Last updated: 2019-09-23

Checks: 6 1

Knit directory: csna_workflow/

This reproducible R Markdown analysis was created with workflowr (version 1.4.0). The Checks tab describes the reproducibility checks that were applied when the results were created. The Past versions tab lists the development history.


Great! Since the R Markdown file has been committed to the Git repository, you know the exact version of the code that produced these results.

Great job! The global environment was empty. Objects defined in the global environment can affect the analysis in your R Markdown file in unknown ways. For reproduciblity it’s best to always run the code in an empty environment.

The command set.seed(20190918) was run prior to running the code in the R Markdown file. Setting a seed ensures that any results that rely on randomness, e.g. subsampling or permutations, are reproducible.

Great job! Recording the operating system, R version, and package versions is critical for reproducibility.

Nice! There were no cached chunks for this analysis, so you can be confident that you successfully produced the results during this run.

Using absolute paths to the files within your workflowr project makes it difficult for you and others to run your code on a different machine. Change the absolute path(s) below to the suggested relative path(s) to make your code more reproducible.

absolute relative
/projects/heh/csna_workflow/output/prop_across_generation_chr output/prop_across_generation_chr

Great! You are using Git for version control. Tracking code development and connecting the code version to the results is critical for reproducibility. The version displayed above was the version of the Git repository at the time these results were generated.

Note that you need to be careful to ensure that all relevant files for the analysis have been committed to Git prior to generating the results (you can use wflow_publish or wflow_git_commit). workflowr only checks the R Markdown file, but you know if there are other scripts or data files that it depends on. Below is the status of the Git repository when the results were generated:


Ignored files:
    Ignored:    output/permu/

Untracked files:
    Untracked:  analysis/01_geneseek2qtl2.R
    Untracked:  analysis/01_geneseek2qtl2.Rout
    Untracked:  analysis/01_geneseek2qtl2.script
    Untracked:  analysis/01_geneseek2qtl2.stderr
    Untracked:  analysis/01_geneseek2qtl2.stdout
    Untracked:  analysis/02_geneseek2intensity.R
    Untracked:  analysis/02_geneseek2intensity.Rout
    Untracked:  analysis/02_geneseek2intensity.script
    Untracked:  analysis/02_geneseek2intensity.stderr
    Untracked:  analysis/02_geneseek2intensity.stdout
    Untracked:  analysis/03_firstgm2genoprobs.R
    Untracked:  analysis/03_firstgm2genoprobs.Rout
    Untracked:  analysis/03_firstgm2genoprobs.script
    Untracked:  analysis/03_firstgm2genoprobs.stderr
    Untracked:  analysis/03_firstgm2genoprobs.stdout
    Untracked:  analysis/04_diagnosis_qc_gigamuga_nine_batches.R
    Untracked:  analysis/04_diagnosis_qc_gigamuga_nine_batches.Rout
    Untracked:  analysis/04_diagnosis_qc_gigamuga_nine_batches.script
    Untracked:  analysis/04_diagnosis_qc_gigamuga_nine_batches.stderr
    Untracked:  analysis/04_diagnosis_qc_gigamuga_nine_batches.stdout
    Untracked:  analysis/05_after_diagnosis_qc_gigamuga_nine_batches.R
    Untracked:  analysis/05_after_diagnosis_qc_gigamuga_nine_batches.Rout
    Untracked:  analysis/05_after_diagnosis_qc_gigamuga_nine_batches.script
    Untracked:  analysis/05_after_diagnosis_qc_gigamuga_nine_batches.stderr
    Untracked:  analysis/05_after_diagnosis_qc_gigamuga_nine_batches.stdout
    Untracked:  analysis/06_final_pr_apr_69K.R
    Untracked:  analysis/06_final_pr_apr_69K.Rout
    Untracked:  analysis/06_final_pr_apr_69K.script
    Untracked:  analysis/06_final_pr_apr_69K.stderr
    Untracked:  analysis/06_final_pr_apr_69K.stdout
    Untracked:  analysis/07.1_html_founder_prop.R
    Untracked:  analysis/07.1_html_founder_prop.Rout
    Untracked:  analysis/07.1_html_founder_prop.script
    Untracked:  analysis/07.1_html_founder_prop.stderr
    Untracked:  analysis/07.1_html_founder_prop.stdout
    Untracked:  analysis/07_recomb_size_founder_prop.R
    Untracked:  analysis/07_recomb_size_founder_prop.Rout
    Untracked:  analysis/07_recomb_size_founder_prop.script
    Untracked:  analysis/07_recomb_size_founder_prop.stderr
    Untracked:  analysis/07_recomb_size_founder_prop.stdout
    Untracked:  analysis/08_gcta_herit.R
    Untracked:  analysis/09_qtlmapping.R
    Untracked:  analysis/10_qtl_permu.R
    Untracked:  analysis/Novelty_resids_datarelease_07302918.gcta.Rout
    Untracked:  analysis/Novelty_resids_datarelease_07302918.gcta.script
    Untracked:  analysis/Novelty_resids_datarelease_07302918.gcta.stderr
    Untracked:  analysis/Novelty_resids_datarelease_07302918.gcta.stdout
    Untracked:  analysis/Novelty_resids_datarelease_07302918_m1.Rout
    Untracked:  analysis/Novelty_resids_datarelease_07302918_m1.script
    Untracked:  analysis/Novelty_resids_datarelease_07302918_m1.stderr
    Untracked:  analysis/Novelty_resids_datarelease_07302918_m1.stdout
    Untracked:  analysis/Novelty_resids_datarelease_07302918_m2.Rout
    Untracked:  analysis/Novelty_resids_datarelease_07302918_m2.script
    Untracked:  analysis/Novelty_resids_datarelease_07302918_m2.stderr
    Untracked:  analysis/Novelty_resids_datarelease_07302918_m2.stdout
    Untracked:  analysis/Novelty_resids_datarelease_07302918_m3.Rout
    Untracked:  analysis/Novelty_resids_datarelease_07302918_m3.script
    Untracked:  analysis/Novelty_resids_datarelease_07302918_m3.stderr
    Untracked:  analysis/Novelty_resids_datarelease_07302918_m3.stdout
    Untracked:  analysis/Novelty_resids_datarelease_07302918_m3_1.Rout
    Untracked:  analysis/Novelty_resids_datarelease_07302918_m3_1.script
    Untracked:  analysis/Novelty_resids_datarelease_07302918_m3_1.stderr
    Untracked:  analysis/Novelty_resids_datarelease_07302918_m3_1.stdout
    Untracked:  analysis/Novelty_resids_datarelease_07302918_m3_2.Rout
    Untracked:  analysis/Novelty_resids_datarelease_07302918_m3_2.script
    Untracked:  analysis/Novelty_resids_datarelease_07302918_m3_2.stderr
    Untracked:  analysis/Novelty_resids_datarelease_07302918_m3_2.stdout
    Untracked:  analysis/Novelty_resids_datarelease_07302918_m3_3.Rout
    Untracked:  analysis/Novelty_resids_datarelease_07302918_m3_3.script
    Untracked:  analysis/Novelty_resids_datarelease_07302918_m3_3.stderr
    Untracked:  analysis/Novelty_resids_datarelease_07302918_m3_3.stdout
    Untracked:  analysis/Novelty_resids_datarelease_07302918_m3_4.Rout
    Untracked:  analysis/Novelty_resids_datarelease_07302918_m3_4.script
    Untracked:  analysis/Novelty_resids_datarelease_07302918_m3_4.stderr
    Untracked:  analysis/Novelty_resids_datarelease_07302918_m3_4.stdout
    Untracked:  analysis/Novelty_resids_datarelease_07302918_m3_5.Rout
    Untracked:  analysis/Novelty_resids_datarelease_07302918_m3_5.script
    Untracked:  analysis/Novelty_resids_datarelease_07302918_m3_5.stderr
    Untracked:  analysis/Novelty_resids_datarelease_07302918_m3_5.stdout
    Untracked:  analysis/Novelty_residuals_RankNormal_datarelease_07302918.gcta.Rout
    Untracked:  analysis/Novelty_residuals_RankNormal_datarelease_07302918.gcta.script
    Untracked:  analysis/Novelty_residuals_RankNormal_datarelease_07302918.gcta.stderr
    Untracked:  analysis/Novelty_residuals_RankNormal_datarelease_07302918.gcta.stdout
    Untracked:  analysis/Novelty_residuals_RankNormal_datarelease_07302918_m1.Rout
    Untracked:  analysis/Novelty_residuals_RankNormal_datarelease_07302918_m1.script
    Untracked:  analysis/Novelty_residuals_RankNormal_datarelease_07302918_m1.stderr
    Untracked:  analysis/Novelty_residuals_RankNormal_datarelease_07302918_m1.stdout
    Untracked:  analysis/Novelty_residuals_RankNormal_datarelease_07302918_m2.Rout
    Untracked:  analysis/Novelty_residuals_RankNormal_datarelease_07302918_m2.script
    Untracked:  analysis/Novelty_residuals_RankNormal_datarelease_07302918_m2.stderr
    Untracked:  analysis/Novelty_residuals_RankNormal_datarelease_07302918_m2.stdout
    Untracked:  analysis/Novelty_residuals_RankNormal_datarelease_07302918_m3.Rout
    Untracked:  analysis/Novelty_residuals_RankNormal_datarelease_07302918_m3.script
    Untracked:  analysis/Novelty_residuals_RankNormal_datarelease_07302918_m3.stderr
    Untracked:  analysis/Novelty_residuals_RankNormal_datarelease_07302918_m3.stdout
    Untracked:  analysis/run_01_geneseek2qtl2.R
    Untracked:  analysis/run_02_geneseek2intensity.R
    Untracked:  analysis/run_03_firstgm2genoprobs.R
    Untracked:  analysis/run_04_diagnosis_qc_gigamuga_nine_batches.R
    Untracked:  analysis/run_05_after_diagnosis_qc_gigamuga_nine_batches.R
    Untracked:  analysis/run_06_final_pr_apr_69K.R
    Untracked:  analysis/run_07.1_html_founder_prop.R
    Untracked:  analysis/run_07_recomb_size_founder_prop.R
    Untracked:  analysis/run_08_gcta_herit.R
    Untracked:  analysis/run_09_qtlmapping.R
    Untracked:  analysis/run_10_qtl_permu.R
    Untracked:  code/reconst_utils.R
    Untracked:  data/FinalReport/
    Untracked:  data/GCTA/
    Untracked:  data/GM/
    Untracked:  data/Jackson_Lab_Bubier_MURGIGV01/
    Untracked:  data/cc_variants.sqlite
    Untracked:  data/marker_grid_0.02cM_plus.txt
    Untracked:  data/mouse_genes_mgi.sqlite
    Untracked:  data/pheno/
    Untracked:  output/AfterQC_Percent_missing_genotype_data.pdf
    Untracked:  output/AfterQC_Proportion_matching_genotypes_after_removal_of_bad_samples.pdf
    Untracked:  output/AfterQC_Proportion_matching_genotypes_before_removal_of_bad_samples.pdf
    Untracked:  output/AfterQC_number_crossover.pdf
    Untracked:  output/Percent_genotype_errors_obs_vs_predicted.pdf
    Untracked:  output/Percent_missing_genotype_data.pdf
    Untracked:  output/Percent_missing_genotype_data_per_marker.pdf
    Untracked:  output/Proportion_matching_genotypes_after_removal_of_bad_samples.pdf
    Untracked:  output/Proportion_matching_genotypes_before_removal_of_bad_samples.pdf
    Untracked:  output/genotype_error_marker.pdf
    Untracked:  output/genotype_frequency_marker.pdf
    Untracked:  output/m1.Novelty_resids_datarelease_07302918.RData
    Untracked:  output/m1.Novelty_residuals_RankNormal_datarelease_07302918.RData
    Untracked:  output/m2.Novelty_resids_datarelease_07302918.RData
    Untracked:  output/m2.Novelty_residuals_RankNormal_datarelease_07302918.RData
    Untracked:  output/m3.Novelty_resids_datarelease_07302918.RData
    Untracked:  output/m3.Novelty_residuals_RankNormal_datarelease_07302918.RData
    Untracked:  output/num.geno.pheno.in.Novelty_resids_datarelease_07302918.csv
    Untracked:  output/num.geno.pheno.in.Novelty_residuals_RankNormal_datarelease_07302918.csv
    Untracked:  output/number_crossover.pdf
    Untracked:  output/prop_across_generation_chr_p.RData

Unstaged changes:
    Modified:   README.md
    Modified:   _workflowr.yml

Note that any generated files, e.g. HTML, png, CSS, etc., are not included in this status report because it is ok for generated content to have uncommitted changes.


These are the previous versions of the R Markdown and HTML files. If you’ve configured a remote Git repository (see ?wflow_git_remote), click on the hyperlinks in the table below to view them.

File Version Author Date Message
Rmd fb74e74 xhyuo 2019-09-23 07_recomb_size_founder_prop.Rmd
html 97188bc xhyuo 2019-09-23 Build site.
Rmd e3f5af2 xhyuo 2019-09-23 07_recomb_size_founder_prop.Rmd
html 0d00279 xhyuo 2019-09-23 Build site.
Rmd 504d14d xhyuo 2019-09-23 07_recomb_size_founder_prop.Rmd

This script will plot the recombination block size and founder props across all generations

library

library(qtl2)
library(abind)
library(tidyverse)
library(plotly)
require(vcd)
require(MASS)
options(stringsAsFactors = F)

# Reformat for tidyverse.
reformat_probs = function(probs) {
  
  mat = matrix(0, nrow = nrow(probs) * dim(probs)[3], ncol = 8,
               dimnames = list(rep(rownames(probs), dim(probs)[3]),
                               names(CCcolors)))
  for(i in 1:dim(probs)[3]) {
    st = (i - 1) * nrow(probs) + 1
    en = i * nrow(probs)
    mat[st:en,] = probs[,,i]
  } # for(i)
  
  return(data.frame(chr = rep(markers$chr, each = nrow(probs)), 
                    pos = rep(markers$pos, each = nrow(probs)), mat))
  
} # reformat_probs()

# NOTE: I'm using a lower case L as the beginning of 129 becuase
#       the tidy functions won't allow a number or a "_" at the 
#       beginning of a variable name.
names(CCcolors) = c("A_J", "C57BL_6J", "l29S1_SvImJ", "NOD_ShiLtJ", 
                    "NZO_HlLtJ", "CAST_EiJ", "PWK_PhJ", "WSB_EiJ")

plot founder_proportions

#allele probs
load("data/Jackson_Lab_Bubier_MURGIGV01/apr_DO2437.RData")
#geno probs
load("data/Jackson_Lab_Bubier_MURGIGV01/pr_DO2437.RData")
#cross infor
load("data/Jackson_Lab_Bubier_MURGIGV01/gm_DO2437_qc.RData")

#combine all chrs into one 3d array
apr.3d.all <- do.call("abind",list(apr,along = 3))
rm(apr)

# Load in the markers.
load(url("ftp://ftp.jax.org/MUGA/GM_snps.Rdata"))
GM_snps <- GM_snps[!is.na(GM_snps$chr),]
GM_snps$chr <- factor(GM_snps$chr)
markers = GM_snps[intersect(dimnames(apr.3d.all)[[3]],GM_snps$marker),1:4]
markers$chr = factor(markers$chr, levels = c(1:19, "X"))

# subset to the markers
apr.3d.all <- apr.3d.all[,,markers$marker]

#subset to each generation
for(g in unique(gm_DO2437_qc$covar$ngen)){
  #g = "21"
  print(g)
  apr.3d <- apr.3d.all[gm_DO2437_qc$covar[gm_DO2437_qc$covar$ngen == g,"id"],,]
  
  #reformat
  probs = reformat_probs(apr.3d)
  gc()
  
  # Summarize founder proportion by chromosome.
  fp = probs %>% group_by(chr, pos) %>%
    summarize_all(mean) %>%
    gather(founder, prop, 3:10)
  fp$founder = factor(fp$founder, levels = names(CCcolors))
  
  #plot for all the chromosomes
  png(paste0("output/DO_Gigamuga_founder_proportions_G", g, ".png"), width = 3600,
      height = 2000, res = 128)
  p1 <- ggplot(fp, aes(pos, prop, color = founder)) +
    geom_line() + 
    geom_hline(yintercept=0.125, linetype="dashed", color = "black", size = 0.25) +
    scale_color_manual(values = CCcolors) +
    facet_grid(chr~founder)
  print(p1)
  dev.off()
  print(p1)
  
  # Make a plot of just Chr 2.
  png(paste0("output/DO_Gigamuga_founder_proportions_chr2_G", g, ".png"), width = 1200,
      height = 800, res = 128)
  p2 <- fp %>% filter(chr == 2) %>% 
    ggplot(aes(pos, prop, color = founder)) +
    geom_line() +
    geom_hline(yintercept=0.125, linetype="dashed", color = "black", size = 0.25) +
    scale_color_manual(values = CCcolors) +
    facet_grid(founder~.)+ 
    labs(title = "Chr 2")
  print(p2)
  dev.off()
  print(p2)
  
  #plot on chr2 for WSB
  png(paste0("output/DO_Gigamuga_chr2_WSB_G", g, ".png"), width = 1200,
      height = 800, res = 128)
  chr2 = probs[probs$chr == 2, c(1,2,10)]
  agg = aggregate(chr2$WSB_EiJ, list(chr2$pos), mean)
  plot(agg, type = "l", ylab = "prop", xlab = "Chr2", col = "#B10DC9")
  abline(h=0.125, col="black")
  dev.off()
  
  chr2 = probs[probs$chr == 2, c(1,2,10)]
  agg = aggregate(chr2$WSB_EiJ, list(chr2$pos), mean)
  plot(agg, type = "l", ylab = "prop", xlab = "Chr2", col = "#B10DC9")
  abline(h=0.125, col="black")
}
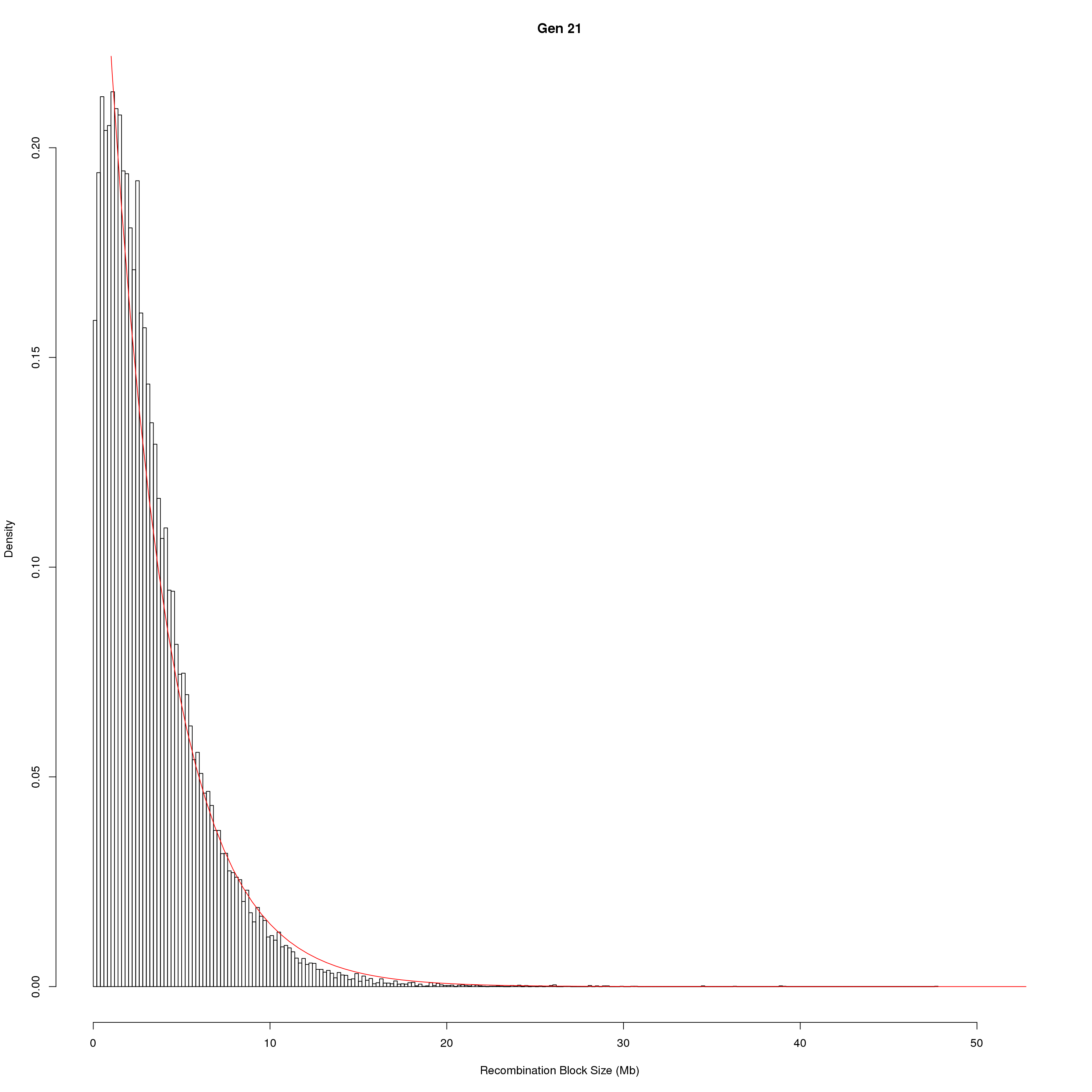
[1] "21"

Version Author Date
0d00279 xhyuo 2019-09-23

Version Author Date
0d00279 xhyuo 2019-09-23
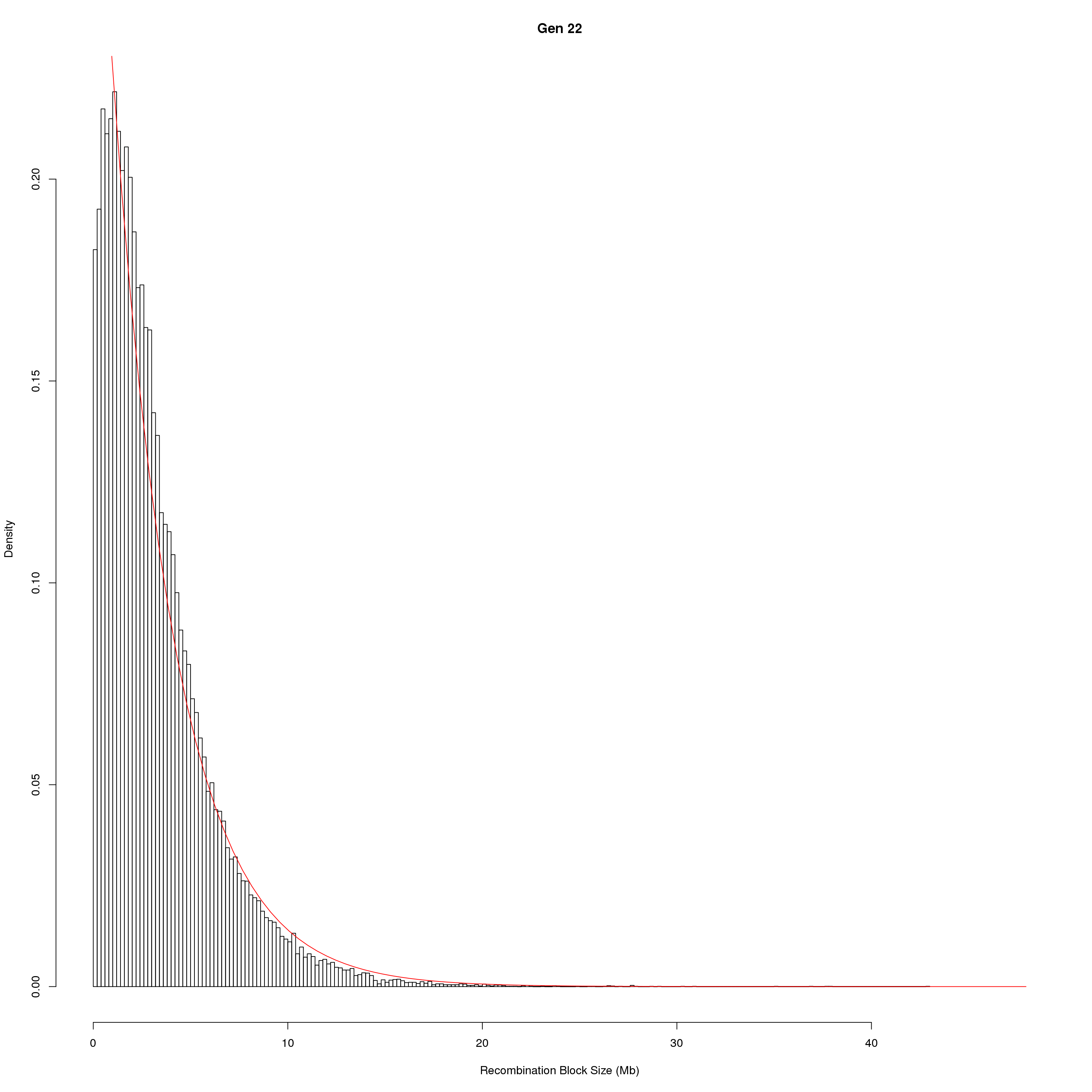
[1] "22"

Version Author Date
0d00279 xhyuo 2019-09-23

Version Author Date
0d00279 xhyuo 2019-09-23

Version Author Date
0d00279 xhyuo 2019-09-23
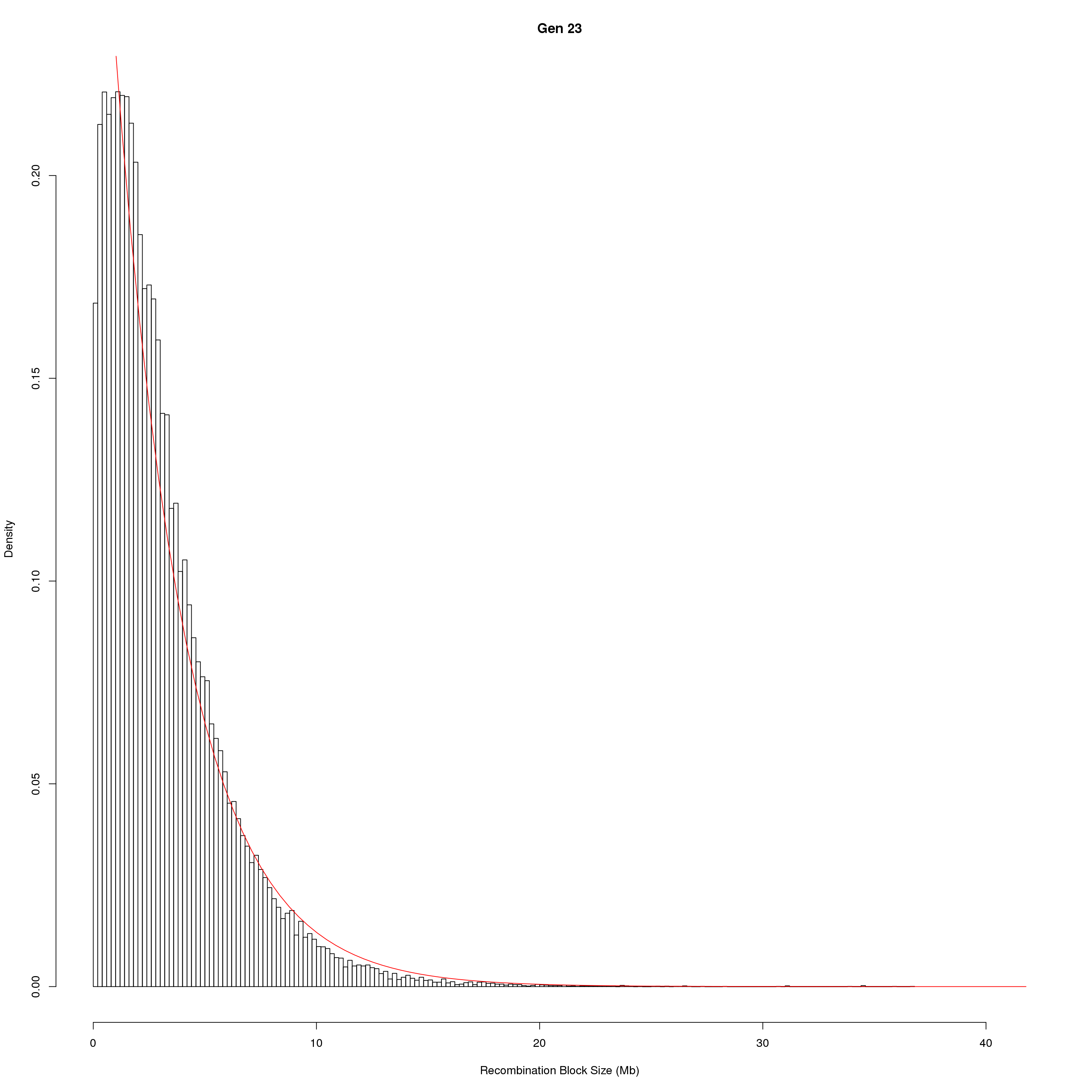
[1] "23"

Version Author Date
0d00279 xhyuo 2019-09-23

Version Author Date
0d00279 xhyuo 2019-09-23

Version Author Date
0d00279 xhyuo 2019-09-23
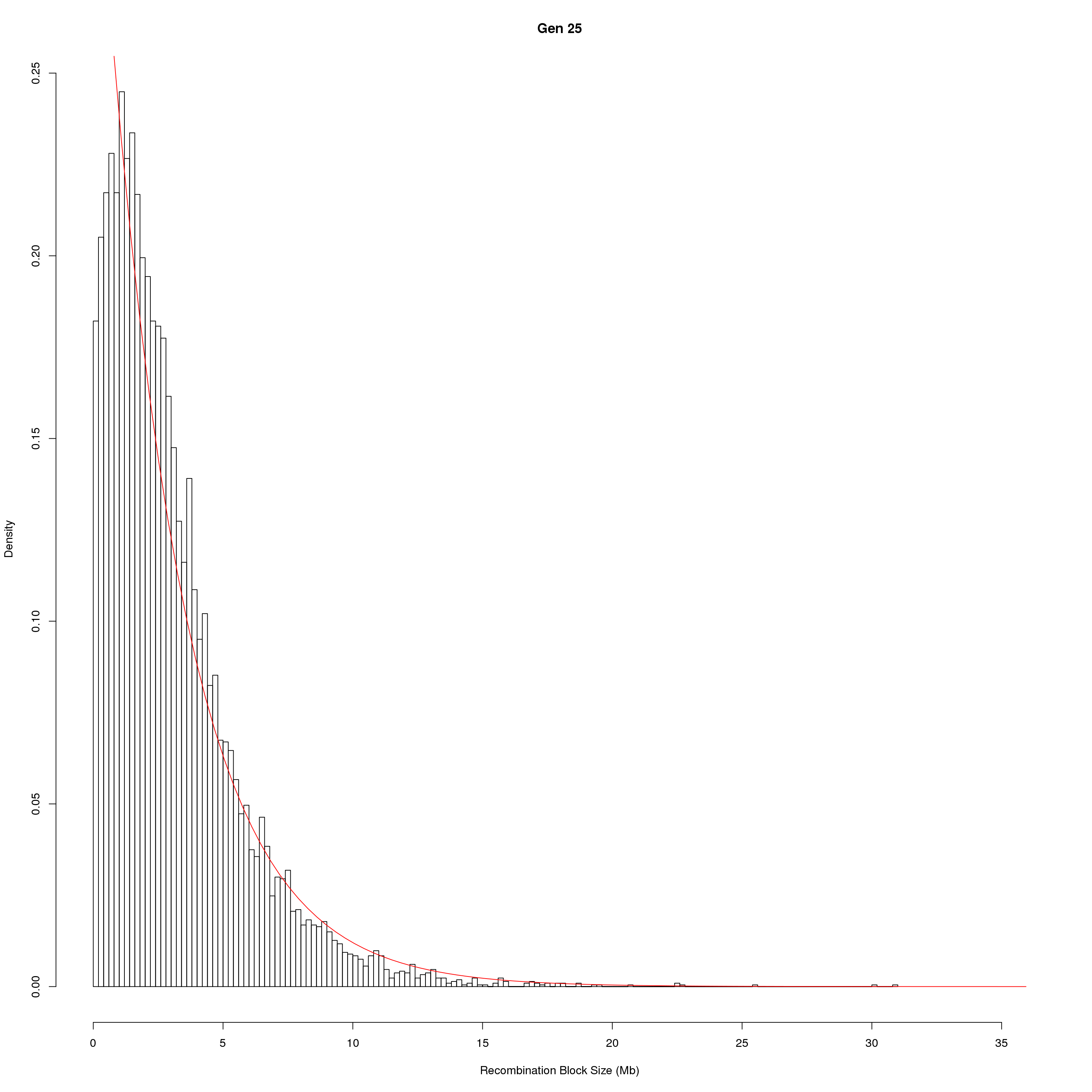
[1] "25"

Version Author Date
0d00279 xhyuo 2019-09-23

Version Author Date
0d00279 xhyuo 2019-09-23

Version Author Date
0d00279 xhyuo 2019-09-23
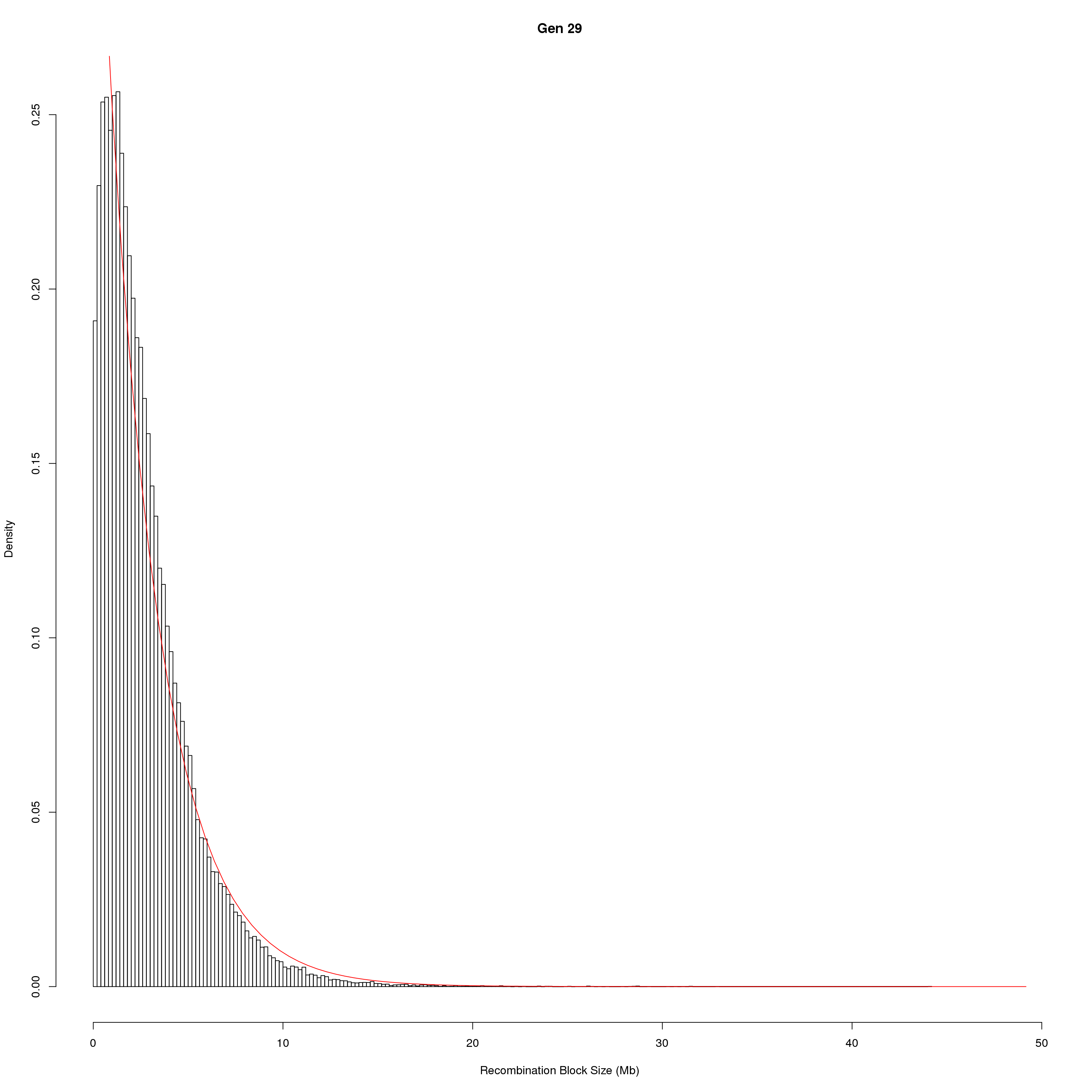
[1] "29"

Version Author Date
0d00279 xhyuo 2019-09-23

Version Author Date
0d00279 xhyuo 2019-09-23

Version Author Date
0d00279 xhyuo 2019-09-23
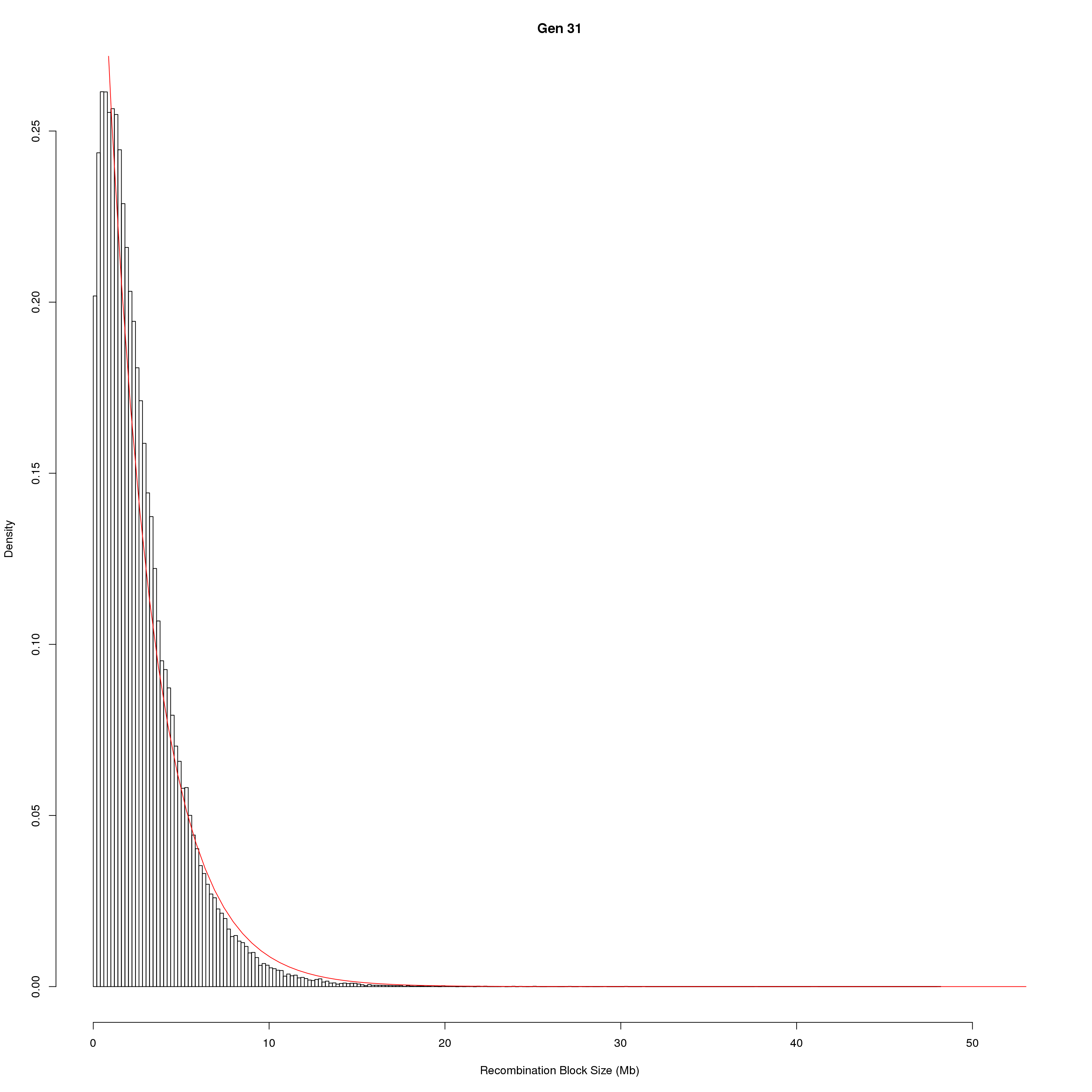
[1] "31"

Version Author Date
0d00279 xhyuo 2019-09-23

Version Author Date
0d00279 xhyuo 2019-09-23

Version Author Date
0d00279 xhyuo 2019-09-23
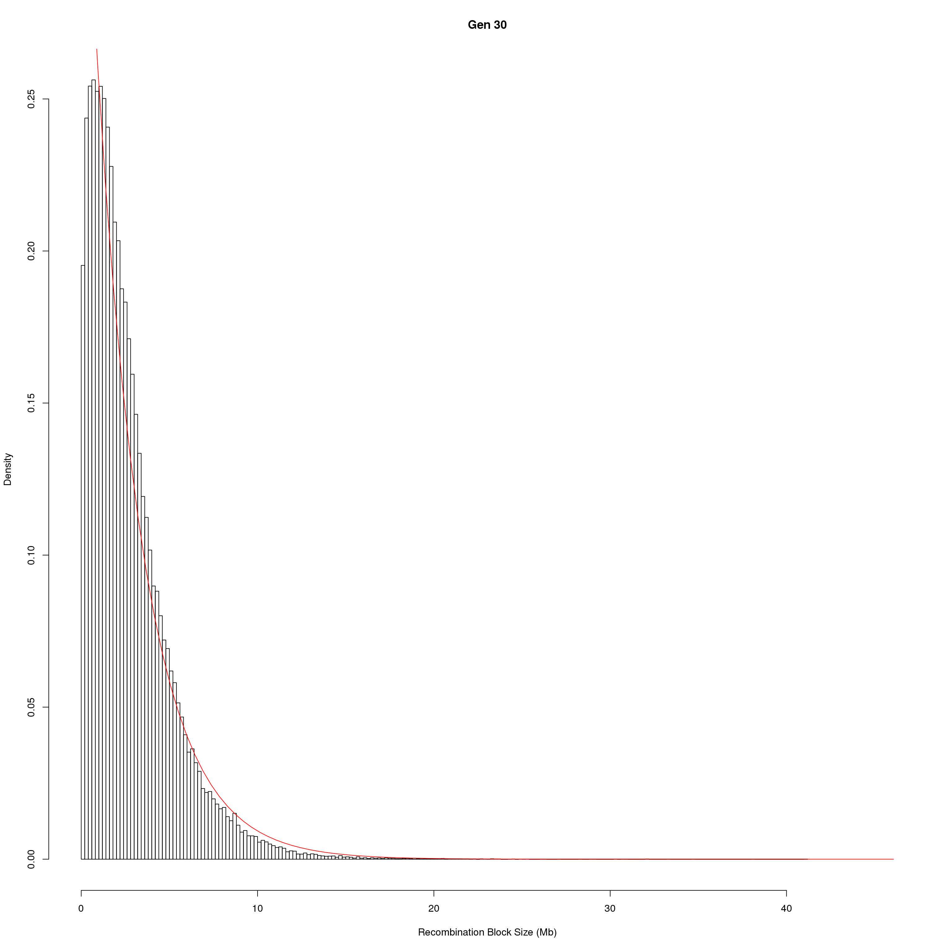
[1] "30"

Version Author Date
0d00279 xhyuo 2019-09-23

Version Author Date
0d00279 xhyuo 2019-09-23

Version Author Date
0d00279 xhyuo 2019-09-23
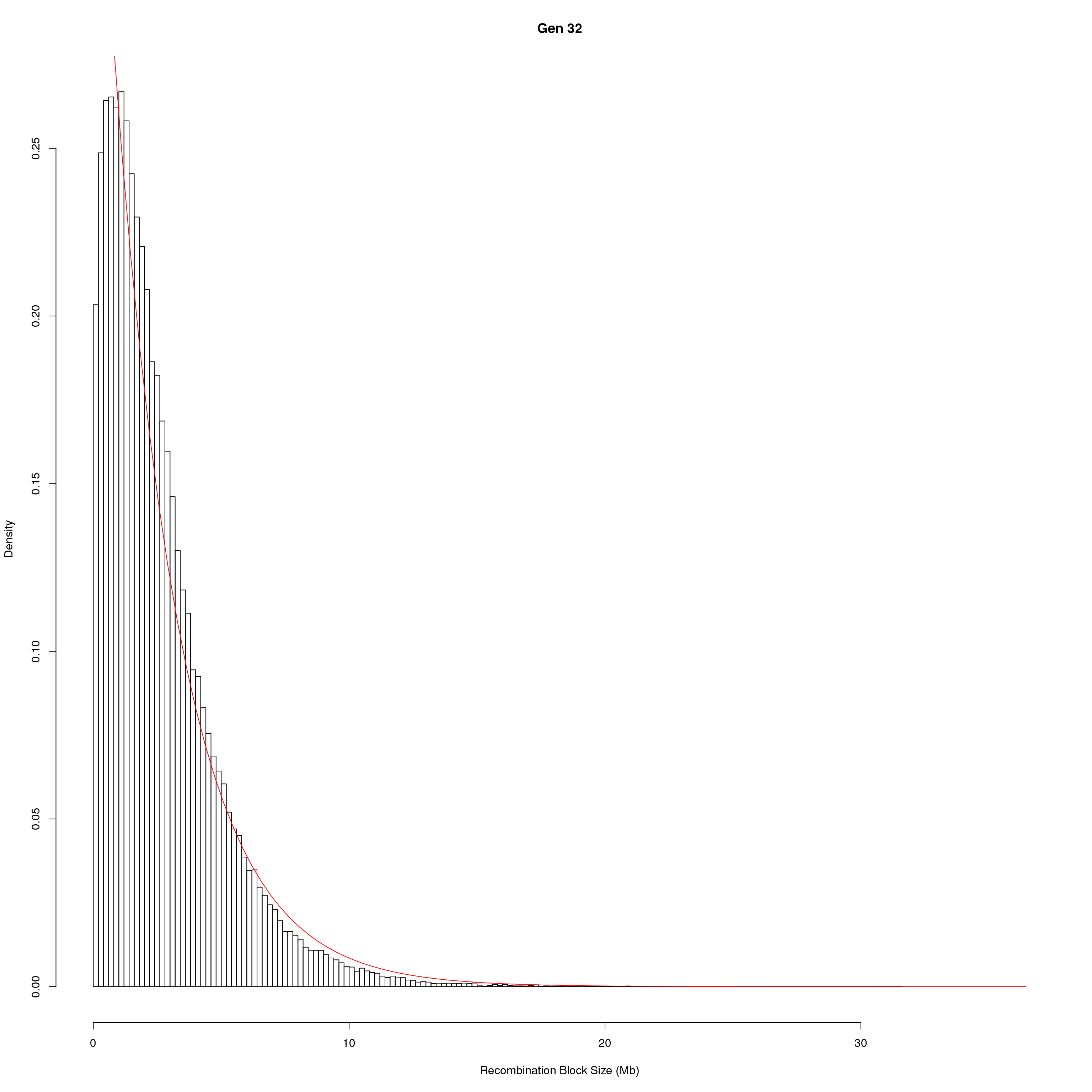
[1] "32"

Version Author Date
0d00279 xhyuo 2019-09-23

Version Author Date
0d00279 xhyuo 2019-09-23

Version Author Date
0d00279 xhyuo 2019-09-23
[1] "33"

Version Author Date
0d00279 xhyuo 2019-09-23

Version Author Date
0d00279 xhyuo 2019-09-23

Version Author Date
0d00279 xhyuo 2019-09-23

Version Author Date
0d00279 xhyuo 2019-09-23
#locate xo pos
g <- maxmarg(pr, cores = 20)
pos <- locate_xo(g, gm_DO2437_qc$gmap, cores = 20)

pos_ind <- list()
for(i in ind_ids(gm_DO2437_qc)){
  pos_ind[[i]] <- list()
  for (j in c(1:19, "X")) {
    pos_ind[[i]][[j]] <- diff(pos[[j]][[i]])
  }
  pos_ind[[i]] <- as.vector(unlist(pos_ind[[i]]))
}

# for each generation
#subset to each generation
pos_ind_gen <- list()
for(g in unique(gm_DO2437_qc$covar$ngen)){
  #g = "21"
  pos_ind_gen[[g]] <- as.vector(unlist(pos_ind[gm_DO2437_qc$covar[gm_DO2437_qc$covar$ngen == g,"id"]]))
}
save(pos_ind, pos_ind_gen, file = "data/Jackson_Lab_Bubier_MURGIGV01/recom_block_size.RData")

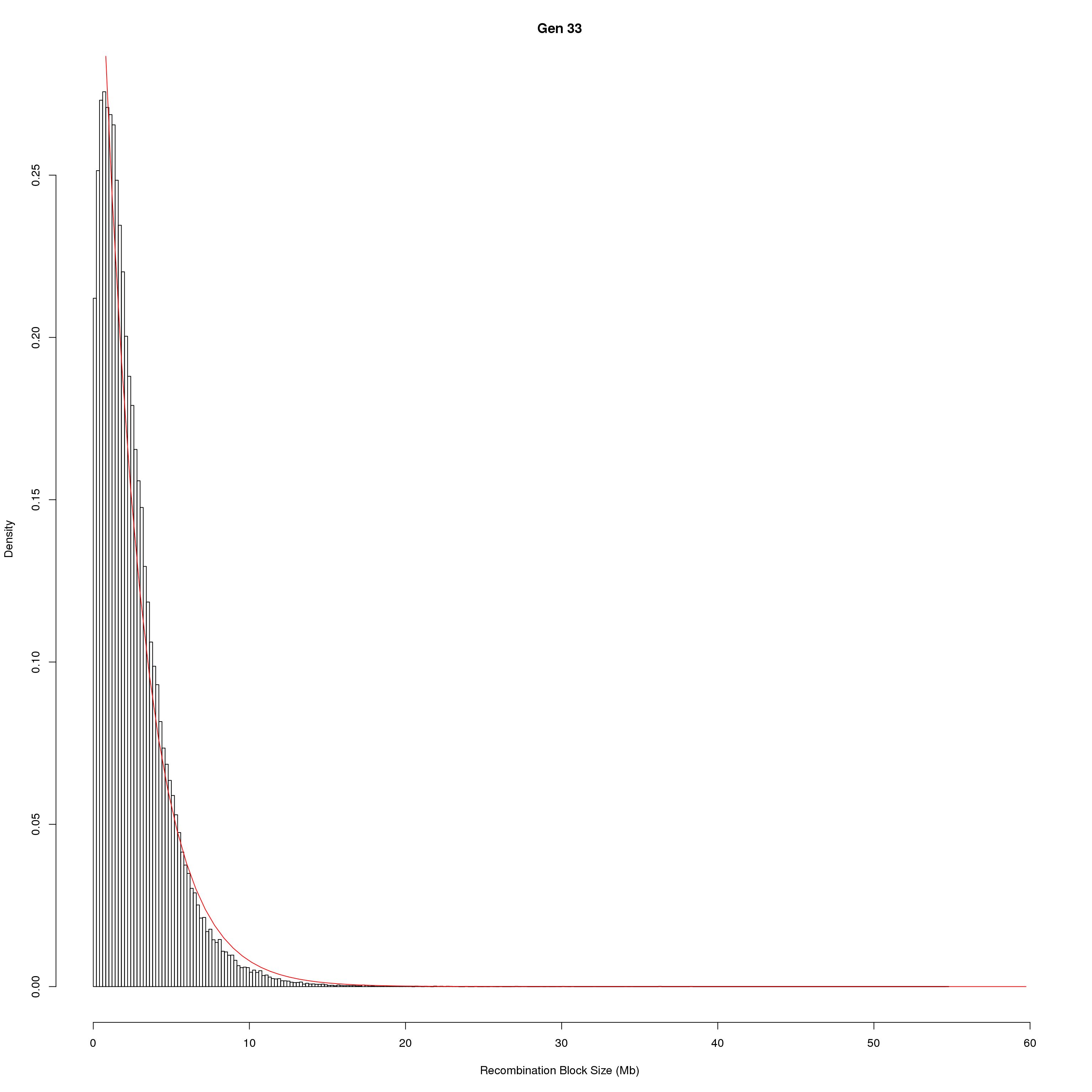
plot Recombination Block Size

for(g in unique(gm_DO2437_qc$covar$ngen)){
  #plot for recom block size
  png(paste0("output/DO_recom_block_size_G", g, ".png"))
  x <- pos_ind_gen[[g]][pos_ind_gen[[g]] != 0]
  # estimate the parameters
  fit1 <- fitdistr(x, "exponential") 
  
  # goodness of fit test
  ks.test(x, "pexp", fit1$estimate) # p-value > 0.05 -> distribution not refused
  
  # plot a graph
  hist(x, 
       freq = FALSE, 
       breaks = 200, 
       xlim = c(0, 5+quantile(x, 1)), 
       #ylim = c(0,0.3),
       xlab = "Recombination Block Size (Mb)", 
       main = paste0("Gen ", g))
  curve(dexp(x, rate = fit1$estimate), 
        from = 0, 
        to = 5+quantile(x, 1), 
        col = "red", 
        add = TRUE)
  dev.off()
}
for(g in unique(gm_DO2437_qc$covar$ngen)){
  #plot for recom block size
  #png(paste0("output/DO_recom_block_size_G", g, ".png"))
  x <- pos_ind_gen[[g]][pos_ind_gen[[g]] != 0]
  # estimate the parameters
  fit1 <- fitdistr(x, "exponential") 
  
  # goodness of fit test
  ks.test(x, "pexp", fit1$estimate) # p-value > 0.05 -> distribution not refused
  
  # plot a graph
  hist(x, 
       freq = FALSE, 
       breaks = 200, 
       xlim = c(0, 5+quantile(x, 1)), 
       #ylim = c(0,0.3),
       xlab = "Recombination Block Size (Mb)", 
       main = paste0("Gen ", g))
  curve(dexp(x, rate = fit1$estimate), 
        from = 0, 
        to = 5+quantile(x, 1), 
        col = "red", 
        add = TRUE)
  #dev.off()
}

Version Author Date
0d00279 xhyuo 2019-09-23

Version Author Date
0d00279 xhyuo 2019-09-23

Version Author Date
0d00279 xhyuo 2019-09-23

Version Author Date
0d00279 xhyuo 2019-09-23

Version Author Date
0d00279 xhyuo 2019-09-23

Version Author Date
0d00279 xhyuo 2019-09-23

Version Author Date
0d00279 xhyuo 2019-09-23

Version Author Date
0d00279 xhyuo 2019-09-23

Version Author Date
0d00279 xhyuo 2019-09-23

plot for each generation

fp <- list()
#subset to each generation
for(g in unique(gm_DO2437_qc$covar$ngen)){
  #g = "21"
  apr.3d <- apr.3d.all[gm_DO2437_qc$covar[gm_DO2437_qc$covar$ngen == g,"id"],,]
  
  #reformat
  probs = reformat_probs(apr.3d)
  gc()
  
  # Summarize founder proportion by chromosome.
  fp[[g]] = probs %>% group_by(chr, pos) %>%
    summarize_all(mean) %>%
    gather(founder, prop, 3:10)
  fp[[g]]$founder = factor(fp[[g]]$founder, levels = names(CCcolors))   
}
save(fp, file = "data/Jackson_Lab_Bubier_MURGIGV01/fp.RData")

# add gen
for(g in unique(gm_DO2437_qc$covar$ngen)){
  #g = "21"
  fp[[g]]$gen <- as.factor(g)
}
fp_data <- do.call(rbind.data.frame,fp)

p <- list()
for(c in unique(names(gm_DO2437_qc$geno))){
  print(c)
  fp_subdata <- fp_data[fp_data$chr == c,]
  pp <- ggplot(data = fp_subdata,aes(pos, prop, group = gen, color = founder)) +
    geom_line(aes(linetype=gen)) +
    scale_linetype_manual(values=rep("solid",9)) +
    geom_hline(yintercept=0.125, linetype="dashed", color = "black", size = 0.25) +
    scale_color_manual(values = CCcolors) +
    facet_grid(founder~.) + 
    labs(title = paste0("Chr ", c)) + 
    theme(legend.position='none')
  p[[c]] <- ggplotly(pp, width = 1000, height = 1000)
  #htmlwidgets::saveWidget(as_widget(p[[c]]), paste0("/projects/heh/csna_workflow/output/prop_across_generation_chr",c,".html"))
}
[1] "1"
[1] "2"
[1] "3"
[1] "4"
[1] "5"
[1] "6"
[1] "7"
[1] "8"
[1] "9"
[1] "10"
[1] "11"
[1] "12"
[1] "13"
[1] "14"
[1] "15"
[1] "16"
[1] "17"
[1] "18"
[1] "19"
[1] "X"
save(p, file = "output/prop_across_generation_chr_p.RData")
#as_widget(p[["1"]])
#as_widget(p[["2"]])
# as_widget(p[["3"]])
# as_widget(p[["4"]])
# as_widget(p[["5"]])
# as_widget(p[["6"]])
# as_widget(p[["7"]])
# as_widget(p[["8"]])
# as_widget(p[["9"]])
# as_widget(p[["10"]])
# as_widget(p[["11"]])
# as_widget(p[["12"]])
# as_widget(p[["13"]])
# as_widget(p[["14"]])
# as_widget(p[["15"]])
# as_widget(p[["16"]])
# as_widget(p[["17"]])
# as_widget(p[["18"]])
# as_widget(p[["19"]])
# as_widget(p[["X"]])

sessionInfo()
R version 3.3.2 (2016-10-31)
Platform: x86_64-pc-linux-gnu (64-bit)
Running under: CentOS release 6.5 (Final)

locale:
 [1] LC_CTYPE=en_US.UTF-8       LC_NUMERIC=C              
 [3] LC_TIME=en_US.UTF-8        LC_COLLATE=en_US.UTF-8    
 [5] LC_MONETARY=en_US.UTF-8    LC_MESSAGES=en_US.UTF-8   
 [7] LC_PAPER=en_US.UTF-8       LC_NAME=C                 
 [9] LC_ADDRESS=C               LC_TELEPHONE=C            
[11] LC_MEASUREMENT=en_US.UTF-8 LC_IDENTIFICATION=C       

attached base packages:
[1] grid      stats     graphics  grDevices utils     datasets  base     

other attached packages:
 [1] MASS_7.3-50     vcd_1.4-4       plotly_4.9.0    forcats_0.4.0  
 [5] stringr_1.3.1   dplyr_0.8.3     purrr_0.3.2     readr_1.3.1    
 [9] tidyr_1.0.0     tibble_2.1.3    ggplot2_3.1.0   tidyverse_1.2.1
[13] abind_1.4-5     qtl2_0.18      

loaded via a namespace (and not attached):
 [1] httr_1.4.0        bit64_0.9-7       jsonlite_1.6     
 [4] viridisLite_0.3.0 modelr_0.1.4      shiny_1.3.2      
 [7] assertthat_0.2.1  highr_0.6         blob_1.1.1       
[10] cellranger_1.1.0  yaml_2.2.0        pillar_1.3.1     
[13] RSQLite_2.1.1     backports_1.1.2   lattice_0.20-35  
[16] glue_1.3.1        digest_0.6.18     promises_1.0.1   
[19] rvest_0.3.2       colorspace_1.4-0  htmltools_0.3.6  
[22] httpuv_1.5.2      plyr_1.8.4        pkgconfig_2.0.1  
[25] broom_0.5.2       haven_2.1.1       xtable_1.8-2     
[28] scales_1.0.0      whisker_0.3-2     later_0.8.0      
[31] git2r_0.23.0      generics_0.0.2    ellipsis_0.2.0.1 
[34] withr_2.1.2       lazyeval_0.2.1    cli_1.1.0        
[37] mime_0.6          magrittr_1.5      crayon_1.3.4     
[40] readxl_1.3.1      memoise_1.1.0     evaluate_0.10    
[43] methods_3.3.2     fs_1.2.6          nlme_3.1-128     
[46] xml2_1.2.1        tools_3.3.2       data.table_1.11.4
[49] hms_0.5.1         lifecycle_0.1.0   munsell_0.5.0    
[52] rlang_0.4.0       rstudioapi_0.10   htmlwidgets_1.3  
[55] crosstalk_1.0.0   labeling_0.3      rmarkdown_1.11   
[58] gtable_0.2.0      DBI_1.0.0         reshape2_1.4.3   
[61] R6_2.4.0          zoo_1.8-6         lubridate_1.7.4  
[64] knitr_1.20        bit_1.1-14        zeallot_0.1.0    
[67] workflowr_1.4.0   rprojroot_1.3-2   stringi_1.2.4    
[70] parallel_3.3.2    Rcpp_1.0.2        vctrs_0.2.0      
[73] tidyselect_0.2.5  lmtest_0.9-36