Last updated: 2023-01-23

Checks: 5 2

Knit directory: wf-TranscriptDE/analysis/

This reproducible R Markdown analysis was created with workflowr (version 1.7.0). The Checks tab describes the reproducibility checks that were applied when the results were created. The Past versions tab lists the development history.


The R Markdown file has unstaged changes. To know which version of the R Markdown file created these results, you’ll want to first commit it to the Git repo. If you’re still working on the analysis, you can ignore this warning. When you’re finished, you can run wflow_publish to commit the R Markdown file and build the HTML.

Great job! The global environment was empty. Objects defined in the global environment can affect the analysis in your R Markdown file in unknown ways. For reproduciblity it’s best to always run the code in an empty environment.

The command set.seed(20221115) was run prior to running the code in the R Markdown file. Setting a seed ensures that any results that rely on randomness, e.g. subsampling or permutations, are reproducible.

Great job! Recording the operating system, R version, and package versions is critical for reproducibility.

The following chunks had caches available:
  • simulation-paper_data_load

To ensure reproducibility of the results, delete the cache directory simulation-paper_cache and re-run the analysis. To have workflowr automatically delete the cache directory prior to building the file, set delete_cache = TRUE when running wflow_build() or wflow_publish().

Great job! Using relative paths to the files within your workflowr project makes it easier to run your code on other machines.

Great! You are using Git for version control. Tracking code development and connecting the code version to the results is critical for reproducibility.

The results in this page were generated with repository version e64cf4d. See the Past versions tab to see a history of the changes made to the R Markdown and HTML files.

Note that you need to be careful to ensure that all relevant files for the analysis have been committed to Git prior to generating the results (you can use wflow_publish or wflow_git_commit). workflowr only checks the R Markdown file, but you know if there are other scripts or data files that it depends on. Below is the status of the Git repository when the results were generated:


Ignored files:
    Ignored:    .DS_Store
    Ignored:    .Rhistory
    Ignored:    .Rproj.user/
    Ignored:    ._.DS_Store
    Ignored:    .gitignore
    Ignored:    analysis/simulation-complete_cache/
    Ignored:    analysis/simulation-paper_cache/
    Ignored:    code/mouse/single-end/salmon/slurm-9574761.out
    Ignored:    code/pkg/.Rhistory
    Ignored:    code/pkg/.Rproj.user/
    Ignored:    code/pkg/src/RcppExports.o
    Ignored:    code/pkg/src/pkg.so
    Ignored:    code/pkg/src/rcpparma_hello_world.o
    Ignored:    data/annotation/mm39/
    Ignored:    data/mouse/paired-end/fastq/
    Ignored:    data/mouse/single-end/fastq/
    Ignored:    misc/.DS_Store
    Ignored:    misc/._.DS_Store
    Ignored:    misc/mouse.Rmd/._figure6.png
    Ignored:    misc/simulation-paper.Rmd/._figure2.png
    Ignored:    misc/simulation-paper.Rmd/._figure5.png
    Ignored:    output/mouse/paired-end/
    Ignored:    output/mouse/single-end/
    Ignored:    output/quasi_poisson/
    Ignored:    output/simulation/
    Ignored:    renv/

Untracked files:
    Untracked:  misc/mouse.Rmd/figure1.png
    Untracked:  misc/mouse.Rmd/figure6.png

Unstaged changes:
    Modified:   analysis/mouse.Rmd
    Modified:   analysis/simulation-paper.Rmd
    Modified:   misc/simulation-paper.Rmd/figure2.png
    Modified:   misc/simulation-paper.Rmd/figure3.png
    Modified:   misc/simulation-paper.Rmd/figure4.png
    Modified:   misc/simulation-paper.Rmd/figure5.png

Note that any generated files, e.g. HTML, png, CSS, etc., are not included in this status report because it is ok for generated content to have uncommitted changes.


These are the previous versions of the repository in which changes were made to the R Markdown (analysis/simulation-paper.Rmd) and HTML (docs/simulation-paper.html) files. If you’ve configured a remote Git repository (see ?wflow_git_remote), click on the hyperlinks in the table below to view the files as they were in that past version.

File Version Author Date Message
Rmd 49c9a94 Pedro Baldoni 2023-01-19 Expanding panels to multiple figures
html 49c9a94 Pedro Baldoni 2023-01-19 Expanding panels to multiple figures
Rmd 4276bfc Pedro Baldoni 2023-01-06 Organizing output of latex table
html 4276bfc Pedro Baldoni 2023-01-06 Organizing output of latex table
Rmd a8c51af Pedro Baldoni 2023-01-05 Updating simulation-paper report
html a8c51af Pedro Baldoni 2023-01-05 Updating simulation-paper report
Rmd d34d4e6 Pedro Baldoni 2022-11-24 Adding simulation-paper-report
html d34d4e6 Pedro Baldoni 2022-11-24 Adding simulation-paper-report

Introduction

Setup

knitr::opts_chunk$set(dev = "png",
                      dpi = 300,
                      dev.args = list(type = "cairo-png"),
                      root.dir = '.',
                      autodep = TRUE)

options(knitr.kable.NA = "-")
library(data.table)
library(ggplot2)
library(thematic)
library(plyr)
library(magrittr)
library(limma)
library(edgeR)
library(BiocParallel)
library(devtools)
library(purrr)
library(readr)
library(ggpubr)
library(kableExtra)
library(patchwork)
library(ragg)

load_all('../code/pkg/')

BPPARAM <- MulticoreParam(workers = 16,progressbar = TRUE)
register(BPPARAM)
cleanPlot <- function(x,fig){
  if (x == max(seq_along(fig))) {
    y <- fig[[x]]
  } else{
    y <- fig[[x]] + theme(axis.title.x = element_blank(),
                          axis.text.x = element_blank(),
                          axis.ticks.x = element_blank())
  }
  if (x > 1) {
    y <- y + theme(strip.background.x = element_blank(),
                   strip.text.x = element_blank())
  }
  return(y)
}

subsetDT <- function(x,scenario,panel = NULL,tx.per.gene = NULL, plot = TRUE){
  if(isTRUE(plot)){
    if(panel %in% c('A','B')){
      out <- x[Genome == scenario['genome'] &
                 FC == ifelse(panel == 'A','fc2','fc1') & 
                 Length == scenario['length'] &
                 Reads == scenario['read'] & 
                 Quantifier == scenario['quantifier'] & 
                 Scenario == scenario['scenario'],]
    } else{
      out <- x[Genome == scenario['genome'] &
                 FC == 'fc1' & 
                 Length == scenario['length'] &
                 Reads == scenario['read'] & 
                 Quantifier == scenario['quantifier'] & 
                 Scenario == scenario['scenario'] &
                 TxPerGene == tx.per.gene ,]
    }
  } else{
    out <- x[Genome == scenario['genome'] &
               FC == 'fc2' & 
               Quantifier == scenario['quantifier'] & 
               TxPerGene == scenario['txpergene'],]
  }
  return(out)
}

Analysis

Data wrangling

path.misc <- file.path('../misc',knitr::current_input())
dir.create(path.misc,recursive = TRUE,showWarnings = FALSE)

path.fdr <- 
  list.files('../output/simulation/summary','fdr.tsv.gz',recursive = TRUE,full.names = TRUE)
path.metrics <- 
  list.files('../output/simulation/summary','metrics.tsv.gz',recursive = TRUE,full.names = TRUE)
path.time <- 
  list.files('../output/simulation/summary','time.tsv.gz',recursive = TRUE,full.names = TRUE)
path.quantile <- 
  list.files('../output/simulation/summary','quantile.tsv.gz',recursive = TRUE,full.names = TRUE)
path.pvalue <- 
  list.files('../output/simulation/summary','pvalue.tsv.gz',recursive = TRUE,full.names = TRUE)
path.overdispersion <- 
  list.files('../output/simulation/summary','overdispersion.tsv.gz',recursive = TRUE,full.names = TRUE)
# Loading datasets
dt.fdr <- do.call(rbind,lapply(path.fdr,fread))
dt.metrics <- do.call(rbind,lapply(path.metrics,fread))
dt.time <- do.call(rbind,lapply(path.time,fread))
dt.quantile <- do.call(rbind,lapply(path.quantile,fread))
dt.pvalue <- do.call(rbind,lapply(path.pvalue,fread))
dt.overdispersion <- do.call(rbind,lapply(path.overdispersion,fread))
# Changing labels
dt.fdr$TxPerGene %<>%
  mapvalues(from = paste0(c(2, 3, 4, 5, 9999), 'TxPerGene'),
            to = c(paste0("#Tx/Gene = ", c(2, 3, 4, 5)), 'All Transcripts'))
dt.fdr$LibsPerGroup %<>%
  mapvalues(from = paste0(c(3, 5), 'libsPerGroup'),
            to = paste0('#Lib/Group = ', c(3, 5)))
dt.fdr$Quantifier %<>% mapvalues(from = 'salmon', to = 'Salmon')
dt.fdr$Length %<>% mapvalues(from = paste0('readlen-', seq(50, 150, 25)),
                             to = paste0(seq(50, 150, 25), 'bp'))

dt.metrics$TxPerGene %<>%
  mapvalues(from = paste0(c(2, 3, 4, 5, 9999), 'TxPerGene'),
            to = c(paste0("#Tx/Gene = ", c(2, 3, 4, 5)), 'All Transcripts'))
dt.metrics$LibsPerGroup %<>%
  mapvalues(from = paste0(c(3, 5), 'libsPerGroup'),
            to = paste0('#Lib/Group = ', c(3, 5)))
dt.metrics$Quantifier %<>% mapvalues(from = 'salmon', to = 'Salmon')
dt.metrics$Length %<>% mapvalues(from = paste0('readlen-', seq(50, 150, 25)),
                                 to = paste0(seq(50, 150, 25), 'bp'))

dt.time$TxPerGene %<>%
  mapvalues(from = paste0(c(2, 3, 4, 5, 9999), 'TxPerGene'),
            to = c(paste0("#Tx/Gene = ", c(2, 3, 4, 5)), 'All Transcripts'))
dt.time$LibsPerGroup %<>%
  mapvalues(from = paste0(c(3, 5), 'libsPerGroup'),
            to = paste0('#Lib/Group = ', c(3, 5)))
dt.time$Quantifier %<>% mapvalues(from = 'salmon', to = 'Salmon')
dt.time$Length %<>% mapvalues(from = paste0('readlen-', seq(50, 150, 25)),
                              to = paste0(seq(50, 150, 25), 'bp'))

dt.quantile$TxPerGene %<>%
  mapvalues(from = paste0(c(2, 3, 4, 5, 9999), 'TxPerGene'),
            to = c(paste0("#Tx/Gene = ", c(2, 3, 4, 5)), 'All Transcripts'))
dt.quantile$LibsPerGroup %<>%
  mapvalues(from = paste0(c(3, 5), 'libsPerGroup'),
            to = paste0('#Lib/Group = ', c(3, 5)))
dt.quantile$Quantifier %<>% mapvalues(from = 'salmon', to = 'Salmon')
dt.quantile$Length %<>% mapvalues(from = paste0('readlen-', seq(50, 150, 25)),
                                  to = paste0(seq(50, 150, 25), 'bp'))

dt.pvalue$TxPerGene %<>%
  mapvalues(from = paste0(c(2, 3, 4, 5, 9999), 'TxPerGene'),
            to = c(paste0("#Tx/Gene = ", c(2, 3, 4, 5)), 'All Transcripts'))
dt.pvalue$LibsPerGroup %<>%
  mapvalues(from = paste0(c(3, 5), 'libsPerGroup'),
            to = paste0('#Lib/Group = ', c(3, 5)))
dt.pvalue$Quantifier %<>% mapvalues(from = 'salmon', to = 'Salmon')
dt.pvalue$Length %<>% mapvalues(from = paste0('readlen-', seq(50, 150, 25)),
                                to = paste0(seq(50, 150, 25), 'bp'))

dt.overdispersion$TxPerGene %<>%
  mapvalues(from = paste0(c(2, 3, 4, 5, 9999), 'TxPerGene'),
            to = c(paste0("#Tx/Gene = ", c(2, 3, 4, 5)), 'All Transcripts'))
dt.overdispersion$LibsPerGroup %<>%
  mapvalues(from = paste0(c(3, 5), 'libsPerGroup'),
            to = paste0('#Lib/Group = ', c(3, 5)))
dt.overdispersion$Quantifier %<>% mapvalues(from = 'salmon', to = 'Salmon')
dt.overdispersion$Length %<>% mapvalues(from = paste0('readlen-', seq(50, 150, 25)),
                                        to = paste0(seq(50, 150, 25), 'bp'))
dt.scenario <- expand.grid('genome' = 'mm39',
                           'length' = c('50bp','75bp','100bp','125bp','150bp'),
                           'read' = c('single-end','paired-end'),
                           'quantifier' = c('Salmon','kallisto'),
                           'scenario' = c('balanced','unbalanced'),
                           stringsAsFactors = FALSE)
dt.scenario <- as.data.table(dt.scenario)

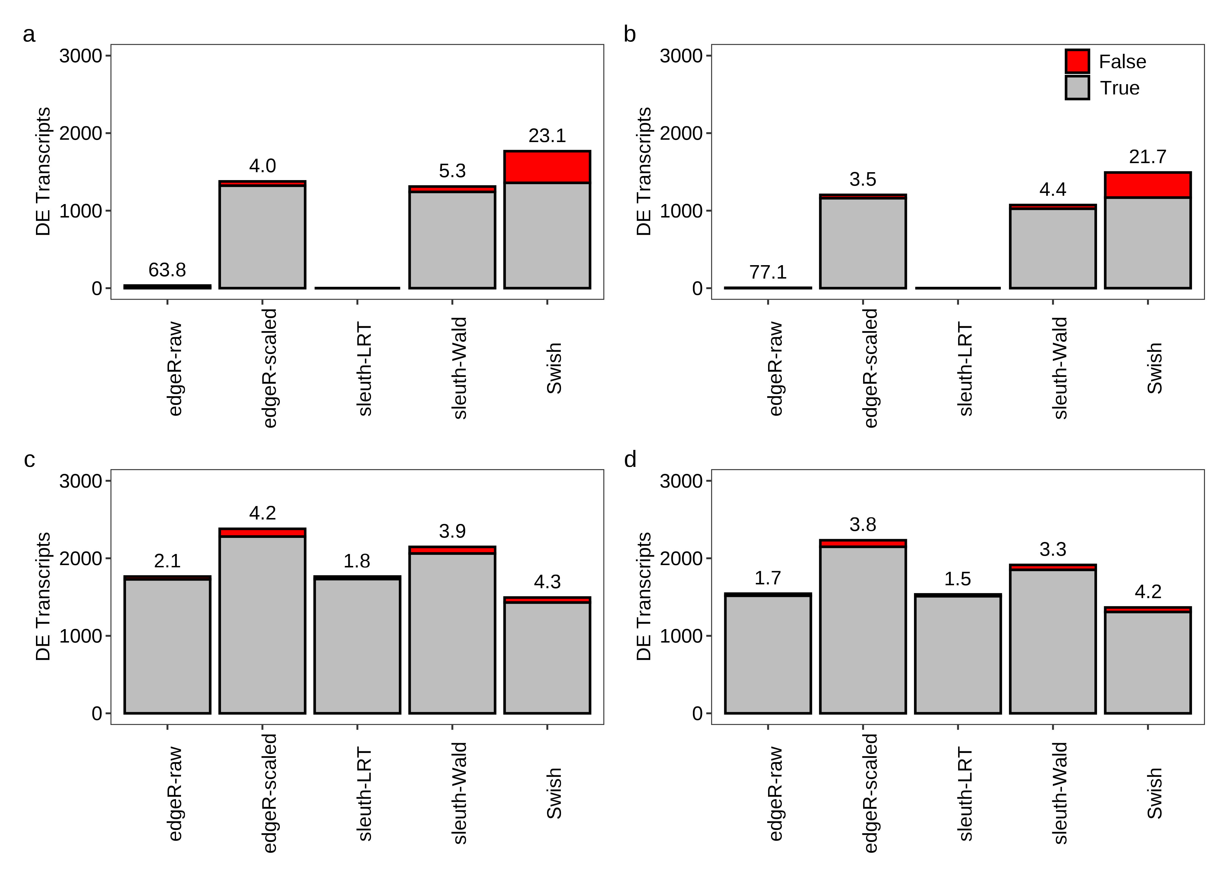
Power plot & False discovery rate

scenario.balanced <- as.character(dt.scenario[length == '100bp' &
                                                read == 'paired-end' &
                                                quantifier == 'Salmon' &
                                                scenario == 'balanced',])
scenario.unbalanced <- as.character(dt.scenario[length == '100bp' &
                                                  read == 'paired-end' &
                                                  quantifier == 'Salmon' &
                                                  scenario == 'unbalanced',])
names(scenario.balanced) <- colnames(dt.scenario)
names(scenario.unbalanced) <- colnames(dt.scenario)


dt.power <- rbind(subsetDT(dt.metrics,scenario.balanced,'A'),
                  subsetDT(dt.metrics,scenario.unbalanced,'A'))

dt.power$LibsPerGroup %<>% mapvalues(from = paste0('#Lib/Group = ', c(3, 5)),
                                     to = paste0(c(3,5),' samples per group'))

dt.power$Scenario %<>% 
  mapvalues(from = c('balanced','unbalanced'),
            to = c('Equal library sizes','Unequal library sizes'))

dt.power[, FDR := roundPretty(ifelse((FP+TP) == 0,NA,100*FP/(FP+TP)),1)]

dt.power <- dt.power[TxPerGene == 'All Transcripts',]

sub.byvar <- 
  colnames(dt.power)[-which(colnames(dt.power) %in% c('P.SIG','TP','FP'))]

gap <- 0.05*max(dt.power$TP + dt.power$FP)

x.melt <- melt(dt.power,id.vars = sub.byvar,
               measure.vars = c('TP','FP'),
               variable.name = 'Type',
               value.name = 'Value')
x.melt$Type <- 
  factor(x.melt$Type,
         levels = c('FP','TP'),
         labels = c('False','True'))

plot.power <- function(df.bar,df.txt,scenario,library,legend = FALSE, base_size = 8){
  tb.bar <- df.bar[Scenario == scenario & LibsPerGroup == library,]
  tb.txt <- df.txt[Scenario == scenario & LibsPerGroup == library,][FDR != 'NA',]
  
  ggplot(tb.bar,aes(x = Method,y = Value,fill = Type)) +
    geom_col(colour = 'black') +
    geom_text(aes(x = Method,y = (TP + FP) + gap,label = FDR),
              vjust = 0,data = tb.txt,size = base_size/.pt,inherit.aes = FALSE) +
    scale_fill_manual(values = c('#ff0000','#bebebe')) +
    labs(x = NULL,y = paste('DE Transcripts')) +
    scale_y_continuous(limits = c(0,3000)) +
    theme_bw(base_size = base_size,base_family = 'sans') +
    theme(panel.grid = element_blank(),
          axis.text.x = element_text(angle = 90),
          axis.text = element_text(colour = 'black',size = base_size)) +
    if (legend == TRUE) theme(legend.background = element_rect(fill = alpha('white', 0)),
                              legend.text = element_text(size = base_size),
                              legend.position = c(0.80,0.90),legend.title = element_blank(),
                              legend.key.size = unit(0.75,"line")) else theme(legend.position = 'none')
}

fig.power.a <- plot.power(df.bar = x.melt,df.txt = dt.power,scenario = 'Equal library sizes',library = '3 samples per group')
fig.power.b <- plot.power(df.bar = x.melt,df.txt = dt.power,scenario = 'Unequal library sizes',library = '3 samples per group',legend = TRUE)
fig.power.c <- plot.power(df.bar = x.melt,df.txt = dt.power,scenario = 'Equal library sizes',library = '5 samples per group')
fig.power.d <- plot.power(df.bar = x.melt,df.txt = dt.power,scenario = 'Unequal library sizes',library = '5 samples per group')

fig.power <- (fig.power.a + fig.power.b) / (fig.power.c + fig.power.d) +
  plot_annotation(tag_levels = 'a') +
  theme(plot.tag = element_text(size = 8))

agg_png(filename = file.path(path.misc,"figure2.png"),width = 5,height = 5,units = 'in',res = 300)
fig.power
dev.off()
png 
  2 
fig.power

Version Author Date
49c9a94 Pedro Baldoni 2023-01-19
5dcd60b Pedro Baldoni 2023-01-04
d34d4e6 Pedro Baldoni 2022-11-24
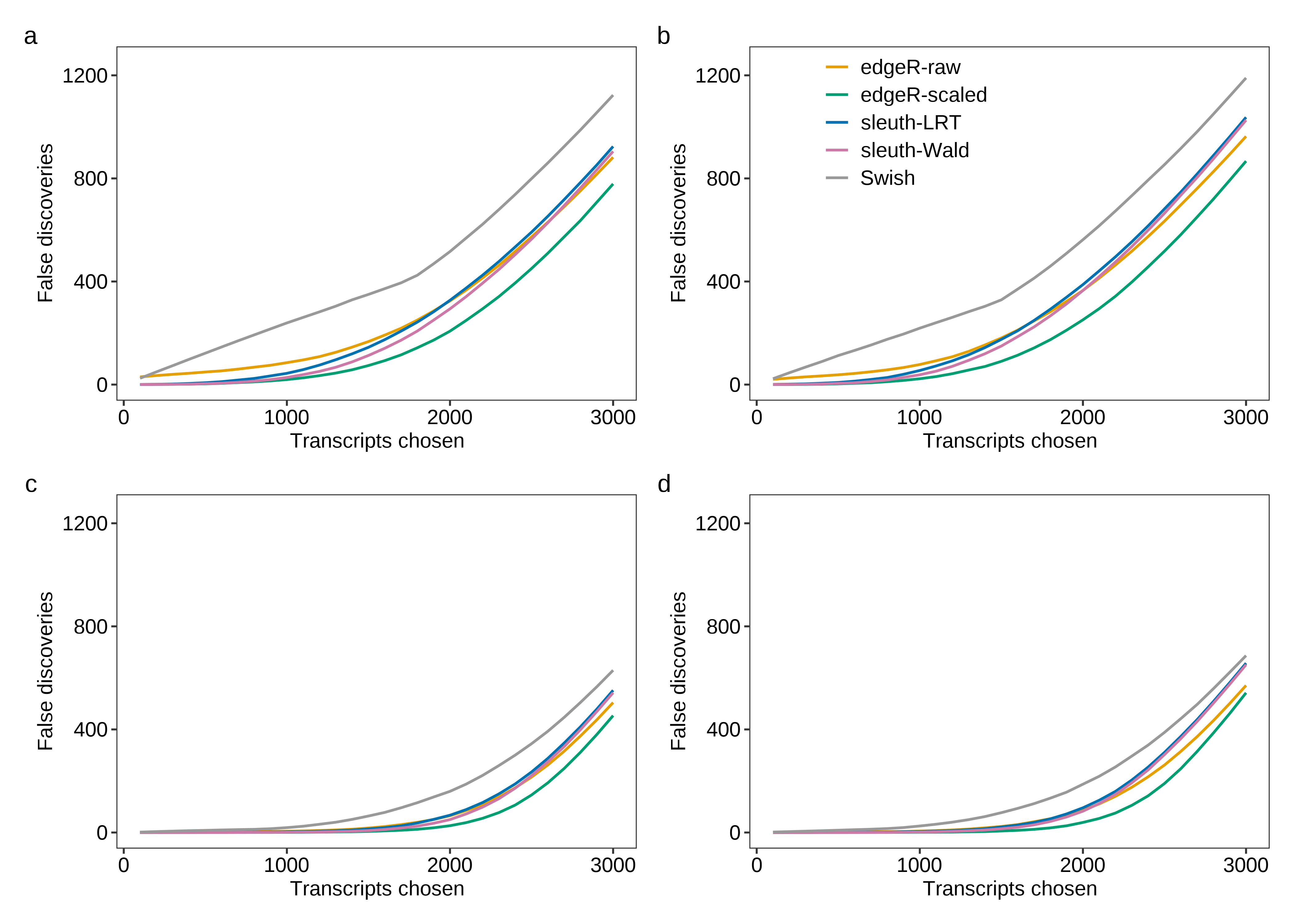
dt.fdr.plot <- rbind(subsetDT(dt.fdr,scenario.balanced,'A'),
                     subsetDT(dt.fdr,scenario.unbalanced,'A'))

dt.fdr.plot$LibsPerGroup %<>% 
  mapvalues(from = paste0('#Lib/Group = ', c(3, 5)),
            to = paste0(c(3,5),' samples per group'))

dt.fdr.plot$Scenario %<>% 
  mapvalues(from = c('balanced','unbalanced'),
            to = c('Equal library sizes','Unequal library sizes'))

dt.fdr.plot <- dt.fdr.plot[TxPerGene == 'All Transcripts',]

plot.fdr <- function(df.line,scenario,library,legend = FALSE,base_size = 8){
  tb.bar <- df.line[Scenario == scenario & LibsPerGroup == library,]
  
  ggplot(tb.bar,aes(x = N,y = FDR,color = Method,group = Method)) +
    geom_line(linewidth = 0.5) +
    scale_color_manual(values = methodsNames()$color) +
    scale_y_continuous(limits = c(0,1250)) +
    labs(y = 'False discoveries',x = 'Transcripts chosen') +
    theme_bw(base_size = base_size,base_family = 'sans') +
    theme(panel.grid = element_blank(),
          axis.text = element_text(colour = 'black',size = base_size)) +
    if (legend == TRUE) theme(legend.background = element_rect(fill = alpha('white', 0)),
                              legend.direction = 'vertical',
                              legend.position = c(0.3,0.8),
                              legend.text = element_text(size = base_size),
                              legend.title = element_blank(),
                              legend.key.size = unit(0.75,"line")) else theme(legend.position = 'none')
}

fig.fdr.a <- plot.fdr(df.line = dt.fdr.plot,scenario = 'Equal library sizes',library = '3 samples per group')
fig.fdr.b <- plot.fdr(df.line = dt.fdr.plot,scenario = 'Unequal library sizes',library = '3 samples per group',legend = TRUE)
fig.fdr.c <- plot.fdr(df.line = dt.fdr.plot,scenario = 'Equal library sizes',library = '5 samples per group')
fig.fdr.d <- plot.fdr(df.line = dt.fdr.plot,scenario = 'Unequal library sizes',library = '5 samples per group')

fig.fdr <- (fig.fdr.a + fig.fdr.b) / (fig.fdr.c + fig.fdr.d) +
  plot_annotation(tag_levels = 'a')

agg_png(filename = file.path(path.misc,"figure3.png"),width = 5,height = 5,units = 'in',res = 300)
fig.fdr
dev.off()
png 
  2 
fig.fdr

Version Author Date
5dcd60b Pedro Baldoni 2023-01-04
d34d4e6 Pedro Baldoni 2022-11-24

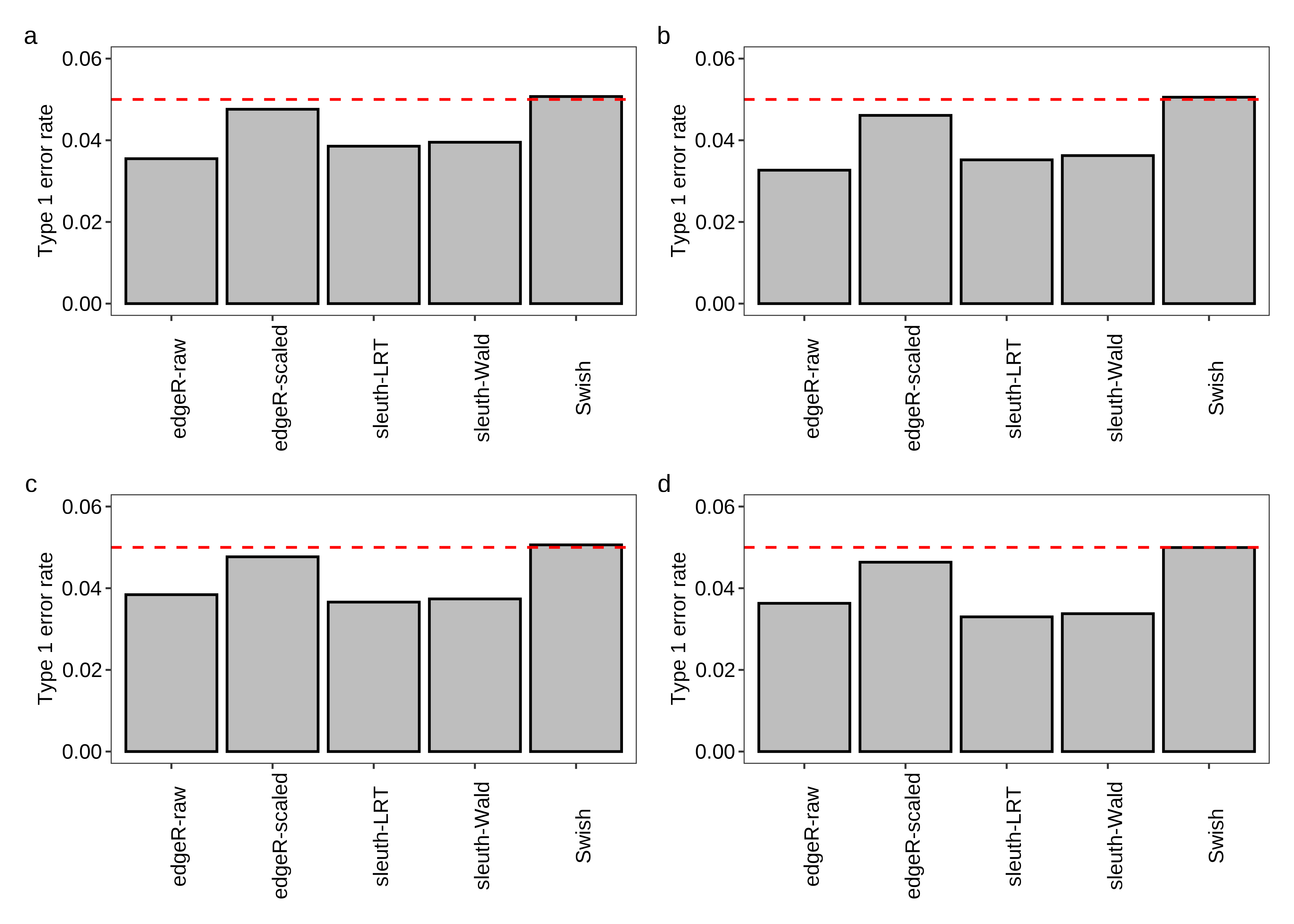
Type 1 error

dt.type1error <- rbind(subsetDT(dt.metrics,scenario.balanced,'B'),
                       subsetDT(dt.metrics,scenario.unbalanced,'B'))

dt.type1error$LibsPerGroup %<>% 
  mapvalues(from = paste0('#Lib/Group = ', c(3, 5)),
            to = paste0(c(3,5),' samples per group'))

dt.type1error$Scenario %<>% 
  mapvalues(from = c('balanced','unbalanced'),
            to = c('Equal library sizes','Unequal library sizes'))

dt.type1error[, FDR := roundPretty(ifelse((FP+TP) == 0,NA,100*FP/(FP+TP)),1)]

dt.type1error <- dt.type1error[TxPerGene == 'All Transcripts',]


sub.byvar <- 
  colnames(dt.type1error)[-which(colnames(dt.type1error) %in% c('P.SIG','TP','FP'))]

x.melt <- 
  melt(dt.type1error,id.vars = sub.byvar,
       measure.vars = c('P.SIG'),variable.name = 'Type',value.name = 'Value')

plot.type1error <- function(df.bar,scenario,library,legend = FALSE,base_size = 8){
  tb.bar <- df.bar[Scenario == scenario & LibsPerGroup == library,]
  
  ggplot(tb.bar,aes(x = Method,y = Value)) +
    geom_col(fill = "#bebebe",col = 'black') +
    geom_hline(yintercept = 0.05,color = '#ff0000',linetype = 'dashed',linewidth = 0.5) +
    labs(x = NULL,y = paste('Type 1 error rate')) +
    scale_y_continuous(limits = c(0,0.06),breaks = c(0,0.02,0.04,0.06)) +
    theme_bw(base_size = base_size,base_family = 'sans') +
    theme(panel.grid = element_blank(),
          axis.text.x = element_text(angle = 90),
          axis.text = element_text(colour = 'black',size = base_size))
}

fig.type1error.a <- plot.type1error(df.bar = x.melt,scenario = 'Equal library sizes',library = '3 samples per group')
fig.type1error.b <- plot.type1error(df.bar = x.melt,scenario = 'Unequal library sizes',library = '3 samples per group')
fig.type1error.c <- plot.type1error(df.bar = x.melt,scenario = 'Equal library sizes',library = '5 samples per group')
fig.type1error.d <- plot.type1error(df.bar = x.melt,scenario = 'Unequal library sizes',library = '5 samples per group')

fig.type1error <- (fig.type1error.a + fig.type1error.b) / (fig.type1error.c + fig.type1error.d) +
  plot_annotation(tag_levels = 'a')

agg_png(filename = file.path(path.misc,"figure4.png"),width = 5,height = 5,units = 'in',res = 300) 
fig.type1error
dev.off()
png 
  2 
fig.type1error

Version Author Date
49c9a94 Pedro Baldoni 2023-01-19
5dcd60b Pedro Baldoni 2023-01-04
d34d4e6 Pedro Baldoni 2022-11-24
dt.pvalue.plot <- subsetDT(dt.pvalue,scenario.unbalanced,'C','All Transcripts')
dt.pvalue.plot <- dt.pvalue.plot[LibsPerGroup == '#Lib/Group = 5',]

plot.hist <- function(df.hist,method,legend = FALSE,base_size = 8){
  tb.bar <- df.hist[Method == method,]
  
  ggplot(data = tb.bar,aes(x = PValue,y = Density.Avg)) +
    geom_col(fill = "#bebebe",col = 'black',position = position_dodge(),width = 0.75) +
    geom_hline(yintercept = 1,col = '#ff0000',linetype = 'dashed',linewidth = 0.5) +
    scale_x_discrete(breaks = c("(0.00-0.05]","(0.50-0.55]","(0.95-1.00]"),
                     labels = c(0.00,0.50,1.00)) +
    labs(x = 'P-values',y = 'Density') +
    theme_bw(base_size = base_size,base_family = 8) +
    theme(panel.grid = element_blank(),
          axis.text = element_text(colour = 'black',size = base_size))
}

fig.hist.a <- plot.hist(df.hist = dt.pvalue.plot,method = 'edgeR-raw')
fig.hist.b <- plot.hist(df.hist = dt.pvalue.plot,method = 'edgeR-scaled')
fig.hist.c <- plot.hist(df.hist = dt.pvalue.plot,method = 'sleuth-LRT')
fig.hist.d <- plot.hist(df.hist = dt.pvalue.plot,method = 'sleuth-Wald')
fig.hist.e <- plot.hist(df.hist = dt.pvalue.plot,method = 'Swish')

design <- c(
  area(1,1),area(1,2),
  area(2,1),area(2,2),
  area(3,1)
)

fig.hist <- fig.hist.a + fig.hist.b + fig.hist.c + fig.hist.d + fig.hist.e +
  plot_layout(design = design) +
  plot_annotation(tag_levels = 'a')

agg_png(filename = file.path(path.misc,"figure5.png"),width = 5,height = 7.5,units = 'in',res = 300)
fig.hist
dev.off()
png 
  2 
fig.type1error

Version Author Date
49c9a94 Pedro Baldoni 2023-01-19
5dcd60b Pedro Baldoni 2023-01-04
d34d4e6 Pedro Baldoni 2022-11-24

Read type

# Overdispersion fold-change
dt.sigma2 <- dt.overdispersion[TxPerGene == 'All Transcripts' & 
                                 Quantifier == 'Salmon' & 
                                 Scenario == 'unbalanced' & 
                                 FC == 'fc2',]

dt.sigma2 <- dt.sigma2[,-c(1,3,5,6,8,10:15)]

dt.sigma2.150.PE <- dt.sigma2[Length == '150bp' & Reads == 'paired-end',][,-c(1,2)]
setnames(dt.sigma2.150.PE,old = 'Mean',new = 'Mean.150.PE')

dt.sigma2 <- merge(dt.sigma2,dt.sigma2.150.PE,by = c('LibsPerGroup'),
                   all.x=TRUE,sort = FALSE)

dt.sigma2[,FC := Mean - Mean.150.PE]

dt.sigma2.3 <- dt.sigma2[LibsPerGroup == '#Lib/Group = 3',]
dt.sigma2.5 <- dt.sigma2[LibsPerGroup == '#Lib/Group = 5',]

dt.sigma2.3 <- dcast(dt.sigma2.3,LibsPerGroup + Length ~ Reads,value.var = 'FC')
dt.sigma2.5 <- dcast(dt.sigma2.5,LibsPerGroup + Length ~ Reads,value.var = 'FC')

setnames(dt.sigma2.3,
         old = c('paired-end','single-end'),
         new = c('FC.PE','FC.SE'))
setnames(dt.sigma2.5,
         old = c('paired-end','single-end'),
         new = c('FC.PE','FC.SE'))

setcolorder(dt.sigma2.3,neworder = c('LibsPerGroup','Length','FC.PE','FC.SE'))
setcolorder(dt.sigma2.5,neworder = c('LibsPerGroup','Length','FC.PE','FC.SE'))

dt.sigma2.long <- rbind(dt.sigma2.3,dt.sigma2.5)
dt.sigma2.long$LibsPerGroup %<>% 
  mapvalues(from = c('#Lib/Group = 3','#Lib/Group = 5'),to = c(3,5))
dt.sigma2.long$Length %<>% factor(levels = paste0(seq(50,150,25),'bp'))
dt.sigma2.long <- dt.sigma2.long[order(LibsPerGroup,Length),]

# Power and FDR
dt.scenario.table <- 
  expand.grid('genome' = 'mm39',
              'quantifier' = c('Salmon','kallisto'),
              'txpergene' = c(paste0('#Tx/Gene = ',2:5),'All Transcripts'),
              stringsAsFactors = FALSE)

dt.scenario.table <- as.data.table(dt.scenario.table)

scenario.table <- 
  dt.scenario.table[quantifier == 'Salmon' & txpergene == 'All Transcripts',]
scenario.table <- as.character(scenario.table)
names(scenario.table) <- colnames(dt.scenario.table)

dt.table <- subsetDT(dt.metrics,scenario = scenario.table,plot = FALSE)
dt.table <- dt.table[Method == 'edgeR-scaled' &
                       Scenario == 'unbalanced',]

dt.table[,Power := TP/3000]
dt.table[,FDR := ifelse((FP+TP) == 0,NA,FP/(FP+TP))]

dt.table.3 <- dt.table[LibsPerGroup == '#Lib/Group = 3',][,-c(1,3,5,6,8:12)]
dt.table.5 <- dt.table[LibsPerGroup == '#Lib/Group = 5',][,-c(1,3,5,6,8:12)]

dt.table.3 <- dcast(dt.table.3,LibsPerGroup + Length ~ Reads,value.var = c('Power','FDR'))
dt.table.5 <- dcast(dt.table.5,LibsPerGroup + Length ~ Reads,value.var = c('Power','FDR'))

setnames(dt.table.3,
         old = c('Power_paired-end','Power_single-end','FDR_paired-end','FDR_single-end'),
         new = c('Power.PE','Power.SE','FDR.PE','FDR.SE'))
setnames(dt.table.5,
         old = c('Power_paired-end','Power_single-end','FDR_paired-end','FDR_single-end'),
         new = c('Power.PE','Power.SE','FDR.PE','FDR.SE'))

setcolorder(dt.table.3,neworder = c('LibsPerGroup','Length','Power.SE','FDR.SE','Power.PE','FDR.PE'))
setcolorder(dt.table.5,neworder = c('LibsPerGroup','Length','Power.SE','FDR.SE','Power.PE','FDR.PE'))

dt.table.long <- rbind(dt.table.3,dt.table.5)
dt.table.long$LibsPerGroup %<>% mapvalues(from = c('#Lib/Group = 3','#Lib/Group = 5'),to = c(3,5))
dt.table.long$Length %<>% factor(levels = paste0(seq(50,150,25),'bp'))
dt.table.long <- dt.table.long[order(LibsPerGroup,Length),]

# Organizing tables

dt.table.sigma2 <- 
  merge(dt.table.long,dt.sigma2.long,
        all.x = TRUE,by = c('LibsPerGroup','Length'),sort = FALSE)

setcolorder(dt.table.sigma2,
            neworder = c('LibsPerGroup','Length',
                         'FC.SE','Power.SE','FDR.SE',
                         'FC.PE','Power.PE','FDR.PE'))

dt.table.sigma2[,Length := gsub('bp','',Length)]
dt.table.sigma2$LibsPerGroup %<>% mapvalues(from = c(3,5),to = c('Three','Five'))

tb <- kbl(dt.table.sigma2,digits = 3,format = 'latex',escape = FALSE,booktabs = TRUE,
          align = c('c','r',rep('r',6)),
          col.names = linebreak(c('Samples per\ngroup','Read Length\n(bp)',
                                  'Mapping Ambiguity\nlog-FC','Power','FDR',
                                  'Mapping Ambiguity\nlog-FC','Power','FDR'),align = "c")) %>%
  add_header_above(c(" " = 2, "Single-end Read" = 3, "Paired-end Read" = 3)) %>%
  collapse_rows(1, latex_hline = 'major')

save_kable(tb,file = file.path(path.misc,"table1.tex"))

Speed

Averaging over multiple scenarios:

dt.time[, .(min =60*min(Time),
            mean = 60*mean(Time),
            med = 60*median(Time),
          max = 60*max(Time)),by = c('Quantifier','LibsPerGroup','Method')]
    Quantifier   LibsPerGroup       Method       min       mean        med
 1:   kallisto #Lib/Group = 3   sleuth-LRT 122.47190 153.520267 153.639175
 2:   kallisto #Lib/Group = 3  sleuth-Wald 101.33460 120.665348 120.291200
 3:   kallisto #Lib/Group = 3        Swish  38.59855  48.828552  48.749300
 4:   kallisto #Lib/Group = 3 edgeR-scaled   8.11885  10.494707  10.539950
 5:   kallisto #Lib/Group = 3    edgeR-raw   8.39195  11.359861  11.343150
 6:     Salmon #Lib/Group = 3   sleuth-LRT 116.52835 149.282093 149.604325
 7:     Salmon #Lib/Group = 3  sleuth-Wald  97.62610 115.840474 116.410875
 8:     Salmon #Lib/Group = 3        Swish  37.41650  46.387361  46.050375
 9:     Salmon #Lib/Group = 3 edgeR-scaled   5.71395   7.365681   7.438375
10:     Salmon #Lib/Group = 3    edgeR-raw   6.06345   8.133473   8.236800
11:   kallisto #Lib/Group = 5   sleuth-LRT 183.69085 215.280671 213.857650
12:   kallisto #Lib/Group = 5  sleuth-Wald 163.19610 181.978687 181.295200
13:   kallisto #Lib/Group = 5        Swish  55.27110  69.293242  69.340225
14:   kallisto #Lib/Group = 5 edgeR-scaled  12.22420  15.182799  15.288325
15:   kallisto #Lib/Group = 5    edgeR-raw  12.33520  16.038983  16.092425
16:     Salmon #Lib/Group = 5   sleuth-LRT 180.08925 214.219356 214.023450
17:     Salmon #Lib/Group = 5  sleuth-Wald 158.58880 177.781138 178.197675
18:     Salmon #Lib/Group = 5        Swish  52.00585  64.131554  64.104225
19:     Salmon #Lib/Group = 5 edgeR-scaled   8.04430  10.270687  10.360175
20:     Salmon #Lib/Group = 5    edgeR-raw   8.45140  11.141194  11.261925
          max
 1: 239.02190
 2: 170.68920
 3:  95.24830
 4:  14.38945
 5:  18.12705
 6: 291.38200
 7: 157.88850
 8:  93.28435
 9:   9.84275
10:  10.73100
11: 260.40370
12: 210.15900
13:  90.89460
14:  18.83985
15:  20.33185
16: 589.00495
17: 204.32945
18:  97.44075
19:  12.95745
20:  13.80970

sessionInfo()
R version 4.2.1 (2022-06-23)
Platform: x86_64-pc-linux-gnu (64-bit)
Running under: CentOS Linux 7 (Core)

Matrix products: default
BLAS:   /stornext/System/data/apps/R/R-4.2.1/lib64/R/lib/libRblas.so
LAPACK: /stornext/System/data/apps/R/R-4.2.1/lib64/R/lib/libRlapack.so

locale:
 [1] LC_CTYPE=en_US.UTF-8       LC_NUMERIC=C              
 [3] LC_TIME=en_US.UTF-8        LC_COLLATE=en_US.UTF-8    
 [5] LC_MONETARY=en_US.UTF-8    LC_MESSAGES=en_US.UTF-8   
 [7] LC_PAPER=en_US.UTF-8       LC_NAME=C                 
 [9] LC_ADDRESS=C               LC_TELEPHONE=C            
[11] LC_MEASUREMENT=en_US.UTF-8 LC_IDENTIFICATION=C       

attached base packages:
[1] stats     graphics  grDevices utils     datasets  methods   base     

other attached packages:
 [1] pkg_1.0             ragg_1.2.4          patchwork_1.1.2    
 [4] kableExtra_1.3.4    ggpubr_0.5.0        readr_2.1.3        
 [7] purrr_0.3.5         devtools_2.4.5      usethis_2.1.6      
[10] BiocParallel_1.32.3 edgeR_3.40.0        limma_3.54.0       
[13] magrittr_2.0.3      plyr_1.8.8          thematic_0.1.2.1   
[16] ggplot2_3.4.0       data.table_1.14.6   workflowr_1.7.0    

loaded via a namespace (and not attached):
  [1] utf8_1.2.2                    tidyselect_1.2.0             
  [3] RSQLite_2.2.19                AnnotationDbi_1.60.0         
  [5] htmlwidgets_1.5.4             grid_4.2.1                   
  [7] munsell_0.5.0                 codetools_0.2-18             
  [9] miniUI_0.1.1.1                withr_2.5.0                  
 [11] colorspace_2.0-3              Biobase_2.58.0               
 [13] filelock_1.0.2                highr_0.9                    
 [15] knitr_1.41                    rstudioapi_0.14              
 [17] stats4_4.2.1                  SingleCellExperiment_1.20.0  
 [19] ggsignif_0.6.4                Rsubread_2.12.0              
 [21] labeling_0.4.2                MatrixGenerics_1.10.0        
 [23] git2r_0.30.1                  tximport_1.26.0              
 [25] GenomeInfoDbData_1.2.9        farver_2.1.1                 
 [27] bit64_4.0.5                   rhdf5_2.42.0                 
 [29] rprojroot_2.0.3               vctrs_0.5.1                  
 [31] generics_0.1.3                xfun_0.35                    
 [33] BiocFileCache_2.6.0           fishpond_2.4.0               
 [35] R6_2.5.1                      GenomeInfoDb_1.34.3          
 [37] locfit_1.5-9.6                AnnotationFilter_1.22.0      
 [39] bitops_1.0-7                  rhdf5filters_1.10.0          
 [41] cachem_1.0.6                  DelayedArray_0.24.0          
 [43] showtext_0.9-5                assertthat_0.2.1             
 [45] promises_1.2.0.1              BiocIO_1.8.0                 
 [47] scales_1.2.1                  gtable_0.3.1                 
 [49] processx_3.8.0                ensembldb_2.22.0             
 [51] rlang_1.0.6                   systemfonts_1.0.4            
 [53] splines_4.2.1                 rtracklayer_1.58.0           
 [55] rstatix_0.7.1                 lazyeval_0.2.2               
 [57] broom_1.0.1                   BiocManager_1.30.19          
 [59] yaml_2.3.6                    abind_1.4-5                  
 [61] GenomicFeatures_1.50.2        backports_1.4.1              
 [63] sleuth_0.30.0                 httpuv_1.6.6                 
 [65] wasabi_1.0.1                  tools_4.2.1                  
 [67] ellipsis_0.3.2                jquerylib_0.1.4              
 [69] BiocGenerics_0.44.0           sessioninfo_1.2.2            
 [71] Rcpp_1.0.9                    progress_1.2.2               
 [73] zlibbioc_1.44.0               RCurl_1.98-1.9               
 [75] ps_1.7.2                      prettyunits_1.1.1            
 [77] urlchecker_1.0.1              S4Vectors_0.36.0             
 [79] SummarizedExperiment_1.28.0   fs_1.5.2                     
 [81] svMisc_1.2.3                  whisker_0.4                  
 [83] ProtGenerics_1.30.0           matrixStats_0.63.0           
 [85] pkgload_1.3.2                 hms_1.1.2                    
 [87] mime_0.12                     evaluate_0.18                
 [89] xtable_1.8-4                  XML_3.99-0.12                
 [91] IRanges_2.32.0                compiler_4.2.1               
 [93] biomaRt_2.54.0                tibble_3.1.8                 
 [95] crayon_1.5.2                  htmltools_0.5.3              
 [97] later_1.3.0                   tzdb_0.3.0                   
 [99] tidyr_1.2.1                   DBI_1.1.3                    
[101] dbplyr_2.2.1                  rappdirs_0.3.3               
[103] Matrix_1.5-3                  car_3.1-1                    
[105] cli_3.4.1                     parallel_4.2.1               
[107] GenomicRanges_1.50.1          pkgconfig_2.0.3              
[109] getPass_0.2-2                 GenomicAlignments_1.34.0     
[111] xml2_1.3.3                    svglite_2.1.0                
[113] bslib_0.4.1                   webshot_0.5.4                
[115] XVector_0.38.0                rvest_1.0.3                  
[117] stringr_1.4.1                 callr_3.7.3                  
[119] digest_0.6.30                 showtextdb_3.0               
[121] Biostrings_2.66.0             rmarkdown_2.18               
[123] tximeta_1.16.0                restfulr_0.0.15              
[125] curl_4.3.3                    shiny_1.7.3                  
[127] Rsamtools_2.14.0              gtools_3.9.3                 
[129] rjson_0.2.21                  lifecycle_1.0.3              
[131] jsonlite_1.8.3                Rhdf5lib_1.20.0              
[133] carData_3.0-5                 desc_1.4.2                   
[135] viridisLite_0.4.1             fansi_1.0.3                  
[137] pillar_1.8.1                  lattice_0.20-45              
[139] KEGGREST_1.38.0               fastmap_1.1.0                
[141] httr_1.4.4                    pkgbuild_1.3.1               
[143] interactiveDisplayBase_1.36.0 glue_1.6.2                   
[145] remotes_2.4.2                 png_0.1-7                    
[147] BiocVersion_3.16.0            bit_4.0.5                    
[149] stringi_1.7.8                 sass_0.4.4                   
[151] profvis_0.3.7                 blob_1.2.3                   
[153] textshaping_0.3.6             AnnotationHub_3.6.0          
[155] memoise_2.0.1                 dplyr_1.0.10                 
[157] sysfonts_0.8.8