Last updated: 2020-07-27
Checks: 7 0
Knit directory: jesslyn_ovca/analysis/
This reproducible R Markdown analysis was created with workflowr (version 1.6.2). The Checks tab describes the reproducibility checks that were applied when the results were created. The Past versions tab lists the development history.
Great! Since the R Markdown file has been committed to the Git repository, you know the exact version of the code that produced these results.
Great job! The global environment was empty. Objects defined in the global environment can affect the analysis in your R Markdown file in unknown ways. For reproduciblity it’s best to always run the code in an empty environment.
The command set.seed(20200713) was run prior to running the code in the R Markdown file. Setting a seed ensures that any results that rely on randomness, e.g. subsampling or permutations, are reproducible.
Great job! Recording the operating system, R version, and package versions is critical for reproducibility.
Nice! There were no cached chunks for this analysis, so you can be confident that you successfully produced the results during this run.
Great job! Using relative paths to the files within your workflowr project makes it easier to run your code on other machines.
Great! You are using Git for version control. Tracking code development and connecting the code version to the results is critical for reproducibility.
The results in this page were generated with repository version 8ca1e01. See the Past versions tab to see a history of the changes made to the R Markdown and HTML files.
Note that you need to be careful to ensure that all relevant files for the analysis have been committed to Git prior to generating the results (you can use wflow_publish or wflow_git_commit). workflowr only checks the R Markdown file, but you know if there are other scripts or data files that it depends on. Below is the status of the Git repository when the results were generated:
Ignored files:
Ignored: .DS_Store
Ignored: .Rhistory
Ignored: .Rproj.user/
Ignored: analysis/.DS_Store
Ignored: code/.DS_Store
Ignored: data/.DS_Store
Ignored: data/HTAPP/
Ignored: data/Izar_2020/
Ignored: data/gene_lists/.DS_Store
Ignored: data/gene_lists/extra/.DS_Store
Ignored: jesslyn_plots/
Ignored: mike_plots/
Ignored: old/.DS_Store
Ignored: renv/.DS_Store
Ignored: renv/library/
Ignored: renv/python/
Ignored: renv/staging/
Ignored: vignettes/
Note that any generated files, e.g. HTML, png, CSS, etc., are not included in this status report because it is ok for generated content to have uncommitted changes.
These are the previous versions of the repository in which changes were made to the R Markdown (analysis/03.1_Izar2020_PDX_DEAnalysis.Rmd) and HTML (docs/03.1_Izar2020_PDX_DEAnalysis.html) files. If you’ve configured a remote Git repository (see ?wflow_git_remote), click on the hyperlinks in the table below to view the files as they were in that past version.
| File | Version | Author | Date | Message |
|---|---|---|---|---|
| Rmd | 8ca1e01 | jgoh2 | 2020-07-27 | PDX analysis edits |
| html | 8ca1e01 | jgoh2 | 2020-07-27 | PDX analysis edits |
| html | f1acd7b | jgoh2 | 2020-07-24 | Move PDX_choices.Rmd to old |
| Rmd | bc21d3a | jgoh2 | 2020-07-23 | PDX DE Analysis |
| html | bc21d3a | jgoh2 | 2020-07-23 | PDX DE Analysis |
| Rmd | e27cfd1 | jgoh2 | 2020-07-22 | Moved files out of the analysis folder + AddModulescore in read_Izar_2020.R |
| Rmd | 979ae91 | jgoh2 | 2020-07-20 | Reorganize PDX code and add to the analysis folder |
This is the third part of our 3-part analysis of the Izar 2020 PDX (Cohort 3) data.
We are interested in answering a few questions for our DE Analysis:
DE ANALYSIS #1. Visualizing and Quantifying DE Hallmark Genesets
DE ANALYSIS #2. Identifying Individual DE Genes
CELL CYCLE ANALYSIS
# Load packages
source(here::here('packages.R'))
#Read in PDX RDS object
PDX_All = readRDS("data/Izar_2020/test/jesslyn_PDX_All_processed.RDS")
PDX_DF20 = readRDS("data/Izar_2020/test/jesslyn_PDX_DF20_processed.RDS")
PDX_DF101 = readRDS("data/Izar_2020/test/jesslyn_PDX_DF101_processed.RDS")
PDX_DF68 = readRDS("data/Izar_2020/test/jesslyn_PDX_DF68_processed.RDS")
#Read in hallmarks of interest
hallmark_names = read_lines("data/gene_lists/hallmarks.txt")
hallmark.list <- vector(mode = "list", length = length(hallmark_names) + 2)
names(hallmark.list) <- c(hallmark_names, "GO.OXPHOS", "KEGG.OXPHOS")
for(hm in hallmark_names){
file <- read_lines(glue("data/gene_lists/hallmarks/{hm}_updated.txt"), skip = 1)
hallmark.list[[hm]] <- file
}
hallmark.list[["GO.OXPHOS"]] <- read_lines("data/gene_lists/extra/GO.OXPHOS.txt", skip = 1)
hallmark.list[["KEGG.OXPHOS"]] <- read_lines("data/gene_lists/extra/KEGG.OXPHOS.txt", skip = 2)
#center module and cell cycle scores and reassign to the metadata of each Seurat object
hm.names <- names(PDX_All@meta.data)[9:46]
for(i in hm.names){
DF20.hm.centered <- scale(PDX_DF20[[i]], center = TRUE, scale = FALSE)
PDX_DF20 <- AddMetaData(PDX_DF20, DF20.hm.centered, col.name = glue("{i}.centered"))
DF101.hm.centered <- scale(PDX_DF101[[i]], center = TRUE, scale = FALSE)
PDX_DF101 <- AddMetaData(PDX_DF101, DF101.hm.centered, col.name = glue("{i}.centered"))
DF68.hm.centered <- scale(PDX_DF68[[i]], center = TRUE, scale = FALSE)
PDX_DF68 <- AddMetaData(PDX_DF68, DF68.hm.centered, col.name = glue("{i}.centered"))
}
hms.centered <- c("HALLMARK_OXIDATIVE_PHOSPHORYLATION25.centered", "HALLMARK_UNFOLDED_PROTEIN_RESPONSE33.centered")
#UMAP
PDX.names <- c("DF20", "DF101", "DF68")
PDXs <- c(PDX_DF20, PDX_DF101, PDX_DF68)
UMAP.plots <- vector("list", length(PDXs))
names(UMAP.plots) <- PDX.names
for (i in 1:length(PDXs)){
obj <- PDX.names[[i]]
numCells = nrow(PDXs[[i]]@meta.data)
umap <- UMAPPlot(PDXs[[i]], group.by = "treatment.status") +
labs(title = glue("{obj} UMAP by Treatment"), subtitle = glue("Number of cells in {obj}: {numCells}"))+
theme(plot.subtitle = element_text(size = 8))
p <- FeaturePlot(PDXs[[i]], features = hms.centered, combine = FALSE)
p[[1]] <- p[[1]] + labs(title = glue("{obj} UMAP by Oxphos Scores"))
p[[2]] <- p[[2]] + labs(title = glue("{obj} UMAP by UPR Scores"))
UMAP.plots[[obj]] <- umap + p[[1]] + p[[2]]
}
UMAP.plots[["DF20"]]

UMAP.plots[["DF101"]]

UMAP.plots[["DF68"]]

#VlnPlot
PDX.names <- c("DF20", "DF101", "DF68")
PDXs <- c(PDX_DF20, PDX_DF101, PDX_DF68)
Vln.plots <- vector("list", length(PDXs))
names(Vln.plots) <- PDX.names
for (i in 1:length(PDXs)){
obj <- PDX.names[[i]]
numCells <- nrow(PDXs[[i]]@meta.data)
p <- VlnPlot(PDXs[[i]], features = hms.centered, group.by = "treatment.status", pt.size = 0, combine = F)
p[[1]] <- p[[1]] + labs(title = glue("OXPHOS scores across treatment in {obj}"), x = obj, subtitle = glue("Number of cells in {obj}: {numCells}"), caption = "www.gsea-msigdb.org: HALLMARK_OXIDATIVE_PHOSPHORYLATION") +
theme(plot.caption = element_text(size = 10)) +
geom_boxplot(width = 0.15, position = position_dodge(0.9), alpha = 0.3, show.legend = F) +
geom_text(label = paste(sum(PDXs[[i]]$treatment.status == "vehicle"), "cells"), x = "vehicle", y = min(PDXs[[i]]$HALLMARK_OXIDATIVE_PHOSPHORYLATION25.centered) -0.03) +
geom_text(label = paste(sum(PDXs[[i]]$treatment.status == "MRD"), "cells"), x = "MRD", y = min(PDXs[[i]]$HALLMARK_OXIDATIVE_PHOSPHORYLATION25.centered) - 0.03) +
geom_text(label = paste(sum(PDXs[[i]]$treatment.status == "relapse"), "cells"), x = "relapse", y = min(PDXs[[i]]$HALLMARK_OXIDATIVE_PHOSPHORYLATION25.centered) - 0.03)
p[[2]] <- p[[2]] + labs(title = glue("UPR scores across treatment in {obj}"), x = obj, caption = "www.gsea-msigdb.org: HALLMARK_UNFOLDED_PROTEIN_RESPONSE") +
theme(plot.caption = element_text(size = 10)) +
geom_boxplot(width = 0.15, position = position_dodge(0.9), alpha = 0.3, show.legend = F)
p <- p[[1]] + p[[2]] + plot_layout(guides= 'collect')
Vln.plots[[obj]] <- p
}
Vln.plots[["DF20"]]

Vln.plots[["DF101"]]

Vln.plots[["DF68"]]

#DF20 ---------------------------------
DF20.vehicle <- subset(PDX_DF20, subset = (treatment.status == "vehicle"))
DF20.MRD <- subset(PDX_DF20, subset = (treatment.status == "MRD"))
DF20.relapse <- subset(PDX_DF20, subset = (treatment.status == "relapse"))
DF20.oxphos.df <- data.frame(
"MRDvsVehicle" = wilcox.test(DF20.MRD$HALLMARK_OXIDATIVE_PHOSPHORYLATION25.centered, DF20.vehicle$HALLMARK_OXIDATIVE_PHOSPHORYLATION25.centered)$p.value,
"MRDvsRelapse" = wilcox.test(DF20.MRD$HALLMARK_OXIDATIVE_PHOSPHORYLATION25.centered, DF20.relapse$HALLMARK_OXIDATIVE_PHOSPHORYLATION25.centered)$p.value,
"VehiclevsRelapse" = wilcox.test(DF20.vehicle$HALLMARK_OXIDATIVE_PHOSPHORYLATION25.centered, DF20.relapse$HALLMARK_OXIDATIVE_PHOSPHORYLATION25.centered)$p.value
)
DF20.UPR.df <-
data.frame(
"MRDvsVehicle" = wilcox.test(DF20.MRD$HALLMARK_UNFOLDED_PROTEIN_RESPONSE33.centered, DF20.vehicle$HALLMARK_UNFOLDED_PROTEIN_RESPONSE33.centered)$p.value,
"MRDvsRelapse" = wilcox.test(DF20.MRD$HALLMARK_UNFOLDED_PROTEIN_RESPONSE33.centered, DF20.relapse$HALLMARK_UNFOLDED_PROTEIN_RESPONSE33.centered)$p.value,
"VehiclevsRelapse" = wilcox.test(DF20.vehicle$HALLMARK_UNFOLDED_PROTEIN_RESPONSE33.centered, DF20.relapse$HALLMARK_UNFOLDED_PROTEIN_RESPONSE33.centered)$p.value
)
#DF101 ---------------------------------
DF101.vehicle <- subset(PDX_DF101, subset = (treatment.status == "vehicle"))
DF101.MRD <- subset(PDX_DF101, subset = (treatment.status == "MRD"))
DF101.relapse <- subset(PDX_DF101, subset = (treatment.status == "relapse"))
DF101.oxphos.df <- data.frame(
"MRDvsVehicle" = wilcox.test(DF101.MRD$HALLMARK_OXIDATIVE_PHOSPHORYLATION25.centered, DF101.vehicle$HALLMARK_OXIDATIVE_PHOSPHORYLATION25.centered)$p.value,
"MRDvsRelapse" = wilcox.test(DF101.MRD$HALLMARK_OXIDATIVE_PHOSPHORYLATION25.centered, DF101.relapse$HALLMARK_OXIDATIVE_PHOSPHORYLATION25.centered)$p.value,
"VehiclevsRelapse" = wilcox.test(DF101.vehicle$HALLMARK_OXIDATIVE_PHOSPHORYLATION25.centered, DF101.relapse$HALLMARK_OXIDATIVE_PHOSPHORYLATION25.centered)$p.value
)
DF101.UPR.df <-
data.frame(
"MRDvsVehicle" = wilcox.test(DF101.MRD$HALLMARK_UNFOLDED_PROTEIN_RESPONSE33.centered, DF101.vehicle$HALLMARK_UNFOLDED_PROTEIN_RESPONSE33.centered)$p.value,
"MRDvsRelapse" = wilcox.test(DF101.MRD$HALLMARK_UNFOLDED_PROTEIN_RESPONSE33.centered, DF101.relapse$HALLMARK_UNFOLDED_PROTEIN_RESPONSE33.centered)$p.value,
"VehiclevsRelapse" = wilcox.test(DF101.vehicle$HALLMARK_UNFOLDED_PROTEIN_RESPONSE33.centered, DF101.relapse$HALLMARK_UNFOLDED_PROTEIN_RESPONSE33.centered)$p.value
)
#DF68 ---------------------------------
DF68.vehicle <- subset(PDX_DF68, subset = (treatment.status == "vehicle"))
DF68.MRD <- subset(PDX_DF68, subset = (treatment.status == "MRD"))
DF68.relapse <- subset(PDX_DF68, subset = (treatment.status == "relapse"))
DF68.oxphos.df <- data.frame(
"MRDvsVehicle" = wilcox.test(DF68.MRD$HALLMARK_OXIDATIVE_PHOSPHORYLATION25.centered, DF68.vehicle$HALLMARK_OXIDATIVE_PHOSPHORYLATION25.centered)$p.value,
"MRDvsRelapse" = wilcox.test(DF68.MRD$HALLMARK_OXIDATIVE_PHOSPHORYLATION25.centered, DF68.relapse$HALLMARK_OXIDATIVE_PHOSPHORYLATION25.centered)$p.value,
"VehiclevsRelapse" = wilcox.test(DF68.vehicle$HALLMARK_OXIDATIVE_PHOSPHORYLATION25.centered, DF68.relapse$HALLMARK_OXIDATIVE_PHOSPHORYLATION25.centered)$p.value
)
DF68.UPR.df <-
data.frame(
"MRDvsVehicle" = wilcox.test(DF68.MRD$HALLMARK_UNFOLDED_PROTEIN_RESPONSE33.centered, DF68.vehicle$HALLMARK_UNFOLDED_PROTEIN_RESPONSE33.centered)$p.value,
"MRDvsRelapse" = wilcox.test(DF68.MRD$HALLMARK_UNFOLDED_PROTEIN_RESPONSE33.centered, DF68.relapse$HALLMARK_UNFOLDED_PROTEIN_RESPONSE33.centered)$p.value,
"VehiclevsRelapse" = wilcox.test(DF68.vehicle$HALLMARK_UNFOLDED_PROTEIN_RESPONSE33.centered, DF68.relapse$HALLMARK_UNFOLDED_PROTEIN_RESPONSE33.centered)$p.value
)
#combine ------------------------------
oxphos.DF <- rbind(DF20.oxphos.df, DF101.oxphos.df, DF68.oxphos.df)
rownames(oxphos.DF) <- c("OXPHOS.DF20", "OXPHOS.DF101", "OXPHOS.DF68")
UPR.DF <- rbind(DF20.UPR.df, DF101.UPR.df, DF68.UPR.df)
rownames(UPR.DF) <- c("UPR.DF20", "UPR.DF101", "UPR.DF68")
all.DF <- rbind(oxphos.DF, UPR.DF)
DT::datatable(all.DF) %>%
DT::formatRound(names(all.DF), digits = 7) %>%
DT::formatStyle(names(all.DF), color = DT::styleInterval(0.05, c('red', 'black')))
Considering how we did not obtain statistically significant results from these genesets, we looked for other OXPHOS genesets to confirm our results. The OXPHOS genesets that we test are listed as follows:
oxphos.centered <- c("HALLMARK_OXIDATIVE_PHOSPHORYLATION25.centered", "GO.OXPHOS35.centered", "KEGG.OXPHOS36.centered")
PDX.names <- c("DF20", "DF101", "DF68")
PDXs <- c(PDX_DF20, PDX_DF101, PDX_DF68)
Oxphos.Vln.plots <- vector("list", length(PDXs))
names(Oxphos.Vln.plots) <- PDX.names
for (i in 1:length(PDXs)){
obj <- PDXs[[i]]
name <- PDX.names[[i]]
numCells <- nrow(PDXs[[i]]@meta.data)
p <- VlnPlot(obj, features = oxphos.centered, group.by = "treatment.status", pt.size = 0, combine = F)
p[[1]] <- p[[1]] + labs(title = glue("{name} HALLMARK_OXPHOS scores across treatment"), x = name, subtitle = glue("Number of cells in {name}: {numCells}"), caption = "HALLMARK_OXIDATIVE_PHOSPHORYLATION") +
theme(plot.title = element_text(size = 12), plot.caption = element_text(size = 10)) +
geom_boxplot(width = 0.15, position = position_dodge(0.9), alpha = 0.3, show.legend = F) +
geom_text(label = paste(sum(obj$treatment.status == "vehicle"), "cells"), x = "vehicle", y = min(obj$HALLMARK_OXIDATIVE_PHOSPHORYLATION25.centered) -0.03) +
geom_text(label = paste(sum(obj$treatment.status == "MRD"), "cells"), x = "MRD", y = min(obj$HALLMARK_OXIDATIVE_PHOSPHORYLATION25.centered) - 0.03) +
geom_text(label = paste(sum(obj$treatment.status == "relapse"), "cells"), x = "relapse", y = min(obj$HALLMARK_OXIDATIVE_PHOSPHORYLATION25.centered) - 0.03)
p[[2]] <- p[[2]] + labs(title = glue("{name} GO_OXPHOS scores across treatment"), x = name, subtitle = glue("Number of cells in {name}: {numCells}"), caption = "GO_OXIDATIVE_PHOSPHORYLATION") +
theme(plot.title = element_text(size = 12), plot.caption = element_text(size = 10)) +
geom_boxplot(width = 0.15, position = position_dodge(0.9), alpha = 0.3, show.legend = F)
p[[3]] <- p[[3]] + labs(title = glue("{name} KEGG_OXPHOS scores across treatment"), x = name, subtitle = glue("Number of cells in {name}: {numCells}"), caption = "KEGG_OXIDATIVE_PHOSPHORYLATION") +
theme(plot.title = element_text(size = 12), plot.caption = element_text(size = 10)) +
geom_boxplot(width = 0.15, position = position_dodge(0.9), alpha = 0.3, show.legend = F)
p <- p[[1]] + p[[2]] + p[[3]] + plot_layout(guides= 'collect')
Oxphos.Vln.plots[[name]] <- p
}
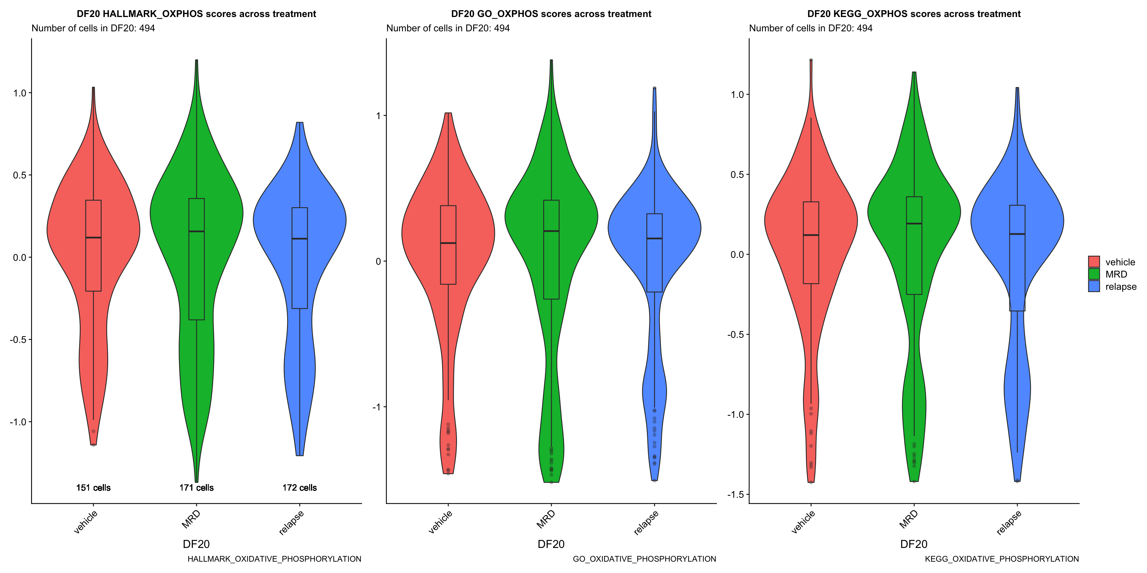
Oxphos.Vln.plots[["DF20"]]

| Version | Author | Date |
|---|---|---|
| 8ca1e01 | jgoh2 | 2020-07-27 |
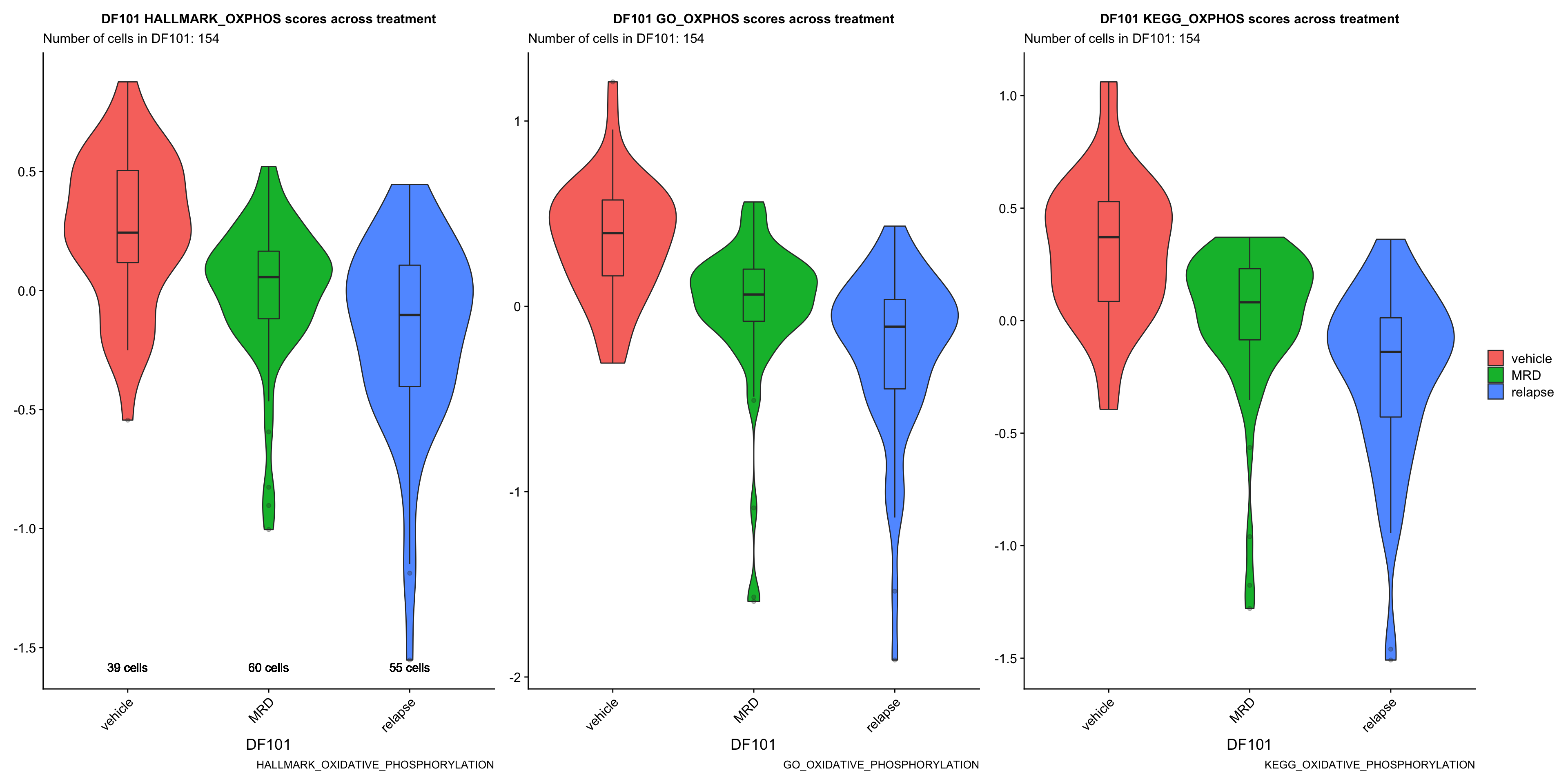
Oxphos.Vln.plots[["DF101"]]

| Version | Author | Date |
|---|---|---|
| 8ca1e01 | jgoh2 | 2020-07-27 |
Oxphos.Vln.plots[["DF68"]]

| Version | Author | Date |
|---|---|---|
| 8ca1e01 | jgoh2 | 2020-07-27 |
#DF20 ---------------------------------
DF20.hm.oxphos.df <- data.frame(
"MRDvsVehicle" = wilcox.test(DF20.MRD$HALLMARK_OXIDATIVE_PHOSPHORYLATION25.centered, DF20.vehicle$HALLMARK_OXIDATIVE_PHOSPHORYLATION25.centered)$p.value,
"MRDvsRelapse" = wilcox.test(DF20.MRD$HALLMARK_OXIDATIVE_PHOSPHORYLATION25.centered, DF20.relapse$HALLMARK_OXIDATIVE_PHOSPHORYLATION25.centered)$p.value,
"VehiclevsRelapse" = wilcox.test(DF20.vehicle$HALLMARK_OXIDATIVE_PHOSPHORYLATION25.centered, DF20.relapse$HALLMARK_OXIDATIVE_PHOSPHORYLATION25.centered)$p.value
)
DF20.go.oxphos.df <-
data.frame(
"MRDvsVehicle" = wilcox.test(DF20.MRD$GO.OXPHOS35.centered, DF20.vehicle$GO.OXPHOS35.centered)$p.value,
"MRDvsRelapse" = wilcox.test(DF20.MRD$GO.OXPHOS35.centered, DF20.relapse$GO.OXPHOS35.centered)$p.value,
"VehiclevsRelapse" = wilcox.test(DF20.vehicle$GO.OXPHOS35.centered, DF20.relapse$GO.OXPHOS35.centered)$p.value
)
DF20.kegg.oxphos.df <-
data.frame(
"MRDvsVehicle" = wilcox.test(DF20.MRD$KEGG.OXPHOS36.centered, DF20.vehicle$KEGG.OXPHOS36.centered)$p.value,
"MRDvsRelapse" = wilcox.test(DF20.MRD$KEGG.OXPHOS36.centered, DF20.relapse$KEGG.OXPHOS36.centered)$p.value,
"VehiclevsRelapse" = wilcox.test(DF20.vehicle$KEGG.OXPHOS36.centered, DF20.relapse$KEGG.OXPHOS36.centered)$p.value
)
#DF101 ---------------------------------
DF101.hm.oxphos.df <- data.frame(
"MRDvsVehicle" = wilcox.test(DF101.MRD$HALLMARK_OXIDATIVE_PHOSPHORYLATION25.centered, DF101.vehicle$HALLMARK_OXIDATIVE_PHOSPHORYLATION25.centered)$p.value,
"MRDvsRelapse" = wilcox.test(DF101.MRD$HALLMARK_OXIDATIVE_PHOSPHORYLATION25.centered, DF101.relapse$HALLMARK_OXIDATIVE_PHOSPHORYLATION25.centered)$p.value,
"VehiclevsRelapse" = wilcox.test(DF101.vehicle$HALLMARK_OXIDATIVE_PHOSPHORYLATION25.centered, DF101.relapse$HALLMARK_OXIDATIVE_PHOSPHORYLATION25.centered)$p.value
)
DF101.go.oxphos.df <-
data.frame(
"MRDvsVehicle" = wilcox.test(DF101.MRD$GO.OXPHOS35.centered, DF101.vehicle$GO.OXPHOS35.centered)$p.value,
"MRDvsRelapse" = wilcox.test(DF101.MRD$GO.OXPHOS35.centered, DF101.relapse$GO.OXPHOS35.centered)$p.value,
"VehiclevsRelapse" = wilcox.test(DF101.vehicle$GO.OXPHOS35.centered, DF101.relapse$GO.OXPHOS35.centered)$p.value
)
DF101.kegg.oxphos.df <-
data.frame(
"MRDvsVehicle" = wilcox.test(DF101.MRD$KEGG.OXPHOS36.centered, DF101.vehicle$KEGG.OXPHOS36.centered)$p.value,
"MRDvsRelapse" = wilcox.test(DF101.MRD$KEGG.OXPHOS36.centered, DF101.relapse$KEGG.OXPHOS36.centered)$p.value,
"VehiclevsRelapse" = wilcox.test(DF101.vehicle$KEGG.OXPHOS36.centered, DF101.relapse$KEGG.OXPHOS36.centered)$p.value
)
#DF68 ---------------------------------
DF68.hm.oxphos.df <- data.frame(
"MRDvsVehicle" = wilcox.test(DF68.MRD$HALLMARK_OXIDATIVE_PHOSPHORYLATION25.centered, DF68.vehicle$HALLMARK_OXIDATIVE_PHOSPHORYLATION25.centered)$p.value,
"MRDvsRelapse" = wilcox.test(DF68.MRD$HALLMARK_OXIDATIVE_PHOSPHORYLATION25.centered, DF68.relapse$HALLMARK_OXIDATIVE_PHOSPHORYLATION25.centered)$p.value,
"VehiclevsRelapse" = wilcox.test(DF68.vehicle$HALLMARK_OXIDATIVE_PHOSPHORYLATION25.centered, DF68.relapse$HALLMARK_OXIDATIVE_PHOSPHORYLATION25.centered)$p.value
)
DF68.go.oxphos.df <-
data.frame(
"MRDvsVehicle" = wilcox.test(DF68.MRD$GO.OXPHOS35.centered, DF68.vehicle$GO.OXPHOS35.centered)$p.value,
"MRDvsRelapse" = wilcox.test(DF68.MRD$GO.OXPHOS35.centered, DF68.relapse$GO.OXPHOS35.centered)$p.value,
"VehiclevsRelapse" = wilcox.test(DF68.vehicle$GO.OXPHOS35.centered, DF68.relapse$GO.OXPHOS35.centered)$p.value
)
DF68.kegg.oxphos.df <-
data.frame(
"MRDvsVehicle" = wilcox.test(DF68.MRD$KEGG.OXPHOS36.centered, DF68.vehicle$KEGG.OXPHOS36.centered)$p.value,
"MRDvsRelapse" = wilcox.test(DF68.MRD$KEGG.OXPHOS36.centered, DF68.relapse$KEGG.OXPHOS36.centered)$p.value,
"VehiclevsRelapse" = wilcox.test(DF68.vehicle$KEGG.OXPHOS36.centered, DF68.relapse$KEGG.OXPHOS36.centered)$p.value
)
#combine ------------------------------
hm.oxphos.DF <- rbind(DF20.hm.oxphos.df, DF101.hm.oxphos.df, DF68.hm.oxphos.df)
rownames(hm.oxphos.DF) <- c("HM.OXPHOS.DF20", "HM.OXPHOS.DF101", "HM.OXPHOS.DF68")
go.oxphos.DF <- rbind(DF20.go.oxphos.df, DF101.go.oxphos.df, DF68.go.oxphos.df)
rownames(go.oxphos.DF) <- c("GO.OXPHOS.DF20", "GO.OXPHOS.DF101", "GO.OXPHOS.DF68")
kegg.oxphos.DF <- rbind(DF20.kegg.oxphos.df, DF101.kegg.oxphos.df, DF68.kegg.oxphos.df)
rownames(kegg.oxphos.DF) <- c("KEGG.OXPHOS.DF20", "KEGG.OXPHOS.DF101", "KEGG.OXPHOS.DF68")
all.oxphos.DF <- rbind(hm.oxphos.DF, go.oxphos.DF, kegg.oxphos.DF)
DT::datatable(all.oxphos.DF) %>%
DT::formatRound(names(all.oxphos.DF), digits = 8) %>%
DT::formatStyle(names(all.oxphos.DF), color = DT::styleInterval(0.05, c('red', 'black')))
Considering how our approach with analyzing and comparing module score did not support our hypothesis, we try to confirm our results again with our second appraoch: GSEA
have not finalized the statistical test and ranking method to use for GSEA
have not finalized the statistical test to use for volcano plot (need to match what we use for GSEA)
#Stacked Bar Plot --------------------------
bar.plots <- vector("list", length = 3)
names(bar.plots) <- c("DF20", "DF101", "DF68")
for(i in 1:length(PDXs)){
obj = PDXs[[i]]
name = PDX.names[[i]]
numCells = nrow(obj@meta.data)
obj$Phase <- factor(obj$Phase, levels = c("G1", "S", "G2M"))
t = table(obj$Phase, obj$treatment.status) %>%
as.data.frame() %>%
rename(Phase = Var1, Treatment = Var2, numCells = Freq)
sum = c()
z = 1
while(z < nrow(t)){
n = t$numCells[z] + t$numCells[z+1] + t$numCells[z+2]
sum = c(sum, rep(n,3))
z = z + 3
}
t <- t %>% mutate(total = sum) %>% mutate(percent = (numCells/total)*100)
p = t %>%
ggplot(aes(x=Treatment, y=percent, fill=Phase)) +
geom_bar(stat="identity") +
labs(title = glue("{name} % of Malignant Cells in Each Cell Cycle Phase/ Treatment"), subtitle = glue("Total # Cells in {name}: {numCells}"), caption = "Labeled by # cells in each phase per treatment") +
theme(plot.title = element_text(size = 10), plot.subtitle = element_text(size = 10), plot.caption = element_text(size = 8)) +
geom_text(aes(label = numCells), position = "stack", hjust = 0.5, vjust = 2, size = 3, color = "white")
bar.plots[[i]] <- p
}
bar.plots[["DF20"]] + bar.plots[["DF101"]] + bar.plots[["DF68"]] + plot_layout(guides= 'collect')

To investigate this further, we compare UMAPs by treatment vs. UMAPs by cell cycle phase and scores
#UMAP -------------------------
ccUMAP.plots <- vector("list", length = 3)
names(ccUMAP.plots) <- c("DF20", "DF101", "DF68")
for(i in 1:length(PDXs)){
obj = PDXs[[i]]
name = PDX.names[[i]]
numCells = nrow(obj@meta.data)
obj$Phase <- factor(obj$Phase, levels = c("G1", "S", "G2M"))
byt <- UMAPPlot(obj, group.by = "treatment.status") +
labs(title = glue("{name} UMAP by treatment"), subtitle = glue("Number of cells in {name}: {numCells}")) +
theme(plot.title = element_text(hjust = 0.5))
bycc <- UMAPPlot(obj, group.by = "Phase") +
labs(title = glue("{name} UMAP by CellCycle Phase")) +
theme(plot.title = element_text(hjust = 0.5))
byscore <- FeaturePlot(obj, features = c("S.Score.centered", "G2M.Score.centered"), combine = FALSE)
byscore[[1]] <- byscore[[1]] + labs(title = glue("{name} UMAP by S Score"))
byscore[[2]] <- byscore[[2]] + labs(title = glue("{name} UMAP by G2M Score"))
ccUMAP.plots[[i]] <- byt + bycc + byscore[[1]] + byscore[[2]]
}
ccUMAP.plots[["DF20"]]

ccUMAP.plots[["DF101"]]

ccUMAP.plots[["DF68"]]

#PCA -------------------- (PCA separates cell by cell cycle really well)
ccPCA.plots <- vector("list", length = 3)
names(ccPCA.plots) <- c("DF20", "DF101", "DF68")
for(i in 1:length(PDXs)){
obj = PDXs[[i]]
name = PDX.names[[i]]
numCells = nrow(obj@meta.data)
obj$Phase <- factor(obj$Phase, levels = c("G1", "S", "G2M"))
byt <- PCAPlot(obj, group.by = "treatment.status") +
labs(title = glue("{name} PCA by treatment"), subtitle = glue("Number of cells in {name}: {numCells}")) +
theme(plot.title = element_text(hjust = 0.5))
bycc <- PCAPlot(obj, group.by = "Phase") +
labs(title = glue("{name} PCA by CellCycle Phase")) +
theme(plot.title = element_text(hjust = 0.5))
byscore <- FeaturePlot(obj, features = c("S.Score.centered", "G2M.Score.centered"), reduction = "pca",combine = FALSE)
byscore[[1]] <- byscore[[1]] + labs(title = glue("{name} PCA by centered S Score"))
byscore[[2]] <- byscore[[2]] + labs(title = glue("{name} PCA by centered G2M Score"))
ccPCA.plots[[i]] <- byt + bycc + byscore[[1]] + byscore[[2]]
}
ccPCA.plots[["DF20"]]

| Version | Author | Date |
|---|---|---|
| 8ca1e01 | jgoh2 | 2020-07-27 |
ccPCA.plots[["DF101"]]

| Version | Author | Date |
|---|---|---|
| 8ca1e01 | jgoh2 | 2020-07-27 |
ccPCA.plots[["DF68"]]

| Version | Author | Date |
|---|---|---|
| 8ca1e01 | jgoh2 | 2020-07-27 |
#VlnPlot -------------------------
cc.Vln.plots <- vector("list", length = 3)
names(Vln.plots) <- PDX.names
for (i in 1:length(PDXs)){
obj <- PDX.names[[i]]
numCells = nrow(PDXs[[i]]@meta.data)
p <- VlnPlot(PDXs[[i]], features = c("S.Score.centered", "G2M.Score.centered"), group.by = "treatment.status", pt.size = 0, combine = F)
p[[1]] <- p[[1]] + labs(title = glue("{obj} S.Score across treatment"), x = obj, subtitle = glue("Number of cells in {obj}: {numCells}")) +
geom_boxplot(width = 0.15, position = position_dodge(0.9), alpha = 0.3, show.legend = F) +
geom_text(label = paste(sum(PDXs[[i]]$treatment.status == "vehicle"), "cells"), x = "vehicle", y = min(PDXs[[i]]$S.Score.centered) -0.03) +
geom_text(label = paste(sum(PDXs[[i]]$treatment.status == "MRD"), "cells"), x = "MRD", y = min(PDXs[[i]]$S.Score.centered) - 0.03) +
geom_text(label = paste(sum(PDXs[[i]]$treatment.status == "relapse"), "cells"), x = "relapse", y = min(PDXs[[i]]$S.Score.centered) - 0.03)
p[[2]] <- p[[2]] + labs(title = glue("{obj} G2M.Score across treatment"), x = obj) +
geom_boxplot(width = 0.15, position = position_dodge(0.9), alpha = 0.3, show.legend = F)
cc.Vln.plots[[obj]] <- p[[1]] + p[[2]] + plot_layout(guides= 'collect')
}
cc.Vln.plots[["DF20"]]

cc.Vln.plots[["DF101"]]

cc.Vln.plots[["DF68"]]

#DF20 ---------------------------------
DF20.sscore.df <- data.frame(
"MRDvsVehicle" = wilcox.test(DF20.MRD$S.Score.centered, DF20.vehicle$S.Score.centered)$p.value,
"MRDvsRelapse" = wilcox.test(DF20.MRD$S.Score.centered, DF20.relapse$S.Score.centered)$p.value,
"VehiclevsRelapse" = wilcox.test(DF20.vehicle$S.Score.centered, DF20.relapse$S.Score.centered)$p.value
)
DF20.g2m.df <-
data.frame(
"MRDvsVehicle" = wilcox.test(DF20.MRD$G2M.Score.centered, DF20.vehicle$G2M.Score.centered)$p.value,
"MRDvsRelapse" = wilcox.test(DF20.MRD$G2M.Score.centered, DF20.relapse$G2M.Score.centered)$p.value,
"VehiclevsRelapse" = wilcox.test(DF20.vehicle$G2M.Score.centered, DF20.relapse$G2M.Score.centered)$p.value
)
#DF101 ---------------------------------
DF101.sscore.df <- data.frame(
"MRDvsVehicle" = wilcox.test(DF101.MRD$S.Score.centered, DF101.vehicle$S.Score.centered)$p.value,
"MRDvsRelapse" = wilcox.test(DF101.MRD$S.Score.centered, DF101.relapse$S.Score.centered)$p.value,
"VehiclevsRelapse" = wilcox.test(DF101.vehicle$S.Score.centered, DF101.relapse$S.Score.centered)$p.value
)
DF101.g2m.df <-
data.frame(
"MRDvsVehicle" = wilcox.test(DF101.MRD$G2M.Score.centered, DF101.vehicle$G2M.Score.centered)$p.value,
"MRDvsRelapse" = wilcox.test(DF101.MRD$G2M.Score.centered, DF101.relapse$G2M.Score.centered)$p.value,
"VehiclevsRelapse" = wilcox.test(DF101.vehicle$G2M.Score.centered, DF101.relapse$G2M.Score.centered)$p.value
)
#DF68 ---------------------------------
DF68.sscore.df <- data.frame(
"MRDvsVehicle" = wilcox.test(DF68.MRD$S.Score.centered, DF68.vehicle$S.Score.centered)$p.value,
"MRDvsRelapse" = wilcox.test(DF68.MRD$S.Score.centered, DF68.relapse$S.Score.centered)$p.value,
"VehiclevsRelapse" = wilcox.test(DF68.vehicle$S.Score.centered, DF68.relapse$S.Score.centered)$p.value
)
DF68.g2m.df <-
data.frame(
"MRDvsVehicle" = wilcox.test(DF68.MRD$G2M.Score.centered, DF68.vehicle$G2M.Score.centered)$p.value,
"MRDvsRelapse" = wilcox.test(DF68.MRD$G2M.Score.centered, DF68.relapse$G2M.Score.centered)$p.value,
"VehiclevsRelapse" = wilcox.test(DF68.vehicle$G2M.Score.centered, DF68.relapse$G2M.Score.centered)$p.value
)
#combine ------------------------------
sscore.DF <- rbind(DF20.sscore.df, DF101.sscore.df, DF68.sscore.df)
rownames(sscore.DF) <- c("S.DF20", "S.DF101", "S.DF68")
g2m.DF <- rbind(DF20.g2m.df, DF101.g2m.df, DF68.g2m.df)
rownames(g2m.DF) <- c("g2m.DF20", "g2m.DF101", "g2m.DF68")
both.DF <- rbind(sscore.DF, g2m.DF)
DT::datatable(both.DF) %>%
DT::formatRound(names(both.DF), digits = 7) %>%
DT::formatStyle(names(both.DF), color = DT::styleInterval(0.05, c('red', 'black')))
Our results from above collectively suggest that OXPHOS and UPR expression, and cell cycle phase, do not significantly correlate with the treatment condition a cell is in. However, considering the idea that cell cycle might influence the expression of signatures, we are now interested in examining whether there is a correlation between the expression of OXPHOS and UPR and cell cycle phase.
cc.exp.plot <- vector("list", length = 3)
names(cc.exp.plot) <- PDX.names
for(i in 1:length(PDXs)){
obj = PDXs[[i]]
name = PDX.names[[i]]
numCells = nrow(obj@meta.data)
obj$Phase <- factor(obj$Phase, levels = c("G1", "S", "G2M"))
p1 <- VlnPlot(obj, features = hms.centered, group.by = "Phase", pt.size = 0, combine = FALSE)
p1[[1]] <- p1[[1]] + labs(title = glue("{name} OXPHOS score by Cell Cycle Phase"), subtitle = glue("Number of cells in {name}: {numCells}")) +
geom_boxplot(width = 0.15, position = position_dodge(0.9), alpha = 0.3, show.legend = F)+
geom_text(label = paste(sum(obj$Phase == "G1"), "cells"), x = "G1", y = min(obj$HALLMARK_OXIDATIVE_PHOSPHORYLATION25.centered) -0.03) +
geom_text(label = paste(sum(obj$Phase == "G2M"), "cells"), x = "G2M", y = min(obj$HALLMARK_OXIDATIVE_PHOSPHORYLATION25.centered) - 0.03) +
geom_text(label = paste(sum(obj$Phase == "S"), "cells"), x = "S", y = min(obj$HALLMARK_OXIDATIVE_PHOSPHORYLATION25.centered) - 0.03)
p1[[2]] <- p1[[2]] + labs(title = glue("{name} UPR score by Cell Cycle Phase")) +
geom_boxplot(width = 0.15, position = position_dodge(0.9), alpha = 0.3, show.legend = F)
p2 <- VlnPlot(obj, features = hms.centered, group.by = "treatment.status", split.by = "Phase", pt.size = 0, combine = FALSE)
p2[[1]] <- p2[[1]] + labs(title = glue("{name} OXPHOS score by Cell Cycle Phase / Treatment")) +
geom_boxplot(width = 0.15, position = position_dodge(0.9), alpha = 0.3, show.legend = F)
p2[[2]] <- p2[[2]] + labs(title = glue("{name} UPR score by Cell Cycle Phase / Treatment")) +
geom_boxplot(width = 0.15, position = position_dodge(0.9), alpha = 0.3, show.legend = F)
cc.exp.plot[[i]] <- p1[[1]] + p1[[2]] + p2[[1]]+ p2[[2]] + plot_layout(guides= 'collect')
}
cc.exp.plot[["DF20"]]

cc.exp.plot[["DF101"]]

cc.exp.plot[["DF68"]]

note: our sample size is extremely small for each condition, which may mean that we have really low power
sessionInfo()
R version 4.0.2 (2020-06-22)
Platform: x86_64-apple-darwin17.0 (64-bit)
Running under: macOS Mojave 10.14.6
Matrix products: default
BLAS: /Library/Frameworks/R.framework/Versions/4.0/Resources/lib/libRblas.dylib
LAPACK: /Library/Frameworks/R.framework/Versions/4.0/Resources/lib/libRlapack.dylib
locale:
[1] en_US.UTF-8/en_US.UTF-8/en_US.UTF-8/C/en_US.UTF-8/en_US.UTF-8
attached base packages:
[1] stats graphics grDevices datasets utils methods base
other attached packages:
[1] ggpubr_0.4.0 GGally_2.0.0 gt_0.2.1 reshape2_1.4.4 tidyselect_1.1.0
[6] presto_1.0.0 data.table_1.12.8 Rcpp_1.0.5 glue_1.4.1 patchwork_1.0.1
[11] EnhancedVolcano_1.6.0 ggrepel_0.8.2 here_0.1 readxl_1.3.1 forcats_0.5.0
[16] stringr_1.4.0 dplyr_1.0.0 purrr_0.3.4 readr_1.3.1 tidyr_1.1.0
[21] tibble_3.0.3 ggplot2_3.3.2 tidyverse_1.3.0 cowplot_1.0.0 Seurat_3.1.5
[26] BiocManager_1.30.10 renv_0.11.0-4
loaded via a namespace (and not attached):
[1] Rtsne_0.15 colorspace_1.4-1 ggsignif_0.6.0 rio_0.5.16 ellipsis_0.3.1 ggridges_0.5.2
[7] rprojroot_1.3-2 fs_1.4.2 rstudioapi_0.11 farver_2.0.3 leiden_0.3.3 listenv_0.8.0
[13] DT_0.14 fansi_0.4.1 lubridate_1.7.9 xml2_1.3.2 codetools_0.2-16 splines_4.0.2
[19] knitr_1.29 jsonlite_1.7.0 workflowr_1.6.2 broom_0.7.0 ica_1.0-2 cluster_2.1.0
[25] dbplyr_1.4.4 png_0.1-7 uwot_0.1.8 sctransform_0.2.1 compiler_4.0.2 httr_1.4.1
[31] backports_1.1.8 assertthat_0.2.1 Matrix_1.2-18 lazyeval_0.2.2 cli_2.0.2 later_1.1.0.1
[37] htmltools_0.5.0 tools_4.0.2 rsvd_1.0.3 igraph_1.2.5 gtable_0.3.0 RANN_2.6.1
[43] carData_3.0-4 cellranger_1.1.0 vctrs_0.3.2 ape_5.4 nlme_3.1-148 crosstalk_1.1.0.1
[49] lmtest_0.9-37 xfun_0.15 globals_0.12.5 openxlsx_4.1.5 rvest_0.3.5 lifecycle_0.2.0
[55] irlba_2.3.3 rstatix_0.6.0 future_1.18.0 MASS_7.3-51.6 zoo_1.8-8 scales_1.1.1
[61] hms_0.5.3 promises_1.1.1 parallel_4.0.2 RColorBrewer_1.1-2 curl_4.3 yaml_2.2.1
[67] reticulate_1.16 pbapply_1.4-2 gridExtra_2.3 reshape_0.8.8 stringi_1.4.6 zip_2.0.4
[73] rlang_0.4.7 pkgconfig_2.0.3 evaluate_0.14 lattice_0.20-41 ROCR_1.0-11 labeling_0.3
[79] htmlwidgets_1.5.1 RcppAnnoy_0.0.16 plyr_1.8.6 magrittr_1.5 R6_2.4.1 generics_0.0.2
[85] DBI_1.1.0 foreign_0.8-80 pillar_1.4.6 haven_2.3.1 whisker_0.4 withr_2.2.0
[91] fitdistrplus_1.1-1 abind_1.4-5 survival_3.2-3 future.apply_1.6.0 tsne_0.1-3 car_3.0-8
[97] modelr_0.1.8 crayon_1.3.4 KernSmooth_2.23-17 plotly_4.9.2.1 rmarkdown_2.3 grid_4.0.2
[103] blob_1.2.1 git2r_0.27.1 reprex_0.3.0 digest_0.6.25 httpuv_1.5.4 munsell_0.5.0
[109] viridisLite_0.3.0