Last updated: 2024-03-03

Checks: 7 0

Knit directory: PODFRIDGE/

This reproducible R Markdown analysis was created with workflowr (version 1.7.1). The Checks tab describes the reproducibility checks that were applied when the results were created. The Past versions tab lists the development history.


Great! Since the R Markdown file has been committed to the Git repository, you know the exact version of the code that produced these results.

Great job! The global environment was empty. Objects defined in the global environment can affect the analysis in your R Markdown file in unknown ways. For reproduciblity it’s best to always run the code in an empty environment.

The command set.seed(20230302) was run prior to running the code in the R Markdown file. Setting a seed ensures that any results that rely on randomness, e.g. subsampling or permutations, are reproducible.

Great job! Recording the operating system, R version, and package versions is critical for reproducibility.

Nice! There were no cached chunks for this analysis, so you can be confident that you successfully produced the results during this run.

Great job! Using relative paths to the files within your workflowr project makes it easier to run your code on other machines.

Great! You are using Git for version control. Tracking code development and connecting the code version to the results is critical for reproducibility.

The results in this page were generated with repository version 2596546. See the Past versions tab to see a history of the changes made to the R Markdown and HTML files.

Note that you need to be careful to ensure that all relevant files for the analysis have been committed to Git prior to generating the results (you can use wflow_publish or wflow_git_commit). workflowr only checks the R Markdown file, but you know if there are other scripts or data files that it depends on. Below is the status of the Git repository when the results were generated:


Ignored files:
    Ignored:    .DS_Store
    Ignored:    .Rhistory
    Ignored:    .Rproj.user/
    Ignored:    analysis/.DS_Store
    Ignored:    output/.DS_Store

Note that any generated files, e.g. HTML, png, CSS, etc., are not included in this status report because it is ok for generated content to have uncommitted changes.


These are the previous versions of the repository in which changes were made to the R Markdown (analysis/representation-risk.Rmd) and HTML (docs/representation-risk.html) files. If you’ve configured a remote Git repository (see ?wflow_git_remote), click on the hyperlinks in the table below to view the files as they were in that past version.

File Version Author Date Message
html 48acb9f Tina Lasisi 2024-03-02 Build site.
html aa3ff5c Tina Lasisi 2024-03-01 Build site.
html 9e71347 Tina Lasisi 2024-01-22 Build site.
Rmd aca0182 Tina Lasisi 2023-08-07 Update FPR
html 10423d8 Tina Lasisi 2023-05-18 Update to add IBD page
Rmd 64da0c3 Tina Lasisi 2023-04-30 Update representation-risk.Rmd
html c280b6f Tina Lasisi 2023-04-16 Build site.
html fea1021 Tina Lasisi 2023-04-16 Build site.
Rmd 7ae2686 Tina Lasisi 2023-04-16 update Representation risk
html 39f7bb6 Tina Lasisi 2023-04-16 Build site.
Rmd 5f8febb Tina Lasisi 2023-04-16 update Representation risk
html f89a90f Tina Lasisi 2023-04-16 Build site.
Rmd 5ef241f Tina Lasisi 2023-04-16 update everything

# Load required packages
library(tidyverse)
── Attaching core tidyverse packages ──────────────────────── tidyverse 2.0.0 ──
✔ dplyr     1.1.4     ✔ readr     2.1.5
✔ forcats   1.0.0     ✔ stringr   1.5.1
✔ ggplot2   3.4.4     ✔ tibble    3.2.1
✔ lubridate 1.9.3     ✔ tidyr     1.3.0
✔ purrr     1.0.2     
── Conflicts ────────────────────────────────────────── tidyverse_conflicts() ──
✖ dplyr::filter() masks stats::filter()
✖ dplyr::lag()    masks stats::lag()
ℹ Use the conflicted package (<http://conflicted.r-lib.org/>) to force all conflicts to become errors
library(patchwork)

knitr::opts_knit$set(root.dir = "..")
knitr::opts_chunk$set(eval = TRUE, echo = FALSE, fig.width = 7, fig.height = 6)

European American vs African American probability of match

IBD accounted

Version Author Date
f89a90f Tina Lasisi 2023-04-16

Version Author Date
9e71347 Tina Lasisi 2024-01-22

Population size vs. risk

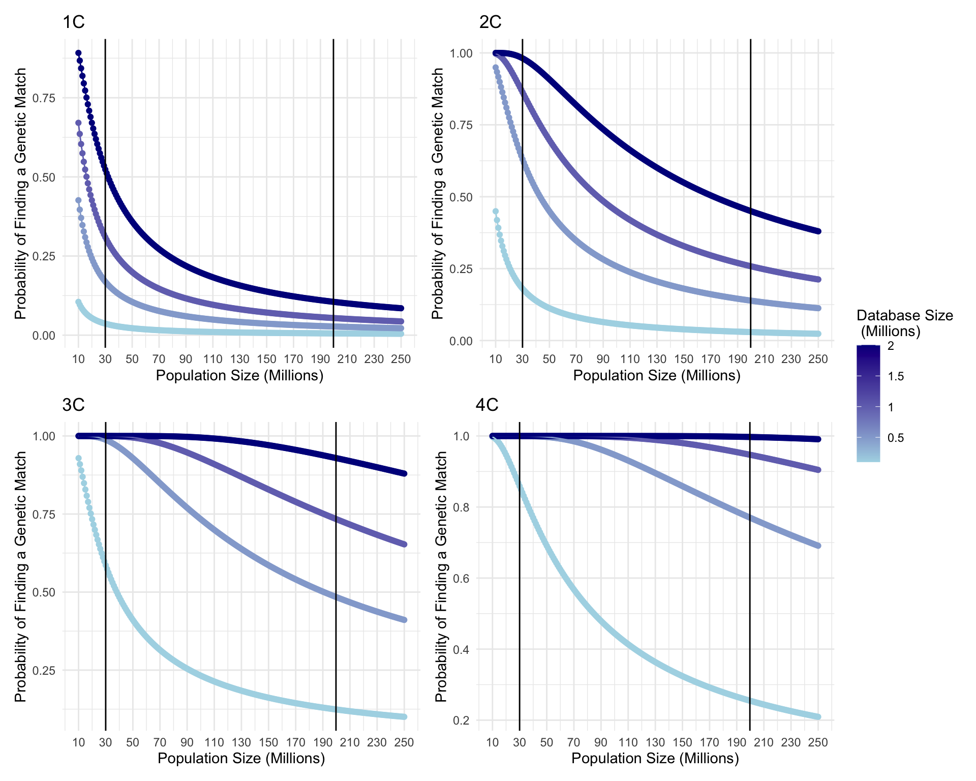
Raw DB size vs. Raw pop - Cousin panel

This code generates four line plots that show the relationship between population size, database size, and the probability of finding a genetic match for different degrees of relatedness (1C, 2C, 3C, 4C).

Lines represent African American and European American population sizes, respectively.

Lines represent African American and European American population sizes, respectively.

Version Author Date
9e71347 Tina Lasisi 2024-01-22
f89a90f Tina Lasisi 2023-04-16

Match vs. population size - Rel DB size gradient

Version Author Date
9e71347 Tina Lasisi 2024-01-22
f89a90f Tina Lasisi 2023-04-16

Match vs. Cousin distance - Rel DB size gradient - population panel

Version Author Date
9e71347 Tina Lasisi 2024-01-22
f89a90f Tina Lasisi 2023-04-16

Match vs. Rel DB size - pop size panel

Version Author Date
9e71347 Tina Lasisi 2024-01-22
f89a90f Tina Lasisi 2023-04-16

Match vs. Rel DB size, over/under-representation panel

Version Author Date
9e71347 Tina Lasisi 2024-01-22
f89a90f Tina Lasisi 2023-04-16

Match vs. Rel DB size vs - cousin panel, pop gradient

Version Author Date
9e71347 Tina Lasisi 2024-01-22

Final - Match vs. Rel DB size - cousin gradient (IBD not accounted)

Version Author Date
9e71347 Tina Lasisi 2024-01-22

R version 4.3.2 (2023-10-31)
Platform: aarch64-apple-darwin20 (64-bit)
Running under: macOS Sonoma 14.3.1

Matrix products: default
BLAS:   /Library/Frameworks/R.framework/Versions/4.3-arm64/Resources/lib/libRblas.0.dylib 
LAPACK: /Library/Frameworks/R.framework/Versions/4.3-arm64/Resources/lib/libRlapack.dylib;  LAPACK version 3.11.0

locale:
[1] en_US.UTF-8/en_US.UTF-8/en_US.UTF-8/C/en_US.UTF-8/en_US.UTF-8

time zone: America/Detroit
tzcode source: internal

attached base packages:
[1] stats     graphics  grDevices utils     datasets  methods   base     

other attached packages:
 [1] ggrepel_0.9.5   patchwork_1.2.0 lubridate_1.9.3 forcats_1.0.0  
 [5] stringr_1.5.1   dplyr_1.1.4     purrr_1.0.2     readr_2.1.5    
 [9] tidyr_1.3.0     tibble_3.2.1    ggplot2_3.4.4   tidyverse_2.0.0
[13] workflowr_1.7.1

loaded via a namespace (and not attached):
 [1] sass_0.4.8        utf8_1.2.4        generics_0.1.3    stringi_1.8.3    
 [5] hms_1.1.3         digest_0.6.34     magrittr_2.0.3    timechange_0.2.0 
 [9] evaluate_0.23     grid_4.3.2        fastmap_1.1.1     rprojroot_2.0.4  
[13] jsonlite_1.8.8    processx_3.8.3    whisker_0.4.1     ps_1.7.5         
[17] promises_1.2.1    httr_1.4.7        fansi_1.0.6       scales_1.3.0     
[21] jquerylib_0.1.4   cli_3.6.2         rlang_1.1.3       munsell_0.5.0    
[25] withr_2.5.2       cachem_1.0.8      yaml_2.3.8        tools_4.3.2      
[29] tzdb_0.4.0        colorspace_2.1-0  httpuv_1.6.13     vctrs_0.6.5      
[33] R6_2.5.1          lifecycle_1.0.4   git2r_0.33.0      fs_1.6.3         
[37] pkgconfig_2.0.3   callr_3.7.3       pillar_1.9.0      bslib_0.6.1      
[41] later_1.3.2       gtable_0.3.4      glue_1.7.0        Rcpp_1.0.12      
[45] highr_0.10        xfun_0.41         tidyselect_1.2.0  rstudioapi_0.15.0
[49] knitr_1.45        farver_2.1.1      htmltools_0.5.7   labeling_0.4.3   
[53] rmarkdown_2.25    compiler_4.3.2    getPass_0.2-4