Last updated: 2020-08-13
Checks: 6 1
Knit directory: duplex_sequencing_screen/
This reproducible R Markdown analysis was created with workflowr (version 1.6.2). The Checks tab describes the reproducibility checks that were applied when the results were created. The Past versions tab lists the development history.
The R Markdown file has unstaged changes. To know which version of the R Markdown file created these results, you’ll want to first commit it to the Git repo. If you’re still working on the analysis, you can ignore this warning. When you’re finished, you can run wflow_publish to commit the R Markdown file and build the HTML.
Great job! The global environment was empty. Objects defined in the global environment can affect the analysis in your R Markdown file in unknown ways. For reproduciblity it’s best to always run the code in an empty environment.
The command set.seed(20200402) was run prior to running the code in the R Markdown file. Setting a seed ensures that any results that rely on randomness, e.g. subsampling or permutations, are reproducible.
Great job! Recording the operating system, R version, and package versions is critical for reproducibility.
Nice! There were no cached chunks for this analysis, so you can be confident that you successfully produced the results during this run.
Great job! Using relative paths to the files within your workflowr project makes it easier to run your code on other machines.
Great! You are using Git for version control. Tracking code development and connecting the code version to the results is critical for reproducibility.
The results in this page were generated with repository version c0b2ec0. See the Past versions tab to see a history of the changes made to the R Markdown and HTML files.
Note that you need to be careful to ensure that all relevant files for the analysis have been committed to Git prior to generating the results (you can use wflow_publish or wflow_git_commit). workflowr only checks the R Markdown file, but you know if there are other scripts or data files that it depends on. Below is the status of the Git repository when the results were generated:
Ignored files:
Ignored: .Rhistory
Ignored: .Rproj.user/
Untracked files:
Untracked: 10kmutants_nowt.csv
Untracked: 10kmutants_wt_1_1.csv
Untracked: Rplot.png
Untracked: Rplot01.pdf
Untracked: allele_freq_enrichment_sim.pdf
Untracked: allmuts_dose_response.pdf
Untracked: analysis/bcrabl_hill_ic50s.csv
Untracked: analysis/column_definitions_for_twinstrand_data_06062020.csv
Untracked: analysis/dose_response_curve_fitting_with_errorbars.Rmd
Untracked: analysis/multinomial_sims.Rmd
Untracked: analysis/mutagenesis_radar_chart.Rmd
Untracked: analysis/simple_data_generation.Rmd
Untracked: analysis/twinstrand_growthrates_simple.csv
Untracked: analysis/twinstrand_maf_merge_simple.csv
Untracked: analysis/wildtype_growthrates_sequenced.csv
Untracked: bcrablwt_dose_response.pdf
Untracked: code/microvariation.normalizer.R
Untracked: count_enrichment_sim.pdf
Untracked: data/Combined_data_frame_IC_Mutprob_abundance.csv
Untracked: data/IC50HeatMap.csv
Untracked: data/Twinstrand/
Untracked: data/gfpenrichmentdata.csv
Untracked: data/heatmap_concat_data.csv
Untracked: data/mcmc_inferred_doses.csv
Untracked: dosing_error_doseresponse.pdf
Untracked: dosing_error_doseresponse_forgrant.pdf
Untracked: e255k_dose_response.pdf
Untracked: e255k_initial_spikins_figure.pdf
Untracked: enrichment_simulations_3mutant_MAF.pdf
Untracked: enrichment_simulations_3mutant_count.pdf
Untracked: figures_archive/
Untracked: inferred_doses_barplot_werrorbars.pdf
Untracked: inferred_doses_barplot_werrorbars_wt.pdf
Untracked: inferred_doses_caterpillar.pdf
Untracked: inferred_doses_caterpillar2.pdf
Untracked: inferred_doses_violin.pdf
Untracked: output/archive/
Untracked: output/bmes_abstract_51220.pdf
Untracked: output/clinicalabundancepredictions_BMES_abstract_51320.pdf
Untracked: output/clinicalabundancepredictions_BMES_abstract_52020.pdf
Untracked: output/enrichment_simulations_3mutants_52020.pdf
Untracked: output/grant_fig.pdf
Untracked: output/grant_fig_v2.pdf
Untracked: output/grant_fig_v2updated.pdf
Untracked: output/ic50data_all_conc.csv
Untracked: output/ic50data_all_confidence_intervals_individual_logistic_fits.csv
Untracked: output/ic50data_all_confidence_intervals_raw_data.csv
Untracked: output/ic50heatmap_sd_ci.csv
Untracked: output/twinstrand_microvariations_normalized.csv
Untracked: shinyapp/
Unstaged changes:
Modified: analysis/4_7_20_update.Rmd
Modified: analysis/E255K_alphas_figure.Rmd
Modified: analysis/clinical_abundance_predictions.Rmd
Modified: analysis/dose_response_curve_fitting.Rmd
Modified: analysis/enrichment_simulations.Rmd
Modified: analysis/misc.Rmd
Modified: analysis/nonlinear_growth_analysis.Rmd
Modified: analysis/spikeins_depthofcoverages.Rmd
Modified: analysis/twinstrand_spikeins_data_generation.Rmd
Deleted: data/README.md
Modified: output/twinstrand_maf_merge.csv
Modified: output/twinstrand_simple_melt_merge.csv
Note that any generated files, e.g. HTML, png, CSS, etc., are not included in this status report because it is ok for generated content to have uncommitted changes.
These are the previous versions of the repository in which changes were made to the R Markdown (analysis/enrichment_simulations.Rmd) and HTML (docs/enrichment_simulations.html) files. If you’ve configured a remote Git repository (see ?wflow_git_remote), click on the hyperlinks in the table below to view the files as they were in that past version.
| File | Version | Author | Date | Message |
|---|---|---|---|---|
| html | d5c685e | haiderinam | 2020-06-02 | Build site. |
| Rmd | 9af89d9 | haiderinam | 2020-06-02 | wflow_publish(“analysis/enrichment_simulations.Rmd”) |
# rm(list=ls())
library(knitr)
library(tictoc)
library(workflowr)
This is workflowr version 1.6.2
Run ?workflowr for help getting started
library(VennDiagram)
Loading required package: grid
Loading required package: futile.logger
library(dplyr)
Attaching package: 'dplyr'
The following objects are masked from 'package:stats':
filter, lag
The following objects are masked from 'package:base':
intersect, setdiff, setequal, union
library(foreach)
library(doParallel)
Loading required package: iterators
Loading required package: parallel
library(ggplot2)
library(reshape2)
library(RColorBrewer)
library(devtools)
Loading required package: usethis
library(ggsignif)
library(plotly)
Attaching package: 'plotly'
The following object is masked from 'package:ggplot2':
last_plot
The following object is masked from 'package:stats':
filter
The following object is masked from 'package:graphics':
layout
library(BiocManager)
Bioconductor version 3.11 (BiocManager 1.30.10), ?BiocManager::install for help
Attaching package: 'BiocManager'
The following object is masked from 'package:devtools':
install
library(drc)
Loading required package: MASS
Attaching package: 'MASS'
The following object is masked from 'package:plotly':
select
The following object is masked from 'package:dplyr':
select
'drc' has been loaded.
Please cite R and 'drc' if used for a publication,
for references type 'citation()' and 'citation('drc')'.
Attaching package: 'drc'
The following objects are masked from 'package:stats':
gaussian, getInitial
library("lmtest")
Loading required package: zoo
Attaching package: 'zoo'
The following objects are masked from 'package:base':
as.Date, as.Date.numeric
library("ggplot2")
library("MASS")
library("fitdistrplus")
Loading required package: survival
Loading required package: npsurv
Loading required package: lsei
library("lme4")
Loading required package: Matrix
Registered S3 methods overwritten by 'lme4':
method from
cooks.distance.influence.merMod car
influence.merMod car
dfbeta.influence.merMod car
dfbetas.influence.merMod car
library("boot")
Attaching package: 'boot'
The following object is masked from 'package:survival':
aml
library("dplyr")
library("plotly")
library(drc)
library(devtools)
library(deSolve)
library(RColorBrewer)
library(reshape2)
######################Cleanup for GGPlot2#########################################
net_gr_wodrug=1.4
# ic50data_long=read.csv("../output/ic50data_all_conc.csv",header = T,stringsAsFactors = F)
ic50data_long=read.csv("output/ic50data_all_conc.csv",header = T,stringsAsFactors = F)
ic50data_long$netgr_pred=net_gr_wodrug-ic50data_long$drug_effect
# twinstrand_simple_melt_merge=read.csv("../output/twinstrand_simple_melt_merge.csv",header = T,stringsAsFactors = F)
twinstrand_simple_melt_merge=read.csv("output/twinstrand_simple_melt_merge.csv",header = T,stringsAsFactors = F)
cleanup=theme_bw() +
theme(plot.title = element_text(hjust=.5),
panel.grid.major = element_blank(),
panel.grid.major.y = element_blank(),
panel.background = element_blank(),
# axis.line = element_line(color = "black"),
axis.text = element_text(face="bold",color="black",size="11"),
text=element_text(size=11,face="bold"),
axis.title=element_text(face="bold",size="11"))
1:1000 mixture in a total of 20M cells
ic50data_long=ic50data_long%>%filter(conc%in%c(.3,.6,1.2,2.4))
#In the next step, I'm ordering mutants by decreasing resposne to the 625nM dose. Then I use this to change the levels of the species factor from more to less resistant. This helps with ggplot because now I can color the mutants with decreasing resistance
ic50data_long_625=ic50data_long%>%filter(conc==.6)
ic50data_long$mutant=factor(ic50data_long$mutant,levels = as.character(ic50data_long_625$mutant[order((ic50data_long_625$y),decreasing = T)]))
# ic50data_long$mutant=factor(ic50data_long$mutant,levels = as.character(ic50data_long_625$mutant[order((ic50data_long_625$y),decreasing = T)]))
# rm(list=ls())
# growthrate_nodrug=1.1 ##1.1 means a 15 hour doubling time
growthrate_nodrug=1.4 ##1.4 means a 12 hour doubling time
t=0:6
# ic50data_long$mutant=factor(ic50data_long$mutant,ordered = T)
# ic50data=dcast(data = ic50data_long,conc~mutant)
#Ideally, we would fit a 4 parameter logistic to this and then get the predicted 625 values
# x0=c(15000000,15000,15000,15000,15000,15000,15000,15000,15000,15000,15000,15000,15000,15000,15000,15000,15000,15000,15000,39*15000,56*15000,15000)
# trying out 1:10,000
x0=c(15000,15000/2.5,15000,15000,15000,15000,15000,15000,15000,15000,15000,15000,15000,15000,15000,15000,15000,39*15000,15000,100*15000,15000,56*15000)
sum(x0)
[1] 3201000
sol_comb_doses=data.frame()
# for(j in 1:length(ic50data[,1])){
for(dose in sort(unique(ic50data_long$conc))){
# dose=.8
#Grabbing net growth rate at desired concentration
ic50data_specificdose=ic50data_long%>%filter(conc==dose)
# ic50data_specificdose$mutant
ic50data_specificdose$drugeffect=-log(ic50data_specificdose$y_model)/3
ic50data_specificdose$growthrate_net=growthrate_nodrug-ic50data_specificdose$drugeffect
##Differential equation function
cgrowth=function(times,y,params){
dN.dt=ic50data_specificdose$growthrate_net[i]*y[1]
return(list(dN.dt))
}
sol_comb=data.frame()
for(i in 1:length(ic50data_specificdose[,1])){
sol=ode(y=x0[i],times=t,func=cgrowth,parms=growthrate_net[i])
sol_df=data.frame(sol)
sol_df$mutant=ic50data_specificdose$mutant[i]
# ic50data_specificdose$mutant[2]
# colnames(growthrate_net[i])
sol_comb=rbind(sol_comb,data.frame(sol_df))
}
colnames(sol_comb)[colnames(sol_comb)=="X1"]="count"
# sol_comb$dose=ic50data$conc[j]
sol_comb$dose=dose
sol_comb_doses=rbind(sol_comb_doses,sol_comb)
}
#Plotting total # of cells
getPalette = colorRampPalette(brewer.pal(9, "Spectral"))
#Wt grows unless the drug concentration is like 625nM
# ggplot(data=sol_comb_doses,aes(y=count,x=time,color=factor(mutant)))+geom_line()+facet_wrap(~dose)+cleanup+scale_color_manual(values = getPalette(length(unique(sol_comb_doses$mutant))))
#
# ggplot(data=sol_comb_doses,aes(time,count))+
# geom_col(aes(fill=mutant))+
# facet_wrap(~dose)+
# cleanup+
# scale_fill_manual(values = getPalette(length(unique(sol_comb_doses$mutant))))
#
# #Log scale shows that other mutants are actually growing too
# ggplot(data=sol_comb_doses,aes(y=log(count),x=time,color=factor(mutant)))+geom_line()+facet_wrap(~dose)+cleanup+scale_color_manual(values = getPalette(length(unique(sol_comb_doses$mutant))))
sol_comb_doses=sol_comb_doses%>%group_by(dose,time)%>%mutate(total=sum(count))%>%group_by(dose,time,mutant)%>%mutate(proportion=count/total)
###Looking at the proportion of mutants given various starting doses
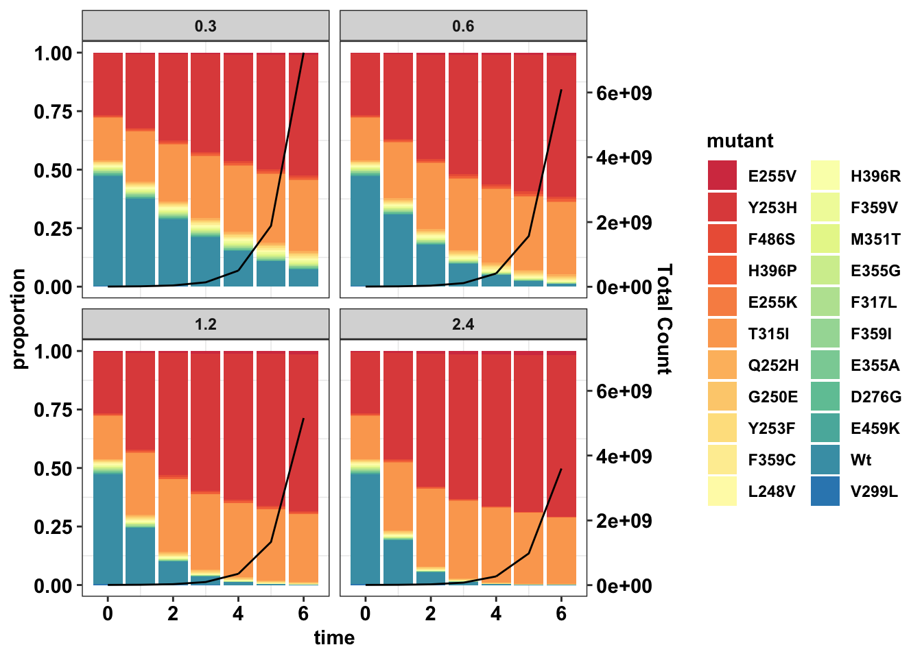
ggplot(data=sol_comb_doses,aes(time,proportion))+geom_col(aes(fill=mutant))+geom_line(aes(y=total/max(sol_comb_doses$total)))+scale_y_continuous(sec.axis = sec_axis(~.*max(sol_comb_doses$total), name = "Total Count"))+facet_wrap(~dose)+cleanup+scale_fill_manual(values = getPalette(length(unique(sol_comb_doses$mutant))))

| Version | Author | Date |
|---|---|---|
| d5c685e | haiderinam | 2020-06-02 |
##Looking closely at just one plot
x=ggplot(data=sol_comb_doses%>%filter(dose==0.6),aes(time,proportion))+
geom_col(aes(fill=mutant))+
geom_line(aes(y=total/max(sol_comb_doses$total)))+
scale_y_continuous(sec.axis = sec_axis(~.*max(sol_comb_doses$total), name = "Total Count"))+facet_wrap(~dose)+
cleanup+
scale_fill_manual(values = getPalette(length(unique(sol_comb_doses$mutant))))
ggplotly(x)
#Can also use this for coloring (doesn't require counting the 22 mutants)
# palette_Dark2 <- colorRampPalette(brewer.pal(14, "Set2"))
# +discrete_scale("fill", "manual", palette_Dark2)
# a=sol_comb_doses%>%filter(!mutant%in%c("F359Lmini","M244V","F359Lmaxi","V299L_L","V299L_H","V299L_H","D276G"))%>%group_by(dose,time)%>%summarize(min_coverage=100/min(proportion),min_coverage_sp=mutant[proportion==min(proportion)][1])
#Check that D275G is resistant
a=sol_comb_doses%>%filter(time%in%c(0,3,6),dose==.6)
# write.csv(sol_comb_doses,"10kmutants_wt_1_1.csv")
b=ic50data_specificdose$mutant
aa=sol_comb_doses%>%filter(mutant%in%"E255K")%>%mutate(percent=proportion*100)
aa=sol_comb_doses%>%filter(time%in%4)%>%mutate(percent=proportion*100)
e255kdiagnostics=twinstrand_simple_melt_merge%>%filter(mutant%in%"E255K",experiment%in%"M6")
e255kdiagnostics=twinstrand_simple_melt_merge%>%filter(mutant%in%"E255K",experiment%in%"M5")
# ic50data_long2=ic50data_long
ic50data_long=ic50data_long%>%filter(mutant%in%c("T315I","L248V","E355A"))
# rm(list=ls())
# growthrate_nodrug=1.1 ##1.1 means a 15 hour doubling time
growthrate_nodrug=1.4 ##1.4 means a 12 hour doubling time
t=0:8
# ic50data_long$mutant=factor(ic50data_long$mutant,ordered = T)
# ic50data=dcast(data = ic50data_long,conc~mutant)
#Ideally, we would fit a 4 parameter logistic to this and then get the predicted 625 values
# x0=c(15000000,15000,15000,15000,15000,15000,15000,15000,15000,15000,15000,15000,15000,15000,15000,15000,15000,15000,15000,39*15000,56*15000,15000)
# trying out 1:10,000
x0=c(10000000,10000000,10000000)
sol_comb_doses=data.frame()
# for(j in 1:length(ic50data[,1])){
for(dose in sort(unique(ic50data_long$conc))){
# dose=.8
#Grabbing net growth rate at desired concentration
ic50data_specificdose=ic50data_long%>%filter(conc==dose)
ic50data_specificdose$drugeffect=-log(ic50data_specificdose$y_model)/3
ic50data_specificdose$growthrate_net=growthrate_nodrug-ic50data_specificdose$drugeffect
##Differential equation function
cgrowth=function(times,y,params){
dN.dt=ic50data_specificdose$growthrate_net[i]*y[1]
return(list(dN.dt))
}
sol_comb=data.frame()
for(i in 1:length(ic50data_specificdose[,1])){
sol=ode(y=x0[i],times=t,func=cgrowth,parms=growthrate_net[i])
sol_df=data.frame(sol)
sol_df$mutant=ic50data_specificdose$mutant[i]
# colnames(growthrate_net[i])
sol_comb=rbind(sol_comb,data.frame(sol_df))
}
colnames(sol_comb)[colnames(sol_comb)=="X1"]="count"
# sol_comb$dose=ic50data$conc[j]
sol_comb$dose=dose
sol_comb_doses=rbind(sol_comb_doses,sol_comb)
}
#Plotting total # of cells
getPalette = colorRampPalette(brewer.pal(9, "Spectral"))
ggplot(data=sol_comb_doses,aes(time,count))+
geom_col(aes(fill=mutant))+
facet_wrap(~dose)+
cleanup+
scale_fill_manual(values = getPalette(length(unique(sol_comb_doses$mutant))))

| Version | Author | Date |
|---|---|---|
| d5c685e | haiderinam | 2020-06-02 |
#Log scale shows that other mutants are actually growing too
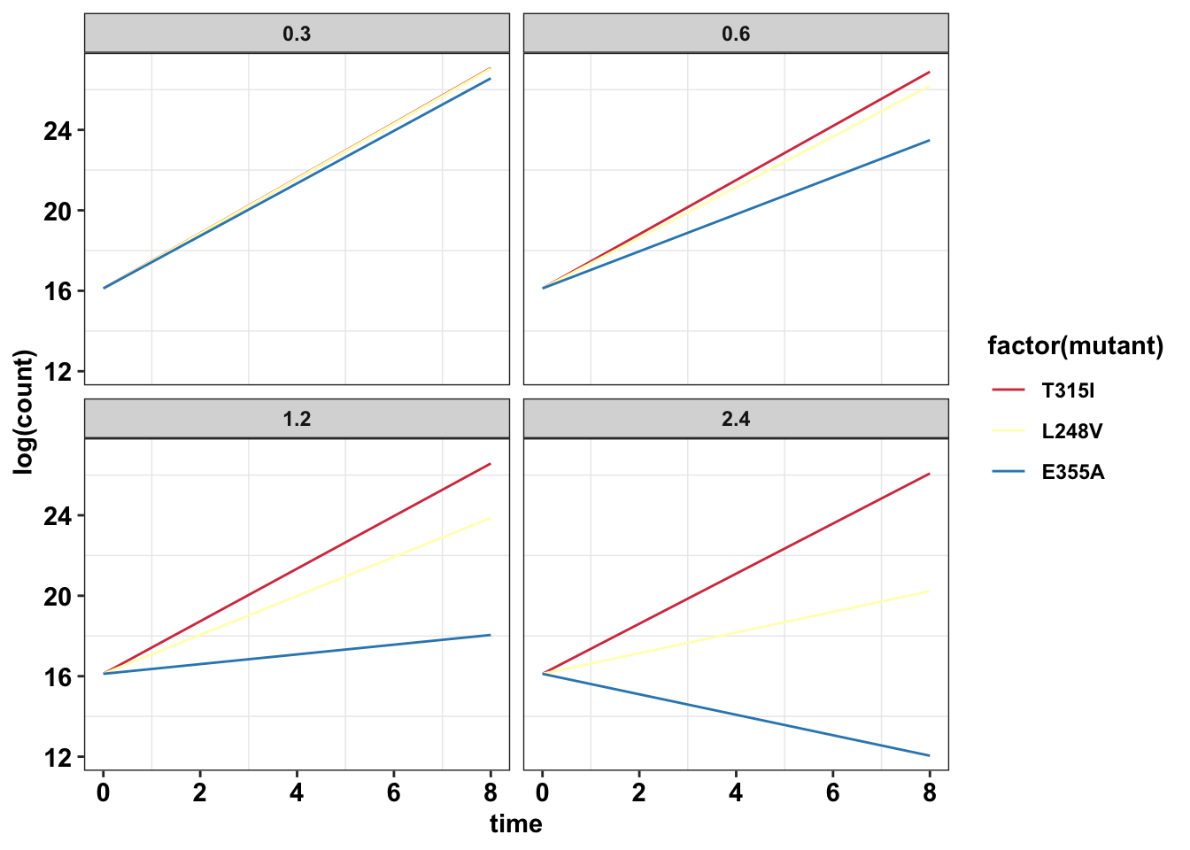
ggplot(data=sol_comb_doses,aes(y=log(count),x=time,color=factor(mutant)))+geom_line()+facet_wrap(~dose)+cleanup+scale_color_manual(values = getPalette(length(unique(sol_comb_doses$mutant))))

| Version | Author | Date |
|---|---|---|
| d5c685e | haiderinam | 2020-06-02 |
sol_comb_doses=sol_comb_doses%>%group_by(dose,time)%>%mutate(total=sum(count))%>%group_by(dose,time,mutant)%>%mutate(proportion=count/total)
###Looking at the proportion of mutants given various starting doses
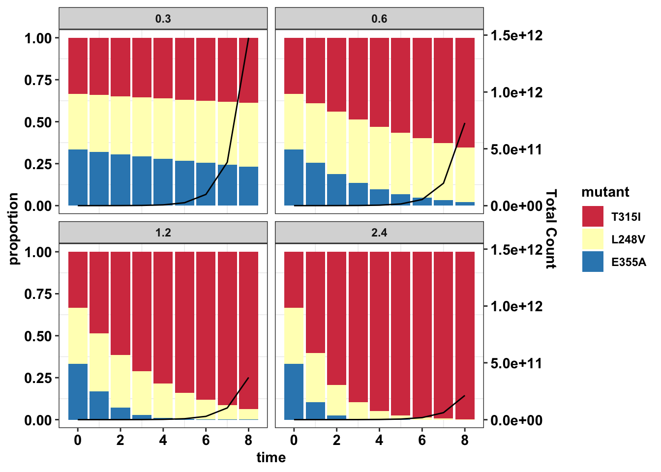
ggplot(data=sol_comb_doses,aes(time,proportion))+geom_col(aes(fill=mutant))+geom_line(aes(y=total/max(sol_comb_doses$total)))+scale_y_continuous(sec.axis = sec_axis(~.*max(sol_comb_doses$total), name = "Total Count"))+facet_wrap(~dose)+cleanup+scale_fill_manual(values = getPalette(length(unique(sol_comb_doses$mutant))))

| Version | Author | Date |
|---|---|---|
| d5c685e | haiderinam | 2020-06-02 |
#Can also use this for coloring (doesn't require counting the 22 mutants)
palette_Dark2 <- colorRampPalette(brewer.pal(14, "Set2"))
Warning in brewer.pal(14, "Set2"): n too large, allowed maximum for palette Set2 is 8
Returning the palette you asked for with that many colors
# +discrete_scale("fill", "manual", palette_Dark2)
##Looking closely at just one plot
sol_comb_doses$mutant=factor(sol_comb_doses$mutant,levels=c("E355A","L248V","T315I"))
x=ggplot(data=sol_comb_doses%>%filter(dose==1.2),aes(time,proportion))+
geom_col(aes(fill=mutant))+
# geom_line(aes(y=total/max(sol_comb_doses$total)))+
# scale_y_continuous(sec.axis = sec_axis(~.*max(sol_comb_doses$total), name = "Total Count"))+
# facet_wrap(~dose)+
cleanup+
discrete_scale("fill", "manual", palette_Dark2)+
scale_x_continuous(expand = c(0,0),name = "Time (Days)")+
scale_y_continuous(expand = c(0,0),name = "Mutant Allele Fraction")+
theme(panel.grid.major = element_blank(),
panel.grid.minor = element_blank(),
panel.background = element_blank(),
axis.line = element_line(colour = "black"))
# theme(plot.title = element_text(hjust=.5),text = element_text(size=30,face="bold"),axis.title = element_text(face="bold",size="26"),axis.text=element_text(face="bold",color="black",size="26"))
# scale_fill_manual(values = getPalette(length(unique(sol_comb_doses$mutant))))
ggplotly(x)
# ggsave("enrichment_simulations_3mutants.pdf",width = 4,height = 3,units = "in",useDingbats=F)
########Analysis trying to show that there is a real depletion effecf:
ggplot(sol_comb_doses%>%filter(time<=6,dose%in%1.2),aes(x=time,y=proportion,group=mutant))+
geom_line()+
geom_point(color="black",shape=21,size=2,aes(fill=factor(mutant)))+
cleanup+
discrete_scale("fill", "manual", palette_Dark2)+
discrete_scale("color", "manual", palette_Dark2)+
scale_y_continuous(name="Mutant Allele Fraction")+
scale_x_continuous(name="Time (Days)")+
theme(legend.position = "none",
axis.title = element_text(face="bold",size=10),
axis.text = element_text(face="plain",size=9))

# ggsave("enrichment_simulations_3mutant_MAF.pdf",width=2,height=2,units="in",useDingbats=F)
ggplot(sol_comb_doses%>%filter(time<=6,dose%in%1.2),aes(x=time,y=count,group=mutant))+
geom_line()+
geom_point(color="black",shape=21,size=2,aes(fill=factor(mutant)))+
cleanup+
discrete_scale("fill", "manual", palette_Dark2)+
discrete_scale("color", "manual", palette_Dark2)+
scale_y_continuous(name="Mutant Count",trans="log10",breaks=c(1e7,1e8,1e9,1e10),labels=parse(text=c("10^7","10^8","10^9","10^10")))+
# scale_y_continuous(name="Mutant Count",breaks=c(0,1e10,2e10),labels=parse(text=c("0","10^10","2*10^10")))+
scale_x_continuous(name="Time (Days)")+
theme(legend.position = "none",
axis.title = element_text(face="bold",size=10),
axis.text = element_text(face="plain",size=9))

# ggsave("enrichment_simulations_3mutant_count.pdf",width=2,height=2,units="in",useDingbats=F)
ggplot(sol_comb_doses%>%filter(dose%in%1.2)%>%filter(time%in%c(0,3)),aes(x=(factor(time)),y=proportion,fill=factor(mutant)))+geom_col(color="black")+facet_wrap(~mutant)+cleanup+discrete_scale("fill", "manual", palette_Dark2)+
scale_y_continuous(name="Mutant Allele Fraction",expand = c(0.01,0))+
scale_x_discrete(name="Time (Days)")+
theme(strip.text = element_blank(),
legend.position = "none",
axis.title = element_text(face="bold",size=10),
axis.text = element_text(face="plain",size=9))

# ggsave("allele_freq_enrichment_sim.pdf",width=3,height=2,units="in",useDingbats=F)
ggplot(sol_comb_doses%>%filter(dose%in%1.2)%>%filter(time%in%c(0,3)),aes(x=(factor(time)),y=count,fill=factor(mutant)))+geom_col(color="black")+facet_wrap(~mutant)+cleanup+discrete_scale("fill", "manual", palette_Dark2)+
scale_y_continuous(name="Estimated Counts",
expand = c(0.01,0),
trans="log10",
# limits=c(10^5,10^11),
breaks=c(1e6,1e7,1e8,1e9,1e10),
labels=parse(text=c("10^6","10^7","10^8","10^9","10^10")))+
scale_x_discrete(name="Time (Days)")+
theme(strip.text = element_blank(),
legend.position = "none",
axis.title = element_text(face="bold",size=10),
axis.text = element_text(face="plain",size=9))+
coord_cartesian(ylim = c(10^6, 10^9))

# ggsave("count_enrichment_sim.pdf",width=3,height=2,units="in",useDingbats=F)
sessionInfo()
R version 4.0.0 (2020-04-24)
Platform: x86_64-apple-darwin17.0 (64-bit)
Running under: macOS Catalina 10.15.6
Matrix products: default
BLAS: /Library/Frameworks/R.framework/Versions/4.0/Resources/lib/libRblas.dylib
LAPACK: /Library/Frameworks/R.framework/Versions/4.0/Resources/lib/libRlapack.dylib
locale:
[1] en_US.UTF-8/en_US.UTF-8/en_US.UTF-8/C/en_US.UTF-8/en_US.UTF-8
attached base packages:
[1] parallel grid stats graphics grDevices utils datasets
[8] methods base
other attached packages:
[1] deSolve_1.28 boot_1.3-24 lme4_1.1-23
[4] Matrix_1.2-18 fitdistrplus_1.0-14 npsurv_0.4-0.1
[7] lsei_1.2-0.1 survival_3.1-12 lmtest_0.9-37
[10] zoo_1.8-8 drc_3.0-1 MASS_7.3-51.5
[13] BiocManager_1.30.10 plotly_4.9.2.1 ggsignif_0.6.0
[16] devtools_2.3.0 usethis_1.6.1 RColorBrewer_1.1-2
[19] reshape2_1.4.4 ggplot2_3.3.0 doParallel_1.0.15
[22] iterators_1.0.12 foreach_1.5.0 dplyr_0.8.5
[25] VennDiagram_1.6.20 futile.logger_1.4.3 workflowr_1.6.2
[28] tictoc_1.0 knitr_1.28
loaded via a namespace (and not attached):
[1] TH.data_1.0-10 minqa_1.2.4 colorspace_1.4-1
[4] ellipsis_0.3.1 rio_0.5.16 rprojroot_1.3-2
[7] fs_1.4.1 farver_2.0.3 remotes_2.1.1
[10] fansi_0.4.1 mvtnorm_1.1-0 codetools_0.2-16
[13] splines_4.0.0 pkgload_1.0.2 jsonlite_1.6.1
[16] nloptr_1.2.2.1 compiler_4.0.0 httr_1.4.1
[19] backports_1.1.7 assertthat_0.2.1 lazyeval_0.2.2
[22] cli_2.0.2 later_1.0.0 formatR_1.7
[25] htmltools_0.4.0 prettyunits_1.1.1 tools_4.0.0
[28] gtable_0.3.0 glue_1.4.1 Rcpp_1.0.4.6
[31] carData_3.0-3 cellranger_1.1.0 vctrs_0.3.0
[34] nlme_3.1-147 crosstalk_1.1.0.1 xfun_0.13
[37] stringr_1.4.0 ps_1.3.3 openxlsx_4.1.5
[40] testthat_2.3.2 lifecycle_0.2.0 gtools_3.8.2
[43] statmod_1.4.34 scales_1.1.1 hms_0.5.3
[46] promises_1.1.0 sandwich_2.5-1 lambda.r_1.2.4
[49] yaml_2.2.1 curl_4.3 memoise_1.1.0
[52] stringi_1.4.6 desc_1.2.0 plotrix_3.7-8
[55] pkgbuild_1.0.8 zip_2.0.4 rlang_0.4.6
[58] pkgconfig_2.0.3 evaluate_0.14 lattice_0.20-41
[61] purrr_0.3.4 labeling_0.3 htmlwidgets_1.5.1
[64] processx_3.4.2 tidyselect_1.1.0 plyr_1.8.6
[67] magrittr_1.5 R6_2.4.1 multcomp_1.4-13
[70] pillar_1.4.4 haven_2.2.0 whisker_0.4
[73] foreign_0.8-78 withr_2.2.0 abind_1.4-5
[76] tibble_3.0.1 crayon_1.3.4 car_3.0-7
[79] futile.options_1.0.1 rmarkdown_2.1 readxl_1.3.1
[82] data.table_1.12.8 callr_3.4.3 git2r_0.27.1
[85] forcats_0.5.0 digest_0.6.25 tidyr_1.0.3
[88] httpuv_1.5.2 munsell_0.5.0 viridisLite_0.3.0
[91] sessioninfo_1.1.1