Last updated: 2020-09-02

Checks: 7 0

Knit directory: neural_scRNAseq/

This reproducible R Markdown analysis was created with workflowr (version 1.6.2). The Checks tab describes the reproducibility checks that were applied when the results were created. The Past versions tab lists the development history.


Great! Since the R Markdown file has been committed to the Git repository, you know the exact version of the code that produced these results.

Great job! The global environment was empty. Objects defined in the global environment can affect the analysis in your R Markdown file in unknown ways. For reproduciblity it's best to always run the code in an empty environment.

The command set.seed(20200522) was run prior to running the code in the R Markdown file. Setting a seed ensures that any results that rely on randomness, e.g. subsampling or permutations, are reproducible.

Great job! Recording the operating system, R version, and package versions is critical for reproducibility.

Nice! There were no cached chunks for this analysis, so you can be confident that you successfully produced the results during this run.

Great job! Using relative paths to the files within your workflowr project makes it easier to run your code on other machines.

Great! You are using Git for version control. Tracking code development and connecting the code version to the results is critical for reproducibility.

The results in this page were generated with repository version ec1d5a9. See the Past versions tab to see a history of the changes made to the R Markdown and HTML files.

Note that you need to be careful to ensure that all relevant files for the analysis have been committed to Git prior to generating the results (you can use wflow_publish or wflow_git_commit). workflowr only checks the R Markdown file, but you know if there are other scripts or data files that it depends on. Below is the status of the Git repository when the results were generated:


Ignored files:
    Ignored:    .DS_Store
    Ignored:    .Rhistory
    Ignored:    .Rproj.user/
    Ignored:    ._.DS_Store
    Ignored:    ._Rplots.pdf
    Ignored:    .__workflowr.yml
    Ignored:    ._neural_scRNAseq.Rproj
    Ignored:    analysis/.DS_Store
    Ignored:    analysis/.Rhistory
    Ignored:    analysis/._.DS_Store
    Ignored:    analysis/._01-preprocessing.Rmd
    Ignored:    analysis/._01-preprocessing.html
    Ignored:    analysis/._02.1-SampleQC.Rmd
    Ignored:    analysis/._03-filtering.Rmd
    Ignored:    analysis/._04-clustering.Rmd
    Ignored:    analysis/._04-clustering.knit.md
    Ignored:    analysis/._04.1-cell_cycle.Rmd
    Ignored:    analysis/._05-annotation.Rmd
    Ignored:    analysis/._Lam-0-NSC_no_integration.Rmd
    Ignored:    analysis/._Lam-01-NSC_integration.Rmd
    Ignored:    analysis/._Lam-02-NSC_annotation.Rmd
    Ignored:    analysis/._NSC-1-clustering.Rmd
    Ignored:    analysis/._NSC-2-annotation.Rmd
    Ignored:    analysis/.__site.yml
    Ignored:    analysis/._additional_filtering.Rmd
    Ignored:    analysis/._additional_filtering_clustering.Rmd
    Ignored:    analysis/._index.Rmd
    Ignored:    analysis/._organoid-01-clustering.Rmd
    Ignored:    analysis/._organoid-02-integration.Rmd
    Ignored:    analysis/._organoid-03-cluster_analysis.Rmd
    Ignored:    analysis/._organoid-04-group_integration.Rmd
    Ignored:    analysis/._organoid-05-group_integration_cluster_analysis.Rmd
    Ignored:    analysis/01-preprocessing_cache/
    Ignored:    analysis/02-1-SampleQC_cache/
    Ignored:    analysis/02-quality_control_cache/
    Ignored:    analysis/02.1-SampleQC_cache/
    Ignored:    analysis/03-filtering_cache/
    Ignored:    analysis/04-clustering_cache/
    Ignored:    analysis/04.1-cell_cycle_cache/
    Ignored:    analysis/05-annotation_cache/
    Ignored:    analysis/Lam-01-NSC_integration_cache/
    Ignored:    analysis/Lam-02-NSC_annotation_cache/
    Ignored:    analysis/NSC-1-clustering_cache/
    Ignored:    analysis/NSC-2-annotation_cache/
    Ignored:    analysis/additional_filtering_cache/
    Ignored:    analysis/additional_filtering_clustering_cache/
    Ignored:    analysis/organoid-01-clustering_cache/
    Ignored:    analysis/organoid-02-integration_cache/
    Ignored:    analysis/organoid-04-group_integration_cache/
    Ignored:    analysis/organoid-05-group_integration_cluster_analysis_cache/
    Ignored:    analysis/sample5_QC_cache/
    Ignored:    data/.DS_Store
    Ignored:    data/._.DS_Store
    Ignored:    data/._.smbdeleteAAA17ed8b4b
    Ignored:    data/._Lam_figure2_markers.R
    Ignored:    data/._known_NSC_markers.R
    Ignored:    data/._known_cell_type_markers.R
    Ignored:    data/._metadata.csv
    Ignored:    data/data_sushi/
    Ignored:    data/filtered_feature_matrices/
    Ignored:    output/.DS_Store
    Ignored:    output/._.DS_Store
    Ignored:    output/._NSC_cluster1_marker_genes.txt
    Ignored:    output/Lam-01-clustering.rds
    Ignored:    output/NSC_1_clustering.rds
    Ignored:    output/NSC_cluster1_marker_genes.txt
    Ignored:    output/NSC_cluster2_marker_genes.txt
    Ignored:    output/NSC_cluster3_marker_genes.txt
    Ignored:    output/NSC_cluster4_marker_genes.txt
    Ignored:    output/NSC_cluster5_marker_genes.txt
    Ignored:    output/NSC_cluster6_marker_genes.txt
    Ignored:    output/NSC_cluster7_marker_genes.txt
    Ignored:    output/additional_filtering.rds
    Ignored:    output/figures/
    Ignored:    output/sce_01_preprocessing.rds
    Ignored:    output/sce_02_quality_control.rds
    Ignored:    output/sce_03_filtering.rds
    Ignored:    output/sce_organoid-01-clustering.rds
    Ignored:    output/sce_preprocessing.rds
    Ignored:    output/so_04-group_integration.rds
    Ignored:    output/so_04_1_cell_cycle.rds
    Ignored:    output/so_04_clustering.rds
    Ignored:    output/so_additional_filtering_clustering.rds
    Ignored:    output/so_integrated_organoid-02-integration.rds
    Ignored:    output/so_merged_organoid-02-integration.rds
    Ignored:    output/so_organoid-01-clustering.rds
    Ignored:    output/so_sample_organoid-01-clustering.rds

Untracked files:
    Untracked:  Rplots.pdf
    Untracked:  analysis/Lam-0-NSC_no_integration.Rmd
    Untracked:  analysis/additional_filtering.Rmd
    Untracked:  analysis/additional_filtering_clustering.Rmd
    Untracked:  analysis/organoid-04-group_integration.Rmd
    Untracked:  analysis/organoid-05-group_integration_cluster_analysis.Rmd
    Untracked:  analysis/sample5_QC.Rmd
    Untracked:  data/Homo_sapiens.GRCh38.98.sorted.gtf
    Untracked:  data/Kanton_et_al/
    Untracked:  data/Lam_et_al/
    Untracked:  scripts/

Unstaged changes:
    Modified:   analysis/Lam-02-NSC_annotation.Rmd
    Modified:   analysis/_site.yml
    Modified:   analysis/index.Rmd
    Modified:   analysis/organoid-02-integration.Rmd

Note that any generated files, e.g. HTML, png, CSS, etc., are not included in this status report because it is ok for generated content to have uncommitted changes.


These are the previous versions of the repository in which changes were made to the R Markdown (analysis/organoid-03-cluster_analysis.Rmd) and HTML (docs/organoid-03-cluster_analysis.html) files. If you've configured a remote Git repository (see ?wflow_git_remote), click on the hyperlinks in the table below to view the files as they were in that past version.

File Version Author Date Message
Rmd ec1d5a9 khembach 2020-09-02 cluster abundances in organoid integration

Load packages

library(ComplexHeatmap)
library(cowplot)
library(ggplot2)
library(dplyr)
library(muscat)
library(RColorBrewer)
library(Seurat)
library(SingleCellExperiment)

Load data & convert to SCE

so <- readRDS(file.path("output", "so_integrated_organoid-02-integration.rds"))
sce <- as.SingleCellExperiment(so, assay = "RNA")
colData(sce) <- as.data.frame(colData(sce)) %>% 
    mutate_if(is.character, as.factor) %>% 
    DataFrame(row.names = colnames(sce))
levels(sce$sample_id) <- c("1NSC", "2NSC", "3NC52", "4NC52", "5NC96", "6NC96", 
                           "H9", "409b2") 
## order levels according to experiment timeline (Fig. 1a)
levels(sce$group_id) <- c("P22", "D52", "D96", "iPSCs", "EB", "Neuroectoderm",
                          "Neuroepithelium", "Organoid-1M", "Organoid-2M", 
                          "Organoid-4M")

Cluster-sample counts

# set cluster IDs to resolution 0.4 clustering
so <- SetIdent(so, value = "integrated_snn_res.0.4")
so@meta.data$cluster_id <- Idents(so)
sce$cluster_id <- Idents(so)
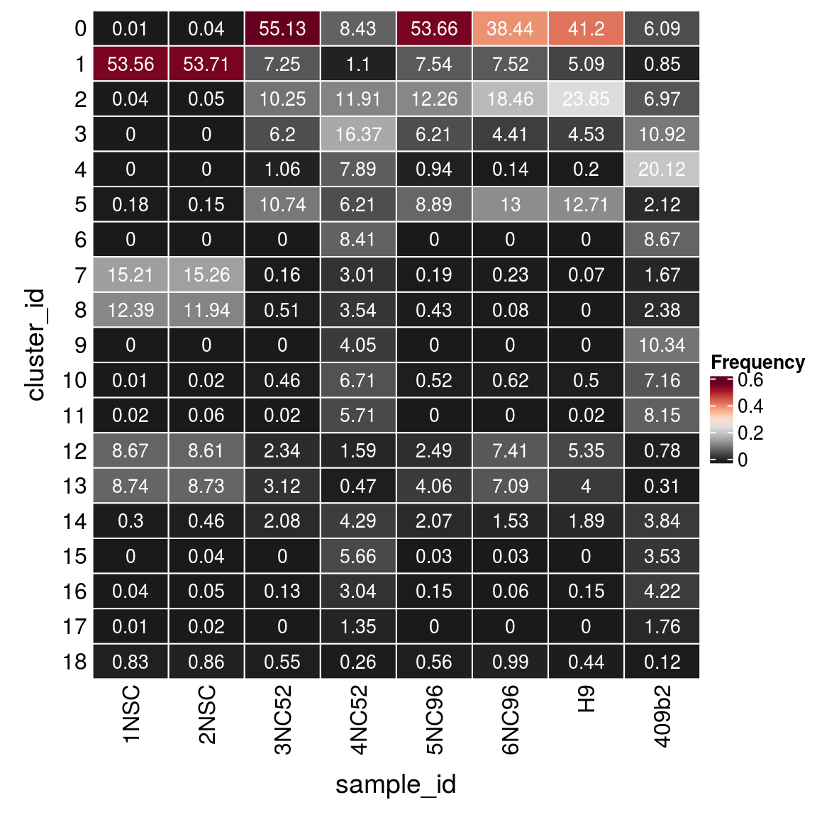
(n_cells <- table(sce$cluster_id, sce$sample_id))
    
     1NSC 2NSC 3NC52 4NC52 5NC96 6NC96   H9 409b2
  0     1    3  4789  1708  3991  1360 1893  1414
  1  4462 4516   630   222   561   266  234   198
  2     3    4   890  2415   912   653 1096  1619
  3     0    0   539  3319   462   156  208  2537
  4     0    0    92  1600    70     5    9  4672
  5    15   13   933  1259   661   460  584   493
  6     0    0     0  1705     0     0    0  2014
  7  1267 1283    14   611    14     8    3   388
  8  1032 1004    44   717    32     3    0   552
  9     0    0     0   821     0     0    0  2401
  10    1    2    40  1360    39    22   23  1663
  11    2    5     2  1158     0     0    1  1893
  12  722  724   203   322   185   262  246   181
  13  728  734   271    96   302   251  184    72
  14   25   39   181   870   154    54   87   893
  15    0    3     0  1148     2     1    0   821
  16    3    4    11   616    11     2    7   979
  17    1    2     0   273     0     0    0   408
  18   69   72    48    52    42    35   20    28

Relative cluster-abundances

fqs <- prop.table(n_cells, margin = 2)
mat <- as.matrix(unclass(fqs))
Heatmap(mat,
    col = rev(brewer.pal(11, "RdGy")[-6]),
    name = "Frequency",
    cluster_rows = FALSE,
    cluster_columns = FALSE,
    row_names_side = "left",
    row_title = "cluster_id",
    column_title = "sample_id",
    column_title_side = "bottom",
    rect_gp = gpar(col = "white"),
    cell_fun = function(i, j, x, y, width, height, fill)
        grid.text(round(mat[j, i] * 100, 2), x = x, y = y, 
            gp = gpar(col = "white", fontsize = 10)))

(n_cells_group <- table(sce$cluster_id, sce$group_id))
    
      P22  D52  D96 iPSCs   EB Neuroectoderm Neuroepithelium Organoid-1M
  0  8780 3253    0     0    0             0             114        2641
  1  1191  500    0     0    0             2              52         317
  2  1802 1749    0     0    0             0               3        2797
  3  1001  364    0     0    0             0               0        3609
  4   162   14    0     0    0             1             185        2276
  5  1594 1044    0     0    1             0             789         960
  6     0    0   30  3651   38             0               0           0
  7    28   11    0     2    0             1              26         798
  8    76    3    0     0    0             3             371         814
  9     0    0 3192    21    9             0               0           0
  10   79   45    1     0   87            12            2208         660
  11    2    1   18    25 2567           436               5           0
  12  388  508    0     0    0             9             156         213
  13  573  435    0     0    5             2              61          89
  14  335  141    0     0    0             0               9        1151
  15    2    1   19    14   13           881            1042           0
  16   22    9    0     0    0             0              40         859
  17    0    0   40   587   37            16               0           1
  18   90   55    0     0    0             0               9          35
    
     Organoid-2M Organoid-4M
  0          367           4
  1           49        8978
  2         1234           7
  3         2247           0
  4         3810           0
  5            2          28
  6            0           0
  7          172        2550
  8           81        2036
  9            0           0
  10          55           3
  11           0           7
  12         125        1446
  13          11        1462
  14         603          64
  15           0           3
  16         696           7
  17           0           3
  18          36         141
fqs <- prop.table(n_cells_group, margin = 2)
mat <- as.matrix(unclass(fqs))
Heatmap(mat,
    col = rev(brewer.pal(11, "RdGy")[-6]),
    name = "Frequency",
    cluster_rows = FALSE,
    cluster_columns = FALSE,
    row_names_side = "left",
    row_title = "cluster_id",
    column_title = "group_id",
    column_title_side = "bottom",
    rect_gp = gpar(col = "white"),
    cell_fun = function(i, j, x, y, width, height, fill)
        grid.text(round(mat[j, i] * 100, 2), x = x, y = y, 
            gp = gpar(col = "white", fontsize = 10)))

n_cells_lineage <- table(sce$cluster_id, sce$cl_FullLineage)
fqs <- prop.table(n_cells_lineage, margin = 2)
mat <- as.matrix(unclass(fqs))
cn <- colnames(mat)
Heatmap(mat,
    col = rev(brewer.pal(11, "RdGy")[-6]),
    name = "Frequency",
    cluster_rows = FALSE,
    cluster_columns = FALSE,
    show_column_names = FALSE, 
    row_names_side = "left",
    row_title = "cluster_id",
    column_title = "cl_FullLineage",
    column_title_side = "bottom",
    rect_gp = gpar(col = "white"),
    cell_fun = function(i, j, x, y, width, height, fill)
        grid.text(round(mat[j, i] * 100, 1), x = x, y = y, 
            gp = gpar(col = "white", fontsize = 10)),
    bottom_annotation = HeatmapAnnotation(
      text = anno_text(cn, rot = 80, just = "right")))

n_cells_lineage <- table(sce$cl_FullLineage, sce$cluster_id)
fqs <- prop.table(n_cells_lineage, margin = 2)
mat <- as.matrix(unclass(fqs))
Heatmap(mat,
    col = rev(brewer.pal(11, "RdGy")[-6]),
    name = "Frequency",
    cluster_rows = FALSE,
    cluster_columns = FALSE,
    row_names_side = "left",
    row_title = "cl_FullLineage",
    row_names_rot = 10,
    column_title = "cluster_id",
    column_title_side = "bottom",
    rect_gp = gpar(col = "white"),
    cell_fun = function(i, j, x, y, width, height, fill)
        grid.text(round(mat[j, i] * 100, 1), x = x, y = y, 
            gp = gpar(col = "white", fontsize = 10)))


sessionInfo()
R version 4.0.0 (2020-04-24)
Platform: x86_64-pc-linux-gnu (64-bit)
Running under: Ubuntu 16.04.6 LTS

Matrix products: default
BLAS:   /usr/local/R/R-4.0.0/lib/libRblas.so
LAPACK: /usr/local/R/R-4.0.0/lib/libRlapack.so

locale:
 [1] LC_CTYPE=en_US.UTF-8       LC_NUMERIC=C              
 [3] LC_TIME=en_US.UTF-8        LC_COLLATE=en_US.UTF-8    
 [5] LC_MONETARY=en_US.UTF-8    LC_MESSAGES=en_US.UTF-8   
 [7] LC_PAPER=en_US.UTF-8       LC_NAME=C                 
 [9] LC_ADDRESS=C               LC_TELEPHONE=C            
[11] LC_MEASUREMENT=en_US.UTF-8 LC_IDENTIFICATION=C       

attached base packages:
 [1] parallel  stats4    grid      stats     graphics  grDevices utils    
 [8] datasets  methods   base     

other attached packages:
 [1] SingleCellExperiment_1.10.1 SummarizedExperiment_1.18.1
 [3] DelayedArray_0.14.0         matrixStats_0.56.0         
 [5] Biobase_2.48.0              GenomicRanges_1.40.0       
 [7] GenomeInfoDb_1.24.2         IRanges_2.22.2             
 [9] S4Vectors_0.26.1            BiocGenerics_0.34.0        
[11] Seurat_3.1.5                RColorBrewer_1.1-2         
[13] muscat_1.2.1                dplyr_1.0.0                
[15] ggplot2_3.3.2               cowplot_1.0.0              
[17] ComplexHeatmap_2.4.2        workflowr_1.6.2            

loaded via a namespace (and not attached):
  [1] backports_1.1.8           circlize_0.4.10          
  [3] blme_1.0-4                igraph_1.2.5             
  [5] plyr_1.8.6                lazyeval_0.2.2           
  [7] TMB_1.7.16                splines_4.0.0            
  [9] BiocParallel_1.22.0       listenv_0.8.0            
 [11] scater_1.16.2             digest_0.6.25            
 [13] foreach_1.5.0             htmltools_0.5.0          
 [15] viridis_0.5.1             gdata_2.18.0             
 [17] lmerTest_3.1-2            magrittr_1.5             
 [19] memoise_1.1.0             cluster_2.1.0            
 [21] doParallel_1.0.15         ROCR_1.0-11              
 [23] limma_3.44.3              globals_0.12.5           
 [25] annotate_1.66.0           prettyunits_1.1.1        
 [27] colorspace_1.4-1          rappdirs_0.3.1           
 [29] ggrepel_0.8.2             blob_1.2.1               
 [31] xfun_0.15                 jsonlite_1.7.0           
 [33] crayon_1.3.4              RCurl_1.98-1.2           
 [35] genefilter_1.70.0         lme4_1.1-23              
 [37] zoo_1.8-8                 ape_5.4                  
 [39] survival_3.2-3            iterators_1.0.12         
 [41] glue_1.4.1                gtable_0.3.0             
 [43] zlibbioc_1.34.0           XVector_0.28.0           
 [45] leiden_0.3.3              GetoptLong_1.0.1         
 [47] BiocSingular_1.4.0        future.apply_1.6.0       
 [49] shape_1.4.4               scales_1.1.1             
 [51] DBI_1.1.0                 edgeR_3.30.3             
 [53] Rcpp_1.0.4.6              viridisLite_0.3.0        
 [55] xtable_1.8-4              progress_1.2.2           
 [57] clue_0.3-57               reticulate_1.16          
 [59] bit_1.1-15.2              rsvd_1.0.3               
 [61] tsne_0.1-3                htmlwidgets_1.5.1        
 [63] httr_1.4.1                gplots_3.0.4             
 [65] ellipsis_0.3.1            ica_1.0-2                
 [67] pkgconfig_2.0.3           XML_3.99-0.4             
 [69] uwot_0.1.8                locfit_1.5-9.4           
 [71] tidyselect_1.1.0          rlang_0.4.6              
 [73] reshape2_1.4.4            later_1.1.0.1            
 [75] AnnotationDbi_1.50.1      munsell_0.5.0            
 [77] tools_4.0.0               generics_0.0.2           
 [79] RSQLite_2.2.0             ggridges_0.5.2           
 [81] evaluate_0.14             stringr_1.4.0            
 [83] yaml_2.2.1                knitr_1.29               
 [85] bit64_0.9-7               fs_1.4.2                 
 [87] fitdistrplus_1.1-1        caTools_1.18.0           
 [89] RANN_2.6.1                purrr_0.3.4              
 [91] pbapply_1.4-2             future_1.17.0            
 [93] nlme_3.1-148              whisker_0.4              
 [95] pbkrtest_0.4-8.6          compiler_4.0.0           
 [97] plotly_4.9.2.1            beeswarm_0.2.3           
 [99] png_0.1-7                 variancePartition_1.18.2 
[101] tibble_3.0.1              statmod_1.4.34           
[103] geneplotter_1.66.0        stringi_1.4.6            
[105] lattice_0.20-41           Matrix_1.2-18            
[107] nloptr_1.2.2.2            vctrs_0.3.1              
[109] pillar_1.4.4              lifecycle_0.2.0          
[111] lmtest_0.9-37             GlobalOptions_0.1.2      
[113] RcppAnnoy_0.0.16          BiocNeighbors_1.6.0      
[115] data.table_1.12.8         bitops_1.0-6             
[117] irlba_2.3.3               patchwork_1.0.1          
[119] httpuv_1.5.4              colorRamps_2.3           
[121] R6_2.4.1                  promises_1.1.1           
[123] KernSmooth_2.23-17        gridExtra_2.3            
[125] vipor_0.4.5               codetools_0.2-16         
[127] boot_1.3-25               MASS_7.3-51.6            
[129] gtools_3.8.2              DESeq2_1.28.1            
[131] rprojroot_1.3-2           rjson_0.2.20             
[133] withr_2.2.0               sctransform_0.2.1        
[135] GenomeInfoDbData_1.2.3    hms_0.5.3                
[137] tidyr_1.1.0               glmmTMB_1.0.2.1          
[139] minqa_1.2.4               rmarkdown_2.3            
[141] DelayedMatrixStats_1.10.1 Rtsne_0.15               
[143] git2r_0.27.1              numDeriv_2016.8-1.1      
[145] ggbeeswarm_0.6.0