Last updated: 2024-03-03
Checks: 7 0
Knit directory: PODFRIDGE/
This reproducible R Markdown analysis was created with workflowr (version 1.7.1). The Checks tab describes the reproducibility checks that were applied when the results were created. The Past versions tab lists the development history.
Great! Since the R Markdown file has been committed to the Git repository, you know the exact version of the code that produced these results.
Great job! The global environment was empty. Objects defined in the global environment can affect the analysis in your R Markdown file in unknown ways. For reproduciblity it’s best to always run the code in an empty environment.
The command set.seed(20230302) was run prior to running
the code in the R Markdown file. Setting a seed ensures that any results
that rely on randomness, e.g. subsampling or permutations, are
reproducible.
Great job! Recording the operating system, R version, and package versions is critical for reproducibility.
Nice! There were no cached chunks for this analysis, so you can be confident that you successfully produced the results during this run.
Great job! Using relative paths to the files within your workflowr project makes it easier to run your code on other machines.
Great! You are using Git for version control. Tracking code development and connecting the code version to the results is critical for reproducibility.
The results in this page were generated with repository version 2596546. See the Past versions tab to see a history of the changes made to the R Markdown and HTML files.
Note that you need to be careful to ensure that all relevant files for
the analysis have been committed to Git prior to generating the results
(you can use wflow_publish or
wflow_git_commit). workflowr only checks the R Markdown
file, but you know if there are other scripts or data files that it
depends on. Below is the status of the Git repository when the results
were generated:
Ignored files:
Ignored: .DS_Store
Ignored: .Rhistory
Ignored: .Rproj.user/
Ignored: analysis/.DS_Store
Ignored: output/.DS_Store
Note that any generated files, e.g. HTML, png, CSS, etc., are not included in this status report because it is ok for generated content to have uncommitted changes.
These are the previous versions of the repository in which changes were
made to the R Markdown (analysis/IBD.Rmd) and HTML
(docs/IBD.html) files. If you’ve configured a remote Git
repository (see ?wflow_git_remote), click on the hyperlinks
in the table below to view the files as they were in that past version.
| File | Version | Author | Date | Message |
|---|---|---|---|---|
| html | 48acb9f | Tina Lasisi | 2024-03-02 | Build site. |
| html | aa3ff5c | Tina Lasisi | 2024-03-01 | Build site. |
| html | 9e71347 | Tina Lasisi | 2024-01-22 | Build site. |
| Rmd | 10423d8 | Tina Lasisi | 2023-05-18 | Update to add IBD page |
| html | 10423d8 | Tina Lasisi | 2023-05-18 | Update to add IBD page |
# Load required packages
library(tidyverse)
── Attaching core tidyverse packages ──────────────────────── tidyverse 2.0.0 ──
✔ dplyr 1.1.4 ✔ readr 2.1.5
✔ forcats 1.0.0 ✔ stringr 1.5.1
✔ ggplot2 3.4.4 ✔ tibble 3.2.1
✔ lubridate 1.9.3 ✔ tidyr 1.3.0
✔ purrr 1.0.2
── Conflicts ────────────────────────────────────────── tidyverse_conflicts() ──
✖ dplyr::filter() masks stats::filter()
✖ dplyr::lag() masks stats::lag()
ℹ Use the conflicted package (<http://conflicted.r-lib.org/>) to force all conflicts to become errors
library(patchwork)
knitr::opts_knit$set(root.dir = "..")
knitr::opts_chunk$set(eval = TRUE, echo = FALSE, fig.width = 7, fig.height = 6)
Rows: 44737 Columns: 5
── Column specification ────────────────────────────────────────────────────────
Delimiter: "\t"
chr (4): ID1, POP1, ID2, POP2
dbl (1): IBD_CM_SUM
ℹ Use `spec()` to retrieve the full column specification for this data.
ℹ Specify the column types or set `show_col_types = FALSE` to quiet this message.
`summarise()` has grouped output by 'POP1'. You can override using the `.groups` argument.
# A tibble: 3 × 3
# Groups: POP1 [2]
POP1 POP2 mean_ibd
<chr> <chr> <dbl>
1 ASW ASW 342.
2 CEU ASW 5.79
3 CEU CEU 17.3

| Version | Author | Date |
|---|---|---|
| 10423d8 | Tina Lasisi | 2023-05-18 |
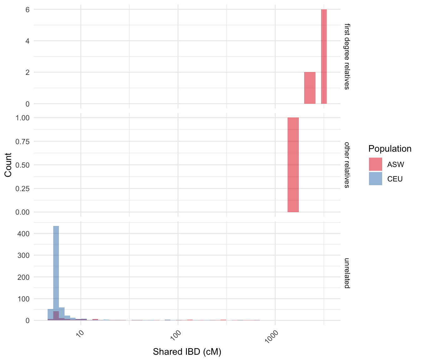
Here we see that there is much higher mean IBD in the ASW sample than expected. After checking for errors, it appears that this has to do with the nature of the HapMap sample. African Ancestry in SW USA (ASW) contains 20 parent-child duos, 13 trios, and 5 families of 2 or more with only 15 unrelated individuals (see link). Given the description of the sample, it seems really important to not use this population as a proxy for African Americans.
Below the filtered data is re-visualized as distributions for different kinship levels.



| Version | Author | Date |
|---|---|---|
| 10423d8 | Tina Lasisi | 2023-05-18 |
Welch Two Sample t-test
data: IBD_CM_SUM by POP1
t = 3.6655, df = 122.79, p-value = 0.0003659
alternative hypothesis: true difference in means between group ASW and group CEU is not equal to 0
95 percent confidence interval:
18.14282 60.74416
sample estimates:
mean in group ASW mean in group CEU
49.77737 10.33388

| Version | Author | Date |
|---|---|---|
| 10423d8 | Tina Lasisi | 2023-05-18 |
R version 4.3.2 (2023-10-31)
Platform: aarch64-apple-darwin20 (64-bit)
Running under: macOS Sonoma 14.3.1
Matrix products: default
BLAS: /Library/Frameworks/R.framework/Versions/4.3-arm64/Resources/lib/libRblas.0.dylib
LAPACK: /Library/Frameworks/R.framework/Versions/4.3-arm64/Resources/lib/libRlapack.dylib; LAPACK version 3.11.0
locale:
[1] en_US.UTF-8/en_US.UTF-8/en_US.UTF-8/C/en_US.UTF-8/en_US.UTF-8
time zone: America/Detroit
tzcode source: internal
attached base packages:
[1] stats graphics grDevices utils datasets methods base
other attached packages:
[1] patchwork_1.2.0 lubridate_1.9.3 forcats_1.0.0 stringr_1.5.1
[5] dplyr_1.1.4 purrr_1.0.2 readr_2.1.5 tidyr_1.3.0
[9] tibble_3.2.1 ggplot2_3.4.4 tidyverse_2.0.0 workflowr_1.7.1
loaded via a namespace (and not attached):
[1] gtable_0.3.4 xfun_0.41 bslib_0.6.1 processx_3.8.3
[5] callr_3.7.3 tzdb_0.4.0 vctrs_0.6.5 tools_4.3.2
[9] ps_1.7.5 generics_0.1.3 parallel_4.3.2 fansi_1.0.6
[13] highr_0.10 pkgconfig_2.0.3 RColorBrewer_1.1-3 lifecycle_1.0.4
[17] compiler_4.3.2 farver_2.1.1 git2r_0.33.0 munsell_0.5.0
[21] getPass_0.2-4 httpuv_1.6.13 htmltools_0.5.7 sass_0.4.8
[25] yaml_2.3.8 later_1.3.2 pillar_1.9.0 crayon_1.5.2
[29] jquerylib_0.1.4 whisker_0.4.1 cachem_1.0.8 tidyselect_1.2.0
[33] digest_0.6.34 stringi_1.8.3 labeling_0.4.3 rprojroot_2.0.4
[37] fastmap_1.1.1 grid_4.3.2 colorspace_2.1-0 cli_3.6.2
[41] magrittr_2.0.3 utf8_1.2.4 withr_2.5.2 scales_1.3.0
[45] promises_1.2.1 bit64_4.0.5 timechange_0.2.0 rmarkdown_2.25
[49] httr_1.4.7 bit_4.0.5 hms_1.1.3 evaluate_0.23
[53] knitr_1.45 rlang_1.1.3 Rcpp_1.0.12 glue_1.7.0
[57] rstudioapi_0.15.0 vroom_1.6.5 jsonlite_1.8.8 R6_2.5.1
[61] fs_1.6.3