Last updated: 2023-02-17

Checks: 7 0

Knit directory: TranscriptDE-wf/analysis/

This reproducible R Markdown analysis was created with workflowr (version 1.7.0). The Checks tab describes the reproducibility checks that were applied when the results were created. The Past versions tab lists the development history.


Great! Since the R Markdown file has been committed to the Git repository, you know the exact version of the code that produced these results.

Great job! The global environment was empty. Objects defined in the global environment can affect the analysis in your R Markdown file in unknown ways. For reproduciblity it’s best to always run the code in an empty environment.

The command set.seed(20221115) was run prior to running the code in the R Markdown file. Setting a seed ensures that any results that rely on randomness, e.g. subsampling or permutations, are reproducible.

Great job! Recording the operating system, R version, and package versions is critical for reproducibility.

Nice! There were no cached chunks for this analysis, so you can be confident that you successfully produced the results during this run.

Great job! Using relative paths to the files within your workflowr project makes it easier to run your code on other machines.

Great! You are using Git for version control. Tracking code development and connecting the code version to the results is critical for reproducibility.

The results in this page were generated with repository version 21fff01. See the Past versions tab to see a history of the changes made to the R Markdown and HTML files.

Note that you need to be careful to ensure that all relevant files for the analysis have been committed to Git prior to generating the results (you can use wflow_publish or wflow_git_commit). workflowr only checks the R Markdown file, but you know if there are other scripts or data files that it depends on. Below is the status of the Git repository when the results were generated:


Ignored files:
    Ignored:    .DS_Store
    Ignored:    .Rhistory
    Ignored:    .Rproj.user/
    Ignored:    ._.DS_Store
    Ignored:    .gitignore
    Ignored:    analysis/simulation-complete_cache/
    Ignored:    analysis/simulation-paper_cache/
    Ignored:    code/mouse/single-end/salmon/slurm-9574761.out
    Ignored:    code/pkg/.Rhistory
    Ignored:    code/pkg/.Rproj.user/
    Ignored:    code/pkg/pkg.Rproj
    Ignored:    code/pkg/src/RcppExports.o
    Ignored:    code/pkg/src/pkg.so
    Ignored:    code/pkg/src/rcpparma_hello_world.o
    Ignored:    data/annotation/mm39/
    Ignored:    data/mouse/paired-end/fastq/
    Ignored:    data/mouse/single-end/fastq/
    Ignored:    misc/.DS_Store
    Ignored:    misc/._.DS_Store
    Ignored:    misc/mouse.Rmd/._figure6.png
    Ignored:    misc/simulation-paper.Rmd/._figure2.png
    Ignored:    misc/simulation-paper.Rmd/._figure5.png
    Ignored:    output/mouse/paired-end/
    Ignored:    output/mouse/single-end/
    Ignored:    output/quasi_poisson/
    Ignored:    output/simulation/

Note that any generated files, e.g. HTML, png, CSS, etc., are not included in this status report because it is ok for generated content to have uncommitted changes.


These are the previous versions of the repository in which changes were made to the R Markdown (analysis/mouse.Rmd) and HTML (docs/mouse.html) files. If you’ve configured a remote Git repository (see ?wflow_git_remote), click on the hyperlinks in the table below to view the files as they were in that past version.

File Version Author Date Message
Rmd 21fff01 Pedro Baldoni 2023-02-17 Organizing mouse report
html b8e3979 Pedro Baldoni 2023-02-17 Build site.
Rmd 57b0d00 Pedro Baldoni 2023-02-17 Renaming repo and organizing main page
html 57b0d00 Pedro Baldoni 2023-02-17 Renaming repo and organizing main page
Rmd e75e3d9 Pedro Baldoni 2023-01-23 Adjusting figures
html e75e3d9 Pedro Baldoni 2023-01-23 Adjusting figures
Rmd edbcc15 Pedro Baldoni 2023-01-23 Repeat header
Rmd 753efad Pedro Baldoni 2023-01-23 Adjusting latex tables
Rmd 623d429 Pedro Baldoni 2023-01-23 Splitting figures
html 623d429 Pedro Baldoni 2023-01-23 Splitting figures
Rmd e64cf4d Pedro Baldoni 2023-01-19 Changing values of reference to report in main paper
html e64cf4d Pedro Baldoni 2023-01-19 Changing values of reference to report in main paper
Rmd 9a3e926 Pedro Baldoni 2023-01-06 Organizing output from mouse analysis
html 9a3e926 Pedro Baldoni 2023-01-06 Organizing output from mouse analysis
Rmd c228d3f Pedro Baldoni 2023-01-05 Updating mouse report
html c228d3f Pedro Baldoni 2023-01-05 Updating mouse report
html 481735c Pedro Baldoni 2022-11-24 Build update from workflowr
Rmd 3e9c510 Pedro Baldoni 2022-11-22 Adding mouse report
html 5ee1116 Pedro Baldoni 2022-11-22 Updating docs

Introduction

In this page, we present the analysis of the epithelial cell population of the mouse mammary gland. The report is divided in two main parts: the analysis of the paired-end data from the basal, luminal progenitor (LP), and mature luminal (ML) cells, and the analysis of the single-end data from the basal and LP cells (GSE60450).

The analysis presented in this report begins with the experimental data already quantified by Salmon. Please refer to the script files located in the GitHub repository of this page under the directory path ./code/mouse which show the commands used to quantify the RNA-seq reads from these experiments. The targets files from these experiments are located in ./data/mouse.

Setup

We begin this report by setting up some options for rendering this webpage and loading the necessary libraries.

knitr::opts_chunk$set(
  dev = "png",
  dpi = 300,
  dev.args = list(type = "cairo-png"),
  root.dir = '.'
)
library(edgeR)
library(data.table)
library(ggplot2)
library(readr)
library(Rsubread)
library(rtracklayer)
library(magrittr)
library(ggpubr)
library(plyr)
library(gplots)
library(grid)
library(ComplexHeatmap)
library(patchwork)
library(tibble)
library(tidyHeatmap)
library(AnnotationHub)
library(sleuth)
library(fishpond)
library(tximeta)
library(tidyverse)
library(SummarizedExperiment)
library(stringr)
library(ragg)
library(kableExtra)

Below we load the Ensembl 104 annotation from AnnotationHub which is associated to the Ensembl M27 annotation of the mouse mm39 genome.

# 'AH95775' annotation corresponds to Ensembl 104 (release M27)
ah <- AnnotationHub()
snapshotDate(): 2022-10-31
edb <- ah[['AH95775']]
loading from cache
require("ensembldb")
ensid <- keys(edb)
cols <- c("TXIDVERSION","TXEXTERNALNAME","TXBIOTYPE","GENEIDVERSION",
          "GENENAME","GENEBIOTYPE","ENTREZID")

dt.anno <- select(edb,ensid,cols)
dt.anno <- as.data.table(dt.anno)

dt.anno.gene <- 
  dt.anno[,.(NTranscriptPerGene = .N),
          by = c('GENEIDVERSION','GENEBIOTYPE','ENTREZID','GENENAME')]
dt.anno.gene[,GeneOfInterest := GENEBIOTYPE %in% c('protein_coding','lncRNA')]

dt.anno <- 
  merge(dt.anno,dt.anno.gene[,-c(2,3,4)],by = 'GENEIDVERSION',all.x = TRUE)

Paths used in this report are specified below.

path.anno <- '../data/annotation/mm39'

path.misc <- file.path('../misc',knitr::current_input())
dir.create(path.misc,recursive = TRUE,showWarnings = FALSE)

path.data.pe <- '../data/mouse/paired-end'
path.quant.pe <- '../output/mouse/paired-end'

path.data.se <- '../data/mouse/single-end'
path.quant.se <- '../output/mouse/single-end'

Analysis of paired-end data

The analysis of paired-end data is divided in two parts. First, we present the analysis at the transcript-level. Second, we present a gene-level analysis. All results discussed in the main paper regarding these experiments are presented in this report.

Transcript-level analysis

Data wrangling

The transcript-level analysis starts with some data wrangling.

dt.targets.pe <- fread(file.path(path.data.pe,'misc/targets.txt'))
dt.targets.pe[,Sample := paste(Group,Replicate,sep = '.')]
dt.targets.pe[,Color := mapvalues(Group,
                                  from = c('Basal','LP','ML'),
                                  to = c('blue','darkgreen','red'))]
setnames(dt.targets.pe,old = 'Group',new = 'group')
dt.targets.pe[,path := 
                file.path(path.quant.pe,'salmon',gsub('_R1.fastq.gz','',File1))]

We then load Salmon’s output with the function catchSalmon from edgeR while bringing in some information about the Ensembl M27 annotation.

catch.pe <- catchSalmon(dt.targets.pe$path,verbose = FALSE)

key.catch.pe.anno <- match(rownames(catch.pe$annotation),dt.anno$TXIDVERSION)

catch.pe$annotation$TranscriptName <- dt.anno$TXEXTERNALNAME[key.catch.pe.anno]
catch.pe$annotation$GeneID <- dt.anno$GENEIDVERSION[key.catch.pe.anno]
catch.pe$annotation$GeneName <- dt.anno$GENENAME[key.catch.pe.anno]
catch.pe$annotation$GeneEntrezID <- dt.anno$ENTREZID[key.catch.pe.anno]
catch.pe$annotation$GeneOfInterest <- dt.anno$GeneOfInterest[key.catch.pe.anno]
catch.pe$annotation$NTranscriptPerGene <- dt.anno$NTranscriptPerGene[key.catch.pe.anno]
catch.pe$annotation$Type <- dt.anno$TXBIOTYPE[key.catch.pe.anno]

Differential transcript expression

edgeR with count scaling

First, we assess DTE with the edgeR via count scaling pipeline.

dte.pe.scaled <- 
  DGEList(counts = catch.pe$counts/catch.pe$annotation$Overdispersion,
          genes = catch.pe$annotation,
          samples = dt.targets.pe)
colnames(dte.pe.scaled) <- dte.pe.scaled$samples$Sample

Some basic filtering is done below. We restrict our analyses to protein-coding genes and lncRNA.

keep.pe.scaled <- 
  filterByExpr(dte.pe.scaled) & dte.pe.scaled$genes$GeneOfInterest
dte.pe.scaled.filtr <- dte.pe.scaled[keep.pe.scaled,, keep.lib.sizes = FALSE]

Next, we specify the design matrix of our experiment, calculate normalizing factors and estimate the trended negative binomial dispersions.

design.pe <- model.matrix(~0+group,data = dte.pe.scaled.filtr$samples)
dte.pe.scaled.filtr <- calcNormFactors(dte.pe.scaled.filtr)
dte.pe.scaled.filtr <- estimateDisp(dte.pe.scaled.filtr,design.pe,robust = TRUE)

We proceed with the QL pipeline from edgeR by first calling glmQLFit and then running QL tests with glmQLFTest.

fit.pe.scaled <- glmQLFit(dte.pe.scaled.filtr,design.pe,robust = TRUE)

con.LPvsB <- makeContrasts(LPvsB = groupLP - groupBasal,levels = design.pe)
con.MLvsLP <- makeContrasts(MLvsLP = groupML - groupLP,levels = design.pe)

qlf.pe.LPvsB.scaled <- glmQLFTest(fit.pe.scaled,contrast = con.LPvsB)
qlf.pe.MLvsLP.scaled <- glmQLFTest(fit.pe.scaled,contrast = con.MLvsLP)

out.pe.LPvsB.scaled <- topTags(qlf.pe.LPvsB.scaled,n = Inf)
out.pe.MLvsLP.scaled <- topTags(qlf.pe.MLvsLP.scaled,n = Inf)

summary(decideTests(qlf.pe.LPvsB.scaled))
       -1*groupBasal 1*groupLP
Down                      9002
NotSig                   26192
Up                        8382
summary(decideTests(qlf.pe.MLvsLP.scaled))
       -1*groupLP 1*groupML
Down                   2422
NotSig                38639
Up                     2515

edgeR with raw counts

Next, we run the edgeR pipeline with raw counts without deflating counts by their associated mapping ambiguity overdispersion. The pipeline is similar to the one used with scaled counts, and the only difference is regarding count deflation which is now absent.

dte.pe.raw <- DGEList(counts = catch.pe$counts,
                      genes = catch.pe$annotation,
                      samples = dt.targets.pe)
colnames(dte.pe.raw) <- dte.pe.raw$samples$Sample
keep.pe.raw <- 
  filterByExpr(dte.pe.raw) & dte.pe.raw$genes$GeneOfInterest
dte.pe.raw.filtr <- dte.pe.raw[keep.pe.raw,, keep.lib.sizes = FALSE]
dte.pe.raw.filtr <- calcNormFactors(dte.pe.raw.filtr)
dte.pe.raw.filtr <- estimateDisp(dte.pe.raw.filtr,design.pe,robust = TRUE)
fit.pe.raw <- glmQLFit(dte.pe.raw.filtr,design.pe,robust = TRUE)

qlf.pe.LPvsB.raw <- glmQLFTest(fit.pe.raw,contrast = con.LPvsB)
qlf.pe.MLvsLP.raw <- glmQLFTest(fit.pe.raw,contrast = con.MLvsLP)

out.pe.LPvsB.raw <- topTags(qlf.pe.LPvsB.raw,n = Inf)
out.pe.MLvsLP.raw <- topTags(qlf.pe.MLvsLP.raw,n = Inf)

summary(decideTests(qlf.pe.LPvsB.raw))
       -1*groupBasal 1*groupLP
Down                      8216
NotSig                   40699
Up                        7322
summary(decideTests(qlf.pe.MLvsLP.raw))
       -1*groupLP 1*groupML
Down                    673
NotSig                54922
Up                      642

sleuth-LRT

We now run sleuth with LRT.

dt.targets.pe.sleuth <- dt.targets.pe[group %in% c('Basal','LP'),]
setnames(dt.targets.pe.sleuth,old = 'Sample',new = 'sample')

se.pe.sleuth.lrt <- 
  sleuth_prep(sample_to_covariates = dt.targets.pe.sleuth,full_model = ~ group)
Warning in check_num_cores(num_cores): It appears that you are running Sleuth from within Rstudio.
Because of concerns with forking processes from a GUI, 'num_cores' is being set to 1.
If you wish to take advantage of multiple cores, please consider running sleuth from the command line.
reading in kallisto results
dropping unused factor levels
......
normalizing est_counts
58890 targets passed the filter
normalizing tpm
merging in metadata
summarizing bootstraps
......
se.pe.sleuth.lrt <- sleuth_fit(obj = se.pe.sleuth.lrt, fit_name = 'full')
fitting measurement error models
shrinkage estimation
1 NA values were found during variance shrinkage estimation due to mean observation values outside of the range used for the LOESS fit.
The LOESS fit will be repeated using exact computation of the fitted surface to extrapolate the missing values.
These are the target ids with NA values: ENSMUST00000042235.15
computing variance of betas
se.pe.sleuth.lrt <- 
  sleuth_fit(obj = se.pe.sleuth.lrt,formula = ~ 1,fit_name = 'reduced')
fitting measurement error models
shrinkage estimation
1 NA values were found during variance shrinkage estimation due to mean observation values outside of the range used for the LOESS fit.
The LOESS fit will be repeated using exact computation of the fitted surface to extrapolate the missing values.
These are the target ids with NA values: ENSMUST00000230860.2
computing variance of betas
se.pe.sleuth.lrt <- 
  sleuth_lrt(obj = se.pe.sleuth.lrt,null_model = 'reduced',alt_model = 'full')

out.pe.sleuth.lrt <- 
  sleuth_results(obj = se.pe.sleuth.lrt,
                 test = 'reduced:full', test_type = 'lrt',show_all = FALSE)

sleuth-Wald

We now run sleuth with Wald tests.

se.pe.sleuth.wald <- 
  sleuth_prep(sample_to_covariates = dt.targets.pe.sleuth,full_model = ~ group)
Warning in check_num_cores(num_cores): It appears that you are running Sleuth from within Rstudio.
Because of concerns with forking processes from a GUI, 'num_cores' is being set to 1.
If you wish to take advantage of multiple cores, please consider running sleuth from the command line.
reading in kallisto results
dropping unused factor levels
......
normalizing est_counts
58890 targets passed the filter
normalizing tpm
merging in metadata
summarizing bootstraps
......
se.pe.sleuth.wald <- sleuth_fit(obj = se.pe.sleuth.wald, fit_name = 'full')
fitting measurement error models
shrinkage estimation
1 NA values were found during variance shrinkage estimation due to mean observation values outside of the range used for the LOESS fit.
The LOESS fit will be repeated using exact computation of the fitted surface to extrapolate the missing values.
These are the target ids with NA values: ENSMUST00000042235.15
computing variance of betas
se.pe.sleuth.wald <- 
  sleuth_wt(obj = se.pe.sleuth.wald,which_beta = 'groupLP',which_model = 'full')

out.pe.sleuth.wald <- 
  sleuth_results(obj = se.pe.sleuth.wald, test = 'groupLP', test_type = 'wald',
                 show_all = FALSE)

Swish

Finally, we run Swish.

dt.targets.pe.swish <- dt.targets.pe[group %in% c('Basal','LP'),]
dt.targets.pe.swish[,files := file.path(path,'quant.sf')]
dt.targets.pe.swish$group %<>% factor(levels = c('Basal','LP'))
setnames(dt.targets.pe.swish,old = 'Sample',new = 'names')

se.pe.swish <- tximeta(coldata = dt.targets.pe.swish,type = 'salmon')
importing quantifications
reading in files with read_tsv
1 2 3 4 5 6 
found matching transcriptome:
[ GENCODE - Mus musculus - release M27 ]
loading existing TxDb created: 2022-04-05 23:03:51
loading existing transcript ranges created: 2022-04-05 23:03:52
fetching genome info for GENCODE
Warning in valid.GenomicRanges.seqinfo(x, suggest.trim = TRUE): GRanges object contains 87 out-of-bound ranges located on sequences
  chr4, chr8, chr13, chr14, and chr17. Note that ranges located on a
  sequence whose length is unknown (NA) or on a circular sequence are not
  considered out-of-bound (use seqlengths() and isCircular() to get the
  lengths and circularity flags of the underlying sequences). You can use
  trim() to trim these ranges. See ?`trim,GenomicRanges-method` for more
  information.
se.pe.swish <- scaleInfReps(se.pe.swish)
se.pe.swish <- labelKeep(se.pe.swish)
se.pe.swish <- se.pe.swish[mcols(se.pe.swish)$keep,]
se.pe.swish <- swish(y = se.pe.swish, x = "group")
out.pe.swish <- as.data.frame(mcols(se.pe.swish))

Differential gene expression

Now, we perform a gene-level analysis of the same data.

The function below computes estimates the mapping ambiguity overdispersion parameter at the level of gene-wise counts. It implements the exact same formula from catchSalmon, but it instead uses the aggregated counts at the gene-level from tximport::summarizeToGene.

# Function computing catchSalmon's formula for gene-level counts
# To be used only for exploratory purposes
geneLevelCatchSalmon <- function(x) {
  NSamples <- ncol(x)
  NBoot <- sum(grepl('infRep', assayNames(x)))
  NTx <- nrow(x)
  DF <- rep_len(0L, NTx)
  OverDisp <- rep_len(0, NTx)
  
  for (i.samples in 1:NSamples) {
    Boot <- lapply(1:NBoot, function(i.boot) {
      assay(x, paste0('infRep', i.boot))[, i.samples]
    })
    Boot <- do.call(cbind, Boot)
    M <- rowMeans(Boot)
    i <- (M > 0)
    OverDisp[i] <- OverDisp[i] + rowSums((Boot[i,] - M[i]) ^ 2) / M[i]
    DF[i] <- DF[i] + NBoot - 1L
  }
  
  i <- (DF > 0L)
  OverDisp[i] <- OverDisp[i] / DF[i]
  DFMedian <- median(DF[i])
  DFPrior <- 3
  OverDispPrior <-
    median(OverDisp[i]) / qf(0.5, df1 = DFMedian, df2 = DFPrior)
  if (OverDispPrior < 1) {
    OverDispPrior <- 1
  }
  OverDisp[i] <-
    (DFPrior * OverDispPrior + DF[i] * OverDisp[i]) / (DFPrior + DF[i])
  OverDisp <- pmax(OverDisp, 1)
  OverDisp[!i] <- OverDispPrior
  rowData(x)$Overdispersion <- OverDisp
  return(x)
}

We summarize counts to the gene-level below and run the standard edgeR QL pipeline.

dt.targets.pe.tximeta <- dt.targets.pe
dt.targets.pe.tximeta[,files := file.path(path,'quant.sf')]
dt.targets.pe.tximeta$group %<>% factor(levels = c('Basal','LP','ML'))
setnames(dt.targets.pe.tximeta,old = 'Sample',new = 'names')

txm <- tximeta(coldata = dt.targets.pe.tximeta[,c('files','names')])
importing quantifications
reading in files with read_tsv
1 2 3 4 5 6 7 8 9 
found matching transcriptome:
[ GENCODE - Mus musculus - release M27 ]
loading existing TxDb created: 2022-04-05 23:03:51
loading existing transcript ranges created: 2022-04-05 23:03:52
fetching genome info for GENCODE
Warning in valid.GenomicRanges.seqinfo(x, suggest.trim = TRUE): GRanges object contains 87 out-of-bound ranges located on sequences
  chr4, chr8, chr13, chr14, and chr17. Note that ranges located on a
  sequence whose length is unknown (NA) or on a circular sequence are not
  considered out-of-bound (use seqlengths() and isCircular() to get the
  lengths and circularity flags of the underlying sequences). You can use
  trim() to trim these ranges. See ?`trim,GenomicRanges-method` for more
  information.
se.pe.gene <- summarizeToGene(txm)
loading existing TxDb created: 2022-04-05 23:03:51
obtaining transcript-to-gene mapping from database
loading existing gene ranges created: 2022-06-02 01:59:12
Warning in valid.GenomicRanges.seqinfo(x, suggest.trim = TRUE): GRanges object contains 46 out-of-bound ranges located on sequences
  chr14, chr8, chr17, chr4, and chr13. Note that ranges located on a
  sequence whose length is unknown (NA) or on a circular sequence are not
  considered out-of-bound (use seqlengths() and isCircular() to get the
  lengths and circularity flags of the underlying sequences). You can use
  trim() to trim these ranges. See ?`trim,GenomicRanges-method` for more
  information.
summarizing abundance
summarizing counts
summarizing length
summarizing inferential replicates
se.pe.gene <- geneLevelCatchSalmon(se.pe.gene)

dge.pe <- DGEList(counts = assay(se.pe.gene,'counts'), 
                  samples = dt.targets.pe.tximeta,
                  genes = as.data.frame(rowData(se.pe.gene)))

key.dge.pe.anno.gene <- match(rownames(dge.pe),dt.anno.gene$GENEIDVERSION)

dge.pe$genes$GeneOfInterest <- dt.anno.gene$GeneOfInterest[key.dge.pe.anno.gene]
dge.pe$genes$NTranscriptPerGene <- dt.anno.gene$NTranscriptPerGene[key.dge.pe.anno.gene]
dge.pe$genes$GeneEntrezID <- dt.anno.gene$ENTREZID[key.dge.pe.anno.gene]
dge.pe$genes$GeneName <- dt.anno.gene$GENENAME[key.dge.pe.anno.gene]
dge.pe$genes$GeneType <- dt.anno.gene$GENEBIOTYPE[key.dge.pe.anno.gene]

keep.pe <- filterByExpr(dge.pe) & dge.pe$genes$GeneOfInterest

dge.pe.filtr <- dge.pe[keep.pe, , keep.lib.sizes = FALSE]
dge.pe.filtr <- calcNormFactors(dge.pe.filtr)

dge.pe.filtr <-
  estimateDisp(dge.pe.filtr, design = design.pe, robust = TRUE)

fit.pe <- glmQLFit(dge.pe.filtr,design.pe, robust = TRUE)

qlf.pe.LPvsB <- glmQLFTest(fit.pe,contrast = con.LPvsB)
qlf.pe.MLvsLP <- glmQLFTest(fit.pe,contrast = con.MLvsLP)

out.pe.LPvsB <- topTags(qlf.pe.LPvsB,n = Inf) 
out.pe.MLvsLP <- topTags(qlf.pe.MLvsLP,n = Inf) 

summary(decideTests(qlf.pe.LPvsB))
       -1*groupBasal 1*groupLP
Down                      4735
NotSig                    8488
Up                        4388
summary(decideTests(qlf.pe.MLvsLP))
       -1*groupLP 1*groupML
Down                   1512
NotSig                14381
Up                     1718

Plots and other exploratory analyses

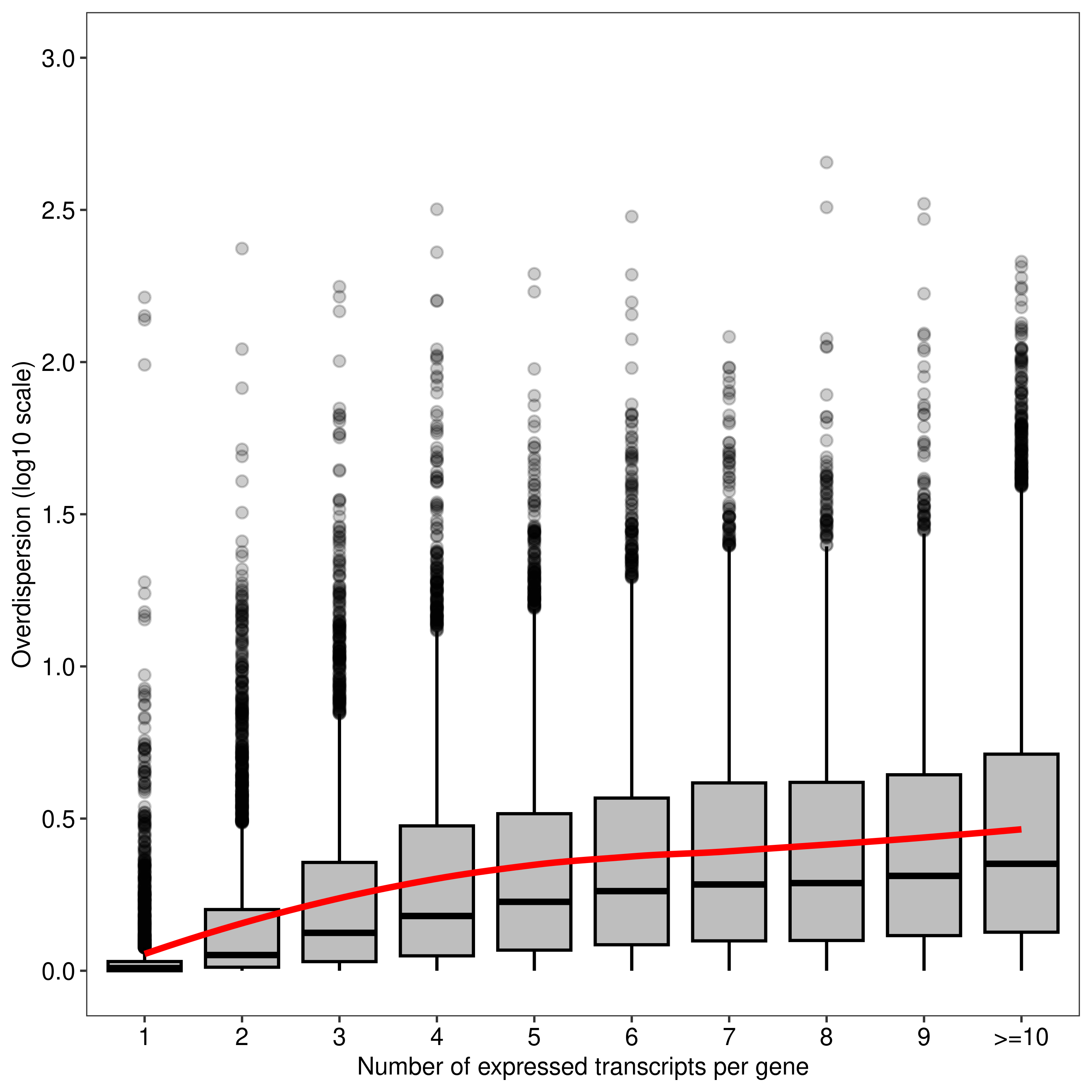
Here we generate a few plots. We begin by assessing the mapping ambiguity overdispersion parameter of each transcript (y-axis) according the number of expressed transcripts associated with their parent gene (x-axis). This is Figure 1 of the main paper.

dt.mao.plot <- as.data.table(dte.pe.scaled.filtr$genes)
dt.mao.plot[,NTranscriptPerGeneTrunc := ifelse(NTranscriptPerGene<10,NTranscriptPerGene,paste0('>=10'))]

dt.mao.plot$NTranscriptPerGeneTrunc %<>% factor(levels = paste0(c(1:10,'>=10')))

# Number of transcripts from single-transcript genes
dt.mao.plot[NTranscriptPerGene == 1,
            .(.N,sum(NTranscriptPerGene == 1 & Overdispersion>(1/0.9))/sum(NTranscriptPerGene == 1))]
      N        V2
1: 2967 0.1681834
# Number of transcripts from multi-transcript genes
dt.mao.plot[NTranscriptPerGene > 1,
            .(.N,sum(NTranscriptPerGene > 1 & Overdispersion>(1/0.9))/sum(NTranscriptPerGene > 1))]
       N        V2
1: 40609 0.8127755
# Number of transcripts from transcript-rich genes (#tx>10)
dt.mao.plot[NTranscriptPerGene >= 10,
            .(NGeneID = length(unique(GeneID)),
              NTranscriptID = .N,mean(Overdispersion))]
   NGeneID NTranscriptID       V3
1:    2172         12558 5.315015
plot.mao.2 <- 
  ggplot(data = dt.mao.plot,aes(x = NTranscriptPerGeneTrunc,y = log10(Overdispersion))) +
  geom_boxplot(fill = '#bebebe',outlier.alpha = 0.2,col = 'black') +
  geom_smooth(aes(group = 1),color = '#ff0000',se = FALSE,span = 0.8,method = 'loess') +
  labs(x = 'Number of expressed transcripts per gene', y = 'Overdispersion (log10 scale)') +
  scale_y_continuous(limits = c(0,3),breaks = seq(0,3,0.5)) +
  theme_bw(base_size = 8,base_family = 'sans') +
  theme(panel.grid = element_blank(),
        axis.text = element_text(colour = 'black',size = 8))

agg_png(filename = file.path(path.misc,"figure1.png"),width = 5,height = 5,units = 'in',res = 300)
plot.mao.2
`geom_smooth()` using formula = 'y ~ x'
dev.off()
png 
  2 
plot.mao.2
`geom_smooth()` using formula = 'y ~ x'

Version Author Date
623d429 Pedro Baldoni 2023-01-23
9a3e926 Pedro Baldoni 2023-01-06

Then, we generate Figure 6 of the main paper below.

# Heatmap of Foxp1 transcripts
cpm.scaled.filtr <- cpm(dte.pe.scaled.filtr,log = TRUE)
rownames(cpm.scaled.filtr) <- dte.pe.scaled.filtr$genes$TranscriptName

cpm.scaled.filtr.LPvsBasal <- 
  cpm.scaled.filtr[,grepl('Basal|LP',colnames(cpm.scaled.filtr))]

cpm.scaled.filtr.LPvsBasal <- t(scale(t(cpm.scaled.filtr.LPvsBasal)))

cpm.scaled.filtr.LPvsBasal.foxp1 <- 
  cpm.scaled.filtr.LPvsBasal[grepl('foxp1',rownames(cpm.scaled.filtr.LPvsBasal),ignore.case = TRUE),]

foo.heat <- function(x,cluster_rows = TRUE, fontsize = 8){
  tb <- data.table(TranscriptName = rownames(x),x)
  tb <- melt(tb,id.vars = 'TranscriptName',value.name = 'Expression')
  tb <- as_tibble(tb)
  
  tb %>%
    heatmap(.row = TranscriptName,.column = variable,.value = Expression,
            scale = 'none',palette_value = c("blue", "white", "red"),
            column_title = NULL,row_title = NULL,
            cluster_rows = cluster_rows,
            row_names_gp = gpar(fontsize = fontsize),
            column_names_gp = gpar(fontsize = fontsize),
            clustering_method_rows = "complete",
            clustering_method_columns = "complete",
            heatmap_legend_param = list(direction = "horizontal",
                                        at = seq(-3,3,1),
                                        title_position = 'topcenter',
                                        title_gp = gpar(fontsize = fontsize),
                                        labels_gp = gpar(fontsize = fontsize))) %>%
    as_ComplexHeatmap() %>%
    draw(heatmap_legend_side = "top")
}

plot.heat <- 
  wrap_elements(grid.grabExpr(draw(foo.heat(cpm.scaled.filtr.LPvsBasal.foxp1))))
tidyHeatmap says: (once per session) from release 1.7.0 the scaling is set to "none" by default. Please use scale = "row", "column" or "both" to apply scaling
# Heatmap of significant transcripts of non-significant breast cancer genes
tb.pe.LPvsB.scaled <- as.data.table(out.pe.LPvsB.scaled$table)
tb.pe.LPvsB <- as.data.table(out.pe.LPvsB$table)

tb.pe.LPvsB.scaled$FDR.Gene <- 
  tb.pe.LPvsB$FDR[match(tb.pe.LPvsB.scaled$GeneID,tb.pe.LPvsB$gene_id)]
tb.pe.LPvsB.scaled$logFC.Gene <- 
  tb.pe.LPvsB$logFC[match(tb.pe.LPvsB.scaled$GeneID,tb.pe.LPvsB$gene_id)]

interestGenes <- 
  tb.pe.LPvsB.scaled[FDR.Gene > 0.05 & 
                       FDR < 0.05 &
                       !is.na(GeneEntrezID),unique(GeneEntrezID)]

# Number of non-significant genes for which at least one of their transcripts is DE
length(interestGenes)
[1] 1818
# Running KEGG analysis
tb.kegga <- kegga(interestGenes,species = 'Mm')
GK <- getGeneKEGGLinks(species.KEGG = "mmu")
tb.kegga['path:mmu05224',]
                    Pathway   N DE      P.DE
path:mmu05224 Breast cancer 147 15 0.2533814
interestGenes.breast <- 
  interestGenes[interestGenes %in% GK$GeneID[GK$PathwayID == 'path:mmu05224']]

tb.pe.LPvsB.scaled.breast <- 
  tb.pe.LPvsB.scaled[tb.pe.LPvsB.scaled$GeneEntrezID %in% interestGenes.breast,]

tb.pe.LPvsB.scaled.breast <- 
  tb.pe.LPvsB.scaled.breast[tb.pe.LPvsB.scaled.breast$FDR < 0.05,]

cpm.scaled.filtr.LPvsBasal.breast <- 
  cpm.scaled.filtr.LPvsBasal[tb.pe.LPvsB.scaled.breast$TranscriptName,]

plot.heat.breast <- 
  wrap_elements(grid.grabExpr(draw(foo.heat(cpm.scaled.filtr.LPvsBasal.breast))))


# plotMD does not return invisible(), so we just use wrap_elements
foo.md <- function(x,fontsize = 8){
  par(mar = c(5, 4, 2, 2))
  plotMD(x,xlim = c(-2.5,17.5),
         main = NULL,cex = 0.5,legend = FALSE,
         cex.lab = fontsize/12,
         cex.axis = fontsize/12)
  legend('topright',
         legend = c('NotSig','Up','Down'),
         pch = rep(16,3), 
         col = c('black','red','blue'),
         cex = fontsize/12,
         pt.cex = c(0.3,0.5,0.5))
}
plot.md <- 
  wrap_elements(full = ~foo.md(qlf.pe.LPvsB.scaled))

# plotMDS returns invisible(), we need to manually export the plot (code from limma::plotMDS.MDS)
foo.mds <- function(x,fontsize = 8){
  obj.mds <- plotMDS(x,col = x$samples$Color,main = NULL)
  par(mar = c(5, 4, 2, 2))
  labels <- colnames(obj.mds$distance.matrix.squared)
  StringRadius <- 0.15 * 1 * nchar(labels)
  left.x <- obj.mds$x - StringRadius
  right.x <- obj.mds$x + StringRadius
  Perc <- round(obj.mds$var.explained * 100)
  xlab <- paste(obj.mds$axislabel, 1)
  ylab <- paste(obj.mds$axislabel, 2)
  xlab <- paste0(xlab, " (", Perc[1], "%)")
  ylab <- paste0(ylab, " (", Perc[2], "%)")
  
  plot(c(-6, 3), c(-3, 3),
       type = "n",xlab = xlab,ylab = ylab,
       cex.lab = fontsize/12,
       cex.axis = fontsize/12)
  text(obj.mds$x, obj.mds$y, labels = labels, cex = fontsize/12,col = x$samples$Color)
}
plot.mds <- wrap_elements(full = ~foo.mds(dte.pe.scaled.filtr))

plot.design <- c(area(1, 1),area(1,2),area(2, 1),area(2,2))

fig.heatmap <- wrap_plots(A = plot.mds,
                          B = plot.md,
                          C = plot.heat,
                          D = plot.heat.breast,
                          design = plot.design,
                          heights = c(0.4,0.6)) +
  plot_annotation(tag_levels = 'a') 

fig.heatmap <- fig.heatmap &
  theme(plot.tag = element_text(size = 8))

agg_png(filename = file.path(path.misc,"figure6.png"),width = 10,height = 10,units = 'in',res = 300)
fig.heatmap
dev.off()
png 
  2 

Let’s look at the results from the paired-end read data analysis for the Foxp1-216 transcript.

# Foxp1-216
out.pe.LPvsB.scaled$table['ENSMUST00000175838.2',]
                     Length EffectiveLength Overdispersion TranscriptName
ENSMUST00000175838.2    420         163.755       1.111807      Foxp1-216
                                    GeneID GeneName GeneEntrezID GeneOfInterest
ENSMUST00000175838.2 ENSMUSG00000030067.18    Foxp1       108655           TRUE
                     NTranscriptPerGene                 Type    logFC
ENSMUST00000175838.2                 31 processed_transcript 1.806999
                         logCPM        F      PValue         FDR
ENSMUST00000175838.2 -0.5914241 14.03927 0.002188547 0.008318195

At the gene-level, we summarize some of the results from the DE analysis for the Foxp1 gene.

tb.foxp1.gene <- 
  out.pe.LPvsB[grepl('ENSMUSG00000030067',out.pe.LPvsB$table$gene_id),]$table
tb.foxp1.gene <- data.frame(tb.foxp1.gene[,-c(2,3,4,5)],row.names = NULL)
setnames(tb.foxp1.gene,
         old = c('gene_id','GeneEntrezID','GeneName','GeneType'),
         new = c('Ensembl ID','Entrez ID','Name','Type'))

tb.foxp1.gene$Type <- gsub("_"," ",tb.foxp1.gene$Type)

tb.foxp1.gene$logFC <- formatC(round(tb.foxp1.gene$logFC,3),digits = 3,format = 'f')
tb.foxp1.gene$logCPM <- formatC(round(tb.foxp1.gene$logCPM,3),digits = 3,format = 'f')
tb.foxp1.gene$`F` <- formatC(round(tb.foxp1.gene$`F`,3),digits = 3,format = 'f')
tb.foxp1.gene$PValue <- formatC(tb.foxp1.gene$PValue,digits = 3,format = 'e')
tb.foxp1.gene$FDR <- formatC(tb.foxp1.gene$FDR,digits = 3,format = 'e')

tb.foxp1.gene$`Entrez ID` <- NULL
tb.foxp1.gene$Type <- NULL

kb.foxp1.gene <- 
  kbl(tb.foxp1.gene,
      escape = FALSE,
      format = 'latex',
      booktabs = TRUE,
      caption = paste('edgeR results from a DE analysis at the gene-level for',
                      'the Foxp1 gene comparing basal and LP cells using the',
                      'paired-end RNA-seq experiment of the epithelial cell',
                      'population of the mouse mammary gland'),
      align = 'llccccc') %>%
  kable_styling(font_size = 10)
save_kable(kb.foxp1.gene,file = file.path(path.misc,"supptable_foxp1.tex"))

We can also compare the distribution of the overdispersion estimates between gene- and transcript-level analyses.

## Gene-level
df.output.gene <- 
  as.data.table(dge.pe$genes[,c('GeneName','GeneEntrezID','GeneType','Overdispersion')])
setnames(df.output.gene,
         old = c('GeneName','GeneEntrezID','GeneType','Overdispersion'),
         new = c('Symbol','EntrezID','Type','Overdispersion'))
df.output.gene[,Level := 'Gene']

## Transcript-level
df.output.tx <- data.table(Symbol = catch.pe$annotation$TranscriptName,
                           EntrezID = catch.pe$annotation$GeneEntrezID,
                           Type = catch.pe$annotation$Type,
                           Overdispersion = catch.pe$annotation$Overdispersion,
                           Level = 'Transcript')


df.output.gene.tx <- rbindlist(list(df.output.gene,
                                    df.output.tx))

fig.mao.gene.tx <- ggplot(df.output.gene.tx,aes(x = log10(Overdispersion),y = Level,fill = Level)) +
  geom_boxplot(outlier.alpha = 0.25,fill = "#bebebe",col = 'black') +
  labs(y = NULL,x = 'Mapping ambiguity overdispersion (log10 scale)') +
  theme_bw(base_size = 8,base_family = 'sans') +
  theme(legend.position = 'none',
        panel.grid = element_blank(),
        axis.text = element_text(colour = 'black',size = 8))

agg_png(filename = file.path(path.misc,"suppfigure_overdispersion.png"),width = 7.5,height = 5,units = 'in',res = 300)
fig.mao.gene.tx
dev.off()
png 
  2 
fig.mao.gene.tx

Version Author Date
e75e3d9 Pedro Baldoni 2023-01-23
9a3e926 Pedro Baldoni 2023-01-06

Below we have the top 100 genes with largest mapping ambiguity overdispersion.

df.output.gene.top <- df.output.gene[order(-Overdispersion),][1:100,]
df.output.gene.top[,Level := NULL]
df.output.gene.top$Type <- 
  gsub("_"," ",df.output.gene.top$Type)
df.output.gene.top$EntrezID[is.na(df.output.gene.top$EntrezID)] <- 
  "-"

cap.mao <- paste("Top 100 genes with largest mapping ambiguity overdispersion.",
                 "Data from the RNA-seq experiment of the epithelial cell",
                 "population from the mouse mammary gland generated with",
                 "paired-end reads.")

kb.output.gene.top <- kbl(df.output.gene.top,
                          longtable = TRUE,
                          escape = FALSE,
                          format = 'latex',
                          booktabs = TRUE,
                          caption = cap.mao,
                          digits = 2,
                          align = c('l',rep('r',3)),
                          col.names = c('Gene Symbol','Entrez ID','Biotype','Overdispersion')) %>%
  kable_styling(latex_options = c("scale_down","repeat_header"),font_size = 10)
Warning in styling_latex_scale_down(out, table_info): Longtable cannot be
resized.
save_kable(kb.output.gene.top,file = file.path(path.misc,"supptable_overdispersion.tex"))

Analysis of single-end data

Now, we present a similar analysis but using the single-end read experiment from the same population of epithelial cells of the mouse mammay gland.

Transcript-level analysis

Data wrangling

We again begin with some data wrangling.

dt.targets.se <- fread(file.path(path.data.se,'misc/targets.txt'))
dt.targets.se[,Sample := paste(Group,Replicate,sep = '.')]
dt.targets.se[,Population := mapvalues(Population,'Luminal','LP')]
dt.targets.se$Stage <- strsplit2(dt.targets.se$Group,"\\.")[,2]
dt.targets.se$Group <- NULL

dt.targets.se[,Color := 
                mapvalues(Population,from = c('Basal','LP'),to = c('blue','darkgreen'))]

dt.targets.se[,path := file.path(path.quant.se,'salmon',gsub('.fastq.gz','',File))]

And then we load the output from Salmon into our R session with the function catchSalmon.

catch.se <- catchSalmon(dt.targets.se$path,verbose = FALSE)

key.catch.se.anno <- match(rownames(catch.se$annotation),dt.anno$TXIDVERSION)

catch.se$annotation$TranscriptName <- dt.anno$TXEXTERNALNAME[key.catch.se.anno]
catch.se$annotation$GeneID <- dt.anno$GENEIDVERSION[key.catch.se.anno]
catch.se$annotation$GeneName <- dt.anno$GENENAME[key.catch.se.anno]
catch.se$annotation$GeneEntrezID <- dt.anno$ENTREZID[key.catch.se.anno]
catch.se$annotation$GeneOfInterest <- dt.anno$GeneOfInterest[key.catch.se.anno]
catch.se$annotation$NTranscriptPerGene <- dt.anno$NTranscriptPerGene[key.catch.se.anno]

Differential transcript expression

In this analysis we only run edgeR. We again compare scaled and raw counts.

edgeR with count scaling

We create the DGEList object using scaled counts.

dte.se.scaled <- 
  DGEList(counts = catch.se$counts/catch.se$annotation$Overdispersion,
          genes = catch.se$annotation,
          samples = dt.targets.se)
colnames(dte.se.scaled) <- dte.se.scaled$samples$Sample

Perform some filtering:

keep.se.scaled <- 
  filterByExpr(dte.se.scaled,group = dte.se.scaled$samples$Population) & 
  dte.se.scaled$genes$GeneOfInterest
dte.se.scaled.filtr <- dte.se.scaled[keep.se.scaled,, keep.lib.sizes = FALSE]

Calculate normalization factors, estimate the trended negative binomial dispersions and perform the QL pipeline:

design.se <- model.matrix(~Stage + Population,data = dte.se.scaled.filtr$samples)
dte.se.scaled.filtr <- calcNormFactors(dte.se.scaled.filtr)
dte.se.scaled.filtr <- estimateDisp(dte.se.scaled.filtr,design.se,robust = TRUE)
fit.se.scaled <- glmQLFit(dte.se.scaled.filtr,design.se,robust = TRUE)

qlf.se.LPvsB.scaled <- glmQLFTest(fit.se.scaled)

out.se.LPvsB.scaled <- topTags(qlf.se.LPvsB.scaled,n = Inf)

summary(decideTests(qlf.se.LPvsB.scaled))
       PopulationLP
Down           7895
NotSig         9895
Up             6921

edgeR with raw counts

We repeat the same analysis using raw counts:

dte.se.raw <- 
  DGEList(counts = catch.se$counts,
          genes = catch.se$annotation,
          samples = dt.targets.se)
colnames(dte.se.raw) <- dte.se.raw$samples$Sample
keep.se.raw <- 
  filterByExpr(dte.se.raw,group = dte.se.raw$samples$Population) & 
  dte.se.raw$genes$GeneOfInterest
dte.se.raw.filtr <- dte.se.raw[keep.se.raw,,keep.lib.sizes = FALSE]
dte.se.raw.filtr <- calcNormFactors(dte.se.raw.filtr)
dte.se.raw.filtr <- estimateDisp(dte.se.raw.filtr,design.se,robust = TRUE)
fit.se.raw <- glmQLFit(dte.se.raw.filtr,design.se,robust = TRUE)

qlf.se.LPvsB.raw <- glmQLFTest(fit.se.raw)

out.se.LPvsB.raw <- topTags(qlf.se.LPvsB.raw,n = Inf)

summary(decideTests(qlf.se.LPvsB.raw))
       PopulationLP
Down           8659
NotSig        21789
Up             6929

Plots and other exploratory analyses

Below is a MA plot from the DTE results using single-end scaled data.

agg_png(filename = file.path(path.misc,"suppfigure_maplot.png"),width = 6,height = 6,units = 'in',res = 300)
plotMD(qlf.se.LPvsB.scaled,xlim = c(-1.5,17.5),
       main = NULL,cex = 0.5,legend = FALSE,
       cex.lab = 8/12,
       cex.axis = 8/12)
legend('topright',
       legend = c('NotSig','Up','Down'),
       pch = rep(16,3), 
       col = c('black','red','blue'),
       cex = 8/12,
       pt.cex = c(0.3,0.5,0.5))
dev.off()
png 
  2 

And we tabulate the results from the analysis using single-end scaled counts for the Foxp1 gene.

# Foxp1 transcripts (EntrezID 108655)
out.se.LPvsB.scaled$table[out.se.LPvsB.scaled$table$GeneEntrezID %in% '108655',]
                     Length EffectiveLength Overdispersion TranscriptName
ENSMUST00000177227.8    967             717       1.871821      Foxp1-224
ENSMUST00000177437.8   2468            2218       5.880765      Foxp1-230
ENSMUST00000113322.9   7177            6927      14.765060      Foxp1-204
ENSMUST00000177229.8   1848            1598      30.837225      Foxp1-225
ENSMUST00000177307.8   2121            1871      12.186063      Foxp1-228
                                    GeneID GeneName GeneEntrezID GeneOfInterest
ENSMUST00000177227.8 ENSMUSG00000030067.18    Foxp1       108655           TRUE
ENSMUST00000177437.8 ENSMUSG00000030067.18    Foxp1       108655           TRUE
ENSMUST00000113322.9 ENSMUSG00000030067.18    Foxp1       108655           TRUE
ENSMUST00000177229.8 ENSMUSG00000030067.18    Foxp1       108655           TRUE
ENSMUST00000177307.8 ENSMUSG00000030067.18    Foxp1       108655           TRUE
                     NTranscriptPerGene     logFC     logCPM         F
ENSMUST00000177227.8                 31 -3.014221  0.6298492 136.33621
ENSMUST00000177437.8                 31 -2.475768  2.5825100  92.30263
ENSMUST00000113322.9                 31 -2.703752  2.5325759  79.71248
ENSMUST00000177229.8                 31 -4.554117 -0.7874704  68.27378
ENSMUST00000177307.8                 31 -1.756318 -0.1121722  13.86188
                           PValue          FDR
ENSMUST00000177227.8 8.014176e-08 1.412541e-06
ENSMUST00000177437.8 6.483437e-07 6.896062e-06
ENSMUST00000113322.9 1.394285e-06 1.269498e-05
ENSMUST00000177229.8 3.085925e-06 2.385992e-05
ENSMUST00000177307.8 3.008508e-03 6.963119e-03
out.se.LPvsB.raw$table[out.se.LPvsB.raw$table$GeneEntrezID %in% '108655',]
                     Length EffectiveLength Overdispersion TranscriptName
ENSMUST00000177227.8    967             717       1.871821      Foxp1-224
ENSMUST00000124058.8   1213             963       4.075548      Foxp1-210
ENSMUST00000177437.8   2468            2218       5.880765      Foxp1-230
ENSMUST00000113322.9   7177            6927      14.765060      Foxp1-204
ENSMUST00000177229.8   1848            1598      30.837225      Foxp1-225
ENSMUST00000113326.9   7029            6779     153.195592      Foxp1-206
ENSMUST00000176565.8   3727            3477      23.742224      Foxp1-220
ENSMUST00000177307.8   2121            1871      12.186063      Foxp1-228
                                    GeneID GeneName GeneEntrezID GeneOfInterest
ENSMUST00000177227.8 ENSMUSG00000030067.18    Foxp1       108655           TRUE
ENSMUST00000124058.8 ENSMUSG00000030067.18    Foxp1       108655           TRUE
ENSMUST00000177437.8 ENSMUSG00000030067.18    Foxp1       108655           TRUE
ENSMUST00000113322.9 ENSMUSG00000030067.18    Foxp1       108655           TRUE
ENSMUST00000177229.8 ENSMUSG00000030067.18    Foxp1       108655           TRUE
ENSMUST00000113326.9 ENSMUSG00000030067.18    Foxp1       108655           TRUE
ENSMUST00000176565.8 ENSMUSG00000030067.18    Foxp1       108655           TRUE
ENSMUST00000177307.8 ENSMUSG00000030067.18    Foxp1       108655           TRUE
                     NTranscriptPerGene     logFC     logCPM         F
ENSMUST00000177227.8                 31 -3.213702  0.6403438 81.362703
ENSMUST00000124058.8                 31 -6.522550 -0.1418186 74.459703
ENSMUST00000177437.8                 31 -2.596572  4.2931573 73.376381
ENSMUST00000113322.9                 31 -2.920534  5.5645277 63.534522
ENSMUST00000177229.8                 31 -6.697337  2.9158442 21.558158
ENSMUST00000113326.9                 31 -7.212378  2.1561872 20.217520
ENSMUST00000176565.8                 31 -3.195532  1.2426544 10.122064
ENSMUST00000177307.8                 31 -2.596993  2.4348401  5.705185
                           PValue          FDR
ENSMUST00000177227.8 4.037266e-06 8.099887e-05
ENSMUST00000124058.8 6.043586e-06 1.064018e-04
ENSMUST00000177437.8 7.343061e-06 1.213914e-04
ENSMUST00000113322.9 1.371310e-05 1.853723e-04
ENSMUST00000177229.8 9.674814e-04 4.391203e-03
ENSMUST00000113326.9 1.208199e-03 5.221279e-03
ENSMUST00000176565.8 1.003522e-02 2.790614e-02
ENSMUST00000177307.8 3.852069e-02 8.181077e-02
tb.se.foxp1.gene <- 
  out.se.LPvsB.scaled[grepl('ENSMUSG00000030067',out.se.LPvsB.scaled$table$GeneID),]$table
tb.se.foxp1.gene <- data.frame("Ensembl ID" = rownames(tb.se.foxp1.gene),
                               tb.se.foxp1.gene[,-c(1,2,3,5,6,7,8,9)],row.names = NULL)

setnames(tb.se.foxp1.gene,
         old = c('Ensembl.ID','TranscriptName'),
         new = c('Ensembl ID','Name'))

tb.se.foxp1.gene$logFC <- formatC(round(tb.se.foxp1.gene$logFC,3),digits = 3,format = 'f')
tb.se.foxp1.gene$logCPM <- formatC(round(tb.se.foxp1.gene$logCPM,3),digits = 3,format = 'f')
tb.se.foxp1.gene$`F` <- formatC(round(tb.se.foxp1.gene$`F`,3),digits = 3,format = 'f')
tb.se.foxp1.gene$PValue <- formatC(tb.se.foxp1.gene$PValue,digits = 3,format = 'e')
tb.se.foxp1.gene$FDR <- formatC(tb.se.foxp1.gene$FDR,digits = 3,format = 'e')

kb.se.foxp1.gene <- 
  kbl(tb.se.foxp1.gene,
      escape = FALSE,
      format = 'latex',
      booktabs = TRUE,
      caption = paste("edgeR results with count scaling from DTE analysis",
                      "comparing basal and LP cells for the single-end RNA-seq",
                      "experiment of the epithelia cell population from the",
                      "mouse mammary gland. Shown are the topTags results",
                      "restricted to the Foxp1 transcripts."),
      align = "llccccc") %>%
  kable_styling(font_size = 10)
save_kable(kb.se.foxp1.gene,file = file.path(path.misc,"supptable_singleend.tex"))

sessionInfo()
R version 4.2.1 (2022-06-23)
Platform: x86_64-pc-linux-gnu (64-bit)
Running under: CentOS Linux 7 (Core)

Matrix products: default
BLAS:   /stornext/System/data/apps/R/R-4.2.1/lib64/R/lib/libRblas.so
LAPACK: /stornext/System/data/apps/R/R-4.2.1/lib64/R/lib/libRlapack.so

locale:
 [1] LC_CTYPE=en_US.UTF-8       LC_NUMERIC=C              
 [3] LC_TIME=en_US.UTF-8        LC_COLLATE=en_US.UTF-8    
 [5] LC_MONETARY=en_US.UTF-8    LC_MESSAGES=en_US.UTF-8   
 [7] LC_PAPER=en_US.UTF-8       LC_NAME=C                 
 [9] LC_ADDRESS=C               LC_TELEPHONE=C            
[11] LC_MEASUREMENT=en_US.UTF-8 LC_IDENTIFICATION=C       

attached base packages:
[1] grid      stats4    stats     graphics  grDevices utils     datasets 
[8] methods   base     

other attached packages:
 [1] ensembldb_2.22.0            AnnotationFilter_1.22.0    
 [3] GenomicFeatures_1.50.4      AnnotationDbi_1.60.0       
 [5] kableExtra_1.3.4            ragg_1.2.5                 
 [7] SummarizedExperiment_1.28.0 Biobase_2.58.0             
 [9] MatrixGenerics_1.10.0       matrixStats_0.63.0         
[11] forcats_1.0.0               stringr_1.5.0              
[13] dplyr_1.1.0                 purrr_1.0.1                
[15] tidyr_1.3.0                 tidyverse_1.3.2            
[17] tximeta_1.16.1              fishpond_2.4.1             
[19] sleuth_0.30.0               AnnotationHub_3.6.0        
[21] BiocFileCache_2.6.0         dbplyr_2.3.0               
[23] tidyHeatmap_1.8.1           tibble_3.1.8               
[25] patchwork_1.1.2             ComplexHeatmap_2.14.0      
[27] gplots_3.1.3                plyr_1.8.8                 
[29] ggpubr_0.6.0                magrittr_2.0.3             
[31] rtracklayer_1.58.0          GenomicRanges_1.50.2       
[33] GenomeInfoDb_1.34.9         IRanges_2.32.0             
[35] S4Vectors_0.36.1            BiocGenerics_0.44.0        
[37] Rsubread_2.12.2             readr_2.1.4                
[39] ggplot2_3.4.1               data.table_1.14.6          
[41] edgeR_3.40.2                limma_3.54.1               
[43] workflowr_1.7.0            

loaded via a namespace (and not attached):
  [1] utf8_1.2.3                    tidyselect_1.2.0             
  [3] RSQLite_2.2.20                BiocParallel_1.32.5          
  [5] munsell_0.5.0                 codetools_0.2-19             
  [7] statmod_1.5.0                 withr_2.5.0                  
  [9] colorspace_2.1-0              filelock_1.0.2               
 [11] highr_0.10                    knitr_1.42                   
 [13] rstudioapi_0.14               SingleCellExperiment_1.20.0  
 [15] ggsignif_0.6.4                labeling_0.4.2               
 [17] git2r_0.31.0                  tximport_1.26.1              
 [19] GenomeInfoDbData_1.2.9        farver_2.1.1                 
 [21] bit64_4.0.5                   rhdf5_2.42.0                 
 [23] rprojroot_2.0.3               vctrs_0.5.2                  
 [25] generics_0.1.3                xfun_0.37                    
 [27] timechange_0.2.0              R6_2.5.1                     
 [29] doParallel_1.0.17             clue_0.3-64                  
 [31] locfit_1.5-9.7                gridGraphics_0.5-1           
 [33] bitops_1.0-7                  rhdf5filters_1.10.0          
 [35] cachem_1.0.6                  DelayedArray_0.24.0          
 [37] assertthat_0.2.1              vroom_1.6.1                  
 [39] promises_1.2.0.1              BiocIO_1.8.0                 
 [41] scales_1.2.1                  googlesheets4_1.0.1          
 [43] gtable_0.3.1                  Cairo_1.6-0                  
 [45] processx_3.8.0                rlang_1.0.6                  
 [47] systemfonts_1.0.4             splines_4.2.1                
 [49] GlobalOptions_0.1.2           rstatix_0.7.2                
 [51] lazyeval_0.2.2                gargle_1.3.0                 
 [53] broom_1.0.3                   reshape2_1.4.4               
 [55] modelr_0.1.10                 BiocManager_1.30.19          
 [57] yaml_2.3.7                    abind_1.4-5                  
 [59] backports_1.4.1               httpuv_1.6.5                 
 [61] qvalue_2.30.0                 tools_4.2.1                  
 [63] ellipsis_0.3.2                jquerylib_0.1.4              
 [65] RColorBrewer_1.1-3            Rcpp_1.0.10                  
 [67] progress_1.2.2                zlibbioc_1.44.0              
 [69] RCurl_1.98-1.10               ps_1.7.2                     
 [71] prettyunits_1.1.1             GetoptLong_1.0.5             
 [73] viridis_0.6.2                 haven_2.5.1                  
 [75] cluster_2.1.4                 fs_1.6.1                     
 [77] svMisc_1.2.3                  circlize_0.4.15              
 [79] reprex_2.0.2                  googledrive_2.0.0            
 [81] whisker_0.4.1                 ProtGenerics_1.30.0          
 [83] hms_1.1.2                     mime_0.12                    
 [85] evaluate_0.20                 xtable_1.8-4                 
 [87] XML_3.99-0.13                 readxl_1.4.2                 
 [89] gridExtra_2.3                 shape_1.4.6                  
 [91] compiler_4.2.1                biomaRt_2.54.0               
 [93] KernSmooth_2.23-20            crayon_1.5.2                 
 [95] htmltools_0.5.4               mgcv_1.8-41                  
 [97] later_1.3.0                   tzdb_0.3.0                   
 [99] lubridate_1.9.2               DBI_1.1.3                    
[101] rappdirs_0.3.3                Matrix_1.5-3                 
[103] car_3.1-1                     cli_3.6.0                    
[105] parallel_4.2.1                pkgconfig_2.0.3              
[107] getPass_0.2-2                 GenomicAlignments_1.34.0     
[109] xml2_1.3.3                    foreach_1.5.2                
[111] svglite_2.1.1                 bslib_0.4.2                  
[113] webshot_0.5.4                 XVector_0.38.0               
[115] rvest_1.0.3                   callr_3.7.3                  
[117] digest_0.6.31                 Biostrings_2.66.0            
[119] cellranger_1.1.0              rmarkdown_2.20               
[121] dendextend_1.16.0             restfulr_0.0.15              
[123] curl_5.0.0                    shiny_1.7.4                  
[125] Rsamtools_2.14.0              gtools_3.9.4                 
[127] rjson_0.2.21                  nlme_3.1-162                 
[129] lifecycle_1.0.3               jsonlite_1.8.4               
[131] Rhdf5lib_1.20.0               carData_3.0-5                
[133] viridisLite_0.4.1             fansi_1.0.4                  
[135] pillar_1.8.1                  lattice_0.20-45              
[137] KEGGREST_1.38.0               fastmap_1.1.0                
[139] httr_1.4.4                    interactiveDisplayBase_1.36.0
[141] glue_1.6.2                    png_0.1-8                    
[143] iterators_1.0.14              BiocVersion_3.16.0           
[145] bit_4.0.5                     stringi_1.7.12               
[147] sass_0.4.1                    blob_1.2.3                   
[149] textshaping_0.3.6             caTools_1.18.2               
[151] memoise_2.0.1