Last updated: 2023-02-09
Checks: 7 0
Knit directory: lcGBS_wf/
This reproducible R Markdown analysis was created with workflowr (version 1.7.0). The Checks tab describes the reproducibility checks that were applied when the results were created. The Past versions tab lists the development history.
Great! Since the R Markdown file has been committed to the Git repository, you know the exact version of the code that produced these results.
Great job! The global environment was empty. Objects defined in the global environment can affect the analysis in your R Markdown file in unknown ways. For reproduciblity it’s best to always run the code in an empty environment.
The command set.seed(20230208) was run prior to running
the code in the R Markdown file. Setting a seed ensures that any results
that rely on randomness, e.g. subsampling or permutations, are
reproducible.
Great job! Recording the operating system, R version, and package versions is critical for reproducibility.
Nice! There were no cached chunks for this analysis, so you can be confident that you successfully produced the results during this run.
Great job! Using relative paths to the files within your workflowr project makes it easier to run your code on other machines.
Great! You are using Git for version control. Tracking code development and connecting the code version to the results is critical for reproducibility.
The results in this page were generated with repository version 00e5fe4. See the Past versions tab to see a history of the changes made to the R Markdown and HTML files.
Note that you need to be careful to ensure that all relevant files for
the analysis have been committed to Git prior to generating the results
(you can use wflow_publish or
wflow_git_commit). workflowr only checks the R Markdown
file, but you know if there are other scripts or data files that it
depends on. Below is the status of the Git repository when the results
were generated:
Ignored files:
Ignored: .Rhistory
Ignored: .Rproj.user/
Untracked files:
Untracked: .DS_Store
Untracked: Rplot001.png
Untracked: data/.DS_Store
Untracked: data/4Founders.deepVar.vcf.gz
Untracked: data/4Founders.deepVar.vcf.gz.tbi
Untracked: data/4WC_cross.RData
Untracked: data/4WC_genoprobs.RData
Untracked: data/4WC_maxmarg.RData
Untracked: data/DO_cross.RData
Untracked: data/DO_genoprobs.RData
Untracked: data/DO_maxmarg.RData
Untracked: data/Plate_Layouts.xlsx
Untracked: data/STITCH_data/
Untracked: data/Sample_information.xlsx
Untracked: data/gm_uwisc_v1.csv
Untracked: data/neogen/
Untracked: figures/
Untracked: output/.DS_Store
Untracked: output/plot_onegeno_ddRADseq.1301_GT23.00313_GGTTG.GCCAAT_S30.png
Untracked: output/plot_onegeno_ddRADseq.1314_GT23.00337_AAGGA.ACTTGA_S95.png
Untracked: output/plot_onegeno_ddRADseq.1320_GT23.00297_TCGAT.ACAGTG_S78.png
Untracked: output/plot_onegeno_ddRADseq.1328_GT23.00329_AGCTA.CAGATC_S3.png
Untracked: output/plot_onegeno_ddRADseq.1339_GT23.00321_ACTTC.CAGATC_S42.png
Untracked: output/plot_onegeno_ddRADseq.1342_GT23.00305_AACCA.ACAGTG_S71.png
Untracked: output/plot_onegeno_ddRADseq.4990.1_GT23.00314_ACGGT.GCCAAT_S48.png
Untracked: output/plot_onegeno_ddRADseq.4990.2_GT23.00315_AAGGA.GCCAAT_S39.png
Untracked: output/plot_onegeno_ddRADseq.4990.3_GT23.00316_AACCA.GCCAAT_S85.png
Untracked: output/plot_onegeno_ddRADseq.4990.4_GT23.00317_ACACA.GCCAAT_S27.png
Untracked: output/plot_onegeno_ddRADseq.4990.5_GT23.00318_AGCTA.GCCAAT_S29.png
Untracked: output/plot_onegeno_ddRADseq.4990.6_GT23.00319_CGATC.GCCAAT_S26.png
Untracked: output/plot_onegeno_ddRADseq.4990.7_GT23.00320_TCGAT.GCCAAT_S50.png
Untracked: output/plot_onegeno_ddRADseq.4991.1_GT23.00322_CAACC.CAGATC_S24.png
Untracked: output/plot_onegeno_ddRADseq.4991.2_GT23.00323_ATACG.CAGATC_S33.png
Untracked: output/plot_onegeno_ddRADseq.4991.3_GT23.00324_GGTTG.CAGATC_S75.png
Untracked: output/plot_onegeno_ddRADseq.4991.4_GT23.00325_ACGGT.CAGATC_S59.png
Untracked: output/plot_onegeno_ddRADseq.4991.5_GT23.00326_AAGGA.CAGATC_S84.png
Untracked: output/plot_onegeno_ddRADseq.4991.6_GT23.00327_AACCA.CAGATC_S53.png
Untracked: output/plot_onegeno_ddRADseq.4991.7_GT23.00328_ACACA.CAGATC_S87.png
Untracked: output/plot_onegeno_ddRADseq.5040.1_GT23.00298_GCATG.ACAGTG_S38.png
Untracked: output/plot_onegeno_ddRADseq.5040.2_GT23.00299_ACTTC.ACAGTG_S73.png
Untracked: output/plot_onegeno_ddRADseq.5040.3_GT23.00300_CAACC.ACAGTG_S61.png
Untracked: output/plot_onegeno_ddRADseq.5040.4_GT23.00301_ATACG.ACAGTG_S54.png
Untracked: output/plot_onegeno_ddRADseq.5040.5_GT23.00302_GGTTG.ACAGTG_S92.png
Untracked: output/plot_onegeno_ddRADseq.5040.6_GT23.00303_ACGGT.ACAGTG_S68.png
Untracked: output/plot_onegeno_ddRADseq.5040.7_GT23.00304_AAGGA.ACAGTG_S63.png
Untracked: output/plot_onegeno_ddRADseq.5041.1_GT23.00306_ACACA.ACAGTG_S65.png
Untracked: output/plot_onegeno_ddRADseq.5041.2_GT23.00307_AGCTA.ACAGTG_S56.png
Untracked: output/plot_onegeno_ddRADseq.5041.3_GT23.00308_CGATC.ACAGTG_S32.png
Untracked: output/plot_onegeno_ddRADseq.5041.4_GT23.00309_GCATG.GCCAAT_S18.png
Untracked: output/plot_onegeno_ddRADseq.5041.5_GT23.00310_ACTTC.GCCAAT_S57.png
Untracked: output/plot_onegeno_ddRADseq.5041.6_GT23.00311_CAACC.GCCAAT_S79.png
Untracked: output/plot_onegeno_ddRADseq.5041.7_GT23.00312_ATACG.GCCAAT_S36.png
Untracked: output/plot_onegeno_ddRADseq.5060.1_GT23.00330_CGATC.CAGATC_S55.png
Untracked: output/plot_onegeno_ddRADseq.5060.2_GT23.00331_TCGAT.CAGATC_S70.png
Untracked: output/plot_onegeno_ddRADseq.5060.3_GT23.00332_GCATG.CAGATC_S89.png
Untracked: output/plot_onegeno_ddRADseq.5060.4_GT23.00333_CAACC.ACTTGA_S16.png
Untracked: output/plot_onegeno_ddRADseq.5060.5_GT23.00334_ATACG.ACTTGA_S46.png
Untracked: output/plot_onegeno_ddRADseq.5060.6_GT23.00335_GGTTG.ACTTGA_S37.png
Untracked: output/plot_onegeno_ddRADseq.5060.7_GT23.00336_ACGGT.ACTTGA_S76.png
Untracked: output/plot_onegeno_ddRADseq.5061.1_GT23.00338_AACCA.ACTTGA_S7.png
Untracked: output/plot_onegeno_ddRADseq.5061.2_GT23.00339_ACACA.ACTTGA_S14.png
Untracked: output/plot_onegeno_ddRADseq.5061.3_GT23.00340_AGCTA.ACTTGA_S91.png
Untracked: output/plot_onegeno_ddRADseq.5061.4_GT23.00341_CGATC.ACTTGA_S81.png
Untracked: output/plot_onegeno_ddRADseq.5061.5_GT23.00342_TCGAT.ACTTGA_S58.png
Untracked: output/plot_onegeno_ddRADseq.5061.6_GT23.00343_GCATG.ACTTGA_S12.png
Untracked: output/plot_onegeno_ddRADseq.5061.7_GT23.00344_ACTTC.ACTTGA_S13.png
Untracked: output/plot_onegeno_ddRADseq.F02_GT23.00249_ACACA.ATCACG_S1.png
Untracked: output/plot_onegeno_ddRADseq.F03_GT23.00250_AGCTA.ATCACG_S67.png
Untracked: output/plot_onegeno_ddRADseq.F04_GT23.00251_CGATC.ATCACG_S9.png
Untracked: output/plot_onegeno_ddRADseq.F07_GT23.00252_TCGAT.ATCACG_S64.png
Untracked: output/plot_onegeno_ddRADseq.F08_GT23.00253_GCATG.ATCACG_S22.png
Untracked: output/plot_onegeno_ddRADseq.F10_GT23.00254_ACTTC.ATCACG_S66.png
Untracked: output/plot_onegeno_ddRADseq.F12_GT23.00255_CAACC.ATCACG_S20.png
Untracked: output/plot_onegeno_ddRADseq.F14_GT23.00256_ATACG.ATCACG_S6.png
Untracked: output/plot_onegeno_ddRADseq.F15_GT23.00257_GGTTG.ATCACG_S90.png
Untracked: output/plot_onegeno_ddRADseq.F17_GT23.00258_ACGGT.ATCACG_S45.png
Untracked: output/plot_onegeno_ddRADseq.F19_GT23.00259_AAGGA.ATCACG_S41.png
Untracked: output/plot_onegeno_ddRADseq.F23_GT23.00260_AACCA.ATCACG_S11.png
Untracked: output/plot_onegeno_ddRADseq.F24_GT23.00261_ACACA.CGATGT_S44.png
Untracked: output/plot_onegeno_ddRADseq.F26_GT23.00262_AGCTA.CGATGT_S43.png
Untracked: output/plot_onegeno_ddRADseq.F28_GT23.00263_CGATC.CGATGT_S62.png
Untracked: output/plot_onegeno_ddRADseq.F29_GT23.00264_TCGAT.CGATGT_S52.png
Untracked: output/plot_onegeno_ddRADseq.F31_GT23.00265_GCATG.CGATGT_S28.png
Untracked: output/plot_onegeno_ddRADseq.F32_GT23.00266_ACTTC.CGATGT_S5.png
Untracked: output/plot_onegeno_ddRADseq.F33_GT23.00267_CAACC.CGATGT_S10.png
Untracked: output/plot_onegeno_ddRADseq.F36_GT23.00268_ATACG.CGATGT_S94.png
Untracked: output/plot_onegeno_ddRADseq.F37_GT23.00269_GGTTG.CGATGT_S72.png
Untracked: output/plot_onegeno_ddRADseq.F39_GT23.00270_ACGGT.CGATGT_S34.png
Untracked: output/plot_onegeno_ddRADseq.F40_GT23.00271_AAGGA.CGATGT_S77.png
Untracked: output/plot_onegeno_ddRADseq.F55_GT23.00272_AACCA.CGATGT_S35.png
Untracked: output/plot_onegeno_ddRADseq.M03_GT23.00273_AGCTA.TTAGGC_S74.png
Untracked: output/plot_onegeno_ddRADseq.M04_GT23.00274_CGATC.TTAGGC_S93.png
Untracked: output/plot_onegeno_ddRADseq.M11_GT23.00275_TCGAT.TTAGGC_S80.png
Untracked: output/plot_onegeno_ddRADseq.M14_GT23.00276_GCATG.TTAGGC_S96.png
Untracked: output/plot_onegeno_ddRADseq.M15_GT23.00277_ACTTC.TTAGGC_S23.png
Untracked: output/plot_onegeno_ddRADseq.M16_GT23.00278_CAACC.TTAGGC_S8.png
Untracked: output/plot_onegeno_ddRADseq.M17_GT23.00279_ATACG.TTAGGC_S88.png
Untracked: output/plot_onegeno_ddRADseq.M19_GT23.00280_GGTTG.TTAGGC_S82.png
Untracked: output/plot_onegeno_ddRADseq.M20_GT23.00281_ACGGT.TTAGGC_S15.png
Untracked: output/plot_onegeno_ddRADseq.M21_GT23.00282_AAGGA.TTAGGC_S83.png
Untracked: output/plot_onegeno_ddRADseq.M23_GT23.00283_AACCA.TTAGGC_S31.png
Untracked: output/plot_onegeno_ddRADseq.M24_GT23.00284_ACACA.TTAGGC_S17.png
Untracked: output/plot_onegeno_ddRADseq.M25_GT23.00285_CGATC.TGACCA_S51.png
Untracked: output/plot_onegeno_ddRADseq.M26_GT23.00286_TCGAT.TGACCA_S47.png
Untracked: output/plot_onegeno_ddRADseq.M28_GT23.00287_GCATG.TGACCA_S69.png
Untracked: output/plot_onegeno_ddRADseq.M29_GT23.00288_ACTTC.TGACCA_S21.png
Untracked: output/plot_onegeno_ddRADseq.M30_GT23.00289_CAACC.TGACCA_S60.png
Untracked: output/plot_onegeno_ddRADseq.M32_GT23.00290_ATACG.TGACCA_S4.png
Untracked: output/plot_onegeno_ddRADseq.M34_GT23.00291_GGTTG.TGACCA_S86.png
Untracked: output/plot_onegeno_ddRADseq.M35_GT23.00292_ACGGT.TGACCA_S40.png
Untracked: output/plot_onegeno_ddRADseq.M38_GT23.00293_AAGGA.TGACCA_S19.png
Untracked: output/plot_onegeno_ddRADseq.M39_GT23.00294_AACCA.TGACCA_S2.png
Untracked: output/plot_onegeno_ddRADseq.M45_GT23.00295_ACACA.TGACCA_S25.png
Untracked: output/plot_onegeno_ddRADseq.M58_GT23.00296_AGCTA.TGACCA_S49.png
Untracked: plots/.DS_Store
Untracked: plots/plot_onegeno_ddRADseq.5041.3_GT23.00308_CGATC.ACAGTG_S32.png
Untracked: results/
Unstaged changes:
Deleted: .github/workflows/build_docker.yml
Deleted: code/README.md
Modified: data/4WC_covar.csv
Deleted: data/DO4WC_covar.csv
Deleted: data/DO4WC_forqtl2.json
Deleted: env/DO4WC_HR.Dockerfile
Deleted: env/DO_4WC.yml
Note that any generated files, e.g. HTML, png, CSS, etc., are not included in this status report because it is ok for generated content to have uncommitted changes.
These are the previous versions of the repository in which changes were
made to the R Markdown (analysis/HR_from_stitch.Rmd) and
HTML (docs/HR_from_stitch.html) files. If you’ve configured
a remote Git repository (see ?wflow_git_remote), click on
the hyperlinks in the table below to view the files as they were in that
past version.
| File | Version | Author | Date | Message |
|---|---|---|---|---|
| Rmd | 00e5fe4 | sam-widmayer | 2023-02-09 | add xo correlation plots |
| html | 5fc09b3 | sam-widmayer | 2023-02-09 | Build site. |
| Rmd | 2e6260c | sam-widmayer | 2023-02-09 | add xo correlation plots |
| html | aac660e | sam-widmayer | 2023-02-09 | Build site. |
| html | 18aadff | sam-widmayer | 2023-02-09 | Build site. |
| Rmd | 249f729 | sam-widmayer | 2023-02-09 | add DO ddRADseq haplotype plots and diagnostics |
| html | 578d8ea | sam-widmayer | 2023-02-09 | Build site. |
| Rmd | d0fe610 | sam-widmayer | 2023-02-09 | update markdown with example haplotype plots for GM and ddRADseq sample comps |
| html | 84162cd | sam-widmayer | 2023-02-08 | render committed HR 4WC markdown |
| Rmd | 7eb0617 | sam-widmayer | 2023-02-08 | initiate workflowr site, starting with ddRADseq 4WC HR |
The goal of this preliminary analysis was to determine whether STITCH: 1) could provide us useful information and 2) whether this information could be translated or retrofitted for haplotype reconstruction in multiparent crosses
We built a Nextflow pipeline, stitch-nf, from the foundation of the NGS OPS WGS pipeline that runs STITCH on mouse samples that were submitted for low-coverage WGS. At the end of this pipeline, we extract 1) imputed sample genotypes and 2) prior probabilities for ancestral genotypes of latent haplotypes used for genotype imputation. These data can be conceptualized as “founder genotypes”
# Establish chromosome vector
chr <- c(1:19)
# read in covariate file
metadata <- readr::read_csv(file = "data/4WC_covar.csv",
col_types = c(sample = "c",
generation = "n",
Sex = "c"),
show_col_types = T)
Warning: The following named parsers don't match the column names: sample,
generation
Rows: 48 Columns: 7
── Column specification ────────────────────────────────────────────────────────
Delimiter: ","
chr (2): SampleID, Sex
dbl (5): Generation, A, B, C, D
ℹ Use `spec()` to retrieve the full column specification for this data.
ℹ Specify the column types or set `show_col_types = FALSE` to quiet this message.
# match sample names to what is encoded in genotype files
geno_header <- c(as.character(readr::read_csv(file = "data/STITCH_data/4WC_ddRADseq/geno1.csv",
col_names = F, skip = 3, n_max = 1)))[-1]
Rows: 1 Columns: 49
── Column specification ────────────────────────────────────────────────────────
Delimiter: ","
chr (49): X1, X2, X3, X4, X5, X6, X7, X8, X9, X10, X11, X12, X13, X14, X15, ...
ℹ Use `spec()` to retrieve the full column specification for this data.
ℹ Specify the column types or set `show_col_types = FALSE` to quiet this message.
new_sampleID <- c()
for(i in 1:length(metadata$SampleID)){
sample_index <- grep(geno_header, pattern = gsub(metadata$SampleID[i],
pattern = "-",
replacement = "."))
new_sampleID[i] <- geno_header[sample_index]
}
# Write updated metadata file
updated_4WC_metadata <- metadata %>%
dplyr::mutate(newSampID = new_sampleID) %>%
dplyr::select(-SampleID,-Sex) %>%
dplyr::select(newSampID, everything()) %>%
dplyr::rename(SampleID = newSampID)
write.csv(updated_4WC_metadata, file = "data/STITCH_data/4WC_ddRADseq/4WC_ddRADseq_crossinfo.csv", quote = F, row.names = F)
# Write updated metadata file
sex_4WC <- metadata %>%
dplyr::mutate(newSampID = new_sampleID) %>%
dplyr::select(newSampID, Sex) %>%
dplyr::rename(SampleID = newSampID)
write.csv(sex_4WC, file = "data/STITCH_data/4WC_ddRADseq/sex_4WC.csv", quote = F, row.names = F)
# Write control file
qtl2::write_control_file(output_file = "data/STITCH_data/4WC_ddRADseq/4WC_ddRADseq.json",
crosstype="genail4",
description="4WC_ddRADseq",
founder_geno_file=paste0("foundergeno", chr, ".csv"),
founder_geno_transposed=TRUE,
gmap_file=paste0("gmap", chr, ".csv"),
pmap_file=paste0("pmap", chr, ".csv"),
geno_file=paste0("geno", chr, ".csv"),
geno_transposed = TRUE,
geno_codes=list(A=1, H=2, B=3),
sex_file = "sex_4WC.csv",
sex_codes=list(F="Female", M="Male"),
# crossinfo_covar=c("Generation","A","B","C","D"),
crossinfo_file = "4WC_ddRADseq_crossinfo.csv",
overwrite = T)
We load in the cross object, and determined the number of markers that are missing data in each sample. These data are from a small test run of ddRADseq libraries prepped by Lydia Wooldridge and the Dumont Lab.
# Load in the cross object
ddRADseq_4WC <- qtl2::read_cross2("data/STITCH_data/4WC_ddRADseq/4WC_ddRADseq.json")
# Also loading in the cross object from GigaMUGA genotypes
load("data/4WC_cross.RData")
# Drop null markers
ddRADseq_4WC <- qtl2::drop_nullmarkers(ddRADseq_4WC)
Dropping 62 markers with no data
# Reordering genotypes so that most common allele in founders is first
for(chr in seq_along(ddRADseq_4WC$founder_geno)) {
fg <- ddRADseq_4WC$founder_geno[[chr]]
g <- ddRADseq_4WC$geno[[chr]]
f1 <- colSums(fg==1)/colSums(fg != 0)
fg[fg==0] <- NA
g[g==0] <- NA
fg[,f1 < 0.5] <- 4 - fg[,f1 < 0.5]
g[,f1 < 0.5] <- 4 - g[,f1 < 0.5]
fg[is.na(fg)] <- 0
g[is.na(g)] <- 0
ddRADseq_4WC$founder_geno[[chr]] <- fg
ddRADseq_4WC$geno[[chr]] <- g
}
# Calculate the percent of missing genotypes per sample
percent_missing <- qtl2::n_missing(ddRADseq_4WC, "ind", "prop")*100
missing_genos_df <- data.frame(names(percent_missing), percent_missing) %>%
`colnames<-`(c("sample","percent_missing"))
# Plot missing genotypes per sample
missing_genos_plot <- ggplot(data = missing_genos_df, mapping = aes(x = reorder(sample, percent_missing),
y = percent_missing)) +
theme_bw() +
geom_point(shape = 21) +
labs(title = "4WC Missing Genotypes") +
theme(legend.position = "bottom",
panel.grid = element_blank(),
axis.text.x = element_blank(),
axis.ticks.x = element_blank())
plotly::ggplotly(missing_genos_plot)
percent_missing_cutoff <- 10
48 4WC sample(s) is/are missing data for greater than 10% of markers.
We next calculated whether, based on genotype information alone, samples appear to be duplicates. We estimated from GigaMUGA data that there are probably no duplicate samples.
# Determine if any samples are duplicates based on genetic similarity
cg <- qtl2::compare_geno(ddRADseq_4WC, cores=0)
qtl2::plot_compare_geno(x = cg, rug = T, main = "4WC - ddRADseq Data")

| Version | Author | Date |
|---|---|---|
| 18aadff | sam-widmayer | 2023-02-09 |
From the above plot, it would seem that the genotyping can’t distinguish certain samples from each other.
cgGM <- qtl2::compare_geno(X4WC_cross, cores=0)
qtl2::plot_compare_geno(x = cgGM, rug = T, main = "4WC - GigaMUGA Data")

| Version | Author | Date |
|---|---|---|
| 578d8ea | sam-widmayer | 2023-02-09 |
These mice are F2/F3 individuals, so we expect that they retain a good deal of relatedness. We would hypothesize that due to the lower coverage of the ddRADseq genotyping that we miss areas of the genome that would distinguish individuals from each other.
# Insert pseudomarkers
dd_4WC_map <- qtl2::insert_pseudomarkers(ddRADseq_4WC$gmap, step = 1)
# Calculate genotype probs
dir.create("results/4WC_ddRADseq_pr", showWarnings = F)
fpr_dd4WC <- suppressWarnings(qtl2fst::calc_genoprob_fst(cross = ddRADseq_4WC,
map = dd_4WC_map,
fbase = "pr",
fdir = "results/4WC_ddRADseq_pr",
error_prob=0.002,
overwrite=TRUE,cores = parallel::detectCores()))
# Make viterbi
dd4WC_m <- maxmarg(fpr_dd4WC, minprob=0.5)
# Phase genotypes
dd4WC_ph <- qtl2::guess_phase(cross = ddRADseq_4WC, geno = dd4WC_m)
# Write Plots
X4WCcolors <- c(qtl2::CCcolors[6],
"#5ADBFF",
"#153B50",
qtl2::CCcolors[7])
names(X4WCcolors)[2:3] <- c("POHN","GOR")
for(i in 1:nrow(ddRADseq_4WC$cross_info)){
png(file=paste0("output/plot_onegeno_",rownames(ddRADseq_4WC$cross_info)[i],".png"))
qtl2::plot_onegeno(geno = dd4WC_ph,
map = dd_4WC_map,
ind = i,
col = X4WCcolors) # add legends here
legend(17, 85,
legend=c("A", "B", "C", "D"),
fill=X4WCcolors, cex=0.8)
dev.off()
}
Below are example chromosome paintings of haplotype reconstructions from 4WC ddRADseq samples compared to the same individiuals genotyped with GigaMUGA.
# GigaMUGA haplotypes
load("data/4WC_genoprobs.RData")
gm_4WC_m <- maxmarg(pr, minprob=0.5)
gm_4WC_ph <- qtl2::guess_phase(cross = X4WC_cross, geno = gm_4WC_m)
gm_4WC_map <- qtl2::insert_pseudomarkers(X4WC_cross$gmap, step = 1)
# Example plots
indivs <- sample(seq(1:nrow(ddRADseq_4WC$cross_info)), size = 5, replace = F)
# ddRADseq
plot_indiv <- rownames(ddRADseq_4WC$cross_info)[indivs[1]]
qtl2::plot_onegeno(geno = dd4WC_ph,
map = dd_4WC_map,
ind = plot_indiv,
col = X4WCcolors,
main = plot_indiv) # add legends here
legend(17, 85, legend=c("A", "B", "C", "D"), fill=X4WCcolors, cex=0.8)

| Version | Author | Date |
|---|---|---|
| 18aadff | sam-widmayer | 2023-02-09 |
# DO
do_sample_index <- grep(pattern = gsub(strsplit(plot_indiv, split = "_")[[1]][1],
pattern = "ddRADseq.",
replacement = ""),
x = gsub(rownames(X4WC_cross$cross_info),
pattern = "-",
replacement = "."))
qtl2::plot_onegeno(geno = gm_4WC_ph,
map = gm_4WC_map,
ind = do_sample_index,
col = X4WCcolors,
main = rownames(X4WC_cross$cross_info)[do_sample_index]) # add legends here
legend(17, 85, legend=c("A", "B", "C", "D"), fill=X4WCcolors, cex=0.8)

| Version | Author | Date |
|---|---|---|
| 18aadff | sam-widmayer | 2023-02-09 |
plot_indiv <- rownames(ddRADseq_4WC$cross_info)[indivs[2]]
qtl2::plot_onegeno(geno = dd4WC_ph,
map = dd_4WC_map,
ind = plot_indiv,
col = X4WCcolors,
main = plot_indiv) # add legends here
legend(17, 85, legend=c("A", "B", "C", "D"), fill=X4WCcolors, cex=0.8)

| Version | Author | Date |
|---|---|---|
| 18aadff | sam-widmayer | 2023-02-09 |
do_sample_index <- grep(pattern = gsub(strsplit(plot_indiv, split = "_")[[1]][1],
pattern = "ddRADseq.",
replacement = ""),
x = gsub(rownames(X4WC_cross$cross_info),
pattern = "-",
replacement = "."))
qtl2::plot_onegeno(geno = gm_4WC_ph,
map = gm_4WC_map,
ind = do_sample_index,
col = X4WCcolors,
main = rownames(X4WC_cross$cross_info)[do_sample_index]) # add legends here
legend(17, 85, legend=c("A", "B", "C", "D"), fill=X4WCcolors, cex=0.8)

| Version | Author | Date |
|---|---|---|
| 18aadff | sam-widmayer | 2023-02-09 |
plot_indiv <- rownames(ddRADseq_4WC$cross_info)[indivs[3]]
qtl2::plot_onegeno(geno = dd4WC_ph,
map = dd_4WC_map,
ind = plot_indiv,
col = X4WCcolors,
main = plot_indiv) # add legends here
legend(17, 85, legend=c("A", "B", "C", "D"), fill=X4WCcolors, cex=0.8)

| Version | Author | Date |
|---|---|---|
| 18aadff | sam-widmayer | 2023-02-09 |
do_sample_index <- grep(pattern = gsub(strsplit(plot_indiv, split = "_")[[1]][1],
pattern = "ddRADseq.",
replacement = ""),
x = gsub(rownames(X4WC_cross$cross_info),
pattern = "-",
replacement = "."))
qtl2::plot_onegeno(geno = gm_4WC_ph,
map = gm_4WC_map,
ind = do_sample_index,
col = X4WCcolors,
main = rownames(X4WC_cross$cross_info)[do_sample_index]) # add legends here
legend(17, 85, legend=c("A", "B", "C", "D"), fill=X4WCcolors, cex=0.8)

| Version | Author | Date |
|---|---|---|
| 18aadff | sam-widmayer | 2023-02-09 |
plot_indiv <- rownames(ddRADseq_4WC$cross_info)[indivs[4]]
qtl2::plot_onegeno(geno = dd4WC_ph,
map = dd_4WC_map,
ind = plot_indiv,
col = X4WCcolors,
main = plot_indiv) # add legends here
legend(17, 85, legend=c("A", "B", "C", "D"), fill=X4WCcolors, cex=0.8)

| Version | Author | Date |
|---|---|---|
| 18aadff | sam-widmayer | 2023-02-09 |
do_sample_index <- grep(pattern = gsub(strsplit(plot_indiv, split = "_")[[1]][1],
pattern = "ddRADseq.",
replacement = ""),
x = gsub(rownames(X4WC_cross$cross_info),
pattern = "-",
replacement = "."))
qtl2::plot_onegeno(geno = gm_4WC_ph,
map = gm_4WC_map,
ind = do_sample_index,
col = X4WCcolors,
main = rownames(X4WC_cross$cross_info)[do_sample_index]) # add legends here
legend(17, 85, legend=c("A", "B", "C", "D"), fill=X4WCcolors, cex=0.8)

| Version | Author | Date |
|---|---|---|
| 18aadff | sam-widmayer | 2023-02-09 |
plot_indiv <- rownames(ddRADseq_4WC$cross_info)[indivs[5]]
qtl2::plot_onegeno(geno = dd4WC_ph,
map = dd_4WC_map,
ind = plot_indiv,
col = X4WCcolors,
main = plot_indiv) # add legends here
legend(17, 85, legend=c("A", "B", "C", "D"), fill=X4WCcolors, cex=0.8)

| Version | Author | Date |
|---|---|---|
| 18aadff | sam-widmayer | 2023-02-09 |
do_sample_index <- grep(pattern = gsub(strsplit(plot_indiv, split = "_")[[1]][1],
pattern = "ddRADseq.",
replacement = ""),
x = gsub(rownames(X4WC_cross$cross_info),
pattern = "-",
replacement = "."))
qtl2::plot_onegeno(geno = gm_4WC_ph,
map = gm_4WC_map,
ind = do_sample_index,
col = X4WCcolors,
main = rownames(X4WC_cross$cross_info)[do_sample_index]) # add legends here
legend(17, 85, legend=c("A", "B", "C", "D"), fill=X4WCcolors, cex=0.8)

| Version | Author | Date |
|---|---|---|
| 18aadff | sam-widmayer | 2023-02-09 |
A few things can be observed from these plots. First, the ddRADseq haplotypes reflect complete homozygosity, which is not possible for these mice. This is could be due to low coverage in these test runs; a lack of sequencing depth across sites will result in not enough data to call heterozygous sites confidently. The degree of missing genotypes across samples reflects this lack of depth.
Second, many of the haplotype identities are discordant between the GigaMUGA and ddRADseq samples at the same genomic sites. This could reflect the fact that the same ancestral haplotype that STITCH denotes as “A” is not the same as the haplotype derived from qtl2. We could work around this by supplying a smaller set of well-curated consensus genotypes. We haven’t tested whether including these data improve the functionality of STITCH for our purposes.
There are a handful of DO samples in the metadata which were not sequenced as a test run. Those samples throw the “sample from metadata not sequenced” error observed below.
# Establish chromosome vector
chr <- c(1,3:19)
# read in covariate file
metadata <- readr::read_csv(file = "data/DO_covar.csv",
col_types = c(sample = "c",
Sex = "c",
generation = "n"),
show_col_types = T)
Warning: The following named parsers don't match the column names: sample,
generation
Rows: 56 Columns: 3
── Column specification ────────────────────────────────────────────────────────
Delimiter: ","
chr (2): SampleID, Sex
dbl (1): Generation
ℹ Use `spec()` to retrieve the full column specification for this data.
ℹ Specify the column types or set `show_col_types = FALSE` to quiet this message.
# match sample names to what is encoded in genotype files
geno_header <- c(as.character(readr::read_csv(file = "data/STITCH_data/DO_ddRADseq/geno1.csv",
col_names = F, skip = 3, n_max = 1)))[-1]
Rows: 1 Columns: 49
── Column specification ────────────────────────────────────────────────────────
Delimiter: ","
chr (49): X1, X2, X3, X4, X5, X6, X7, X8, X9, X10, X11, X12, X13, X14, X15, ...
ℹ Use `spec()` to retrieve the full column specification for this data.
ℹ Specify the column types or set `show_col_types = FALSE` to quiet this message.
new_sampleID <- c()
for(i in 1:length(metadata$SampleID)){
sample_index <- grep(geno_header, pattern = gsub(metadata$SampleID[i],
pattern = "-",
replacement = "."))
if(length(sample_index) == 0){
print(paste("sample from metadata not sequenced:", metadata$SampleID[i]))
new_sampleID[i] <- NA
} else {
new_sampleID[i] <- geno_header[sample_index]
}
}
[1] "sample from metadata not sequenced: F06"
[1] "sample from metadata not sequenced: F25"
[1] "sample from metadata not sequenced: F38"
[1] "sample from metadata not sequenced: F51"
[1] "sample from metadata not sequenced: M12"
[1] "sample from metadata not sequenced: M33"
[1] "sample from metadata not sequenced: M36"
[1] "sample from metadata not sequenced: M37"
# Write updated metadata file
updated_DO_metadata <- metadata %>%
dplyr::mutate(newSampID = new_sampleID) %>%
dplyr::select(-SampleID) %>%
dplyr::select(newSampID, everything()) %>%
dplyr::rename(SampleID = newSampID) %>%
dplyr::filter(!is.na(SampleID))
write.csv(updated_DO_metadata, file = "data/STITCH_data/DO_ddRADseq/DO_ddRADseq_crossinfo.csv", quote = F, row.names = F)
# Write control file
qtl2::write_control_file(output_file = "data/STITCH_data/DO_ddRADseq/DO_ddRADseq.json",
crosstype="do",
description="DO_ddRADseq",
founder_geno_file=paste0("foundergeno", chr, ".csv"),
founder_geno_transposed=TRUE,
gmap_file=paste0("gmap", chr, ".csv"),
pmap_file=paste0("pmap", chr, ".csv"),
geno_file=paste0("geno", chr, ".csv"),
geno_transposed = TRUE,
geno_codes=list(A=1, H=2, B=3),
sex_covar = "Sex",
sex_codes=list(F="Female", M="Male"),
covar_file = "DO_ddRADseq_crossinfo.csv",
crossinfo_covar="Generation",
overwrite = T)
# Load in the cross object
ddRADseq_DO <- qtl2::read_cross2("data/STITCH_data/DO_ddRADseq/DO_ddRADseq.json")
Warning in drop_incomplete_markers(output): Omitting 1 markers that are not in
both genotypes and maps
# Also loading in the cross object from GigaMUGA genotypes
load("data/DO_cross.RData")
# Drop null markers
ddRADseq_DO <- qtl2::drop_nullmarkers(ddRADseq_DO)
Dropping 75 markers with no data
# Reordering genotypes so that most common allele in founders is first
for(chr in seq_along(ddRADseq_DO$founder_geno)) {
fg <- ddRADseq_DO$founder_geno[[chr]]
g <- ddRADseq_DO$geno[[chr]]
f1 <- colSums(fg==1)/colSums(fg != 0)
fg[fg==0] <- NA
g[g==0] <- NA
fg[,f1 < 0.5] <- 4 - fg[,f1 < 0.5]
g[,f1 < 0.5] <- 4 - g[,f1 < 0.5]
fg[is.na(fg)] <- 0
g[is.na(g)] <- 0
ddRADseq_DO$founder_geno[[chr]] <- fg
ddRADseq_DO$geno[[chr]] <- g
}
# Calculate the percent of missing genotypes per sample
percent_missing <- qtl2::n_missing(ddRADseq_DO, "ind", "prop")*100
missing_genos_df <- data.frame(names(percent_missing), percent_missing) %>%
`colnames<-`(c("sample","percent_missing"))
# Plot missing genotypes per sample
missing_genos_plot <- ggplot(data = missing_genos_df, mapping = aes(x = reorder(sample, percent_missing),
y = percent_missing)) +
theme_bw() +
geom_point(shape = 21) +
labs(title = "DO Missing Genotypes") +
theme(legend.position = "bottom",
panel.grid = element_blank(),
axis.text.x = element_blank(),
axis.ticks.x = element_blank())
plotly::ggplotly(missing_genos_plot)
percent_missing_cutoff <- 10
48 DO sample(s) is/are missing data for greater than 10% of markers.
# Determine if any samples are duplicates based on genetic similarity
cg <- qtl2::compare_geno(ddRADseq_DO, cores=0)
qtl2::plot_compare_geno(x = cg, rug = T, main = "DO - ddRADseq Data")

| Version | Author | Date |
|---|---|---|
| 18aadff | sam-widmayer | 2023-02-09 |
There are many “duplicates” among the DO ddRADseq samples as well. Compared to the DO GigaMUGA samples:
cgGM <- qtl2::compare_geno(DO_cross, cores=0)
qtl2::plot_compare_geno(x = cgGM, rug = T, main = "DO - GigaMUGA Data")

| Version | Author | Date |
|---|---|---|
| 18aadff | sam-widmayer | 2023-02-09 |
# Insert pseudomarkers
dd_DO_map <- qtl2::insert_pseudomarkers(ddRADseq_DO$gmap, step = 1)
# Calculate genotype probs
dir.create("results/DO_ddRADseq_pr", showWarnings = F)
fpr_ddDO <- suppressWarnings(qtl2fst::calc_genoprob_fst(cross = ddRADseq_DO,
map = dd_DO_map,
fbase = "pr",
fdir = "results/DO_ddRADseq_pr",
error_prob=0.002,
overwrite=TRUE,cores = parallel::detectCores()))
# Make viterbi
ddDO_m <- maxmarg(fpr_ddDO, minprob=0.5)
# Phase genotypes
ddDO_ph <- qtl2::guess_phase(cross = ddRADseq_DO, geno = ddDO_m)
# Write Plots
for(i in 1:nrow(ddRADseq_DO$cross_info)){
png(file=paste0("output/plot_onegeno_",rownames(ddRADseq_DO$cross_info)[i],".png"))
qtl2::plot_onegeno(geno = ddDO_ph,
map = dd_DO_map,
ind = i,
col = c(qtl2::CCcolors)) # add legends here
legend(16, 70,
legend=c("A", "B", "C", "D",
"E", "F", "G", "H"),
fill=c(qtl2::CCcolors), cex=0.8)
dev.off()
}
Below are example chromosome paintings of haplotype reconstructions from DO ddRADseq samples compared to the same individuals genotyped with GigaMUGA.
# GigaMUGA haplotypes
load("data/DO_genoprobs.RData")
gm_m_DO <- maxmarg(pr, minprob=0.5)
gm_ph_DO <- qtl2::guess_phase(cross = DO_cross, geno = gm_m_DO)
gm_map_DO <- qtl2::insert_pseudomarkers(DO_cross$gmap, step = 1)
# Example plots
indivs <- sample(seq(1:nrow(ddRADseq_DO$cross_info)), size = 5, replace = F)
# ddRADseq
plot_indiv <- rownames(ddRADseq_DO$cross_info)[indivs[1]]
qtl2::plot_onegeno(geno = ddDO_ph,
map = dd_DO_map,
ind = plot_indiv,
col = c(qtl2::CCcolors),
main = plot_indiv) # add legends here
legend(16, 65, legend=LETTERS[1:8], fill=c(qtl2::CCcolors), cex=0.8)

| Version | Author | Date |
|---|---|---|
| 18aadff | sam-widmayer | 2023-02-09 |
# DO
do_sample_index <- grep(pattern = gsub(strsplit(plot_indiv, split = "_")[[1]][1],
pattern = "ddRADseq.",
replacement = ""),
x = gsub(rownames(DO_cross$cross_info),
pattern = "-",
replacement = "."))
qtl2::plot_onegeno(geno = gm_ph_DO,
map = gm_map_DO,
ind = do_sample_index,
col = c(qtl2::CCcolors),
main = rownames(DO_cross$cross_info)[do_sample_index]) # add legends here
legend(16, 65, legend=LETTERS[1:8], fill=c(qtl2::CCcolors), cex=0.8)

| Version | Author | Date |
|---|---|---|
| 18aadff | sam-widmayer | 2023-02-09 |
plot_indiv <- rownames(ddRADseq_DO$cross_info)[indivs[2]]
qtl2::plot_onegeno(geno = ddDO_ph,
map = dd_DO_map,
ind = plot_indiv,
col = c(qtl2::CCcolors),
main = plot_indiv) # add legends here
legend(16, 65, legend=LETTERS[1:8], fill=c(qtl2::CCcolors), cex=0.8)

| Version | Author | Date |
|---|---|---|
| 18aadff | sam-widmayer | 2023-02-09 |
do_sample_index <- grep(pattern = gsub(strsplit(plot_indiv, split = "_")[[1]][1],
pattern = "ddRADseq.",
replacement = ""),
x = gsub(rownames(DO_cross$cross_info),
pattern = "-",
replacement = "."))
qtl2::plot_onegeno(geno = gm_ph_DO,
map = gm_map_DO,
ind = do_sample_index,
col = c(qtl2::CCcolors),
main = rownames(DO_cross$cross_info)[do_sample_index]) # add legends here
legend(16, 65, legend=LETTERS[1:8], fill=c(qtl2::CCcolors), cex=0.8)

| Version | Author | Date |
|---|---|---|
| 18aadff | sam-widmayer | 2023-02-09 |
plot_indiv <- rownames(ddRADseq_DO$cross_info)[indivs[3]]
qtl2::plot_onegeno(geno = ddDO_ph,
map = dd_DO_map,
ind = plot_indiv,
col = c(qtl2::CCcolors),
main = plot_indiv) # add legends here
legend(16, 65, legend=LETTERS[1:8], fill=c(qtl2::CCcolors), cex=0.8)

| Version | Author | Date |
|---|---|---|
| 18aadff | sam-widmayer | 2023-02-09 |
do_sample_index <- grep(pattern = gsub(strsplit(plot_indiv, split = "_")[[1]][1],
pattern = "ddRADseq.",
replacement = ""),
x = gsub(rownames(DO_cross$cross_info),
pattern = "-",
replacement = "."))
qtl2::plot_onegeno(geno = gm_ph_DO,
map = gm_map_DO,
ind = do_sample_index,
col = c(qtl2::CCcolors),
main = rownames(DO_cross$cross_info)[do_sample_index]) # add legends here
legend(16, 65, legend=LETTERS[1:8], fill=c(qtl2::CCcolors), cex=0.8)

| Version | Author | Date |
|---|---|---|
| 18aadff | sam-widmayer | 2023-02-09 |
plot_indiv <- rownames(ddRADseq_DO$cross_info)[indivs[4]]
qtl2::plot_onegeno(geno = ddDO_ph,
map = dd_DO_map,
ind = plot_indiv,
col = c(qtl2::CCcolors),
main = plot_indiv) # add legends here
legend(16, 65, legend=LETTERS[1:8], fill=c(qtl2::CCcolors), cex=0.8)

| Version | Author | Date |
|---|---|---|
| 18aadff | sam-widmayer | 2023-02-09 |
do_sample_index <- grep(pattern = gsub(strsplit(plot_indiv, split = "_")[[1]][1],
pattern = "ddRADseq.",
replacement = ""),
x = gsub(rownames(DO_cross$cross_info),
pattern = "-",
replacement = "."))
qtl2::plot_onegeno(geno = gm_ph_DO,
map = gm_map_DO,
ind = do_sample_index,
col = c(qtl2::CCcolors),
main = rownames(DO_cross$cross_info)[do_sample_index]) # add legends here
legend(16, 65, legend=LETTERS[1:8], fill=c(qtl2::CCcolors), cex=0.8)

| Version | Author | Date |
|---|---|---|
| 18aadff | sam-widmayer | 2023-02-09 |
plot_indiv <- rownames(ddRADseq_DO$cross_info)[indivs[5]]
qtl2::plot_onegeno(geno = ddDO_ph,
map = dd_DO_map,
ind = plot_indiv,
col = c(qtl2::CCcolors),
main = plot_indiv) # add legends here
legend(16, 65, legend=LETTERS[1:8], fill=c(qtl2::CCcolors), cex=0.8)

| Version | Author | Date |
|---|---|---|
| 18aadff | sam-widmayer | 2023-02-09 |
do_sample_index <- grep(pattern = gsub(strsplit(plot_indiv, split = "_")[[1]][1],
pattern = "ddRADseq.",
replacement = ""),
x = gsub(rownames(DO_cross$cross_info),
pattern = "-",
replacement = "."))
qtl2::plot_onegeno(geno = gm_ph_DO,
map = gm_map_DO,
ind = do_sample_index,
col = c(qtl2::CCcolors),
main = rownames(DO_cross$cross_info)[do_sample_index]) # add legends here
legend(16, 65, legend=LETTERS[1:8], fill=c(qtl2::CCcolors), cex=0.8)

| Version | Author | Date |
|---|---|---|
| 18aadff | sam-widmayer | 2023-02-09 |
One question we are ultimately interested in is whether low-pass WGS followed by GBS will provide additional resolution for mapping. Mapping resolution is effectively determined by 1) the number of mice in the cross (number of meioses) and 2) the number of markers with which we’re able to capture these recombination events. Below we counted the number of markers available for each genotyping method.
# make cross objects in a list
qtl2objects <- list(DO_cross, ddRADseq_DO, X4WC_cross, ddRADseq_4WC)
names(qtl2objects) <- c("DO_GigaMUGA","DO_ddRADseq","4WC_GigaMUGA","4WC_ddRADseq")
# Count the number of markers per chromosome for each population/method
n_mar_list <- lapply(qtl2objects, function(x) data.frame(qtl2::n_mar(x)))
# wrangle into a df
n_mar_df <- list()
for(i in 1:length(n_mar_list)){
foo <- data.frame(n_mar_list[[i]])
colnames(foo) <- names(n_mar_list)[i]
foo$chromosome <- rownames(foo)
rownames(foo) <- NULL
foo <- foo %>% dplyr::select(chromosome,everything())
n_mar_df[[i]] <- foo
}
n_mar_df <- suppressMessages(Reduce(full_join, n_mar_df) %>%
tidyr::pivot_longer(-chromosome, names_to = "method") %>%
dplyr::mutate(chromosome = as.factor(chromosome)))
n_mar_df$chromosome <- factor(n_mar_df$chromosome, levels = as.character(c(1:19,"X")))
# Plot marker counts per chromosome
ggplot(n_mar_df, mapping = aes(x = chromosome, y = value, fill = method)) +
theme_bw() +
geom_col(position = position_dodge()) +
labs(x = "Chromosome",
y = "Number of Markers") +
scale_fill_manual(values = brewer.pal(n = length(unique(n_mar_df$method)),
name = "Spectral"),
name = "Population + Genotyping Method")
Warning: Removed 3 rows containing missing values (`geom_col()`).

| Version | Author | Date |
|---|---|---|
| 5fc09b3 | sam-widmayer | 2023-02-09 |
Based on the haplotype plots, we can guess that the genotypes on either side of detected crossovers won’t necessarily match, but we wanted to establish a baseline for how crossover events are detected across genotyping methods.
# count crossovers for 4WC samples
xos_dd4WC <- qtl2::count_xo(dd4WC_m, cores=parallel::detectCores())
xos_gm4WC <- qtl2::count_xo(gm_4WC_m, cores=parallel::detectCores())
# replace ddRADseq sample names with gm sample names
for(i in 1:length(rownames(xos_gm4WC))){
gm_samplename <- gsub(rownames(xos_gm4WC)[i],pattern = "-", replacement = ".")
dd_index <- grep(gm_samplename, x = rownames(xos_dd4WC))
rownames(xos_dd4WC)[dd_index] <- gm_samplename
rownames(xos_dd4WC)[dd_index] <- gsub(rownames(xos_dd4WC)[dd_index], pattern = "[.]", replacement = "-")
}
# count crossovers for DO samples
xos_ddDO <- qtl2::count_xo(ddDO_m, cores=parallel::detectCores())
xos_gmDO <- qtl2::count_xo(gm_m_DO, cores=parallel::detectCores())
# replace ddRADseq sample names with gm sample names
for(i in 1:length(rownames(xos_gmDO))){
gm_samplename <- gsub(rownames(xos_gmDO)[i],pattern = "-", replacement = ".")
dd_index <- grep(gm_samplename, x = rownames(xos_ddDO))
rownames(xos_ddDO)[dd_index] <- gm_samplename
rownames(xos_ddDO)[dd_index] <- gsub(rownames(xos_ddDO)[dd_index], pattern = "[.]", replacement = "-")
}
# transform to df
xo_list <- list(xos_dd4WC, xos_ddDO, xos_gm4WC, xos_gmDO)
pop_list <- list("4WC", "DO", "4WC", "DO")
method_list <- list("ddRADseq", "ddRADseq", "GigaMUGA", "GigaMUGA")
xoToDf <- function(xo, pop, method){
new_xo <- as.data.frame(xo) %>%
dplyr::mutate(sample = rownames(xo),
population = pop,
gt_method = method)
rownames(new_xo) <- NULL
return(new_xo)
}
all_xos <- purrr::pmap(.l = list(xo_list, pop_list, method_list), .f = xoToDf) %>%
Reduce(full_join, .) %>%
tidyr::pivot_longer(-c(sample, population, gt_method), names_to = "chromosome", values_to = "xos") %>%
dplyr::mutate(chromosome = as.factor(chromosome))
Joining, by = c("1", "3", "4", "5", "6", "7", "8", "9", "10", "11", "12", "13",
"14", "15", "16", "17", "18", "19", "sample", "population", "gt_method")
Joining, by = c("1", "2", "3", "4", "5", "6", "7", "8", "9", "10", "11", "12",
"13", "14", "15", "16", "17", "18", "19", "sample", "population", "gt_method")
Joining, by = c("1", "2", "3", "4", "5", "6", "7", "8", "9", "10", "11", "12",
"13", "14", "15", "16", "17", "18", "19", "sample", "population", "gt_method",
"X")
all_xos$chromosome <- factor(all_xos$chromosome, levels = as.character(c(1:19,"X")))
# Plot crossovers - 4WC
all_xos %>%
dplyr::filter(population == "4WC") %>%
tidyr::pivot_wider(names_from = gt_method, values_from = xos) %>%
ggplot(., mapping = aes(x = GigaMUGA,
y = ddRADseq)) +
theme_bw() +
geom_point(alpha = 0.5) +
geom_abline(slope = 1) +
geom_smooth(method = "lm") +
facet_wrap(.~chromosome, nrow = 5) +
theme(panel.grid = element_blank()) +
labs(x = "Number of Crossovers - GigaMUGA",
y = "Number of Crossovers - ddRADseq")
`geom_smooth()` using formula = 'y ~ x'
Warning: Removed 48 rows containing non-finite values (`stat_smooth()`).
Warning: Removed 48 rows containing missing values (`geom_point()`).

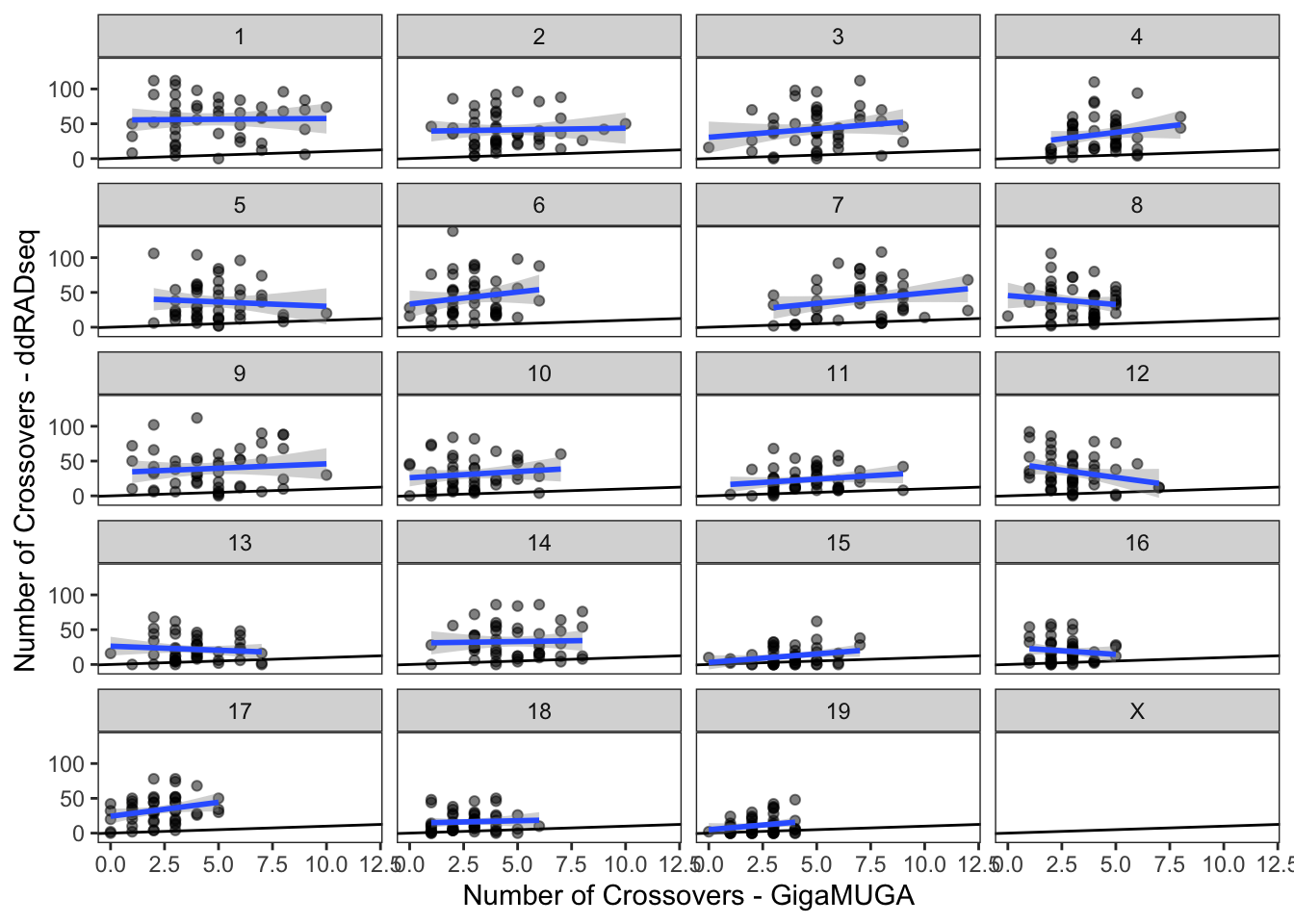
# Plot crossovers - DO
all_xos %>%
dplyr::filter(population == "DO") %>%
tidyr::pivot_wider(names_from = gt_method, values_from = xos) %>%
ggplot(., mapping = aes(x = GigaMUGA,
y = ddRADseq)) +
theme_bw() +
geom_point(alpha = 0.5) +
geom_abline(slope = 1) +
geom_smooth(method = "lm") +
facet_wrap(.~chromosome, nrow = 5) +
theme(panel.grid = element_blank()) +
labs(x = "Number of Crossovers - GigaMUGA",
y = "Number of Crossovers - ddRADseq")
`geom_smooth()` using formula = 'y ~ x'
Warning: Removed 96 rows containing non-finite values (`stat_smooth()`).
Warning: Removed 96 rows containing missing values (`geom_point()`).

As expected based on previous analyses, there is no correlation between crossover events in the same samples using different genotyping methods. We hypothesize this concordance will improve with better sequencing coverage and, therefore, greater genotyping and haplotype inference accuracy by STITCH.
sessionInfo()
R version 4.2.1 (2022-06-23)
Platform: x86_64-apple-darwin17.0 (64-bit)
Running under: macOS Big Sur ... 10.16
Matrix products: default
BLAS: /Library/Frameworks/R.framework/Versions/4.2/Resources/lib/libRblas.0.dylib
LAPACK: /Library/Frameworks/R.framework/Versions/4.2/Resources/lib/libRlapack.dylib
locale:
[1] en_US.UTF-8/en_US.UTF-8/en_US.UTF-8/C/en_US.UTF-8/en_US.UTF-8
attached base packages:
[1] stats graphics grDevices utils datasets methods base
other attached packages:
[1] fstcore_0.9.12 RColorBrewer_1.1-3 forcats_0.5.2 stringr_1.4.1
[5] dplyr_1.0.10 purrr_0.3.5 readr_2.1.3 tidyr_1.2.1
[9] tibble_3.1.8 ggplot2_3.4.0 tidyverse_1.3.2 qtl2fst_0.26
[13] qtl2_0.28 workflowr_1.7.0
loaded via a namespace (and not attached):
[1] nlme_3.1-157 fs_1.5.2 lubridate_1.9.0
[4] bit64_4.0.5 httr_1.4.4 rprojroot_2.0.3
[7] tools_4.2.1 backports_1.4.1 bslib_0.4.1
[10] utf8_1.2.2 R6_2.5.1 mgcv_1.8-40
[13] lazyeval_0.2.2 DBI_1.1.3 colorspace_2.0-3
[16] withr_2.5.0 tidyselect_1.2.0 processx_3.8.0
[19] bit_4.0.4 compiler_4.2.1 git2r_0.30.1
[22] cli_3.4.1 rvest_1.0.3 xml2_1.3.3
[25] plotly_4.10.1 labeling_0.4.2 sass_0.4.2
[28] scales_1.2.1 callr_3.7.3 digest_0.6.30
[31] rmarkdown_2.18 pkgconfig_2.0.3 htmltools_0.5.3
[34] fst_0.9.8 highr_0.9 dbplyr_2.2.1
[37] fastmap_1.1.0 htmlwidgets_1.5.4 rlang_1.0.6
[40] readxl_1.4.1 rstudioapi_0.14 RSQLite_2.2.18
[43] farver_2.1.1 jquerylib_0.1.4 generics_0.1.3
[46] jsonlite_1.8.3 crosstalk_1.2.0 vroom_1.6.0
[49] googlesheets4_1.0.1 magrittr_2.0.3 Matrix_1.5-3
[52] Rcpp_1.0.9 munsell_0.5.0 fansi_1.0.3
[55] lifecycle_1.0.3 stringi_1.7.8 whisker_0.4
[58] yaml_2.3.6 grid_4.2.1 blob_1.2.3
[61] parallel_4.2.1 promises_1.2.0.1 crayon_1.5.2
[64] lattice_0.20-45 splines_4.2.1 haven_2.5.1
[67] hms_1.1.2 knitr_1.40 ps_1.7.2
[70] pillar_1.8.1 reprex_2.0.2 glue_1.6.2
[73] evaluate_0.18 getPass_0.2-2 data.table_1.14.4
[76] modelr_0.1.10 vctrs_0.5.0 tzdb_0.3.0
[79] httpuv_1.6.6 cellranger_1.1.0 gtable_0.3.1
[82] assertthat_0.2.1 cachem_1.0.6 xfun_0.34
[85] broom_1.0.1 later_1.3.0 viridisLite_0.4.1
[88] googledrive_2.0.0 gargle_1.2.1 memoise_2.0.1
[91] timechange_0.1.1 ellipsis_0.3.2