductor
 P GetoptLong             1.0.5      2020-12-15 [?] RSPM (R 4.3.0)
 P getPass                0.2-4      2023-12-10 [?] RSPM (R 4.3.0)
 P ggforce                0.4.2      2024-02-19 [?] RSPM (R 4.3.0)
 P ggplot2              * 3.5.0      2024-02-23 [?] RSPM (R 4.3.0)
 P ggraph               * 2.2.0      2024-02-27 [?] RSPM (R 4.3.0)
 P ggrepel                0.9.5      2024-01-10 [?] RSPM (R 4.3.0)
 P ggridges               0.5.6      2024-01-23 [?] RSPM (R 4.3.0)
 P git2r                  0.33.0     2023-11-26 [?] RSPM (R 4.3.0)
 P glmGamPoi            * 1.14.3     2024-02-11 [?] Bioconductor 3.18 (R 4.3.3)
 P GlobalOptions          0.1.2      2020-06-10 [?] RSPM (R 4.3.0)
 P globals                0.16.2     2022-11-21 [?] RSPM (R 4.3.0)
 P glue                 * 1.7.0      2024-01-09 [?] RSPM (R 4.3.0)
 P GO.db                  3.18.0     2024-04-23 [?] Bioconductor
 P goftest                1.2-3      2021-10-07 [?] RSPM (R 4.3.0)
 P graphlayouts           1.1.0      2024-01-19 [?] RSPM (R 4.3.0)
 P gridExtra              2.3        2017-09-09 [?] RSPM (R 4.3.0)
 P gtable                 0.3.4      2023-08-21 [?] RSPM (R 4.3.0)
 P here                 * 1.0.1      2020-12-13 [?] RSPM (R 4.3.0)
 P highr                  0.10       2022-12-22 [?] RSPM (R 4.3.0)
 P Hmisc                  5.1-1      2023-09-12 [?] RSPM (R 4.3.0)
 P hms                    1.1.3      2023-03-21 [?] RSPM (R 4.3.0)
 P htmlTable              2.4.2      2023-10-29 [?] RSPM (R 4.3.0)
 P htmltools              0.5.7      2023-11-03 [?] RSPM (R 4.3.0)
 P htmlwidgets            1.6.4      2023-12-06 [?] RSPM (R 4.3.0)
 P httpuv                 1.6.14     2024-01-26 [?] RSPM (R 4.3.0)
 P httr                   1.4.7      2023-08-15 [?] RSPM (R 4.3.0)
 P ica                    1.0-3      2022-07-08 [?] RSPM (R 4.3.0)
 P igraph                 2.0.1.1    2024-01-30 [?] RSPM (R 4.3.0)
 P impute                 1.76.0     2023-10-24 [?] Bioconductor
 P IRanges              * 2.36.0     2023-10-24 [?] Bioconductor
 P irlba                  2.3.5.1    2022-10-03 [?] RSPM (R 4.3.0)
 P iterators              1.0.14     2022-02-05 [?] RSPM (R 4.3.0)
 P jquerylib              0.1.4      2021-04-26 [?] RSPM (R 4.3.0)
 P jsonlite               1.8.8      2023-12-04 [?] RSPM (R 4.3.0)
 P KEGGREST               1.42.0     2023-10-24 [?] Bioconductor
 P KernSmooth             2.23-24    2024-05-17 [?] RSPM (R 4.3.0)
 P knitr                  1.45       2023-10-30 [?] RSPM (R 4.3.0)
 P labeling               0.4.3      2023-08-29 [?] RSPM (R 4.3.0)
 P later                  1.3.2      2023-12-06 [?] RSPM (R 4.3.0)
 P lattice                0.22-5     2023-10-24 [?] CRAN (R 4.3.1)
 P lazyeval               0.2.2      2019-03-15 [?] RSPM (R 4.3.0)
 P leiden                 0.4.3.1    2023-11-17 [?] RSPM (R 4.3.0)
 P lifecycle              1.0.4      2023-11-07 [?] RSPM (R 4.3.0)
 P limma                * 3.58.1     2023-10-31 [?] Bioconductor
 P listenv                0.9.1      2024-01-29 [?] RSPM (R 4.3.0)
 P lmtest                 0.9-40     2022-03-21 [?] RSPM (R 4.3.0)
 P locfit                 1.5-9.8    2023-06-11 [?] RSPM (R 4.3.0)
 P lubridate            * 1.9.3      2023-09-27 [?] RSPM (R 4.3.0)
 P magrittr               2.0.3      2022-03-30 [?] RSPM (R 4.3.0)
 P MASS                   7.3-60.0.1 2024-01-13 [?] RSPM (R 4.3.0)
 P Matrix                 1.6-5      2024-01-11 [?] CRAN (R 4.3.3)
 P MatrixGenerics       * 1.14.0     2023-10-24 [?] Bioconductor
 P matrixStats          * 1.2.0      2023-12-11 [?] RSPM (R 4.3.0)
 P memoise                2.0.1      2021-11-26 [?] RSPM (R 4.3.0)
 P mime                   0.12       2021-09-28 [?] RSPM (R 4.3.0)
 P miniUI                 0.1.1.1    2018-05-18 [?] RSPM (R 4.3.0)
 P munsell                0.5.0      2018-06-12 [?] RSPM (R 4.3.0)
 P nlme                   3.1-164    2023-11-27 [?] RSPM (R 4.3.0)
 P nnet                   7.3-19     2023-05-03 [?] CRAN (R 4.3.1)
 P org.Hs.eg.db         * 3.18.0     2024-04-23 [?] Bioconductor
 P paletteer            * 1.6.0      2024-01-21 [?] RSPM (R 4.3.0)
 P parallelly             1.37.0     2024-02-14 [?] RSPM (R 4.3.0)
 P patchwork            * 1.2.0      2024-01-08 [?] RSPM (R 4.3.0)
 P pbapply                1.7-2      2023-06-27 [?] RSPM (R 4.3.0)
 P pheatmap               1.0.12     2019-01-04 [?] RSPM (R 4.3.0)
 P pillar                 1.9.0      2023-03-22 [?] RSPM (R 4.3.0)
 P pkgconfig              2.0.3      2019-09-22 [?] RSPM (R 4.3.0)
 P plotly                 4.10.4     2024-01-13 [?] RSPM (R 4.3.0)
 P plyr                   1.8.9      2023-10-02 [?] RSPM (R 4.3.0)
 P png                    0.1-8      2022-11-29 [?] RSPM (R 4.3.0)
 P polyclip               1.10-6     2023-09-27 [?] RSPM (R 4.3.0)
 P preprocessCore         1.64.0     2023-10-24 [?] Bioconductor
 P prismatic              1.1.1      2022-08-15 [?] RSPM (R 4.3.0)
 P processx               3.8.3      2023-12-10 [?] RSPM (R 4.3.0)
 P progressr              0.14.0     2023-08-10 [?] RSPM (R 4.3.0)
 P promises               1.2.1      2023-08-10 [?] RSPM (R 4.3.0)
 P ps                     1.7.6      2024-01-18 [?] RSPM (R 4.3.0)
 P purrr                * 1.0.2      2023-08-10 [?] RSPM (R 4.3.0)
 P R6                     2.5.1      2021-08-19 [?] RSPM (R 4.3.0)
 P RANN                   2.6.1      2019-01-08 [?] RSPM (R 4.3.0)
 P RColorBrewer           1.1-3      2022-04-03 [?] RSPM (R 4.3.0)
 P Rcpp                   1.0.12     2024-01-09 [?] RSPM (R 4.3.0)
 P RcppAnnoy              0.0.22     2024-01-23 [?] RSPM (R 4.3.0)
 P RCurl                  1.98-1.14  2024-01-09 [?] RSPM (R 4.3.0)
 P readr                * 2.1.5      2024-01-10 [?] RSPM (R 4.3.0)
 P rematch2               2.1.2      2020-05-01 [?] RSPM (R 4.3.0)
   renv                   1.0.3      2023-09-19 [1] CRAN (R 4.3.3)
 P reshape2               1.4.4      2020-04-09 [?] RSPM (R 4.3.0)
 P reticulate             1.35.0     2024-01-31 [?] RSPM (R 4.3.0)
 P rjson                  0.2.21     2022-01-09 [?] RSPM (R 4.3.0)
 P rlang                  1.1.3      2024-01-10 [?] RSPM (R 4.3.0)
 P rmarkdown              2.25       2023-09-18 [?] RSPM (R 4.3.0)
 P ROCR                   1.0-11     2020-05-02 [?] RSPM (R 4.3.0)
 P rpart                  4.1.23     2023-12-05 [?] RSPM (R 4.3.0)
 P rprojroot              2.0.4      2023-11-05 [?] RSPM (R 4.3.0)
 P RSQLite                2.3.5      2024-01-21 [?] RSPM (R 4.3.0)
 P rstudioapi             0.15.0     2023-07-07 [?] RSPM (R 4.3.0)
 P Rtsne                  0.17       2023-12-07 [?] RSPM (R 4.3.0)
 P S4Arrays               1.2.0      2023-10-24 [?] Bioconductor
 P S4Vectors            * 0.40.2     2023-11-23 [?] Bioconductor 3.18 (R 4.3.3)
 P sass                   0.4.8      2023-12-06 [?] RSPM (R 4.3.0)
 P scales                 1.3.0      2023-11-28 [?] RSPM (R 4.3.0)
 P scattermore            1.2        2023-06-12 [?] RSPM (R 4.3.0)
   sctransform            0.4.1      2023-10-19 [1] RSPM (R 4.3.0)
 P sessioninfo            1.2.2      2021-12-06 [?] RSPM (R 4.3.0)
   Seurat               * 4.4.0      2024-04-25 [1] https://satijalab.r-universe.dev (R 4.3.3)
   SeuratObject         * 4.1.4      2024-04-25 [1] https://satijalab.r-universe.dev (R 4.3.3)
 P shape                  1.4.6      2021-05-19 [?] RSPM (R 4.3.0)
 P shiny                  1.8.0      2023-11-17 [?] RSPM (R 4.3.0)
 P SingleCellExperiment * 1.24.0     2023-10-24 [?] Bioconductor
 P sp                     2.1-3      2024-01-30 [?] RSPM (R 4.3.0)
 P SparseArray            1.2.4      2024-02-11 [?] Bioconductor 3.18 (R 4.3.3)
 P spatstat.data          3.0-4      2024-01-15 [?] RSPM (R 4.3.0)
 P spatstat.explore       3.2-6      2024-02-01 [?] RSPM (R 4.3.0)
 P spatstat.geom          3.2-8      2024-01-26 [?] RSPM (R 4.3.0)
 P spatstat.random        3.2-2      2023-11-29 [?] RSPM (R 4.3.0)
 P spatstat.sparse        3.0-3      2023-10-24 [?] RSPM (R 4.3.0)
 P spatstat.utils         3.0-4      2023-10-24 [?] RSPM (R 4.3.0)
 P speckle              * 1.2.0      2023-10-24 [?] Bioconductor
 P statmod                1.5.0      2023-01-06 [?] RSPM (R 4.3.0)
 P stringi                1.8.3      2023-12-11 [?] RSPM (R 4.3.0)
 P stringr              * 1.5.1      2023-11-14 [?] RSPM (R 4.3.0)
 P SummarizedExperiment * 1.32.0     2023-10-24 [?] Bioconductor
 P survival               3.7-0      2024-06-05 [?] RSPM (R 4.3.0)
 P tensor                 1.5        2012-05-05 [?] RSPM (R 4.3.0)
 P tibble               * 3.2.1      2023-03-20 [?] RSPM (R 4.3.0)
 P tidygraph              1.3.1      2024-01-30 [?] RSPM (R 4.3.0)
 P tidyHeatmap          * 1.8.1      2022-05-20 [?] RSPM (R 4.3.3)
 P tidyr                * 1.3.1      2024-01-24 [?] RSPM (R 4.3.0)
 P tidyselect             1.2.0      2022-10-10 [?] RSPM (R 4.3.0)
 P tidyverse            * 2.0.0      2023-02-22 [?] RSPM (R 4.3.0)
 P timechange             0.3.0      2024-01-18 [?] RSPM (R 4.3.0)
 P tweenr                 2.0.3      2024-02-26 [?] RSPM (R 4.3.0)
 P tzdb                   0.4.0      2023-05-12 [?] RSPM (R 4.3.0)
 P utf8                   1.2.4      2023-10-22 [?] RSPM (R 4.3.0)
 P uwot                   0.1.16     2023-06-29 [?] RSPM (R 4.3.0)
 P vctrs                  0.6.5      2023-12-01 [?] RSPM (R 4.3.0)
 P viridis                0.6.5      2024-01-29 [?] RSPM (R 4.3.0)
 P viridisLite            0.4.2      2023-05-02 [?] RSPM (R 4.3.0)
 P WGCNA                  1.72-5     2023-12-07 [?] RSPM (R 4.3.3)
 P whisker                0.4.1      2022-12-05 [?] RSPM (R 4.3.0)
 P withr                  3.0.0      2024-01-16 [?] RSPM (R 4.3.0)
 P workflowr            * 1.7.1      2023-08-23 [?] RSPM (R 4.3.0)
 P xfun                   0.42       2024-02-08 [?] RSPM (R 4.3.0)
 P xtable                 1.8-4      2019-04-21 [?] RSPM (R 4.3.0)
 P XVector                0.42.0     2023-10-24 [?] Bioconductor
 P yaml                   2.3.8      2023-12-11 [?] RSPM (R 4.3.0)
 P zlibbioc               1.48.0     2023-10-24 [?] Bioconductor
 P zoo                    1.8-12     2023-04-13 [?] RSPM (R 4.3.0)

 [1] /mnt/allandata/jovana_data/paed-inflammation-CITEseq/renv/library/R-4.3/x86_64-pc-linux-gnu
 [2] /home/jovana/.cache/R/renv/sandbox/R-4.3/x86_64-pc-linux-gnu/9a444a72

 P ── Loaded and on-disk path mismatch.

──────────────────────────────────────────────────────────────────────────────

sessionInfo()
R version 4.3.3 (2024-02-29)
Platform: x86_64-pc-linux-gnu (64-bit)
Running under: Ubuntu 22.04.4 LTS

Matrix products: default
BLAS:   /usr/lib/x86_64-linux-gnu/openblas-pthread/libblas.so.3 
LAPACK: /usr/lib/x86_64-linux-gnu/openblas-pthread/libopenblasp-r0.3.20.so;  LAPACK version 3.10.0

locale:
 [1] LC_CTYPE=en_AU.UTF-8       LC_NUMERIC=C              
 [3] LC_TIME=en_AU.UTF-8        LC_COLLATE=en_AU.UTF-8    
 [5] LC_MONETARY=en_AU.UTF-8    LC_MESSAGES=en_AU.UTF-8   
 [7] LC_PAPER=en_AU.UTF-8       LC_NAME=C                 
 [9] LC_ADDRESS=C               LC_TELEPHONE=C            
[11] LC_MEASUREMENT=en_AU.UTF-8 LC_IDENTIFICATION=C       

time zone: Etc/UTC
tzcode source: system (glibc)

attached base packages:
[1] stats4    stats     graphics  grDevices datasets  utils     methods  
[8] base     

other attached packages:
 [1] here_1.0.1                  tidyHeatmap_1.8.1          
 [3] paletteer_1.6.0             patchwork_1.2.0            
 [5] speckle_1.2.0               glue_1.7.0                 
 [7] org.Hs.eg.db_3.18.0         AnnotationDbi_1.64.1       
 [9] clustree_0.5.1              ggraph_2.2.0               
[11] dittoSeq_1.14.2             glmGamPoi_1.14.3           
[13] SeuratObject_4.1.4          Seurat_4.4.0               
[15] lubridate_1.9.3             forcats_1.0.0              
[17] stringr_1.5.1               dplyr_1.1.4                
[19] purrr_1.0.2                 readr_2.1.5                
[21] tidyr_1.3.1                 tibble_3.2.1               
[23] ggplot2_3.5.0               tidyverse_2.0.0            
[25] edgeR_4.0.15                limma_3.58.1               
[27] SingleCellExperiment_1.24.0 SummarizedExperiment_1.32.0
[29] Biobase_2.62.0              GenomicRanges_1.54.1       
[31] GenomeInfoDb_1.38.6         IRanges_2.36.0             
[33] S4Vectors_0.40.2            BiocGenerics_0.48.1        
[35] MatrixGenerics_1.14.0       matrixStats_1.2.0          
[37] workflowr_1.7.1            

loaded via a namespace (and not attached):
  [1] fs_1.6.3                spatstat.sparse_3.0-3   bitops_1.0-7           
  [4] httr_1.4.7              RColorBrewer_1.1-3      doParallel_1.0.17      
  [7] dynamicTreeCut_1.63-1   backports_1.4.1         tools_4.3.3            
 [10] sctransform_0.4.1       utf8_1.2.4              R6_2.5.1               
 [13] lazyeval_0.2.2          uwot_0.1.16             GetoptLong_1.0.5       
 [16] withr_3.0.0             sp_2.1-3                gridExtra_2.3          
 [19] preprocessCore_1.64.0   progressr_0.14.0        WGCNA_1.72-5           
 [22] cli_3.6.2               spatstat.explore_3.2-6  labeling_0.4.3         
 [25] sass_0.4.8              prismatic_1.1.1         spatstat.data_3.0-4    
 [28] ggridges_0.5.6          pbapply_1.7-2           foreign_0.8-86         
 [31] sessioninfo_1.2.2       parallelly_1.37.0       impute_1.76.0          
 [34] rstudioapi_0.15.0       RSQLite_2.3.5           generics_0.1.3         
 [37] shape_1.4.6             ica_1.0-3               spatstat.random_3.2-2  
 [40] dendextend_1.17.1       GO.db_3.18.0            Matrix_1.6-5           
 [43] fansi_1.0.6             abind_1.4-5             lifecycle_1.0.4        
 [46] whisker_0.4.1           yaml_2.3.8              SparseArray_1.2.4      
 [49] Rtsne_0.17              grid_4.3.3              blob_1.2.4             
 [52] promises_1.2.1          crayon_1.5.2            miniUI_0.1.1.1         
 [55] lattice_0.22-5          cowplot_1.1.3           KEGGREST_1.42.0        
 [58] pillar_1.9.0            knitr_1.45              ComplexHeatmap_2.18.0  
 [61] rjson_0.2.21            future.apply_1.11.1     codetools_0.2-19       
 [64] leiden_0.4.3.1          getPass_0.2-4           data.table_1.15.0      
 [67] vctrs_0.6.5             png_0.1-8               gtable_0.3.4           
 [70] rematch2_2.1.2          cachem_1.0.8            xfun_0.42              
 [73] S4Arrays_1.2.0          mime_0.12               tidygraph_1.3.1        
 [76] survival_3.7-0          pheatmap_1.0.12         iterators_1.0.14       
 [79] statmod_1.5.0           ellipsis_0.3.2          fitdistrplus_1.1-11    
 [82] ROCR_1.0-11             nlme_3.1-164            bit64_4.0.5            
 [85] RcppAnnoy_0.0.22        rprojroot_2.0.4         bslib_0.6.1            
 [88] irlba_2.3.5.1           rpart_4.1.23            KernSmooth_2.23-24     
 [91] Hmisc_5.1-1             colorspace_2.1-0        DBI_1.2.1              
 [94] nnet_7.3-19             tidyselect_1.2.0        processx_3.8.3         
 [97] bit_4.0.5               compiler_4.3.3          git2r_0.33.0           
[100] htmlTable_2.4.2         DelayedArray_0.28.0     plotly_4.10.4          
[103] checkmate_2.3.1         scales_1.3.0            lmtest_0.9-40          
[106] callr_3.7.3             digest_0.6.34           goftest_1.2-3          
[109] spatstat.utils_3.0-4    rmarkdown_2.25          XVector_0.42.0         
[112] base64enc_0.1-3         htmltools_0.5.7         pkgconfig_2.0.3        
[115] highr_0.10              fastmap_1.1.1           rlang_1.1.3            
[118] GlobalOptions_0.1.2     htmlwidgets_1.6.4       shiny_1.8.0            
[121] farver_2.1.1            jquerylib_0.1.4         zoo_1.8-12             
[124] jsonlite_1.8.8          RCurl_1.98-1.14         magrittr_2.0.3         
[127] Formula_1.2-5           GenomeInfoDbData_1.2.11 munsell_0.5.0          
[130] Rcpp_1.0.12             viridis_0.6.5           reticulate_1.35.0      
[133] stringi_1.8.3           zlibbioc_1.48.0         MASS_7.3-60.0.1        
[136] plyr_1.8.9              parallel_4.3.3          listenv_0.9.1          
[139] ggrepel_0.9.5           deldir_2.0-2            Biostrings_2.70.2      
[142] graphlayouts_1.1.0      splines_4.3.3           tensor_1.5             
[145] hms_1.1.3               circlize_0.4.15         locfit_1.5-9.8         
[148] ps_1.7.6                fastcluster_1.2.6       igraph_2.0.1.1         
[151] spatstat.geom_3.2-8     reshape2_1.4.4          evaluate_0.23          
[154] renv_1.0.3              BiocManager_1.30.22     tzdb_0.4.0             
[157] foreach_1.5.2           tweenr_2.0.3            httpuv_1.6.14          
[160] RANN_2.6.1              polyclip_1.10-6         future_1.33.1          
[163] clue_0.3-65             scattermore_1.2         ggforce_0.4.2          
[166] xtable_1.8-4            later_1.3.2             viridisLite_0.4.2      
[169] memoise_2.0.1           cluster_2.1.6           timechange_0.3.0       
[172] globals_0.16.2