Last updated: 2025-07-15
Checks: 7 0
Knit directory: WardLab/
This reproducible R Markdown analysis was created with workflowr (version 1.7.1). The Checks tab describes the reproducibility checks that were applied when the results were created. The Past versions tab lists the development history.
Great! Since the R Markdown file has been committed to the Git repository, you know the exact version of the code that produced these results.
Great job! The global environment was empty. Objects defined in the global environment can affect the analysis in your R Markdown file in unknown ways. For reproduciblity it’s best to always run the code in an empty environment.
The command set.seed(20250701) was run prior to running
the code in the R Markdown file. Setting a seed ensures that any results
that rely on randomness, e.g. subsampling or permutations, are
reproducible.
Great job! Recording the operating system, R version, and package versions is critical for reproducibility.
Nice! There were no cached chunks for this analysis, so you can be confident that you successfully produced the results during this run.
Great job! Using relative paths to the files within your workflowr project makes it easier to run your code on other machines.
Great! You are using Git for version control. Tracking code development and connecting the code version to the results is critical for reproducibility.
The results in this page were generated with repository version dd8be1d. See the Past versions tab to see a history of the changes made to the R Markdown and HTML files.
Note that you need to be careful to ensure that all relevant files for
the analysis have been committed to Git prior to generating the results
(you can use wflow_publish or
wflow_git_commit). workflowr only checks the R Markdown
file, but you know if there are other scripts or data files that it
depends on. Below is the status of the Git repository when the results
were generated:
Ignored files:
Ignored: .Rhistory
Ignored: .Rproj.user/
Untracked files:
Untracked: data/bam_final/
Untracked: data/bam_no_multi/
Untracked: data/multiqc_data_trim/
Untracked: data/peaks/
Untracked: data/sample_info.tsv
Untracked: data/sams/
Unstaged changes:
Modified: README.md
Note that any generated files, e.g. HTML, png, CSS, etc., are not included in this status report because it is ok for generated content to have uncommitted changes.
These are the previous versions of the repository in which changes were
made to the R Markdown (analysis/peak_analysis.Rmd) and
HTML (docs/peak_analysis.html) files. If you’ve configured
a remote Git repository (see ?wflow_git_remote), click on
the hyperlinks in the table below to view the files as they were in that
past version.
| File | Version | Author | Date | Message |
|---|---|---|---|---|
| Rmd | dd8be1d | infurnoheat | 2025-07-15 | wflow_publish("analysis/peak_analysis.Rmd") |
| html | 1d53459 | infurnoheat | 2025-07-14 | Build site. |
| Rmd | 7067e5d | infurnoheat | 2025-07-14 | wflow_publish("analysis/peak_analysis.Rmd") |
library(tidyverse)
library(readr)
library(edgeR)
library(ComplexHeatmap)
library(data.table)
library(dplyr)
library(stringr)
library(ggplot2)
library(viridis)
library(DT)
library(kableExtra)
library(genomation)
library(GenomicRanges)
library(chromVAR) ## For FRiP analysis and differential analysis
library(DESeq2) ## For differential analysis section
library(ggpubr) ## For customizing figures
library(corrplot) ## For correlation plot
library(ggpmisc)
library(gcplyr)
sampleinfo <- read_delim("data/sample_info.tsv", delim = "\t")
multiqc_gene_stats_trim <- read_delim("data/multiqc_data_trim/multiqc_general_stats.txt",delim = "\t")
multiqc_fastqc_trim <- read_delim("data/multiqc_data_trim/multiqc_fastqc.txt",delim = "\t")
drug_pal <- c("#8B006D","#DF707E","#F1B72B", "#3386DD","#707031","#41B333")
pca_plot <-
function(df,
col_var = NULL,
shape_var = NULL,
title = "") {
ggplot(df) + geom_point(aes_string(
x = "PC1",
y = "PC2",
color = col_var,
shape = shape_var
),
size = 5) +
labs(title = title, x = "PC 1", y = "PC 2") +
scale_color_manual(values = c(
"#8B006D",
"#DF707E",
"#F1B72B",
"#3386DD",
"#707031",
"#41B333"
))
}
pca_var_plot <- function(pca) {
# x: class == prcomp
pca.var <- pca$sdev ^ 2
pca.prop <- pca.var / sum(pca.var)
var.plot <-
qplot(PC, prop, data = data.frame(PC = 1:length(pca.prop),
prop = pca.prop)) +
labs(title = 'Variance contributed by each PC',
x = 'PC', y = 'Proportion of variance')
plot(var.plot)
}
calc_pca <- function(x) {
# Performs principal components analysis with prcomp
# x: a sample-by-gene numeric matrix
prcomp(x, scale. = TRUE, retx = TRUE)
}
get_regr_pval <- function(mod) {
# Returns the p-value for the Fstatistic of a linear model
# mod: class lm
stopifnot(class(mod) == "lm")
fstat <- summary(mod)$fstatistic
pval <- 1 - pf(fstat[1], fstat[2], fstat[3])
return(pval)
}
plot_versus_pc <- function(df, pc_num, fac) {
# df: data.frame
# pc_num: numeric, specific PC for plotting
# fac: column name of df for plotting against PC
pc_char <- paste0("PC", pc_num)
# Calculate F-statistic p-value for linear model
pval <- get_regr_pval(lm(df[, pc_char] ~ df[, fac]))
if (is.numeric(df[, f])) {
ggplot(df, aes_string(x = f, y = pc_char)) + geom_point() +
geom_smooth(method = "lm") + labs(title = sprintf("p-val: %.2f", pval))
} else {
ggplot(df, aes_string(x = f, y = pc_char)) + geom_boxplot() +
labs(title = sprintf("p-val: %.2f", pval))
}
}
x_axis_labels = function(labels, every_nth = 1, ...) {
axis(side = 1,
at = seq_along(labels),
labels = F)
text(
x = (seq_along(labels))[seq_len(every_nth) == 1],
y = par("usr")[3] - 0.075 * (par("usr")[4] - par("usr")[3]),
labels = labels[seq_len(every_nth) == 1],
xpd = TRUE,
...
)
}
peak_ct <- read_delim("data/peaks/peaks_cts.tsv", delim = "\t")
H3K27ac_peaks <- read_delim("data/peaks/H3K27ac_macs2_nolambda_1e5_results.tsv",delim = "\t")
H3K27ac_peaks_noModel <- read_delim("data/peaks/H3K27ac_macs2_noModel_nolambda_1e5_results.tsv",delim = "\t")
H3K27me3_peaks <- read_delim("data/peaks/H3K27me3_macs2_broad_results.tsv",delim = "\t")
H3K36me3_peaks <- read_delim("data/peaks/H3K36me3_macs2_broad_results.tsv",delim = "\t")
H3K9me3_peaks <- read_delim("data/peaks/H3K9me3_macs2_nolambda_1e5_results.tsv",delim = "\t")
H3K9me3_peaks_noModel <- read_delim("data/peaks/H3K9me3_macs2_noModel_nolambda_1e5_results.tsv",delim = "\t")
all_peak <- rbind(H3K27ac_peaks, H3K27me3_peaks, H3K36me3_peaks, H3K9me3_peaks)
all_peak_noModel <- rbind(H3K27ac_peaks_noModel, H3K27me3_peaks, H3K36me3_peaks, H3K9me3_peaks_noModel)
all_peak <- all_peak %>%
dplyr::select(Sample, Total_Reads, Fragments, Reads_in_Peaks, FRiP) %>%
left_join(.,sampleinfo, by=c("Sample"="Library ID")) %>%
left_join(.,peak_ct, by=c("Sample"="Sample"))
all_peak <- all_peak[(!all_peak$Treatment %in% "5FU"),]
all_peak_noModel <- all_peak %>%
dplyr::select(Sample, Total_Reads, Fragments, Reads_in_Peaks, FRiP) %>%
left_join(.,sampleinfo, by=c("Sample"="Library ID")) %>%
left_join(.,peak_ct, by=c("Sample"="Sample"))
all_peak_noModel <- all_peak_noModel[(!all_peak_noModel$Treatment %in% "5FU"),]
all_peak %>%
ggplot(.,aes(x=Sample, y=Count,fill=Histone_Mark))+
geom_col()+
ylab("Count")+
theme_classic()+
# facet_wrap(~histone)+
ggtitle("Peak number for all samples")+
theme(axis.text.x=element_text(vjust = .2,angle=90))+
scale_y_continuous( expand = expansion(mult = c(0, .1)))

| Version | Author | Date |
|---|---|---|
| 1d53459 | infurnoheat | 2025-07-14 |
all_peak %>%
ggplot(., aes (x=Histone_Mark, y = Count, fill = Histone_Mark))+
geom_boxplot()+
ylab("Count")+
theme_classic()+
# facet_wrap(~histone)+
ggtitle("Peak count across histones")

| Version | Author | Date |
|---|---|---|
| 1d53459 | infurnoheat | 2025-07-14 |
all_peak %>%
ggplot(., aes (x=Treatment, y = Count, fill = Histone_Mark))+
geom_boxplot()+
ylab("Count")+
theme_classic()+
# facet_wrap(~histone)+
ggtitle("Peak count across histones")

| Version | Author | Date |
|---|---|---|
| 1d53459 | infurnoheat | 2025-07-14 |
all_peak %>%
ggplot(., aes (x=Timepoint, y = Count, fill = Histone_Mark))+
geom_boxplot()+
ylab("Count")+
theme_classic()+
# facet_wrap(~histone)+
ggtitle("Peak count across histones")

| Version | Author | Date |
|---|---|---|
| 1d53459 | infurnoheat | 2025-07-14 |
questionable_frip = all_peak[(all_peak$FRiP < 0.02),]
questionable_frip
# A tibble: 4 × 10
Sample Total_Reads Fragments Reads_in_Peaks FRiP Histone_Mark Individual
<chr> <dbl> <dbl> <dbl> <dbl> <chr> <chr>
1 MCW_CT_RO… 11768048 11768048 209413 0.0177 H3K9me3 Ind2
2 MCW_CT_RO… 8366054 8366054 52746 0.0063 H3K9me3 Ind2
3 MCW_CT_RO… 12381024 12381024 234516 0.0189 H3K9me3 Ind3
4 MCW_CT_RO… 13577790 13577790 173868 0.0128 H3K9me3 Ind5
# ℹ 3 more variables: Treatment <chr>, Timepoint <chr>, Count <dbl>
questionable_frip_noModel = all_peak_noModel[(all_peak_noModel$FRiP < 0.02),]
questionable_frip_noModel
# A tibble: 4 × 10
Sample Total_Reads Fragments Reads_in_Peaks FRiP Histone_Mark Individual
<chr> <dbl> <dbl> <dbl> <dbl> <chr> <chr>
1 MCW_CT_RO… 11768048 11768048 209413 0.0177 H3K9me3 Ind2
2 MCW_CT_RO… 8366054 8366054 52746 0.0063 H3K9me3 Ind2
3 MCW_CT_RO… 12381024 12381024 234516 0.0189 H3K9me3 Ind3
4 MCW_CT_RO… 13577790 13577790 173868 0.0128 H3K9me3 Ind5
# ℹ 3 more variables: Treatment <chr>, Timepoint <chr>, Count <dbl>
all_peak <- all_peak %>%
mutate(Sample=paste0(Individual,"_",Treatment,"_",Timepoint,"_",Histone_Mark))
all_peak_noModel <- all_peak_noModel %>%
mutate(Sample=paste0(Individual,"_",Treatment,"_",Timepoint,"_",Histone_Mark))
H3K27ac <- sampleinfo %>%
dplyr::filter(Histone_Mark=="H3K27ac")
cutoff <- data.frame(matrix(nrow = 0, ncol = 6))
colnames(cutoff) = c("Sample", "pscore", "qscore", "npeaks", "lpeaks", "avelpeak")
for (sample in H3K27ac$`Library ID`) {
filename <- paste("data/peaks/H3K27ac/", sample, "_macs3_noModel_cutoff_analysis.txt", sep = "")
temp <- read_delim(filename, delim = "\t")
temp$Sample <- sample
cutoff <- rbind(cutoff, temp)
}
H3K27ac <- left_join(H3K27ac, cutoff, by =c("Library ID"="Sample"))
H3K27ac %>%
ggplot(., aes(x=H3K27ac$qscore, y=H3K27ac$npeaks, color = 'Library ID'))+
geom_line(size=1)+
scale_x_continuous(breaks = seq(0, max(H3K27ac$qscore), by = 1))+
facet_wrap(~`Library ID`, scales = "free", ncol = 5, switch = "y")+
labs(title = "",
x = "Q Score",
y = "Peak Counts",
color= "Sample")+
theme_minimal()

H3K27ac %>%
ggplot(., aes(x=H3K27ac$qscore, y=H3K27ac$lpeaks, color = 'Library ID'))+
geom_line(size=1)+
scale_x_continuous(breaks = seq(0, max(H3K27ac$qscore), by = 1))+
facet_wrap(~`Library ID`, scales = "free", ncol = 5, switch = "y")+
labs(title = "",
x = "Q Score",
y = "Total Peak Lengthss",
color= "Sample")+
theme_minimal()

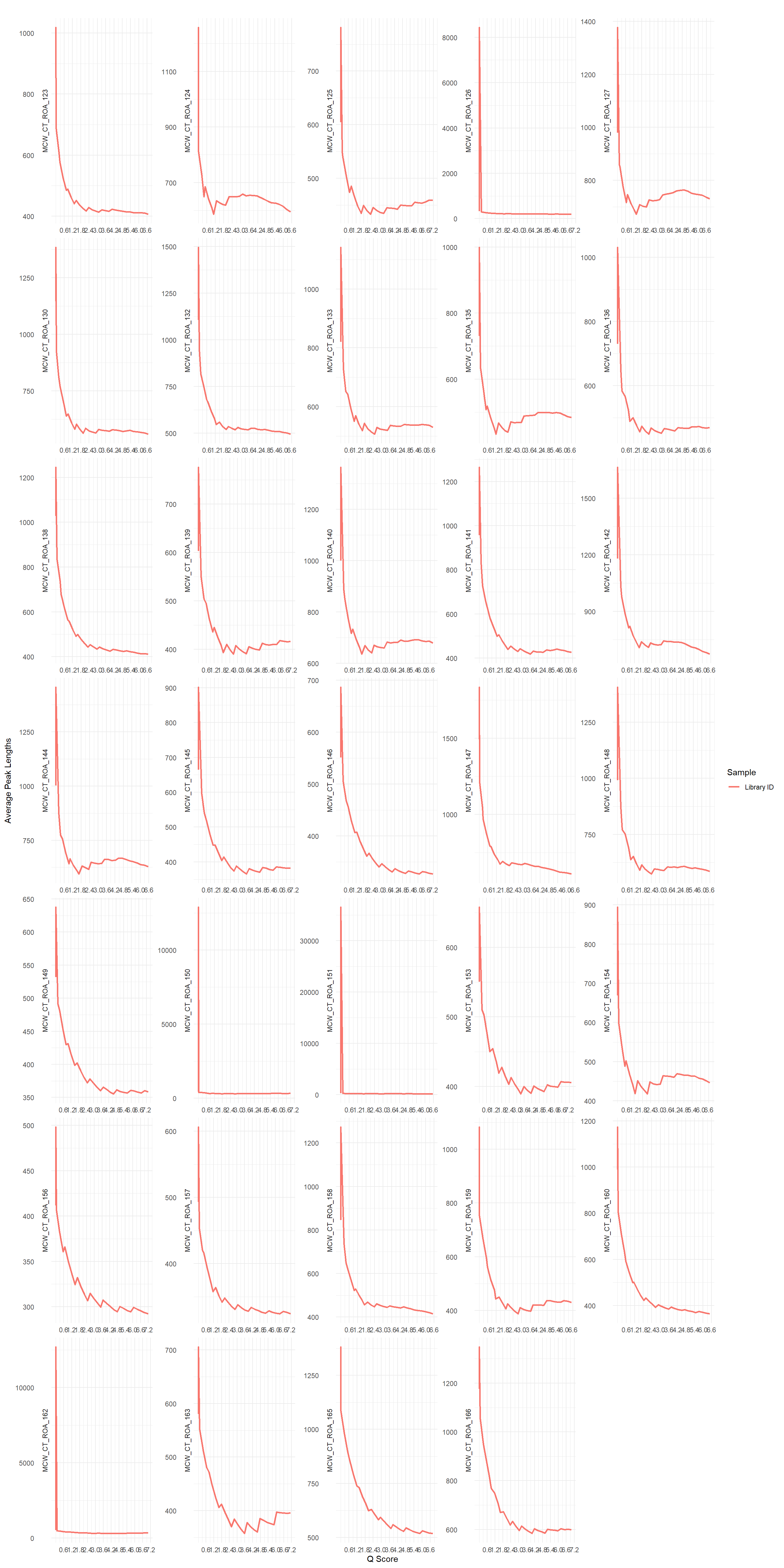
H3K27ac %>%
ggplot(., aes(x=H3K27ac$qscore, y=H3K27ac$avelpeak, color = 'Library ID'))+
geom_line(size=1)+
scale_x_continuous(breaks = seq(0, max(H3K27ac$qscore), by = 1))+
facet_wrap(~`Library ID`, scales = "free", ncol = 5, switch = "y")+
labs(title = "",
x = "Q Score",
y = "Average Peak Lengthss",
color= "Sample")+
theme_minimal()

H3K27me3 <- sampleinfo %>%
dplyr::filter(Histone_Mark=="H3K27me3")
cutoff <- data.frame(matrix(nrow = 0, ncol = 6))
colnames(cutoff) = c("Sample", "pscore", "qscore", "npeaks", "lpeaks", "avelpeak")
for (sample in H3K27me3$`Library ID`) {
filename <- paste("data/peaks/H3K27me3/", sample, "_macs3_cutoff_analysis.txt", sep = "")
temp <- read_delim(filename, delim = "\t")
temp$Sample <- sample
cutoff <- rbind(cutoff, temp)
}
H3K27me3 <- left_join(H3K27me3, cutoff, by =c("Library ID"="Sample"))
H3K27me3 <- H3K27me3[(H3K27me3$pscore >= 0.6),]
H3K27me3 %>%
ggplot(., aes(x=H3K27me3$qscore, y=H3K27me3$npeaks, color = 'Library ID'))+
geom_line(size=1)+
# geom_point(size=2,alpha =0.7)+
scale_x_continuous(breaks = seq(0.6, max(H3K27me3$qscore), by = 0.6))+
facet_wrap(~`Library ID`, scales = "free", ncol = 5, switch = "y")+
labs(title = "",
x = "Q Score",
y = "Peak Counts",
color= "Sample")+
theme_minimal()

H3K27me3 %>%
ggplot(., aes(x=H3K27me3$qscore, y=H3K27me3$lpeaks, color = 'Library ID'))+
geom_line(size=1)+
scale_x_continuous(breaks = seq(0.6, max(H3K27me3$qscore), by = 0.6))+
facet_wrap(~`Library ID`, scales = "free", ncol = 5, switch = "y")+
labs(title = "",
x = "Q Score",
y = "Total Peak Lengths",
color= "Sample")+
theme_minimal()

H3K27me3 %>%
ggplot(., aes(x=H3K27me3$qscore, y=H3K27me3$avelpeak, color = 'Library ID'))+
geom_line(size=1)+
scale_x_continuous(breaks = seq(0.6, max(H3K27me3$qscore), by = 0.6))+
facet_wrap(~`Library ID`, scales = "free", ncol = 5, switch = "y")+
labs(title = "",
x = "Q Score",
y = "Average Peak Lengths",
color= "Sample")+
theme_minimal()

H3K36me3 <- sampleinfo %>%
dplyr::filter(Histone_Mark=="H3K36me3")
cutoff <- data.frame(matrix(nrow = 0, ncol = 6))
colnames(cutoff) = c("Sample", "pscore", "qscore", "npeaks", "lpeaks", "avelpeak")
for (sample in H3K36me3$`Library ID`) {
filename = paste("data/peaks/H3K36me3/", sample, "_macs3_cutoff_analysis.txt", sep = "")
temp <- read_delim(filename, delim = "\t")
temp$Sample <- sample
cutoff <- rbind(cutoff, temp)
}
H3K36me3 <- left_join(H3K36me3, cutoff, by =c("Library ID"="Sample"))
H3K36me3 <- H3K36me3[(H3K36me3$pscore >= 0.6),]
H3K36me3 %>%
ggplot(., aes(x=H3K36me3$qscore, y=H3K36me3$npeaks, color = 'Library ID'))+
geom_line(size=1)+
# geom_point(size=2,alpha =0.7)+
scale_x_continuous(breaks = seq(0.6, max(H3K36me3$qscore), by = 0.6))+
facet_wrap(~`Library ID`, scales = "free", ncol = 5, switch = "y")+
labs(title = "",
x = "Q Score",
y = "Peak Counts",
color= "Sample")+
theme_minimal()

H3K36me3 %>%
ggplot(., aes(x=H3K36me3$qscore, y=H3K36me3$lpeaks, color = 'Library ID'))+
geom_line(size=1)+
scale_x_continuous(breaks = seq(0.6, max(H3K36me3$qscore), by = 0.6))+
facet_wrap(~`Library ID`, scales = "free", ncol = 5, switch = "y")+
labs(title = "",
x = "Q Score",
y = "Total Peak Lengths",
color= "Sample")+
theme_minimal()

H3K36me3 %>%
ggplot(., aes(x=H3K36me3$qscore, y=H3K36me3$avelpeak, color = 'Library ID'))+
geom_line(size=1)+
scale_x_continuous(breaks = seq(0.6, max(H3K36me3$qscore), by =0.6))+
facet_wrap(~`Library ID`, scales = "free", ncol = 5, switch = "y")+
labs(title = "",
x = "Q Score",
y = "Average Peak Lengths",
color= "Sample")+
theme_minimal()

H3K9me3 <- sampleinfo %>%
dplyr::filter(Histone_Mark=="H3K9me3")
cutoff <- data.frame(matrix(nrow = 0, ncol = 6))
colnames(cutoff) = c("Sample", "pscore", "qscore", "npeaks", "lpeaks", "avelpeak")
for (sample in H3K9me3$`Library ID`) {
filename = paste("data/peaks/H3K9me3/", sample, "_macs3_noModel_cutoff_analysis.txt", sep = "")
temp <- read_delim(filename, delim = "\t")
temp$Sample <- sample
cutoff <- rbind(cutoff, temp)
}
H3K9me3 <- left_join(H3K9me3, cutoff, by =c("Library ID"="Sample"))
H3K9me3 %>%
ggplot(., aes(x=H3K9me3$qscore, y=H3K9me3$npeaks, color = 'Library ID'))+
geom_line(size=1)+
# geom_point(size=2,alpha =0.7)+
scale_x_continuous(breaks = seq(0, max(H3K9me3$qscore), by = 1))+
facet_wrap(~`Library ID`, scales = "free", ncol = 5, switch = "y")+
labs(title = "",
x = "Q Score",
y = "Peak Counts",
color= "Sample")+
theme_minimal()

H3K9me3 %>%
ggplot(., aes(x=H3K9me3$qscore, y=H3K9me3$lpeaks, color = 'Library ID'))+
geom_line(size=1)+
scale_x_continuous(breaks = seq(0, max(H3K9me3$qscore), by = 1))+
facet_wrap(~`Library ID`, scales = "free", ncol = 5, switch = "y")+
labs(title = "",
x = "Q Score",
y = "Total Peak Lengths",
color= "Sample")+
theme_minimal()

H3K9me3 %>%
ggplot(., aes(x=H3K9me3$qscore, y=H3K9me3$avelpeak, color = 'Library ID'))+
geom_line(size=1)+
scale_x_continuous(breaks = seq(0, max(H3K9me3$qscore), by = 1))+
facet_wrap(~`Library ID`, scales = "free", ncol = 5, switch = "y")+
labs(title = "",
x = "Q Score",
y = "Average Peak Lengths",
color= "Sample")+
theme_minimal()

#H3K27ac_peaks <- all_peak %>%
# dplyr::filter(Histone_Mark=="H3K27ac") %>%
# dplyr::select()
# cpm(., log = TRUE) %>%
# cor()
#H3K27ac_peaks_noModel <- all_peak_noModel %>%
# dplyr::filter(Histone_Mark=="H3K27ac") %>%
# cpm(., log = TRUE) %>%
# cor()
# Waiting on Peak cutoff analysis and Feature Counts
sessionInfo()
R version 4.5.1 (2025-06-13 ucrt)
Platform: x86_64-w64-mingw32/x64
Running under: Windows 11 x64 (build 26100)
Matrix products: default
LAPACK version 3.12.1
locale:
[1] LC_COLLATE=English_United States.utf8
[2] LC_CTYPE=English_United States.utf8
[3] LC_MONETARY=English_United States.utf8
[4] LC_NUMERIC=C
[5] LC_TIME=English_United States.utf8
time zone: America/Chicago
tzcode source: internal
attached base packages:
[1] stats4 grid stats graphics grDevices utils datasets
[8] methods base
other attached packages:
[1] gcplyr_1.11.0 ggpmisc_0.6.1
[3] ggpp_0.5.9 corrplot_0.95
[5] ggpubr_0.6.1 DESeq2_1.48.1
[7] SummarizedExperiment_1.38.1 Biobase_2.68.0
[9] MatrixGenerics_1.20.0 matrixStats_1.5.0
[11] chromVAR_1.30.1 GenomicRanges_1.60.0
[13] GenomeInfoDb_1.44.0 IRanges_2.42.0
[15] S4Vectors_0.46.0 BiocGenerics_0.54.0
[17] generics_0.1.4 genomation_1.40.1
[19] kableExtra_1.4.0 DT_0.33
[21] viridis_0.6.5 viridisLite_0.4.2
[23] data.table_1.17.6 ComplexHeatmap_2.24.1
[25] edgeR_4.6.2 limma_3.64.1
[27] lubridate_1.9.4 forcats_1.0.0
[29] stringr_1.5.1 dplyr_1.1.4
[31] purrr_1.0.4 readr_2.1.5
[33] tidyr_1.3.1 tibble_3.3.0
[35] ggplot2_3.5.2 tidyverse_2.0.0
[37] workflowr_1.7.1
loaded via a namespace (and not attached):
[1] splines_4.5.1 later_1.4.2
[3] BiocIO_1.18.0 bitops_1.0-9
[5] XML_3.99-0.18 DirichletMultinomial_1.50.0
[7] lifecycle_1.0.4 pwalign_1.4.0
[9] rstatix_0.7.2 doParallel_1.0.17
[11] rprojroot_2.0.4 vroom_1.6.5
[13] MASS_7.3-65 processx_3.8.6
[15] lattice_0.22-7 backports_1.5.0
[17] magrittr_2.0.3 plotly_4.11.0
[19] sass_0.4.10 rmarkdown_2.29
[21] jquerylib_0.1.4 yaml_2.3.10
[23] plotrix_3.8-4 httpuv_1.6.16
[25] DBI_1.2.3 RColorBrewer_1.1-3
[27] abind_1.4-8 RCurl_1.98-1.17
[29] git2r_0.36.2 circlize_0.4.16
[31] GenomeInfoDbData_1.2.14 seqLogo_1.74.0
[33] MatrixModels_0.5-4 svglite_2.2.1
[35] codetools_0.2-20 DelayedArray_0.34.1
[37] xml2_1.3.8 tidyselect_1.2.1
[39] shape_1.4.6.1 UCSC.utils_1.4.0
[41] farver_2.1.2 GenomicAlignments_1.44.0
[43] jsonlite_2.0.0 GetoptLong_1.0.5
[45] Formula_1.2-5 survival_3.8-3
[47] iterators_1.0.14 systemfonts_1.2.3
[49] foreach_1.5.2 tools_4.5.1
[51] TFMPvalue_0.0.9 Rcpp_1.0.14
[53] glue_1.8.0 gridExtra_2.3
[55] SparseArray_1.8.0 xfun_0.52
[57] withr_3.0.2 fastmap_1.2.0
[59] SparseM_1.84-2 callr_3.7.6
[61] caTools_1.18.3 digest_0.6.37
[63] timechange_0.3.0 R6_2.6.1
[65] mime_0.13 seqPattern_1.40.0
[67] textshaping_1.0.1 colorspace_2.1-1
[69] gtools_3.9.5 RSQLite_2.4.1
[71] utf8_1.2.6 rtracklayer_1.68.0
[73] httr_1.4.7 htmlwidgets_1.6.4
[75] S4Arrays_1.8.1 TFBSTools_1.46.0
[77] whisker_0.4.1 pkgconfig_2.0.3
[79] gtable_0.3.6 blob_1.2.4
[81] impute_1.82.0 XVector_0.48.0
[83] htmltools_0.5.8.1 carData_3.0-5
[85] clue_0.3-66 scales_1.4.0
[87] png_0.1-8 knitr_1.50
[89] rstudioapi_0.17.1 tzdb_0.5.0
[91] reshape2_1.4.4 rjson_0.2.23
[93] curl_6.4.0 cachem_1.1.0
[95] GlobalOptions_0.1.2 KernSmooth_2.23-26
[97] parallel_4.5.1 miniUI_0.1.2
[99] restfulr_0.0.16 pillar_1.11.0
[101] vctrs_0.6.5 promises_1.3.3
[103] car_3.1-3 xtable_1.8-4
[105] cluster_2.1.8.1 evaluate_1.0.4
[107] cli_3.6.5 locfit_1.5-9.12
[109] compiler_4.5.1 Rsamtools_2.24.0
[111] rlang_1.1.6 crayon_1.5.3
[113] ggsignif_0.6.4 labeling_0.4.3
[115] ps_1.9.1 getPass_0.2-4
[117] plyr_1.8.9 fs_1.6.6
[119] stringi_1.8.7 gridBase_0.4-7
[121] BiocParallel_1.42.1 Biostrings_2.76.0
[123] lazyeval_0.2.2 quantreg_6.1
[125] Matrix_1.7-3 BSgenome_1.76.0
[127] hms_1.1.3 bit64_4.6.0-1
[129] statmod_1.5.0 shiny_1.11.1
[131] broom_1.0.8 memoise_2.0.1
[133] bslib_0.9.0 bit_4.6.0
[135] polynom_1.4-1