Last updated: 2025-07-24

Checks: 7 0

Knit directory: WardLab/

This reproducible R Markdown analysis was created with workflowr (version 1.7.1). The Checks tab describes the reproducibility checks that were applied when the results were created. The Past versions tab lists the development history.


Great! Since the R Markdown file has been committed to the Git repository, you know the exact version of the code that produced these results.

Great job! The global environment was empty. Objects defined in the global environment can affect the analysis in your R Markdown file in unknown ways. For reproduciblity it’s best to always run the code in an empty environment.

The command set.seed(20250701) was run prior to running the code in the R Markdown file. Setting a seed ensures that any results that rely on randomness, e.g. subsampling or permutations, are reproducible.

Great job! Recording the operating system, R version, and package versions is critical for reproducibility.

Nice! There were no cached chunks for this analysis, so you can be confident that you successfully produced the results during this run.

Great job! Using relative paths to the files within your workflowr project makes it easier to run your code on other machines.

Great! You are using Git for version control. Tracking code development and connecting the code version to the results is critical for reproducibility.

The results in this page were generated with repository version 5fae1b0. See the Past versions tab to see a history of the changes made to the R Markdown and HTML files.

Note that you need to be careful to ensure that all relevant files for the analysis have been committed to Git prior to generating the results (you can use wflow_publish or wflow_git_commit). workflowr only checks the R Markdown file, but you know if there are other scripts or data files that it depends on. Below is the status of the Git repository when the results were generated:


Ignored files:
    Ignored:    .Rhistory
    Ignored:    .Rproj.user/

Untracked files:
    Untracked:  data/RUVs_DEG.tsv
    Untracked:  data/bam_final/
    Untracked:  data/bam_no_multi/
    Untracked:  data/cutoffs.tsv
    Untracked:  data/metadata.txt
    Untracked:  data/multiqc_data_trim/
    Untracked:  data/peaks/
    Untracked:  data/sample_info.tsv
    Untracked:  data/sams/

Unstaged changes:
    Modified:   README.md

Note that any generated files, e.g. HTML, png, CSS, etc., are not included in this status report because it is ok for generated content to have uncommitted changes.


These are the previous versions of the repository in which changes were made to the R Markdown (analysis/peak_analysis.Rmd) and HTML (docs/peak_analysis.html) files. If you’ve configured a remote Git repository (see ?wflow_git_remote), click on the hyperlinks in the table below to view the files as they were in that past version.

File Version Author Date Message
Rmd 5fae1b0 infurnoheat 2025-07-24 wflow_publish("analysis/peak_analysis.Rmd")
html 389b998 infurnoheat 2025-07-23 Build site.
Rmd 1295ae0 infurnoheat 2025-07-23 wflow_publish("analysis/peak_analysis.Rmd")
html d927f5c infurnoheat 2025-07-23 Build site.
Rmd d2f7f9a infurnoheat 2025-07-23 wflow_publish("analysis/peak_analysis.Rmd")
html 3c5800a infurnoheat 2025-07-22 Build site.
Rmd 0edadf3 infurnoheat 2025-07-22 wflow_publish("analysis/peak_analysis.Rmd")
html 29d666e infurnoheat 2025-07-15 Build site.
Rmd dd8be1d infurnoheat 2025-07-15 wflow_publish("analysis/peak_analysis.Rmd")
html 1d53459 infurnoheat 2025-07-14 Build site.
Rmd 7067e5d infurnoheat 2025-07-14 wflow_publish("analysis/peak_analysis.Rmd")

Peak Anaylsis

Loading Packages

library(tidyverse)
library(readr)
library(edgeR)
library(ComplexHeatmap)
library(data.table)
library(dplyr)
library(stringr)
library(ggplot2)
library(viridis)
library(DT)
library(kableExtra)
library(genomation)
library(GenomicRanges)
library(chromVAR) ## For FRiP analysis and differential analysis
library(DESeq2) ## For differential analysis section
library(ggpubr) ## For customizing figures
library(corrplot) ## For correlation plot
library(ggpmisc)
library(gcplyr)
library(Rsubread)

Data Initialization

sampleinfo <- read_delim("data/sample_info.tsv", delim = "\t")
multiqc_gene_stats_trim <- read_delim("data/multiqc_data_trim/multiqc_general_stats.txt",delim = "\t")
multiqc_fastqc_trim <- read_delim("data/multiqc_data_trim/multiqc_fastqc.txt",delim = "\t")

Functions

drug_pal <- c("#8B006D","#DF707E","#F1B72B", "#3386DD","#707031","#41B333")
pca_plot <-
  function(df,
           col_var = NULL,
           shape_var = NULL,
           title = "") {
    ggplot(df) + geom_point(aes_string(
      x = "PC1",
      y = "PC2",
      color = col_var,
      shape = shape_var
    ),
    size = 5) +
      labs(title = title, x = "PC 1", y = "PC 2") +
      scale_color_manual(values = c(
        "#8B006D",
        "#DF707E",
        "#F1B72B",
        "#3386DD",
        "#707031",
        "#41B333"
      ))
  }
pca_var_plot <- function(pca) {
  # x: class == prcomp
  pca.var <- pca$sdev ^ 2
  pca.prop <- pca.var / sum(pca.var)
  var.plot <-
    qplot(PC, prop, data = data.frame(PC = 1:length(pca.prop),
                                      prop = pca.prop)) +
    labs(title = 'Variance contributed by each PC',
         x = 'PC', y = 'Proportion of variance')
  plot(var.plot)
}

calc_pca <- function(x) {
  # Performs principal components analysis with prcomp
  # x: a sample-by-gene numeric matrix
  prcomp(x, scale. = TRUE, retx = TRUE)
}

get_regr_pval <- function(mod) {
  # Returns the p-value for the Fstatistic of a linear model
  # mod: class lm
  stopifnot(class(mod) == "lm")
  fstat <- summary(mod)$fstatistic
  pval <- 1 - pf(fstat[1], fstat[2], fstat[3])
  return(pval)
}

plot_versus_pc <- function(df, pc_num, fac) {
  # df: data.frame
  # pc_num: numeric, specific PC for plotting
  # fac: column name of df for plotting against PC
  pc_char <- paste0("PC", pc_num)
  # Calculate F-statistic p-value for linear model
  pval <- get_regr_pval(lm(df[, pc_char] ~ df[, fac]))
  if (is.numeric(df[, f])) {
    ggplot(df, aes_string(x = f, y = pc_char)) + geom_point() +
      geom_smooth(method = "lm") + labs(title = sprintf("p-val: %.2f", pval))
  } else {
    ggplot(df, aes_string(x = f, y = pc_char)) + geom_boxplot() +
      labs(title = sprintf("p-val: %.2f", pval))
  }
}
x_axis_labels = function(labels, every_nth = 1, ...) {
  axis(side = 1,
       at = seq_along(labels),
       labels = F)
  text(
    x = (seq_along(labels))[seq_len(every_nth) == 1],
    y = par("usr")[3] - 0.075 * (par("usr")[4] - par("usr")[3]),
    labels = labels[seq_len(every_nth) == 1],
    xpd = TRUE,
    ...
  )
}

Peak Calling for Q=0.01 and Broad=0.1 with No Lambda

Data Initialization

peak_ct <- read_delim("data/peaks/peaks_cts.txt", delim = "\t")
H3K27ac_peaks <- read_delim("data/peaks/H3K27ac_final_results.tsv",delim = "\t")
H3K27me3_peaks <- read_delim("data/peaks/H3K27me3_final_results.tsv",delim = "\t")
H3K36me3_peaks <- read_delim("data/peaks/H3K36me3_final_results.tsv",delim = "\t")
H3K9me3_peaks <- read_delim("data/peaks/H3K9me3_final_results.tsv",delim = "\t")

all_peak <- rbind(H3K27ac_peaks, H3K27me3_peaks, H3K36me3_peaks, H3K9me3_peaks)

all_peak <- all_peak %>%
  dplyr::select(Sample, Total_Reads, Fragments, Reads_in_Peaks, FRiP) %>%
  left_join(.,sampleinfo, by=c("Sample"="Library ID")) %>%
  left_join(.,peak_ct, by=c("Sample"="Sample"))
all_peak <- all_peak[(!all_peak$Treatment %in% "5FU"),]

Peak Visualization

all_peak %>% 
   ggplot(.,aes(x=Sample, y=Count,fill=Histone_Mark))+
   geom_col()+
   ylab("Count")+
   theme_classic()+
  # facet_wrap(~histone)+
  ggtitle("Peak number for all samples")+ 
  theme(axis.text.x=element_text(vjust = .2,angle=90))+
  scale_y_continuous( expand = expansion(mult = c(0, .1)))

Version Author Date
3c5800a infurnoheat 2025-07-22
1d53459 infurnoheat 2025-07-14
all_peak %>% 
  ggplot(., aes (x=Histone_Mark, y = Count, fill = Histone_Mark))+
  geom_boxplot()+
   ylab("Count")+
   theme_classic()+
  # facet_wrap(~histone)+
  ggtitle("Peak count across histones")

Version Author Date
3c5800a infurnoheat 2025-07-22
1d53459 infurnoheat 2025-07-14
all_peak %>% 
  ggplot(., aes (x=Treatment, y = Count, fill = Histone_Mark))+
  geom_boxplot()+
   ylab("Count")+
   theme_classic()+
  # facet_wrap(~histone)+
  ggtitle("Peak count across histones")

Version Author Date
3c5800a infurnoheat 2025-07-22
1d53459 infurnoheat 2025-07-14
all_peak %>% 
  ggplot(., aes (x=Timepoint, y = Count, fill = Histone_Mark))+
  geom_boxplot()+
   ylab("Count")+
   theme_classic()+
  # facet_wrap(~histone)+
  ggtitle("Peak count across histones")

Version Author Date
3c5800a infurnoheat 2025-07-22
1d53459 infurnoheat 2025-07-14

Peak Calling for Q=0.01 and Broad=0.1 with Lambda

Data Initialization

peak_ct <- read_delim("data/peaks/peaks_cts_lq1e2b1e1.txt", delim = "\t")
H3K27ac_peaks <- read_delim("data/peaks/H3K27ac_final_results.tsv",delim = "\t")
H3K27me3_peaks <- read_delim("data/peaks/H3K27me3_lq1e2b1e1_results.tsv",delim = "\t")
H3K36me3_peaks <- read_delim("data/peaks/H3K36me3_lq1e2b1e1_results.tsv",delim = "\t")
H3K9me3_peaks <- read_delim("data/peaks/H3K9me3_lq1e2b1e1_results.tsv",delim = "\t")

all_peak_var <- rbind(H3K27ac_peaks, H3K27me3_peaks, H3K36me3_peaks, H3K9me3_peaks)

all_peak_var <- all_peak_var %>%
  dplyr::select(Sample, Total_Reads, Fragments, Reads_in_Peaks, FRiP) %>%
  left_join(.,sampleinfo, by=c("Sample"="Library ID")) %>%
  left_join(.,peak_ct, by=c("Sample"="Sample"))
all_peak_var <- all_peak_var[(!all_peak_var$Treatment %in% "5FU"),]
all_peak_var <- all_peak_var[(!all_peak_var$Histone_Mark %in% "H3K27ac"),]

Peak Visualization

all_peak_var %>% 
   ggplot(.,aes(x=Sample, y=Count,fill=Histone_Mark))+
   geom_col()+
   ylab("Count")+
   theme_classic()+
  # facet_wrap(~histone)+
  ggtitle("Peak number for all samples")+ 
  theme(axis.text.x=element_text(vjust = .2,angle=90))+
  scale_y_continuous( expand = expansion(mult = c(0, .1)))

Version Author Date
3c5800a infurnoheat 2025-07-22
all_peak_var %>% 
  ggplot(., aes (x=Histone_Mark, y = Count, fill = Histone_Mark))+
  geom_boxplot()+
   ylab("Count")+
   theme_classic()+
  # facet_wrap(~histone)+
  ggtitle("Peak count across histones")

Version Author Date
3c5800a infurnoheat 2025-07-22
all_peak_var %>% 
  ggplot(., aes (x=Treatment, y = Count, fill = Histone_Mark))+
  geom_boxplot()+
   ylab("Count")+
   theme_classic()+
  # facet_wrap(~histone)+
  ggtitle("Peak count across histones")

Version Author Date
3c5800a infurnoheat 2025-07-22
all_peak_var %>% 
  ggplot(., aes (x=Timepoint, y = Count, fill = Histone_Mark))+
  geom_boxplot()+
   ylab("Count")+
   theme_classic()+
  # facet_wrap(~histone)+
  ggtitle("Peak count across histones")

Version Author Date
3c5800a infurnoheat 2025-07-22

Peak Calling for Q=0.01 and Broad=0.5 with No Lambda

Data Initialization

peak_ct <- read_delim("data/peaks/peaks_cts_nlq1e2b5e1.txt", delim = "\t")
H3K27ac_peaks <- read_delim("data/peaks/H3K27ac_final_results.tsv",delim = "\t")
H3K27me3_peaks <- read_delim("data/peaks/H3K27me3_nlq1e2b5e1_results.tsv",delim = "\t")
H3K36me3_peaks <- read_delim("data/peaks/H3K36me3_nlq1e2b5e1_results.tsv",delim = "\t")
H3K9me3_peaks <- read_delim("data/peaks/H3K9me3_nlq1e2b5e1_results.tsv",delim = "\t")

all_peak_var <- rbind(H3K27ac_peaks, H3K27me3_peaks, H3K36me3_peaks, H3K9me3_peaks)

all_peak_var <- all_peak_var %>%
  dplyr::select(Sample, Total_Reads, Fragments, Reads_in_Peaks, FRiP) %>%
  left_join(.,sampleinfo, by=c("Sample"="Library ID")) %>%
  left_join(.,peak_ct, by=c("Sample"="Sample"))
all_peak_var <- all_peak[(!all_peak$Treatment %in% "5FU"),]
all_peak_var <- all_peak_var[(!all_peak_var$Histone_Mark %in% "H3K27ac"),]

Peak Visualization

all_peak_var %>% 
   ggplot(.,aes(x=Sample, y=Count,fill=Histone_Mark))+
   geom_col()+
   ylab("Counts")+
   theme_classic()+
  # facet_wrap(~histone)+
  ggtitle("Peak number for all samples")+ 
  theme(axis.text.x=element_text(vjust = .2,angle=90))+
  scale_y_continuous( expand = expansion(mult = c(0, .1)))

Version Author Date
3c5800a infurnoheat 2025-07-22
all_peak_var %>% 
  ggplot(., aes (x=Histone_Mark, y = Count, fill = Histone_Mark))+
  geom_boxplot()+
   ylab("Count")+
   theme_classic()+
  # facet_wrap(~histone)+
  ggtitle("Peak count across histones")

Version Author Date
3c5800a infurnoheat 2025-07-22
all_peak_var %>% 
  ggplot(., aes (x=Treatment, y = Count, fill = Histone_Mark))+
  geom_boxplot()+
   ylab("Count")+
   theme_classic()+
  # facet_wrap(~histone)+
  ggtitle("Peak count across histones")

Version Author Date
3c5800a infurnoheat 2025-07-22
all_peak_var %>% 
  ggplot(., aes (x=Timepoint, y = Count, fill = Histone_Mark))+
  geom_boxplot()+
   ylab("Count")+
   theme_classic()+
  # facet_wrap(~histone)+
  ggtitle("Peak count across histones")

Version Author Date
3c5800a infurnoheat 2025-07-22

Peak Calling for Q=0.01 and Broad=0.5 with Lambda

Data Initialization

peak_ct_var <- read_delim("data/peaks/peaks_cts_lq1e2b5e1.txt", delim = "\t")
H3K27ac_peaks <- read_delim("data/peaks/H3K27ac_final_results.tsv",delim = "\t")
H3K27me3_peaks <- read_delim("data/peaks/H3K27me3_lq1e2b5e1_results.tsv",delim = "\t")
H3K36me3_peaks <- read_delim("data/peaks/H3K36me3_lq1e2b5e1_results.tsv",delim = "\t")
H3K9me3_peaks <- read_delim("data/peaks/H3K9me3_lq1e2b5e1_results.tsv",delim = "\t")

all_peak_var <- rbind(H3K27ac_peaks, H3K27me3_peaks, H3K36me3_peaks, H3K9me3_peaks)

all_peak_var <- all_peak_var %>%
  dplyr::select(Sample, Total_Reads, Fragments, Reads_in_Peaks, FRiP) %>%
  left_join(.,sampleinfo, by=c("Sample"="Library ID")) %>%
  left_join(.,peak_ct, by=c("Sample"="Sample"))
all_peak_var <- all_peak_var[(!all_peak_var$Treatment %in% "5FU"),]
all_peak_var <- all_peak_var[(!all_peak_var$Histone_Mark %in% "H3K27ac"),]

Peak Visualization

all_peak_var %>% 
   ggplot(.,aes(x=Sample, y=Count,fill=Histone_Mark))+
   geom_col()+
   ylab("Count")+
   theme_classic()+
  # facet_wrap(~histone)+
  ggtitle("Peak number for all samples")+ 
  theme(axis.text.x=element_text(vjust = .2,angle=90))+
  scale_y_continuous( expand = expansion(mult = c(0, .1)))

Version Author Date
3c5800a infurnoheat 2025-07-22
all_peak_var %>% 
  ggplot(., aes (x=Histone_Mark, y = Count, fill = Histone_Mark))+
  geom_boxplot()+
   ylab("Count")+
   theme_classic()+
  # facet_wrap(~histone)+
  ggtitle("Peak count across histones")

Version Author Date
3c5800a infurnoheat 2025-07-22
all_peak_var %>% 
  ggplot(., aes (x=Treatment, y = Count, fill = Histone_Mark))+
  geom_boxplot()+
   ylab("Count")+
   theme_classic()+
  # facet_wrap(~histone)+
  ggtitle("Peak count across histones")

Version Author Date
3c5800a infurnoheat 2025-07-22
all_peak_var %>% 
  ggplot(., aes (x=Timepoint, y = Count, fill = Histone_Mark))+
  geom_boxplot()+
   ylab("Count")+
   theme_classic()+
  # facet_wrap(~histone)+
  ggtitle("Peak count across histones")

Version Author Date
3c5800a infurnoheat 2025-07-22

Peak Calling for Q=0.005 and Broad=0.01 with No Lambda

Data Initialization

peak_ct <- read_delim("data/peaks/peaks_cts_nlq5e3b1e2.txt", delim = "\t")
H3K27ac_peaks <- read_delim("data/peaks/H3K27ac_final_results.tsv",delim = "\t")
H3K27me3_peaks <- read_delim("data/peaks/H3K27me3_nlq5e3b1e2_results.tsv",delim = "\t")
H3K36me3_peaks <- read_delim("data/peaks/H3K36me3_nlq5e3b1e2_results.tsv",delim = "\t")
H3K9me3_peaks <- read_delim("data/peaks/H3K9me3_nlq5e3b1e2_results.tsv",delim = "\t")

all_peak_var <- rbind(H3K27ac_peaks, H3K27me3_peaks, H3K36me3_peaks, H3K9me3_peaks)

all_peak_var <- all_peak_var %>%
  dplyr::select(Sample, Total_Reads, Fragments, Reads_in_Peaks, FRiP) %>%
  left_join(.,sampleinfo, by=c("Sample"="Library ID")) %>%
  left_join(.,peak_ct, by=c("Sample"="Sample"))
all_peak_var <- all_peak_var[(!all_peak_var$Treatment %in% "5FU"),]
all_peak_var <- all_peak_var[(!all_peak_var$Histone_Mark %in% "H3K27ac"),]

Peak Visualization

all_peak_var %>% 
   ggplot(.,aes(x=Sample, y=Count,fill=Histone_Mark))+
   geom_col()+
   ylab("Count")+
   theme_classic()+
  # facet_wrap(~histone)+
  ggtitle("Peak number for all samples")+ 
  theme(axis.text.x=element_text(vjust = .2,angle=90))+
  scale_y_continuous( expand = expansion(mult = c(0, .1)))

Version Author Date
3c5800a infurnoheat 2025-07-22
all_peak_var %>% 
  ggplot(., aes (x=Histone_Mark, y = Count, fill = Histone_Mark))+
  geom_boxplot()+
   ylab("Count")+
   theme_classic()+
  # facet_wrap(~histone)+
  ggtitle("Peak count across histones")

Version Author Date
3c5800a infurnoheat 2025-07-22
all_peak_var %>% 
  ggplot(., aes (x=Treatment, y = Count, fill = Histone_Mark))+
  geom_boxplot()+
   ylab("Count")+
   theme_classic()+
  # facet_wrap(~histone)+
  ggtitle("Peak count across histones")

Version Author Date
3c5800a infurnoheat 2025-07-22
all_peak_var %>% 
  ggplot(., aes (x=Timepoint, y = Count, fill = Histone_Mark))+
  geom_boxplot()+
   ylab("Count")+
   theme_classic()+
  # facet_wrap(~histone)+
  ggtitle("Peak count across histones")

Version Author Date
3c5800a infurnoheat 2025-07-22

Peak Calling for Q=0.005 and Broad=0.01 with Lambda

Data Initializationx

peak_ct <- read_delim("data/peaks/peaks_cts_lq5e3b1e2.txt", delim = "\t")
H3K27ac_peaks <- read_delim("data/peaks/H3K27ac_final_results.tsv",delim = "\t")
H3K27me3_peaks <- read_delim("data/peaks/H3K27me3_lq5e3b1e2_results.tsv",delim = "\t")
H3K36me3_peaks <- read_delim("data/peaks/H3K36me3_lq5e3b1e2_results.tsv",delim = "\t")
H3K9me3_peaks <- read_delim("data/peaks/H3K9me3_lq5e3b1e2_results.tsv",delim = "\t")

all_peak_var <- rbind(H3K27ac_peaks, H3K27me3_peaks, H3K36me3_peaks, H3K9me3_peaks)

all_peak_var <- all_peak_var %>%
  dplyr::select(Sample, Total_Reads, Fragments, Reads_in_Peaks, FRiP) %>%
  left_join(.,sampleinfo, by=c("Sample"="Library ID")) %>%
  left_join(.,peak_ct, by=c("Sample"="Sample"))
all_peak_var <- all_peak_var[(!all_peak_var$Treatment %in% "5FU"),]
all_peak_var <- all_peak_var[(!all_peak_var$Histone_Mark %in% "H3K27ac"),]

Peak Visualization

all_peak_var %>% 
   ggplot(.,aes(x=Sample, y=Count,fill=Histone_Mark))+
   geom_col()+
   ylab("Count")+
   theme_classic()+
  # facet_wrap(~histone)+
  ggtitle("Peak number for all samples")+ 
  theme(axis.text.x=element_text(vjust = .2,angle=90))+
  scale_y_continuous( expand = expansion(mult = c(0, .1)))

Version Author Date
3c5800a infurnoheat 2025-07-22
all_peak_var %>% 
  ggplot(., aes (x=Histone_Mark, y = Count, fill = Histone_Mark))+
  geom_boxplot()+
   ylab("Count")+
   theme_classic()+
  # facet_wrap(~histone)+
  ggtitle("Peak count across histones")

Version Author Date
3c5800a infurnoheat 2025-07-22
all_peak_var %>% 
  ggplot(., aes (x=Treatment, y = Count, fill = Histone_Mark))+
  geom_boxplot()+
   ylab("Count")+
   theme_classic()+
  # facet_wrap(~histone)+
  ggtitle("Peak count across histones")

Version Author Date
3c5800a infurnoheat 2025-07-22
all_peak_var %>% 
  ggplot(., aes (x=Timepoint, y = Count, fill = Histone_Mark))+
  geom_boxplot()+
   ylab("Count")+
   theme_classic()+
  # facet_wrap(~histone)+
  ggtitle("Peak count across histones")

Version Author Date
3c5800a infurnoheat 2025-07-22

Tagging Questionable Libraries by FRiP

questionable_frip = all_peak[(all_peak$FRiP < 0.02),]
questionable_frip
# A tibble: 0 × 10
# ℹ 10 variables: Sample <chr>, Total_Reads <dbl>, Fragments <dbl>,
#   Reads_in_Peaks <dbl>, FRiP <dbl>, Histone_Mark <chr>, Individual <chr>,
#   Treatment <chr>, Timepoint <chr>, Count <dbl>
all_peak <- all_peak %>%
  mutate(Sample=paste0(Individual,"_",Treatment,"_",Timepoint,"_",Histone_Mark))

Feature Counts

featurects_merged <- read_delim("data/peaks/H3K27ac_merged_counts.txt", 
    delim = "\t", escape_double = FALSE, 
    trim_ws = TRUE, skip = 1)
featurects_cluster <- read_delim("data/peaks/H3K27ac_cluster_counts.txt", 
    delim = "\t", escape_double = FALSE, 
    trim_ws = TRUE, skip = 1)
featurects_iter <- read_delim("data/peaks/H3K27ac_iter_counts.txt", 
    delim = "\t", escape_double = FALSE, 
    trim_ws = TRUE, skip = 1)
rename_list <- sampleinfo %>% 
  mutate(stem= "_nobl.bam") %>% 
  mutate(prefix=paste0("/scratch/10819/styu/MW_multiQC/peaks/",Histone_Mark,"/",Treatment,"/",Timepoint,"/")) %>%
  mutate(oldname=paste0(prefix,`Library ID`,"/",`Library ID`,stem)) %>% 
  mutate(newname=paste0(Individual,"_",Treatment,"_",Timepoint,"_",Histone_Mark)) %>% 
  dplyr::select(oldname,newname)
rename_vec <- setNames(rename_list$newname, rename_list$oldname)
names(featurects_merged)[names(featurects_merged) %in% names(rename_vec)] <- rename_vec[names(featurects_merged)[names(featurects_merged) %in% names(rename_vec)]]
names(featurects_cluster)[names(featurects_cluster) %in% names(rename_vec)] <- rename_vec[names(featurects_cluster)[names(featurects_cluster) %in% names(rename_vec)]]
names(featurects_iter)[names(featurects_iter) %in% names(rename_vec)] <- rename_vec[names(featurects_iter)[names(featurects_iter) %in% names(rename_vec)]]

H3K27ac Count Analysis

H3K27ac_merged_raw <- featurects_merged %>% 
  dplyr::select(Geneid,contains("Ind")) %>% 
  column_to_rownames("Geneid") %>% 
  as.matrix()

H3K27ac_cluster_raw <- featurects_cluster %>% 
  dplyr::select(Geneid,contains("Ind")) %>% 
  column_to_rownames("Geneid") %>% 
  as.matrix()

H3K27ac_iter_raw <- featurects_iter %>% 
  dplyr::select(Geneid,contains("Ind")) %>% 
  column_to_rownames("Geneid") %>% 
  as.matrix()

H3K27ac_merged_cor <- featurects_merged %>% 
  dplyr::select(Geneid,contains("Ind")) %>% 
  column_to_rownames("Geneid") %>% 
  cpm(., log = TRUE) %>% 
  cor()

H3K27ac_cluster_cor <- featurects_cluster %>% 
  dplyr::select(Geneid,contains("Ind")) %>% 
  column_to_rownames("Geneid") %>% 
  cpm(., log = TRUE) %>% 
  cor()

H3K27ac_iter_cor <- featurects_iter %>% 
  dplyr::select(Geneid,contains("Ind")) %>% 
  column_to_rownames("Geneid") %>% 
  cpm(., log = TRUE) %>% 
  cor()

annomat <- data.frame(sample=colnames(H3K27ac_merged_cor)) %>% 
  separate_wider_delim(sample,delim="_",names=c("Ind","Treatment","Timepoint",NA),cols_remove = FALSE) %>% 
  mutate(Treatment=factor(Treatment, levels = c("VEH","5FU","DOX")),
         Timepoint=factor(Timepoint, levels =c("24T","24R","144R"))) %>% 
  column_to_rownames("sample")
heatmap_first <- ComplexHeatmap::HeatmapAnnotation(df = annomat)

Heatmap(H3K27ac_merged_cor, 
        top_annotation = heatmap_first,
        column_title="Unfiltered log2cpm H3K27ac")

Version Author Date
389b998 infurnoheat 2025-07-23
d927f5c infurnoheat 2025-07-23
annomat <- data.frame(sample=colnames(H3K27ac_cluster_cor)) %>% 
  separate_wider_delim(sample,delim="_",names=c("Ind","Treatment","Timepoint",NA),cols_remove = FALSE) %>% 
  mutate(Treatment=factor(Treatment, levels = c("VEH","5FU","DOX")),
         Timepoint=factor(Timepoint, levels =c("24T","24R","144R"))) %>% 
  column_to_rownames("sample")
heatmap_first <- ComplexHeatmap::HeatmapAnnotation(df = annomat)

Heatmap(H3K27ac_cluster_cor, 
        top_annotation = heatmap_first,
        column_title="Unfiltered log2cpm H3K27ac")

Version Author Date
389b998 infurnoheat 2025-07-23
d927f5c infurnoheat 2025-07-23
annomat <- data.frame(sample=colnames(H3K27ac_iter_cor)) %>% 
  separate_wider_delim(sample,delim="_",names=c("Ind","Treatment","Timepoint",NA),cols_remove = FALSE) %>% 
  mutate(Treatment=factor(Treatment, levels = c("VEH","5FU","DOX")),
         Timepoint=factor(Timepoint, levels =c("24T","24R","144R"))) %>% 
  column_to_rownames("sample")
heatmap_first <- ComplexHeatmap::HeatmapAnnotation(df = annomat)

Heatmap(H3K27ac_iter_cor, 
        top_annotation = heatmap_first,
        column_title="Unfiltered log2cpm H3K27ac")

Version Author Date
389b998 infurnoheat 2025-07-23
d927f5c infurnoheat 2025-07-23

H3K27ac Fragments

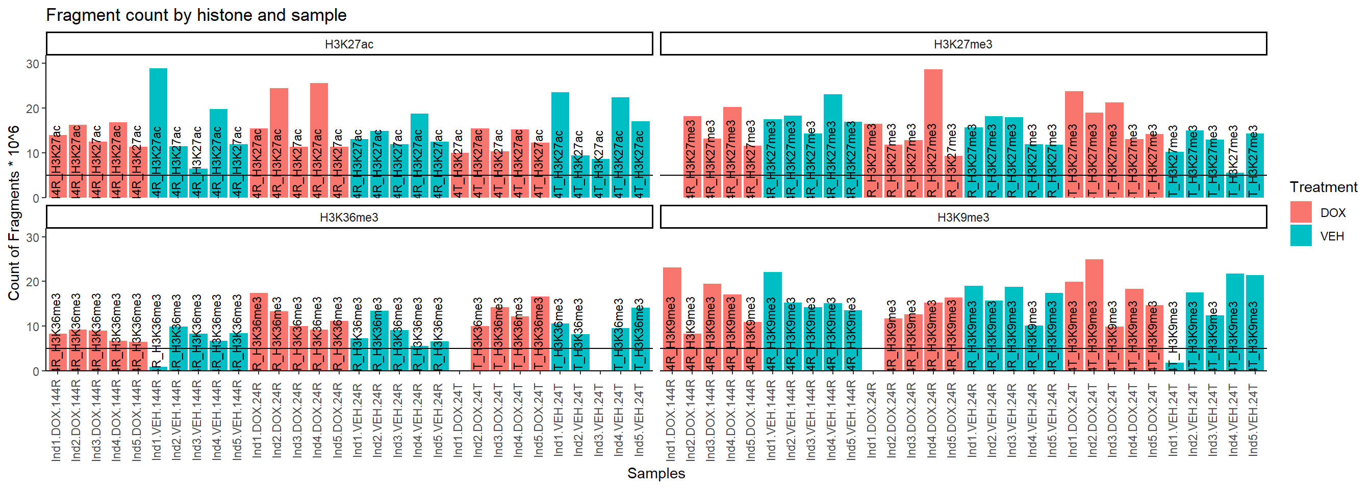
all_peak %>%
  mutate(Fragments=Fragments/1000000) %>% 
  ggplot(., aes(x=interaction(Individual,Treatment,Timepoint), y=Fragments, fill=Treatment, group = Treatment))+
  geom_col()+
  geom_hline(yintercept =5)+
  geom_text(aes(y = 0,label = Sample), vjust = 0.2, size = 3, angle = 90)+
  theme_classic()+
  facet_wrap(~Histone_Mark)+
  ggtitle("Fragment count by histone and sample")+
  ylab("Count of Fragments * 10^6")+
  xlab("Samples")+
  theme(axis.text.x=element_text(vjust = .2,angle=90))+
  scale_y_continuous( expand = expansion(mult = c(0, .1)))

Version Author Date
389b998 infurnoheat 2025-07-23
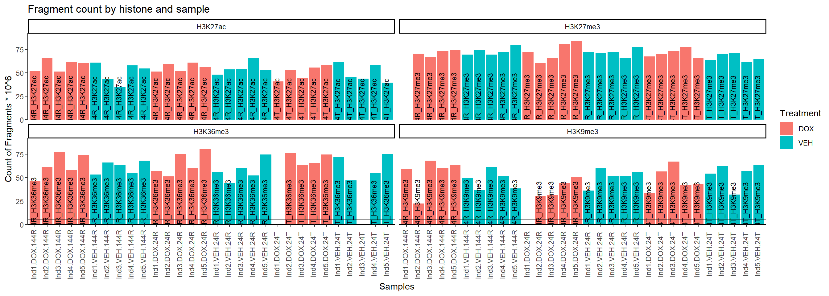
all_peak %>%
  mutate(FRiP=FRiP * 100) %>% 
  ggplot(., aes(x=interaction(Individual,Treatment,Timepoint), y=FRiP, fill=Treatment, group = Treatment))+
  geom_col()+
  geom_hline(yintercept =5)+
  geom_text(aes(y = 0,label = Sample), vjust = 0.2, size = 3, angle = 90)+
  theme_classic()+
  facet_wrap(~Histone_Mark)+
  ggtitle("Fragment count by histone and sample")+
  ylab("Count of Fragments * 10^6")+
  xlab("Samples")+
  theme(axis.text.x=element_text(vjust = .2,angle=90))+
  scale_y_continuous( expand = expansion(mult = c(0, .1)))

Version Author Date
389b998 infurnoheat 2025-07-23

H3K27me3 Count Analysis

H3K36me3 Count Analysis

H3K9me3 Count Analysis


sessionInfo()
R version 4.5.1 (2025-06-13 ucrt)
Platform: x86_64-w64-mingw32/x64
Running under: Windows 11 x64 (build 26100)

Matrix products: default
  LAPACK version 3.12.1

locale:
[1] LC_COLLATE=English_United States.utf8 
[2] LC_CTYPE=English_United States.utf8   
[3] LC_MONETARY=English_United States.utf8
[4] LC_NUMERIC=C                          
[5] LC_TIME=English_United States.utf8    

time zone: America/Chicago
tzcode source: internal

attached base packages:
[1] stats4    grid      stats     graphics  grDevices utils     datasets 
[8] methods   base     

other attached packages:
 [1] Rsubread_2.22.1             gcplyr_1.11.0              
 [3] ggpmisc_0.6.2               ggpp_0.5.9                 
 [5] corrplot_0.95               ggpubr_0.6.1               
 [7] DESeq2_1.48.1               SummarizedExperiment_1.38.1
 [9] Biobase_2.68.0              MatrixGenerics_1.20.0      
[11] matrixStats_1.5.0           chromVAR_1.30.1            
[13] GenomicRanges_1.60.0        GenomeInfoDb_1.44.0        
[15] IRanges_2.42.0              S4Vectors_0.46.0           
[17] BiocGenerics_0.54.0         generics_0.1.4             
[19] genomation_1.40.1           kableExtra_1.4.0           
[21] DT_0.33                     viridis_0.6.5              
[23] viridisLite_0.4.2           data.table_1.17.8          
[25] ComplexHeatmap_2.24.1       edgeR_4.6.3                
[27] limma_3.64.1                lubridate_1.9.4            
[29] forcats_1.0.0               stringr_1.5.1              
[31] dplyr_1.1.4                 purrr_1.1.0                
[33] readr_2.1.5                 tidyr_1.3.1                
[35] tibble_3.3.0                ggplot2_3.5.2              
[37] tidyverse_2.0.0             workflowr_1.7.1            

loaded via a namespace (and not attached):
  [1] splines_4.5.1               later_1.4.2                
  [3] BiocIO_1.18.0               bitops_1.0-9               
  [5] XML_3.99-0.18               DirichletMultinomial_1.50.0
  [7] lifecycle_1.0.4             pwalign_1.4.0              
  [9] rstatix_0.7.2               doParallel_1.0.17          
 [11] rprojroot_2.1.0             vroom_1.6.5                
 [13] MASS_7.3-65                 processx_3.8.6             
 [15] lattice_0.22-7              backports_1.5.0            
 [17] magrittr_2.0.3              plotly_4.11.0              
 [19] sass_0.4.10                 rmarkdown_2.29             
 [21] jquerylib_0.1.4             yaml_2.3.10                
 [23] plotrix_3.8-4               httpuv_1.6.16              
 [25] DBI_1.2.3                   RColorBrewer_1.1-3         
 [27] abind_1.4-8                 RCurl_1.98-1.17            
 [29] git2r_0.36.2                circlize_0.4.16            
 [31] GenomeInfoDbData_1.2.14     seqLogo_1.74.0             
 [33] MatrixModels_0.5-4          svglite_2.2.1              
 [35] codetools_0.2-20            DelayedArray_0.34.1        
 [37] xml2_1.3.8                  tidyselect_1.2.1           
 [39] shape_1.4.6.1               UCSC.utils_1.4.0           
 [41] farver_2.1.2                GenomicAlignments_1.44.0   
 [43] jsonlite_2.0.0              GetoptLong_1.0.5           
 [45] Formula_1.2-5               survival_3.8-3             
 [47] iterators_1.0.14            systemfonts_1.2.3          
 [49] foreach_1.5.2               tools_4.5.1                
 [51] TFMPvalue_0.0.9             Rcpp_1.0.14                
 [53] glue_1.8.0                  gridExtra_2.3              
 [55] SparseArray_1.8.0           xfun_0.52                  
 [57] withr_3.0.2                 fastmap_1.2.0              
 [59] SparseM_1.84-2              callr_3.7.6                
 [61] caTools_1.18.3              digest_0.6.37              
 [63] timechange_0.3.0            R6_2.6.1                   
 [65] mime_0.13                   seqPattern_1.40.0          
 [67] textshaping_1.0.1           colorspace_2.1-1           
 [69] gtools_3.9.5                RSQLite_2.4.1              
 [71] rtracklayer_1.68.0          httr_1.4.7                 
 [73] htmlwidgets_1.6.4           S4Arrays_1.8.1             
 [75] TFBSTools_1.46.0            whisker_0.4.1              
 [77] pkgconfig_2.0.3             gtable_0.3.6               
 [79] blob_1.2.4                  impute_1.82.0              
 [81] XVector_0.48.0              htmltools_0.5.8.1          
 [83] carData_3.0-5               clue_0.3-66                
 [85] scales_1.4.0                png_0.1-8                  
 [87] knitr_1.50                  rstudioapi_0.17.1          
 [89] tzdb_0.5.0                  reshape2_1.4.4             
 [91] rjson_0.2.23                curl_6.4.0                 
 [93] cachem_1.1.0                GlobalOptions_0.1.2        
 [95] KernSmooth_2.23-26          parallel_4.5.1             
 [97] miniUI_0.1.2                restfulr_0.0.16            
 [99] pillar_1.11.0               vctrs_0.6.5                
[101] promises_1.3.3              car_3.1-3                  
[103] xtable_1.8-4                cluster_2.1.8.1            
[105] evaluate_1.0.4              cli_3.6.5                  
[107] locfit_1.5-9.12             compiler_4.5.1             
[109] Rsamtools_2.24.0            rlang_1.1.6                
[111] crayon_1.5.3                ggsignif_0.6.4             
[113] labeling_0.4.3              ps_1.9.1                   
[115] getPass_0.2-4               plyr_1.8.9                 
[117] fs_1.6.6                    stringi_1.8.7              
[119] gridBase_0.4-7              BiocParallel_1.42.1        
[121] Biostrings_2.76.0           lazyeval_0.2.2             
[123] quantreg_6.1                Matrix_1.7-3               
[125] BSgenome_1.76.0             hms_1.1.3                  
[127] bit64_4.6.0-1               statmod_1.5.0              
[129] shiny_1.11.1                broom_1.0.8                
[131] memoise_2.0.1               bslib_0.9.0                
[133] bit_4.6.0                   polynom_1.4-1