Last updated: 2023-02-24

Checks: 7 0

Knit directory: TranscriptDE-code/analysis/

This reproducible R Markdown analysis was created with workflowr (version 1.7.0). The Checks tab describes the reproducibility checks that were applied when the results were created. The Past versions tab lists the development history.


Great! Since the R Markdown file has been committed to the Git repository, you know the exact version of the code that produced these results.

Great job! The global environment was empty. Objects defined in the global environment can affect the analysis in your R Markdown file in unknown ways. For reproduciblity it’s best to always run the code in an empty environment.

The command set.seed(20221115) was run prior to running the code in the R Markdown file. Setting a seed ensures that any results that rely on randomness, e.g. subsampling or permutations, are reproducible.

Great job! Recording the operating system, R version, and package versions is critical for reproducibility.

Nice! There were no cached chunks for this analysis, so you can be confident that you successfully produced the results during this run.

Great job! Using relative paths to the files within your workflowr project makes it easier to run your code on other machines.

Great! You are using Git for version control. Tracking code development and connecting the code version to the results is critical for reproducibility.

The results in this page were generated with repository version f01c7b4. See the Past versions tab to see a history of the changes made to the R Markdown and HTML files.

Note that you need to be careful to ensure that all relevant files for the analysis have been committed to Git prior to generating the results (you can use wflow_publish or wflow_git_commit). workflowr only checks the R Markdown file, but you know if there are other scripts or data files that it depends on. Below is the status of the Git repository when the results were generated:


Ignored files:
    Ignored:    .DS_Store
    Ignored:    .Rhistory
    Ignored:    .Rproj.user/
    Ignored:    ._.DS_Store
    Ignored:    .gitignore
    Ignored:    TranscriptDE-code.Rproj
    Ignored:    code/.DS_Store
    Ignored:    code/._.DS_Store
    Ignored:    code/lung-se/data/slurm-10685114.out
    Ignored:    code/lung-se/salmon/.RData
    Ignored:    code/lung-se/salmon/runWasabi.Rout
    Ignored:    code/lung-se/salmon/slurm-10685171.out
    Ignored:    code/lung-se/salmon/slurm-10694099.out
    Ignored:    code/lung/data/slurm-10678225.out
    Ignored:    code/lung/index/slurm-10679764.out
    Ignored:    code/lung/index/slurm-10679768.out
    Ignored:    code/lung/index/slurm-10684814.out
    Ignored:    code/lung/salmon/.RData
    Ignored:    code/lung/salmon/runWasabi.Rout
    Ignored:    code/lung/salmon/slurm-10681840.out
    Ignored:    code/lung/salmon/slurm-10681872.out
    Ignored:    code/lung/salmon/slurm-10684950.out
    Ignored:    code/lung/salmon/slurm-10694066.out
    Ignored:    code/pkg/.Rhistory
    Ignored:    code/pkg/.Rproj.user/
    Ignored:    code/pkg/pkg.Rproj
    Ignored:    code/pkg/src/RcppExports.o
    Ignored:    code/pkg/src/pkg.so
    Ignored:    code/pkg/src/rcpparma_hello_world.o
    Ignored:    data/.DS_Store
    Ignored:    data/._.DS_Store
    Ignored:    data/annotation/.DS_Store
    Ignored:    data/annotation/._.DS_Store
    Ignored:    data/annotation/hg38/
    Ignored:    data/annotation/mm39/
    Ignored:    data/annotation/sequins/._rnasequin_annotation_2.4.gtf
    Ignored:    data/annotation/sequins/._rnasequin_decoychr_2.4.fa
    Ignored:    data/annotation/sequins/._rnasequin_decoychr_2.4.fa.fai
    Ignored:    data/annotation/sequins/._rnasequin_genes_2.4.tsv
    Ignored:    data/annotation/sequins/._rnasequin_isoforms_2.4.tsv
    Ignored:    data/annotation/sequins/._rnasequin_sequences_2.4.fa
    Ignored:    data/lung-se/.DS_Store
    Ignored:    data/lung-se/._.DS_Store
    Ignored:    data/lung-se/fastq/
    Ignored:    data/lung-se/misc/._filereport_read_run_PRJNA341465_tsv.txt
    Ignored:    data/lung/.DS_Store
    Ignored:    data/lung/._.DS_Store
    Ignored:    data/lung/fastq/
    Ignored:    data/lung/index/
    Ignored:    data/lung/misc/._filereport_read_run_PRJNA723287_tsv.txt
    Ignored:    ignore/
    Ignored:    misc/.DS_Store
    Ignored:    misc/._.DS_Store
    Ignored:    misc/simulation-paper.Rmd/._figure2.png
    Ignored:    misc/simulation-paper.Rmd/._figure5.png
    Ignored:    output/lung-se/
    Ignored:    output/lung/
    Ignored:    output/quasi_poisson/
    Ignored:    output/simulation/

Note that any generated files, e.g. HTML, png, CSS, etc., are not included in this status report because it is ok for generated content to have uncommitted changes.


These are the previous versions of the repository in which changes were made to the R Markdown (analysis/simulation-complete.Rmd) and HTML (docs/simulation-complete.html) files. If you’ve configured a remote Git repository (see ?wflow_git_remote), click on the hyperlinks in the table below to view the files as they were in that past version.

File Version Author Date Message
html f01c7b4 Pedro Baldoni 2023-02-23 Build site.
Rmd e2ef9d6 Pedro Baldoni 2023-02-23 Removing cache
html 38286e3 Pedro Baldoni 2023-02-17 Build site.
html b8e3979 Pedro Baldoni 2023-02-17 Build site.
Rmd 57b0d00 Pedro Baldoni 2023-02-17 Renaming repo and organizing main page
html 57b0d00 Pedro Baldoni 2023-02-17 Renaming repo and organizing main page
Rmd 48c2c9b Pedro Baldoni 2023-01-05 Updating simulation-complete report
html 48c2c9b Pedro Baldoni 2023-01-05 Updating simulation-complete report
Rmd 8c476c6 Pedro Baldoni 2022-11-24 Adding complete simulation report
html 8c476c6 Pedro Baldoni 2022-11-24 Adding complete simulation report

Introduction

In this report, we present the analysis of the simulations for the catchSalmon/catchKallisto manuscript. These simulations aim to generate typical RNA-seq data from mouse experiments.

News

  • Changes in version 221123:
    • Fix paragraph that discusses average fragment length from Salmon and kallisto. Fix paths to new location in workflowr directory.
  • Changes in version 221105:
    • Simulations with 50, 75, and 100 base pairs read length were re-run with simReads option fragment.length.min = 150L to match the specifications of the simulations using 125bp and 150bp read length.
  • Changes in version 221007:
    • Adding simulations with read length 125bp and 150bp to assess methods’ performance under different read lengths.
  • Changes in version 221007:
    • Adding simulations with read length of 50bp and 100bp to assess methods’ performance under different read lengths.
  • Changes in version 220822:
    • The simulations are designed in such a way that TPM values are directly generated for transcripts. Previously, we found that a two-stage approach with a Dirichlet random variable to split gene-level expression into transcripts was not realistic.
    • Transcript ranks from our reference dataset are now based on Salmon’s TPM from real data, not raw counts.
    • Increased the library size from 30 mi. reads to 50 mi. reads in the balanced scenario. For unbalanced scenario, libraries alternate between 25 mi. and 100 mil. reads in size.
    • Inclusion of an extra scenario with 5 replicates per group. We only had 3 replicates/group until now.
    • We now use edgeR::goodTuring to generate baseline expression values. Previously we used the Zipf law, which we thought to be unrealistic for the number of transcripts we are simulating. The BCV trend is of the form \(\text{BCV} = 0.2 + 1/\sqrt{\text{expression}}\) with gene- and group-specific dispersion of the form \(\text{Dispersion} = BCV^2\times\frac{40}{\chi^2_{40}}\). The motivation for these changes is mainly to match the simulation setup used in the voom paper.

Setup

We load necessary libraries and set up the rendering options below.

knitr::opts_chunk$set(
  echo = TRUE,
  comment = NA,
  size = 'small',
  prompt = TRUE,
  collapse = TRUE,
  dev = "png",
  dpi = 300,
  dev.args = list(type = "cairo-png"),
  fig.height = 4,
  fig.width = 6
)

options(knitr.kable.NA = "-")
> library(data.table)
> library(ggplot2)
> library(thematic)
> library(plyr)
> library(magrittr)
> library(limma)
> library(edgeR)
> library(BiocParallel)
> library(devtools)
Loading required package: usethis
> library(purrr)

Attaching package: 'purrr'
The following object is masked from 'package:magrittr':

    set_names
The following object is masked from 'package:plyr':

    compact
The following object is masked from 'package:data.table':

    transpose
> library(readr)
> library(ggpubr)

Attaching package: 'ggpubr'
The following object is masked from 'package:plyr':

    mutate
> library(kableExtra)
> load_all('../code/pkg/')
ℹ Loading pkg

Simulation setup

We simulated RNA-seq experiments in a variety of scenarios that are detailed in this section. Our simulation pipeline is organized in 4 main steps involving (1) the creation of a reference data set from real RNA-seq experiments, (2) the simulation of sequencing reads, (3) the quantification of simulated reads, and (4) differential transcript expression analysis. Below we describe each of these steps in detail.

Reference dataset

A reference data set was generated from a real RNA-seq data from mouse experiment (NCBI Gene Expression Omnibus accession number GSE60450). For this reference dataset, a subset of relevant genes (protein-coding or lncRNA genes from reference chromosomes with expected CPM > 1 in at least half of the samples) and their associated transcripts (protein-coding and lncRNA transcripts from relevant genes) was selected from the mouse transcriptome using the Gencode basic GTF annotation (version M27). Selected transcripts from the same gene were ranked (in decreasing order) according to their observed expression level (in TPM) averaged across all samples. Only transcripts with unique sequences from protein coding genes and long non-coding RNA (lncRNA) were considered.

More specifically, the selection of such a subset of relevant genes for which the expression of their transcripts would be simulated was done as follows. We summarized Salmon’s quantification to the gene level using the function tximeta::summarizeToGene. Only protein-coding and lncRNA genes from chromosomes 1, …, 22, X, and Y were considered. Next, we estimated baseline expression proportions using edgeR::goodTuringProportions. We selected relevant genes with an expected CPM>1 in at least 6 of the 12 libraries (\(N_G = 13,176\)). Only transcripts from relevant genes were considered in our simulation (\(N_T = 41,372\)). For each relevant gene, transcripts were ranked according to their sample-averaged TPM values obtained from Salmon’s TPM quantifications. We used the baseline expression Good-Turing proportions of relevant genes to create a smoothing function (using approxfun function) to be used when simulating transcript-level expression, in a similar fashion to what was done in Law et al. (2014).

Simulation of sequencing reads

Simulation scenarios varied according to the sequencing read length (50bp, 75bp, 100bp, 125bp, and 150bp), library size (either balanced with 50mi reads/sample or unbalanced with alternating 100mi and 25mi reads/sample), sequencing read type (either single-end or paired-end), maximum number of transcripts per gene considered (either 2, 3, 4, 5, or all transcripts available in the reference data set), the number of biological replicates per group (either 3 or 5), and fold-change (either 2 or 1, in which the latter represents a null simulation without any differential expression). A total of 20 simulated experiments per scenario was generated. For each experiment, we simulated RNA-seq libraries for a total of 2 groups.

The relative expression levels of selected transcripts (the input for Rsubread::simReads) was simulated as follows. First, for a particular scenario, baseline expression proportions were generated for all selected transcripts using the smoothed Good-Turing proportions from our reference dataset. The maximum number of transcripts/gene considered in a given scenario as well as the ranking of each transcript (obtained from the reference dataset) dictated the set of selected transcripts in a simulation with only the most expressed ones (top ranked) being selected. For example, in a scenario with only 3 transcripts per gene being expressed, we simulate a positive expression level for all transcripts from genes that express at most 1 or 2 transcripts and, for genes that expresses 3 or more transcripts, only the top-ranked 3 transcripts had a positive expression. A subset of 3000 randomly selected transcripts had their baseline proportions adjusted with a 2 fold-change to create group-specific proportions with 1500 up-regulated and 1500 down-regulated transcripts. For each group, proportions were then transformed to sample-specific expected counts \(\mu_{ts}\), for transcript \(t\) and sample \(s\), depending on the library size of each sample.

Biological variation was incorporated in the simulation with a trend on the expected count for each sample. This trend had the form \(\text{BCV}_{ts} = 0.2 + 1/\sqrt{\mu_{ts}}\). Dispersions \(\phi_{ts}\) were generated with random shifts around the trend as \(\phi_{ts} = \text{BCV}_{ts}^2\times\frac{df}{\chi^2_{df}}\) with \(df = 40\). In this simulation, samples belonging to the same group share the random shift \(\chi^2_{40}\). In other words, for each transcript and each group, a single random variable was drawn from \(\chi^2_{40}\) and used to all biological replicates of that group. Note that (1) this approach is slightly different to the approach used in the voom paper, in which there were sample- and gene-specific random shifts around the trend to generate dispersions, and (2) this approach does not imply that there is no biological variability among samples from the same group (which will be introduced by the Gamma-Poisson model), but rather it just implies that transcript-wise expression levels from samples of the same group share the same mean and dispersion parameters (as they should). Apart from the differences in library size across replicates, the only variation among replicates should be a result of the variance model resulting from the Gamma-Poisson distribution. Since we generated differential expression states directly on the baseline proportions to define groups, it makes sense to have a single random shift around the dispersion trend per group, hence having a single dispersion shared among libraries of the same group.

Expected counts and dispersions were used to generate transcript-level expression following a Gamma distribution. Resulting transcript-wise expression levels were divided by the transcript length and scaled up to \(1\times 10^6\) to generate transcript-wise TPMs that were used as input in Rsubread::simReads. For read lengths other than 75 bp or 100bp, quality scores were samples from real data (ENCFF713MNU data for 50bp, ENCFF126GLV for 125bp, and ENCFF102BXZ for 150 bp experiments) and used as an input parameter in Rsubread::simReads. Note that quality scores are disregarded by Salmon and kallisto during quantification, and their choice is irrelevant to the overall results of this simulations study.

Quantification

Sequencing reads in FASTQ format generated by simReads were quantified by Salmon (v. 1.9.0) and kallisto (v. 0.46.1). For both quantification algorithms, we used transcriptomic index from the complete Gencode annotation (version M27) and we generated a total of 100 bootstraps samples for each library. For Salmon, we used a decoy-aware mapping-based indexed transcriptome generated for the mouse mm39 reference genome with k-mers of length 31. For Salmon, the option --validateMappings was used as recommended in the software documentation. For single-end read libraries, we provided kallisto the option -l 180 -s 40 with the true mean and standard deviation fragment length that is the default and used in simReads (Salmon uses default values 250 and 25 in single-end library quantification). To read Salmon quantification files in sleuth, Salmon quantification files quant.sf were transformed to abundance.h5 files with the function prepare_fish_for_sleuth from the wasabi package (v. 1.0.1).

Differential transcript expression

We compared differential transcript expression (DTE) among methods edgeR-Raw (edgeR using raw counts), edgeR-Scaled (edgeR using deflated counts), sleuth-LRT (with likelihood ratio test), sleuth-Wald (with Wald test), and Swish. In both edgeR-Raw and edgeR-Scaled, the QLF pipeline with default options in all functions was used. Transcript filtering in edgeR was performed with filterByExpr with default options. Default filtering functions were used in sleuth (transcripts with at least 5 counts in at least 47% of the samples) and Swish (transcripts with at least 10 counts in at least 3 samples). We acknowledge that using different filtering approach by each method introduce an extra, but nonetheless minimal, level variability that is separate from the statistical approach. Both sleuth and Swish were run with their default pipeline with default options. Unless otherwise noted, transcripts were claimed to be differentially expressed with a 0.05 FDR threshold.

Example of a single simulated dataset

Here I present an example of DTE analysis using edgeR with scaled counts and each one of the competitor methods on single simulated dataset. First, let’s load an example dataset.

> sim.path <- "../output/simulation/data/mm39/readlen-100/fc2/paired-end/9999TxPerGene/unbalanced/5libsPerGroup/simulation-1/"
> 
> # Loading simulated DE status
> df.example.sim <- read.delim(file.path(sim.path,'meta/counts.tsv.gz'))
> 
> # Catching Salmon
> path.example <- list.dirs(file.path(sim.path,'quant-salmon'),recursive = FALSE)
> df.example.salmon <- catchSalmon(path.example,verbose = FALSE)
> colnames(df.example.salmon$counts) <- basename(colnames(df.example.salmon$counts))
> 
> # Loading targets
> df.example.targets <- read.delim(file.path(sim.path,'dte-salmon/targets.tsv'))
> df.example.targets$path <- path.example

edgeR-scaled

> # Creating DGEList with both raw and scaled approaches
> cts.scaled <- df.example.salmon$counts/df.example.salmon$annotation$Overdispersion
> 
> dge.scaled <- DGEList(counts = cts.scaled, 
+                       samples = df.example.targets,
+                       genes = df.example.salmon$annotation)
> 
> # Adding true DE status to DGEList
> dge.scaled$genes$simulation <- 
+   df.example.sim$status[match(rownames(dge.scaled$genes),df.example.sim$TranscriptID)]

Next, I apply edgeR’s pipeline. I start by filtering lowly expressed transcripts and calculating normalization factors.

> # Applying edgeR's filterByExpr
> keep <- filterByExpr(dge.scaled)
> table(keep, simulation = dge.scaled$genes$simulation)
       simulation
keep       -1     0     1
  FALSE   167 11987   176
  TRUE   1368 26385  1289
> 
> dge.scaled.filtr <- dge.scaled[keep, , keep.lib.sizes = FALSE]
> dge.scaled.filtr <- calcNormFactors(dge.scaled.filtr)

Below we have the MDS plot, MD plots, and BCV plot. There is a somewhat substantial variability among replicates of the same group (y-axis), despite the clear separation of groups along the x-axis. The BCV trends toward a value slightly above 0.2.

> plotMDS(dge.scaled.filtr)

Version Author Date
57b0d00 Pedro Baldoni 2023-02-17
8c476c6 Pedro Baldoni 2022-11-24
> par(mfrow = c(2,3))
> for (i in 1:ncol(dge.scaled.filtr)) plotMD(dge.scaled.filtr,column = i)

Version Author Date
57b0d00 Pedro Baldoni 2023-02-17
8c476c6 Pedro Baldoni 2022-11-24
> par(mfrow = c(1,1))

Version Author Date
57b0d00 Pedro Baldoni 2023-02-17
8c476c6 Pedro Baldoni 2022-11-24
> 
> design <- model.matrix(~group-1,data = dge.scaled.filtr$samples)
> colnames(design) <- gsub('group','',colnames(design))
> dge.scaled.filtr <- estimateDisp(dge.scaled.filtr,design)
> 
> dge.scaled.filtr$common.dispersion
[1] 0.06575162
> 
> plotBCV(dge.scaled.filtr)

Version Author Date
57b0d00 Pedro Baldoni 2023-02-17
8c476c6 Pedro Baldoni 2022-11-24

Finally, we call glmQLFit, glmQLFTest, and plot the DTE results with an MD plot.

> fit <- glmQLFit(dge.scaled.filtr,design)
> 
> plotQLDisp(fit)

Version Author Date
57b0d00 Pedro Baldoni 2023-02-17
8c476c6 Pedro Baldoni 2022-11-24
> 
> summary(fit$df.prior)
   Min. 1st Qu.  Median    Mean 3rd Qu.    Max. 
  39.54   39.54   39.54   39.54   39.54   39.54 
> 
> qlf <- glmQLFTest(fit, contrast = makeContrasts(B - A, levels = design))
> 
> tt <- topTags(qlf,n = Inf)
> is.de <- decideTestsDGE(qlf)
> summary(is.de)
       -1*A 1*B
Down       1103
NotSig    26858
Up         1091
> 
> plotMD(qlf, status = is.de, values = c(1, -1),
+        col = c("red","blue"), legend = "topright")

Version Author Date
57b0d00 Pedro Baldoni 2023-02-17
8c476c6 Pedro Baldoni 2022-11-24

Below I tabulate the true DE status of each transcript against edgeR’s results.

> # Bringing edgeR output to dge object
> dge.scaled.filtr$genes$FDR <- 
+   tt$table$FDR[match(rownames(dge.scaled.filtr$genes),rownames(tt))]
> dge.scaled.filtr$genes$logFC <- 
+   tt$table$logFC[match(rownames(dge.scaled.filtr$genes),rownames(tt$table))]
> dge.scaled.filtr$genes$edgeR <- 
+   is.de@.Data[,1][match(rownames(dge.scaled.filtr$genes),rownames(is.de@.Data))]
> 
> table('edgeR' = dge.scaled.filtr$genes$edgeR, 
+       'simulation' = dge.scaled.filtr$genes$simulation)
     simulation
edgeR    -1     0     1
   -1  1074    29     0
   0    294 26309   245
   1      0    47  1044

Then, I generate MD plots with the TP, FP, and FN status of transcripts.

> # Plotting false negatives
> dge.scaled.filtr$genes$abs.simulation <- abs(dge.scaled.filtr$genes$simulation)
> dge.scaled.filtr$genes$abs.edgeR <- abs(dge.scaled.filtr$genes$edgeR)
> 
> dge.scaled.filtr$genes$TN <- 
+   factor(1*with(dge.scaled.filtr$genes,abs.simulation == 0 & abs.edgeR == 0),
+          levels = c(1,0))
> dge.scaled.filtr$genes$TP <- 
+   factor(1*with(dge.scaled.filtr$genes,abs.simulation == 1 & abs.edgeR == 1),
+          levels = c(1,0))
> dge.scaled.filtr$genes$FN <- 
+   factor(1*with(dge.scaled.filtr$genes,abs.simulation == 1 & abs.edgeR == 0),
+          levels = c(1,0))
> dge.scaled.filtr$genes$FP <- 
+   factor(1*with(dge.scaled.filtr$genes,abs.simulation == 0 & abs.edgeR == 1),
+          levels = c(1,0))
> 
> tb.metrics.edger_scaled <- with(dge.scaled.filtr$genes,table(abs.simulation,abs.edgeR))
> 
> message('TPR = ',tb.metrics.edger_scaled['1','1']/sum(tb.metrics.edger_scaled['1',]))
TPR = 0.797139631162966
> message('FPR = ',tb.metrics.edger_scaled['0','1']/sum(tb.metrics.edger_scaled['0',]))
FPR = 0.00288042448360811
> message('FDR = ',tb.metrics.edger_scaled['0','1']/sum(tb.metrics.edger_scaled[,'1']))
FDR = 0.0346399270738377
> 
> col.tp <- c('black','red')[as.numeric(dge.scaled.filtr$genes$TP)]
> col.fn <- c('black','red')[as.numeric(dge.scaled.filtr$genes$FN)]
> col.fp <- c('black','red')[as.numeric(dge.scaled.filtr$genes$FP)]
> 
> par(mfrow = c(3,1))
> plotMD(qlf,status = dge.scaled.filtr$genes$TP,main = 'True positives',col = col.tp)
> plotMD(qlf,status = dge.scaled.filtr$genes$FN,main = 'False negatives',col = col.fn)
> plotMD(qlf,status = dge.scaled.filtr$genes$FP,main = 'False positives',col = col.fp)

Version Author Date
57b0d00 Pedro Baldoni 2023-02-17
8c476c6 Pedro Baldoni 2022-11-24

Below is a histogram of observed logFC. The histograms of truly DE should be centered around +/- 1, or +- log2(2).

> # Plotting fold changes (should be around 2)
> par(mfrow = c(1,3))
> hist(dge.scaled.filtr$genes$logFC[dge.scaled.filtr$genes$simulation == 1],
+      xlab = 'logFC',main = 'Up-regulated transcripts (log2(2))',
+      xlim = c(-2,2))
> abline(v = log2(2),col = 'red')
> hist(dge.scaled.filtr$genes$logFC[dge.scaled.filtr$genes$simulation == 0],
+      xlab = 'logFC',main = 'No DTE',xlim = c(-2,2))
> abline(v = log2(1),col = 'red')
> hist(dge.scaled.filtr$genes$logFC[dge.scaled.filtr$genes$simulation == -1],
+      xlab = 'logFC',main = 'Down-regulated transcripts (log2(1/2))',
+      xlim = c(-2,2))
> abline(v = log2(1/2),col = 'red')

Version Author Date
57b0d00 Pedro Baldoni 2023-02-17
8c476c6 Pedro Baldoni 2022-11-24

edgeR-raw

> # Creating DGEList with both raw and raw approaches
> cts.raw <- df.example.salmon$counts
> 
> dge.raw <- DGEList(counts = cts.raw, 
+                    samples = df.example.targets,
+                    genes = df.example.salmon$annotation)
> 
> # Adding true DE status to DGEList
> dge.raw$genes$simulation <- 
+   df.example.sim$status[match(rownames(dge.raw$genes),df.example.sim$TranscriptID)]

Next, I apply edgeR’s pipeline. I start by filtering lowly expressed transcripts and calculating normalization factors.

> # Applying edgeR's filterByExpr
> keep <- filterByExpr(dge.raw)
> table(keep, simulation = dge.raw$genes$simulation)
       simulation
keep       -1     0     1
  FALSE    10  5155    14
  TRUE   1525 33217  1451
> 
> dge.raw.filtr <- dge.raw[keep, , keep.lib.sizes = FALSE]
> dge.raw.filtr <- calcNormFactors(dge.raw.filtr)

Below we have the MDS plot, MD plots, and BCV plot. There is a somewhat substantial variability among replicates of the same group (y-axis), despite the clear separation of groups along the x-axis. The BCV trends toward a value slightly above 0.2.

> plotMDS(dge.raw.filtr)

Version Author Date
57b0d00 Pedro Baldoni 2023-02-17
8c476c6 Pedro Baldoni 2022-11-24
> par(mfrow = c(2,3))
> for (i in 1:ncol(dge.raw.filtr)) plotMD(dge.raw.filtr,column = i)

Version Author Date
57b0d00 Pedro Baldoni 2023-02-17
8c476c6 Pedro Baldoni 2022-11-24
> par(mfrow = c(1,1))

Version Author Date
57b0d00 Pedro Baldoni 2023-02-17
8c476c6 Pedro Baldoni 2022-11-24
> 
> design <- model.matrix(~group-1,data = dge.raw.filtr$samples)
> colnames(design) <- gsub('group','',colnames(design))
> dge.raw.filtr <- estimateDisp(dge.raw.filtr,design)
> 
> dge.raw.filtr$common.dispersion
[1] 0.1877797
> 
> plotBCV(dge.raw.filtr)

Version Author Date
57b0d00 Pedro Baldoni 2023-02-17
8c476c6 Pedro Baldoni 2022-11-24

Finally, we call glmQLFit, glmQLFTest, and plot the DTE results with an MD plot.

> fit <- glmQLFit(dge.raw.filtr,design)
> 
> plotQLDisp(fit)

Version Author Date
57b0d00 Pedro Baldoni 2023-02-17
8c476c6 Pedro Baldoni 2022-11-24
> 
> summary(fit$df.prior)
   Min. 1st Qu.  Median    Mean 3rd Qu.    Max. 
  4.292   4.292   4.292   4.292   4.292   4.292 
> 
> qlf <- glmQLFTest(fit, contrast = makeContrasts(B - A, levels = design))
> 
> tt <- topTags(qlf,n = Inf)
> is.de <- decideTestsDGE(qlf)
> summary(is.de)
       -1*A 1*B
Down        742
NotSig    34715
Up          767
> 
> plotMD(qlf, status = is.de, values = c(1, -1),
+        col = c("red","blue"), legend = "topright")

Version Author Date
57b0d00 Pedro Baldoni 2023-02-17
8c476c6 Pedro Baldoni 2022-11-24

Below I tabulate the true DE status of each transcript against edgeR’s results.

> # Bringing edgeR output to dge object
> dge.raw.filtr$genes$FDR <- 
+   tt$table$FDR[match(rownames(dge.raw.filtr$genes),rownames(tt))]
> dge.raw.filtr$genes$logFC <- 
+   tt$table$logFC[match(rownames(dge.raw.filtr$genes),rownames(tt$table))]
> dge.raw.filtr$genes$edgeR <- 
+   is.de@.Data[,1][match(rownames(dge.raw.filtr$genes),rownames(is.de@.Data))]
> 
> table('edgeR' = dge.raw.filtr$genes$edgeR, 
+       'simulation' = dge.raw.filtr$genes$simulation)
     simulation
edgeR    -1     0     1
   -1   737     5     0
   0    788 33197   699
   1      0    15   752

Then, I generate MD plots with the TP, FP, and FN status of transcripts.

> # Plotting false negatives
> dge.raw.filtr$genes$abs.simulation <- abs(dge.raw.filtr$genes$simulation)
> dge.raw.filtr$genes$abs.edgeR <- abs(dge.raw.filtr$genes$edgeR)
> 
> dge.raw.filtr$genes$TN <- 
+   factor(1*with(dge.raw.filtr$genes,abs.simulation == 0 & abs.edgeR == 0),
+          levels = c(1,0))
> dge.raw.filtr$genes$TP <- 
+   factor(1*with(dge.raw.filtr$genes,abs.simulation == 1 & abs.edgeR == 1),
+          levels = c(1,0))
> dge.raw.filtr$genes$FN <- 
+   factor(1*with(dge.raw.filtr$genes,abs.simulation == 1 & abs.edgeR == 0),
+          levels = c(1,0))
> dge.raw.filtr$genes$FP <- 
+   factor(1*with(dge.raw.filtr$genes,abs.simulation == 0 & abs.edgeR == 1),
+          levels = c(1,0))
> 
> tb.metrics.edger_raw <- with(dge.raw.filtr$genes,table(abs.simulation,abs.edgeR))
> 
> message('TPR = ',tb.metrics.edger_raw['1','1']/sum(tb.metrics.edger_raw['1',]))
TPR = 0.500336021505376
> message('FPR = ',tb.metrics.edger_raw['0','1']/sum(tb.metrics.edger_raw['0',]))
FPR = 0.000602101333654454
> message('FDR = ',tb.metrics.edger_raw['0','1']/sum(tb.metrics.edger_raw[,'1']))
FDR = 0.0132538104705103
> 
> col.tp <- c('black','red')[as.numeric(dge.raw.filtr$genes$TP)]
> col.fn <- c('black','red')[as.numeric(dge.raw.filtr$genes$FN)]
> col.fp <- c('black','red')[as.numeric(dge.raw.filtr$genes$FP)]
> 
> par(mfrow = c(3,1))
> plotMD(qlf,status = dge.raw.filtr$genes$TP,main = 'True positives',col = col.tp)
> plotMD(qlf,status = dge.raw.filtr$genes$FN,main = 'False negatives',col = col.fn)
> plotMD(qlf,status = dge.raw.filtr$genes$FP,main = 'False positives',col = col.fp)

Version Author Date
57b0d00 Pedro Baldoni 2023-02-17
8c476c6 Pedro Baldoni 2022-11-24

Below is a histogram of observed logFC. The histograms of truly DE should be centered around +/- 1, or +- log2(2).

> # Plotting fold changes (should be around 2)
> par(mfrow = c(1,3))
> hist(dge.raw.filtr$genes$logFC[dge.raw.filtr$genes$simulation == 1],
+      xlab = 'logFC',main = 'Up-regulated transcripts (log2(2))',
+      xlim = c(-3,3))
> abline(v = log2(2),col = 'red')
> hist(dge.raw.filtr$genes$logFC[dge.raw.filtr$genes$simulation == 0],
+      xlab = 'logFC',main = 'No DTE',xlim = c(-3,3))
> abline(v = log2(1),col = 'red')
> hist(dge.raw.filtr$genes$logFC[dge.raw.filtr$genes$simulation == -1],
+      xlab = 'logFC',main = 'Down-regulated transcripts (log2(1/2))',
+      xlim = c(-3,3))
> abline(v = log2(1/2),col = 'red')

Version Author Date
57b0d00 Pedro Baldoni 2023-02-17
8c476c6 Pedro Baldoni 2022-11-24

sleuth-LRT

Now I run sleuth LRT:

> # See ../rfun/ function runSleuth
> dge.sleuth_lrt <- runSleuth(targets = df.example.targets,test = 'lrt',quantifier = 'salmon')
reading in kallisto results
dropping unused factor levels
..........
normalizing est_counts
38535 targets passed the filter
normalizing tpm
merging in metadata
summarizing bootstraps
..........
fitting measurement error models
shrinkage estimation
4 NA values were found during variance shrinkage estimation due to mean observation values outside of the range used for the LOESS fit.
The LOESS fit will be repeated using exact computation of the fitted surface to extrapolate the missing values.
These are the target ids with NA values: ENSMUST00000106621.4, ENSMUST00000185239.2, ENSMUST00000195443.6, ENSMUST00000230505.2
computing variance of betas
fitting measurement error models
shrinkage estimation
3 NA values were found during variance shrinkage estimation due to mean observation values outside of the range used for the LOESS fit.
The LOESS fit will be repeated using exact computation of the fitted surface to extrapolate the missing values.
These are the target ids with NA values: ENSMUST00000106621.4, ENSMUST00000185239.2, ENSMUST00000195443.6
computing variance of betas
> 
> # Plotting false negatives
> dge.sleuth_lrt$abs.simulation <- 
+   abs(df.example.sim$status[match(dge.sleuth_lrt$feature,df.example.sim$TranscriptID)])
> dge.sleuth_lrt$abs.sleuth <- 1*(dge.sleuth_lrt$qval < 0.05)
> 
> dge.sleuth_lrt$TN <- 
+   factor(1*with(dge.sleuth_lrt,abs.simulation == 0 & abs.sleuth == 0),
+          levels = c(1,0))
> dge.sleuth_lrt$TP <- 
+   factor(1*with(dge.sleuth_lrt,abs.simulation == 1 & abs.sleuth == 1),
+          levels = c(1,0))
> dge.sleuth_lrt$FN <- 
+   factor(1*with(dge.sleuth_lrt,abs.simulation == 1 & abs.sleuth == 0),
+          levels = c(1,0))
> dge.sleuth_lrt$FP <- 
+   factor(1*with(dge.sleuth_lrt,abs.simulation == 0 & abs.sleuth == 1),
+          levels = c(1,0))
> 
> tb.metrics.sleuth_lrt <- with(dge.sleuth_lrt,table(abs.simulation,abs.sleuth))
> 
> message('TPR = ',tb.metrics.sleuth_lrt['1','1']/sum(tb.metrics.sleuth_lrt['1',]))
TPR = 0.503862949277796
> message('FPR = ',tb.metrics.sleuth_lrt['0','1']/sum(tb.metrics.sleuth_lrt['0',]))
FPR = 0.000535377159119727
> message('FDR = ',tb.metrics.sleuth_lrt['0','1']/sum(tb.metrics.sleuth_lrt[,'1']))
FDR = 0.0125082290980908

sleuth-Wald

Now I run sleuth Wald:

> # See ../rfun/ function runSleuth
> dge.sleuth_wald <- runSleuth(targets = df.example.targets,test = 'wald',quantifier = 'salmon')
reading in kallisto results
dropping unused factor levels
..........
normalizing est_counts
38535 targets passed the filter
normalizing tpm
merging in metadata
summarizing bootstraps
..........
fitting measurement error models
shrinkage estimation
4 NA values were found during variance shrinkage estimation due to mean observation values outside of the range used for the LOESS fit.
The LOESS fit will be repeated using exact computation of the fitted surface to extrapolate the missing values.
These are the target ids with NA values: ENSMUST00000106621.4, ENSMUST00000185239.2, ENSMUST00000195443.6, ENSMUST00000230505.2
computing variance of betas
> 
> # Plotting false negatives
> dge.sleuth_wald$abs.simulation <- 
+   abs(df.example.sim$status[match(dge.sleuth_wald$feature,df.example.sim$TranscriptID)])
> dge.sleuth_wald$abs.sleuth <- 1*(dge.sleuth_wald$qval < 0.05)
> 
> dge.sleuth_wald$TN <- 
+   factor(1*with(dge.sleuth_wald,abs.simulation == 0 & abs.sleuth == 0),
+          levels = c(1,0))
> dge.sleuth_wald$TP <- 
+   factor(1*with(dge.sleuth_wald,abs.simulation == 1 & abs.sleuth == 1),
+          levels = c(1,0))
> dge.sleuth_wald$FN <- 
+   factor(1*with(dge.sleuth_wald,abs.simulation == 1 & abs.sleuth == 0),
+          levels = c(1,0))
> dge.sleuth_wald$FP <- 
+   factor(1*with(dge.sleuth_wald,abs.simulation == 0 & abs.sleuth == 1),
+          levels = c(1,0))
> 
> tb.metrics.sleuth_wald <- with(dge.sleuth_wald,table(abs.simulation,abs.sleuth))
> 
> message('TPR = ',tb.metrics.sleuth_wald['1','1']/sum(tb.metrics.sleuth_wald['1',]))
TPR = 0.616056432650319
> message('FPR = ',tb.metrics.sleuth_wald['0','1']/sum(tb.metrics.sleuth_wald['0',]))
FPR = 0.00169066471300966
> message('FDR = ',tb.metrics.sleuth_wald['0','1']/sum(tb.metrics.sleuth_wald[,'1']))
FDR = 0.0316789862724393

Swish

Now I run Swish:

> # See ../rfun/ function runSwish
> df.example.targets.swish <- df.example.targets
> df.example.targets.swish$group %<>% as.factor()
> 
> dge.swish <- runSwish(targets = df.example.targets.swish,quantifier = 'salmon')
importing quantifications
reading in files with read_tsv
1 2 3 4 5 6 7 8 9 10 
found matching transcriptome:
[ GENCODE - Mus musculus - release M27 ]
loading existing TxDb created: 2022-04-05 23:03:51
Loading required package: GenomicFeatures
Loading required package: BiocGenerics

Attaching package: 'BiocGenerics'

The following object is masked from 'package:limma':

    plotMA

The following objects are masked from 'package:stats':

    IQR, mad, sd, var, xtabs

The following objects are masked from 'package:base':

    anyDuplicated, aperm, append, as.data.frame, basename, cbind,
    colnames, dirname, do.call, duplicated, eval, evalq, Filter, Find,
    get, grep, grepl, intersect, is.unsorted, lapply, Map, mapply,
    match, mget, order, paste, pmax, pmax.int, pmin, pmin.int,
    Position, rank, rbind, Reduce, rownames, sapply, setdiff, sort,
    table, tapply, union, unique, unsplit, which.max, which.min

Loading required package: S4Vectors
Loading required package: stats4

Attaching package: 'S4Vectors'

The following object is masked from 'package:plyr':

    rename

The following objects are masked from 'package:data.table':

    first, second

The following objects are masked from 'package:base':

    expand.grid, I, unname

Loading required package: IRanges

Attaching package: 'IRanges'

The following object is masked from 'package:purrr':

    reduce

The following object is masked from 'package:plyr':

    desc

The following object is masked from 'package:data.table':

    shift

Loading required package: GenomeInfoDb
Loading required package: GenomicRanges

Attaching package: 'GenomicRanges'

The following object is masked from 'package:magrittr':

    subtract

Loading required package: AnnotationDbi
Loading required package: Biobase
Welcome to Bioconductor

    Vignettes contain introductory material; view with
    'browseVignettes()'. To cite Bioconductor, see
    'citation("Biobase")', and for packages 'citation("pkgname")'.

loading existing transcript ranges created: 2022-04-05 23:03:52
fetching genome info for GENCODE
Warning in valid.GenomicRanges.seqinfo(x, suggest.trim = TRUE): GRanges object contains 87 out-of-bound ranges located on sequences
  chr4, chr8, chr13, chr14, and chr17. Note that ranges located on a
  sequence whose length is unknown (NA) or on a circular sequence are not
  considered out-of-bound (use seqlengths() and isCircular() to get the
  lengths and circularity flags of the underlying sequences). You can use
  trim() to trim these ranges. See ?`trim,GenomicRanges-method` for more
  information.
> 
> # Plotting false negatives
> dge.swish$abs.simulation <- 
+   abs(df.example.sim$status[match(dge.swish$feature,df.example.sim$TranscriptID)])
> dge.swish$abs.swish <- 1*(dge.swish$qvalue < 0.05)
> 
> dge.swish$TN <- 
+   factor(1*with(dge.swish,abs.simulation == 0 & abs.swish == 0),
+          levels = c(1,0))
> dge.swish$TP <- 
+   factor(1*with(dge.swish,abs.simulation == 1 & abs.swish == 1),
+          levels = c(1,0))
> dge.swish$FN <- 
+   factor(1*with(dge.swish,abs.simulation == 1 & abs.swish == 0),
+          levels = c(1,0))
> dge.swish$FP <- 
+   factor(1*with(dge.swish,abs.simulation == 0 & abs.swish == 1),
+          levels = c(1,0))
> 
> tb.metrics.swish <- with(dge.swish,table(abs.simulation,abs.swish))
> 
> message('TPR = ',tb.metrics.swish['1','1']/sum(tb.metrics.swish['1',]))
TPR = 0.467423989308386
> message('FPR = ',tb.metrics.swish['0','1']/sum(tb.metrics.swish['0',]))
FPR = 0.00168694690265487
> message('FDR = ',tb.metrics.swish['0','1']/sum(tb.metrics.swish[,'1']))
FDR = 0.0417808219178082

Simulation Results

Here I present the results from the simulation study. I have written a function to summarize the results of each simulation scenario (see function summarizeSimulation in ../code/pkg/R/simulation-summary.R). Please refer to the caption of each figure for a description of each analysis.

Data setup and loading results

Below I set up the file paths.

> path.fdr <- 
+   list.files('../output/simulation/summary','fdr.tsv.gz',recursive = TRUE,full.names = TRUE)
> path.metrics <- 
+   list.files('../output/simulation/summary','metrics.tsv.gz',recursive = TRUE,full.names = TRUE)
> path.time <- 
+   list.files('../output/simulation/summary','time.tsv.gz',recursive = TRUE,full.names = TRUE)
> path.quantile <- 
+   list.files('../output/simulation/summary','quantile.tsv.gz',recursive = TRUE,full.names = TRUE)
> path.pvalue <- 
+   list.files('../output/simulation/summary','pvalue.tsv.gz',recursive = TRUE,full.names = TRUE)
> path.overdispersion <- 
+   list.files('../output/simulation/summary','overdispersion.tsv.gz',recursive = TRUE,full.names = TRUE)

Loading all summarized results below.

> # Loading datasets
> dt.fdr <- do.call(rbind,lapply(path.fdr,fread))
> dt.metrics <- do.call(rbind,lapply(path.metrics,fread))
> dt.time <- do.call(rbind,lapply(path.time,fread))
> dt.quantile <- do.call(rbind,lapply(path.quantile,fread))
> dt.pvalue <- do.call(rbind,lapply(path.pvalue,fread))
> dt.overdispersion <- do.call(rbind,lapply(path.overdispersion,fread))

Some data wrangling below.

> # Changing labels
> dt.fdr$TxPerGene %<>%
+   mapvalues(from = paste0(c(2, 3, 4, 5, 9999), 'TxPerGene'),
+             to = c(paste0("#Tx/Gene = ", c(2, 3, 4, 5)), 'All Transcripts'))
> dt.fdr$LibsPerGroup %<>%
+   mapvalues(from = paste0(c(3, 5), 'libsPerGroup'),
+             to = paste0('#Lib/Group = ', c(3, 5)))
> dt.fdr$Quantifier %<>% mapvalues(from = 'salmon', to = 'Salmon')
> dt.fdr$Length %<>% mapvalues(from = paste0('readlen-', seq(50, 150, 25)),
+                              to = paste0(seq(50, 150, 25), 'bp'))
> 
> dt.metrics$TxPerGene %<>%
+   mapvalues(from = paste0(c(2, 3, 4, 5, 9999), 'TxPerGene'),
+             to = c(paste0("#Tx/Gene = ", c(2, 3, 4, 5)), 'All Transcripts'))
> dt.metrics$LibsPerGroup %<>%
+   mapvalues(from = paste0(c(3, 5), 'libsPerGroup'),
+             to = paste0('#Lib/Group = ', c(3, 5)))
> dt.metrics$Quantifier %<>% mapvalues(from = 'salmon', to = 'Salmon')
> dt.metrics$Length %<>% mapvalues(from = paste0('readlen-', seq(50, 150, 25)),
+                                  to = paste0(seq(50, 150, 25), 'bp'))
> 
> dt.time$TxPerGene %<>%
+   mapvalues(from = paste0(c(2, 3, 4, 5, 9999), 'TxPerGene'),
+             to = c(paste0("#Tx/Gene = ", c(2, 3, 4, 5)), 'All Transcripts'))
> dt.time$LibsPerGroup %<>%
+   mapvalues(from = paste0(c(3, 5), 'libsPerGroup'),
+             to = paste0('#Lib/Group = ', c(3, 5)))
> dt.time$Quantifier %<>% mapvalues(from = 'salmon', to = 'Salmon')
> dt.time$Length %<>% mapvalues(from = paste0('readlen-', seq(50, 150, 25)),
+                               to = paste0(seq(50, 150, 25), 'bp'))
> 
> dt.quantile$TxPerGene %<>%
+   mapvalues(from = paste0(c(2, 3, 4, 5, 9999), 'TxPerGene'),
+             to = c(paste0("#Tx/Gene = ", c(2, 3, 4, 5)), 'All Transcripts'))
> dt.quantile$LibsPerGroup %<>%
+   mapvalues(from = paste0(c(3, 5), 'libsPerGroup'),
+             to = paste0('#Lib/Group = ', c(3, 5)))
> dt.quantile$Quantifier %<>% mapvalues(from = 'salmon', to = 'Salmon')
> dt.quantile$Length %<>% mapvalues(from = paste0('readlen-', seq(50, 150, 25)),
+                                   to = paste0(seq(50, 150, 25), 'bp'))
> 
> dt.pvalue$TxPerGene %<>%
+   mapvalues(from = paste0(c(2, 3, 4, 5, 9999), 'TxPerGene'),
+             to = c(paste0("#Tx/Gene = ", c(2, 3, 4, 5)), 'All Transcripts'))
> dt.pvalue$LibsPerGroup %<>%
+   mapvalues(from = paste0(c(3, 5), 'libsPerGroup'),
+             to = paste0('#Lib/Group = ', c(3, 5)))
> dt.pvalue$Quantifier %<>% mapvalues(from = 'salmon', to = 'Salmon')
> dt.pvalue$Length %<>% mapvalues(from = paste0('readlen-', seq(50, 150, 25)),
+                                 to = paste0(seq(50, 150, 25), 'bp'))
> 
> dt.overdispersion$TxPerGene %<>%
+   mapvalues(from = paste0(c(2, 3, 4, 5, 9999), 'TxPerGene'),
+             to = c(paste0("#Tx/Gene = ", c(2, 3, 4, 5)), 'All Transcripts'))
> dt.overdispersion$LibsPerGroup %<>%
+   mapvalues(from = paste0(c(3, 5), 'libsPerGroup'),
+             to = paste0('#Lib/Group = ', c(3, 5)))
> dt.overdispersion$Quantifier %<>% mapvalues(from = 'salmon', to = 'Salmon')
> dt.overdispersion$Length %<>% mapvalues(from = paste0('readlen-', seq(50, 150, 25)),
+                                         to = paste0(seq(50, 150, 25), 'bp'))

I use the functions below to produce the histogram plot shown in this report and to quickly subset data tables for specific scenarios:

> cleanPlot <- function(x,fig){
+   if (x == max(seq_along(fig))) {
+     y <- fig[[x]]
+   } else{
+     y <- fig[[x]] + theme(axis.title.x = element_blank(),
+                           axis.text.x = element_blank(),
+                           axis.ticks.x = element_blank())
+   }
+   if (x > 1) {
+     y <- y + theme(strip.background.x = element_blank(),
+                    strip.text.x = element_blank())
+   }
+   return(y)
+ }
> 
> subsetDT <- function(x,scenario,panel = NULL,tx.per.gene = NULL, plot = TRUE){
+   if(isTRUE(plot)){
+     if(panel %in% c('A','B')){
+       out <- x[Genome == scenario['genome'] &
+                  FC == ifelse(panel == 'A','fc2','fc1') & 
+                  Length == scenario['length'] &
+                  Reads == scenario['read'] & 
+                  Quantifier == scenario['quantifier'] & 
+                  Scenario == scenario['scenario'],]
+     } else{
+       out <- x[Genome == scenario['genome'] &
+                  FC == 'fc1' & 
+                  Length == scenario['length'] &
+                  Reads == scenario['read'] & 
+                  Quantifier == scenario['quantifier'] & 
+                  Scenario == scenario['scenario'] &
+                  TxPerGene == tx.per.gene ,]
+     }
+   } else{
+     out <- x[Genome == scenario['genome'] &
+                FC == 'fc2' & 
+                Quantifier == scenario['quantifier'] & 
+                TxPerGene == scenario['txpergene'],]
+   }
+   return(out)
+ }

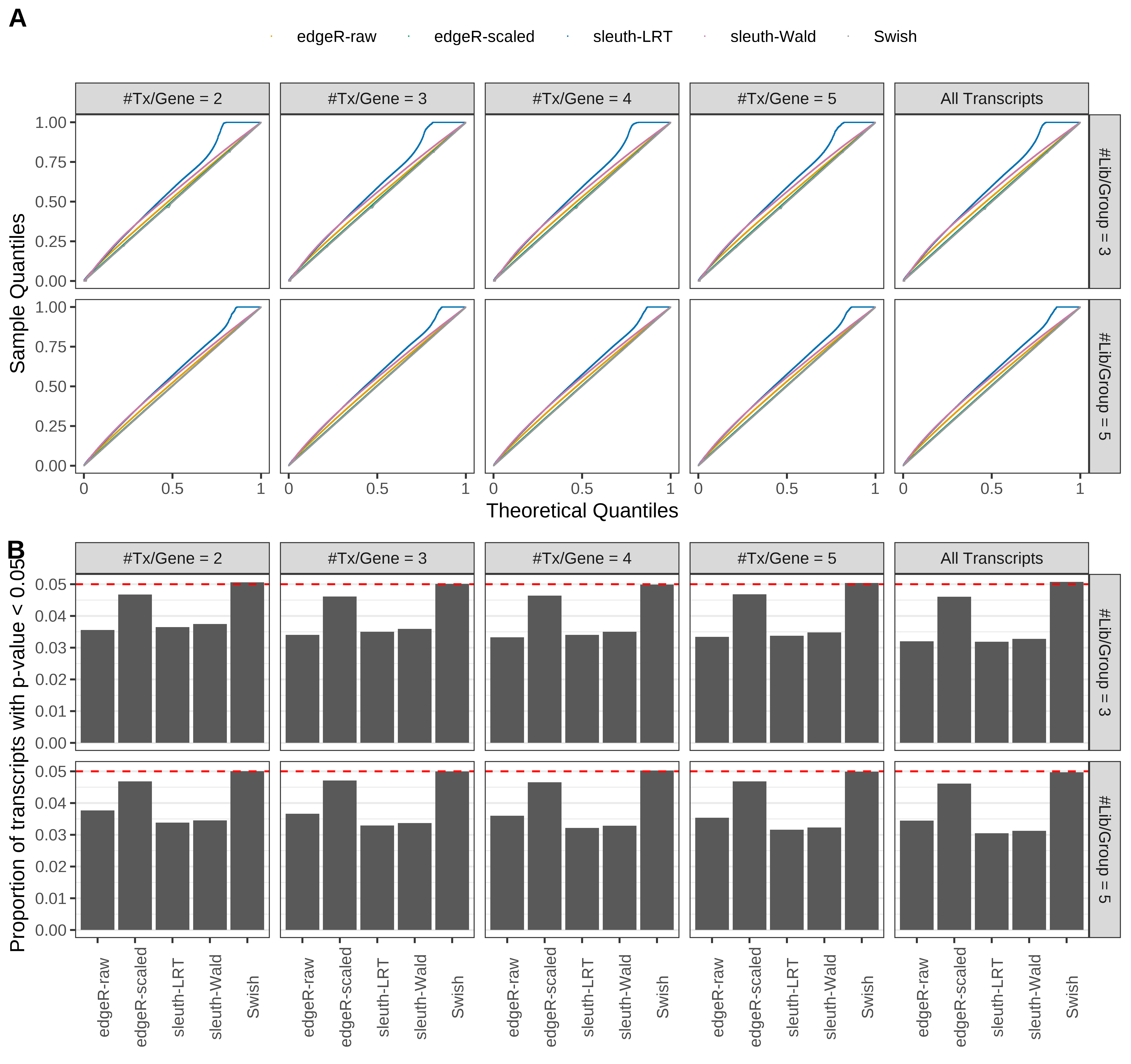
The results of each simulation scenario are presented as a set of three figures. The first set of figures (set A in the chunk below) compares methods in regards to power (sensitivity), false discovery rate, and computing time. The second set of figures (set B in the chunk below) compares methods in regards to type 1 error rate control in a null simulation (i.e., a simulation without any truly differential expression between groups). The last and third set of figures (set C in the chunk below) compares methods in regards to the distribution of their unadjusted p-values in a null simulation.

> dt.scenario <- expand.grid('genome' = 'mm39',
+                            'length' = c('50bp','75bp','100bp','125bp','150bp'),
+                            'read' = c('single-end','paired-end'),
+                            'quantifier' = c('Salmon','kallisto'),
+                            'scenario' = c('balanced','unbalanced'),
+                            stringsAsFactors = FALSE)
> 
> plots <- lapply(seq_len(nrow(dt.scenario)),function(i){
+   scenario <- as.character(dt.scenario[i,])
+   names(scenario) <- colnames(dt.scenario)
+   
+   figA <- 
+     list(plotFDRCurve(x = subsetDT(dt.fdr,scenario,'A'),3000),
+          plotPowerBars(x = subsetDT(dt.metrics,scenario,'A'),0.05,3000),
+          plotTime(x = subsetDT(dt.time,scenario,'A')))
+   
+   figB <- 
+     list(plotQQPlot(x = subsetDT(dt.quantile,scenario,'B')),
+          plotType1Error(x = subsetDT(dt.metrics,scenario,'B'),0.05))
+   
+   figC <- 
+     list(plotPValues(x = subsetDT(dt.pvalue,scenario,'C','#Tx/Gene = 2')),
+          plotPValues(x = subsetDT(dt.pvalue,scenario,'C','#Tx/Gene = 3')),
+          plotPValues(x = subsetDT(dt.pvalue,scenario,'C','#Tx/Gene = 4')),
+          plotPValues(x = subsetDT(dt.pvalue,scenario,'C','#Tx/Gene = 5')),
+          plotPValues(x = subsetDT(dt.pvalue,scenario,'C','All Transcripts')))
+   
+   figC <- lapply(seq_along(figC),cleanPlot,fig = figC)
+   
+   out <- 
+     list('scenario' = scenario,
+          'panelA' = ggarrange(plotlist = figA,nrow = 3,labels = c('A','B','C'),
+                               heights = c(0.95,1.25,0.95)),
+          'panelB' = ggarrange(plotlist = figB,nrow = 2,labels = c('A','B')),
+          'panelC' = ggarrange(plotlist = figC,nrow = 5,
+                               labels = c('A','B','C','D','E'),
+                               heights = c(1,0.95,0.95,0.95,1.25)))
+   
+   return(out)
+ })   

Below are the captions from each plot.

> cap <- paste0('Simulation results. Scenario with ',dt.scenario$genome,' genome, ',
+               dt.scenario$length,' ',dt.scenario$read,' reads quantified with ',
+               dt.scenario$quantifier,', and ',dt.scenario$scenario,' libraries.')
> 
> capA <- paste(cap,
+               '(A) Average number of false discoveries as a function of the number of chosen transcripts.',
+               '(B) Average number of true (blue) and false (red) positive DE transcripts. Observed is FDR annotated.',
+               '(C) Average computing time in minutes.') 
> 
> capB <- paste(cap,
+               '(A) QQ plots of p-values for simulations without any differential expression (averaged over 20 simulations).',
+               '(B) Proportion of transcripts with unadjusted p-values less than 0.05 for simulations without any differential expression (averaged over 20 simulations)') 
> 
> capC <- paste(cap,
+               '(A) Density histograms for simulations without any differential expression (averaged over 20 simulations).')  

I also compute the observed power and false discovery rate for different types of reads (paired- or single-end) and read lengths and present them in the same table:

> dt.scenario.table <- expand.grid('genome' = 'mm39',
+                                  'quantifier' = c('Salmon','kallisto'),
+                                  'txpergene' = c(paste0('#Tx/Gene = ',2:5),'All Transcripts'),
+                                  stringsAsFactors = FALSE)
> 
> cap.txpergene <- dt.scenario.table$txpergene
> cap.txpergene %<>% mapvalues(from = c(paste0('#Tx/Gene = ',2:5),'All Transcripts'),
+                              to = c(paste0('maximum of ',2:5,' transcripts/gene expressed'),
+                                     'all transcripts expressed'))
> 
> cap <- paste0('Simulation results - observed power and false discovery rate for',
+               ' different read types and read Lengths, averaged over 20 simulations. Scenario with ',
+               dt.scenario.table$genome,' genome, ',cap.txpergene,', and reads ',
+               ' quantified with ',dt.scenario.table$quantifier,'.')
> 
> cap1 <- paste(cap,'Library size shown in million reads (M) with 25/100 indicating library sizes alternating between 25M and 100M across replicates. Read lengths are shown in base pairs (bp). Red color indicates observed FDR values greater than the nominal 0.05. Blue color indicates most powerful method for a given scenario (row). Empty cells indicate cases in which a method failed to call any transcript as DE.')

We created the table below with the function tabulateMetrics.

> tables <- lapply(seq_len(nrow(dt.scenario.table)),function(i){
+   scenario <- as.character(dt.scenario.table[i,])
+   names(scenario) <- colnames(dt.scenario.table)
+   
+   tb1 <- tabulateMetrics(subsetDT(dt.metrics,scenario = scenario,plot = FALSE),
+                          cap = cap1[i],
+                          format = 'html')
+   
+   out <- list('scenario' = scenario,'table1' = tb1)
+   
+   return(out)
+ })
Warning in class(mat.fdr) <- "numeric": NAs introduced by coercion

Warning in class(mat.fdr) <- "numeric": NAs introduced by coercion

Warning in class(mat.fdr) <- "numeric": NAs introduced by coercion

Warning in class(mat.fdr) <- "numeric": NAs introduced by coercion

Warning in class(mat.fdr) <- "numeric": NAs introduced by coercion

Warning in class(mat.fdr) <- "numeric": NAs introduced by coercion

Warning in class(mat.fdr) <- "numeric": NAs introduced by coercion

Warning in class(mat.fdr) <- "numeric": NAs introduced by coercion

Warning in class(mat.fdr) <- "numeric": NAs introduced by coercion
> cat('\n\n<!-- -->\n\n')


<!-- -->

Power, false discovery rate, and computing time

Results from power, false discovery rate, and computing time are presented below.

> for(i in seq_len(length(plots))) {
+   fig <- plots[[i]]$panelA
+   print(fig)
+   cat('\n\n<!-- -->\n\n')
+ }   
Simulation results. Scenario with mm39 genome, 50bp single-end reads quantified with Salmon, and balanced libraries. (A) Average number of false discoveries as a function of the number of chosen transcripts. (B) Average number of true (blue) and false (red) positive DE transcripts. Observed is FDR annotated. (C) Average computing time in minutes.

Simulation results. Scenario with mm39 genome, 50bp single-end reads quantified with Salmon, and balanced libraries. (A) Average number of false discoveries as a function of the number of chosen transcripts. (B) Average number of true (blue) and false (red) positive DE transcripts. Observed is FDR annotated. (C) Average computing time in minutes.

Version Author Date
57b0d00 Pedro Baldoni 2023-02-17
8c476c6 Pedro Baldoni 2022-11-24
Simulation results. Scenario with mm39 genome, 75bp single-end reads quantified with Salmon, and balanced libraries. (A) Average number of false discoveries as a function of the number of chosen transcripts. (B) Average number of true (blue) and false (red) positive DE transcripts. Observed is FDR annotated. (C) Average computing time in minutes.

Simulation results. Scenario with mm39 genome, 75bp single-end reads quantified with Salmon, and balanced libraries. (A) Average number of false discoveries as a function of the number of chosen transcripts. (B) Average number of true (blue) and false (red) positive DE transcripts. Observed is FDR annotated. (C) Average computing time in minutes.

Version Author Date
57b0d00 Pedro Baldoni 2023-02-17
8c476c6 Pedro Baldoni 2022-11-24
Simulation results. Scenario with mm39 genome, 100bp single-end reads quantified with Salmon, and balanced libraries. (A) Average number of false discoveries as a function of the number of chosen transcripts. (B) Average number of true (blue) and false (red) positive DE transcripts. Observed is FDR annotated. (C) Average computing time in minutes.

Simulation results. Scenario with mm39 genome, 100bp single-end reads quantified with Salmon, and balanced libraries. (A) Average number of false discoveries as a function of the number of chosen transcripts. (B) Average number of true (blue) and false (red) positive DE transcripts. Observed is FDR annotated. (C) Average computing time in minutes.

Version Author Date
57b0d00 Pedro Baldoni 2023-02-17
8c476c6 Pedro Baldoni 2022-11-24
Simulation results. Scenario with mm39 genome, 125bp single-end reads quantified with Salmon, and balanced libraries. (A) Average number of false discoveries as a function of the number of chosen transcripts. (B) Average number of true (blue) and false (red) positive DE transcripts. Observed is FDR annotated. (C) Average computing time in minutes.

Simulation results. Scenario with mm39 genome, 125bp single-end reads quantified with Salmon, and balanced libraries. (A) Average number of false discoveries as a function of the number of chosen transcripts. (B) Average number of true (blue) and false (red) positive DE transcripts. Observed is FDR annotated. (C) Average computing time in minutes.

Version Author Date
57b0d00 Pedro Baldoni 2023-02-17
8c476c6 Pedro Baldoni 2022-11-24
Simulation results. Scenario with mm39 genome, 150bp single-end reads quantified with Salmon, and balanced libraries. (A) Average number of false discoveries as a function of the number of chosen transcripts. (B) Average number of true (blue) and false (red) positive DE transcripts. Observed is FDR annotated. (C) Average computing time in minutes.

Simulation results. Scenario with mm39 genome, 150bp single-end reads quantified with Salmon, and balanced libraries. (A) Average number of false discoveries as a function of the number of chosen transcripts. (B) Average number of true (blue) and false (red) positive DE transcripts. Observed is FDR annotated. (C) Average computing time in minutes.

Version Author Date
57b0d00 Pedro Baldoni 2023-02-17
8c476c6 Pedro Baldoni 2022-11-24
Simulation results. Scenario with mm39 genome, 50bp paired-end reads quantified with Salmon, and balanced libraries. (A) Average number of false discoveries as a function of the number of chosen transcripts. (B) Average number of true (blue) and false (red) positive DE transcripts. Observed is FDR annotated. (C) Average computing time in minutes.

Simulation results. Scenario with mm39 genome, 50bp paired-end reads quantified with Salmon, and balanced libraries. (A) Average number of false discoveries as a function of the number of chosen transcripts. (B) Average number of true (blue) and false (red) positive DE transcripts. Observed is FDR annotated. (C) Average computing time in minutes.

Version Author Date
57b0d00 Pedro Baldoni 2023-02-17
8c476c6 Pedro Baldoni 2022-11-24
Simulation results. Scenario with mm39 genome, 75bp paired-end reads quantified with Salmon, and balanced libraries. (A) Average number of false discoveries as a function of the number of chosen transcripts. (B) Average number of true (blue) and false (red) positive DE transcripts. Observed is FDR annotated. (C) Average computing time in minutes.

Simulation results. Scenario with mm39 genome, 75bp paired-end reads quantified with Salmon, and balanced libraries. (A) Average number of false discoveries as a function of the number of chosen transcripts. (B) Average number of true (blue) and false (red) positive DE transcripts. Observed is FDR annotated. (C) Average computing time in minutes.

Version Author Date
57b0d00 Pedro Baldoni 2023-02-17
8c476c6 Pedro Baldoni 2022-11-24
Simulation results. Scenario with mm39 genome, 100bp paired-end reads quantified with Salmon, and balanced libraries. (A) Average number of false discoveries as a function of the number of chosen transcripts. (B) Average number of true (blue) and false (red) positive DE transcripts. Observed is FDR annotated. (C) Average computing time in minutes.

Simulation results. Scenario with mm39 genome, 100bp paired-end reads quantified with Salmon, and balanced libraries. (A) Average number of false discoveries as a function of the number of chosen transcripts. (B) Average number of true (blue) and false (red) positive DE transcripts. Observed is FDR annotated. (C) Average computing time in minutes.

Version Author Date
57b0d00 Pedro Baldoni 2023-02-17
8c476c6 Pedro Baldoni 2022-11-24
Simulation results. Scenario with mm39 genome, 125bp paired-end reads quantified with Salmon, and balanced libraries. (A) Average number of false discoveries as a function of the number of chosen transcripts. (B) Average number of true (blue) and false (red) positive DE transcripts. Observed is FDR annotated. (C) Average computing time in minutes.

Simulation results. Scenario with mm39 genome, 125bp paired-end reads quantified with Salmon, and balanced libraries. (A) Average number of false discoveries as a function of the number of chosen transcripts. (B) Average number of true (blue) and false (red) positive DE transcripts. Observed is FDR annotated. (C) Average computing time in minutes.

Version Author Date
57b0d00 Pedro Baldoni 2023-02-17
8c476c6 Pedro Baldoni 2022-11-24
Simulation results. Scenario with mm39 genome, 150bp paired-end reads quantified with Salmon, and balanced libraries. (A) Average number of false discoveries as a function of the number of chosen transcripts. (B) Average number of true (blue) and false (red) positive DE transcripts. Observed is FDR annotated. (C) Average computing time in minutes.

Simulation results. Scenario with mm39 genome, 150bp paired-end reads quantified with Salmon, and balanced libraries. (A) Average number of false discoveries as a function of the number of chosen transcripts. (B) Average number of true (blue) and false (red) positive DE transcripts. Observed is FDR annotated. (C) Average computing time in minutes.

Version Author Date
57b0d00 Pedro Baldoni 2023-02-17
8c476c6 Pedro Baldoni 2022-11-24
Simulation results. Scenario with mm39 genome, 50bp single-end reads quantified with kallisto, and balanced libraries. (A) Average number of false discoveries as a function of the number of chosen transcripts. (B) Average number of true (blue) and false (red) positive DE transcripts. Observed is FDR annotated. (C) Average computing time in minutes.

Simulation results. Scenario with mm39 genome, 50bp single-end reads quantified with kallisto, and balanced libraries. (A) Average number of false discoveries as a function of the number of chosen transcripts. (B) Average number of true (blue) and false (red) positive DE transcripts. Observed is FDR annotated. (C) Average computing time in minutes.

Version Author Date
57b0d00 Pedro Baldoni 2023-02-17
8c476c6 Pedro Baldoni 2022-11-24
Simulation results. Scenario with mm39 genome, 75bp single-end reads quantified with kallisto, and balanced libraries. (A) Average number of false discoveries as a function of the number of chosen transcripts. (B) Average number of true (blue) and false (red) positive DE transcripts. Observed is FDR annotated. (C) Average computing time in minutes.

Simulation results. Scenario with mm39 genome, 75bp single-end reads quantified with kallisto, and balanced libraries. (A) Average number of false discoveries as a function of the number of chosen transcripts. (B) Average number of true (blue) and false (red) positive DE transcripts. Observed is FDR annotated. (C) Average computing time in minutes.

Version Author Date
57b0d00 Pedro Baldoni 2023-02-17
8c476c6 Pedro Baldoni 2022-11-24
Simulation results. Scenario with mm39 genome, 100bp single-end reads quantified with kallisto, and balanced libraries. (A) Average number of false discoveries as a function of the number of chosen transcripts. (B) Average number of true (blue) and false (red) positive DE transcripts. Observed is FDR annotated. (C) Average computing time in minutes.

Simulation results. Scenario with mm39 genome, 100bp single-end reads quantified with kallisto, and balanced libraries. (A) Average number of false discoveries as a function of the number of chosen transcripts. (B) Average number of true (blue) and false (red) positive DE transcripts. Observed is FDR annotated. (C) Average computing time in minutes.

Version Author Date
57b0d00 Pedro Baldoni 2023-02-17
8c476c6 Pedro Baldoni 2022-11-24
Simulation results. Scenario with mm39 genome, 125bp single-end reads quantified with kallisto, and balanced libraries. (A) Average number of false discoveries as a function of the number of chosen transcripts. (B) Average number of true (blue) and false (red) positive DE transcripts. Observed is FDR annotated. (C) Average computing time in minutes.

Simulation results. Scenario with mm39 genome, 125bp single-end reads quantified with kallisto, and balanced libraries. (A) Average number of false discoveries as a function of the number of chosen transcripts. (B) Average number of true (blue) and false (red) positive DE transcripts. Observed is FDR annotated. (C) Average computing time in minutes.

Version Author Date
57b0d00 Pedro Baldoni 2023-02-17
8c476c6 Pedro Baldoni 2022-11-24
Simulation results. Scenario with mm39 genome, 150bp single-end reads quantified with kallisto, and balanced libraries. (A) Average number of false discoveries as a function of the number of chosen transcripts. (B) Average number of true (blue) and false (red) positive DE transcripts. Observed is FDR annotated. (C) Average computing time in minutes.

Simulation results. Scenario with mm39 genome, 150bp single-end reads quantified with kallisto, and balanced libraries. (A) Average number of false discoveries as a function of the number of chosen transcripts. (B) Average number of true (blue) and false (red) positive DE transcripts. Observed is FDR annotated. (C) Average computing time in minutes.

Version Author Date
57b0d00 Pedro Baldoni 2023-02-17
8c476c6 Pedro Baldoni 2022-11-24
Simulation results. Scenario with mm39 genome, 50bp paired-end reads quantified with kallisto, and balanced libraries. (A) Average number of false discoveries as a function of the number of chosen transcripts. (B) Average number of true (blue) and false (red) positive DE transcripts. Observed is FDR annotated. (C) Average computing time in minutes.

Simulation results. Scenario with mm39 genome, 50bp paired-end reads quantified with kallisto, and balanced libraries. (A) Average number of false discoveries as a function of the number of chosen transcripts. (B) Average number of true (blue) and false (red) positive DE transcripts. Observed is FDR annotated. (C) Average computing time in minutes.

Version Author Date
57b0d00 Pedro Baldoni 2023-02-17
8c476c6 Pedro Baldoni 2022-11-24
Simulation results. Scenario with mm39 genome, 75bp paired-end reads quantified with kallisto, and balanced libraries. (A) Average number of false discoveries as a function of the number of chosen transcripts. (B) Average number of true (blue) and false (red) positive DE transcripts. Observed is FDR annotated. (C) Average computing time in minutes.

Simulation results. Scenario with mm39 genome, 75bp paired-end reads quantified with kallisto, and balanced libraries. (A) Average number of false discoveries as a function of the number of chosen transcripts. (B) Average number of true (blue) and false (red) positive DE transcripts. Observed is FDR annotated. (C) Average computing time in minutes.

Version Author Date
57b0d00 Pedro Baldoni 2023-02-17
8c476c6 Pedro Baldoni 2022-11-24
Simulation results. Scenario with mm39 genome, 100bp paired-end reads quantified with kallisto, and balanced libraries. (A) Average number of false discoveries as a function of the number of chosen transcripts. (B) Average number of true (blue) and false (red) positive DE transcripts. Observed is FDR annotated. (C) Average computing time in minutes.

Simulation results. Scenario with mm39 genome, 100bp paired-end reads quantified with kallisto, and balanced libraries. (A) Average number of false discoveries as a function of the number of chosen transcripts. (B) Average number of true (blue) and false (red) positive DE transcripts. Observed is FDR annotated. (C) Average computing time in minutes.

Version Author Date
57b0d00 Pedro Baldoni 2023-02-17
8c476c6 Pedro Baldoni 2022-11-24
Simulation results. Scenario with mm39 genome, 125bp paired-end reads quantified with kallisto, and balanced libraries. (A) Average number of false discoveries as a function of the number of chosen transcripts. (B) Average number of true (blue) and false (red) positive DE transcripts. Observed is FDR annotated. (C) Average computing time in minutes.

Simulation results. Scenario with mm39 genome, 125bp paired-end reads quantified with kallisto, and balanced libraries. (A) Average number of false discoveries as a function of the number of chosen transcripts. (B) Average number of true (blue) and false (red) positive DE transcripts. Observed is FDR annotated. (C) Average computing time in minutes.

Version Author Date
57b0d00 Pedro Baldoni 2023-02-17
8c476c6 Pedro Baldoni 2022-11-24
Simulation results. Scenario with mm39 genome, 150bp paired-end reads quantified with kallisto, and balanced libraries. (A) Average number of false discoveries as a function of the number of chosen transcripts. (B) Average number of true (blue) and false (red) positive DE transcripts. Observed is FDR annotated. (C) Average computing time in minutes.

Simulation results. Scenario with mm39 genome, 150bp paired-end reads quantified with kallisto, and balanced libraries. (A) Average number of false discoveries as a function of the number of chosen transcripts. (B) Average number of true (blue) and false (red) positive DE transcripts. Observed is FDR annotated. (C) Average computing time in minutes.

Version Author Date
57b0d00 Pedro Baldoni 2023-02-17
8c476c6 Pedro Baldoni 2022-11-24
Simulation results. Scenario with mm39 genome, 50bp single-end reads quantified with Salmon, and unbalanced libraries. (A) Average number of false discoveries as a function of the number of chosen transcripts. (B) Average number of true (blue) and false (red) positive DE transcripts. Observed is FDR annotated. (C) Average computing time in minutes.

Simulation results. Scenario with mm39 genome, 50bp single-end reads quantified with Salmon, and unbalanced libraries. (A) Average number of false discoveries as a function of the number of chosen transcripts. (B) Average number of true (blue) and false (red) positive DE transcripts. Observed is FDR annotated. (C) Average computing time in minutes.

Version Author Date
57b0d00 Pedro Baldoni 2023-02-17
8c476c6 Pedro Baldoni 2022-11-24
Simulation results. Scenario with mm39 genome, 75bp single-end reads quantified with Salmon, and unbalanced libraries. (A) Average number of false discoveries as a function of the number of chosen transcripts. (B) Average number of true (blue) and false (red) positive DE transcripts. Observed is FDR annotated. (C) Average computing time in minutes.

Simulation results. Scenario with mm39 genome, 75bp single-end reads quantified with Salmon, and unbalanced libraries. (A) Average number of false discoveries as a function of the number of chosen transcripts. (B) Average number of true (blue) and false (red) positive DE transcripts. Observed is FDR annotated. (C) Average computing time in minutes.

Version Author Date
57b0d00 Pedro Baldoni 2023-02-17
8c476c6 Pedro Baldoni 2022-11-24
Simulation results. Scenario with mm39 genome, 100bp single-end reads quantified with Salmon, and unbalanced libraries. (A) Average number of false discoveries as a function of the number of chosen transcripts. (B) Average number of true (blue) and false (red) positive DE transcripts. Observed is FDR annotated. (C) Average computing time in minutes.

Simulation results. Scenario with mm39 genome, 100bp single-end reads quantified with Salmon, and unbalanced libraries. (A) Average number of false discoveries as a function of the number of chosen transcripts. (B) Average number of true (blue) and false (red) positive DE transcripts. Observed is FDR annotated. (C) Average computing time in minutes.

Version Author Date
57b0d00 Pedro Baldoni 2023-02-17
8c476c6 Pedro Baldoni 2022-11-24
Simulation results. Scenario with mm39 genome, 125bp single-end reads quantified with Salmon, and unbalanced libraries. (A) Average number of false discoveries as a function of the number of chosen transcripts. (B) Average number of true (blue) and false (red) positive DE transcripts. Observed is FDR annotated. (C) Average computing time in minutes.

Simulation results. Scenario with mm39 genome, 125bp single-end reads quantified with Salmon, and unbalanced libraries. (A) Average number of false discoveries as a function of the number of chosen transcripts. (B) Average number of true (blue) and false (red) positive DE transcripts. Observed is FDR annotated. (C) Average computing time in minutes.

Version Author Date
57b0d00 Pedro Baldoni 2023-02-17
8c476c6 Pedro Baldoni 2022-11-24
Simulation results. Scenario with mm39 genome, 150bp single-end reads quantified with Salmon, and unbalanced libraries. (A) Average number of false discoveries as a function of the number of chosen transcripts. (B) Average number of true (blue) and false (red) positive DE transcripts. Observed is FDR annotated. (C) Average computing time in minutes.

Simulation results. Scenario with mm39 genome, 150bp single-end reads quantified with Salmon, and unbalanced libraries. (A) Average number of false discoveries as a function of the number of chosen transcripts. (B) Average number of true (blue) and false (red) positive DE transcripts. Observed is FDR annotated. (C) Average computing time in minutes.

Version Author Date
57b0d00 Pedro Baldoni 2023-02-17
8c476c6 Pedro Baldoni 2022-11-24
Simulation results. Scenario with mm39 genome, 50bp paired-end reads quantified with Salmon, and unbalanced libraries. (A) Average number of false discoveries as a function of the number of chosen transcripts. (B) Average number of true (blue) and false (red) positive DE transcripts. Observed is FDR annotated. (C) Average computing time in minutes.

Simulation results. Scenario with mm39 genome, 50bp paired-end reads quantified with Salmon, and unbalanced libraries. (A) Average number of false discoveries as a function of the number of chosen transcripts. (B) Average number of true (blue) and false (red) positive DE transcripts. Observed is FDR annotated. (C) Average computing time in minutes.

Version Author Date
57b0d00 Pedro Baldoni 2023-02-17
8c476c6 Pedro Baldoni 2022-11-24
Simulation results. Scenario with mm39 genome, 75bp paired-end reads quantified with Salmon, and unbalanced libraries. (A) Average number of false discoveries as a function of the number of chosen transcripts. (B) Average number of true (blue) and false (red) positive DE transcripts. Observed is FDR annotated. (C) Average computing time in minutes.

Simulation results. Scenario with mm39 genome, 75bp paired-end reads quantified with Salmon, and unbalanced libraries. (A) Average number of false discoveries as a function of the number of chosen transcripts. (B) Average number of true (blue) and false (red) positive DE transcripts. Observed is FDR annotated. (C) Average computing time in minutes.

Version Author Date
57b0d00 Pedro Baldoni 2023-02-17
8c476c6 Pedro Baldoni 2022-11-24
Simulation results. Scenario with mm39 genome, 100bp paired-end reads quantified with Salmon, and unbalanced libraries. (A) Average number of false discoveries as a function of the number of chosen transcripts. (B) Average number of true (blue) and false (red) positive DE transcripts. Observed is FDR annotated. (C) Average computing time in minutes.

Simulation results. Scenario with mm39 genome, 100bp paired-end reads quantified with Salmon, and unbalanced libraries. (A) Average number of false discoveries as a function of the number of chosen transcripts. (B) Average number of true (blue) and false (red) positive DE transcripts. Observed is FDR annotated. (C) Average computing time in minutes.

Version Author Date
57b0d00 Pedro Baldoni 2023-02-17
8c476c6 Pedro Baldoni 2022-11-24
Simulation results. Scenario with mm39 genome, 125bp paired-end reads quantified with Salmon, and unbalanced libraries. (A) Average number of false discoveries as a function of the number of chosen transcripts. (B) Average number of true (blue) and false (red) positive DE transcripts. Observed is FDR annotated. (C) Average computing time in minutes.

Simulation results. Scenario with mm39 genome, 125bp paired-end reads quantified with Salmon, and unbalanced libraries. (A) Average number of false discoveries as a function of the number of chosen transcripts. (B) Average number of true (blue) and false (red) positive DE transcripts. Observed is FDR annotated. (C) Average computing time in minutes.

Version Author Date
57b0d00 Pedro Baldoni 2023-02-17
8c476c6 Pedro Baldoni 2022-11-24
Simulation results. Scenario with mm39 genome, 150bp paired-end reads quantified with Salmon, and unbalanced libraries. (A) Average number of false discoveries as a function of the number of chosen transcripts. (B) Average number of true (blue) and false (red) positive DE transcripts. Observed is FDR annotated. (C) Average computing time in minutes.

Simulation results. Scenario with mm39 genome, 150bp paired-end reads quantified with Salmon, and unbalanced libraries. (A) Average number of false discoveries as a function of the number of chosen transcripts. (B) Average number of true (blue) and false (red) positive DE transcripts. Observed is FDR annotated. (C) Average computing time in minutes.

Version Author Date
57b0d00 Pedro Baldoni 2023-02-17
8c476c6 Pedro Baldoni 2022-11-24
Simulation results. Scenario with mm39 genome, 50bp single-end reads quantified with kallisto, and unbalanced libraries. (A) Average number of false discoveries as a function of the number of chosen transcripts. (B) Average number of true (blue) and false (red) positive DE transcripts. Observed is FDR annotated. (C) Average computing time in minutes.

Simulation results. Scenario with mm39 genome, 50bp single-end reads quantified with kallisto, and unbalanced libraries. (A) Average number of false discoveries as a function of the number of chosen transcripts. (B) Average number of true (blue) and false (red) positive DE transcripts. Observed is FDR annotated. (C) Average computing time in minutes.

Version Author Date
57b0d00 Pedro Baldoni 2023-02-17
8c476c6 Pedro Baldoni 2022-11-24
Simulation results. Scenario with mm39 genome, 75bp single-end reads quantified with kallisto, and unbalanced libraries. (A) Average number of false discoveries as a function of the number of chosen transcripts. (B) Average number of true (blue) and false (red) positive DE transcripts. Observed is FDR annotated. (C) Average computing time in minutes.

Simulation results. Scenario with mm39 genome, 75bp single-end reads quantified with kallisto, and unbalanced libraries. (A) Average number of false discoveries as a function of the number of chosen transcripts. (B) Average number of true (blue) and false (red) positive DE transcripts. Observed is FDR annotated. (C) Average computing time in minutes.

Version Author Date
57b0d00 Pedro Baldoni 2023-02-17
8c476c6 Pedro Baldoni 2022-11-24
Simulation results. Scenario with mm39 genome, 100bp single-end reads quantified with kallisto, and unbalanced libraries. (A) Average number of false discoveries as a function of the number of chosen transcripts. (B) Average number of true (blue) and false (red) positive DE transcripts. Observed is FDR annotated. (C) Average computing time in minutes.

Simulation results. Scenario with mm39 genome, 100bp single-end reads quantified with kallisto, and unbalanced libraries. (A) Average number of false discoveries as a function of the number of chosen transcripts. (B) Average number of true (blue) and false (red) positive DE transcripts. Observed is FDR annotated. (C) Average computing time in minutes.

Version Author Date
57b0d00 Pedro Baldoni 2023-02-17
8c476c6 Pedro Baldoni 2022-11-24
Simulation results. Scenario with mm39 genome, 125bp single-end reads quantified with kallisto, and unbalanced libraries. (A) Average number of false discoveries as a function of the number of chosen transcripts. (B) Average number of true (blue) and false (red) positive DE transcripts. Observed is FDR annotated. (C) Average computing time in minutes.

Simulation results. Scenario with mm39 genome, 125bp single-end reads quantified with kallisto, and unbalanced libraries. (A) Average number of false discoveries as a function of the number of chosen transcripts. (B) Average number of true (blue) and false (red) positive DE transcripts. Observed is FDR annotated. (C) Average computing time in minutes.

Version Author Date
57b0d00 Pedro Baldoni 2023-02-17
8c476c6 Pedro Baldoni 2022-11-24
Simulation results. Scenario with mm39 genome, 150bp single-end reads quantified with kallisto, and unbalanced libraries. (A) Average number of false discoveries as a function of the number of chosen transcripts. (B) Average number of true (blue) and false (red) positive DE transcripts. Observed is FDR annotated. (C) Average computing time in minutes.

Simulation results. Scenario with mm39 genome, 150bp single-end reads quantified with kallisto, and unbalanced libraries. (A) Average number of false discoveries as a function of the number of chosen transcripts. (B) Average number of true (blue) and false (red) positive DE transcripts. Observed is FDR annotated. (C) Average computing time in minutes.

Version Author Date
57b0d00 Pedro Baldoni 2023-02-17
8c476c6 Pedro Baldoni 2022-11-24
Simulation results. Scenario with mm39 genome, 50bp paired-end reads quantified with kallisto, and unbalanced libraries. (A) Average number of false discoveries as a function of the number of chosen transcripts. (B) Average number of true (blue) and false (red) positive DE transcripts. Observed is FDR annotated. (C) Average computing time in minutes.

Simulation results. Scenario with mm39 genome, 50bp paired-end reads quantified with kallisto, and unbalanced libraries. (A) Average number of false discoveries as a function of the number of chosen transcripts. (B) Average number of true (blue) and false (red) positive DE transcripts. Observed is FDR annotated. (C) Average computing time in minutes.

Version Author Date
57b0d00 Pedro Baldoni 2023-02-17
8c476c6 Pedro Baldoni 2022-11-24
Simulation results. Scenario with mm39 genome, 75bp paired-end reads quantified with kallisto, and unbalanced libraries. (A) Average number of false discoveries as a function of the number of chosen transcripts. (B) Average number of true (blue) and false (red) positive DE transcripts. Observed is FDR annotated. (C) Average computing time in minutes.

Simulation results. Scenario with mm39 genome, 75bp paired-end reads quantified with kallisto, and unbalanced libraries. (A) Average number of false discoveries as a function of the number of chosen transcripts. (B) Average number of true (blue) and false (red) positive DE transcripts. Observed is FDR annotated. (C) Average computing time in minutes.

Version Author Date
57b0d00 Pedro Baldoni 2023-02-17
8c476c6 Pedro Baldoni 2022-11-24
Simulation results. Scenario with mm39 genome, 100bp paired-end reads quantified with kallisto, and unbalanced libraries. (A) Average number of false discoveries as a function of the number of chosen transcripts. (B) Average number of true (blue) and false (red) positive DE transcripts. Observed is FDR annotated. (C) Average computing time in minutes.

Simulation results. Scenario with mm39 genome, 100bp paired-end reads quantified with kallisto, and unbalanced libraries. (A) Average number of false discoveries as a function of the number of chosen transcripts. (B) Average number of true (blue) and false (red) positive DE transcripts. Observed is FDR annotated. (C) Average computing time in minutes.

Version Author Date
57b0d00 Pedro Baldoni 2023-02-17
8c476c6 Pedro Baldoni 2022-11-24
Simulation results. Scenario with mm39 genome, 125bp paired-end reads quantified with kallisto, and unbalanced libraries. (A) Average number of false discoveries as a function of the number of chosen transcripts. (B) Average number of true (blue) and false (red) positive DE transcripts. Observed is FDR annotated. (C) Average computing time in minutes.

Simulation results. Scenario with mm39 genome, 125bp paired-end reads quantified with kallisto, and unbalanced libraries. (A) Average number of false discoveries as a function of the number of chosen transcripts. (B) Average number of true (blue) and false (red) positive DE transcripts. Observed is FDR annotated. (C) Average computing time in minutes.

Version Author Date
57b0d00 Pedro Baldoni 2023-02-17
8c476c6 Pedro Baldoni 2022-11-24
Simulation results. Scenario with mm39 genome, 150bp paired-end reads quantified with kallisto, and unbalanced libraries. (A) Average number of false discoveries as a function of the number of chosen transcripts. (B) Average number of true (blue) and false (red) positive DE transcripts. Observed is FDR annotated. (C) Average computing time in minutes.

Simulation results. Scenario with mm39 genome, 150bp paired-end reads quantified with kallisto, and unbalanced libraries. (A) Average number of false discoveries as a function of the number of chosen transcripts. (B) Average number of true (blue) and false (red) positive DE transcripts. Observed is FDR annotated. (C) Average computing time in minutes.

Version Author Date
57b0d00 Pedro Baldoni 2023-02-17
8c476c6 Pedro Baldoni 2022-11-24

Type 1 error rate control

From null simulations, we present below the results for the type 1 error rate assessment.

> for(i in seq_len(length(plots))) {
+   fig <- plots[[i]]$panelB
+   print(fig)
+   cat('\n\n<!-- -->\n\n')
+ }   
Simulation results. Scenario with mm39 genome, 50bp single-end reads quantified with Salmon, and balanced libraries. (A) QQ plots of p-values for simulations without any differential expression (averaged over 20 simulations). (B) Proportion of transcripts with unadjusted p-values less than 0.05 for simulations without any differential expression (averaged over 20 simulations)

Simulation results. Scenario with mm39 genome, 50bp single-end reads quantified with Salmon, and balanced libraries. (A) QQ plots of p-values for simulations without any differential expression (averaged over 20 simulations). (B) Proportion of transcripts with unadjusted p-values less than 0.05 for simulations without any differential expression (averaged over 20 simulations)

Version Author Date
57b0d00 Pedro Baldoni 2023-02-17
8c476c6 Pedro Baldoni 2022-11-24
Simulation results. Scenario with mm39 genome, 75bp single-end reads quantified with Salmon, and balanced libraries. (A) QQ plots of p-values for simulations without any differential expression (averaged over 20 simulations). (B) Proportion of transcripts with unadjusted p-values less than 0.05 for simulations without any differential expression (averaged over 20 simulations)

Simulation results. Scenario with mm39 genome, 75bp single-end reads quantified with Salmon, and balanced libraries. (A) QQ plots of p-values for simulations without any differential expression (averaged over 20 simulations). (B) Proportion of transcripts with unadjusted p-values less than 0.05 for simulations without any differential expression (averaged over 20 simulations)

Version Author Date
57b0d00 Pedro Baldoni 2023-02-17
8c476c6 Pedro Baldoni 2022-11-24
Simulation results. Scenario with mm39 genome, 100bp single-end reads quantified with Salmon, and balanced libraries. (A) QQ plots of p-values for simulations without any differential expression (averaged over 20 simulations). (B) Proportion of transcripts with unadjusted p-values less than 0.05 for simulations without any differential expression (averaged over 20 simulations)

Simulation results. Scenario with mm39 genome, 100bp single-end reads quantified with Salmon, and balanced libraries. (A) QQ plots of p-values for simulations without any differential expression (averaged over 20 simulations). (B) Proportion of transcripts with unadjusted p-values less than 0.05 for simulations without any differential expression (averaged over 20 simulations)

Version Author Date
57b0d00 Pedro Baldoni 2023-02-17
8c476c6 Pedro Baldoni 2022-11-24
Simulation results. Scenario with mm39 genome, 125bp single-end reads quantified with Salmon, and balanced libraries. (A) QQ plots of p-values for simulations without any differential expression (averaged over 20 simulations). (B) Proportion of transcripts with unadjusted p-values less than 0.05 for simulations without any differential expression (averaged over 20 simulations)

Simulation results. Scenario with mm39 genome, 125bp single-end reads quantified with Salmon, and balanced libraries. (A) QQ plots of p-values for simulations without any differential expression (averaged over 20 simulations). (B) Proportion of transcripts with unadjusted p-values less than 0.05 for simulations without any differential expression (averaged over 20 simulations)

Version Author Date
57b0d00 Pedro Baldoni 2023-02-17
8c476c6 Pedro Baldoni 2022-11-24
Simulation results. Scenario with mm39 genome, 150bp single-end reads quantified with Salmon, and balanced libraries. (A) QQ plots of p-values for simulations without any differential expression (averaged over 20 simulations). (B) Proportion of transcripts with unadjusted p-values less than 0.05 for simulations without any differential expression (averaged over 20 simulations)

Simulation results. Scenario with mm39 genome, 150bp single-end reads quantified with Salmon, and balanced libraries. (A) QQ plots of p-values for simulations without any differential expression (averaged over 20 simulations). (B) Proportion of transcripts with unadjusted p-values less than 0.05 for simulations without any differential expression (averaged over 20 simulations)

Version Author Date
57b0d00 Pedro Baldoni 2023-02-17
8c476c6 Pedro Baldoni 2022-11-24
Simulation results. Scenario with mm39 genome, 50bp paired-end reads quantified with Salmon, and balanced libraries. (A) QQ plots of p-values for simulations without any differential expression (averaged over 20 simulations). (B) Proportion of transcripts with unadjusted p-values less than 0.05 for simulations without any differential expression (averaged over 20 simulations)

Simulation results. Scenario with mm39 genome, 50bp paired-end reads quantified with Salmon, and balanced libraries. (A) QQ plots of p-values for simulations without any differential expression (averaged over 20 simulations). (B) Proportion of transcripts with unadjusted p-values less than 0.05 for simulations without any differential expression (averaged over 20 simulations)

Version Author Date
57b0d00 Pedro Baldoni 2023-02-17
8c476c6 Pedro Baldoni 2022-11-24
Simulation results. Scenario with mm39 genome, 75bp paired-end reads quantified with Salmon, and balanced libraries. (A) QQ plots of p-values for simulations without any differential expression (averaged over 20 simulations). (B) Proportion of transcripts with unadjusted p-values less than 0.05 for simulations without any differential expression (averaged over 20 simulations)

Simulation results. Scenario with mm39 genome, 75bp paired-end reads quantified with Salmon, and balanced libraries. (A) QQ plots of p-values for simulations without any differential expression (averaged over 20 simulations). (B) Proportion of transcripts with unadjusted p-values less than 0.05 for simulations without any differential expression (averaged over 20 simulations)

Version Author Date
57b0d00 Pedro Baldoni 2023-02-17
8c476c6 Pedro Baldoni 2022-11-24
Simulation results. Scenario with mm39 genome, 100bp paired-end reads quantified with Salmon, and balanced libraries. (A) QQ plots of p-values for simulations without any differential expression (averaged over 20 simulations). (B) Proportion of transcripts with unadjusted p-values less than 0.05 for simulations without any differential expression (averaged over 20 simulations)

Simulation results. Scenario with mm39 genome, 100bp paired-end reads quantified with Salmon, and balanced libraries. (A) QQ plots of p-values for simulations without any differential expression (averaged over 20 simulations). (B) Proportion of transcripts with unadjusted p-values less than 0.05 for simulations without any differential expression (averaged over 20 simulations)

Version Author Date
57b0d00 Pedro Baldoni 2023-02-17
8c476c6 Pedro Baldoni 2022-11-24
Simulation results. Scenario with mm39 genome, 125bp paired-end reads quantified with Salmon, and balanced libraries. (A) QQ plots of p-values for simulations without any differential expression (averaged over 20 simulations). (B) Proportion of transcripts with unadjusted p-values less than 0.05 for simulations without any differential expression (averaged over 20 simulations)

Simulation results. Scenario with mm39 genome, 125bp paired-end reads quantified with Salmon, and balanced libraries. (A) QQ plots of p-values for simulations without any differential expression (averaged over 20 simulations). (B) Proportion of transcripts with unadjusted p-values less than 0.05 for simulations without any differential expression (averaged over 20 simulations)

Version Author Date
57b0d00 Pedro Baldoni 2023-02-17
8c476c6 Pedro Baldoni 2022-11-24
Simulation results. Scenario with mm39 genome, 150bp paired-end reads quantified with Salmon, and balanced libraries. (A) QQ plots of p-values for simulations without any differential expression (averaged over 20 simulations). (B) Proportion of transcripts with unadjusted p-values less than 0.05 for simulations without any differential expression (averaged over 20 simulations)

Simulation results. Scenario with mm39 genome, 150bp paired-end reads quantified with Salmon, and balanced libraries. (A) QQ plots of p-values for simulations without any differential expression (averaged over 20 simulations). (B) Proportion of transcripts with unadjusted p-values less than 0.05 for simulations without any differential expression (averaged over 20 simulations)

Version Author Date
57b0d00 Pedro Baldoni 2023-02-17
8c476c6 Pedro Baldoni 2022-11-24
Simulation results. Scenario with mm39 genome, 50bp single-end reads quantified with kallisto, and balanced libraries. (A) QQ plots of p-values for simulations without any differential expression (averaged over 20 simulations). (B) Proportion of transcripts with unadjusted p-values less than 0.05 for simulations without any differential expression (averaged over 20 simulations)

Simulation results. Scenario with mm39 genome, 50bp single-end reads quantified with kallisto, and balanced libraries. (A) QQ plots of p-values for simulations without any differential expression (averaged over 20 simulations). (B) Proportion of transcripts with unadjusted p-values less than 0.05 for simulations without any differential expression (averaged over 20 simulations)

Version Author Date
57b0d00 Pedro Baldoni 2023-02-17
8c476c6 Pedro Baldoni 2022-11-24
Simulation results. Scenario with mm39 genome, 75bp single-end reads quantified with kallisto, and balanced libraries. (A) QQ plots of p-values for simulations without any differential expression (averaged over 20 simulations). (B) Proportion of transcripts with unadjusted p-values less than 0.05 for simulations without any differential expression (averaged over 20 simulations)

Simulation results. Scenario with mm39 genome, 75bp single-end reads quantified with kallisto, and balanced libraries. (A) QQ plots of p-values for simulations without any differential expression (averaged over 20 simulations). (B) Proportion of transcripts with unadjusted p-values less than 0.05 for simulations without any differential expression (averaged over 20 simulations)

Version Author Date
57b0d00 Pedro Baldoni 2023-02-17
8c476c6 Pedro Baldoni 2022-11-24
Simulation results. Scenario with mm39 genome, 100bp single-end reads quantified with kallisto, and balanced libraries. (A) QQ plots of p-values for simulations without any differential expression (averaged over 20 simulations). (B) Proportion of transcripts with unadjusted p-values less than 0.05 for simulations without any differential expression (averaged over 20 simulations)

Simulation results. Scenario with mm39 genome, 100bp single-end reads quantified with kallisto, and balanced libraries. (A) QQ plots of p-values for simulations without any differential expression (averaged over 20 simulations). (B) Proportion of transcripts with unadjusted p-values less than 0.05 for simulations without any differential expression (averaged over 20 simulations)

Version Author Date
57b0d00 Pedro Baldoni 2023-02-17
8c476c6 Pedro Baldoni 2022-11-24
Simulation results. Scenario with mm39 genome, 125bp single-end reads quantified with kallisto, and balanced libraries. (A) QQ plots of p-values for simulations without any differential expression (averaged over 20 simulations). (B) Proportion of transcripts with unadjusted p-values less than 0.05 for simulations without any differential expression (averaged over 20 simulations)

Simulation results. Scenario with mm39 genome, 125bp single-end reads quantified with kallisto, and balanced libraries. (A) QQ plots of p-values for simulations without any differential expression (averaged over 20 simulations). (B) Proportion of transcripts with unadjusted p-values less than 0.05 for simulations without any differential expression (averaged over 20 simulations)

Version Author Date
57b0d00 Pedro Baldoni 2023-02-17
8c476c6 Pedro Baldoni 2022-11-24
Simulation results. Scenario with mm39 genome, 150bp single-end reads quantified with kallisto, and balanced libraries. (A) QQ plots of p-values for simulations without any differential expression (averaged over 20 simulations). (B) Proportion of transcripts with unadjusted p-values less than 0.05 for simulations without any differential expression (averaged over 20 simulations)

Simulation results. Scenario with mm39 genome, 150bp single-end reads quantified with kallisto, and balanced libraries. (A) QQ plots of p-values for simulations without any differential expression (averaged over 20 simulations). (B) Proportion of transcripts with unadjusted p-values less than 0.05 for simulations without any differential expression (averaged over 20 simulations)

Version Author Date
57b0d00 Pedro Baldoni 2023-02-17
8c476c6 Pedro Baldoni 2022-11-24
Simulation results. Scenario with mm39 genome, 50bp paired-end reads quantified with kallisto, and balanced libraries. (A) QQ plots of p-values for simulations without any differential expression (averaged over 20 simulations). (B) Proportion of transcripts with unadjusted p-values less than 0.05 for simulations without any differential expression (averaged over 20 simulations)

Simulation results. Scenario with mm39 genome, 50bp paired-end reads quantified with kallisto, and balanced libraries. (A) QQ plots of p-values for simulations without any differential expression (averaged over 20 simulations). (B) Proportion of transcripts with unadjusted p-values less than 0.05 for simulations without any differential expression (averaged over 20 simulations)

Version Author Date
57b0d00 Pedro Baldoni 2023-02-17
8c476c6 Pedro Baldoni 2022-11-24
Simulation results. Scenario with mm39 genome, 75bp paired-end reads quantified with kallisto, and balanced libraries. (A) QQ plots of p-values for simulations without any differential expression (averaged over 20 simulations). (B) Proportion of transcripts with unadjusted p-values less than 0.05 for simulations without any differential expression (averaged over 20 simulations)

Simulation results. Scenario with mm39 genome, 75bp paired-end reads quantified with kallisto, and balanced libraries. (A) QQ plots of p-values for simulations without any differential expression (averaged over 20 simulations). (B) Proportion of transcripts with unadjusted p-values less than 0.05 for simulations without any differential expression (averaged over 20 simulations)

Version Author Date
57b0d00 Pedro Baldoni 2023-02-17
8c476c6 Pedro Baldoni 2022-11-24
Simulation results. Scenario with mm39 genome, 100bp paired-end reads quantified with kallisto, and balanced libraries. (A) QQ plots of p-values for simulations without any differential expression (averaged over 20 simulations). (B) Proportion of transcripts with unadjusted p-values less than 0.05 for simulations without any differential expression (averaged over 20 simulations)

Simulation results. Scenario with mm39 genome, 100bp paired-end reads quantified with kallisto, and balanced libraries. (A) QQ plots of p-values for simulations without any differential expression (averaged over 20 simulations). (B) Proportion of transcripts with unadjusted p-values less than 0.05 for simulations without any differential expression (averaged over 20 simulations)

Version Author Date
57b0d00 Pedro Baldoni 2023-02-17
8c476c6 Pedro Baldoni 2022-11-24
Simulation results. Scenario with mm39 genome, 125bp paired-end reads quantified with kallisto, and balanced libraries. (A) QQ plots of p-values for simulations without any differential expression (averaged over 20 simulations). (B) Proportion of transcripts with unadjusted p-values less than 0.05 for simulations without any differential expression (averaged over 20 simulations)

Simulation results. Scenario with mm39 genome, 125bp paired-end reads quantified with kallisto, and balanced libraries. (A) QQ plots of p-values for simulations without any differential expression (averaged over 20 simulations). (B) Proportion of transcripts with unadjusted p-values less than 0.05 for simulations without any differential expression (averaged over 20 simulations)

Version Author Date
57b0d00 Pedro Baldoni 2023-02-17
8c476c6 Pedro Baldoni 2022-11-24
Simulation results. Scenario with mm39 genome, 150bp paired-end reads quantified with kallisto, and balanced libraries. (A) QQ plots of p-values for simulations without any differential expression (averaged over 20 simulations). (B) Proportion of transcripts with unadjusted p-values less than 0.05 for simulations without any differential expression (averaged over 20 simulations)

Simulation results. Scenario with mm39 genome, 150bp paired-end reads quantified with kallisto, and balanced libraries. (A) QQ plots of p-values for simulations without any differential expression (averaged over 20 simulations). (B) Proportion of transcripts with unadjusted p-values less than 0.05 for simulations without any differential expression (averaged over 20 simulations)

Version Author Date
57b0d00 Pedro Baldoni 2023-02-17
8c476c6 Pedro Baldoni 2022-11-24
Simulation results. Scenario with mm39 genome, 50bp single-end reads quantified with Salmon, and unbalanced libraries. (A) QQ plots of p-values for simulations without any differential expression (averaged over 20 simulations). (B) Proportion of transcripts with unadjusted p-values less than 0.05 for simulations without any differential expression (averaged over 20 simulations)

Simulation results. Scenario with mm39 genome, 50bp single-end reads quantified with Salmon, and unbalanced libraries. (A) QQ plots of p-values for simulations without any differential expression (averaged over 20 simulations). (B) Proportion of transcripts with unadjusted p-values less than 0.05 for simulations without any differential expression (averaged over 20 simulations)

Version Author Date
57b0d00 Pedro Baldoni 2023-02-17
8c476c6 Pedro Baldoni 2022-11-24
Simulation results. Scenario with mm39 genome, 75bp single-end reads quantified with Salmon, and unbalanced libraries. (A) QQ plots of p-values for simulations without any differential expression (averaged over 20 simulations). (B) Proportion of transcripts with unadjusted p-values less than 0.05 for simulations without any differential expression (averaged over 20 simulations)

Simulation results. Scenario with mm39 genome, 75bp single-end reads quantified with Salmon, and unbalanced libraries. (A) QQ plots of p-values for simulations without any differential expression (averaged over 20 simulations). (B) Proportion of transcripts with unadjusted p-values less than 0.05 for simulations without any differential expression (averaged over 20 simulations)

Version Author Date
57b0d00 Pedro Baldoni 2023-02-17
8c476c6 Pedro Baldoni 2022-11-24
Simulation results. Scenario with mm39 genome, 100bp single-end reads quantified with Salmon, and unbalanced libraries. (A) QQ plots of p-values for simulations without any differential expression (averaged over 20 simulations). (B) Proportion of transcripts with unadjusted p-values less than 0.05 for simulations without any differential expression (averaged over 20 simulations)

Simulation results. Scenario with mm39 genome, 100bp single-end reads quantified with Salmon, and unbalanced libraries. (A) QQ plots of p-values for simulations without any differential expression (averaged over 20 simulations). (B) Proportion of transcripts with unadjusted p-values less than 0.05 for simulations without any differential expression (averaged over 20 simulations)

Version Author Date
57b0d00 Pedro Baldoni 2023-02-17
8c476c6 Pedro Baldoni 2022-11-24
Simulation results. Scenario with mm39 genome, 125bp single-end reads quantified with Salmon, and unbalanced libraries. (A) QQ plots of p-values for simulations without any differential expression (averaged over 20 simulations). (B) Proportion of transcripts with unadjusted p-values less than 0.05 for simulations without any differential expression (averaged over 20 simulations)

Simulation results. Scenario with mm39 genome, 125bp single-end reads quantified with Salmon, and unbalanced libraries. (A) QQ plots of p-values for simulations without any differential expression (averaged over 20 simulations). (B) Proportion of transcripts with unadjusted p-values less than 0.05 for simulations without any differential expression (averaged over 20 simulations)

Version Author Date
57b0d00 Pedro Baldoni 2023-02-17
8c476c6 Pedro Baldoni 2022-11-24
Simulation results. Scenario with mm39 genome, 150bp single-end reads quantified with Salmon, and unbalanced libraries. (A) QQ plots of p-values for simulations without any differential expression (averaged over 20 simulations). (B) Proportion of transcripts with unadjusted p-values less than 0.05 for simulations without any differential expression (averaged over 20 simulations)

Simulation results. Scenario with mm39 genome, 150bp single-end reads quantified with Salmon, and unbalanced libraries. (A) QQ plots of p-values for simulations without any differential expression (averaged over 20 simulations). (B) Proportion of transcripts with unadjusted p-values less than 0.05 for simulations without any differential expression (averaged over 20 simulations)

Version Author Date
57b0d00 Pedro Baldoni 2023-02-17
8c476c6 Pedro Baldoni 2022-11-24
Simulation results. Scenario with mm39 genome, 50bp paired-end reads quantified with Salmon, and unbalanced libraries. (A) QQ plots of p-values for simulations without any differential expression (averaged over 20 simulations). (B) Proportion of transcripts with unadjusted p-values less than 0.05 for simulations without any differential expression (averaged over 20 simulations)

Simulation results. Scenario with mm39 genome, 50bp paired-end reads quantified with Salmon, and unbalanced libraries. (A) QQ plots of p-values for simulations without any differential expression (averaged over 20 simulations). (B) Proportion of transcripts with unadjusted p-values less than 0.05 for simulations without any differential expression (averaged over 20 simulations)

Version Author Date
57b0d00 Pedro Baldoni 2023-02-17
8c476c6 Pedro Baldoni 2022-11-24
Simulation results. Scenario with mm39 genome, 75bp paired-end reads quantified with Salmon, and unbalanced libraries. (A) QQ plots of p-values for simulations without any differential expression (averaged over 20 simulations). (B) Proportion of transcripts with unadjusted p-values less than 0.05 for simulations without any differential expression (averaged over 20 simulations)

Simulation results. Scenario with mm39 genome, 75bp paired-end reads quantified with Salmon, and unbalanced libraries. (A) QQ plots of p-values for simulations without any differential expression (averaged over 20 simulations). (B) Proportion of transcripts with unadjusted p-values less than 0.05 for simulations without any differential expression (averaged over 20 simulations)

Version Author Date
57b0d00 Pedro Baldoni 2023-02-17
8c476c6 Pedro Baldoni 2022-11-24
Simulation results. Scenario with mm39 genome, 100bp paired-end reads quantified with Salmon, and unbalanced libraries. (A) QQ plots of p-values for simulations without any differential expression (averaged over 20 simulations). (B) Proportion of transcripts with unadjusted p-values less than 0.05 for simulations without any differential expression (averaged over 20 simulations)

Simulation results. Scenario with mm39 genome, 100bp paired-end reads quantified with Salmon, and unbalanced libraries. (A) QQ plots of p-values for simulations without any differential expression (averaged over 20 simulations). (B) Proportion of transcripts with unadjusted p-values less than 0.05 for simulations without any differential expression (averaged over 20 simulations)

Version Author Date
57b0d00 Pedro Baldoni 2023-02-17
8c476c6 Pedro Baldoni 2022-11-24
Simulation results. Scenario with mm39 genome, 125bp paired-end reads quantified with Salmon, and unbalanced libraries. (A) QQ plots of p-values for simulations without any differential expression (averaged over 20 simulations). (B) Proportion of transcripts with unadjusted p-values less than 0.05 for simulations without any differential expression (averaged over 20 simulations)

Simulation results. Scenario with mm39 genome, 125bp paired-end reads quantified with Salmon, and unbalanced libraries. (A) QQ plots of p-values for simulations without any differential expression (averaged over 20 simulations). (B) Proportion of transcripts with unadjusted p-values less than 0.05 for simulations without any differential expression (averaged over 20 simulations)

Version Author Date
57b0d00 Pedro Baldoni 2023-02-17
8c476c6 Pedro Baldoni 2022-11-24
Simulation results. Scenario with mm39 genome, 150bp paired-end reads quantified with Salmon, and unbalanced libraries. (A) QQ plots of p-values for simulations without any differential expression (averaged over 20 simulations). (B) Proportion of transcripts with unadjusted p-values less than 0.05 for simulations without any differential expression (averaged over 20 simulations)

Simulation results. Scenario with mm39 genome, 150bp paired-end reads quantified with Salmon, and unbalanced libraries. (A) QQ plots of p-values for simulations without any differential expression (averaged over 20 simulations). (B) Proportion of transcripts with unadjusted p-values less than 0.05 for simulations without any differential expression (averaged over 20 simulations)

Version Author Date
57b0d00 Pedro Baldoni 2023-02-17
8c476c6 Pedro Baldoni 2022-11-24
Simulation results. Scenario with mm39 genome, 50bp single-end reads quantified with kallisto, and unbalanced libraries. (A) QQ plots of p-values for simulations without any differential expression (averaged over 20 simulations). (B) Proportion of transcripts with unadjusted p-values less than 0.05 for simulations without any differential expression (averaged over 20 simulations)

Simulation results. Scenario with mm39 genome, 50bp single-end reads quantified with kallisto, and unbalanced libraries. (A) QQ plots of p-values for simulations without any differential expression (averaged over 20 simulations). (B) Proportion of transcripts with unadjusted p-values less than 0.05 for simulations without any differential expression (averaged over 20 simulations)

Version Author Date
57b0d00 Pedro Baldoni 2023-02-17
8c476c6 Pedro Baldoni 2022-11-24
Simulation results. Scenario with mm39 genome, 75bp single-end reads quantified with kallisto, and unbalanced libraries. (A) QQ plots of p-values for simulations without any differential expression (averaged over 20 simulations). (B) Proportion of transcripts with unadjusted p-values less than 0.05 for simulations without any differential expression (averaged over 20 simulations)

Simulation results. Scenario with mm39 genome, 75bp single-end reads quantified with kallisto, and unbalanced libraries. (A) QQ plots of p-values for simulations without any differential expression (averaged over 20 simulations). (B) Proportion of transcripts with unadjusted p-values less than 0.05 for simulations without any differential expression (averaged over 20 simulations)

Version Author Date
57b0d00 Pedro Baldoni 2023-02-17
8c476c6 Pedro Baldoni 2022-11-24
Simulation results. Scenario with mm39 genome, 100bp single-end reads quantified with kallisto, and unbalanced libraries. (A) QQ plots of p-values for simulations without any differential expression (averaged over 20 simulations). (B) Proportion of transcripts with unadjusted p-values less than 0.05 for simulations without any differential expression (averaged over 20 simulations)

Simulation results. Scenario with mm39 genome, 100bp single-end reads quantified with kallisto, and unbalanced libraries. (A) QQ plots of p-values for simulations without any differential expression (averaged over 20 simulations). (B) Proportion of transcripts with unadjusted p-values less than 0.05 for simulations without any differential expression (averaged over 20 simulations)

Version Author Date
57b0d00 Pedro Baldoni 2023-02-17
8c476c6 Pedro Baldoni 2022-11-24
Simulation results. Scenario with mm39 genome, 125bp single-end reads quantified with kallisto, and unbalanced libraries. (A) QQ plots of p-values for simulations without any differential expression (averaged over 20 simulations). (B) Proportion of transcripts with unadjusted p-values less than 0.05 for simulations without any differential expression (averaged over 20 simulations)

Simulation results. Scenario with mm39 genome, 125bp single-end reads quantified with kallisto, and unbalanced libraries. (A) QQ plots of p-values for simulations without any differential expression (averaged over 20 simulations). (B) Proportion of transcripts with unadjusted p-values less than 0.05 for simulations without any differential expression (averaged over 20 simulations)

Version Author Date
57b0d00 Pedro Baldoni 2023-02-17
8c476c6 Pedro Baldoni 2022-11-24
Simulation results. Scenario with mm39 genome, 150bp single-end reads quantified with kallisto, and unbalanced libraries. (A) QQ plots of p-values for simulations without any differential expression (averaged over 20 simulations). (B) Proportion of transcripts with unadjusted p-values less than 0.05 for simulations without any differential expression (averaged over 20 simulations)

Simulation results. Scenario with mm39 genome, 150bp single-end reads quantified with kallisto, and unbalanced libraries. (A) QQ plots of p-values for simulations without any differential expression (averaged over 20 simulations). (B) Proportion of transcripts with unadjusted p-values less than 0.05 for simulations without any differential expression (averaged over 20 simulations)

Version Author Date
57b0d00 Pedro Baldoni 2023-02-17
8c476c6 Pedro Baldoni 2022-11-24
Simulation results. Scenario with mm39 genome, 50bp paired-end reads quantified with kallisto, and unbalanced libraries. (A) QQ plots of p-values for simulations without any differential expression (averaged over 20 simulations). (B) Proportion of transcripts with unadjusted p-values less than 0.05 for simulations without any differential expression (averaged over 20 simulations)

Simulation results. Scenario with mm39 genome, 50bp paired-end reads quantified with kallisto, and unbalanced libraries. (A) QQ plots of p-values for simulations without any differential expression (averaged over 20 simulations). (B) Proportion of transcripts with unadjusted p-values less than 0.05 for simulations without any differential expression (averaged over 20 simulations)

Version Author Date
57b0d00 Pedro Baldoni 2023-02-17
8c476c6 Pedro Baldoni 2022-11-24
Simulation results. Scenario with mm39 genome, 75bp paired-end reads quantified with kallisto, and unbalanced libraries. (A) QQ plots of p-values for simulations without any differential expression (averaged over 20 simulations). (B) Proportion of transcripts with unadjusted p-values less than 0.05 for simulations without any differential expression (averaged over 20 simulations)

Simulation results. Scenario with mm39 genome, 75bp paired-end reads quantified with kallisto, and unbalanced libraries. (A) QQ plots of p-values for simulations without any differential expression (averaged over 20 simulations). (B) Proportion of transcripts with unadjusted p-values less than 0.05 for simulations without any differential expression (averaged over 20 simulations)

Version Author Date
57b0d00 Pedro Baldoni 2023-02-17
8c476c6 Pedro Baldoni 2022-11-24
Simulation results. Scenario with mm39 genome, 100bp paired-end reads quantified with kallisto, and unbalanced libraries. (A) QQ plots of p-values for simulations without any differential expression (averaged over 20 simulations). (B) Proportion of transcripts with unadjusted p-values less than 0.05 for simulations without any differential expression (averaged over 20 simulations)

Simulation results. Scenario with mm39 genome, 100bp paired-end reads quantified with kallisto, and unbalanced libraries. (A) QQ plots of p-values for simulations without any differential expression (averaged over 20 simulations). (B) Proportion of transcripts with unadjusted p-values less than 0.05 for simulations without any differential expression (averaged over 20 simulations)

Version Author Date
57b0d00 Pedro Baldoni 2023-02-17
8c476c6 Pedro Baldoni 2022-11-24
Simulation results. Scenario with mm39 genome, 125bp paired-end reads quantified with kallisto, and unbalanced libraries. (A) QQ plots of p-values for simulations without any differential expression (averaged over 20 simulations). (B) Proportion of transcripts with unadjusted p-values less than 0.05 for simulations without any differential expression (averaged over 20 simulations)

Simulation results. Scenario with mm39 genome, 125bp paired-end reads quantified with kallisto, and unbalanced libraries. (A) QQ plots of p-values for simulations without any differential expression (averaged over 20 simulations). (B) Proportion of transcripts with unadjusted p-values less than 0.05 for simulations without any differential expression (averaged over 20 simulations)

Version Author Date
57b0d00 Pedro Baldoni 2023-02-17
8c476c6 Pedro Baldoni 2022-11-24
Simulation results. Scenario with mm39 genome, 150bp paired-end reads quantified with kallisto, and unbalanced libraries. (A) QQ plots of p-values for simulations without any differential expression (averaged over 20 simulations). (B) Proportion of transcripts with unadjusted p-values less than 0.05 for simulations without any differential expression (averaged over 20 simulations)

Simulation results. Scenario with mm39 genome, 150bp paired-end reads quantified with kallisto, and unbalanced libraries. (A) QQ plots of p-values for simulations without any differential expression (averaged over 20 simulations). (B) Proportion of transcripts with unadjusted p-values less than 0.05 for simulations without any differential expression (averaged over 20 simulations)

Version Author Date
57b0d00 Pedro Baldoni 2023-02-17
8c476c6 Pedro Baldoni 2022-11-24

Distribution of unadjusted p-values

Distribution of unadjusted p-values from null simulations are then presented.

> for(i in seq_len(length(plots))) {
+   fig <- plots[[i]]$panelC
+   print(fig)
+   cat('\n\n<!-- -->\n\n')
+ }   
Simulation results. Scenario with mm39 genome, 50bp single-end reads quantified with Salmon, and balanced libraries. (A) Density histograms for simulations without any differential expression (averaged over 20 simulations).

Simulation results. Scenario with mm39 genome, 50bp single-end reads quantified with Salmon, and balanced libraries. (A) Density histograms for simulations without any differential expression (averaged over 20 simulations).

Version Author Date
57b0d00 Pedro Baldoni 2023-02-17
8c476c6 Pedro Baldoni 2022-11-24
Simulation results. Scenario with mm39 genome, 75bp single-end reads quantified with Salmon, and balanced libraries. (A) Density histograms for simulations without any differential expression (averaged over 20 simulations).

Simulation results. Scenario with mm39 genome, 75bp single-end reads quantified with Salmon, and balanced libraries. (A) Density histograms for simulations without any differential expression (averaged over 20 simulations).

Version Author Date
57b0d00 Pedro Baldoni 2023-02-17
8c476c6 Pedro Baldoni 2022-11-24
Simulation results. Scenario with mm39 genome, 100bp single-end reads quantified with Salmon, and balanced libraries. (A) Density histograms for simulations without any differential expression (averaged over 20 simulations).

Simulation results. Scenario with mm39 genome, 100bp single-end reads quantified with Salmon, and balanced libraries. (A) Density histograms for simulations without any differential expression (averaged over 20 simulations).

Version Author Date
57b0d00 Pedro Baldoni 2023-02-17
8c476c6 Pedro Baldoni 2022-11-24
Simulation results. Scenario with mm39 genome, 125bp single-end reads quantified with Salmon, and balanced libraries. (A) Density histograms for simulations without any differential expression (averaged over 20 simulations).

Simulation results. Scenario with mm39 genome, 125bp single-end reads quantified with Salmon, and balanced libraries. (A) Density histograms for simulations without any differential expression (averaged over 20 simulations).

Version Author Date
57b0d00 Pedro Baldoni 2023-02-17
8c476c6 Pedro Baldoni 2022-11-24
Simulation results. Scenario with mm39 genome, 150bp single-end reads quantified with Salmon, and balanced libraries. (A) Density histograms for simulations without any differential expression (averaged over 20 simulations).

Simulation results. Scenario with mm39 genome, 150bp single-end reads quantified with Salmon, and balanced libraries. (A) Density histograms for simulations without any differential expression (averaged over 20 simulations).

Version Author Date
57b0d00 Pedro Baldoni 2023-02-17
8c476c6 Pedro Baldoni 2022-11-24
Simulation results. Scenario with mm39 genome, 50bp paired-end reads quantified with Salmon, and balanced libraries. (A) Density histograms for simulations without any differential expression (averaged over 20 simulations).

Simulation results. Scenario with mm39 genome, 50bp paired-end reads quantified with Salmon, and balanced libraries. (A) Density histograms for simulations without any differential expression (averaged over 20 simulations).

Version Author Date
57b0d00 Pedro Baldoni 2023-02-17
8c476c6 Pedro Baldoni 2022-11-24
Simulation results. Scenario with mm39 genome, 75bp paired-end reads quantified with Salmon, and balanced libraries. (A) Density histograms for simulations without any differential expression (averaged over 20 simulations).

Simulation results. Scenario with mm39 genome, 75bp paired-end reads quantified with Salmon, and balanced libraries. (A) Density histograms for simulations without any differential expression (averaged over 20 simulations).

Version Author Date
57b0d00 Pedro Baldoni 2023-02-17
8c476c6 Pedro Baldoni 2022-11-24
Simulation results. Scenario with mm39 genome, 100bp paired-end reads quantified with Salmon, and balanced libraries. (A) Density histograms for simulations without any differential expression (averaged over 20 simulations).

Simulation results. Scenario with mm39 genome, 100bp paired-end reads quantified with Salmon, and balanced libraries. (A) Density histograms for simulations without any differential expression (averaged over 20 simulations).

Version Author Date
57b0d00 Pedro Baldoni 2023-02-17
8c476c6 Pedro Baldoni 2022-11-24
Simulation results. Scenario with mm39 genome, 125bp paired-end reads quantified with Salmon, and balanced libraries. (A) Density histograms for simulations without any differential expression (averaged over 20 simulations).

Simulation results. Scenario with mm39 genome, 125bp paired-end reads quantified with Salmon, and balanced libraries. (A) Density histograms for simulations without any differential expression (averaged over 20 simulations).

Version Author Date
57b0d00 Pedro Baldoni 2023-02-17
8c476c6 Pedro Baldoni 2022-11-24
Simulation results. Scenario with mm39 genome, 150bp paired-end reads quantified with Salmon, and balanced libraries. (A) Density histograms for simulations without any differential expression (averaged over 20 simulations).

Simulation results. Scenario with mm39 genome, 150bp paired-end reads quantified with Salmon, and balanced libraries. (A) Density histograms for simulations without any differential expression (averaged over 20 simulations).

Version Author Date
57b0d00 Pedro Baldoni 2023-02-17
8c476c6 Pedro Baldoni 2022-11-24
Simulation results. Scenario with mm39 genome, 50bp single-end reads quantified with kallisto, and balanced libraries. (A) Density histograms for simulations without any differential expression (averaged over 20 simulations).

Simulation results. Scenario with mm39 genome, 50bp single-end reads quantified with kallisto, and balanced libraries. (A) Density histograms for simulations without any differential expression (averaged over 20 simulations).

Version Author Date
57b0d00 Pedro Baldoni 2023-02-17
8c476c6 Pedro Baldoni 2022-11-24
Simulation results. Scenario with mm39 genome, 75bp single-end reads quantified with kallisto, and balanced libraries. (A) Density histograms for simulations without any differential expression (averaged over 20 simulations).

Simulation results. Scenario with mm39 genome, 75bp single-end reads quantified with kallisto, and balanced libraries. (A) Density histograms for simulations without any differential expression (averaged over 20 simulations).

Version Author Date
57b0d00 Pedro Baldoni 2023-02-17
8c476c6 Pedro Baldoni 2022-11-24
Simulation results. Scenario with mm39 genome, 100bp single-end reads quantified with kallisto, and balanced libraries. (A) Density histograms for simulations without any differential expression (averaged over 20 simulations).

Simulation results. Scenario with mm39 genome, 100bp single-end reads quantified with kallisto, and balanced libraries. (A) Density histograms for simulations without any differential expression (averaged over 20 simulations).

Version Author Date
57b0d00 Pedro Baldoni 2023-02-17
8c476c6 Pedro Baldoni 2022-11-24
Simulation results. Scenario with mm39 genome, 125bp single-end reads quantified with kallisto, and balanced libraries. (A) Density histograms for simulations without any differential expression (averaged over 20 simulations).

Simulation results. Scenario with mm39 genome, 125bp single-end reads quantified with kallisto, and balanced libraries. (A) Density histograms for simulations without any differential expression (averaged over 20 simulations).

Version Author Date
57b0d00 Pedro Baldoni 2023-02-17
8c476c6 Pedro Baldoni 2022-11-24
Simulation results. Scenario with mm39 genome, 150bp single-end reads quantified with kallisto, and balanced libraries. (A) Density histograms for simulations without any differential expression (averaged over 20 simulations).

Simulation results. Scenario with mm39 genome, 150bp single-end reads quantified with kallisto, and balanced libraries. (A) Density histograms for simulations without any differential expression (averaged over 20 simulations).

Version Author Date
57b0d00 Pedro Baldoni 2023-02-17
8c476c6 Pedro Baldoni 2022-11-24
Simulation results. Scenario with mm39 genome, 50bp paired-end reads quantified with kallisto, and balanced libraries. (A) Density histograms for simulations without any differential expression (averaged over 20 simulations).

Simulation results. Scenario with mm39 genome, 50bp paired-end reads quantified with kallisto, and balanced libraries. (A) Density histograms for simulations without any differential expression (averaged over 20 simulations).

Version Author Date
57b0d00 Pedro Baldoni 2023-02-17
8c476c6 Pedro Baldoni 2022-11-24
Simulation results. Scenario with mm39 genome, 75bp paired-end reads quantified with kallisto, and balanced libraries. (A) Density histograms for simulations without any differential expression (averaged over 20 simulations).

Simulation results. Scenario with mm39 genome, 75bp paired-end reads quantified with kallisto, and balanced libraries. (A) Density histograms for simulations without any differential expression (averaged over 20 simulations).

Version Author Date
57b0d00 Pedro Baldoni 2023-02-17
8c476c6 Pedro Baldoni 2022-11-24
Simulation results. Scenario with mm39 genome, 100bp paired-end reads quantified with kallisto, and balanced libraries. (A) Density histograms for simulations without any differential expression (averaged over 20 simulations).

Simulation results. Scenario with mm39 genome, 100bp paired-end reads quantified with kallisto, and balanced libraries. (A) Density histograms for simulations without any differential expression (averaged over 20 simulations).

Version Author Date
57b0d00 Pedro Baldoni 2023-02-17
8c476c6 Pedro Baldoni 2022-11-24
Simulation results. Scenario with mm39 genome, 125bp paired-end reads quantified with kallisto, and balanced libraries. (A) Density histograms for simulations without any differential expression (averaged over 20 simulations).

Simulation results. Scenario with mm39 genome, 125bp paired-end reads quantified with kallisto, and balanced libraries. (A) Density histograms for simulations without any differential expression (averaged over 20 simulations).

Version Author Date
57b0d00 Pedro Baldoni 2023-02-17
8c476c6 Pedro Baldoni 2022-11-24
Simulation results. Scenario with mm39 genome, 150bp paired-end reads quantified with kallisto, and balanced libraries. (A) Density histograms for simulations without any differential expression (averaged over 20 simulations).

Simulation results. Scenario with mm39 genome, 150bp paired-end reads quantified with kallisto, and balanced libraries. (A) Density histograms for simulations without any differential expression (averaged over 20 simulations).

Version Author Date
57b0d00 Pedro Baldoni 2023-02-17
8c476c6 Pedro Baldoni 2022-11-24
Simulation results. Scenario with mm39 genome, 50bp single-end reads quantified with Salmon, and unbalanced libraries. (A) Density histograms for simulations without any differential expression (averaged over 20 simulations).

Simulation results. Scenario with mm39 genome, 50bp single-end reads quantified with Salmon, and unbalanced libraries. (A) Density histograms for simulations without any differential expression (averaged over 20 simulations).

Version Author Date
57b0d00 Pedro Baldoni 2023-02-17
8c476c6 Pedro Baldoni 2022-11-24
Simulation results. Scenario with mm39 genome, 75bp single-end reads quantified with Salmon, and unbalanced libraries. (A) Density histograms for simulations without any differential expression (averaged over 20 simulations).

Simulation results. Scenario with mm39 genome, 75bp single-end reads quantified with Salmon, and unbalanced libraries. (A) Density histograms for simulations without any differential expression (averaged over 20 simulations).

Version Author Date
57b0d00 Pedro Baldoni 2023-02-17
8c476c6 Pedro Baldoni 2022-11-24
Simulation results. Scenario with mm39 genome, 100bp single-end reads quantified with Salmon, and unbalanced libraries. (A) Density histograms for simulations without any differential expression (averaged over 20 simulations).

Simulation results. Scenario with mm39 genome, 100bp single-end reads quantified with Salmon, and unbalanced libraries. (A) Density histograms for simulations without any differential expression (averaged over 20 simulations).

Version Author Date
57b0d00 Pedro Baldoni 2023-02-17
8c476c6 Pedro Baldoni 2022-11-24
Simulation results. Scenario with mm39 genome, 125bp single-end reads quantified with Salmon, and unbalanced libraries. (A) Density histograms for simulations without any differential expression (averaged over 20 simulations).

Simulation results. Scenario with mm39 genome, 125bp single-end reads quantified with Salmon, and unbalanced libraries. (A) Density histograms for simulations without any differential expression (averaged over 20 simulations).

Version Author Date
57b0d00 Pedro Baldoni 2023-02-17
8c476c6 Pedro Baldoni 2022-11-24
Simulation results. Scenario with mm39 genome, 150bp single-end reads quantified with Salmon, and unbalanced libraries. (A) Density histograms for simulations without any differential expression (averaged over 20 simulations).

Simulation results. Scenario with mm39 genome, 150bp single-end reads quantified with Salmon, and unbalanced libraries. (A) Density histograms for simulations without any differential expression (averaged over 20 simulations).

Version Author Date
57b0d00 Pedro Baldoni 2023-02-17
8c476c6 Pedro Baldoni 2022-11-24
Simulation results. Scenario with mm39 genome, 50bp paired-end reads quantified with Salmon, and unbalanced libraries. (A) Density histograms for simulations without any differential expression (averaged over 20 simulations).

Simulation results. Scenario with mm39 genome, 50bp paired-end reads quantified with Salmon, and unbalanced libraries. (A) Density histograms for simulations without any differential expression (averaged over 20 simulations).

Version Author Date
57b0d00 Pedro Baldoni 2023-02-17
8c476c6 Pedro Baldoni 2022-11-24
Simulation results. Scenario with mm39 genome, 75bp paired-end reads quantified with Salmon, and unbalanced libraries. (A) Density histograms for simulations without any differential expression (averaged over 20 simulations).

Simulation results. Scenario with mm39 genome, 75bp paired-end reads quantified with Salmon, and unbalanced libraries. (A) Density histograms for simulations without any differential expression (averaged over 20 simulations).

Version Author Date
57b0d00 Pedro Baldoni 2023-02-17
8c476c6 Pedro Baldoni 2022-11-24
Simulation results. Scenario with mm39 genome, 100bp paired-end reads quantified with Salmon, and unbalanced libraries. (A) Density histograms for simulations without any differential expression (averaged over 20 simulations).

Simulation results. Scenario with mm39 genome, 100bp paired-end reads quantified with Salmon, and unbalanced libraries. (A) Density histograms for simulations without any differential expression (averaged over 20 simulations).

Version Author Date
57b0d00 Pedro Baldoni 2023-02-17
8c476c6 Pedro Baldoni 2022-11-24
Simulation results. Scenario with mm39 genome, 125bp paired-end reads quantified with Salmon, and unbalanced libraries. (A) Density histograms for simulations without any differential expression (averaged over 20 simulations).

Simulation results. Scenario with mm39 genome, 125bp paired-end reads quantified with Salmon, and unbalanced libraries. (A) Density histograms for simulations without any differential expression (averaged over 20 simulations).

Version Author Date
57b0d00 Pedro Baldoni 2023-02-17
8c476c6 Pedro Baldoni 2022-11-24
Simulation results. Scenario with mm39 genome, 150bp paired-end reads quantified with Salmon, and unbalanced libraries. (A) Density histograms for simulations without any differential expression (averaged over 20 simulations).

Simulation results. Scenario with mm39 genome, 150bp paired-end reads quantified with Salmon, and unbalanced libraries. (A) Density histograms for simulations without any differential expression (averaged over 20 simulations).

Version Author Date
57b0d00 Pedro Baldoni 2023-02-17
8c476c6 Pedro Baldoni 2022-11-24
Simulation results. Scenario with mm39 genome, 50bp single-end reads quantified with kallisto, and unbalanced libraries. (A) Density histograms for simulations without any differential expression (averaged over 20 simulations).

Simulation results. Scenario with mm39 genome, 50bp single-end reads quantified with kallisto, and unbalanced libraries. (A) Density histograms for simulations without any differential expression (averaged over 20 simulations).

Version Author Date
57b0d00 Pedro Baldoni 2023-02-17
8c476c6 Pedro Baldoni 2022-11-24
Simulation results. Scenario with mm39 genome, 75bp single-end reads quantified with kallisto, and unbalanced libraries. (A) Density histograms for simulations without any differential expression (averaged over 20 simulations).

Simulation results. Scenario with mm39 genome, 75bp single-end reads quantified with kallisto, and unbalanced libraries. (A) Density histograms for simulations without any differential expression (averaged over 20 simulations).

Version Author Date
57b0d00 Pedro Baldoni 2023-02-17
8c476c6 Pedro Baldoni 2022-11-24
Simulation results. Scenario with mm39 genome, 100bp single-end reads quantified with kallisto, and unbalanced libraries. (A) Density histograms for simulations without any differential expression (averaged over 20 simulations).

Simulation results. Scenario with mm39 genome, 100bp single-end reads quantified with kallisto, and unbalanced libraries. (A) Density histograms for simulations without any differential expression (averaged over 20 simulations).

Version Author Date
57b0d00 Pedro Baldoni 2023-02-17
8c476c6 Pedro Baldoni 2022-11-24
Simulation results. Scenario with mm39 genome, 125bp single-end reads quantified with kallisto, and unbalanced libraries. (A) Density histograms for simulations without any differential expression (averaged over 20 simulations).

Simulation results. Scenario with mm39 genome, 125bp single-end reads quantified with kallisto, and unbalanced libraries. (A) Density histograms for simulations without any differential expression (averaged over 20 simulations).

Version Author Date
57b0d00 Pedro Baldoni 2023-02-17
8c476c6 Pedro Baldoni 2022-11-24
Simulation results. Scenario with mm39 genome, 150bp single-end reads quantified with kallisto, and unbalanced libraries. (A) Density histograms for simulations without any differential expression (averaged over 20 simulations).

Simulation results. Scenario with mm39 genome, 150bp single-end reads quantified with kallisto, and unbalanced libraries. (A) Density histograms for simulations without any differential expression (averaged over 20 simulations).

Version Author Date
57b0d00 Pedro Baldoni 2023-02-17
8c476c6 Pedro Baldoni 2022-11-24
Simulation results. Scenario with mm39 genome, 50bp paired-end reads quantified with kallisto, and unbalanced libraries. (A) Density histograms for simulations without any differential expression (averaged over 20 simulations).

Simulation results. Scenario with mm39 genome, 50bp paired-end reads quantified with kallisto, and unbalanced libraries. (A) Density histograms for simulations without any differential expression (averaged over 20 simulations).

Version Author Date
57b0d00 Pedro Baldoni 2023-02-17
8c476c6 Pedro Baldoni 2022-11-24
Simulation results. Scenario with mm39 genome, 75bp paired-end reads quantified with kallisto, and unbalanced libraries. (A) Density histograms for simulations without any differential expression (averaged over 20 simulations).

Simulation results. Scenario with mm39 genome, 75bp paired-end reads quantified with kallisto, and unbalanced libraries. (A) Density histograms for simulations without any differential expression (averaged over 20 simulations).

Version Author Date
57b0d00 Pedro Baldoni 2023-02-17
8c476c6 Pedro Baldoni 2022-11-24
Simulation results. Scenario with mm39 genome, 100bp paired-end reads quantified with kallisto, and unbalanced libraries. (A) Density histograms for simulations without any differential expression (averaged over 20 simulations).

Simulation results. Scenario with mm39 genome, 100bp paired-end reads quantified with kallisto, and unbalanced libraries. (A) Density histograms for simulations without any differential expression (averaged over 20 simulations).

Version Author Date
57b0d00 Pedro Baldoni 2023-02-17
8c476c6 Pedro Baldoni 2022-11-24
Simulation results. Scenario with mm39 genome, 125bp paired-end reads quantified with kallisto, and unbalanced libraries. (A) Density histograms for simulations without any differential expression (averaged over 20 simulations).

Simulation results. Scenario with mm39 genome, 125bp paired-end reads quantified with kallisto, and unbalanced libraries. (A) Density histograms for simulations without any differential expression (averaged over 20 simulations).

Version Author Date
57b0d00 Pedro Baldoni 2023-02-17
8c476c6 Pedro Baldoni 2022-11-24
Simulation results. Scenario with mm39 genome, 150bp paired-end reads quantified with kallisto, and unbalanced libraries. (A) Density histograms for simulations without any differential expression (averaged over 20 simulations).

Simulation results. Scenario with mm39 genome, 150bp paired-end reads quantified with kallisto, and unbalanced libraries. (A) Density histograms for simulations without any differential expression (averaged over 20 simulations).

Version Author Date
57b0d00 Pedro Baldoni 2023-02-17
8c476c6 Pedro Baldoni 2022-11-24

Power and false discovery rate by read lengths

Finally, tables assessing power and FDR by different read length specifications are presented.

> for(i in seq_len(length(tables))) {
+   tb <- tables[[i]]$table1
+   print(tb)
+   cat('\n\n<!-- -->\n\n')
+ }   
Simulation results - observed power and false discovery rate for different read types and read Lengths, averaged over 20 simulations. Scenario with mm39 genome, maximum of 2 transcripts/gene expressed, and reads quantified with Salmon. Library size shown in million reads (M) with 25/100 indicating library sizes alternating between 25M and 100M across replicates. Read lengths are shown in base pairs (bp). Red color indicates observed FDR values greater than the nominal 0.05. Blue color indicates most powerful method for a given scenario (row). Empty cells indicate cases in which a method failed to call any transcript as DE.
Power
False Discovery Rate
Read Samples/Group Library Size Read Length edgeR-raw edgeR-scaled sleuth-LRT sleuth-Wald Swish edgeR-raw edgeR-scaled sleuth-LRT sleuth-Wald Swish
paired-end 3 50M 50bp 0.211 0.513 0.171 0.461 0.483 0.057 0.041 0.011 0.057 0.215
paired-end 3 50M 75bp 0.304 0.522 0.197 0.475 0.486 0.028 0.039 0.011 0.054 0.211
paired-end 3 50M 100bp 0.298 0.517 0.189 0.467 0.476 0.030 0.039 0.011 0.054 0.208
paired-end 3 50M 125bp 0.326 0.522 0.199 0.477 0.492 0.025 0.038 0.009 0.053 0.215
paired-end 3 50M 150bp 0.320 0.525 0.204 0.478 0.494 0.024 0.038 0.011 0.055 0.213
paired-end 3 25/100M 50bp 0.127 0.464 0.076 0.405 0.428 0.043 0.036 0.003 0.045 0.199
paired-end 3 25/100M 75bp 0.206 0.466 0.111 0.411 0.430 0.020 0.035 0.006 0.046 0.199
paired-end 3 25/100M 100bp 0.201 0.463 0.104 0.407 0.423 0.021 0.034 0.005 0.046 0.194
paired-end 3 25/100M 125bp 0.232 0.478 0.129 0.424 0.437 0.023 0.039 0.007 0.050 0.203
paired-end 3 25/100M 150bp 0.224 0.467 0.099 0.414 0.434 0.021 0.037 0.007 0.050 0.205
paired-end 5 50M 50bp 0.655 0.756 0.626 0.688 0.500 0.029 0.044 0.026 0.042 0.043
paired-end 5 50M 75bp 0.687 0.761 0.636 0.697 0.503 0.028 0.041 0.025 0.040 0.044
paired-end 5 50M 100bp 0.687 0.758 0.636 0.696 0.518 0.026 0.040 0.024 0.038 0.045
paired-end 5 50M 125bp 0.701 0.766 0.648 0.707 0.485 0.027 0.039 0.024 0.038 0.038
paired-end 5 50M 150bp 0.693 0.761 0.643 0.703 0.505 0.026 0.039 0.024 0.038 0.044
paired-end 5 25/100M 50bp 0.604 0.716 0.567 0.630 0.478 0.023 0.039 0.021 0.037 0.045
paired-end 5 25/100M 75bp 0.638 0.724 0.581 0.645 0.474 0.024 0.038 0.022 0.035 0.044
paired-end 5 25/100M 100bp 0.635 0.719 0.578 0.639 0.465 0.024 0.039 0.022 0.036 0.041
paired-end 5 25/100M 125bp 0.647 0.728 0.587 0.653 0.461 0.024 0.039 0.022 0.037 0.042
paired-end 5 25/100M 150bp 0.645 0.726 0.587 0.648 0.473 0.025 0.039 0.021 0.036 0.043
single-end 3 50M 50bp 0.126 0.484 0.146 0.430 0.455 0.088 0.049 0.019 0.063 0.216
single-end 3 50M 75bp 0.173 0.493 0.156 0.439 0.462 0.070 0.047 0.016 0.059 0.210
single-end 3 50M 100bp 0.187 0.496 0.159 0.438 0.460 0.068 0.046 0.018 0.059 0.213
single-end 3 50M 125bp 0.234 0.497 0.176 0.456 0.478 0.052 0.042 0.014 0.059 0.217
single-end 3 50M 150bp 0.255 0.499 0.181 0.458 0.479 0.044 0.041 0.015 0.057 0.215
single-end 3 25/100M 50bp 0.012 0.430 0.030 0.366 0.399 0.116 0.041 0.009 0.052 0.203
single-end 3 25/100M 75bp 0.029 0.438 0.026 0.380 0.409 0.073 0.040 0.014 0.053 0.195
single-end 3 25/100M 100bp 0.099 0.443 0.067 0.383 0.409 0.055 0.037 0.007 0.048 0.196
single-end 3 25/100M 125bp 0.136 0.447 0.077 0.394 0.420 0.043 0.038 0.009 0.052 0.202
single-end 3 25/100M 150bp 0.175 0.460 0.098 0.406 0.428 0.035 0.038 0.008 0.050 0.205
single-end 5 50M 50bp 0.602 0.725 0.579 0.641 0.483 0.045 0.058 0.039 0.053 0.056
single-end 5 50M 75bp 0.619 0.732 0.593 0.655 0.497 0.042 0.055 0.036 0.051 0.059
single-end 5 50M 100bp 0.630 0.739 0.602 0.663 0.473 0.038 0.052 0.032 0.048 0.048
single-end 5 50M 125bp 0.651 0.744 0.617 0.677 0.509 0.036 0.047 0.033 0.048 0.054
single-end 5 50M 150bp 0.665 0.753 0.628 0.691 0.507 0.033 0.046 0.031 0.046 0.051
single-end 5 25/100M 50bp 0.554 0.685 0.522 0.583 0.449 0.037 0.051 0.031 0.047 0.052
single-end 5 25/100M 75bp 0.565 0.694 0.527 0.591 0.455 0.035 0.047 0.029 0.044 0.054
single-end 5 25/100M 100bp 0.573 0.691 0.533 0.596 0.450 0.033 0.046 0.027 0.043 0.051
single-end 5 25/100M 125bp 0.602 0.709 0.556 0.620 0.464 0.031 0.045 0.028 0.042 0.049
single-end 5 25/100M 150bp 0.616 0.713 0.567 0.628 0.482 0.031 0.043 0.026 0.041 0.049
Simulation results - observed power and false discovery rate for different read types and read Lengths, averaged over 20 simulations. Scenario with mm39 genome, maximum of 2 transcripts/gene expressed, and reads quantified with kallisto. Library size shown in million reads (M) with 25/100 indicating library sizes alternating between 25M and 100M across replicates. Read lengths are shown in base pairs (bp). Red color indicates observed FDR values greater than the nominal 0.05. Blue color indicates most powerful method for a given scenario (row). Empty cells indicate cases in which a method failed to call any transcript as DE.
Power
False Discovery Rate
Read Samples/Group Library Size Read Length edgeR-raw edgeR-scaled sleuth-LRT sleuth-Wald Swish edgeR-raw edgeR-scaled sleuth-LRT sleuth-Wald Swish
paired-end 3 50M 50bp 0.251 0.515 0.168 0.463 0.495 0.053 0.041 0.010 0.055 0.223
paired-end 3 50M 75bp 0.266 0.521 0.181 0.473 0.500 0.049 0.038 0.011 0.055 0.222
paired-end 3 50M 100bp 0.264 0.521 0.178 0.468 0.498 0.053 0.040 0.011 0.054 0.225
paired-end 3 50M 125bp 0.284 0.524 0.181 0.473 0.501 0.047 0.040 0.009 0.053 0.225
paired-end 3 50M 150bp 0.289 0.527 0.190 0.476 0.505 0.043 0.039 0.010 0.054 0.224
paired-end 3 25/100M 50bp 0.180 0.462 0.075 0.406 0.436 0.034 0.036 0.002 0.047 0.207
paired-end 3 25/100M 75bp 0.193 0.468 0.083 0.412 0.441 0.032 0.035 0.006 0.046 0.206
paired-end 3 25/100M 100bp 0.198 0.467 0.094 0.415 0.442 0.035 0.035 0.004 0.047 0.207
paired-end 3 25/100M 125bp 0.215 0.478 0.100 0.421 0.444 0.036 0.039 0.006 0.050 0.212
paired-end 3 25/100M 150bp 0.211 0.467 0.078 0.414 0.442 0.032 0.037 0.006 0.050 0.211
paired-end 5 50M 50bp 0.661 0.757 0.631 0.692 0.489 0.029 0.042 0.025 0.041 0.042
paired-end 5 50M 75bp 0.670 0.764 0.635 0.699 0.495 0.031 0.042 0.026 0.041 0.042
paired-end 5 50M 100bp 0.674 0.766 0.640 0.702 0.493 0.028 0.042 0.025 0.040 0.041
paired-end 5 50M 125bp 0.681 0.769 0.646 0.707 0.492 0.030 0.040 0.026 0.040 0.040
paired-end 5 50M 150bp 0.675 0.764 0.640 0.702 0.511 0.029 0.040 0.025 0.040 0.045
paired-end 5 25/100M 50bp 0.617 0.716 0.571 0.636 0.455 0.026 0.038 0.021 0.037 0.042
paired-end 5 25/100M 75bp 0.629 0.726 0.583 0.649 0.473 0.026 0.039 0.023 0.037 0.046
paired-end 5 25/100M 100bp 0.633 0.727 0.584 0.650 0.463 0.027 0.039 0.023 0.037 0.043
paired-end 5 25/100M 125bp 0.639 0.730 0.586 0.653 0.479 0.027 0.039 0.023 0.037 0.046
paired-end 5 25/100M 150bp 0.639 0.728 0.588 0.650 0.476 0.028 0.039 0.022 0.037 0.044
single-end 3 50M 50bp 0.070 0.491 0.081 0.429 0.464 0.130 0.051 0.012 0.061 0.224
single-end 3 50M 75bp 0.124 0.500 0.115 0.438 0.473 0.103 0.050 0.013 0.059 0.219
single-end 3 50M 100bp 0.120 0.502 0.085 0.437 0.476 0.103 0.051 0.015 0.062 0.224
single-end 3 50M 125bp 0.146 0.503 0.114 0.447 0.486 0.093 0.049 0.012 0.059 0.225
single-end 3 50M 150bp 0.185 0.507 0.141 0.452 0.487 0.075 0.047 0.010 0.057 0.224
single-end 3 25/100M 50bp 0.008 0.434 0.000 0.369 0.403 0.133 0.042 - 0.049 0.208
single-end 3 25/100M 75bp 0.025 0.446 0.004 0.384 0.415 0.113 0.043 0.012 0.052 0.205
single-end 3 25/100M 100bp 0.065 0.451 0.010 0.385 0.420 0.075 0.038 0.007 0.049 0.203
single-end 3 25/100M 125bp 0.083 0.448 0.008 0.390 0.424 0.070 0.042 0.002 0.054 0.209
single-end 3 25/100M 150bp 0.133 0.463 0.037 0.402 0.434 0.051 0.041 0.006 0.051 0.211
single-end 5 50M 50bp 0.593 0.734 0.583 0.650 0.487 0.042 0.060 0.037 0.054 0.058
single-end 5 50M 75bp 0.611 0.741 0.597 0.663 0.512 0.042 0.060 0.037 0.054 0.062
single-end 5 50M 100bp 0.621 0.749 0.604 0.673 0.492 0.040 0.058 0.036 0.053 0.054
single-end 5 50M 125bp 0.632 0.752 0.611 0.679 0.484 0.040 0.056 0.036 0.053 0.052
single-end 5 50M 150bp 0.645 0.761 0.623 0.692 0.496 0.039 0.056 0.034 0.050 0.052
single-end 5 25/100M 50bp 0.557 0.696 0.529 0.597 0.448 0.035 0.052 0.030 0.046 0.051
single-end 5 25/100M 75bp 0.566 0.701 0.534 0.604 0.448 0.036 0.050 0.030 0.046 0.052
single-end 5 25/100M 100bp 0.574 0.702 0.537 0.607 0.429 0.035 0.050 0.030 0.047 0.047
single-end 5 25/100M 125bp 0.592 0.714 0.553 0.625 0.466 0.036 0.050 0.031 0.046 0.053
single-end 5 25/100M 150bp 0.608 0.718 0.566 0.631 0.473 0.034 0.047 0.028 0.045 0.050
Simulation results - observed power and false discovery rate for different read types and read Lengths, averaged over 20 simulations. Scenario with mm39 genome, maximum of 3 transcripts/gene expressed, and reads quantified with Salmon. Library size shown in million reads (M) with 25/100 indicating library sizes alternating between 25M and 100M across replicates. Read lengths are shown in base pairs (bp). Red color indicates observed FDR values greater than the nominal 0.05. Blue color indicates most powerful method for a given scenario (row). Empty cells indicate cases in which a method failed to call any transcript as DE.
Power
False Discovery Rate
Read Samples/Group Library Size Read Length edgeR-raw edgeR-scaled sleuth-LRT sleuth-Wald Swish edgeR-raw edgeR-scaled sleuth-LRT sleuth-Wald Swish
paired-end 3 50M 50bp 0.040 0.428 0.000 0.390 0.426 0.156 0.040 - 0.055 0.243
paired-end 3 50M 75bp 0.120 0.435 0.000 0.395 0.428 0.056 0.040 - 0.056 0.241
paired-end 3 50M 100bp 0.124 0.431 0.000 0.392 0.420 0.047 0.041 - 0.053 0.239
paired-end 3 50M 125bp 0.139 0.433 0.000 0.400 0.434 0.046 0.039 - 0.054 0.249
paired-end 3 50M 150bp 0.154 0.442 0.008 0.409 0.437 0.049 0.040 0.006 0.057 0.247
paired-end 3 25/100M 50bp 0.000 0.379 0.000 0.334 0.373 0.694 0.037 - 0.051 0.232
paired-end 3 25/100M 75bp 0.018 0.382 0.000 0.338 0.373 0.123 0.036 - 0.050 0.231
paired-end 3 25/100M 100bp 0.011 0.382 0.000 0.331 0.362 0.162 0.037 - 0.051 0.228
paired-end 3 25/100M 125bp 0.018 0.384 0.000 0.346 0.381 0.113 0.036 - 0.048 0.235
paired-end 3 25/100M 150bp 0.028 0.385 0.000 0.342 0.380 0.083 0.037 - 0.049 0.235
paired-end 5 50M 50bp 0.555 0.690 0.535 0.616 0.415 0.027 0.042 0.024 0.041 0.041
paired-end 5 50M 75bp 0.584 0.697 0.548 0.629 0.409 0.025 0.040 0.022 0.039 0.042
paired-end 5 50M 100bp 0.582 0.693 0.545 0.623 0.415 0.024 0.041 0.022 0.040 0.043
paired-end 5 50M 125bp 0.595 0.699 0.555 0.635 0.420 0.024 0.041 0.022 0.039 0.045
paired-end 5 50M 150bp 0.592 0.701 0.553 0.634 0.437 0.025 0.043 0.023 0.041 0.048
paired-end 5 25/100M 50bp 0.497 0.646 0.474 0.554 0.382 0.021 0.040 0.018 0.036 0.042
paired-end 5 25/100M 75bp 0.526 0.650 0.483 0.563 0.397 0.020 0.038 0.017 0.035 0.047
paired-end 5 25/100M 100bp 0.525 0.649 0.482 0.562 0.396 0.020 0.037 0.017 0.035 0.043
paired-end 5 25/100M 125bp 0.535 0.657 0.493 0.576 0.381 0.021 0.038 0.019 0.037 0.042
paired-end 5 25/100M 150bp 0.532 0.656 0.489 0.573 0.394 0.020 0.038 0.018 0.035 0.046
single-end 3 50M 50bp 0.006 0.395 0.000 0.358 0.394 0.375 0.047 - 0.065 0.244
single-end 3 50M 75bp 0.008 0.401 0.000 0.366 0.401 0.298 0.046 - 0.063 0.248
single-end 3 50M 100bp 0.015 0.402 0.000 0.362 0.398 0.208 0.043 0.000 0.062 0.243
single-end 3 50M 125bp 0.072 0.408 0.000 0.383 0.419 0.110 0.042 - 0.061 0.246
single-end 3 50M 150bp 0.092 0.412 0.000 0.391 0.425 0.089 0.042 0.500 0.059 0.249
single-end 3 25/100M 50bp 0.000 0.338 0.000 0.295 0.340 0.500 0.039 - 0.051 0.232
single-end 3 25/100M 75bp 0.000 0.349 0.000 0.307 0.348 0.565 0.040 - 0.052 0.229
single-end 3 25/100M 100bp 0.000 0.364 0.000 0.314 0.353 0.575 0.039 - 0.054 0.224
single-end 3 25/100M 125bp 0.001 0.369 0.000 0.329 0.367 0.532 0.038 1.000 0.054 0.235
single-end 3 25/100M 150bp 0.010 0.369 0.000 0.330 0.369 0.148 0.036 - 0.052 0.232
single-end 5 50M 50bp 0.496 0.649 0.487 0.566 0.382 0.038 0.055 0.034 0.054 0.050
single-end 5 50M 75bp 0.512 0.657 0.496 0.575 0.384 0.036 0.051 0.030 0.049 0.046
single-end 5 50M 100bp 0.524 0.663 0.505 0.586 0.407 0.037 0.052 0.031 0.049 0.055
single-end 5 50M 125bp 0.551 0.674 0.527 0.605 0.414 0.033 0.047 0.029 0.048 0.049
single-end 5 50M 150bp 0.565 0.680 0.535 0.614 0.407 0.032 0.046 0.028 0.047 0.048
single-end 5 25/100M 50bp 0.438 0.602 0.418 0.497 0.356 0.033 0.048 0.027 0.044 0.051
single-end 5 25/100M 75bp 0.456 0.612 0.430 0.510 0.368 0.030 0.047 0.025 0.042 0.051
single-end 5 25/100M 100bp 0.469 0.619 0.439 0.519 0.372 0.028 0.046 0.023 0.042 0.051
single-end 5 25/100M 125bp 0.491 0.634 0.459 0.540 0.374 0.028 0.041 0.022 0.038 0.045
single-end 5 25/100M 150bp 0.509 0.643 0.473 0.552 0.386 0.027 0.043 0.023 0.042 0.047
Simulation results - observed power and false discovery rate for different read types and read Lengths, averaged over 20 simulations. Scenario with mm39 genome, maximum of 3 transcripts/gene expressed, and reads quantified with kallisto. Library size shown in million reads (M) with 25/100 indicating library sizes alternating between 25M and 100M across replicates. Read lengths are shown in base pairs (bp). Red color indicates observed FDR values greater than the nominal 0.05. Blue color indicates most powerful method for a given scenario (row). Empty cells indicate cases in which a method failed to call any transcript as DE.
Power
False Discovery Rate
Read Samples/Group Library Size Read Length edgeR-raw edgeR-scaled sleuth-LRT sleuth-Wald Swish edgeR-raw edgeR-scaled sleuth-LRT sleuth-Wald Swish
paired-end 3 50M 50bp 0.075 0.428 0.000 0.391 0.435 0.093 0.040 - 0.054 0.256
paired-end 3 50M 75bp 0.111 0.435 0.000 0.396 0.443 0.080 0.041 - 0.055 0.255
paired-end 3 50M 100bp 0.121 0.435 0.000 0.399 0.442 0.076 0.040 - 0.054 0.260
paired-end 3 50M 125bp 0.127 0.437 0.000 0.399 0.445 0.079 0.040 - 0.054 0.259
paired-end 3 50M 150bp 0.142 0.445 0.000 0.408 0.450 0.080 0.041 - 0.058 0.258
paired-end 3 25/100M 50bp 0.005 0.375 0.000 0.334 0.381 0.182 0.037 - 0.050 0.242
paired-end 3 25/100M 75bp 0.014 0.379 0.000 0.341 0.384 0.086 0.037 - 0.050 0.242
paired-end 3 25/100M 100bp 0.020 0.385 0.000 0.340 0.383 0.102 0.039 - 0.051 0.243
paired-end 3 25/100M 125bp 0.032 0.384 0.000 0.346 0.388 0.103 0.036 - 0.049 0.242
paired-end 3 25/100M 150bp 0.038 0.385 0.000 0.344 0.386 0.084 0.037 - 0.050 0.243
paired-end 5 50M 50bp 0.563 0.689 0.537 0.619 0.431 0.028 0.042 0.022 0.041 0.046
paired-end 5 50M 75bp 0.579 0.701 0.549 0.633 0.423 0.028 0.041 0.023 0.040 0.045
paired-end 5 50M 100bp 0.581 0.703 0.553 0.635 0.414 0.028 0.042 0.023 0.042 0.043
paired-end 5 50M 125bp 0.585 0.702 0.554 0.636 0.417 0.027 0.042 0.023 0.041 0.043
paired-end 5 50M 150bp 0.586 0.705 0.555 0.638 0.429 0.028 0.044 0.023 0.042 0.046
paired-end 5 25/100M 50bp 0.510 0.645 0.477 0.558 0.372 0.023 0.039 0.020 0.037 0.044
paired-end 5 25/100M 75bp 0.529 0.653 0.488 0.570 0.386 0.023 0.039 0.018 0.036 0.045
paired-end 5 25/100M 100bp 0.537 0.660 0.494 0.577 0.394 0.023 0.039 0.020 0.038 0.044
paired-end 5 25/100M 125bp 0.536 0.660 0.493 0.578 0.382 0.025 0.039 0.020 0.038 0.043
paired-end 5 25/100M 150bp 0.535 0.658 0.491 0.578 0.395 0.024 0.039 0.019 0.037 0.046
single-end 3 50M 50bp 0.000 0.408 0.000 0.360 0.405 0.812 0.050 - 0.061 0.249
single-end 3 50M 75bp 0.001 0.410 0.000 0.367 0.415 0.675 0.049 - 0.059 0.257
single-end 3 50M 100bp 0.003 0.409 0.000 0.366 0.413 0.348 0.047 - 0.059 0.255
single-end 3 50M 125bp 0.013 0.424 0.000 0.380 0.428 0.174 0.046 - 0.058 0.255
single-end 3 50M 150bp 0.024 0.426 0.000 0.389 0.434 0.161 0.048 - 0.057 0.259
single-end 3 25/100M 50bp 0.000 0.349 0.000 0.300 0.348 0.727 0.039 - 0.047 0.236
single-end 3 25/100M 75bp 0.000 0.361 0.000 0.311 0.356 0.842 0.041 - 0.052 0.235
single-end 3 25/100M 100bp 0.000 0.372 0.000 0.319 0.364 0.667 0.040 - 0.052 0.237
single-end 3 25/100M 125bp 0.000 0.376 0.000 0.327 0.374 0.750 0.040 - 0.053 0.241
single-end 3 25/100M 150bp 0.003 0.373 0.000 0.330 0.376 0.141 0.039 - 0.053 0.240
single-end 5 50M 50bp 0.495 0.663 0.494 0.579 0.382 0.036 0.054 0.030 0.051 0.047
single-end 5 50M 75bp 0.509 0.670 0.502 0.587 0.386 0.035 0.052 0.029 0.048 0.046
single-end 5 50M 100bp 0.523 0.675 0.510 0.597 0.397 0.036 0.055 0.030 0.049 0.052
single-end 5 50M 125bp 0.540 0.684 0.524 0.608 0.418 0.034 0.053 0.029 0.049 0.050
single-end 5 50M 150bp 0.553 0.690 0.533 0.618 0.420 0.033 0.051 0.028 0.048 0.053
single-end 5 25/100M 50bp 0.445 0.617 0.429 0.513 0.362 0.029 0.047 0.025 0.044 0.050
single-end 5 25/100M 75bp 0.463 0.625 0.441 0.526 0.365 0.030 0.047 0.024 0.043 0.049
single-end 5 25/100M 100bp 0.476 0.634 0.448 0.536 0.385 0.029 0.048 0.024 0.043 0.055
single-end 5 25/100M 125bp 0.491 0.641 0.461 0.547 0.371 0.029 0.043 0.023 0.041 0.046
single-end 5 25/100M 150bp 0.507 0.649 0.472 0.560 0.395 0.028 0.046 0.024 0.042 0.050
Simulation results - observed power and false discovery rate for different read types and read Lengths, averaged over 20 simulations. Scenario with mm39 genome, maximum of 4 transcripts/gene expressed, and reads quantified with Salmon. Library size shown in million reads (M) with 25/100 indicating library sizes alternating between 25M and 100M across replicates. Read lengths are shown in base pairs (bp). Red color indicates observed FDR values greater than the nominal 0.05. Blue color indicates most powerful method for a given scenario (row). Empty cells indicate cases in which a method failed to call any transcript as DE.
Power
False Discovery Rate
Read Samples/Group Library Size Read Length edgeR-raw edgeR-scaled sleuth-LRT sleuth-Wald Swish edgeR-raw edgeR-scaled sleuth-LRT sleuth-Wald Swish
paired-end 3 50M 50bp 0.007 0.433 0.000 0.397 0.436 0.365 0.038 - 0.056 0.246
paired-end 3 50M 75bp 0.047 0.437 0.000 0.403 0.438 0.134 0.039 - 0.057 0.247
paired-end 3 50M 100bp 0.040 0.435 0.000 0.399 0.431 0.138 0.038 - 0.054 0.237
paired-end 3 50M 125bp 0.065 0.443 0.000 0.409 0.444 0.095 0.039 0.000 0.056 0.254
paired-end 3 50M 150bp 0.064 0.444 0.000 0.412 0.444 0.099 0.040 - 0.055 0.248
paired-end 3 25/100M 50bp 0.000 0.372 0.000 0.329 0.374 0.810 0.036 - 0.047 0.235
paired-end 3 25/100M 75bp 0.002 0.390 0.000 0.342 0.380 0.513 0.034 - 0.047 0.225
paired-end 3 25/100M 100bp 0.001 0.387 0.000 0.335 0.373 0.551 0.036 - 0.048 0.226
paired-end 3 25/100M 125bp 0.001 0.391 0.000 0.348 0.388 0.497 0.036 - 0.048 0.233
paired-end 3 25/100M 150bp 0.003 0.390 0.000 0.348 0.388 0.363 0.035 - 0.049 0.236
paired-end 5 50M 50bp 0.561 0.718 0.550 0.641 0.424 0.024 0.041 0.022 0.042 0.044
paired-end 5 50M 75bp 0.587 0.727 0.561 0.654 0.411 0.024 0.042 0.020 0.041 0.042
paired-end 5 50M 100bp 0.584 0.724 0.557 0.648 0.417 0.022 0.041 0.020 0.039 0.040
paired-end 5 50M 125bp 0.593 0.728 0.563 0.660 0.430 0.023 0.040 0.021 0.039 0.043
paired-end 5 50M 150bp 0.600 0.731 0.571 0.663 0.431 0.023 0.040 0.021 0.039 0.043
paired-end 5 25/100M 50bp 0.496 0.672 0.475 0.569 0.375 0.018 0.037 0.016 0.033 0.042
paired-end 5 25/100M 75bp 0.524 0.684 0.489 0.583 0.404 0.019 0.037 0.017 0.034 0.041
paired-end 5 25/100M 100bp 0.521 0.674 0.485 0.578 0.388 0.018 0.038 0.016 0.034 0.038
paired-end 5 25/100M 125bp 0.532 0.686 0.494 0.589 0.413 0.018 0.039 0.017 0.036 0.044
paired-end 5 25/100M 150bp 0.541 0.689 0.502 0.595 0.406 0.020 0.038 0.017 0.034 0.044
single-end 3 50M 50bp 0.001 0.395 0.000 0.364 0.403 0.588 0.049 - 0.067 0.243
single-end 3 50M 75bp 0.002 0.397 0.000 0.363 0.402 0.593 0.044 - 0.063 0.249
single-end 3 50M 100bp 0.003 0.411 0.000 0.375 0.410 0.489 0.046 - 0.061 0.240
single-end 3 50M 125bp 0.022 0.406 0.000 0.384 0.425 0.236 0.042 - 0.063 0.248
single-end 3 50M 150bp 0.031 0.411 0.000 0.393 0.434 0.194 0.042 0.500 0.061 0.247
single-end 3 25/100M 50bp 0.000 0.339 0.000 0.297 0.344 0.722 0.040 - 0.054 0.234
single-end 3 25/100M 75bp 0.000 0.351 0.000 0.306 0.351 0.735 0.039 - 0.055 0.232
single-end 3 25/100M 100bp 0.000 0.354 0.000 0.307 0.351 0.792 0.038 - 0.053 0.229
single-end 3 25/100M 125bp 0.001 0.361 0.000 0.320 0.367 0.645 0.037 - 0.052 0.234
single-end 3 25/100M 150bp 0.001 0.375 0.000 0.334 0.377 0.488 0.037 - 0.052 0.236
single-end 5 50M 50bp 0.492 0.666 0.492 0.580 0.397 0.038 0.054 0.034 0.053 0.054
single-end 5 50M 75bp 0.512 0.678 0.505 0.595 0.418 0.034 0.052 0.030 0.049 0.056
single-end 5 50M 100bp 0.525 0.690 0.514 0.605 0.402 0.033 0.051 0.029 0.048 0.050
single-end 5 50M 125bp 0.551 0.699 0.533 0.628 0.404 0.032 0.046 0.027 0.047 0.047
single-end 5 50M 150bp 0.573 0.712 0.554 0.642 0.456 0.030 0.046 0.028 0.047 0.054
single-end 5 25/100M 50bp 0.426 0.623 0.420 0.508 0.351 0.031 0.048 0.025 0.043 0.049
single-end 5 25/100M 75bp 0.447 0.631 0.432 0.522 0.369 0.030 0.048 0.024 0.043 0.053
single-end 5 25/100M 100bp 0.463 0.641 0.443 0.533 0.379 0.027 0.045 0.024 0.043 0.051
single-end 5 25/100M 125bp 0.490 0.659 0.468 0.558 0.394 0.026 0.043 0.021 0.038 0.050
single-end 5 25/100M 150bp 0.504 0.667 0.474 0.569 0.391 0.025 0.042 0.019 0.039 0.047
Simulation results - observed power and false discovery rate for different read types and read Lengths, averaged over 20 simulations. Scenario with mm39 genome, maximum of 4 transcripts/gene expressed, and reads quantified with kallisto. Library size shown in million reads (M) with 25/100 indicating library sizes alternating between 25M and 100M across replicates. Read lengths are shown in base pairs (bp). Red color indicates observed FDR values greater than the nominal 0.05. Blue color indicates most powerful method for a given scenario (row). Empty cells indicate cases in which a method failed to call any transcript as DE.
Power
False Discovery Rate
Read Samples/Group Library Size Read Length edgeR-raw edgeR-scaled sleuth-LRT sleuth-Wald Swish edgeR-raw edgeR-scaled sleuth-LRT sleuth-Wald Swish
paired-end 3 50M 50bp 0.026 0.435 0.000 0.396 0.448 0.155 0.038 - 0.055 0.257
paired-end 3 50M 75bp 0.047 0.436 0.000 0.405 0.455 0.128 0.040 - 0.056 0.261
paired-end 3 50M 100bp 0.049 0.440 0.000 0.406 0.458 0.122 0.039 - 0.053 0.255
paired-end 3 50M 125bp 0.057 0.447 0.000 0.408 0.459 0.113 0.040 - 0.056 0.262
paired-end 3 50M 150bp 0.065 0.447 0.000 0.413 0.459 0.110 0.041 - 0.054 0.258
paired-end 3 25/100M 50bp 0.000 0.369 0.000 0.330 0.382 0.590 0.034 - 0.047 0.243
paired-end 3 25/100M 75bp 0.000 0.390 0.000 0.345 0.394 0.636 0.035 - 0.048 0.235
paired-end 3 25/100M 100bp 0.000 0.392 0.000 0.347 0.395 0.474 0.036 - 0.049 0.242
paired-end 3 25/100M 125bp 0.005 0.392 0.000 0.351 0.397 0.245 0.037 - 0.050 0.241
paired-end 3 25/100M 150bp 0.002 0.390 0.000 0.350 0.396 0.209 0.036 - 0.049 0.243
paired-end 5 50M 50bp 0.572 0.719 0.551 0.644 0.414 0.026 0.042 0.021 0.041 0.041
paired-end 5 50M 75bp 0.588 0.731 0.563 0.658 0.431 0.026 0.042 0.021 0.041 0.045
paired-end 5 50M 100bp 0.593 0.734 0.565 0.662 0.431 0.025 0.043 0.020 0.041 0.041
paired-end 5 50M 125bp 0.591 0.732 0.563 0.662 0.422 0.026 0.041 0.022 0.040 0.041
paired-end 5 50M 150bp 0.600 0.736 0.572 0.668 0.434 0.027 0.042 0.021 0.041 0.044
paired-end 5 25/100M 50bp 0.512 0.671 0.478 0.574 0.393 0.021 0.037 0.016 0.034 0.046
paired-end 5 25/100M 75bp 0.533 0.689 0.495 0.593 0.395 0.023 0.038 0.018 0.036 0.040
paired-end 5 25/100M 100bp 0.538 0.686 0.501 0.597 0.387 0.022 0.039 0.017 0.037 0.039
paired-end 5 25/100M 125bp 0.540 0.690 0.497 0.595 0.392 0.022 0.038 0.017 0.037 0.042
paired-end 5 25/100M 150bp 0.551 0.694 0.505 0.602 0.398 0.023 0.039 0.017 0.036 0.043
single-end 3 50M 50bp 0.001 0.408 0.000 0.368 0.418 0.749 0.050 - 0.063 0.251
single-end 3 50M 75bp 0.000 0.408 0.000 0.367 0.418 0.711 0.043 - 0.057 0.257
single-end 3 50M 100bp 0.000 0.423 0.000 0.379 0.429 0.729 0.047 - 0.057 0.251
single-end 3 50M 125bp 0.000 0.423 0.000 0.382 0.434 0.688 0.049 - 0.061 0.258
single-end 3 50M 150bp 0.007 0.429 0.000 0.392 0.445 0.278 0.045 - 0.059 0.256
single-end 3 25/100M 50bp 0.000 0.357 0.000 0.303 0.353 0.917 0.043 - 0.050 0.238
single-end 3 25/100M 75bp 0.000 0.363 0.000 0.312 0.362 0.667 0.041 - 0.051 0.237
single-end 3 25/100M 100bp 0.000 0.364 0.000 0.313 0.365 0.818 0.041 - 0.052 0.237
single-end 3 25/100M 125bp 0.000 0.367 0.000 0.321 0.375 0.692 0.040 - 0.052 0.237
single-end 3 25/100M 150bp 0.000 0.383 0.000 0.337 0.384 0.786 0.040 - 0.050 0.244
single-end 5 50M 50bp 0.496 0.686 0.503 0.599 0.406 0.034 0.053 0.030 0.051 0.051
single-end 5 50M 75bp 0.514 0.695 0.515 0.613 0.405 0.033 0.054 0.029 0.050 0.051
single-end 5 50M 100bp 0.527 0.706 0.521 0.621 0.419 0.034 0.054 0.028 0.049 0.051
single-end 5 50M 125bp 0.544 0.714 0.533 0.634 0.409 0.031 0.050 0.027 0.047 0.049
single-end 5 50M 150bp 0.569 0.724 0.552 0.648 0.418 0.033 0.052 0.029 0.048 0.048
single-end 5 25/100M 50bp 0.440 0.640 0.431 0.528 0.387 0.028 0.048 0.022 0.041 0.052
single-end 5 25/100M 75bp 0.459 0.647 0.444 0.540 0.379 0.027 0.047 0.022 0.041 0.054
single-end 5 25/100M 100bp 0.476 0.658 0.454 0.553 0.371 0.028 0.046 0.024 0.043 0.049
single-end 5 25/100M 125bp 0.495 0.669 0.469 0.567 0.385 0.027 0.045 0.022 0.040 0.047
single-end 5 25/100M 150bp 0.509 0.676 0.478 0.579 0.385 0.025 0.044 0.020 0.040 0.045
Simulation results - observed power and false discovery rate for different read types and read Lengths, averaged over 20 simulations. Scenario with mm39 genome, maximum of 5 transcripts/gene expressed, and reads quantified with Salmon. Library size shown in million reads (M) with 25/100 indicating library sizes alternating between 25M and 100M across replicates. Read lengths are shown in base pairs (bp). Red color indicates observed FDR values greater than the nominal 0.05. Blue color indicates most powerful method for a given scenario (row). Empty cells indicate cases in which a method failed to call any transcript as DE.
Power
False Discovery Rate
Read Samples/Group Library Size Read Length edgeR-raw edgeR-scaled sleuth-LRT sleuth-Wald Swish edgeR-raw edgeR-scaled sleuth-LRT sleuth-Wald Swish
paired-end 3 50M 50bp 0.005 0.437 0.000 0.407 0.449 0.477 0.038 - 0.054 0.238
paired-end 3 50M 75bp 0.025 0.453 0.000 0.418 0.454 0.211 0.042 - 0.058 0.240
paired-end 3 50M 100bp 0.014 0.440 0.000 0.406 0.440 0.278 0.038 - 0.055 0.236
paired-end 3 50M 125bp 0.027 0.450 0.000 0.425 0.464 0.197 0.039 - 0.056 0.243
paired-end 3 50M 150bp 0.027 0.448 0.000 0.420 0.458 0.196 0.040 0.000 0.054 0.247
paired-end 3 25/100M 50bp 0.000 0.386 0.000 0.341 0.387 0.847 0.036 - 0.044 0.226
paired-end 3 25/100M 75bp 0.001 0.392 0.000 0.349 0.393 0.702 0.036 1.000 0.045 0.224
paired-end 3 25/100M 100bp 0.001 0.396 0.000 0.344 0.383 0.639 0.037 - 0.047 0.221
paired-end 3 25/100M 125bp 0.001 0.396 0.000 0.354 0.397 0.689 0.037 - 0.047 0.231
paired-end 3 25/100M 150bp 0.001 0.400 0.000 0.359 0.402 0.689 0.035 - 0.046 0.228
paired-end 5 50M 50bp 0.578 0.743 0.569 0.667 0.464 0.025 0.042 0.023 0.041 0.047
paired-end 5 50M 75bp 0.595 0.746 0.573 0.674 0.436 0.021 0.041 0.020 0.039 0.042
paired-end 5 50M 100bp 0.596 0.746 0.573 0.672 0.448 0.022 0.041 0.021 0.040 0.043
paired-end 5 50M 125bp 0.612 0.754 0.589 0.684 0.473 0.024 0.042 0.022 0.041 0.046
paired-end 5 50M 150bp 0.612 0.754 0.584 0.686 0.450 0.022 0.040 0.021 0.040 0.042
paired-end 5 25/100M 50bp 0.511 0.700 0.495 0.597 0.396 0.019 0.039 0.017 0.035 0.041
paired-end 5 25/100M 75bp 0.527 0.699 0.501 0.603 0.414 0.018 0.038 0.017 0.034 0.044
paired-end 5 25/100M 100bp 0.527 0.699 0.497 0.597 0.403 0.018 0.040 0.017 0.034 0.042
paired-end 5 25/100M 125bp 0.547 0.714 0.517 0.620 0.425 0.018 0.039 0.017 0.035 0.044
paired-end 5 25/100M 150bp 0.536 0.707 0.508 0.611 0.399 0.019 0.039 0.016 0.035 0.044
single-end 3 50M 50bp 0.001 0.392 0.000 0.364 0.410 0.571 0.045 1.000 0.065 0.240
single-end 3 50M 75bp 0.002 0.401 0.000 0.376 0.418 0.642 0.046 0.000 0.065 0.243
single-end 3 50M 100bp 0.003 0.410 0.000 0.384 0.423 0.525 0.042 0.000 0.059 0.237
single-end 3 50M 125bp 0.012 0.407 0.000 0.399 0.438 0.344 0.041 0.500 0.062 0.242
single-end 3 50M 150bp 0.016 0.420 0.000 0.408 0.445 0.280 0.040 0.333 0.060 0.241
single-end 3 25/100M 50bp 0.000 0.349 0.000 0.301 0.353 0.812 0.041 - 0.052 0.222
single-end 3 25/100M 75bp 0.000 0.353 0.000 0.309 0.357 0.519 0.040 - 0.055 0.226
single-end 3 25/100M 100bp 0.000 0.361 0.000 0.317 0.363 0.561 0.036 - 0.050 0.224
single-end 3 25/100M 125bp 0.000 0.369 0.000 0.334 0.378 0.646 0.037 - 0.052 0.229
single-end 3 25/100M 150bp 0.001 0.378 0.000 0.342 0.388 0.490 0.037 0.000 0.048 0.226
single-end 5 50M 50bp 0.505 0.683 0.509 0.601 0.408 0.038 0.055 0.034 0.053 0.056
single-end 5 50M 75bp 0.519 0.694 0.517 0.613 0.409 0.035 0.052 0.031 0.050 0.048
single-end 5 50M 100bp 0.538 0.704 0.530 0.626 0.442 0.034 0.052 0.029 0.049 0.055
single-end 5 50M 125bp 0.563 0.717 0.551 0.650 0.428 0.033 0.048 0.028 0.049 0.049
single-end 5 50M 150bp 0.585 0.729 0.568 0.666 0.440 0.030 0.046 0.027 0.048 0.048
single-end 5 25/100M 50bp 0.434 0.641 0.431 0.524 0.391 0.030 0.048 0.025 0.044 0.056
single-end 5 25/100M 75bp 0.455 0.653 0.445 0.542 0.396 0.030 0.047 0.023 0.042 0.052
single-end 5 25/100M 100bp 0.465 0.656 0.451 0.548 0.399 0.028 0.046 0.024 0.042 0.052
single-end 5 25/100M 125bp 0.501 0.677 0.479 0.579 0.394 0.027 0.042 0.021 0.040 0.050
single-end 5 25/100M 150bp 0.513 0.687 0.490 0.590 0.403 0.025 0.043 0.021 0.039 0.045
Simulation results - observed power and false discovery rate for different read types and read Lengths, averaged over 20 simulations. Scenario with mm39 genome, maximum of 5 transcripts/gene expressed, and reads quantified with kallisto. Library size shown in million reads (M) with 25/100 indicating library sizes alternating between 25M and 100M across replicates. Read lengths are shown in base pairs (bp). Red color indicates observed FDR values greater than the nominal 0.05. Blue color indicates most powerful method for a given scenario (row). Empty cells indicate cases in which a method failed to call any transcript as DE.
Power
False Discovery Rate
Read Samples/Group Library Size Read Length edgeR-raw edgeR-scaled sleuth-LRT sleuth-Wald Swish edgeR-raw edgeR-scaled sleuth-LRT sleuth-Wald Swish
paired-end 3 50M 50bp 0.019 0.436 0.000 0.407 0.461 0.180 0.038 - 0.055 0.250
paired-end 3 50M 75bp 0.033 0.454 0.000 0.420 0.471 0.150 0.043 - 0.058 0.255
paired-end 3 50M 100bp 0.016 0.443 0.000 0.415 0.467 0.192 0.040 - 0.054 0.256
paired-end 3 50M 125bp 0.021 0.453 0.000 0.425 0.477 0.175 0.040 - 0.054 0.255
paired-end 3 50M 150bp 0.027 0.451 0.000 0.422 0.473 0.149 0.041 - 0.054 0.258
paired-end 3 25/100M 50bp 0.000 0.384 0.000 0.341 0.396 0.474 0.035 - 0.045 0.235
paired-end 3 25/100M 75bp 0.000 0.391 0.000 0.353 0.403 0.545 0.036 - 0.045 0.237
paired-end 3 25/100M 100bp 0.000 0.402 0.000 0.358 0.405 0.810 0.039 - 0.048 0.238
paired-end 3 25/100M 125bp 0.000 0.397 0.000 0.356 0.406 0.618 0.037 - 0.047 0.237
paired-end 3 25/100M 150bp 0.000 0.403 0.000 0.361 0.411 0.744 0.036 - 0.047 0.237
paired-end 5 50M 50bp 0.591 0.743 0.571 0.672 0.458 0.026 0.042 0.021 0.039 0.045
paired-end 5 50M 75bp 0.603 0.750 0.579 0.682 0.442 0.025 0.042 0.020 0.040 0.042
paired-end 5 50M 100bp 0.613 0.757 0.586 0.688 0.448 0.025 0.042 0.021 0.040 0.043
paired-end 5 50M 125bp 0.618 0.759 0.591 0.690 0.459 0.028 0.045 0.022 0.042 0.044
paired-end 5 50M 150bp 0.617 0.759 0.587 0.693 0.468 0.025 0.041 0.021 0.040 0.046
paired-end 5 25/100M 50bp 0.530 0.696 0.496 0.603 0.407 0.022 0.040 0.017 0.036 0.044
paired-end 5 25/100M 75bp 0.544 0.705 0.509 0.614 0.406 0.021 0.039 0.016 0.035 0.043
paired-end 5 25/100M 100bp 0.552 0.712 0.517 0.618 0.403 0.021 0.041 0.017 0.036 0.042
paired-end 5 25/100M 125bp 0.558 0.719 0.519 0.626 0.435 0.021 0.039 0.017 0.036 0.046
paired-end 5 25/100M 150bp 0.552 0.712 0.514 0.621 0.403 0.022 0.039 0.017 0.036 0.046
single-end 3 50M 50bp 0.000 0.408 0.000 0.368 0.424 0.840 0.047 - 0.060 0.247
single-end 3 50M 75bp 0.000 0.415 0.000 0.382 0.433 0.831 0.048 1.000 0.059 0.253
single-end 3 50M 100bp 0.001 0.424 0.000 0.391 0.443 0.684 0.046 - 0.059 0.249
single-end 3 50M 125bp 0.000 0.428 0.000 0.399 0.452 0.789 0.045 - 0.060 0.250
single-end 3 50M 150bp 0.002 0.436 0.000 0.406 0.459 0.486 0.045 - 0.059 0.252
single-end 3 25/100M 50bp 0.000 0.363 0.000 0.308 0.362 0.933 0.042 - 0.046 0.227
single-end 3 25/100M 75bp 0.000 0.367 0.000 0.314 0.367 0.737 0.043 - 0.051 0.230
single-end 3 25/100M 100bp 0.000 0.376 0.000 0.325 0.378 0.630 0.038 - 0.048 0.234
single-end 3 25/100M 125bp 0.000 0.377 0.000 0.334 0.384 0.643 0.039 - 0.048 0.234
single-end 3 25/100M 150bp 0.000 0.388 0.000 0.345 0.397 0.583 0.039 - 0.046 0.231
single-end 5 50M 50bp 0.511 0.702 0.520 0.618 0.411 0.035 0.054 0.030 0.050 0.053
single-end 5 50M 75bp 0.522 0.710 0.526 0.630 0.428 0.033 0.052 0.027 0.047 0.050
single-end 5 50M 100bp 0.543 0.722 0.540 0.643 0.435 0.033 0.052 0.029 0.049 0.053
single-end 5 50M 125bp 0.562 0.732 0.551 0.657 0.447 0.033 0.052 0.026 0.047 0.052
single-end 5 50M 150bp 0.584 0.745 0.569 0.673 0.431 0.031 0.049 0.026 0.048 0.044
single-end 5 25/100M 50bp 0.451 0.662 0.446 0.547 0.386 0.027 0.047 0.022 0.042 0.051
single-end 5 25/100M 75bp 0.468 0.671 0.458 0.563 0.395 0.028 0.047 0.022 0.042 0.050
single-end 5 25/100M 100bp 0.480 0.677 0.465 0.569 0.404 0.027 0.048 0.023 0.041 0.051
single-end 5 25/100M 125bp 0.509 0.689 0.483 0.589 0.385 0.027 0.044 0.021 0.041 0.044
single-end 5 25/100M 150bp 0.521 0.698 0.494 0.600 0.415 0.027 0.045 0.021 0.040 0.048
Simulation results - observed power and false discovery rate for different read types and read Lengths, averaged over 20 simulations. Scenario with mm39 genome, all transcripts expressed, and reads quantified with Salmon. Library size shown in million reads (M) with 25/100 indicating library sizes alternating between 25M and 100M across replicates. Read lengths are shown in base pairs (bp). Red color indicates observed FDR values greater than the nominal 0.05. Blue color indicates most powerful method for a given scenario (row). Empty cells indicate cases in which a method failed to call any transcript as DE.
Power
False Discovery Rate
Read Samples/Group Library Size Read Length edgeR-raw edgeR-scaled sleuth-LRT sleuth-Wald Swish edgeR-raw edgeR-scaled sleuth-LRT sleuth-Wald Swish
paired-end 3 50M 50bp 0.004 0.433 0.000 0.417 0.462 0.640 0.040 - 0.059 0.236
paired-end 3 50M 75bp 0.003 0.440 0.000 0.422 0.466 0.664 0.038 0.500 0.056 0.235
paired-end 3 50M 100bp 0.004 0.441 0.000 0.414 0.453 0.638 0.040 - 0.053 0.231
paired-end 3 50M 125bp 0.004 0.440 0.000 0.428 0.475 0.625 0.039 - 0.054 0.238
paired-end 3 50M 150bp 0.006 0.444 0.000 0.430 0.475 0.570 0.040 - 0.057 0.239
paired-end 3 25/100M 50bp 0.000 0.378 0.000 0.346 0.398 0.812 0.035 - 0.048 0.223
paired-end 3 25/100M 75bp 0.000 0.389 0.000 0.357 0.402 0.761 0.035 - 0.045 0.218
paired-end 3 25/100M 100bp 0.000 0.387 0.000 0.342 0.390 0.771 0.035 - 0.044 0.217
paired-end 3 25/100M 125bp 0.001 0.397 0.000 0.364 0.412 0.755 0.034 1.000 0.047 0.225
paired-end 3 25/100M 150bp 0.001 0.395 0.000 0.362 0.410 0.773 0.035 - 0.048 0.225
paired-end 5 50M 50bp 0.567 0.752 0.577 0.685 0.466 0.024 0.041 0.022 0.042 0.046
paired-end 5 50M 75bp 0.584 0.761 0.586 0.692 0.475 0.022 0.042 0.020 0.038 0.043
paired-end 5 50M 100bp 0.576 0.760 0.577 0.687 0.477 0.021 0.042 0.018 0.039 0.043
paired-end 5 50M 125bp 0.594 0.764 0.593 0.700 0.473 0.021 0.040 0.020 0.040 0.043
paired-end 5 50M 150bp 0.596 0.767 0.596 0.705 0.481 0.021 0.041 0.020 0.039 0.046
paired-end 5 25/100M 50bp 0.498 0.708 0.503 0.612 0.436 0.018 0.039 0.017 0.036 0.044
paired-end 5 25/100M 75bp 0.516 0.719 0.513 0.623 0.442 0.017 0.039 0.016 0.034 0.045
paired-end 5 25/100M 100bp 0.506 0.716 0.503 0.617 0.436 0.017 0.038 0.015 0.033 0.042
paired-end 5 25/100M 125bp 0.525 0.726 0.521 0.636 0.451 0.018 0.039 0.016 0.035 0.048
paired-end 5 25/100M 150bp 0.522 0.725 0.520 0.635 0.417 0.017 0.037 0.016 0.034 0.041
single-end 3 50M 50bp 0.002 0.382 0.000 0.368 0.414 0.620 0.044 1.000 0.062 0.235
single-end 3 50M 75bp 0.002 0.394 0.000 0.383 0.425 0.627 0.043 0.500 0.063 0.236
single-end 3 50M 100bp 0.004 0.403 0.000 0.391 0.430 0.581 0.043 0.250 0.060 0.230
single-end 3 50M 125bp 0.004 0.402 0.000 0.413 0.452 0.587 0.040 0.000 0.062 0.239
single-end 3 50M 150bp 0.004 0.404 0.000 0.414 0.455 0.575 0.039 0.600 0.061 0.240
single-end 3 25/100M 50bp 0.000 0.332 0.000 0.301 0.355 - 0.038 - 0.051 0.223
single-end 3 25/100M 75bp 0.000 0.342 0.000 0.312 0.360 0.586 0.037 - 0.050 0.221
single-end 3 25/100M 100bp 0.000 0.357 0.000 0.318 0.366 0.662 0.037 - 0.048 0.217
single-end 3 25/100M 125bp 0.000 0.354 0.000 0.336 0.384 0.772 0.033 - 0.051 0.222
single-end 3 25/100M 150bp 0.001 0.368 0.000 0.346 0.392 0.554 0.036 - 0.050 0.222
single-end 5 50M 50bp 0.490 0.691 0.511 0.617 0.417 0.037 0.054 0.032 0.053 0.051
single-end 5 50M 75bp 0.513 0.706 0.528 0.633 0.443 0.034 0.052 0.030 0.050 0.051
single-end 5 50M 100bp 0.524 0.711 0.532 0.640 0.450 0.034 0.051 0.029 0.051 0.055
single-end 5 50M 125bp 0.553 0.725 0.557 0.667 0.473 0.033 0.046 0.028 0.049 0.055
single-end 5 50M 150bp 0.573 0.736 0.574 0.679 0.462 0.030 0.047 0.028 0.049 0.050
single-end 5 25/100M 50bp 0.417 0.645 0.429 0.534 0.391 0.028 0.047 0.022 0.043 0.052
single-end 5 25/100M 75bp 0.441 0.659 0.447 0.554 0.396 0.028 0.046 0.023 0.040 0.051
single-end 5 25/100M 100bp 0.451 0.670 0.455 0.564 0.415 0.026 0.044 0.020 0.040 0.053
single-end 5 25/100M 125bp 0.476 0.686 0.474 0.587 0.411 0.027 0.045 0.021 0.040 0.048
single-end 5 25/100M 150bp 0.498 0.697 0.491 0.603 0.417 0.025 0.042 0.020 0.039 0.049
Simulation results - observed power and false discovery rate for different read types and read Lengths, averaged over 20 simulations. Scenario with mm39 genome, all transcripts expressed, and reads quantified with kallisto. Library size shown in million reads (M) with 25/100 indicating library sizes alternating between 25M and 100M across replicates. Read lengths are shown in base pairs (bp). Red color indicates observed FDR values greater than the nominal 0.05. Blue color indicates most powerful method for a given scenario (row). Empty cells indicate cases in which a method failed to call any transcript as DE.
Power
False Discovery Rate
Read Samples/Group Library Size Read Length edgeR-raw edgeR-scaled sleuth-LRT sleuth-Wald Swish edgeR-raw edgeR-scaled sleuth-LRT sleuth-Wald Swish
paired-end 3 50M 50bp 0.001 0.434 0.000 0.418 0.474 0.694 0.041 - 0.056 0.248
paired-end 3 50M 75bp 0.001 0.440 0.000 0.425 0.484 0.619 0.039 - 0.055 0.250
paired-end 3 50M 100bp 0.000 0.445 0.000 0.425 0.482 0.703 0.042 - 0.053 0.250
paired-end 3 50M 125bp 0.000 0.445 0.000 0.429 0.490 0.841 0.040 - 0.051 0.249
paired-end 3 50M 150bp 0.001 0.451 0.000 0.433 0.491 0.689 0.041 - 0.056 0.251
paired-end 3 25/100M 50bp 0.000 0.376 0.000 0.347 0.404 0.650 0.035 - 0.047 0.230
paired-end 3 25/100M 75bp 0.000 0.390 0.000 0.364 0.415 0.727 0.035 - 0.045 0.230
paired-end 3 25/100M 100bp 0.000 0.387 0.000 0.356 0.412 0.769 0.035 - 0.045 0.234
paired-end 3 25/100M 125bp 0.000 0.399 0.000 0.369 0.422 0.771 0.035 - 0.049 0.234
paired-end 3 25/100M 150bp 0.000 0.395 0.000 0.367 0.420 0.833 0.035 - 0.047 0.233
paired-end 5 50M 50bp 0.592 0.754 0.579 0.692 0.465 0.026 0.042 0.021 0.042 0.046
paired-end 5 50M 75bp 0.610 0.766 0.593 0.703 0.473 0.025 0.043 0.020 0.039 0.043
paired-end 5 50M 100bp 0.609 0.769 0.592 0.707 0.470 0.024 0.044 0.019 0.041 0.042
paired-end 5 50M 125bp 0.616 0.771 0.598 0.709 0.467 0.026 0.041 0.020 0.040 0.044
paired-end 5 50M 150bp 0.621 0.773 0.601 0.714 0.465 0.025 0.042 0.019 0.039 0.044
paired-end 5 25/100M 50bp 0.527 0.708 0.507 0.620 0.434 0.022 0.040 0.017 0.036 0.047
paired-end 5 25/100M 75bp 0.547 0.725 0.523 0.637 0.433 0.021 0.039 0.016 0.037 0.044
paired-end 5 25/100M 100bp 0.550 0.730 0.524 0.641 0.430 0.022 0.038 0.016 0.035 0.043
paired-end 5 25/100M 125bp 0.552 0.734 0.527 0.647 0.434 0.020 0.040 0.016 0.035 0.044
paired-end 5 25/100M 150bp 0.554 0.733 0.529 0.647 0.407 0.020 0.037 0.015 0.035 0.041
single-end 3 50M 50bp 0.000 0.400 0.000 0.373 0.430 0.870 0.046 - 0.057 0.244
single-end 3 50M 75bp 0.000 0.415 0.000 0.388 0.442 0.929 0.046 - 0.056 0.244
single-end 3 50M 100bp 0.000 0.423 0.000 0.395 0.450 0.907 0.048 - 0.058 0.242
single-end 3 50M 125bp 0.000 0.427 0.000 0.411 0.464 0.910 0.045 - 0.057 0.249
single-end 3 50M 150bp 0.001 0.426 0.000 0.414 0.471 0.724 0.045 - 0.057 0.246
single-end 3 25/100M 50bp 0.000 0.349 0.000 0.311 0.366 0.636 0.039 - 0.048 0.228
single-end 3 25/100M 75bp 0.000 0.361 0.000 0.320 0.374 0.812 0.037 - 0.045 0.226
single-end 3 25/100M 100bp 0.000 0.373 0.000 0.328 0.382 0.750 0.038 - 0.046 0.227
single-end 3 25/100M 125bp 0.000 0.367 0.000 0.338 0.391 0.810 0.036 - 0.046 0.228
single-end 3 25/100M 150bp 0.000 0.382 0.000 0.348 0.401 0.722 0.040 - 0.048 0.229
single-end 5 50M 50bp 0.505 0.717 0.526 0.638 0.431 0.032 0.052 0.026 0.047 0.049
single-end 5 50M 75bp 0.528 0.727 0.540 0.654 0.451 0.032 0.053 0.027 0.047 0.050
single-end 5 50M 100bp 0.538 0.730 0.542 0.658 0.447 0.033 0.054 0.027 0.049 0.053
single-end 5 50M 125bp 0.562 0.745 0.560 0.677 0.433 0.032 0.050 0.025 0.047 0.046
single-end 5 50M 150bp 0.585 0.754 0.578 0.690 0.475 0.032 0.051 0.025 0.047 0.050
single-end 5 25/100M 50bp 0.434 0.670 0.445 0.559 0.373 0.026 0.046 0.019 0.038 0.043
single-end 5 25/100M 75bp 0.460 0.681 0.464 0.577 0.409 0.026 0.046 0.020 0.038 0.050
single-end 5 25/100M 100bp 0.476 0.691 0.471 0.591 0.424 0.026 0.044 0.019 0.039 0.051
single-end 5 25/100M 125bp 0.491 0.701 0.480 0.601 0.409 0.027 0.046 0.020 0.040 0.046
single-end 5 25/100M 150bp 0.516 0.711 0.499 0.618 0.424 0.025 0.045 0.019 0.039 0.049
Law, Charity W, Yunshun Chen, Wei Shi, and Gordon K Smyth. 2014. “Voom: Precision Weights Unlock Linear Model Analysis Tools for RNA-Seq Read Counts.” Genome Biology 15: R29.

> sessionInfo()
R version 4.2.1 (2022-06-23)
Platform: x86_64-pc-linux-gnu (64-bit)
Running under: CentOS Linux 7 (Core)

Matrix products: default
BLAS:   /stornext/System/data/apps/R/R-4.2.1/lib64/R/lib/libRblas.so
LAPACK: /stornext/System/data/apps/R/R-4.2.1/lib64/R/lib/libRlapack.so

locale:
 [1] LC_CTYPE=en_US.UTF-8       LC_NUMERIC=C              
 [3] LC_TIME=en_US.UTF-8        LC_COLLATE=en_US.UTF-8    
 [5] LC_MONETARY=en_US.UTF-8    LC_MESSAGES=en_US.UTF-8   
 [7] LC_PAPER=en_US.UTF-8       LC_NAME=C                 
 [9] LC_ADDRESS=C               LC_TELEPHONE=C            
[11] LC_MEASUREMENT=en_US.UTF-8 LC_IDENTIFICATION=C       

attached base packages:
[1] stats4    stats     graphics  grDevices utils     datasets  methods  
[8] base     

other attached packages:
 [1] GenomicFeatures_1.50.4 AnnotationDbi_1.60.0   Biobase_2.58.0        
 [4] GenomicRanges_1.50.2   GenomeInfoDb_1.34.9    IRanges_2.32.0        
 [7] S4Vectors_0.36.1       BiocGenerics_0.44.0    pkg_1.0               
[10] kableExtra_1.3.4       ggpubr_0.6.0           readr_2.1.4           
[13] purrr_1.0.1            devtools_2.4.5         usethis_2.1.6         
[16] BiocParallel_1.32.5    edgeR_3.40.2           limma_3.54.1          
[19] magrittr_2.0.3         plyr_1.8.8             thematic_0.1.2.1      
[22] ggplot2_3.4.1          data.table_1.14.6      workflowr_1.7.0       

loaded via a namespace (and not attached):
  [1] utf8_1.2.3                    R.utils_2.12.2               
  [3] tidyselect_1.2.0              RSQLite_2.2.20               
  [5] htmlwidgets_1.6.1             grid_4.2.1                   
  [7] munsell_0.5.0                 codetools_0.2-19             
  [9] miniUI_0.1.1.1                withr_2.5.0                  
 [11] colorspace_2.1-0              filelock_1.0.2               
 [13] highr_0.10                    knitr_1.42                   
 [15] rstudioapi_0.14               SingleCellExperiment_1.20.0  
 [17] ggsignif_0.6.4                Rsubread_2.12.2              
 [19] labeling_0.4.2                MatrixGenerics_1.10.0        
 [21] git2r_0.31.0                  tximport_1.26.1              
 [23] GenomeInfoDbData_1.2.9        farver_2.1.1                 
 [25] bit64_4.0.5                   rhdf5_2.42.0                 
 [27] rprojroot_2.0.3               vctrs_0.5.2                  
 [29] generics_0.1.3                xfun_0.37                    
 [31] BiocFileCache_2.6.0           fishpond_2.4.1               
 [33] R6_2.5.1                      locfit_1.5-9.7               
 [35] AnnotationFilter_1.22.0       bitops_1.0-7                 
 [37] rhdf5filters_1.10.0           cachem_1.0.6                 
 [39] DelayedArray_0.24.0           assertthat_0.2.1             
 [41] showtext_0.9-5                vroom_1.6.1                  
 [43] promises_1.2.0.1              BiocIO_1.8.0                 
 [45] scales_1.2.1                  gtable_0.3.1                 
 [47] processx_3.8.0                ensembldb_2.22.0             
 [49] rlang_1.0.6                   systemfonts_1.0.4            
 [51] splines_4.2.1                 rtracklayer_1.58.0           
 [53] rstatix_0.7.2                 lazyeval_0.2.2               
 [55] broom_1.0.3                   reshape2_1.4.4               
 [57] BiocManager_1.30.19           yaml_2.3.7                   
 [59] abind_1.4-5                   backports_1.4.1              
 [61] httpuv_1.6.5                  sleuth_0.30.0                
 [63] qvalue_2.30.0                 wasabi_1.0.1                 
 [65] tools_4.2.1                   ellipsis_0.3.2               
 [67] RColorBrewer_1.1-3            jquerylib_0.1.4              
 [69] sessioninfo_1.2.2             Rcpp_1.0.10                  
 [71] progress_1.2.2                zlibbioc_1.44.0              
 [73] RCurl_1.98-1.10               ps_1.7.2                     
 [75] prettyunits_1.1.1             cowplot_1.1.1                
 [77] urlchecker_1.0.1              SummarizedExperiment_1.28.0  
 [79] fs_1.6.1                      svMisc_1.2.3                 
 [81] whisker_0.4.1                 ProtGenerics_1.30.0          
 [83] matrixStats_0.63.0            pkgload_1.3.2                
 [85] hms_1.1.2                     mime_0.12                    
 [87] evaluate_0.20                 xtable_1.8-4                 
 [89] XML_3.99-0.13                 compiler_4.2.1               
 [91] biomaRt_2.54.0                tibble_3.1.8                 
 [93] crayon_1.5.2                  R.oo_1.25.0                  
 [95] htmltools_0.5.4               later_1.3.0                  
 [97] tzdb_0.3.0                    tidyr_1.3.0                  
 [99] DBI_1.1.3                     dbplyr_2.3.0                 
[101] rappdirs_0.3.3                Matrix_1.5-3                 
[103] car_3.1-1                     cli_3.6.0                    
[105] R.methodsS3_1.8.2             parallel_4.2.1               
[107] pkgconfig_2.0.3               getPass_0.2-2                
[109] GenomicAlignments_1.34.0      xml2_1.3.3                   
[111] svglite_2.1.1                 bslib_0.4.2                  
[113] webshot_0.5.4                 XVector_0.38.0               
[115] rvest_1.0.3                   stringr_1.5.0                
[117] callr_3.7.3                   digest_0.6.31                
[119] showtextdb_3.0                Biostrings_2.66.0            
[121] rmarkdown_2.20                tximeta_1.16.1               
[123] restfulr_0.0.15               curl_5.0.0                   
[125] shiny_1.7.4                   Rsamtools_2.14.0             
[127] gtools_3.9.4                  rjson_0.2.21                 
[129] lifecycle_1.0.3               jsonlite_1.8.4               
[131] Rhdf5lib_1.20.0               carData_3.0-5                
[133] desc_1.4.2                    viridisLite_0.4.1            
[135] fansi_1.0.4                   pillar_1.8.1                 
[137] lattice_0.20-45               KEGGREST_1.38.0              
[139] fastmap_1.1.0                 httr_1.4.4                   
[141] pkgbuild_1.4.0                interactiveDisplayBase_1.36.0
[143] glue_1.6.2                    remotes_2.4.2                
[145] png_0.1-8                     BiocVersion_3.16.0           
[147] bit_4.0.5                     stringi_1.7.12               
[149] sass_0.4.1                    profvis_0.3.7                
[151] blob_1.2.3                    AnnotationHub_3.6.0          
[153] memoise_2.0.1                 dplyr_1.1.0                  
[155] sysfonts_0.8.8