Last updated: 2022-03-03

Checks: 7 0

Knit directory: chipseq-cross-species/

This reproducible R Markdown analysis was created with workflowr (version 1.7.0). The Checks tab describes the reproducibility checks that were applied when the results were created. The Past versions tab lists the development history.


Great! Since the R Markdown file has been committed to the Git repository, you know the exact version of the code that produced these results.

Great job! The global environment was empty. Objects defined in the global environment can affect the analysis in your R Markdown file in unknown ways. For reproduciblity it’s best to always run the code in an empty environment.

The command set.seed(20220209) was run prior to running the code in the R Markdown file. Setting a seed ensures that any results that rely on randomness, e.g. subsampling or permutations, are reproducible.

Great job! Recording the operating system, R version, and package versions is critical for reproducibility.

Nice! There were no cached chunks for this analysis, so you can be confident that you successfully produced the results during this run.

Great job! Using relative paths to the files within your workflowr project makes it easier to run your code on other machines.

Great! You are using Git for version control. Tracking code development and connecting the code version to the results is critical for reproducibility.

The results in this page were generated with repository version a927707. See the Past versions tab to see a history of the changes made to the R Markdown and HTML files.

Note that you need to be careful to ensure that all relevant files for the analysis have been committed to Git prior to generating the results (you can use wflow_publish or wflow_git_commit). workflowr only checks the R Markdown file, but you know if there are other scripts or data files that it depends on. Below is the status of the Git repository when the results were generated:


Ignored files:
    Ignored:    .RData
    Ignored:    .Rhistory
    Ignored:    analysis/.RData
    Ignored:    analysis/.Rhistory
    Ignored:    data/genomic_data/
    Ignored:    output/annotations/
    Ignored:    output/bam_files/
    Ignored:    output/filtered_peaks/
    Ignored:    output/logs/
    Ignored:    output/peaks/
    Ignored:    output/plots/
    Ignored:    output/qc/A-1_input.SeqDepthNorm.bw
    Ignored:    output/qc/A-1_input.SeqDepthNorm_dunnart_downSampled.bw
    Ignored:    output/qc/A-1_input.ccurve.txt
    Ignored:    output/qc/A-1_input.extrap.txt
    Ignored:    output/qc/A-1_input_R1_trimmed.fastq.gz
    Ignored:    output/qc/A-1_input_est_lib_complex_metrics.txt
    Ignored:    output/qc/A-2_H3K4me3.SeqDepthNorm.bw
    Ignored:    output/qc/A-2_H3K4me3.ccurve.txt
    Ignored:    output/qc/A-2_H3K4me3.extrap.txt
    Ignored:    output/qc/A-2_H3K4me3_R1_trimmed.fastq.gz
    Ignored:    output/qc/A-2_H3K4me3_est_lib_complex_metrics.txt
    Ignored:    output/qc/A-2_H3K4me3_vs_A-1_input.frip_default.txt
    Ignored:    output/qc/A-2_H3K4me3_vs_B-1_input.frip_default.txt
    Ignored:    output/qc/A-3_H3K27ac.SeqDepthNorm.bw
    Ignored:    output/qc/A-3_H3K27ac.SeqDepthNorm_dunnart_downSampled.bw
    Ignored:    output/qc/A-3_H3K27ac.ccurve.txt
    Ignored:    output/qc/A-3_H3K27ac.extrap.txt
    Ignored:    output/qc/A-3_H3K27ac_R1_trimmed.fastq.gz
    Ignored:    output/qc/A-3_H3K27ac_est_lib_complex_metrics.txt
    Ignored:    output/qc/A-3_H3K27ac_vs_A-1_input.frip_default.txt
    Ignored:    output/qc/A-3_H3K27ac_vs_B-1_input.frip_default.txt
    Ignored:    output/qc/B-1_input.SeqDepthNorm.bw
    Ignored:    output/qc/B-1_input.SeqDepthNorm_dunnart_downSampled.bw
    Ignored:    output/qc/B-1_input.ccurve.txt
    Ignored:    output/qc/B-1_input.extrap.txt
    Ignored:    output/qc/B-1_input_R1_trimmed.fastq.gz
    Ignored:    output/qc/B-1_input_est_lib_complex_metrics.txt
    Ignored:    output/qc/B-2_H3K4me3.SeqDepthNorm.bw
    Ignored:    output/qc/B-2_H3K4me3.SeqDepthNorm_dunnart_downSampled.bw
    Ignored:    output/qc/B-2_H3K4me3.ccurve.txt
    Ignored:    output/qc/B-2_H3K4me3.extrap.txt
    Ignored:    output/qc/B-2_H3K4me3_R1_trimmed.fastq.gz
    Ignored:    output/qc/B-2_H3K4me3_est_lib_complex_metrics.txt
    Ignored:    output/qc/B-2_H3K4me3_vs_A-1_input.frip_default.txt
    Ignored:    output/qc/B-2_H3K4me3_vs_B-1_input.frip_default.txt
    Ignored:    output/qc/B-3_H3K27ac.SeqDepthNorm.bw
    Ignored:    output/qc/B-3_H3K27ac.ccurve.txt
    Ignored:    output/qc/B-3_H3K27ac.extrap.txt
    Ignored:    output/qc/B-3_H3K27ac_R1_trimmed.fastq.gz
    Ignored:    output/qc/B-3_H3K27ac_est_lib_complex_metrics.txt
    Ignored:    output/qc/B-3_H3K27ac_vs_A-1_input.frip_default.txt
    Ignored:    output/qc/B-3_H3K27ac_vs_B-1_input.frip_default.txt
    Ignored:    output/qc/bamPEFragmentSize_rawcounts.tab
    Ignored:    output/qc/multiBAM_fingerprint_metrics.txt
    Ignored:    output/qc/multiBAM_fingerprint_rawcounts.txt
    Ignored:    output/qc/multibamsum.npz
    Ignored:    output/qc/multibamsum.tab
    Ignored:    output/qc/pearsoncor_multibamsum_matrix.txt
    Ignored:    results/

Untracked files:
    Untracked:  .snakemake/
    Untracked:  H3K27ac_only.narrowPeak
    Untracked:  H3K4me3_and_H3K27ac.narrowPeak
    Untracked:  H3K4me3_only.narrowPeak
    Untracked:  code/basic_wrapper.slurm
    Untracked:  code/configs/metadata.tsv
    Untracked:  code/slurmjob.stderr
    Untracked:  code/slurmjob.stdout
    Untracked:  code/trimfastq.py
    Untracked:  data/raw_reads/
    Untracked:  dunnart_enhancer_peaks.narrowPeak
    Untracked:  dunnart_promoter_peaks.narrowPeak
    Untracked:  output/rnaseq/
    Untracked:  slurm-33634648.out
    Untracked:  slurm-33634649.out
    Untracked:  slurm-33634650.out
    Untracked:  slurm-33634651.out
    Untracked:  slurm-33634652.out
    Untracked:  slurm-33634653.out
    Untracked:  slurm-33634669.out
    Untracked:  slurm-33634682.out
    Untracked:  slurm-33638735.out
    Untracked:  slurm-33638749.out
    Untracked:  slurm-33638750.out
    Untracked:  slurm-33638751.out
    Untracked:  slurm-33639342.out
    Untracked:  slurm-33639343.out
    Untracked:  slurm-33639344.out
    Untracked:  slurm-33639345.out
    Untracked:  slurm-33639346.out
    Untracked:  slurm-33639347.out
    Untracked:  slurm-33652974.out
    Untracked:  slurm-33652975.out
    Untracked:  slurm-33652976.out
    Untracked:  slurm-33652977.out
    Untracked:  slurm-33652978.out
    Untracked:  slurm-33652979.out
    Untracked:  slurm-33653279.out
    Untracked:  slurm-33653280.out
    Untracked:  slurm-33653281.out
    Untracked:  slurm-33653282.out
    Untracked:  slurm-33653283.out
    Untracked:  slurm-33653284.out
    Untracked:  slurm-33654225.out
    Untracked:  slurm-33654226.out
    Untracked:  slurm-33654227.out
    Untracked:  slurm-33654228.out
    Untracked:  slurm-33654229.out
    Untracked:  slurm-33654230.out
    Untracked:  slurm-33654264.out
    Untracked:  slurm-33654265.out
    Untracked:  slurm-33654266.out
    Untracked:  slurm-33654267.out
    Untracked:  slurm-33655778.out
    Untracked:  slurm-33655779.out
    Untracked:  slurm-33655780.out
    Untracked:  slurm-33655781.out
    Untracked:  slurm-33655782.out
    Untracked:  slurm-33655783.out
    Untracked:  slurm-33655867.out
    Untracked:  slurm-33655869.out
    Untracked:  slurm-33655871.out
    Untracked:  slurm-33655873.out
    Untracked:  slurm-33655936.out
    Untracked:  slurm-33655937.out
    Untracked:  slurm-33655964.out
    Untracked:  slurm-33655966.out
    Untracked:  slurm-33656003.out
    Untracked:  slurm-33656023.out
    Untracked:  slurm-33656024.out
    Untracked:  slurm-33656025.out
    Untracked:  slurm-33656027.out
    Untracked:  slurm-33656056.out
    Untracked:  slurm-33656089.out
    Untracked:  slurm-33656090.out
    Untracked:  slurm-33656102.out
    Untracked:  slurm-33656104.out
    Untracked:  slurm-33656170.out
    Untracked:  slurm-33656224.out
    Untracked:  slurm-33656227.out
    Untracked:  slurm-33656228.out
    Untracked:  slurm-33656312.out
    Untracked:  slurm-33656357.out
    Untracked:  slurm-33656358.out
    Untracked:  slurm-33656364.out
    Untracked:  slurm-33656365.out
    Untracked:  slurm-33656409.out
    Untracked:  slurm-33656545.out
    Untracked:  slurm-33657362.out
    Untracked:  slurm-33657363.out
    Untracked:  slurm-33657364.out
    Untracked:  slurm-33657365.out
    Untracked:  slurm-33657366.out
    Untracked:  slurm-33657367.out
    Untracked:  slurm-33657375.out
    Untracked:  slurm-33657376.out
    Untracked:  slurm-33657625.out
    Untracked:  slurm-33657626.out
    Untracked:  slurm-33657627.out
    Untracked:  slurm-33657628.out
    Untracked:  slurm-33657629.out
    Untracked:  slurm-33657630.out
    Untracked:  slurm-33657636.out
    Untracked:  slurm-33657638.out
    Untracked:  slurm-33657645.out
    Untracked:  slurm-33657646.out
    Untracked:  slurm-33657677.out
    Untracked:  slurm-33657688.out
    Untracked:  slurm-33658782.out
    Untracked:  slurm-33658783.out
    Untracked:  slurm-33658784.out
    Untracked:  slurm-33658785.out
    Untracked:  slurm-33658786.out
    Untracked:  slurm-33658787.out
    Untracked:  slurm-33658861.out
    Untracked:  slurm-33658862.out
    Untracked:  slurm-33658863.out
    Untracked:  slurm-33658864.out
    Untracked:  slurm-33658865.out
    Untracked:  slurm-33658866.out
    Untracked:  slurm-33658867.out
    Untracked:  slurm-33659733.out
    Untracked:  slurm-33659734.out
    Untracked:  slurm-33659735.out
    Untracked:  slurm-33659736.out
    Untracked:  slurm-33659737.out
    Untracked:  slurm-33659738.out
    Untracked:  slurm-33659745.out
    Untracked:  slurm-33660501.out
    Untracked:  slurm-33660617.out

Unstaged changes:
    Deleted:    code/dunnart_peak_calling/trimfastq.py
    Deleted:    output/qc/bamPEFragmentSize_hist.png
    Deleted:    output/qc/multiBAM_fingerprint.png
    Deleted:    output/qc/pearsoncor_multibamsum.png

Note that any generated files, e.g. HTML, png, CSS, etc., are not included in this status report because it is ok for generated content to have uncommitted changes.


These are the previous versions of the repository in which changes were made to the R Markdown (analysis/dunnart_data_processing.Rmd) and HTML (docs/dunnart_data_processing.html) files. If you’ve configured a remote Git repository (see ?wflow_git_remote), click on the hyperlinks in the table below to view the files as they were in that past version.

File Version Author Date Message
Rmd e68ae60 lecook 2022-03-03 add module load bedtools
html 837da64 lecook 2022-03-03 Build site.
Rmd 1b9dec3 lecook 2022-03-03 fix file names
html 11afbc7 lecook 2022-03-03 Build site.
Rmd e3431cb lecook 2022-03-03 updated
html 5ebf4b5 lecook 2022-03-03 Build site.
Rmd 32d3f2d lecook 2022-03-03 updated
html 98edd22 lecook 2022-03-03 Build site.
Rmd 537629e lecook 2022-03-03 erroneous brackets
Rmd c2dc26d lecook 2022-03-03 update directories
html 4176dac lecook 2022-03-03 Build site.
Rmd 323d8b6 lecook 2022-03-03 copied scripts over
Rmd ae523af lecook 2022-03-02 fix code formatting for bam coverage rule
Rmd 9d9a995 lecook 2022-03-01 udpated
html 275d229 lecook 2022-03-01 Build site.
Rmd e69f551 lecook 2022-03-01 updated
Rmd 5fb3661 lecook 2022-03-01 clean up
Rmd 9aa0925 lecook 2022-02-28 updated
html 277f9e4 lecook 2022-02-28 Build site.
html 072d4e4 lecook 2022-02-28 Build site.
html fc28053 lecook 2022-02-28 Build site.
html 0885274 lecook 2022-02-28 Build site.
html ba5cb47 lecook 2022-02-28 build html
Rmd 369a400 lecook 2022-02-28 updated
Rmd ce570a1 lecook 2022-02-28 removed non-dedup index bam from rule all
Rmd 5882c35 lecook 2022-02-25 test
Rmd 1fa92d9 lecook 2022-02-23 add analysis files

Snakemake pipeline

For full snakemake script see code/dunnart_peak_calling/dunnart_snakefile.

Create conda environment

# create conda environment with all packages and dependencies
conda create --name chip bowtie2 samtools picard deeptools multiqc phantompeakqualtools preseq macs2 bedtools fastqc snakemake numpy pybedtools

# save environment to a yaml file
conda env export > chip_environment.yml

# activate environment before running pipeline
conda activate chip

Run snakemake from command line

Cluster configuration file: code/configs/cluster.json

Sample configuration file: code/configs/config.yaml

Sample text file: code/configs/SSR.text

module load snakemake/6.6.1
snakemake --snakemakefile code/dunnart_peak_calling/dunnart_snakefile -j 6 --cluster-config envs/cluster.json --cluster "sbatch -A {cluster.account} -t {cluster.time} -p {cluster.partition} --nodes {cluster.nodes} --ntasks {cluster.ntasks} --mem {cluster.mem}" &

Effective genome length

We can approximate effective genome size for various read lengths using the khmer program and unique-kmers.py. This will estimate the number of unique kmers (for a specified length kmer) which can be used to infer the total uniquely mappable genome. (I.e it doesn’t include highly repetitive regions). https://khmer.readthedocs.io/en/v2.1.1/user/scripts.html

This was a suggestion of deepTools: https://deeptools.readthedocs.io/en/latest/content/feature/effectiveGenomeSize.html

module load pip/21.2.4-python-3.8.6
pip2.7 install khmer

Run unique-kmers.py on dunnart genome for read length of 150bp:

/usr/local/bin/unique-kmers.py -k 150 Scras_dunnart_assem1.0_pb-ont-illsr_flyeassem_red-rd-scfitr2_pil2xwgs2_60chr.fa
Estimated number of unique 150-mers in /Users/lauracook/../../Volumes/macOS/genomes/Scras_dunnart_assem1.0_pb-ont-illsr_flyeassem_red-rd-scfitr2_pil2xwgs2_60chr.fasta: 2740338543
Total estimated number of unique 150-mers: 2740338543

Indexing genome file

Load modules:

module load gcc/8.3.0
module load bowtie2/2.3.5.1

Build index:

bowtie2-build Scras_dunnart_assem1.0_pb-ont-illsr_flyeassem_red-rd-scfitr2_pil2xwgs2_60chr.fa Scras_dunnart_assem1.0_pb-ont-illsr_flyeassem_red-rd-scfitr2_pil2xwgs2_60chr

Align and filter dunnart reads

Uses samtools and picards MarkDuplicates to remove low quality reads. This is based on and in accordance with the ENCODE Guidelines and pipeline (https://github.com/ENCODE-DCC/chip-seq-pipeline2)

Library Complexity ChIP-seq Standards:

PBC1 PBC2 Bottlenecking level NRF Complexity Flag colors
< 0.5 < 1 Severe < 0.5 Concerning Orange
0.5 ≤ PBC1 < 0.8 1 ≤ PBC2 < 3 Moderate 0.5 ≤ NRF < 0.8 Acceptable Yellow
0.8 ≤ PBC1 < 0.9 3 ≤ PBC2 < 10 Mild 0.8 ≤ NRF < 0.9 Compliant None
≥ 0.9 ≥ 10 None > 0.9 Ideal None

See full snakemake script for details: code/dunnart_peak_calling/dunnart_snakefile.

Table. Read alignment quality metrics before and aftering filtering steps | ** **
** ** | ** ** | ** read counts ** | ** ** | ** ** | ** ** | ** ** | ** ** | | :————————–: | :—————–: | :————————–: | :———————-: | :————————: | :————–: | :—————: | :—————-: | | Sample | Antibody | bowtie2 alignment | filtered reads* | remove duplicates | NRF* | PBC1* | PBC2* | | A-1 | input | 130587134 | 87165286 | 47645260 | 07773602 | 07774519 | 4445728 | | A-2 | H3K4me3 | 103324742 | 62678360 | 35617708 | 07789709 | 07789661 | 47754989 | | A-3 | H3K27ac | 131071676 | 86503078 | 45700530 | 07761768 | 07761687 | 41196586 | | B-1 | input | 111574640 | 72303316 | 44433864 | 08820313 | 08819974 | 55545324 | | B-2 | H3K4me3 | 114146802 | 67048994 | 42357180 | 08831032 | 08830749 | 58898224 | | B-3 | H3K27ac | 104714846 | 66615704 | 43939460 | 08847255 | 08847022 | 65529168 |

* calculated from a subsample of ~10-15M aligned reads prior to removing duplicates

^ excluded low quality (MAPQ 30) and orphaned reads

Read QC with deepTools

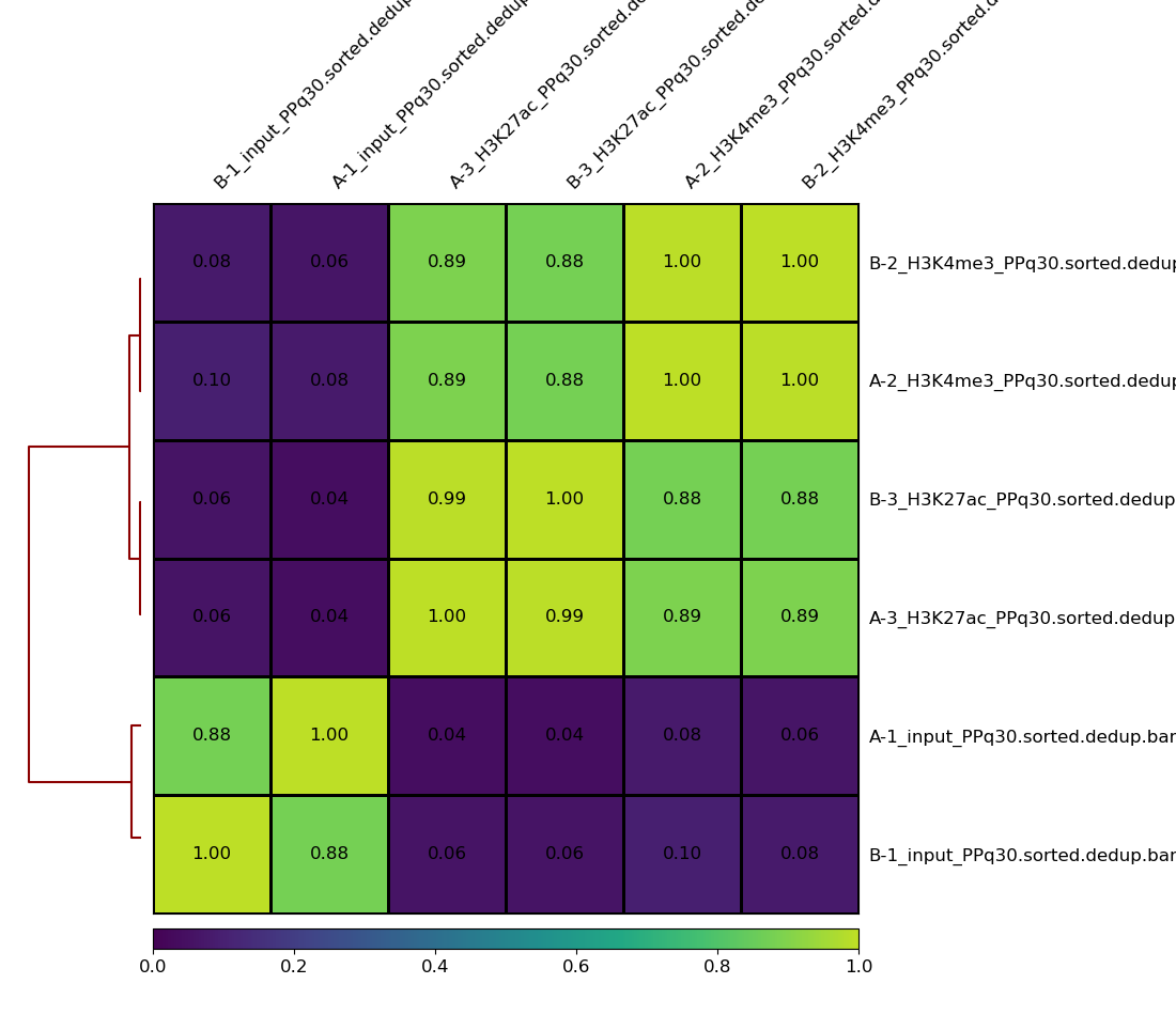
Plot correlation between BAM files

plotCorrelation computes the overall similarity between two or more files based on read coverage (or other scores) within genomic regions.

This helps to determine whether the different sample types can be separated, i.e., samples of different conditions are expected to be more dissimilar to each other than replicates within the same condition.

Pearson correlation dunnart BAM files

Pearson correlation dunnart BAM files

Fingerprint plots

This tool samples indexed BAM files and plots a profile of cumulative read coverages for each. All reads overlapping a window (bin) of the specified length are counted; these counts are sorted and the cumulative sum is finally plotted.

It determines how well the signal in the ChIP-seq sample can be differentiated from the background distribution of reads in the control sample.

An ideal input with perfect uniform distribution of reads along the genome (i.e. without enrichments in open chromatin etc.) and infinite sequencing coverage should generate a straight diagonal line. A very specific and strong ChIP enrichment will be indicated by a prominent and steep rise of the cumulative sum towards the highest rank. This means that a big chunk of reads from the ChIP sample is located in few bins which corresponds to high, narrow enrichments typically seen for transcription factors.

Fingerprint plot for dunnart BAM files

Fingerprint plot for dunnart BAM files

BAM PE fragment size

This tool calculates the fragment sizes for read pairs given a BAM file from paired-end sequencing. Several regions are sampled depending on the size of the genome and number of processors to estimate thesummary statistics on the fragment lengths.

Fragment size for read pairs in a BAM file

Fragment size for read pairs in a BAM file

Cross-correlation analysis

Information from: https://docs.google.com/document/d/1lG_Rd7fnYgRpSIqrIfuVlAz2dW1VaSQThzk836Db99c/edit

This set of programs operate on mapped Illumina single-end read datasets in tagAlign or BAM format. Because my data is paired-end I need to only use the forward read.

A high-quality ChIP-seq experiment will produce significant clustering of enriched DNA sequence tags/reads at locations bound by the protein of interest; the expectation is that we can observe a bimodal enrichment of reads (sequence tags) on both the forward and the reverse strands.

Cross-correlation analysis is done on a filtered (but not-deduped) and subsampled BAM. There is a special fastq trimming for cross-correlation analysis. Read1 fastq is trimmed to 50bp first using trimfastq.py (last modified 2017/11/08, https://github.com/ENCODE-DCC/chip-seq-pipeline2/blob/master/src/trimfastq.py). And then it is separately mapped as SE. Reads are filtered but duplicates are not removed. Then 15 million reads are randomly sampled and used for cross-correlation analysis.

ENCODE standards:

col. abbreviation description
1 Filename tagAlign/BAM filename
2 numReads effective sequencing depth i.e. total number of mapped reads in input file
3 estFragLen comma separated strand cross-correlation peak(s) in decreasing order of correlation.
4 corr_estFragLen comma separated strand cross-correlation value(s) in decreasing order (COL2 follows the same order)
5 phantomPeak Read length/phantom peak strand shift
6 corr_phantomPeak Correlation value at phantom peak
7 argmin_corr strand shift at which cross-correlation is lowest
8 min_corr minimum value of cross-correlation
9 NSC Normalized strand cross-correlation coefficient (NSC) = COL4 / COL8
10 RSC Relative strand cross-correlation coefficient (RSC) = (COL4 - COL8) / (COL6 - COL8)
11 QualityTag Quality tag based on thresholded RSC (codes= -2:veryLow, -1:Low, 0:Medium, 1:High, 2:veryHigh)

NSC; NSC>1.1 (higher values indicate more enrichment; 1 = no enrichment)

RSC; RSC>0.8 (0 = no signal; <1 low quality ChIP; >1 high enrichment

Quality tag based on thresholded RSC (codes: -2:veryLow,-1:Low,0:Medium,1:High; 2:veryHigh)

library(data.table)
library(knitr)
A1 = fread("output/qc/A-1_input_filt_15Mreads.SE.cc.qc")
colnames(A1) = c("Filename", "numReads", "estFragLen", "corr_estFragLen", "PhantomPeak", "corr_phantomPeak", "argmin_corr", "min_corr", "phantomPeakCoef", "relPhantomPeakCoef", "QualityTag")
A2 = fread("output/qc/A-2_H3K4me3_filt_15Mreads.SE.cc.qc")
colnames(A2) = c("Filename", "numReads", "estFragLen", "corr_estFragLen", "PhantomPeak", "corr_phantomPeak", "argmin_corr", "min_corr", "phantomPeakCoef", "relPhantomPeakCoef", "QualityTag")
A3 = fread("output/qc/A-3_H3K27ac_filt_15Mreads.SE.cc.qc")
colnames(A3) = c("Filename", "numReads", "estFragLen", "corr_estFragLen", "PhantomPeak", "corr_phantomPeak", "argmin_corr", "min_corr", "phantomPeakCoef", "relPhantomPeakCoef", "QualityTag")
B1 = fread("output/qc/B-1_input_filt_15Mreads.SE.cc.qc")
colnames(B1) = c("Filename", "numReads", "estFragLen", "corr_estFragLen", "PhantomPeak", "corr_phantomPeak", "argmin_corr", "min_corr", "phantomPeakCoef", "relPhantomPeakCoef", "QualityTag")
B2 = fread("output/qc/B-2_H3K4me3_filt_15Mreads.SE.cc.qc")
colnames(B2) = c("Filename", "numReads", "estFragLen", "corr_estFragLen", "PhantomPeak", "corr_phantomPeak", "argmin_corr", "min_corr", "phantomPeakCoef", "relPhantomPeakCoef", "QualityTag")
B3 = fread("output/qc/B-3_H3K27ac_filt_15Mreads.SE.cc.qc")
colnames(B3) = c("Filename", "numReads", "estFragLen", "corr_estFragLen", "PhantomPeak", "corr_phantomPeak", "argmin_corr", "min_corr", "phantomPeakCoef", "relPhantomPeakCoef", "QualityTag")
A1 H3K27ac cross-correlation analysis
Filename numReads estFragLen corr_estFragLen PhantomPeak corr_phantomPeak argmin_corr min_corr phantomPeakCoef relPhantomPeakCoef QualityTag
A-1_input.filt.sample.15Mreads.SE.tagAlign.gz 1.5e+07 95,135,150 0.123657819405274,0.123466870849122,0.123426393106245 50 0.125339 1500 0.1220062 1.013537 0.495558 -1
A2 H3K4me3 cross-correlation analysis
Filename numReads estFragLen corr_estFragLen PhantomPeak corr_phantomPeak argmin_corr min_corr phantomPeakCoef relPhantomPeakCoef QualityTag
A-2_H3K4me3.filt.sample.15Mreads.SE.tagAlign.gz 1.5e+07 205,225,240 0.264180702500576,0.264046178090335,0.263856306475591 50 0.2533387 1500 0.1496324 1.765532 1.104545 1
A3 input control cross-correlation analysis
Filename numReads estFragLen corr_estFragLen PhantomPeak corr_phantomPeak argmin_corr min_corr phantomPeakCoef relPhantomPeakCoef QualityTag
A-3_H3K27ac.filt.sample.15Mreads.SE.tagAlign.gz 1.5e+07 210,220,235 0.22968659727008,0.229482796607544,0.229305284391192 55 0.2184643 1500 0.1570855 1.462175 1.182836 1
B1 H3K27ac control cross-correlation analysis
Filename numReads estFragLen corr_estFragLen PhantomPeak corr_phantomPeak argmin_corr min_corr phantomPeakCoef relPhantomPeakCoef QualityTag
B-1_input.filt.sample.15Mreads.SE.tagAlign.gz 1.5e+07 115,130,150 0.128496809011662,0.128442767656697,0.12834049936991 50 0.1304347 1500 0.126898 1.012599 0.4520538 -1
B2 H3K4me3 control cross-correlation analysis
Filename numReads estFragLen corr_estFragLen PhantomPeak corr_phantomPeak argmin_corr min_corr phantomPeakCoef relPhantomPeakCoef QualityTag
B-2_H3K4me3.filt.sample.15Mreads.SE.tagAlign.gz 1.5e+07 210,225,245 0.316307968017767,0.316149524309277,0.315180730244617 50 0.3014805 1500 0.1675044 1.888356 1.110672 1
B3 input control cross-correlation analysis
Filename numReads estFragLen corr_estFragLen PhantomPeak corr_phantomPeak argmin_corr min_corr phantomPeakCoef relPhantomPeakCoef QualityTag
B-3_H3K27ac.filt.sample.15Mreads.SE.tagAlign.gz 1.5e+07 220,230,255 0.229222829886832,0.228995326028105,0.228262435658256 55 0.2203839 1500 0.1693505 1.353541 1.173198 1

Peak QC

Number of peaks

less output/peaks/A-3_H3K27ac_vs_A-1_input_macs2_default_peaks.narrowPeak | wc -l
171653
less output/peaks/A-2_H3K4me3_vs_A-1_input_macs2_default_peaks.narrowPeak | wc -l
118626
less output/peaks/B-3_H3K27ac_vs_B-1_input_macs2_default_peaks.narrowPeak | wc -l
173791
less output/peaks/B-2_H3K4me3_vs_B-1_input_macs2_default_peaks.narrowPeak | wc -l
130443

Fraction of reads in peaks

A-2_H3K4me3 fraction of reads in peaks

less output/qc/A-2_H3K4me3_vs_A-1_input.frip_default.txt
Number of reads that intersect with peaks =  10471951
Number of total reads =  17808854
Fraction of Reads in Peak =  0.5880193638512619

A3 H3K27ac fraction of reads in peaks

less output/qc/A-3_H3K27ac_vs_A-1_input.frip_default.txt
Number of reads that intersect with peaks =  14183696
Number of total reads =  22850265
Fraction of Reads in Peak =  0.6207234795745257

B2 H3K4me3 fraction of reads in peaks

less output/qc/B-2_H3K4me3_vs_B-1_input.frip_default.txt
Number of reads that intersect with peaks =  13916104
Number of total reads =  21178590
Fraction of Reads in Peak =  0.6570835924393456

B3 H3K27ac fraction of reads in peaks

less output/qc/B-3_H3K27ac_vs_B-1_input.frip_default.txt
Number of reads that intersect with peaks =  13467294
Number of total reads =  21969730
Fraction of Reads in Peak =  0.6129931501206433

Consensus peaksets for biological replicates

Number of consensus peaks

less output/peaks/H3K4me3_overlap_default.narrowPeak | wc -l
80989
less output/peaks/H3K27ac_overlap_default.narrowPeak | wc -l
118528

Group peaks into promoter- and enhancer- associated peaks

Find uniquely H3K4me3 sites (i.e. peaks that don’t overlap with H3K27ac):

module load bedtools
bedtools intersect -v -a output/peaks/H3K4me3_overlap.narrowPeak -b output/peaks/H3K27ac_overlap.narrowPeak > output/peaks/H3K4me3_only.narrowPeak
less output/peaks/H3K4me3_only.narrowPeak | wc -l
Error: Unable to open file output/peaks/H3K4me3_overlap.narrowPeak. Exiting.
0

Find unique H3K27ac sites (i.e. peaks that don’t overlap with H3K4me3):

module load bedtools
bedtools intersect -v -a output/peaks/H3K27ac_overlap.narrowPeak -b output/peaks/H3K4me3_overlap.narrowPeak > output/peaks/H3K27ac_only.narrowPeak
less output/peaks/H3K27ac_only.narrowPeak | wc -l
Error: Unable to open file output/peaks/H3K27ac_overlap.narrowPeak. Exiting.
0

Find peaks common between H3K27ac & H3K4me3 with a reciprocal overlap of at least 50%.

module load bedtools
bedtools intersect -f 0.5 -r -a output/peaks/H3K4me3_overlap.narrowPeak -b output/peaks/H3K27ac_overlap.narrowPeak > output/peaks/H3K4me3_and_H3K27ac.narrowPeak
less output/peaks/H3K4me3_and_H3K27ac.narrowPeak | wc -l
Error: Unable to open file output/peaks/H3K4me3_overlap.narrowPeak. Exiting.
0

Combine files

cat output/peaks/H3K4me3_only_default.narrowPeak output/peaks/H3K4me3_and_H3K27ac.narrowPeak | sort -k 4,4 > output/peaks/dunnart_promoter_peaks.narrowPeak
cat output/peaks/H3K27ac_only_default.narrowPeak | sort -k 4,4 > output/peaks/dunnart_enhancer_peaks.narrowPeak
less output/peaks/dunnart_promoter_peaks.narrowPeak | wc -l
less output/peaks/dunnart_enhancer_peaks.narrowPeak | wc -l
cat: output/peaks/H3K4me3_only_default.narrowPeak: No such file or directory
cat: output/peaks/H3K27ac_only_default.narrowPeak: No such file or directory
0
0

sessionInfo()
R version 4.1.0 (2021-05-18)
Platform: x86_64-pc-linux-gnu (64-bit)
Running under: Red Hat Enterprise Linux

Matrix products: default
BLAS/LAPACK: /usr/local/easybuild-2019/easybuild/software/compiler/gcc/10.2.0/openblas/0.3.12/lib/libopenblas_haswellp-r0.3.12.so

locale:
 [1] LC_CTYPE=en_GB.UTF-8       LC_NUMERIC=C              
 [3] LC_TIME=en_GB.UTF-8        LC_COLLATE=en_GB.UTF-8    
 [5] LC_MONETARY=en_GB.UTF-8    LC_MESSAGES=en_GB.UTF-8   
 [7] LC_PAPER=en_GB.UTF-8       LC_NAME=C                 
 [9] LC_ADDRESS=C               LC_TELEPHONE=C            
[11] LC_MEASUREMENT=en_GB.UTF-8 LC_IDENTIFICATION=C       

attached base packages:
[1] stats     graphics  grDevices utils     datasets  methods   base     

other attached packages:
[1] knitr_1.33        data.table_1.14.0 workflowr_1.7.0  

loaded via a namespace (and not attached):
 [1] Rcpp_1.0.6        highr_0.9         jquerylib_0.1.4   pillar_1.6.1     
 [5] compiler_4.1.0    bslib_0.2.5.1     later_1.2.0       git2r_0.28.0     
 [9] tools_4.1.0       getPass_0.2-2     digest_0.6.27     jsonlite_1.7.2   
[13] evaluate_0.14     lifecycle_1.0.1   tibble_3.1.2      pkgconfig_2.0.3  
[17] rlang_1.0.1       cli_2.5.0         rstudioapi_0.13   yaml_2.2.1       
[21] xfun_0.23         httr_1.4.2        stringr_1.4.0     sass_0.4.0       
[25] fs_1.5.0          vctrs_0.3.8       rprojroot_2.0.2   glue_1.4.2       
[29] R6_2.5.0          processx_3.5.2    fansi_0.5.0       rmarkdown_2.8    
[33] callr_3.7.0       magrittr_2.0.1    whisker_0.4       ps_1.6.0         
[37] promises_1.2.0.1  ellipsis_0.3.2    htmltools_0.5.1.1 httpuv_1.6.1     
[41] utf8_1.2.1        stringi_1.6.2     crayon_1.4.1