Last updated: 2021-04-07

Checks: 7 0

Knit directory: neural_scRNAseq/

This reproducible R Markdown analysis was created with workflowr (version 1.6.2). The Checks tab describes the reproducibility checks that were applied when the results were created. The Past versions tab lists the development history.


Great! Since the R Markdown file has been committed to the Git repository, you know the exact version of the code that produced these results.

Great job! The global environment was empty. Objects defined in the global environment can affect the analysis in your R Markdown file in unknown ways. For reproduciblity it's best to always run the code in an empty environment.

The command set.seed(20200522) was run prior to running the code in the R Markdown file. Setting a seed ensures that any results that rely on randomness, e.g. subsampling or permutations, are reproducible.

Great job! Recording the operating system, R version, and package versions is critical for reproducibility.

Nice! There were no cached chunks for this analysis, so you can be confident that you successfully produced the results during this run.

Great job! Using relative paths to the files within your workflowr project makes it easier to run your code on other machines.

Great! You are using Git for version control. Tracking code development and connecting the code version to the results is critical for reproducibility.

The results in this page were generated with repository version 000bc40. See the Past versions tab to see a history of the changes made to the R Markdown and HTML files.

Note that you need to be careful to ensure that all relevant files for the analysis have been committed to Git prior to generating the results (you can use wflow_publish or wflow_git_commit). workflowr only checks the R Markdown file, but you know if there are other scripts or data files that it depends on. Below is the status of the Git repository when the results were generated:


Ignored files:
    Ignored:    .DS_Store
    Ignored:    .Rhistory
    Ignored:    .Rproj.user/
    Ignored:    ._.DS_Store
    Ignored:    ._Filtered.pdf
    Ignored:    ._Rplots.pdf
    Ignored:    ._Unfiltered.pdf
    Ignored:    .__workflowr.yml
    Ignored:    ._coverage.pdf
    Ignored:    ._coverage_sashimi.pdf
    Ignored:    ._coverage_sashimi.png
    Ignored:    ._neural_scRNAseq.Rproj
    Ignored:    ._pbDS_cell_level.pdf
    Ignored:    ._pbDS_top_expr_umap.pdf
    Ignored:    ._pbDS_upset.pdf
    Ignored:    ._sashimi.pdf
    Ignored:    ._stmn2.pdf
    Ignored:    ._tdp.pdf
    Ignored:    analysis/.DS_Store
    Ignored:    analysis/.Rhistory
    Ignored:    analysis/._.DS_Store
    Ignored:    analysis/._01-preprocessing.Rmd
    Ignored:    analysis/._01-preprocessing.html
    Ignored:    analysis/._02.1-SampleQC.Rmd
    Ignored:    analysis/._03-filtering.Rmd
    Ignored:    analysis/._04-clustering.Rmd
    Ignored:    analysis/._04-clustering.knit.md
    Ignored:    analysis/._04.1-cell_cycle.Rmd
    Ignored:    analysis/._05-annotation.Rmd
    Ignored:    analysis/._07-cluster-analysis-all-timepoints.Rmd
    Ignored:    analysis/._Lam-0-NSC_no_integration.Rmd
    Ignored:    analysis/._Lam-01-NSC_integration.Rmd
    Ignored:    analysis/._Lam-02-NSC_annotation.Rmd
    Ignored:    analysis/._NSC-1-clustering.Rmd
    Ignored:    analysis/._NSC-2-annotation.Rmd
    Ignored:    analysis/.__site.yml
    Ignored:    analysis/._additional_filtering.Rmd
    Ignored:    analysis/._additional_filtering_clustering.Rmd
    Ignored:    analysis/._index.Rmd
    Ignored:    analysis/._organoid-01-1-qualtiy-control.Rmd
    Ignored:    analysis/._organoid-01-clustering.Rmd
    Ignored:    analysis/._organoid-02-integration.Rmd
    Ignored:    analysis/._organoid-03-cluster_analysis.Rmd
    Ignored:    analysis/._organoid-04-group_integration.Rmd
    Ignored:    analysis/._organoid-04-stage_integration.Rmd
    Ignored:    analysis/._organoid-05-group_integration_cluster_analysis.Rmd
    Ignored:    analysis/._organoid-05-stage_integration_cluster_analysis.Rmd
    Ignored:    analysis/._organoid-06-1-prepare-sce.Rmd
    Ignored:    analysis/._organoid-06-conos-analysis-Seurat.Rmd
    Ignored:    analysis/._organoid-06-conos-analysis-function.Rmd
    Ignored:    analysis/._organoid-06-conos-analysis.Rmd
    Ignored:    analysis/._organoid-06-group-integration-conos-analysis.Rmd
    Ignored:    analysis/._organoid-07-conos-visualization.Rmd
    Ignored:    analysis/._organoid-07-group-integration-conos-visualization.Rmd
    Ignored:    analysis/._organoid-08-conos-comparison.Rmd
    Ignored:    analysis/._organoid-0x-sample_integration.Rmd
    Ignored:    analysis/01-preprocessing_cache/
    Ignored:    analysis/02-1-SampleQC_cache/
    Ignored:    analysis/02-quality_control_cache/
    Ignored:    analysis/02.1-SampleQC_cache/
    Ignored:    analysis/03-filtering_cache/
    Ignored:    analysis/04-clustering_cache/
    Ignored:    analysis/04.1-cell_cycle_cache/
    Ignored:    analysis/05-annotation_cache/
    Ignored:    analysis/06-clustering-all-timepoints_cache/
    Ignored:    analysis/Lam-01-NSC_integration_cache/
    Ignored:    analysis/Lam-02-NSC_annotation_cache/
    Ignored:    analysis/NSC-1-clustering_cache/
    Ignored:    analysis/NSC-2-annotation_cache/
    Ignored:    analysis/TDP-01-preprocessing_cache/
    Ignored:    analysis/TDP-02-quality_control_cache/
    Ignored:    analysis/TDP-03-filtering_cache/
    Ignored:    analysis/TDP-04-clustering_cache/
    Ignored:    analysis/TDP-05-00-filtering-plasmid-QC_cache/
    Ignored:    analysis/TDP-05-plasmid_expression_cache/
    Ignored:    analysis/TDP-06-cluster_analysis_cache/
    Ignored:    analysis/TDP-07-01-STMN2_expression_cache/
    Ignored:    analysis/TDP-07-cluster_12_cache/
    Ignored:    analysis/TDP-08-00-clustering-HA-D96_cache/
    Ignored:    analysis/TDP-08-01-HA-D96-expression-changes_cache/
    Ignored:    analysis/TDP-08-02-TDP_target_genes_cache/
    Ignored:    analysis/TDP-08-clustering-timeline-HA_cache/
    Ignored:    analysis/additional_filtering_cache/
    Ignored:    analysis/additional_filtering_clustering_cache/
    Ignored:    analysis/organoid-01-1-qualtiy-control_cache/
    Ignored:    analysis/organoid-01-clustering_cache/
    Ignored:    analysis/organoid-02-integration_cache/
    Ignored:    analysis/organoid-03-cluster_analysis_cache/
    Ignored:    analysis/organoid-04-group_integration_cache/
    Ignored:    analysis/organoid-04-stage_integration_cache/
    Ignored:    analysis/organoid-05-group_integration_cluster_analysis_cache/
    Ignored:    analysis/organoid-05-stage_integration_cluster_analysis_cache/
    Ignored:    analysis/organoid-06-conos-analysis_cache/
    Ignored:    analysis/organoid-06-conos-analysis_test_cache/
    Ignored:    analysis/organoid-06-group-integration-conos-analysis_cache/
    Ignored:    analysis/organoid-07-conos-visualization_cache/
    Ignored:    analysis/organoid-07-group-integration-conos-visualization_cache/
    Ignored:    analysis/organoid-08-conos-comparison_cache/
    Ignored:    analysis/organoid-0x-sample_integration_cache/
    Ignored:    analysis/sample5_QC_cache/
    Ignored:    analysis/timepoints-01-organoid-integration_cache/
    Ignored:    data/.DS_Store
    Ignored:    data/._.DS_Store
    Ignored:    data/._.smbdeleteAAA17ed8b4b
    Ignored:    data/._Lam_figure2_markers.R
    Ignored:    data/._Reactive_astrocytes_markers.xlsx
    Ignored:    data/._known_NSC_markers.R
    Ignored:    data/._known_cell_type_markers.R
    Ignored:    data/._metadata.csv
    Ignored:    data/._virus_cell_tropism_markers.R
    Ignored:    data/._~$Reactive_astrocytes_markers.xlsx
    Ignored:    data/data_sushi/
    Ignored:    data/filtered_feature_matrices/
    Ignored:    output/.DS_Store
    Ignored:    output/._.DS_Store
    Ignored:    output/._NSC_cluster2_marker_genes.txt
    Ignored:    output/._TDP-06-no_integration_cluster12_marker_genes.txt
    Ignored:    output/._TDP-06-no_integration_cluster13_marker_genes.txt
    Ignored:    output/._organoid_integration_cluster1_marker_genes.txt
    Ignored:    output/._tbl_TDP-08-01-muscat_cluster_0.txt
    Ignored:    output/._tbl_TDP-08-01-muscat_cluster_1.txt
    Ignored:    output/._tbl_TDP-08-01-muscat_cluster_10.txt
    Ignored:    output/._tbl_TDP-08-01-muscat_cluster_11.txt
    Ignored:    output/._tbl_TDP-08-01-muscat_cluster_12.txt
    Ignored:    output/._tbl_TDP-08-01-muscat_cluster_13.txt
    Ignored:    output/._tbl_TDP-08-01-muscat_cluster_14.txt
    Ignored:    output/._tbl_TDP-08-01-muscat_cluster_5.txt
    Ignored:    output/._tbl_TDP-08-01-muscat_cluster_7.txt
    Ignored:    output/._tbl_TDP-08-01-muscat_cluster_8.txt
    Ignored:    output/._tbl_TDP-08-01-muscat_cluster_all.xlsx
    Ignored:    output/._tbl_TDP-08-02-targets_hek_cluster_0.txt
    Ignored:    output/._tbl_TDP-08-02-targets_hek_cluster_1.txt
    Ignored:    output/._tbl_TDP-08-02-targets_hek_cluster_10.txt
    Ignored:    output/._tbl_TDP-08-02-targets_hek_cluster_11.txt
    Ignored:    output/._tbl_TDP-08-02-targets_hek_cluster_12.txt
    Ignored:    output/._tbl_TDP-08-02-targets_hek_cluster_13.txt
    Ignored:    output/._tbl_TDP-08-02-targets_hek_cluster_14.txt
    Ignored:    output/._tbl_TDP-08-02-targets_hek_cluster_5.txt
    Ignored:    output/._tbl_TDP-08-02-targets_hek_cluster_7.txt
    Ignored:    output/._tbl_TDP-08-02-targets_hek_cluster_8.txt
    Ignored:    output/._tbl_TDP-08-02-targets_hek_cluster_all.xlsx
    Ignored:    output/._~$tbl_TDP-08-02-targets_hek_cluster_all.xlsx
    Ignored:    output/Lam-01-clustering.rds
    Ignored:    output/NSC_1_clustering.rds
    Ignored:    output/NSC_cluster1_marker_genes.txt
    Ignored:    output/NSC_cluster2_marker_genes.txt
    Ignored:    output/NSC_cluster3_marker_genes.txt
    Ignored:    output/NSC_cluster4_marker_genes.txt
    Ignored:    output/NSC_cluster5_marker_genes.txt
    Ignored:    output/NSC_cluster6_marker_genes.txt
    Ignored:    output/NSC_cluster7_marker_genes.txt
    Ignored:    output/TDP-06-no_integration_cluster0_marker_genes.txt
    Ignored:    output/TDP-06-no_integration_cluster10_marker_genes.txt
    Ignored:    output/TDP-06-no_integration_cluster11_marker_genes.txt
    Ignored:    output/TDP-06-no_integration_cluster12_marker_genes.txt
    Ignored:    output/TDP-06-no_integration_cluster13_marker_genes.txt
    Ignored:    output/TDP-06-no_integration_cluster14_marker_genes.txt
    Ignored:    output/TDP-06-no_integration_cluster15_marker_genes.txt
    Ignored:    output/TDP-06-no_integration_cluster16_marker_genes.txt
    Ignored:    output/TDP-06-no_integration_cluster17_marker_genes.txt
    Ignored:    output/TDP-06-no_integration_cluster1_marker_genes.txt
    Ignored:    output/TDP-06-no_integration_cluster2_marker_genes.txt
    Ignored:    output/TDP-06-no_integration_cluster3_marker_genes.txt
    Ignored:    output/TDP-06-no_integration_cluster4_marker_genes.txt
    Ignored:    output/TDP-06-no_integration_cluster5_marker_genes.txt
    Ignored:    output/TDP-06-no_integration_cluster6_marker_genes.txt
    Ignored:    output/TDP-06-no_integration_cluster7_marker_genes.txt
    Ignored:    output/TDP-06-no_integration_cluster8_marker_genes.txt
    Ignored:    output/TDP-06-no_integration_cluster9_marker_genes.txt
    Ignored:    output/TDP-06_scran_markers.rds
    Ignored:    output/additional_filtering.rds
    Ignored:    output/conos/
    Ignored:    output/conos_organoid-06-conos-analysis.rds
    Ignored:    output/conos_organoid-06-group-integration-conos-analysis.rds
    Ignored:    output/figures/
    Ignored:    output/organoid_integration_cluster10_marker_genes.txt
    Ignored:    output/organoid_integration_cluster11_marker_genes.txt
    Ignored:    output/organoid_integration_cluster12_marker_genes.txt
    Ignored:    output/organoid_integration_cluster13_marker_genes.txt
    Ignored:    output/organoid_integration_cluster14_marker_genes.txt
    Ignored:    output/organoid_integration_cluster15_marker_genes.txt
    Ignored:    output/organoid_integration_cluster16_marker_genes.txt
    Ignored:    output/organoid_integration_cluster17_marker_genes.txt
    Ignored:    output/organoid_integration_cluster1_marker_genes.txt
    Ignored:    output/organoid_integration_cluster2_marker_genes.txt
    Ignored:    output/organoid_integration_cluster3_marker_genes.txt
    Ignored:    output/organoid_integration_cluster4_marker_genes.txt
    Ignored:    output/organoid_integration_cluster5_marker_genes.txt
    Ignored:    output/organoid_integration_cluster6_marker_genes.txt
    Ignored:    output/organoid_integration_cluster7_marker_genes.txt
    Ignored:    output/organoid_integration_cluster8_marker_genes.txt
    Ignored:    output/organoid_integration_cluster9_marker_genes.txt
    Ignored:    output/res_TDP-08-01-muscat.rds
    Ignored:    output/sce_01_preprocessing.rds
    Ignored:    output/sce_02_quality_control.rds
    Ignored:    output/sce_03_filtering.rds
    Ignored:    output/sce_03_filtering_all_genes.rds
    Ignored:    output/sce_06-1-prepare-sce.rds
    Ignored:    output/sce_TDP-08-01-muscat.rds
    Ignored:    output/sce_TDP_01_preprocessing.rds
    Ignored:    output/sce_TDP_02_quality_control.rds
    Ignored:    output/sce_TDP_03_filtering.rds
    Ignored:    output/sce_TDP_03_filtering_all_genes.rds
    Ignored:    output/sce_organoid-01-clustering.rds
    Ignored:    output/sce_preprocessing.rds
    Ignored:    output/so_04-stage_integration.rds
    Ignored:    output/so_04_1_cell_cycle.rds
    Ignored:    output/so_04_clustering.rds
    Ignored:    output/so_06-clustering_all_timepoints.rds
    Ignored:    output/so_08-00_clustering_HA_D96.rds
    Ignored:    output/so_08-clustering_timeline_HA.rds
    Ignored:    output/so_0x-sample_integration.rds
    Ignored:    output/so_TDP-06-cluster-analysis.rds
    Ignored:    output/so_TDP_04_clustering.rds
    Ignored:    output/so_TDP_05_plasmid_expression.rds
    Ignored:    output/so_additional_filtering_clustering.rds
    Ignored:    output/so_integrated_organoid-02-integration.rds
    Ignored:    output/so_merged_organoid-02-integration.rds
    Ignored:    output/so_organoid-01-clustering.rds
    Ignored:    output/so_sample_organoid-01-clustering.rds
    Ignored:    output/so_timepoints-01-organoid_integration.rds
    Ignored:    output/tbl_TDP-08-01-muscat.rds
    Ignored:    output/tbl_TDP-08-01-muscat_cluster_0.txt
    Ignored:    output/tbl_TDP-08-01-muscat_cluster_1.txt
    Ignored:    output/tbl_TDP-08-01-muscat_cluster_10.txt
    Ignored:    output/tbl_TDP-08-01-muscat_cluster_11.txt
    Ignored:    output/tbl_TDP-08-01-muscat_cluster_12.txt
    Ignored:    output/tbl_TDP-08-01-muscat_cluster_13.txt
    Ignored:    output/tbl_TDP-08-01-muscat_cluster_14.txt
    Ignored:    output/tbl_TDP-08-01-muscat_cluster_5.txt
    Ignored:    output/tbl_TDP-08-01-muscat_cluster_7.txt
    Ignored:    output/tbl_TDP-08-01-muscat_cluster_8.txt
    Ignored:    output/tbl_TDP-08-01-muscat_cluster_all.xlsx
    Ignored:    output/tbl_TDP-08-02-targets_hek.rds
    Ignored:    output/tbl_TDP-08-02-targets_hek_cluster_0.txt
    Ignored:    output/tbl_TDP-08-02-targets_hek_cluster_1.txt
    Ignored:    output/tbl_TDP-08-02-targets_hek_cluster_10.txt
    Ignored:    output/tbl_TDP-08-02-targets_hek_cluster_11.txt
    Ignored:    output/tbl_TDP-08-02-targets_hek_cluster_12.txt
    Ignored:    output/tbl_TDP-08-02-targets_hek_cluster_13.txt
    Ignored:    output/tbl_TDP-08-02-targets_hek_cluster_14.txt
    Ignored:    output/tbl_TDP-08-02-targets_hek_cluster_5.txt
    Ignored:    output/tbl_TDP-08-02-targets_hek_cluster_7.txt
    Ignored:    output/tbl_TDP-08-02-targets_hek_cluster_8.txt
    Ignored:    output/tbl_TDP-08-02-targets_hek_cluster_all.xlsx
    Ignored:    output/~$tbl_TDP-08-02-targets_hek_cluster_all.xlsx
    Ignored:    scripts/.DS_Store
    Ignored:    scripts/._.DS_Store
    Ignored:    scripts/._bu_Rcode.R
    Ignored:    scripts/._plasmid_expression.sh

Untracked files:
    Untracked:  Filtered.pdf
    Untracked:  Rplots.pdf
    Untracked:  Unfiltered
    Untracked:  Unfiltered.pdf
    Untracked:  analysis/Lam-0-NSC_no_integration.Rmd
    Untracked:  analysis/TDP-07-01-STMN2_expression copy.Rmd
    Untracked:  analysis/additional_filtering.Rmd
    Untracked:  analysis/additional_filtering_clustering.Rmd
    Untracked:  analysis/organoid-01-1-qualtiy-control.Rmd
    Untracked:  analysis/organoid-06-conos-analysis-Seurat.Rmd
    Untracked:  analysis/organoid-06-conos-analysis-function.Rmd
    Untracked:  analysis/organoid-07-conos-visualization.Rmd
    Untracked:  analysis/organoid-07-group-integration-conos-visualization.Rmd
    Untracked:  analysis/organoid-08-conos-comparison.Rmd
    Untracked:  analysis/organoid-0x-sample_integration.Rmd
    Untracked:  analysis/sample5_QC.Rmd
    Untracked:  analysis/timepoints-02-cluster-analysis.Rmd
    Untracked:  coverage.pdf
    Untracked:  coverage_sashimi.pdf
    Untracked:  coverage_sashimi.png
    Untracked:  data/Homo_sapiens.GRCh38.98.sorted.gtf
    Untracked:  data/Kanton_et_al/
    Untracked:  data/Lam_et_al/
    Untracked:  data/Sep2020/
    Untracked:  data/reference/
    Untracked:  data/virus_cell_tropism_markers.R
    Untracked:  data/~$Reactive_astrocytes_markers.xlsx
    Untracked:  pbDS_cell_level.pdf
    Untracked:  pbDS_heatmap.pdf
    Untracked:  pbDS_top_expr_umap.pdf
    Untracked:  pbDS_upset.pdf
    Untracked:  sashimi.pdf
    Untracked:  scripts/bu_Rcode.R
    Untracked:  scripts/bu_code.Rmd
    Untracked:  scripts/salmon-latest_linux_x86_64/
    Untracked:  stmn2.pdf
    Untracked:  tdp.pdf

Unstaged changes:
    Modified:   analysis/05-annotation.Rmd
    Modified:   analysis/TDP-04-clustering.Rmd
    Modified:   analysis/TDP-06-cluster_analysis.Rmd
    Modified:   analysis/TDP-08-01-HA-D96-expression-changes.Rmd
    Modified:   analysis/_site.yml
    Modified:   analysis/organoid-02-integration.Rmd
    Modified:   analysis/organoid-04-group_integration.Rmd
    Modified:   analysis/organoid-06-conos-analysis.Rmd
    Modified:   analysis/timepoints-01-organoid-integration.Rmd

Note that any generated files, e.g. HTML, png, CSS, etc., are not included in this status report because it is ok for generated content to have uncommitted changes.


These are the previous versions of the repository in which changes were made to the R Markdown (analysis/07-cluster-analysis-all-timepoints.Rmd) and HTML (docs/07-cluster-analysis-all-timepoints.html) files. If you've configured a remote Git repository (see ?wflow_git_remote), click on the hyperlinks in the table below to view the files as they were in that past version.

File Version Author Date Message
Rmd 000bc40 khembach 2021-04-07 fix heatmap
html 119d6d9 khembach 2021-04-07 Build site.
Rmd 3c93c4e khembach 2021-04-07 change plot layout
html e7f56c5 khembach 2021-04-07 Build site.
Rmd db1e648 khembach 2021-04-07 update heatmap, find NSC marker and UMAP with marker expression
html 06d61f5 khembach 2021-01-28 Build site.
Rmd c122306 khembach 2021-01-28 add heatmap with virus cell tropism markers
html 0d1ba85 khembach 2020-11-10 Build site.
Rmd 68d329d khembach 2020-11-10 analyse clusters of all timepoints

Load packages

library(ComplexHeatmap)
library(cowplot)
library(ggplot2)
library(dplyr)
library(muscat)
library(purrr)
library(RColorBrewer)
library(viridis)
library(scran)
library(Seurat)
library(SingleCellExperiment)
library(stringr)
library(RCurl)
library(BiocParallel)

Load data & convert to SCE

so <- readRDS(file.path("output", "so_06-clustering_all_timepoints.rds"))
sce <- as.SingleCellExperiment(so, assay = "RNA")
colData(sce) <- as.data.frame(colData(sce)) %>% 
    mutate_if(is.character, as.factor) %>% 
    DataFrame(row.names = colnames(sce))

Number of clusters by resolution

cluster_cols <- grep("res.[0-9]", colnames(colData(sce)), value = TRUE)
sapply(colData(sce)[cluster_cols], nlevels)
RNA_snn_res.0.2 RNA_snn_res.0.4 RNA_snn_res.0.8   RNA_snn_res.1 
             13              19              26              29 

Cluster-sample counts

# set cluster IDs to resolution 0.4 clustering
so <- SetIdent(so, value = "RNA_snn_res.0.4")
so@meta.data$cluster_id <- Idents(so)
sce$cluster_id <- Idents(so)
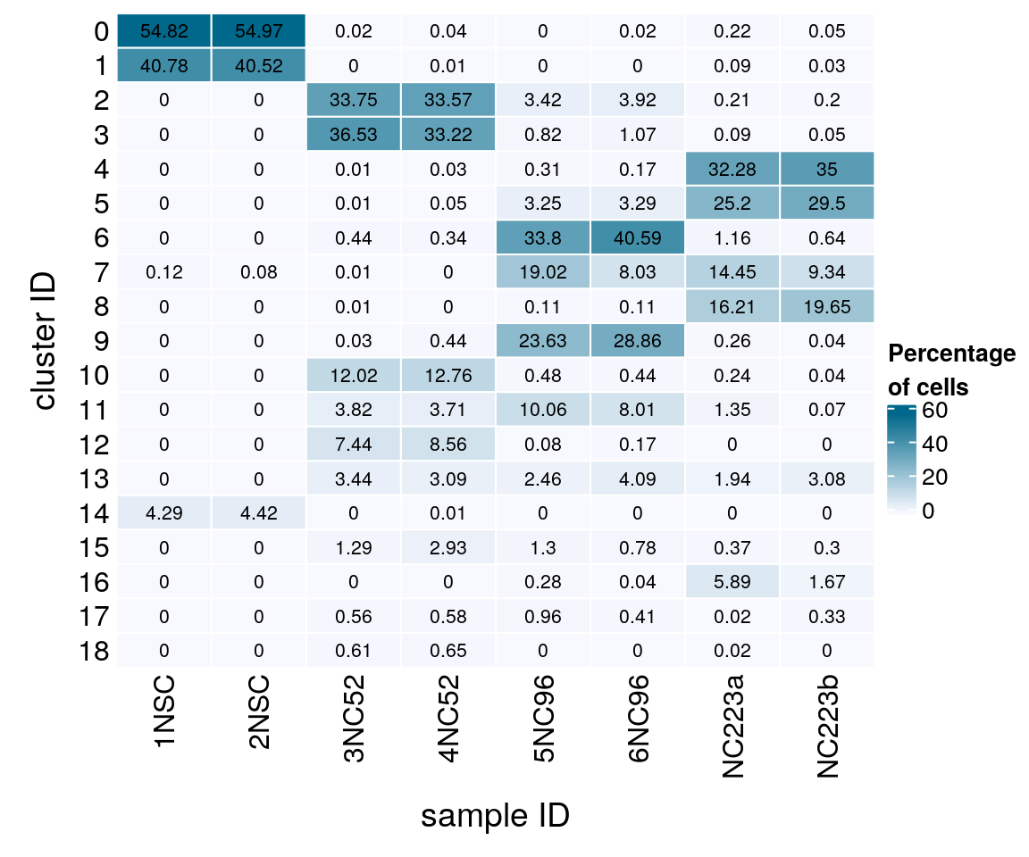
(n_cells <- table(sce$cluster_id, sce$sample_id))
    
     1NSC 2NSC 3NC52 4NC52 5NC96 6NC96 NC223a NC223b
  0  4567 4622     2     3     0     1     12      4
  1  3397 3407     0     1     0     0      5      2
  2     0    0  2932  2497   121   180     11     15
  3     0    0  3173  2471    29    49      5      4
  4     0    0     1     2    11     8   1727   2577
  5     0    0     1     4   115   151   1348   2172
  6     0    0    38    25  1196  1865     62     47
  7    10    7     1     0   673   369    773    688
  8     0    0     1     0     4     5    867   1447
  9     0    0     3    33   836  1326     14      3
  10    0    0  1044   949    17    20     13      3
  11    0    0   332   276   356   368     72      5
  12    0    0   646   637     3     8      0      0
  13    0    0   299   230    87   188    104    227
  14  357  372     0     1     0     0      0      0
  15    0    0   112   218    46    36     20     22
  16    0    0     0     0    10     2    315    123
  17    0    0    49    43    34    19      1     24
  18    0    0    53    48     0     0      1      0

Relative cluster-abundances

fqs <- prop.table(n_cells, margin = 2)
mat <- round(as.matrix(unclass(fqs))*100, 2)
colfunc <- colorRampPalette(c("ghostwhite", "deepskyblue4"))
Heatmap(mat,
    col = colfunc(10),
    name = "Percentage\nof cells",
    cluster_rows = FALSE,
    cluster_columns = FALSE,
    row_names_side = "left",
    row_title = "cluster ID",
    column_title = "sample ID",
    column_title_side = "bottom",
    rect_gp = gpar(col = "white"),
    cell_fun = function(i, j, x, y, width, height, fill)
        grid.text(mat[j, i], x = x, y = y, 
            gp = gpar(col = "black", fontsize = 8)))

Version Author Date
e7f56c5 khembach 2021-04-07
0d1ba85 khembach 2020-11-10

Cell cycle scoring with Seurat

We assign each cell a cell cycle scores and visualize them in the DR plots. We use known G2/M and S phase markers that come with the Seurat package. The markers are anticorrelated and cells that to not express the markers should be in G1 phase.

We compute cell cycle phase:

# A list of cell cycle markers, from Tirosh et al, 2015
cc_file <- getURL("https://raw.githubusercontent.com/hbc/tinyatlas/master/cell_cycle/Homo_sapiens.csv") 
cc_genes <- read.csv(text = cc_file)
# match the marker genes to the features
m <- match(cc_genes$geneID[cc_genes$phase == "S"], 
           str_split(rownames(GetAssayData(so)),
                     pattern = "\\.", simplify = TRUE)[,1])
s_genes <- rownames(GetAssayData(so))[m]
(s_genes <- s_genes[!is.na(s_genes)])
 [1] "ENSG00000012963.UBR7"     "ENSG00000049541.RFC2"    
 [3] "ENSG00000051180.RAD51"    "ENSG00000073111.MCM2"    
 [5] "ENSG00000075131.TIPIN"    "ENSG00000076003.MCM6"    
 [7] "ENSG00000076248.UNG"      "ENSG00000077514.POLD3"   
 [9] "ENSG00000092470.WDR76"    "ENSG00000092853.CLSPN"   
[11] "ENSG00000093009.CDC45"    "ENSG00000094804.CDC6"    
[13] "ENSG00000095002.MSH2"     "ENSG00000100297.MCM5"    
[15] "ENSG00000101868.POLA1"    "ENSG00000104738.MCM4"    
[17] "ENSG00000111247.RAD51AP1" "ENSG00000112312.GMNN"    
[19] "ENSG00000117748.RPA2"     "ENSG00000118412.CASP8AP2"
[21] "ENSG00000119969.HELLS"    "ENSG00000129173.E2F8"    
[23] "ENSG00000131153.GINS2"    "ENSG00000132646.PCNA"    
[25] "ENSG00000132780.NASP"     "ENSG00000136492.BRIP1"   
[27] "ENSG00000136982.DSCC1"    "ENSG00000143476.DTL"     
[29] "ENSG00000144354.CDCA7"    "ENSG00000151725.CENPU"   
[31] "ENSG00000156802.ATAD2"    "ENSG00000159259.CHAF1B"  
[33] "ENSG00000162607.USP1"     "ENSG00000163950.SLBP"    
[35] "ENSG00000167325.RRM1"     "ENSG00000168496.FEN1"    
[37] "ENSG00000171848.RRM2"     "ENSG00000174371.EXO1"    
[39] "ENSG00000175305.CCNE2"    "ENSG00000176890.TYMS"    
[41] "ENSG00000197299.BLM"      "ENSG00000198056.PRIM1"   
[43] "ENSG00000276043.UHRF1"   
m <- match(cc_genes$geneID[cc_genes$phase == "G2/M"], 
           str_split(rownames(GetAssayData(so)), 
                     pattern = "\\.", simplify = TRUE)[,1])
g2m_genes <- rownames(GetAssayData(so))[m]
(g2m_genes <- g2m_genes[!is.na(g2m_genes)])
 [1] "ENSG00000010292.NCAPD2"  "ENSG00000011426.ANLN"   
 [3] "ENSG00000013810.TACC3"   "ENSG00000072571.HMMR"   
 [5] "ENSG00000075218.GTSE1"   "ENSG00000080986.NDC80"  
 [7] "ENSG00000087586.AURKA"   "ENSG00000088325.TPX2"   
 [9] "ENSG00000089685.BIRC5"   "ENSG00000092140.G2E3"   
[11] "ENSG00000094916.CBX5"    "ENSG00000100401.RANGAP1"
[13] "ENSG00000102974.CTCF"    "ENSG00000111665.CDCA3"  
[15] "ENSG00000112742.TTK"     "ENSG00000113810.SMC4"   
[17] "ENSG00000114346.ECT2"    "ENSG00000115163.CENPA"  
[19] "ENSG00000117399.CDC20"   "ENSG00000117650.NEK2"   
[21] "ENSG00000117724.CENPF"   "ENSG00000120802.TMPO"   
[23] "ENSG00000123485.HJURP"   "ENSG00000123975.CKS2"   
[25] "ENSG00000126787.DLGAP5"  "ENSG00000129195.PIMREG" 
[27] "ENSG00000131747.TOP2A"   "ENSG00000134222.PSRC1"  
[29] "ENSG00000134690.CDCA8"   "ENSG00000136108.CKAP2"  
[31] "ENSG00000137804.NUSAP1"  "ENSG00000137807.KIF23"  
[33] "ENSG00000138160.KIF11"   "ENSG00000138182.KIF20B" 
[35] "ENSG00000138778.CENPE"   "ENSG00000139354.GAS2L3" 
[37] "ENSG00000142945.KIF2C"   "ENSG00000143228.NUF2"   
[39] "ENSG00000143401.ANP32E"  "ENSG00000143815.LBR"    
[41] "ENSG00000148773.MKI67"   "ENSG00000157456.CCNB2"  
[43] "ENSG00000158402.CDC25C"  "ENSG00000164104.HMGB2"  
[45] "ENSG00000169607.CKAP2L"  "ENSG00000169679.BUB1"   
[47] "ENSG00000170312.CDK1"    "ENSG00000173207.CKS1B"  
[49] "ENSG00000175063.UBE2C"   "ENSG00000175216.CKAP5"  
[51] "ENSG00000178999.AURKB"   "ENSG00000184661.CDCA2"  
[53] "ENSG00000188229.TUBB4B"  "ENSG00000189159.JPT1"   
so <- CellCycleScoring(so, s.features = s_genes, g2m.features = g2m_genes,
                       set.ident = TRUE)

DR colored by cluster ID

cs <- sample(colnames(so), 5e3)
.plot_dr <- function(so, dr, id)
    DimPlot(so, cells = cs, group.by = id, reduction = dr, pt.size = 0.4) +
        guides(col = guide_legend(nrow = 11, 
            override.aes = list(size = 3, alpha = 1))) +
        theme_void() + theme(aspect.ratio = 1)
ids <- c("cluster_id", "group_id", "sample_id", "Phase")
for (id in ids) {
    cat("## ", id, "\n")
    p1 <- .plot_dr(so, "tsne", id)
    lgd <- get_legend(p1)
    p1 <- p1 + theme(legend.position = "none")
    p2 <- .plot_dr(so, "umap", id) + theme(legend.position = "none")
    ps <- plot_grid(plotlist = list(p1, p2), nrow = 1)
    p <- plot_grid(ps, lgd, nrow = 1, rel_widths = c(1, 0.2))
    print(p)
    cat("\n\n")
}

cluster_id

Version Author Date
e7f56c5 khembach 2021-04-07
0d1ba85 khembach 2020-11-10

group_id

Version Author Date
e7f56c5 khembach 2021-04-07
0d1ba85 khembach 2020-11-10

sample_id

Version Author Date
e7f56c5 khembach 2021-04-07
0d1ba85 khembach 2020-11-10

Phase

Version Author Date
e7f56c5 khembach 2021-04-07
0d1ba85 khembach 2020-11-10

Find markers using scran

We identify candidate marker genes for each cluster that enable a separation of that group from all other groups.

scran_markers <- findMarkers(sce, 
    groups = sce$cluster_id, block = sce$sample_id, 
    direction = "up", lfc = 2, full.stats = TRUE)

Heatmap of mean marker-exprs. by cluster

We aggregate the cells to pseudobulks and plot the average expression of the condidate marker genes in each of the clusters.

gs <- lapply(scran_markers, function(u) rownames(u)[u$Top == 1])
## candidate cluster markers
lapply(gs, function(x) str_split(x, pattern = "\\.", simplify = TRUE)[,2])
$`0`
 [1] "SAMD11"  "GNG5"    "IGFBP5"  "GNG11"   "PEG10"   "PTN"     "NEFL"   
 [8] "STMN2"   "VIM"     "METRN"   "PCSK1N"  "RPS4X"   "MT-RNR2" "MT-CO2" 
[15] "MT-CYB" 

$`1`
[1] "SAMD11" "STMN1"  "PTN"    "CRH"    "GFAP"   "PCSK1N" "MT-CO2" "MT-CO3"

$`2`
[1] "VGF"    "NEFM"   "NEFL"   "STMN2"  "RTN1"   "HOXB8"  "HOXB9"  "MT-CO2"
[9] "MT-CO3"

$`3`
[1] "SAMD11" "STMN2"  "PCDH9"  "RTN1"   "ZFHX3"  "PCP4"   "MT-CO2"

$`4`
[1] "SPARCL1" "STMN2"   "VIM"     "RTN1"    "GFAP"    "MT-ND1"  "MT-ATP6"

$`5`
[1] "S100A10" "IGFBP5"  "VGF"     "STMN2"   "VAMP2"   "MT-RNR2"

$`6`
[1] "PKIB"    "FABP7"   "STMN2"   "PCP4"    "MT-RNR2"

$`7`
[1] "VGF"    "CRH"    "STMN2"  "CRABP1"

$`8`
[1] "SPARCL1" "VGF"     "PTPRZ1"  "NTRK2"   "PTGDS"   "MT-ND1"  "MT-ATP6"

$`9`
[1] "C1orf61" "IGFBP2"  "VIM"     "CRYAB"   "DLK1"    "GFAP"    "MT-ND1" 

$`10`
[1] "C1orf61"  "SQSTM1"   "VIM"      "CYP26A1"  "ATP1B2"   "HOXB9"    "PPP1R15A"
[8] "FTL"     

$`11`
[1] "S100A10" "IGFBP5"  "IGFBP7"  "CCN2"    "CLU"     "VIM"     "TAGLN"  
[8] "METRN"   "MT-CYB" 

$`12`
 [1] "C1orf61" "PTPRZ1"  "CLU"     "LY6H"    "NTRK2"   "VIM"     "METRN"  
 [8] "C1QL1"   "TTYH1"   "S100B"   "MT-ND4" 

$`13`
[1] "S100A10" "TAC1"    "VGF"     "STMN2"   "DLK1"    "MT-CO2" 

$`14`
[1] "S100A11"

$`15`
[1] "GADD45A" "VGF"     "STMN2"   "CRYAB"   "DDIT3"  

$`16`
 [1] "C1orf61" "VGF"     "PTGDS"   "VIM"     "IFITM3"  "CRYAB"   "TAGLN"  
 [8] "GAPDH"   "CKB"     "METRN"   "C1QL1"  

$`17`
[1] "COL3A1" "MGP"    "COL1A1"

$`18`
[1] "H2AFZ" "HMGB2" "PTTG1" "VIM"   "CKB"   "METRN"
sub <- sce[unique(unlist(gs)), ]
pbs <- aggregateData(sub, assay = "logcounts", by = "cluster_id", fun = "mean")
mat <- t(muscat:::.scale(assay(pbs)))
## remove the Ensembl ID from the gene names
colnames(mat) <- str_split(colnames(mat), pattern = "\\.", simplify = TRUE)[,2] 
Heatmap(mat,
    name = "scaled avg.\nexpression",
    col = viridis(10),
    cluster_rows = FALSE,
    cluster_columns = FALSE,
    row_names_side = "left",
    row_title = "cluster_id",
    rect_gp = gpar(col = "white"))

Version Author Date
e7f56c5 khembach 2021-04-07
0d1ba85 khembach 2020-11-10

Known marker genes

## source file with list of known marker genes
source(file.path("data", "known_cell_type_markers.R"))

fs <- lapply(fs, sapply, function(g)
    grep(pattern = paste0("\\.", g, "$"), rownames(sce), value = TRUE)
  )

fs <- lapply(fs, function(x) unlist(x[lengths(x) !=0]) )

gs <- gsub(".*\\.", "", unlist(fs))
ns <- vapply(fs, length, numeric(1))
ks <- rep.int(names(fs), ns)
labs <- lapply(fs, function(x) gsub(".*\\.", "",x))

Heatmap of mean marker-exprs. by cluster

# split cells by cluster
cs_by_k <- split(colnames(sce), sce$cluster_id)
# compute cluster-marker means
ms_by_cluster <- lapply(fs, function(gs) vapply(cs_by_k, function(i)
        Matrix::rowMeans(logcounts(sce)[gs, i, drop = FALSE]), 
        numeric(length(gs))))
# prep. for plotting & scale b/w 0 and 1
mat <- do.call("rbind", ms_by_cluster)
mat <- muscat:::.scale(mat)
rownames(mat) <- gs
cols <- muscat:::.cluster_colors[seq_along(fs)]
cols <- setNames(cols, names(fs))
row_anno <- rowAnnotation(
    df = data.frame(label = factor(ks, levels = names(fs))),
    col = list(label = cols), gp = gpar(col = "white"))
# percentage of cells from each of the samples per cluster
sample_props <- prop.table(n_cells, margin = 1)
col_mat <- as.matrix(unclass(sample_props))
sample_cols <- c("#882255", "#CC6677", "#11588A", "#88CCEE", "#117733",  
                 "#44AA99",  "#FF8E21", "#FDC78E")

sample_cols <- setNames(sample_cols, colnames(col_mat))
col_anno <- HeatmapAnnotation(
    perc_sample = anno_barplot(col_mat, gp = gpar(fill = sample_cols), 
                               height = unit(2, "cm"),
                               border = FALSE),
    annotation_label = "fraction of sample\nin cluster",
    gap = unit(10, "points"))
col_lgd <- Legend(labels = names(sample_cols),
       title = "sample",
       legend_gp = gpar(fill = sample_cols))

hm <- Heatmap(mat,
    name = "scaled avg.\nexpression",
    col = viridis(10),
    cluster_rows = FALSE,
    cluster_columns = FALSE,
    row_names_side = "left",
    column_title = "cluster_id",
    column_title_side = "bottom",
    column_names_side = "bottom",
    column_names_rot = 0, 
    column_names_centered = TRUE,
    rect_gp = gpar(col = "white"),
    left_annotation = row_anno,
    top_annotation = col_anno)
draw(hm, annotation_legend_list = list(col_lgd))

Version Author Date
e7f56c5 khembach 2021-04-07
0d1ba85 khembach 2020-11-10

DR colored by marker expression

# downsample to 5000 cells
cs <- sample(colnames(sce), 5e3)
sub <- subset(so, cells = cs)
# UMAPs colored by marker-expression
for (m in seq_along(fs)) {
    cat("## ", names(fs)[m], "\n")
    ps <- lapply(seq_along(fs[[m]]), function(i) {
        if (!fs[[m]][i] %in% rownames(so)) return(NULL)
        FeaturePlot(sub, features = fs[[m]][i], reduction = "umap", pt.size = 0.4) +
            theme(aspect.ratio = 1, legend.position = "none") +
            ggtitle(labs[[m]][i]) + theme_void() + theme(aspect.ratio = 1)
    })
    # arrange plots in grid
    ps <- ps[!vapply(ps, is.null, logical(1))]
    p <- plot_grid(plotlist = ps, ncol = 4, label_size = 10)
    print(p)
    cat("\n\n")
}

NSC

Version Author Date
e7f56c5 khembach 2021-04-07
0d1ba85 khembach 2020-11-10

proliferating

Version Author Date
e7f56c5 khembach 2021-04-07
0d1ba85 khembach 2020-11-10

neuronal

Version Author Date
e7f56c5 khembach 2021-04-07
0d1ba85 khembach 2020-11-10

mature_astrocytes

Version Author Date
e7f56c5 khembach 2021-04-07
0d1ba85 khembach 2020-11-10

glial_astrocytic

Version Author Date
e7f56c5 khembach 2021-04-07
0d1ba85 khembach 2020-11-10

radial_glia

Version Author Date
e7f56c5 khembach 2021-04-07
0d1ba85 khembach 2020-11-10

oligodendrocyte

Version Author Date
e7f56c5 khembach 2021-04-07
0d1ba85 khembach 2020-11-10

GABAergic_neurons

Version Author Date
e7f56c5 khembach 2021-04-07
0d1ba85 khembach 2020-11-10

glycinergic_neurons

Version Author Date
e7f56c5 khembach 2021-04-07
0d1ba85 khembach 2020-11-10

glutaminergic_neurons

Version Author Date
e7f56c5 khembach 2021-04-07
0d1ba85 khembach 2020-11-10

dopaminergic_neurons

Version Author Date
e7f56c5 khembach 2021-04-07
0d1ba85 khembach 2020-11-10

apoptotic

Version Author Date
e7f56c5 khembach 2021-04-07
0d1ba85 khembach 2020-11-10

Marker genes for virus cell tropism

## source file with list of known marker genes
source(file.path("data", "virus_cell_tropism_markers.R"))
fs <- lapply(fs, sapply, function(g)
    grep(pattern = paste0("\\.", g, "$"), rownames(sce), value = TRUE)
  )

fs <- lapply(fs, function(x) unlist(x[lengths(x) !=0]) )

gs <- gsub(".*\\.", "", unlist(fs))
ns <- vapply(fs, length, numeric(1))
ks <- rep.int(names(fs), ns)
labs <- lapply(fs, function(x) gsub(".*\\.", "",x))

Heatmap of virus cell tropism markers

# compute cluster-marker means
ms_by_cluster <- lapply(fs, function(gs) vapply(cs_by_k, function(i)
        Matrix::rowMeans(logcounts(sce)[gs, i, drop = FALSE]), 
        numeric(length(gs))))
# prep. for plotting & scale b/w 0 and 1
mat <- do.call("rbind", ms_by_cluster)
mat <- muscat:::.scale(mat)
rownames(mat) <- gs
cols <- muscat:::.cluster_colors[seq_along(fs)]
cols <- setNames(cols, names(fs))
row_anno <- rowAnnotation(
    df = data.frame(label = factor(ks, levels = names(fs))),
    col = list(label = cols), gp = gpar(col = "white"))
# percentage of cells from each of the samples per cluster
sample_props <- prop.table(n_cells, margin = 1)
col_mat <- as.matrix(unclass(sample_props))
sample_cols <- c("#882255", "#CC6677", "#11588A", "#88CCEE", "#117733",  
                 "#44AA99",  "#FF8E21", "#FDC78E")
sample_cols <- setNames(sample_cols, colnames(col_mat))
col_anno <- HeatmapAnnotation(
    perc_sample = anno_barplot(col_mat, gp = gpar(fill = sample_cols), 
                               height = unit(2, "cm"),
                               border = FALSE),
    annotation_label = "fraction of sample\nin cluster",
    gap = unit(10, "points"))
col_lgd <- Legend(labels = names(sample_cols),
       title = "sample",
       legend_gp = gpar(fill = sample_cols))

hm <- Heatmap(mat,
    name = "scaled avg.\nexpression",
    col = viridis(10),
    cluster_rows = FALSE,
    cluster_columns = FALSE,
    row_names_side = "left",
    column_title = "cluster_id",
    column_title_side = "bottom",
    column_names_side = "bottom",
    column_names_rot = 0, 
    column_names_centered = TRUE,
    rect_gp = gpar(col = "white"),
    left_annotation = row_anno,
    top_annotation = col_anno)
draw(hm, annotation_legend_list = list(col_lgd))

Version Author Date
e7f56c5 khembach 2021-04-07
06d61f5 khembach 2021-01-28

Plot for paper

We want to find more markers specific for the NSCs:

## markers specific for cluster 0, 1 or 14 (NSC) versus all other clusters
scran_markers2 <- findMarkers(sce, groups = sce$cluster_id, 
                              direction = "up", lfc = 2, pval.type="all")
scran_markers2[["0"]][1:10,1:3]
DataFrame with 10 rows and 3 columns
                           p.value       FDR summary.logFC
                         <numeric> <numeric>     <numeric>
ENSG00000187634.SAMD11           1         1   0.000319104
ENSG00000188976.NOC2L            1         1  -0.015896575
ENSG00000187961.KLHL17           1         1  -0.004873865
ENSG00000187583.PLEKHN1          1         1  -0.000151055
ENSG00000187642.PERM1            1         1  -0.000231498
ENSG00000188290.HES4             1         1  -0.003824213
ENSG00000187608.ISG15            1         1   0.028549600
ENSG00000188157.AGRN             1         1   0.007498090
ENSG00000237330.RNF223           1         1   0.000361614
ENSG00000131591.C1orf159         1         1  -0.010512566
scran_markers2[["1"]][1:10,1:3]
DataFrame with 10 rows and 3 columns
                           p.value       FDR summary.logFC
                         <numeric> <numeric>     <numeric>
ENSG00000187634.SAMD11           1         1  -0.000319104
ENSG00000188976.NOC2L            1         1   0.015896575
ENSG00000187961.KLHL17           1         1   0.004873865
ENSG00000187583.PLEKHN1          1         1   0.000151055
ENSG00000187642.PERM1            1         1   0.000231498
ENSG00000188290.HES4             1         1   0.003824213
ENSG00000187608.ISG15            1         1  -0.028549600
ENSG00000188157.AGRN             1         1  -0.007498090
ENSG00000237330.RNF223           1         1  -0.000361614
ENSG00000131591.C1orf159         1         1   0.010512566
scran_markers2[["14"]][1:10,1:3]
DataFrame with 10 rows and 3 columns
                          p.value       FDR summary.logFC
                        <numeric> <numeric>     <numeric>
ENSG00000149591.TAGLN           1         1      1.363236
ENSG00000140416.TPM1            1         1      1.585896
ENSG00000122786.CALD1           1         1      0.478189
ENSG00000181019.NQO1            1         1      1.443555
ENSG00000198467.TPM2            1         1      0.961618
ENSG00000182718.ANXA2           1         1      0.847048
ENSG00000160789.LMNA            1         1      1.007836
ENSG00000163191.S100A11         1         1     -0.328324
ENSG00000122585.NPY             1         1      0.561380
ENSG00000168542.COL3A1          1         1     -1.969313
## we selected following markers
g <- c("NQO1", "TPM1", "PEG10")
genes <- lapply(g, sapply, function(i)
    grep(pattern = paste0("\\.", i, "$"), rownames(sce), value = TRUE)
  )
names(genes) <- g

# UMAPs colored by marker-expression
for (m in seq_along(genes)) {
  p <- FeaturePlot(sub, features = genes[[m]], reduction = "umap", pt.size = 0.4) +
            theme(aspect.ratio = 1, legend.position = "none") +
            ggtitle(names(genes)[[m]]) + theme_void() + theme(aspect.ratio = 1)
    print(p)
}

Version Author Date
e7f56c5 khembach 2021-04-07

Version Author Date
e7f56c5 khembach 2021-04-07

Version Author Date
e7f56c5 khembach 2021-04-07

We plot the gene expression of some selected markers for the paper.

#  SOX2 and NQO1 (NSCs), GFAP (astrocytic), PTPRZ1 (OPCs), DCN (pericytes), 
#  SYP (neuronal), SLC32A1 (GABAergic) or SLC17A6 (Glutamatergic)
g <- c("SOX2","NQO1",  "GFAP", "PTPRZ1", "DCN", "SYP", "SLC32A1", "SLC17A6")
genes <- lapply(g, sapply, function(i)
    grep(pattern = paste0("\\.", i, "$"), rownames(sce), value = TRUE)
  )
names(genes) <- g

ps <- lapply(names(genes)[1:2], function(i) {
        FeaturePlot(sub, features = genes[[i]], reduction = "umap", pt.size = 0.4,
                    max.cutoff = 3) +
            ggtitle(i) + theme_void() + theme(aspect.ratio = 1,
                                              plot.title = element_text(hjust = 0.5))
    })
  lgd1 <- get_legend(ps[[1]])
  ps <- lapply(ps, function(x) x + theme(legend.position = "none"))
  ps1 <- plot_grid(plotlist = ps, nrow = 1)
  p1 <- plot_grid(ps1, lgd1, nrow = 1, label_size = 10, rel_widths = c(1, 0.1))
    
 ps <- lapply(names(genes)[3:5], function(i) {
        FeaturePlot(sub, features = genes[[i]], reduction = "umap", pt.size = 0.4,
                    min.cutoff = 0, max.cutoff = 3.5) +
            ggtitle(i) + theme_void() + theme(aspect.ratio = 1,
                                              plot.title = element_text(hjust = 0.5))
    })
  lgd2 <- get_legend(ps[[1]])
  ps <- lapply(ps, function(x) x + theme(legend.position = "none"))
  ps2 <- plot_grid(plotlist = ps, nrow = 1)
  p2 <- plot_grid(ps2, lgd2, nrow = 1, label_size = 10, rel_widths = c(1, 0.1))
  p <- plot_grid(p1, p2, nrow = 2)
  
 ps <- lapply(names(genes)[6:8], function(i) {
        FeaturePlot(sub, features = genes[[i]], reduction = "umap", pt.size = 0.4,
                    min.cutoff = 0, max.cutoff = 2.5) +
            ggtitle(i) + theme_void() + theme(aspect.ratio = 1,
                                              plot.title = element_text(hjust = 0.5))
    })
  lgd3 <- get_legend(ps[[1]])
  ps <- lapply(ps, function(x) x + theme(legend.position = "none"))
  ps3 <- plot_grid(plotlist = ps, nrow = 1)
  p3 <- plot_grid(ps3, lgd3, nrow = 1, label_size = 10, rel_widths = c(1, 0.1))
  p <- plot_grid(p1, p2, p3, nrow = 3)
  
  print(p)

Version Author Date
119d6d9 khembach 2021-04-07
e7f56c5 khembach 2021-04-07

sessionInfo()
R version 4.0.0 (2020-04-24)
Platform: x86_64-pc-linux-gnu (64-bit)
Running under: Ubuntu 18.04.5 LTS

Matrix products: default
BLAS:   /usr/local/R/R-4.0.0/lib/libRblas.so
LAPACK: /usr/local/R/R-4.0.0/lib/libRlapack.so

locale:
 [1] LC_CTYPE=en_US.UTF-8       LC_NUMERIC=C              
 [3] LC_TIME=en_US.UTF-8        LC_COLLATE=en_US.UTF-8    
 [5] LC_MONETARY=en_US.UTF-8    LC_MESSAGES=en_US.UTF-8   
 [7] LC_PAPER=en_US.UTF-8       LC_NAME=C                 
 [9] LC_ADDRESS=C               LC_TELEPHONE=C            
[11] LC_MEASUREMENT=en_US.UTF-8 LC_IDENTIFICATION=C       

attached base packages:
 [1] parallel  stats4    grid      stats     graphics  grDevices utils    
 [8] datasets  methods   base     

other attached packages:
 [1] BiocParallel_1.22.0         RCurl_1.98-1.3             
 [3] stringr_1.4.0               Seurat_3.1.5               
 [5] scran_1.16.0                SingleCellExperiment_1.10.1
 [7] SummarizedExperiment_1.18.1 DelayedArray_0.14.0        
 [9] matrixStats_0.56.0          Biobase_2.48.0             
[11] GenomicRanges_1.40.0        GenomeInfoDb_1.24.2        
[13] IRanges_2.22.2              S4Vectors_0.26.1           
[15] BiocGenerics_0.34.0         viridis_0.5.1              
[17] viridisLite_0.3.0           RColorBrewer_1.1-2         
[19] purrr_0.3.4                 muscat_1.2.1               
[21] dplyr_1.0.2                 ggplot2_3.3.2              
[23] cowplot_1.0.0               ComplexHeatmap_2.4.2       
[25] workflowr_1.6.2            

loaded via a namespace (and not attached):
  [1] backports_1.1.9           circlize_0.4.10          
  [3] blme_1.0-4                igraph_1.2.5             
  [5] plyr_1.8.6                lazyeval_0.2.2           
  [7] TMB_1.7.16                splines_4.0.0            
  [9] listenv_0.8.0             scater_1.16.2            
 [11] digest_0.6.25             foreach_1.5.0            
 [13] htmltools_0.5.0           gdata_2.18.0             
 [15] lmerTest_3.1-2            magrittr_1.5             
 [17] memoise_1.1.0             cluster_2.1.0            
 [19] doParallel_1.0.15         ROCR_1.0-11              
 [21] limma_3.44.3              globals_0.12.5           
 [23] annotate_1.66.0           prettyunits_1.1.1        
 [25] colorspace_1.4-1          rappdirs_0.3.1           
 [27] ggrepel_0.8.2             blob_1.2.1               
 [29] xfun_0.15                 jsonlite_1.7.0           
 [31] crayon_1.3.4              genefilter_1.70.0        
 [33] lme4_1.1-23               zoo_1.8-8                
 [35] ape_5.4                   survival_3.2-3           
 [37] iterators_1.0.12          glue_1.4.2               
 [39] gtable_0.3.0              zlibbioc_1.34.0          
 [41] XVector_0.28.0            leiden_0.3.3             
 [43] GetoptLong_1.0.1          BiocSingular_1.4.0       
 [45] future.apply_1.6.0        shape_1.4.4              
 [47] scales_1.1.1              DBI_1.1.0                
 [49] edgeR_3.30.3              Rcpp_1.0.5               
 [51] xtable_1.8-4              progress_1.2.2           
 [53] clue_0.3-57               reticulate_1.16          
 [55] dqrng_0.2.1               bit_1.1-15.2             
 [57] rsvd_1.0.3                tsne_0.1-3               
 [59] htmlwidgets_1.5.1         httr_1.4.1               
 [61] gplots_3.0.4              ellipsis_0.3.1           
 [63] ica_1.0-2                 farver_2.0.3             
 [65] pkgconfig_2.0.3           XML_3.99-0.4             
 [67] uwot_0.1.8                locfit_1.5-9.4           
 [69] labeling_0.3              tidyselect_1.1.0         
 [71] rlang_0.4.7               reshape2_1.4.4           
 [73] later_1.1.0.1             AnnotationDbi_1.50.1     
 [75] munsell_0.5.0             tools_4.0.0              
 [77] generics_0.0.2            RSQLite_2.2.0            
 [79] ggridges_0.5.2            evaluate_0.14            
 [81] yaml_2.2.1                knitr_1.29               
 [83] bit64_0.9-7               fs_1.4.2                 
 [85] fitdistrplus_1.1-1        caTools_1.18.0           
 [87] RANN_2.6.1                pbapply_1.4-2            
 [89] future_1.17.0             nlme_3.1-148             
 [91] whisker_0.4               pbkrtest_0.4-8.6         
 [93] compiler_4.0.0            plotly_4.9.2.1           
 [95] beeswarm_0.2.3            png_0.1-7                
 [97] variancePartition_1.18.2  tibble_3.0.3             
 [99] statmod_1.4.34            geneplotter_1.66.0       
[101] stringi_1.4.6             lattice_0.20-41          
[103] Matrix_1.2-18             nloptr_1.2.2.2           
[105] vctrs_0.3.4               pillar_1.4.6             
[107] lifecycle_0.2.0           lmtest_0.9-37            
[109] GlobalOptions_0.1.2       RcppAnnoy_0.0.16         
[111] BiocNeighbors_1.6.0       data.table_1.12.8        
[113] bitops_1.0-6              irlba_2.3.3              
[115] patchwork_1.0.1           httpuv_1.5.4             
[117] colorRamps_2.3            R6_2.4.1                 
[119] promises_1.1.1            KernSmooth_2.23-17       
[121] gridExtra_2.3             vipor_0.4.5              
[123] codetools_0.2-16          boot_1.3-25              
[125] MASS_7.3-51.6             gtools_3.8.2             
[127] DESeq2_1.28.1             rprojroot_1.3-2          
[129] rjson_0.2.20              withr_2.2.0              
[131] sctransform_0.2.1         GenomeInfoDbData_1.2.3   
[133] hms_0.5.3                 tidyr_1.1.0              
[135] glmmTMB_1.0.2.1           minqa_1.2.4              
[137] rmarkdown_2.3             DelayedMatrixStats_1.10.1
[139] Rtsne_0.15                git2r_0.27.1             
[141] numDeriv_2016.8-1.1       ggbeeswarm_0.6.0