Last updated: 2020-08-12

Checks: 7 0

Knit directory: misc/analysis/

This reproducible R Markdown analysis was created with workflowr (version 1.6.2). The Checks tab describes the reproducibility checks that were applied when the results were created. The Past versions tab lists the development history.


Great! Since the R Markdown file has been committed to the Git repository, you know the exact version of the code that produced these results.

Great job! The global environment was empty. Objects defined in the global environment can affect the analysis in your R Markdown file in unknown ways. For reproduciblity it’s best to always run the code in an empty environment.

The command set.seed(1) was run prior to running the code in the R Markdown file. Setting a seed ensures that any results that rely on randomness, e.g. subsampling or permutations, are reproducible.

Great job! Recording the operating system, R version, and package versions is critical for reproducibility.

Nice! There were no cached chunks for this analysis, so you can be confident that you successfully produced the results during this run.

Great job! Using relative paths to the files within your workflowr project makes it easier to run your code on other machines.

Great! You are using Git for version control. Tracking code development and connecting the code version to the results is critical for reproducibility.

The results in this page were generated with repository version 006a885. See the Past versions tab to see a history of the changes made to the R Markdown and HTML files.

Note that you need to be careful to ensure that all relevant files for the analysis have been committed to Git prior to generating the results (you can use wflow_publish or wflow_git_commit). workflowr only checks the R Markdown file, but you know if there are other scripts or data files that it depends on. Below is the status of the Git repository when the results were generated:


Ignored files:
    Ignored:    .DS_Store
    Ignored:    .Rhistory
    Ignored:    .Rproj.user/
    Ignored:    analysis/.RData
    Ignored:    analysis/.Rhistory
    Ignored:    analysis/ALStruct_cache/
    Ignored:    data/.Rhistory
    Ignored:    data/pbmc/

Untracked files:
    Untracked:  .dropbox
    Untracked:  Icon
    Untracked:  analysis/GHstan.Rmd
    Untracked:  analysis/GTEX-cogaps.Rmd
    Untracked:  analysis/PACS.Rmd
    Untracked:  analysis/Rplot.png
    Untracked:  analysis/SPCAvRP.rmd
    Untracked:  analysis/admm_02.Rmd
    Untracked:  analysis/admm_03.Rmd
    Untracked:  analysis/compare-transformed-models.Rmd
    Untracked:  analysis/cormotif.Rmd
    Untracked:  analysis/cp_ash.Rmd
    Untracked:  analysis/eQTL.perm.rand.pdf
    Untracked:  analysis/eb_prepilot.Rmd
    Untracked:  analysis/eb_var.Rmd
    Untracked:  analysis/ebpmf1.Rmd
    Untracked:  analysis/flash_test_tree.Rmd
    Untracked:  analysis/flash_tree.Rmd
    Untracked:  analysis/ieQTL.perm.rand.pdf
    Untracked:  analysis/lasso_em_03.Rmd
    Untracked:  analysis/m6amash.Rmd
    Untracked:  analysis/mash_bhat_z.Rmd
    Untracked:  analysis/mash_ieqtl_permutations.Rmd
    Untracked:  analysis/mixsqp.Rmd
    Untracked:  analysis/mr.ash_lasso_init.Rmd
    Untracked:  analysis/mr.mash.test.Rmd
    Untracked:  analysis/mr_ash_modular.Rmd
    Untracked:  analysis/mr_ash_parameterization.Rmd
    Untracked:  analysis/mr_ash_pen.Rmd
    Untracked:  analysis/mr_ash_ridge.Rmd
    Untracked:  analysis/nejm.Rmd
    Untracked:  analysis/normalize.Rmd
    Untracked:  analysis/pbmc.Rmd
    Untracked:  analysis/poisson_transform.Rmd
    Untracked:  analysis/pseudodata.Rmd
    Untracked:  analysis/qrnotes.txt
    Untracked:  analysis/ridge_iterative_02.Rmd
    Untracked:  analysis/ridge_iterative_splitting.Rmd
    Untracked:  analysis/samps/
    Untracked:  analysis/sc_bimodal.Rmd
    Untracked:  analysis/shrinkage_comparisons_changepoints.Rmd
    Untracked:  analysis/susie_en.Rmd
    Untracked:  analysis/susie_z_investigate.Rmd
    Untracked:  analysis/svd-timing.Rmd
    Untracked:  analysis/temp.RDS
    Untracked:  analysis/temp.Rmd
    Untracked:  analysis/test-figure/
    Untracked:  analysis/test.Rmd
    Untracked:  analysis/test.Rpres
    Untracked:  analysis/test.md
    Untracked:  analysis/test_qr.R
    Untracked:  analysis/test_sparse.Rmd
    Untracked:  analysis/z.txt
    Untracked:  code/multivariate_testfuncs.R
    Untracked:  code/rqb.hacked.R
    Untracked:  data/4matthew/
    Untracked:  data/4matthew2/
    Untracked:  data/E-MTAB-2805.processed.1/
    Untracked:  data/ENSG00000156738.Sim_Y2.RDS
    Untracked:  data/GDS5363_full.soft.gz
    Untracked:  data/GSE41265_allGenesTPM.txt
    Untracked:  data/Muscle_Skeletal.ACTN3.pm1Mb.RDS
    Untracked:  data/Thyroid.FMO2.pm1Mb.RDS
    Untracked:  data/bmass.HaemgenRBC2016.MAF01.Vs2.MergedDataSources.200kRanSubset.ChrBPMAFMarkerZScores.vs1.txt.gz
    Untracked:  data/bmass.HaemgenRBC2016.Vs2.NewSNPs.ZScores.hclust.vs1.txt
    Untracked:  data/bmass.HaemgenRBC2016.Vs2.PreviousSNPs.ZScores.hclust.vs1.txt
    Untracked:  data/eb_prepilot/
    Untracked:  data/finemap_data/fmo2.sim/b.txt
    Untracked:  data/finemap_data/fmo2.sim/dap_out.txt
    Untracked:  data/finemap_data/fmo2.sim/dap_out2.txt
    Untracked:  data/finemap_data/fmo2.sim/dap_out2_snp.txt
    Untracked:  data/finemap_data/fmo2.sim/dap_out_snp.txt
    Untracked:  data/finemap_data/fmo2.sim/data
    Untracked:  data/finemap_data/fmo2.sim/fmo2.sim.config
    Untracked:  data/finemap_data/fmo2.sim/fmo2.sim.k
    Untracked:  data/finemap_data/fmo2.sim/fmo2.sim.k4.config
    Untracked:  data/finemap_data/fmo2.sim/fmo2.sim.k4.snp
    Untracked:  data/finemap_data/fmo2.sim/fmo2.sim.ld
    Untracked:  data/finemap_data/fmo2.sim/fmo2.sim.snp
    Untracked:  data/finemap_data/fmo2.sim/fmo2.sim.z
    Untracked:  data/finemap_data/fmo2.sim/pos.txt
    Untracked:  data/logm.csv
    Untracked:  data/m.cd.RDS
    Untracked:  data/m.cdu.old.RDS
    Untracked:  data/m.new.cd.RDS
    Untracked:  data/m.old.cd.RDS
    Untracked:  data/mainbib.bib.old
    Untracked:  data/mat.csv
    Untracked:  data/mat.txt
    Untracked:  data/mat_new.csv
    Untracked:  data/matrix_lik.rds
    Untracked:  data/paintor_data/
    Untracked:  data/temp.txt
    Untracked:  data/y.txt
    Untracked:  data/y_f.txt
    Untracked:  data/zscore_jointLCLs_m6AQTLs_susie_eQTLpruned.rds
    Untracked:  data/zscore_jointLCLs_random.rds
    Untracked:  explore_udi.R
    Untracked:  output/fit.k10.rds
    Untracked:  output/fit.varbvs.RDS
    Untracked:  output/glmnet.fit.RDS
    Untracked:  output/test.bv.txt
    Untracked:  output/test.gamma.txt
    Untracked:  output/test.hyp.txt
    Untracked:  output/test.log.txt
    Untracked:  output/test.param.txt
    Untracked:  output/test2.bv.txt
    Untracked:  output/test2.gamma.txt
    Untracked:  output/test2.hyp.txt
    Untracked:  output/test2.log.txt
    Untracked:  output/test2.param.txt
    Untracked:  output/test3.bv.txt
    Untracked:  output/test3.gamma.txt
    Untracked:  output/test3.hyp.txt
    Untracked:  output/test3.log.txt
    Untracked:  output/test3.param.txt
    Untracked:  output/test4.bv.txt
    Untracked:  output/test4.gamma.txt
    Untracked:  output/test4.hyp.txt
    Untracked:  output/test4.log.txt
    Untracked:  output/test4.param.txt
    Untracked:  output/test5.bv.txt
    Untracked:  output/test5.gamma.txt
    Untracked:  output/test5.hyp.txt
    Untracked:  output/test5.log.txt
    Untracked:  output/test5.param.txt

Unstaged changes:
    Modified:   analysis/ash_delta_operator.Rmd
    Modified:   analysis/ash_pois_bcell.Rmd
    Modified:   analysis/lasso_em.Rmd
    Modified:   analysis/minque.Rmd
    Modified:   analysis/mr_missing_data.Rmd
    Modified:   analysis/ridge_admm.Rmd

Note that any generated files, e.g. HTML, png, CSS, etc., are not included in this status report because it is ok for generated content to have uncommitted changes.


These are the previous versions of the repository in which changes were made to the R Markdown (analysis/tree_pca_03.Rmd) and HTML (docs/tree_pca_03.html) files. If you’ve configured a remote Git repository (see ?wflow_git_remote), click on the hyperlinks in the table below to view the files as they were in that past version.

File Version Author Date Message
Rmd 006a885 Matthew Stephens 2020-08-12 workflowr::wflow_publish(“tree_pca_03.Rmd”)
html 159d030 Matthew Stephens 2020-08-10 Build site.
Rmd ce4859d Matthew Stephens 2020-08-10 workflowr::wflow_publish(“tree_pca_03.Rmd”)
html d0c86e8 Matthew Stephens 2020-08-10 Build site.
Rmd 7f008b7 Matthew Stephens 2020-08-10 workflowr::wflow_publish(“tree_pca_03.Rmd”)

library(flashr)
library(flashier)
Registered S3 method overwritten by 'flashier':
  method      from  
  print.flash flashr

Attaching package: 'flashier'
The following object is masked from 'package:flashr':

    flash
library(magrittr)
library(sparsepca)
library(EbayesThresh)

Introduction

The idea here is to look at behaviour of sparse PCA algorithms on a simple tree.

It is a tree with four tips and equal branch lengths. (Also no noise for now.)

set.seed(123)
p = 1000
n = 20
f = list()
for(i in 1:6){ 
  f[[i]] = rnorm(p)
}
X =matrix(0,ncol=4*n, nrow=p)
X[,1:(2*n)] = f[[1]]
X[,(2*n+1):(4*n)] = f[[2]]

X[,1:n] = X[,1:n]+f[[3]]
X[,(n+1):(2*n)] = X[,(n+1):(2*n)]+f[[4]]
X[,(2*n+1):(3*n)] = X[,(2*n+1):(3*n)] + f[[5]]
X[,(3*n+1):(4*n)] = X[,(3*n+1):(4*n)] + f[[6]]
image(cor(X))

Version Author Date
d0c86e8 Matthew Stephens 2020-08-10

Regular SVD

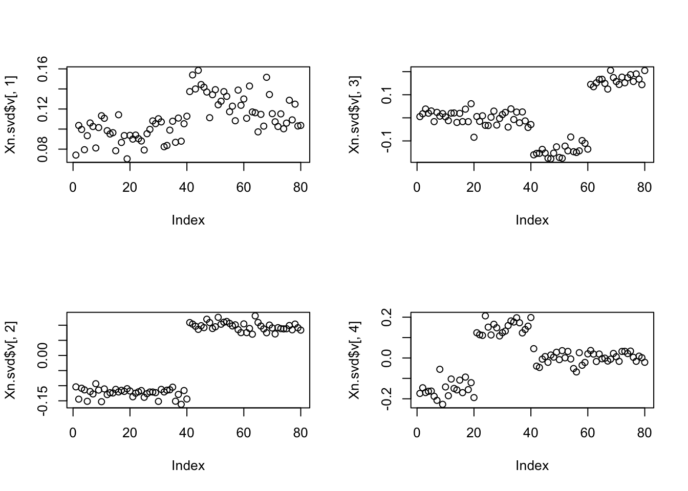
Regular SVD does not reproduce the tree here. Indeed we should not expect it to, because the third and fourth eigenvectors have very similar eigenvalues which makes them non-identifiable without sparsity:

X.svd = svd(X)
X.svd$d[1:4]
[1] 255.5150 237.0327 140.2663 134.5016
par(mfcol=c(2,2))
plot(X.svd$v[,1])
plot(X.svd$v[,2])
plot(X.svd$v[,3])
plot(X.svd$v[,4])

Version Author Date
d0c86e8 Matthew Stephens 2020-08-10

sparse PCA in sparsepca package

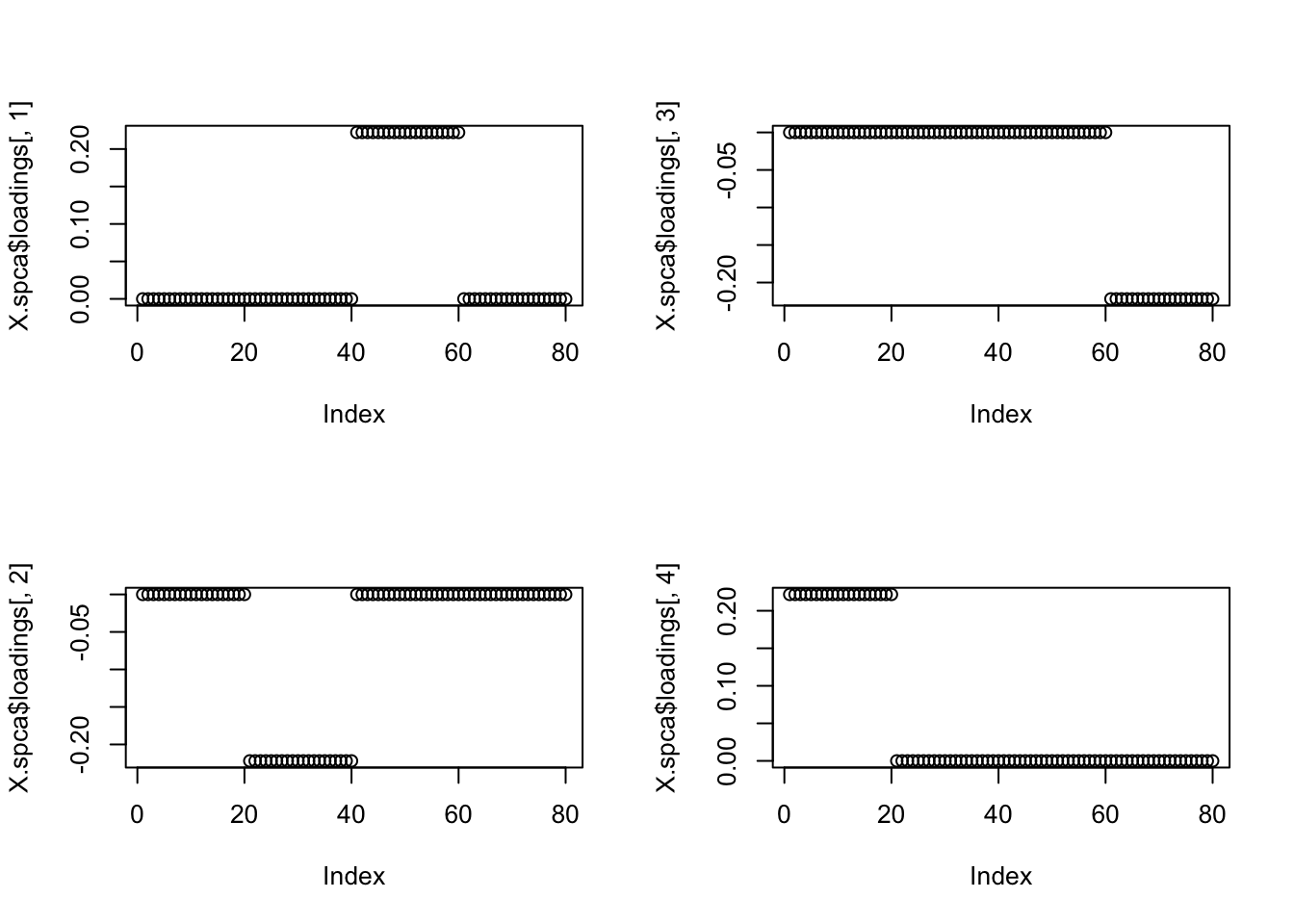
Try sparse PCA with default settings. It does pretty well. Maybe not as sparse as one would like.

X.spca = spca(X,10)
[1] "Iteration:    1, Objective: 3.50720e+02, Relative improvement Inf"
[1] "Iteration:   11, Objective: 3.48231e+02, Relative improvement 6.06872e-04"
[1] "Iteration:   21, Objective: 3.46219e+02, Relative improvement 5.12042e-04"
[1] "Iteration:   31, Objective: 3.44437e+02, Relative improvement 5.19981e-04"
[1] "Iteration:   41, Objective: 3.42754e+02, Relative improvement 4.89517e-04"
[1] "Iteration:   51, Objective: 3.41072e+02, Relative improvement 4.95160e-04"
[1] "Iteration:   61, Objective: 3.39374e+02, Relative improvement 5.02866e-04"
[1] "Iteration:   71, Objective: 3.37657e+02, Relative improvement 5.10738e-04"
[1] "Iteration:   81, Objective: 3.35927e+02, Relative improvement 5.16759e-04"
[1] "Iteration:   91, Objective: 3.34181e+02, Relative improvement 5.24954e-04"
[1] "Iteration:  101, Objective: 3.32420e+02, Relative improvement 5.31325e-04"
[1] "Iteration:  111, Objective: 3.30657e+02, Relative improvement 5.02626e-04"
[1] "Iteration:  121, Objective: 3.29017e+02, Relative improvement 5.00601e-04"
[1] "Iteration:  131, Objective: 3.27360e+02, Relative improvement 5.08424e-04"
[1] "Iteration:  141, Objective: 3.25828e+02, Relative improvement 4.20379e-04"
[1] "Iteration:  151, Objective: 3.24450e+02, Relative improvement 4.26393e-04"
[1] "Iteration:  161, Objective: 3.23059e+02, Relative improvement 4.32524e-04"
[1] "Iteration:  171, Objective: 3.21660e+02, Relative improvement 4.36754e-04"
[1] "Iteration:  181, Objective: 3.20247e+02, Relative improvement 4.43118e-04"
[1] "Iteration:  191, Objective: 3.18820e+02, Relative improvement 4.49609e-04"
[1] "Iteration:  201, Objective: 3.17379e+02, Relative improvement 4.56229e-04"
[1] "Iteration:  211, Objective: 3.15923e+02, Relative improvement 4.62982e-04"
[1] "Iteration:  221, Objective: 3.14452e+02, Relative improvement 4.69870e-04"
[1] "Iteration:  231, Objective: 3.12966e+02, Relative improvement 4.76895e-04"
[1] "Iteration:  241, Objective: 3.11465e+02, Relative improvement 4.84061e-04"
[1] "Iteration:  251, Objective: 3.09949e+02, Relative improvement 4.91370e-04"
[1] "Iteration:  261, Objective: 3.08418e+02, Relative improvement 4.98825e-04"
[1] "Iteration:  271, Objective: 3.06872e+02, Relative improvement 5.04296e-04"
[1] "Iteration:  281, Objective: 3.05316e+02, Relative improvement 5.12032e-04"
[1] "Iteration:  291, Objective: 3.03744e+02, Relative improvement 5.19922e-04"
[1] "Iteration:  301, Objective: 3.02160e+02, Relative improvement 5.25784e-04"
[1] "Iteration:  311, Objective: 3.00563e+02, Relative improvement 5.33977e-04"
[1] "Iteration:  321, Objective: 2.98949e+02, Relative improvement 5.42333e-04"
[1] "Iteration:  331, Objective: 2.97319e+02, Relative improvement 5.50857e-04"
[1] "Iteration:  341, Objective: 2.95672e+02, Relative improvement 5.59550e-04"
[1] "Iteration:  351, Objective: 2.94008e+02, Relative improvement 5.68418e-04"
[1] "Iteration:  361, Objective: 2.92328e+02, Relative improvement 5.77463e-04"
[1] "Iteration:  371, Objective: 2.90632e+02, Relative improvement 5.84455e-04"
[1] "Iteration:  381, Objective: 2.88924e+02, Relative improvement 5.93843e-04"
[1] "Iteration:  391, Objective: 2.87199e+02, Relative improvement 6.03420e-04"
[1] "Iteration:  401, Objective: 2.85456e+02, Relative improvement 6.13190e-04"
[1] "Iteration:  411, Objective: 2.84112e+02, Relative improvement 3.47491e-04"
[1] "Iteration:  421, Objective: 2.83224e+02, Relative improvement 3.14645e-04"
[1] "Iteration:  431, Objective: 2.82403e+02, Relative improvement 2.35151e-04"
[1] "Iteration:  441, Objective: 2.81736e+02, Relative improvement 2.37779e-04"
[1] "Iteration:  451, Objective: 2.81062e+02, Relative improvement 2.40701e-04"
[1] "Iteration:  461, Objective: 2.80382e+02, Relative improvement 2.43672e-04"
[1] "Iteration:  471, Objective: 2.79695e+02, Relative improvement 2.46696e-04"
[1] "Iteration:  481, Objective: 2.79006e+02, Relative improvement 2.47413e-04"
[1] "Iteration:  491, Objective: 2.78312e+02, Relative improvement 2.50534e-04"
[1] "Iteration:  501, Objective: 2.77614e+02, Relative improvement 2.51213e-04"
[1] "Iteration:  511, Objective: 2.76913e+02, Relative improvement 2.54437e-04"
[1] "Iteration:  521, Objective: 2.76204e+02, Relative improvement 2.57719e-04"
[1] "Iteration:  531, Objective: 2.75493e+02, Relative improvement 2.56531e-04"
[1] "Iteration:  541, Objective: 2.74889e+02, Relative improvement 1.98765e-04"
[1] "Iteration:  551, Objective: 2.74347e+02, Relative improvement 1.96491e-04"
[1] "Iteration:  561, Objective: 2.73805e+02, Relative improvement 1.99089e-04"
[1] "Iteration:  571, Objective: 2.73256e+02, Relative improvement 2.01732e-04"
[1] "Iteration:  581, Objective: 2.72702e+02, Relative improvement 2.04424e-04"
[1] "Iteration:  591, Objective: 2.72141e+02, Relative improvement 2.07165e-04"
[1] "Iteration:  601, Objective: 2.71574e+02, Relative improvement 2.07510e-04"
[1] "Iteration:  611, Objective: 2.71007e+02, Relative improvement 2.10356e-04"
[1] "Iteration:  621, Objective: 2.70434e+02, Relative improvement 2.13241e-04"
[1] "Iteration:  631, Objective: 2.69853e+02, Relative improvement 2.16178e-04"
[1] "Iteration:  641, Objective: 2.69266e+02, Relative improvement 2.19168e-04"
[1] "Iteration:  651, Objective: 2.68672e+02, Relative improvement 2.22213e-04"
[1] "Iteration:  661, Objective: 2.68071e+02, Relative improvement 2.25313e-04"
[1] "Iteration:  671, Objective: 2.67463e+02, Relative improvement 2.28468e-04"
[1] "Iteration:  681, Objective: 2.66848e+02, Relative improvement 2.31681e-04"
[1] "Iteration:  691, Objective: 2.66226e+02, Relative improvement 2.34951e-04"
[1] "Iteration:  701, Objective: 2.65597e+02, Relative improvement 2.38281e-04"
[1] "Iteration:  711, Objective: 2.64960e+02, Relative improvement 2.41670e-04"
[1] "Iteration:  721, Objective: 2.64315e+02, Relative improvement 2.45120e-04"
[1] "Iteration:  731, Objective: 2.63663e+02, Relative improvement 2.48632e-04"
[1] "Iteration:  741, Objective: 2.63003e+02, Relative improvement 2.52208e-04"
[1] "Iteration:  751, Objective: 2.62336e+02, Relative improvement 2.55847e-04"
[1] "Iteration:  761, Objective: 2.61660e+02, Relative improvement 2.59552e-04"
[1] "Iteration:  771, Objective: 2.60977e+02, Relative improvement 2.63323e-04"
[1] "Iteration:  781, Objective: 2.60285e+02, Relative improvement 2.67161e-04"
[1] "Iteration:  791, Objective: 2.59585e+02, Relative improvement 2.71068e-04"
[1] "Iteration:  801, Objective: 2.58877e+02, Relative improvement 2.75045e-04"
[1] "Iteration:  811, Objective: 2.58160e+02, Relative improvement 2.79093e-04"
[1] "Iteration:  821, Objective: 2.57435e+02, Relative improvement 2.83213e-04"
[1] "Iteration:  831, Objective: 2.56701e+02, Relative improvement 2.87406e-04"
[1] "Iteration:  841, Objective: 2.55958e+02, Relative improvement 2.91674e-04"
[1] "Iteration:  851, Objective: 2.55207e+02, Relative improvement 2.96018e-04"
[1] "Iteration:  861, Objective: 2.54447e+02, Relative improvement 3.00440e-04"
[1] "Iteration:  871, Objective: 2.53677e+02, Relative improvement 3.04939e-04"
[1] "Iteration:  881, Objective: 2.52898e+02, Relative improvement 3.09519e-04"
[1] "Iteration:  891, Objective: 2.52112e+02, Relative improvement 3.11713e-04"
[1] "Iteration:  901, Objective: 2.51321e+02, Relative improvement 3.16440e-04"
[1] "Iteration:  911, Objective: 2.50521e+02, Relative improvement 3.21256e-04"
[1] "Iteration:  921, Objective: 2.49711e+02, Relative improvement 3.26157e-04"
[1] "Iteration:  931, Objective: 2.48891e+02, Relative improvement 3.31145e-04"
[1] "Iteration:  941, Objective: 2.48061e+02, Relative improvement 3.36221e-04"
[1] "Iteration:  951, Objective: 2.47222e+02, Relative improvement 3.41387e-04"
[1] "Iteration:  961, Objective: 2.46372e+02, Relative improvement 3.46644e-04"
[1] "Iteration:  971, Objective: 2.45514e+02, Relative improvement 3.49127e-04"
[1] "Iteration:  981, Objective: 2.44735e+02, Relative improvement 2.68392e-04"
[1] "Iteration:  991, Objective: 2.44094e+02, Relative improvement 2.61922e-04"
par(mfcol=c(2,2))
plot(X.spca$loadings[,1])
plot(X.spca$loadings[,2])
plot(X.spca$loadings[,3])
plot(X.spca$loadings[,4])

Version Author Date
d0c86e8 Matthew Stephens 2020-08-10

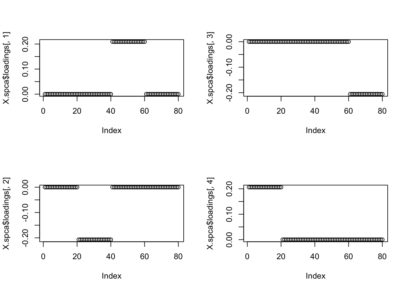
Try increasing sparsity by increasing alpha. That lost the tree… too sparse!

X.spca = spca(X,10,alpha=0.01)
[1] "Iteration:    1, Objective: 2.93409e+04, Relative improvement Inf"
[1] "Iteration:   11, Objective: 2.00661e+04, Relative improvement 1.81365e-02"
[1] "Iteration:   21, Objective: 1.77272e+04, Relative improvement 6.79263e-03"
[1] "Iteration:   31, Objective: 1.59354e+04, Relative improvement 1.43948e-02"
[1] "Iteration:   41, Objective: 1.51195e+04, Relative improvement 4.97303e-03"
[1] "Iteration:   51, Objective: 1.37303e+04, Relative improvement 1.55392e-02"
[1] "Iteration:   61, Objective: 1.29725e+04, Relative improvement 2.38115e-03"
[1] "Iteration:   71, Objective: 1.26555e+04, Relative improvement 2.55998e-03"
[1] "Iteration:   81, Objective: 1.23228e+04, Relative improvement 2.75820e-03"
[1] "Iteration:   91, Objective: 1.19739e+04, Relative improvement 2.97609e-03"
[1] "Iteration:  101, Objective: 1.16085e+04, Relative improvement 3.19317e-03"
[1] "Iteration:  111, Objective: 1.13358e+04, Relative improvement 1.32116e-03"
par(mfcol=c(2,2))
plot(X.spca$loadings[,1])
plot(X.spca$loadings[,2])
plot(X.spca$loadings[,3])
plot(X.spca$loadings[,4])

Version Author Date
d0c86e8 Matthew Stephens 2020-08-10

Try again.. .also not what I was hoping for.

X.spca = spca(X,10,alpha=0.001)
[1] "Iteration:    1, Objective: 3.18733e+03, Relative improvement Inf"
[1] "Iteration:   11, Objective: 3.02096e+03, Relative improvement 5.21372e-03"
[1] "Iteration:   21, Objective: 2.89002e+03, Relative improvement 4.41432e-03"
[1] "Iteration:   31, Objective: 2.75381e+03, Relative improvement 5.18506e-03"
[1] "Iteration:   41, Objective: 2.60149e+03, Relative improvement 6.15317e-03"
[1] "Iteration:   51, Objective: 2.52474e+03, Relative improvement 2.44057e-03"
[1] "Iteration:   61, Objective: 2.46924e+03, Relative improvement 2.01406e-03"
[1] "Iteration:   71, Objective: 2.41617e+03, Relative improvement 2.33568e-03"
[1] "Iteration:   81, Objective: 2.35522e+03, Relative improvement 2.75216e-03"
[1] "Iteration:   91, Objective: 2.28529e+03, Relative improvement 3.24973e-03"
[1] "Iteration:  101, Objective: 2.21687e+03, Relative improvement 2.74952e-03"
[1] "Iteration:  111, Objective: 2.15670e+03, Relative improvement 2.61468e-03"
[1] "Iteration:  121, Objective: 2.11070e+03, Relative improvement 2.07298e-03"
[1] "Iteration:  131, Objective: 2.06407e+03, Relative improvement 2.38195e-03"
[1] "Iteration:  141, Objective: 2.01160e+03, Relative improvement 2.74547e-03"
[1] "Iteration:  151, Objective: 1.96577e+03, Relative improvement 4.98195e-04"
[1] "Iteration:  161, Objective: 1.95595e+03, Relative improvement 4.86109e-04"
[1] "Iteration:  171, Objective: 1.94621e+03, Relative improvement 5.10503e-04"
[1] "Iteration:  181, Objective: 1.93601e+03, Relative improvement 5.37983e-04"
[1] "Iteration:  191, Objective: 1.92530e+03, Relative improvement 5.68969e-04"
[1] "Iteration:  201, Objective: 1.91402e+03, Relative improvement 6.03914e-04"
[1] "Iteration:  211, Objective: 1.90210e+03, Relative improvement 6.43330e-04"
[1] "Iteration:  221, Objective: 1.88945e+03, Relative improvement 6.87782e-04"
[1] "Iteration:  231, Objective: 1.87600e+03, Relative improvement 7.37744e-04"
[1] "Iteration:  241, Objective: 1.86227e+03, Relative improvement 7.60054e-04"
[1] "Iteration:  251, Objective: 1.84755e+03, Relative improvement 8.22672e-04"
[1] "Iteration:  261, Objective: 1.83230e+03, Relative improvement 8.56512e-04"
[1] "Iteration:  271, Objective: 1.81591e+03, Relative improvement 9.35226e-04"
[1] "Iteration:  281, Objective: 1.79870e+03, Relative improvement 9.68806e-04"
[1] "Iteration:  291, Objective: 1.78103e+03, Relative improvement 9.93763e-04"
[1] "Iteration:  301, Objective: 1.76240e+03, Relative improvement 1.10205e-03"
[1] "Iteration:  311, Objective: 1.74195e+03, Relative improvement 1.22279e-03"
[1] "Iteration:  321, Objective: 1.71955e+03, Relative improvement 1.35709e-03"
[1] "Iteration:  331, Objective: 1.69502e+03, Relative improvement 1.50609e-03"
[1] "Iteration:  341, Objective: 1.66860e+03, Relative improvement 1.64479e-03"
[1] "Iteration:  351, Objective: 1.64029e+03, Relative improvement 1.52872e-03"
[1] "Iteration:  361, Objective: 1.63408e+03, Relative improvement 2.69523e-04"
[1] "Iteration:  371, Objective: 1.62957e+03, Relative improvement 2.83067e-04"
[1] "Iteration:  381, Objective: 1.62483e+03, Relative improvement 2.98352e-04"
[1] "Iteration:  391, Objective: 1.61983e+03, Relative improvement 3.15609e-04"
[1] "Iteration:  401, Objective: 1.61456e+03, Relative improvement 3.35101e-04"
[1] "Iteration:  411, Objective: 1.60897e+03, Relative improvement 3.57128e-04"
[1] "Iteration:  421, Objective: 1.60302e+03, Relative improvement 3.82028e-04"
[1] "Iteration:  431, Objective: 1.59667e+03, Relative improvement 4.10181e-04"
[1] "Iteration:  441, Objective: 1.58986e+03, Relative improvement 4.42013e-04"
[1] "Iteration:  451, Objective: 1.58254e+03, Relative improvement 4.78002e-04"
[1] "Iteration:  461, Objective: 1.57465e+03, Relative improvement 5.18683e-04"
[1] "Iteration:  471, Objective: 1.56612e+03, Relative improvement 5.64652e-04"
[1] "Iteration:  481, Objective: 1.55687e+03, Relative improvement 6.16571e-04"
[1] "Iteration:  491, Objective: 1.54681e+03, Relative improvement 6.75174e-04"
[1] "Iteration:  501, Objective: 1.53586e+03, Relative improvement 7.41272e-04"
[1] "Iteration:  511, Objective: 1.52391e+03, Relative improvement 8.15755e-04"
[1] "Iteration:  521, Objective: 1.51085e+03, Relative improvement 8.99596e-04"
[1] "Iteration:  531, Objective: 1.49656e+03, Relative improvement 9.93852e-04"
[1] "Iteration:  541, Objective: 1.48092e+03, Relative improvement 1.09967e-03"
[1] "Iteration:  551, Objective: 1.46380e+03, Relative improvement 1.21826e-03"
[1] "Iteration:  561, Objective: 1.44505e+03, Relative improvement 1.35094e-03"
[1] "Iteration:  571, Objective: 1.42453e+03, Relative improvement 1.49908e-03"
[1] "Iteration:  581, Objective: 1.40210e+03, Relative improvement 1.66409e-03"
[1] "Iteration:  591, Objective: 1.37761e+03, Relative improvement 1.84746e-03"
[1] "Iteration:  601, Objective: 1.35093e+03, Relative improvement 2.05065e-03"
[1] "Iteration:  611, Objective: 1.33012e+03, Relative improvement 4.00772e-04"
[1] "Iteration:  621, Objective: 1.32659e+03, Relative improvement 2.64651e-04"
[1] "Iteration:  631, Objective: 1.32307e+03, Relative improvement 2.66086e-04"
[1] "Iteration:  641, Objective: 1.31955e+03, Relative improvement 2.67531e-04"
[1] "Iteration:  651, Objective: 1.31601e+03, Relative improvement 2.68987e-04"
[1] "Iteration:  661, Objective: 1.31247e+03, Relative improvement 2.70453e-04"
[1] "Iteration:  671, Objective: 1.30891e+03, Relative improvement 2.71930e-04"
[1] "Iteration:  681, Objective: 1.30535e+03, Relative improvement 2.73417e-04"
[1] "Iteration:  691, Objective: 1.30177e+03, Relative improvement 2.74914e-04"
[1] "Iteration:  701, Objective: 1.29819e+03, Relative improvement 2.76423e-04"
[1] "Iteration:  711, Objective: 1.29460e+03, Relative improvement 2.77942e-04"
[1] "Iteration:  721, Objective: 1.29099e+03, Relative improvement 2.79473e-04"
[1] "Iteration:  731, Objective: 1.28738e+03, Relative improvement 2.81015e-04"
[1] "Iteration:  741, Objective: 1.28376e+03, Relative improvement 2.82569e-04"
[1] "Iteration:  751, Objective: 1.28012e+03, Relative improvement 2.84134e-04"
[1] "Iteration:  761, Objective: 1.27648e+03, Relative improvement 2.85711e-04"
[1] "Iteration:  771, Objective: 1.27283e+03, Relative improvement 2.87300e-04"
[1] "Iteration:  781, Objective: 1.26917e+03, Relative improvement 2.88901e-04"
[1] "Iteration:  791, Objective: 1.26549e+03, Relative improvement 2.90514e-04"
[1] "Iteration:  801, Objective: 1.26181e+03, Relative improvement 2.92141e-04"
[1] "Iteration:  811, Objective: 1.25812e+03, Relative improvement 2.93779e-04"
[1] "Iteration:  821, Objective: 1.25442e+03, Relative improvement 2.95431e-04"
[1] "Iteration:  831, Objective: 1.25071e+03, Relative improvement 2.97096e-04"
[1] "Iteration:  841, Objective: 1.24699e+03, Relative improvement 2.98774e-04"
[1] "Iteration:  851, Objective: 1.24325e+03, Relative improvement 3.00465e-04"
[1] "Iteration:  861, Objective: 1.23951e+03, Relative improvement 3.02170e-04"
[1] "Iteration:  871, Objective: 1.23576e+03, Relative improvement 3.03890e-04"
[1] "Iteration:  881, Objective: 1.23200e+03, Relative improvement 3.05623e-04"
[1] "Iteration:  891, Objective: 1.22823e+03, Relative improvement 3.07370e-04"
[1] "Iteration:  901, Objective: 1.22445e+03, Relative improvement 3.09132e-04"
[1] "Iteration:  911, Objective: 1.22066e+03, Relative improvement 3.10909e-04"
[1] "Iteration:  921, Objective: 1.21686e+03, Relative improvement 3.12701e-04"
[1] "Iteration:  931, Objective: 1.21305e+03, Relative improvement 3.14508e-04"
[1] "Iteration:  941, Objective: 1.20924e+03, Relative improvement 3.07394e-04"
[1] "Iteration:  951, Objective: 1.20606e+03, Relative improvement 2.63773e-04"
[1] "Iteration:  961, Objective: 1.20287e+03, Relative improvement 2.65165e-04"
[1] "Iteration:  971, Objective: 1.19968e+03, Relative improvement 2.66568e-04"
[1] "Iteration:  981, Objective: 1.19648e+03, Relative improvement 2.67981e-04"
[1] "Iteration:  991, Objective: 1.19327e+03, Relative improvement 2.69406e-04"
par(mfcol=c(2,2))
plot(X.spca$loadings[,1])
plot(X.spca$loadings[,2])
plot(X.spca$loadings[,3])
plot(X.spca$loadings[,4])

Version Author Date
d0c86e8 Matthew Stephens 2020-08-10

flash

Here I try flash. (Note that setting var_type has an effect; may want to look into that more, but for now i set it constant…).

The way I have the matrix set up, the columns (not the rows) are the individuals, so for a drift model the “loadings” here should be normal; for simplicity I just set them to point normal and hope it learns them to be normal.

X.flash = flashr::flash(X,10,ebnm_fn = list(l="ebnm_pn", f="ebnm_pn"),var_type = "constant")
Fitting factor/loading 1 (stop when difference in obj. is < 1.00e-02):
  Iteration      Objective   Obj Diff
          1     -122755.15        Inf
          2     -122751.31   3.83e+00
          3     -122751.19   1.23e-01
          4     -122751.10   9.04e-02
          5     -122751.03   6.70e-02
          6     -122750.98   4.96e-02
          7     -122750.95   3.67e-02
          8     -122750.92   2.72e-02
          9     -122750.90   2.01e-02
         10     -122750.88   1.49e-02
         11     -122750.87   1.10e-02
         12     -122750.86   8.18e-03
Performing nullcheck...
  Deleting factor 1 decreases objective by 1.83e+04. Factor retained.
  Nullcheck complete. Objective: -122750.86
Fitting factor/loading 2 (stop when difference in obj. is < 1.00e-02):
  Iteration      Objective   Obj Diff
          1      -90295.93        Inf
          2      -90292.27   3.67e+00
          3      -90292.26   1.02e-03
Performing nullcheck...
  Deleting factor 2 decreases objective by 3.25e+04. Factor retained.
  Nullcheck complete. Objective: -90292.26
Fitting factor/loading 3 (stop when difference in obj. is < 1.00e-02):
  Iteration      Objective   Obj Diff
          1      -65808.49        Inf
          2      -65804.56   3.93e+00
          3      -65804.33   2.28e-01
          4      -65804.14   1.92e-01
          5      -65803.97   1.62e-01
          6      -65803.84   1.37e-01
          7      -65803.72   1.16e-01
          8      -65803.62   9.82e-02
          9      -65803.54   8.30e-02
         10      -65803.47   7.02e-02
         11      -65803.41   5.93e-02
         12      -65803.36   5.02e-02
         13      -65803.32   4.24e-02
         14      -65803.28   3.59e-02
         15      -65803.25   3.03e-02
         16      -65803.23   2.56e-02
         17      -65803.20   2.17e-02
         18      -65803.19   1.83e-02
         19      -65803.17   1.55e-02
         20      -65803.16   1.31e-02
         21      -65803.15   1.11e-02
         22      -65803.14   9.36e-03
Performing nullcheck...
  Deleting factor 3 decreases objective by 2.45e+04. Factor retained.
  Nullcheck complete. Objective: -65803.14
Fitting factor/loading 4 (stop when difference in obj. is < 1.00e-02):
  Iteration      Objective   Obj Diff
          1       20643.25        Inf
          2       20646.91   3.66e+00
          3       20646.91   6.64e-04
Performing nullcheck...
  Deleting factor 4 decreases objective by 8.65e+04. Factor retained.
  Nullcheck complete. Objective: 20646.91
Fitting factor/loading 5 (stop when difference in obj. is < 1.00e-02):
  Iteration      Objective   Obj Diff
          1       20644.01        Inf
          2       20646.91   2.90e+00
          3       20646.91   0.00e+00
Performing nullcheck...
  Deleting factor 5 does not change objective. Factor zeroed out.
  Nullcheck complete. Objective: 20646.91
par(mfcol=c(2,2))
plot(X.flash$ldf$f[,1])
plot(X.flash$ldf$f[,2])
plot(X.flash$ldf$f[,3])
plot(X.flash$ldf$f[,4])

Version Author Date
d0c86e8 Matthew Stephens 2020-08-10

See if point laplace prior makes a difference. But it is basically indistinguishable.

X.flash = flashr::flash(X,10,ebnm_fn = list(l="ebnm_pn", f="ebnm_pl"),var_type = "constant")
Fitting factor/loading 1 (stop when difference in obj. is < 1.00e-02):
  Iteration      Objective   Obj Diff
          1     -122775.18        Inf
          2     -122771.29   3.89e+00
          3     -122771.13   1.65e-01
          4     -122771.00   1.22e-01
          5     -122770.91   9.08e-02
          6     -122770.85   6.75e-02
          7     -122770.80   5.01e-02
          8     -122770.76   3.72e-02
          9     -122770.73   2.77e-02
         10     -122770.71   2.06e-02
         11     -122770.70   1.53e-02
         12     -122770.68   1.13e-02
         13     -122770.68   8.43e-03
Performing nullcheck...
  Deleting factor 1 decreases objective by 1.83e+04. Factor retained.
  Nullcheck complete. Objective: -122770.68
Fitting factor/loading 2 (stop when difference in obj. is < 1.00e-02):
  Iteration      Objective   Obj Diff
          1      -90335.83        Inf
          2      -90332.16   3.67e+00
          3      -90332.16   1.01e-03
Performing nullcheck...
  Deleting factor 2 decreases objective by 3.24e+04. Factor retained.
  Nullcheck complete. Objective: -90332.16
Fitting factor/loading 3 (stop when difference in obj. is < 1.00e-02):
  Iteration      Objective   Obj Diff
          1      -65866.77        Inf
          2      -65862.74   4.03e+00
          3      -65862.44   3.08e-01
          4      -65862.18   2.60e-01
          5      -65861.96   2.20e-01
          6      -65861.77   1.87e-01
          7      -65861.61   1.58e-01
          8      -65861.48   1.34e-01
          9      -65861.36   1.14e-01
         10      -65861.27   9.63e-02
         11      -65861.18   8.16e-02
         12      -65861.12   6.92e-02
         13      -65861.06   5.86e-02
         14      -65861.01   4.97e-02
         15      -65860.96   4.21e-02
         16      -65860.93   3.57e-02
         17      -65860.90   3.02e-02
         18      -65860.87   2.56e-02
         19      -65860.85   2.17e-02
         20      -65860.83   1.84e-02
         21      -65860.82   1.56e-02
         22      -65860.80   1.32e-02
         23      -65860.79   1.12e-02
         24      -65860.78   9.49e-03
Performing nullcheck...
  Deleting factor 3 decreases objective by 2.45e+04. Factor retained.
  Nullcheck complete. Objective: -65860.78
Fitting factor/loading 4 (stop when difference in obj. is < 1.00e-02):
  Iteration      Objective   Obj Diff
          1       20564.43        Inf
          2       20568.09   3.66e+00
          3       20568.09   6.65e-04
Performing nullcheck...
  Deleting factor 4 decreases objective by 8.64e+04. Factor retained.
  Nullcheck complete. Objective: 20568.09
Fitting factor/loading 5 (stop when difference in obj. is < 1.00e-02):
  Iteration      Objective   Obj Diff
          1       20565.18        Inf
          2       20568.09   2.91e+00
          3       20568.09   0.00e+00
Performing nullcheck...
  Deleting factor 5 increases objective by 7.28e-12. Factor zeroed out.
  Nullcheck complete. Objective: 20568.09
par(mfcol=c(2,2))
plot(X.flash$ldf$f[,1])
plot(X.flash$ldf$f[,2])
plot(X.flash$ldf$f[,3])
plot(X.flash$ldf$f[,4])

Version Author Date
d0c86e8 Matthew Stephens 2020-08-10

Try ash prior…but it looks about the same.

X.flash = flashr::flash(X,10,ebnm_fn = list(l="ebnm_pn", f="ebnm_ash"),var_type = "constant")
Fitting factor/loading 1 (stop when difference in obj. is < 1.00e-02):
  Iteration      Objective   Obj Diff
          1     -122756.12        Inf
          2     -122752.26   3.86e+00
          3     -122752.12   1.40e-01
          4     -122752.02   1.05e-01
          5     -122751.94   7.95e-02
          6     -122751.88   6.03e-02
          7     -122751.83   4.58e-02
          8     -122751.80   3.50e-02
          9     -122751.77   2.68e-02
         10     -122751.75   2.06e-02
         11     -122751.73   1.59e-02
         12     -122751.72   1.24e-02
         13     -122751.71   9.65e-03
Performing nullcheck...
  Deleting factor 1 decreases objective by 1.83e+04. Factor retained.
  Nullcheck complete. Objective: -122751.71
Fitting factor/loading 2 (stop when difference in obj. is < 1.00e-02):
  Iteration      Objective   Obj Diff
          1      -90298.98        Inf
          2      -90295.31   3.67e+00
          3      -90295.30   1.90e-03
Performing nullcheck...
  Deleting factor 2 decreases objective by 3.25e+04. Factor retained.
  Nullcheck complete. Objective: -90295.3
Fitting factor/loading 3 (stop when difference in obj. is < 1.00e-02):
  Iteration      Objective   Obj Diff
          1      -65811.86        Inf
          2      -65807.92   3.94e+00
          3      -65807.69   2.35e-01
          4      -65807.49   1.99e-01
          5      -65807.32   1.69e-01
          6      -65807.18   1.43e-01
          7      -65807.05   1.21e-01
          8      -65806.95   1.03e-01
          9      -65806.86   8.74e-02
         10      -65806.79   7.42e-02
         11      -65806.73   6.30e-02
         12      -65806.67   5.35e-02
         13      -65806.63   4.55e-02
         14      -65806.59   3.87e-02
         15      -65806.56   3.29e-02
         16      -65806.53   2.80e-02
         17      -65806.50   2.39e-02
         18      -65806.48   2.03e-02
         19      -65806.47   1.73e-02
         20      -65806.45   1.48e-02
         21      -65806.44   1.26e-02
         22      -65806.43   1.08e-02
         23      -65806.42   9.22e-03
Performing nullcheck...
  Deleting factor 3 decreases objective by 2.45e+04. Factor retained.
  Nullcheck complete. Objective: -65806.42
Fitting factor/loading 4 (stop when difference in obj. is < 1.00e-02):
  Iteration      Objective   Obj Diff
          1       20638.36        Inf
          2       20642.02   3.66e+00
          3       20642.02   6.64e-04
Performing nullcheck...
  Deleting factor 4 decreases objective by 8.64e+04. Factor retained.
  Nullcheck complete. Objective: 20642.02
Fitting factor/loading 5 (stop when difference in obj. is < 1.00e-02):
  Iteration      Objective   Obj Diff
          1       20637.96        Inf
          2       20642.01   4.05e+00
          3       20642.01   7.37e-06
Performing nullcheck...
  Deleting factor 5 increases objective by 1.11e-02. Factor zeroed out.
  Nullcheck complete. Objective: 20642.02
par(mfcol=c(2,2))
plot(X.flash$ldf$f[,1])
plot(X.flash$ldf$f[,2])
plot(X.flash$ldf$f[,3])
plot(X.flash$ldf$f[,4])

Version Author Date
d0c86e8 Matthew Stephens 2020-08-10

In fact these all look essentially the same as the svd solution…

plot(X.flash$ldf$f[,1],X.svd$v[,1])

Version Author Date
d0c86e8 Matthew Stephens 2020-08-10
plot(X.flash$ldf$f[,2],X.svd$v[,2])

plot(X.flash$ldf$f[,3],X.svd$v[,3])

plot(X.flash$ldf$f[,4],X.svd$v[,4])

I guess maybe at the initialization the prior gets estimated close to normal, which results in no change….

flashr::flashier point-laplace

Jason had some luck with point laplace prior, so I thought I would add results with his code here. It did not seem to help.

fl_pl <- flashier::flash.init(t(X)) %>%
  flashier::flash.set.verbose(0) %>%
  flashier::flash.add.greedy(Kmax = 4, 
                   prior.family = c(prior.point.laplace(), prior.normal())) %>%
  flashier::flash.backfit(tol = 1e-4)

for(i in 1:4){
  plot(fl_pl$loadings.pm[[1]][,i])
}

Version Author Date
d0c86e8 Matthew Stephens 2020-08-10

Add noise

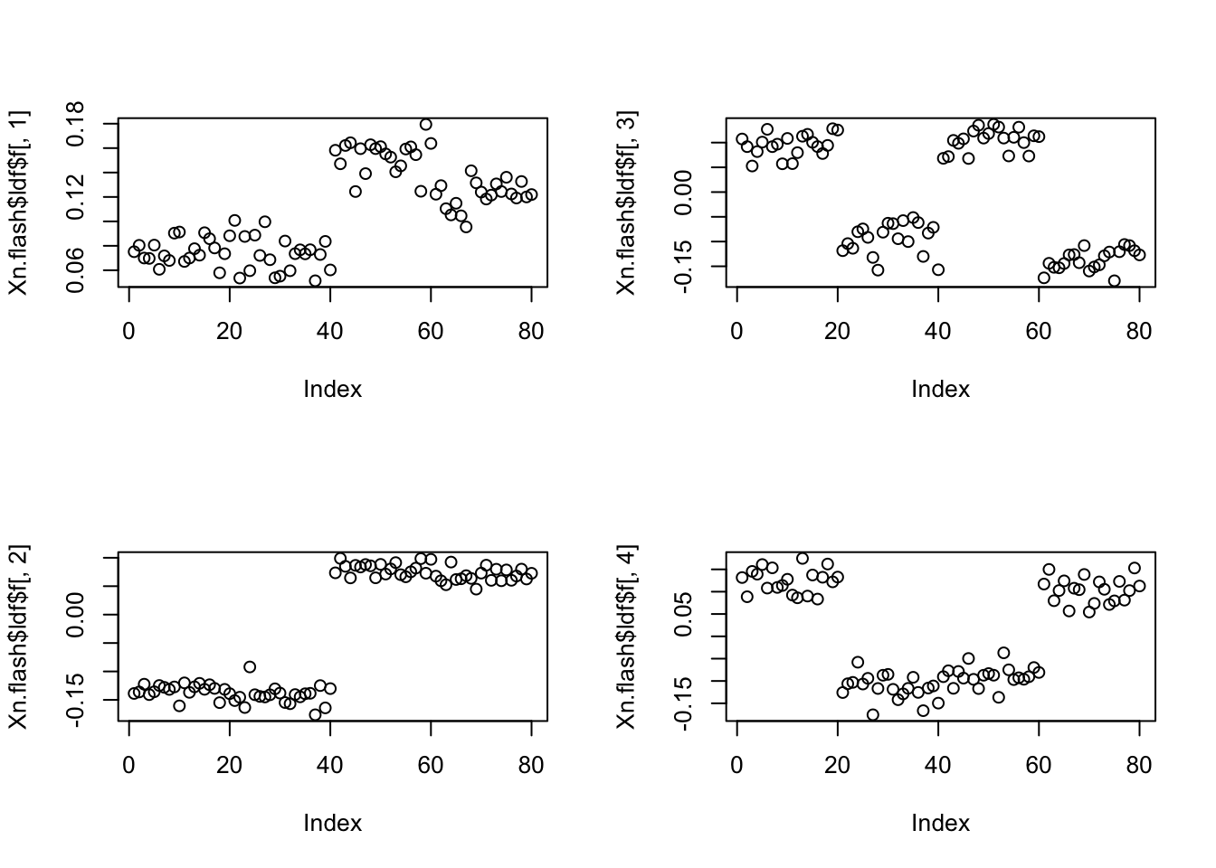
I tried adding some noise as I thought low noise could exacerbate convergence issues. I found sometimes it would help, depending on the seed.

Here’s an example where it does not help;

set.seed(9)
Xn = X + rnorm(4*n*p,sd=3)
Xn.flash = flashr::flash(Xn,10,ebnm_fn = list(l="ebnm_pn", f="ebnm_ash"),var_type = "constant")
Fitting factor/loading 1 (stop when difference in obj. is < 1.00e-02):
  Iteration      Objective   Obj Diff
          1     -207544.30        Inf
          2     -207540.51   3.79e+00
          3     -207540.50   7.39e-03
Performing nullcheck...
  Deleting factor 1 decreases objective by 1.88e+03. Factor retained.
  Nullcheck complete. Objective: -207540.5
Fitting factor/loading 2 (stop when difference in obj. is < 1.00e-02):
  Iteration      Objective   Obj Diff
          1     -205717.08        Inf
          2     -205713.30   3.78e+00
          3     -205713.30   9.41e-04
Performing nullcheck...
  Deleting factor 2 decreases objective by 1.83e+03. Factor retained.
  Nullcheck complete. Objective: -205713.3
Fitting factor/loading 3 (stop when difference in obj. is < 1.00e-02):
  Iteration      Objective   Obj Diff
          1     -205424.77        Inf
          2     -205420.29   4.47e+00
          3     -205420.21   8.19e-02
          4     -205420.16   5.67e-02
          5     -205420.10   5.16e-02
          6     -205420.05   4.86e-02
          7     -205420.01   4.63e-02
          8     -205419.96   4.43e-02
          9     -205419.92   4.26e-02
         10     -205419.88   4.12e-02
         11     -205419.84   4.00e-02
         12     -205419.80   3.90e-02
         13     -205419.76   3.81e-02
         14     -205419.73   3.74e-02
         15     -205419.69   3.68e-02
         16     -205419.65   3.64e-02
         17     -205419.62   3.61e-02
         18     -205419.58   3.59e-02
         19     -205419.55   3.57e-02
         20     -205419.51   3.57e-02
         21     -205419.47   3.57e-02
         22     -205419.44   3.57e-02
         23     -205419.40   3.59e-02
         24     -205419.37   3.60e-02
         25     -205419.33   3.63e-02
         26     -205419.29   3.65e-02
         27     -205419.26   3.68e-02
         28     -205419.22   3.63e-02
         29     -205419.19   3.31e-02
         30     -205419.16   3.08e-02
         31     -205419.13   2.88e-02
         32     -205419.10   2.70e-02
         33     -205419.08   2.54e-02
         34     -205419.05   2.39e-02
         35     -205419.03   2.24e-02
         36     -205419.01   2.11e-02
         37     -205418.99   1.98e-02
         38     -205418.97   1.87e-02
         39     -205418.95   1.76e-02
         40     -205418.94   1.65e-02
         41     -205418.92   1.56e-02
         42     -205418.90   1.47e-02
         43     -205418.89   1.38e-02
         44     -205418.88   1.30e-02
         45     -205418.87   1.23e-02
         46     -205418.85   1.16e-02
         47     -205418.84   1.09e-02
         48     -205418.83   1.03e-02
         49     -205418.82   9.73e-03
Performing nullcheck...
  Deleting factor 3 decreases objective by 2.94e+02. Factor retained.
  Nullcheck complete. Objective: -205418.82
Fitting factor/loading 4 (stop when difference in obj. is < 1.00e-02):
  Iteration      Objective   Obj Diff
          1     -205146.63        Inf
          2     -205142.29   4.34e+00
          3     -205142.28   1.27e-02
          4     -205142.28   2.37e-04
Performing nullcheck...
  Deleting factor 4 decreases objective by 2.77e+02. Factor retained.
  Nullcheck complete. Objective: -205142.28
Fitting factor/loading 5 (stop when difference in obj. is < 1.00e-02):
  Iteration      Objective   Obj Diff
          1     -205206.57        Inf
          2     -205193.36   1.32e+01
          3     -205189.31   4.04e+00
          4     -205186.34   2.97e+00
          5     -205184.02   2.32e+00
          6     -205182.31   1.70e+00
          7     -205180.72   1.59e+00
          8     -205179.03   1.69e+00
          9     -205175.89   3.14e+00
         10     -205172.29   3.59e+00
         11     -205170.36   1.93e+00
         12     -205169.73   6.31e-01
         13     -205169.53   1.99e-01
         14     -205169.42   1.17e-01
         15     -205169.21   2.10e-01
         16     -205169.13   7.60e-02
         17     -205169.02   1.15e-01
         18     -205168.70   3.20e-01
         19     -205167.67   1.03e+00
         20     -205166.82   8.43e-01
         21     -205166.77   5.29e-02
         22     -205166.76   6.25e-03
Performing nullcheck...
  Deleting factor 5 increases objective by 2.45e+01. Factor zeroed out.
  Nullcheck complete. Objective: -205142.28
par(mfcol=c(2,2))
plot(Xn.flash$ldf$f[,1])
plot(Xn.flash$ldf$f[,2])
plot(Xn.flash$ldf$f[,3])
plot(Xn.flash$ldf$f[,4])

Version Author Date
d0c86e8 Matthew Stephens 2020-08-10

Here is an example where it did help. (i had to search through several seeds to find one)

set.seed(5)
Xn = X + rnorm(4*n*p,sd=3)
Xn.flash = flashr::flash(Xn,10,ebnm_fn = list(l="ebnm_pn", f="ebnm_ash"),var_type = "constant")
Fitting factor/loading 1 (stop when difference in obj. is < 1.00e-02):
  Iteration      Objective   Obj Diff
          1     -207818.46        Inf
          2     -207814.67   3.79e+00
          3     -207814.66   6.45e-03
Performing nullcheck...
  Deleting factor 1 decreases objective by 1.84e+03. Factor retained.
  Nullcheck complete. Objective: -207814.66
Fitting factor/loading 2 (stop when difference in obj. is < 1.00e-02):
  Iteration      Objective   Obj Diff
          1     -206245.15        Inf
          2     -206241.34   3.81e+00
          3     -206241.34   3.20e-03
Performing nullcheck...
  Deleting factor 2 decreases objective by 1.57e+03. Factor retained.
  Nullcheck complete. Objective: -206241.34
Fitting factor/loading 3 (stop when difference in obj. is < 1.00e-02):
  Iteration      Objective   Obj Diff
          1     -205926.28        Inf
          2     -205919.49   6.78e+00
          3     -205919.10   3.94e-01
          4     -205919.04   6.22e-02
          5     -205919.03   1.28e-02
          6     -205919.02   3.65e-03
Performing nullcheck...
  Deleting factor 3 decreases objective by 3.22e+02. Factor retained.
  Nullcheck complete. Objective: -205919.02
Fitting factor/loading 4 (stop when difference in obj. is < 1.00e-02):
  Iteration      Objective   Obj Diff
          1     -205661.05        Inf
          2     -205655.22   5.84e+00
          3     -205654.78   4.32e-01
          4     -205654.67   1.16e-01
          5     -205654.64   3.25e-02
          6     -205654.63   1.00e-02
          7     -205654.62   3.45e-03
Performing nullcheck...
  Deleting factor 4 decreases objective by 2.64e+02. Factor retained.
  Nullcheck complete. Objective: -205654.62
Fitting factor/loading 5 (stop when difference in obj. is < 1.00e-02):
  Iteration      Objective   Obj Diff
          1     -205713.11        Inf
          2     -205702.77   1.03e+01
          3     -205701.59   1.18e+00
          4     -205701.08   5.16e-01
          5     -205700.64   4.37e-01
          6     -205700.06   5.79e-01
          7     -205698.99   1.06e+00
          8     -205696.53   2.47e+00
          9     -205691.37   5.16e+00
         10     -205684.14   7.22e+00
         11     -205678.13   6.02e+00
         12     -205678.11   1.79e-02
         13     -205678.11   0.00e+00
Performing nullcheck...
  Deleting factor 5 increases objective by 2.35e+01. Factor zeroed out.
  Nullcheck complete. Objective: -205654.62
par(mfcol=c(2,2))
plot(Xn.flash$ldf$f[,1])
plot(Xn.flash$ldf$f[,2])
plot(Xn.flash$ldf$f[,3])
plot(Xn.flash$ldf$f[,4])

Version Author Date
d0c86e8 Matthew Stephens 2020-08-10

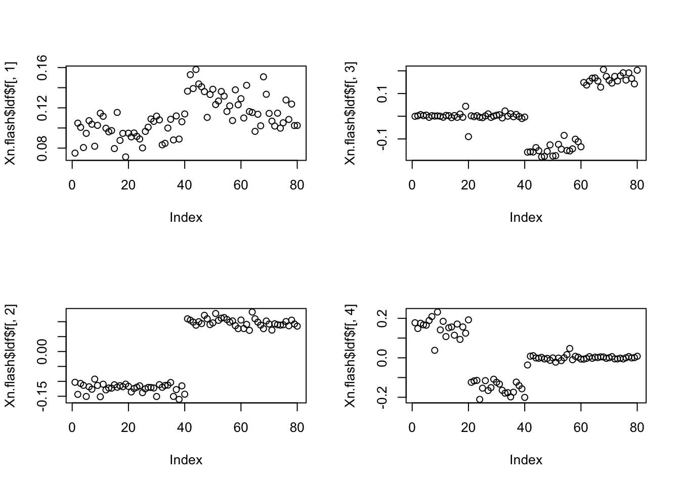
Is this because the svd happens to be sparse… looks like it. (That is, it is likely not really the noise per se that is helping here, but the initialization.)

Xn.svd = svd(Xn)
Xn.svd$d[1:4]
[1] 274.4662 252.4827 171.4019 164.3220
par(mfcol=c(2,2))
plot(Xn.svd$v[,1])
plot(Xn.svd$v[,2])
plot(Xn.svd$v[,3])
plot(Xn.svd$v[,4])

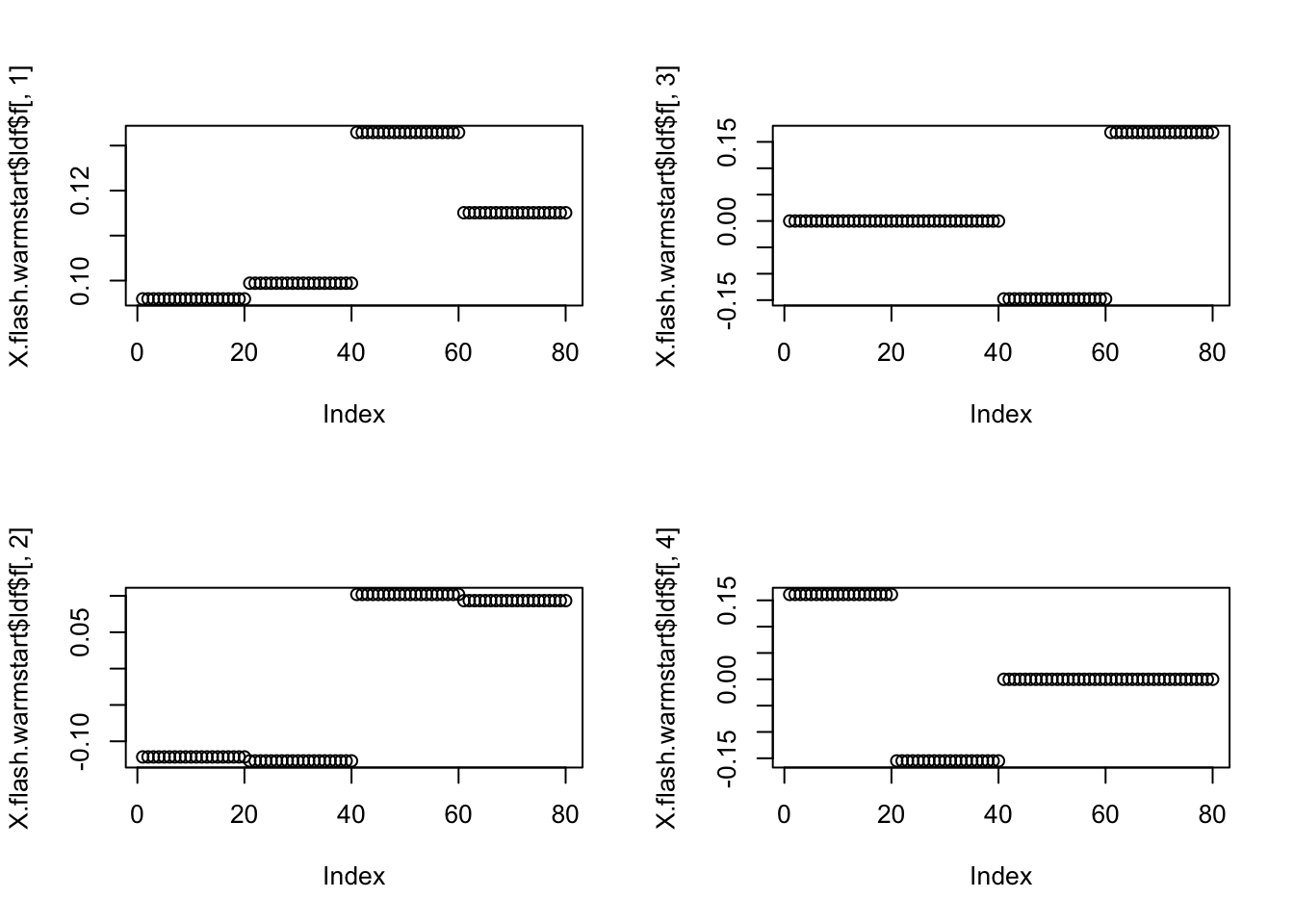
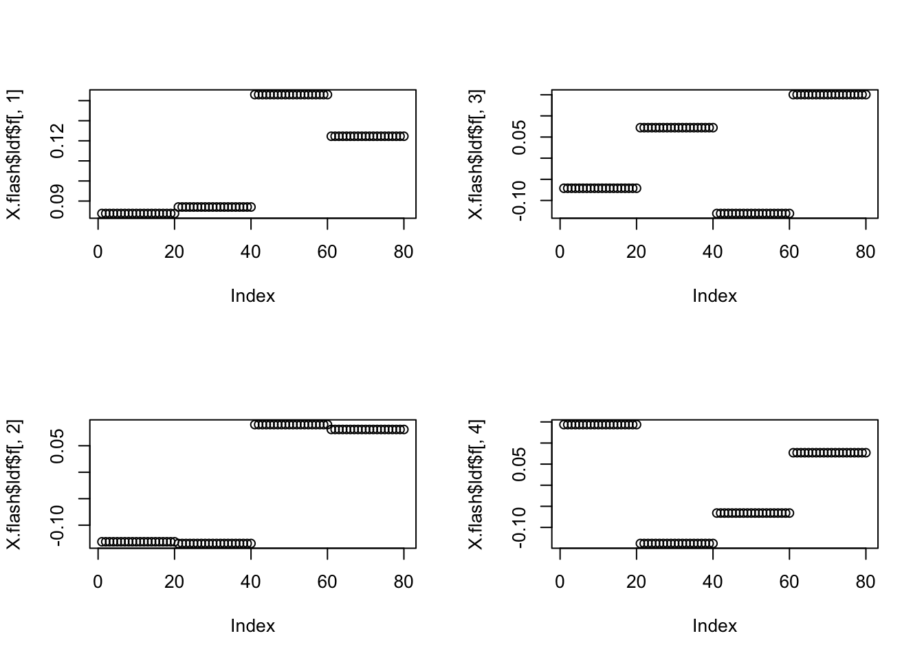
Using this fit to initialize on the non-noisy data leads to a much better solution:

X.flash.warmstart = flashr::flash(X,K=4,f_init=Xn.flash,ebnm_fn = list(l="ebnm_pn", f="ebnm_ash"),var_type = "constant",backfit = TRUE,greedy = FALSE)
Backfitting 4 factor/loading(s) (stop when difference in obj. is < 1.00e-02):
  Iteration      Objective   Obj Diff
          1      -22561.50        Inf
          2      127675.68   1.50e+05
          3      277187.43   1.50e+05
          4      424502.25   1.47e+05
          5      570868.91   1.46e+05
          6      716984.12   1.46e+05
          7      863101.91   1.46e+05
          8     1003104.16   1.40e+05
          9     1055225.60   5.21e+04
         10     1055916.90   6.91e+02
         11     1056004.19   8.73e+01
         12     1056015.01   1.08e+01
Warning in verbose_obj_decrease_warning(): An iteration decreased the objective.
This happens occasionally, perhaps due to numeric reasons. You could ignore this
warning, but you might like to check out https://github.com/stephenslab/flashr/
issues/26 for more details.
         13     1056000.70  -1.43e+01
Performing nullcheck...
  Deleting factor 1 decreases objective by 1.22e+06. Factor retained.
  Deleting factor 2 decreases objective by 1.21e+06. Factor retained.
  Deleting factor 3 decreases objective by 1.17e+06. Factor retained.
  Deleting factor 4 decreases objective by 1.17e+06. Factor retained.
  Nullcheck complete. Objective: 1056000.7
par(mfcol=c(2,2))
plot(X.flash.warmstart$ldf$f[,1])
plot(X.flash.warmstart$ldf$f[,2])
plot(X.flash.warmstart$ldf$f[,3])
plot(X.flash.warmstart$ldf$f[,4])

Version Author Date
159d030 Matthew Stephens 2020-08-10

And the objective with warmstart is much larger, demonstrating this is a convergence problem rather than a fundamental problem with the objective function:

X.flash$objective
[1] 20642.02
X.flash.warmstart$objective
[1] 1056001

Simplify and investigate further

To further simplify I’m going to remove the effects of the top branches so we are just left with the “difficult” part of the problem. (Actually distinguishing the top 2 solutions between (1,1,1,1) and (1,1,-1,-1) vs (1,1,0,0) and (0,0,1,1) is also interesting, but we leave that for now.)

X2 = X- X.svd$u[,1:2] %*% diag(X.svd$d[1:2]) %*% t(X.svd$v[,1:2])
X2.svd= svd(X2)
plot(X2.svd$v[,1])

Version Author Date
159d030 Matthew Stephens 2020-08-10

Run flashr::flash. As we know, with defaults, it just gives the svd solution. That is, it does not move from the initial value. (Note: I tried decreasing tol to 1e-14 and it did not change this result, just takes much longer to converge.)

X2.flash = flashr::flash(X2,1,var_type="constant",ebnm_fn = list(l="ebnm_pn",f="ebnm_ash"))
Fitting factor/loading 1 (stop when difference in obj. is < 1.00e-02):
  Iteration      Objective   Obj Diff
          1      -57104.19        Inf
          2      -57100.23   3.96e+00
          3      -57099.98   2.47e-01
          4      -57099.77   2.09e-01
          5      -57099.60   1.77e-01
          6      -57099.45   1.50e-01
          7      -57099.32   1.27e-01
          8      -57099.21   1.08e-01
          9      -57099.12   9.16e-02
         10      -57099.04   7.78e-02
         11      -57098.98   6.60e-02
         12      -57098.92   5.61e-02
         13      -57098.87   4.76e-02
         14      -57098.83   4.05e-02
         15      -57098.80   3.44e-02
         16      -57098.77   2.93e-02
         17      -57098.74   2.49e-02
         18      -57098.72   2.12e-02
         19      -57098.70   1.81e-02
         20      -57098.69   1.54e-02
         21      -57098.68   1.32e-02
         22      -57098.66   1.12e-02
         23      -57098.66   9.60e-03
Performing nullcheck...
  Deleting factor 1 decreases objective by 2.64e+04. Factor retained.
  Nullcheck complete. Objective: -57098.66
plot(X2.flash$ldf$f[,1],X2.svd$v[,1])

Version Author Date
159d030 Matthew Stephens 2020-08-10

Now I’m going to try to force a sparser solution by using a fixed (sparse) prior for f, and normal prior for l (with standard deviation given by the diagonal of the svd).

sd_grid = seq(0,1,length=20)
mean = rep(0,20)
pi = rep(1/20,20)
gf = ashr::normalmix(pi,mean,sd_grid)

gl = ashr::normalmix(c(1),c(0),c(sqrt(X2.svd$d[1])))

X2.flash = flashr::flash(X2,1,var_type="constant",ebnm_fn = list(l="ebnm_ash",f="ebnm_ash"),ebnm_param = list(l=list(g=gl,fixg=TRUE), f=list(g = gf,fixg=TRUE)))
Fitting factor/loading 1 (stop when difference in obj. is < 1.00e-02):
  Iteration      Objective   Obj Diff
          1      -57723.42        Inf
          2      -57711.82   1.16e+01
          3      -57703.94   7.89e+00
          4      -57696.15   7.78e+00
          5      -57688.46   7.69e+00
          6      -57680.86   7.60e+00
          7      -57673.35   7.51e+00
          8      -57665.92   7.43e+00
          9      -57658.56   7.36e+00
         10      -57651.28   7.28e+00
         11      -57644.07   7.21e+00
         12      -57636.94   7.14e+00
         13      -57629.87   7.07e+00
         14      -57622.87   7.00e+00
         15      -57615.94   6.93e+00
         16      -57609.08   6.86e+00
         17      -57602.28   6.80e+00
         18      -57595.55   6.73e+00
         19      -57588.89   6.66e+00
         20      -57582.29   6.60e+00
         21      -57575.76   6.53e+00
         22      -57569.30   6.47e+00
         23      -57562.90   6.40e+00
         24      -57556.56   6.33e+00
         25      -57550.30   6.27e+00
         26      -57544.09   6.20e+00
         27      -57537.96   6.13e+00
         28      -57531.89   6.07e+00
         29      -57525.89   6.00e+00
         30      -57519.96   5.93e+00
         31      -57514.10   5.86e+00
         32      -57508.30   5.80e+00
         33      -57502.57   5.73e+00
         34      -57496.91   5.66e+00
         35      -57491.32   5.59e+00
         36      -57485.80   5.52e+00
         37      -57480.34   5.45e+00
         38      -57474.96   5.39e+00
         39      -57469.64   5.32e+00
         40      -57464.39   5.25e+00
         41      -57459.22   5.18e+00
         42      -57454.11   5.11e+00
         43      -57449.07   5.04e+00
         44      -57444.10   4.97e+00
         45      -57439.21   4.90e+00
         46      -57434.38   4.83e+00
         47      -57429.62   4.76e+00
         48      -57424.93   4.69e+00
         49      -57420.31   4.62e+00
         50      -57415.77   4.55e+00
         51      -57411.29   4.48e+00
         52      -57406.88   4.41e+00
         53      -57402.54   4.34e+00
         54      -57398.27   4.27e+00
         55      -57394.07   4.20e+00
         56      -57389.94   4.13e+00
         57      -57385.88   4.06e+00
         58      -57381.88   3.99e+00
         59      -57377.96   3.93e+00
         60      -57374.10   3.86e+00
         61      -57370.31   3.79e+00
         62      -57366.59   3.72e+00
         63      -57362.93   3.65e+00
         64      -57359.35   3.59e+00
         65      -57355.82   3.52e+00
         66      -57352.37   3.46e+00
         67      -57348.98   3.39e+00
         68      -57345.65   3.33e+00
         69      -57342.39   3.26e+00
         70      -57339.19   3.20e+00
         71      -57336.06   3.13e+00
         72      -57332.99   3.07e+00
         73      -57329.99   3.01e+00
         74      -57327.04   2.95e+00
         75      -57324.16   2.88e+00
         76      -57321.33   2.82e+00
         77      -57318.57   2.76e+00
         78      -57315.87   2.70e+00
         79      -57313.22   2.64e+00
         80      -57310.64   2.59e+00
         81      -57308.11   2.53e+00
         82      -57305.63   2.47e+00
         83      -57303.22   2.42e+00
         84      -57300.86   2.36e+00
         85      -57298.55   2.31e+00
         86      -57296.30   2.25e+00
         87      -57294.10   2.20e+00
         88      -57291.96   2.15e+00
         89      -57289.86   2.09e+00
         90      -57287.82   2.04e+00
         91      -57285.83   1.99e+00
         92      -57283.89   1.94e+00
         93      -57281.99   1.89e+00
         94      -57280.14   1.85e+00
         95      -57278.34   1.80e+00
         96      -57276.59   1.75e+00
         97      -57274.88   1.71e+00
         98      -57273.22   1.66e+00
         99      -57271.60   1.62e+00
        100      -57270.03   1.58e+00
        101      -57268.49   1.53e+00
        102      -57267.00   1.49e+00
        103      -57265.55   1.45e+00
        104      -57264.14   1.41e+00
        105      -57262.77   1.37e+00
        106      -57261.43   1.33e+00
        107      -57260.13   1.30e+00
        108      -57258.88   1.26e+00
        109      -57257.65   1.22e+00
        110      -57256.46   1.19e+00
        111      -57255.31   1.15e+00
        112      -57254.19   1.12e+00
        113      -57253.10   1.09e+00
        114      -57252.05   1.05e+00
        115      -57251.02   1.02e+00
        116      -57250.03   9.93e-01
        117      -57249.07   9.63e-01
        118      -57248.13   9.34e-01
        119      -57247.23   9.05e-01
        120      -57246.35   8.77e-01
        121      -57245.50   8.50e-01
        122      -57244.68   8.23e-01
        123      -57243.88   7.98e-01
        124      -57243.11   7.72e-01
        125      -57242.36   7.48e-01
        126      -57241.64   7.24e-01
        127      -57240.94   7.01e-01
        128      -57240.26   6.78e-01
        129      -57239.60   6.56e-01
        130      -57238.97   6.35e-01
        131      -57238.35   6.14e-01
        132      -57237.76   5.94e-01
        133      -57237.19   5.74e-01
        134      -57236.63   5.55e-01
        135      -57236.10   5.36e-01
        136      -57235.58   5.18e-01
        137      -57235.08   5.01e-01
        138      -57234.59   4.84e-01
        139      -57234.13   4.67e-01
        140      -57233.67   4.51e-01
        141      -57233.24   4.36e-01
        142      -57232.82   4.21e-01
        143      -57232.41   4.06e-01
        144      -57232.02   3.92e-01
        145      -57231.64   3.78e-01
        146      -57231.28   3.65e-01
        147      -57230.93   3.52e-01
        148      -57230.59   3.39e-01
        149      -57230.26   3.27e-01
        150      -57229.94   3.16e-01
        151      -57229.64   3.04e-01
        152      -57229.34   2.93e-01
        153      -57229.06   2.83e-01
        154      -57228.79   2.73e-01
        155      -57228.53   2.63e-01
        156      -57228.27   2.53e-01
        157      -57228.03   2.44e-01
        158      -57227.79   2.35e-01
        159      -57227.57   2.26e-01
        160      -57227.35   2.18e-01
        161      -57227.14   2.10e-01
        162      -57226.94   2.02e-01
        163      -57226.74   1.95e-01
        164      -57226.56   1.87e-01
        165      -57226.38   1.80e-01
        166      -57226.20   1.73e-01
        167      -57226.04   1.67e-01
        168      -57225.88   1.61e-01
        169      -57225.72   1.54e-01
        170      -57225.57   1.49e-01
        171      -57225.43   1.43e-01
        172      -57225.29   1.37e-01
        173      -57225.16   1.32e-01
        174      -57225.03   1.27e-01
        175      -57224.91   1.22e-01
        176      -57224.79   1.18e-01
        177      -57224.68   1.13e-01
        178      -57224.57   1.09e-01
        179      -57224.47   1.04e-01
        180      -57224.37   1.00e-01
        181      -57224.27   9.64e-02
        182      -57224.18   9.27e-02
        183      -57224.09   8.90e-02
        184      -57224.00   8.55e-02
        185      -57223.92   8.22e-02
        186      -57223.84   7.89e-02
        187      -57223.77   7.58e-02
        188      -57223.69   7.28e-02
        189      -57223.62   6.99e-02
        190      -57223.56   6.72e-02
        191      -57223.49   6.45e-02
        192      -57223.43   6.19e-02
        193      -57223.37   5.95e-02
        194      -57223.31   5.71e-02
        195      -57223.26   5.48e-02
        196      -57223.21   5.26e-02
        197      -57223.15   5.05e-02
        198      -57223.11   4.85e-02
        199      -57223.06   4.65e-02
        200      -57223.02   4.47e-02
        201      -57222.97   4.29e-02
        202      -57222.93   4.11e-02
        203      -57222.89   3.95e-02
        204      -57222.85   3.79e-02
        205      -57222.82   3.63e-02
        206      -57222.78   3.48e-02
        207      -57222.75   3.34e-02
        208      -57222.72   3.21e-02
        209      -57222.69   3.08e-02
        210      -57222.66   2.95e-02
        211      -57222.63   2.83e-02
        212      -57222.60   2.71e-02
        213      -57222.58   2.60e-02
        214      -57222.55   2.50e-02
        215      -57222.53   2.39e-02
        216      -57222.50   2.30e-02
        217      -57222.48   2.20e-02
        218      -57222.46   2.11e-02
        219      -57222.44   2.02e-02
        220      -57222.42   1.94e-02
        221      -57222.40   1.86e-02
        222      -57222.38   1.78e-02
        223      -57222.37   1.71e-02
        224      -57222.35   1.64e-02
        225      -57222.34   1.57e-02
        226      -57222.32   1.51e-02
        227      -57222.31   1.44e-02
        228      -57222.29   1.38e-02
        229      -57222.28   1.33e-02
        230      -57222.27   1.27e-02
        231      -57222.25   1.22e-02
        232      -57222.24   1.17e-02
        233      -57222.23   1.12e-02
        234      -57222.22   1.07e-02
        235      -57222.21   1.03e-02
        236      -57222.20   9.84e-03
Performing nullcheck...
  Deleting factor 1 decreases objective by 2.63e+04. Factor retained.
  Nullcheck complete. Objective: -57222.2
plot(X2.flash$fit$EF[,1],X2.svd$v[,1])

I’m not sure I’m doing that right, but it did not seem to work…it is shrinking everything too uniformly?

Try iterative thresholding

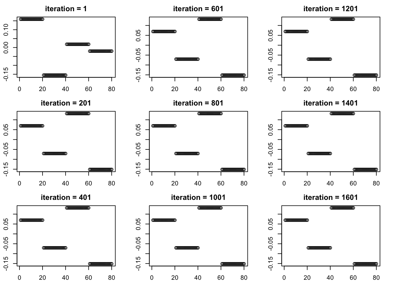
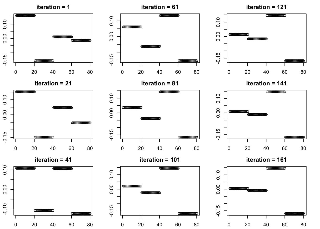
To help me understand, I try to implement a simple iterative-thresholding algorithm to estimate a single sparse PC, along the lines of this paper

Remarkably this example seems to not only converge to a good solution, but does so starting from near the “other” good solution. (Presumably this is because the likelihood slightly favours the one it converges to?)

soft_thresh = function(x,lambda=0.1){
  ifelse(abs(x)>lambda,sign(x)*(abs(x)-lambda),0)
}
normalize = function(x){x/sqrt(sum(x^2))}
S = cov(X2)
set.seed(1)
TT = rnorm(nrow(S))
TT = S %*% TT
TT = soft_thresh(TT)
TT = normalize(TT)
par(mfcol=c(3,3),mai=rep(0.3,4))
plot(TT,main="iteration = 1")
  
for(outer in 1:8){
  for(i in 1:20){
    TT = S %*% TT
    TT = soft_thresh(TT)
    TT = normalize(TT)
  }
  plot(TT,main = paste0("iteration = ",i*outer+1))
}

Try again with smaller lambda - does not work so well, showing that lambda matters (not suprising).

set.seed(1)
TT = rnorm(nrow(S))
TT = S %*% TT
TT = soft_thresh(TT,lambda=.01)
TT = normalize(TT)
par(mfcol=c(3,3),mai=rep(0.3,4))
plot(TT,main="iteration = 1")
  
for(outer in 1:8){
  for(i in 1:200){
    TT = S %*% TT
    TT = soft_thresh(TT,lambda=.01)
    TT = normalize(TT)
  }
  plot(TT,main = paste0("iteration = ",i*outer+1))
}

Try posterior mean shrinkage

Our EB approaches work with posterior means, so I wanted to repeat the above with the posterior mean shrinkage operator under a point-laplace prior instead. This is the posterior mean with 0.5 on each component and a=3.

x = rnorm(100)
w = 1 # prior on non-zero component
a = 3 # scale parameter of Laplace component
sd = 0.1 # assumed standard deviations of "data"
plot(x,postmean.laplace(x,sd,w,a))
abline(a=0,b=1,col="red",lwd=2)

plot(x,x/postmean.laplace(x,sd,w,a),main="shrinkage factor")

set.seed(1)
TT = rnorm(nrow(S))
TT = S %*% TT
TT = postmean.laplace(TT,sd,w,a)
TT = normalize(TT)
par(mfcol=c(3,3),mai=rep(0.3,4))
plot(TT,main="iteration = 1")
  
for(outer in 1:8){
  for(i in 1:200){
    TT = S %*% TT
    TT = postmean.laplace(TT,1,w,a)
    TT = normalize(TT)
  }
  plot(TT,main = paste0("iteration = ",i*outer+1))
}

Try a different starting point:

set.seed(2)
TT = rnorm(nrow(S))
TT = S %*% TT
TT = postmean.laplace(TT,sd,w,a)
TT = normalize(TT)
par(mfcol=c(3,3),mai=rep(0.3,4))
plot(TT,main="iteration = 1")
  
for(outer in 1:8){
  for(i in 1:200){
    TT = S %*% TT
    TT = postmean.laplace(TT,1,w,a)
    TT = normalize(TT)
  }
  plot(TT,main = paste0("iteration = ",i*outer+1))
}

More thoughts… wondering whether the problem is partly the independence assumption in the VB approximation. It seems the likelihood for the eigenvector is quite flat, so we should be able to get to the sparse solution quite easily. But I guess the posterior on (u,v) is quite dependent on one another. Maybe we can make a low-rank approximation to the posterior instead of independence?


sessionInfo()
R version 3.6.0 (2019-04-26)
Platform: x86_64-apple-darwin15.6.0 (64-bit)
Running under: macOS Mojave 10.14.6

Matrix products: default
BLAS:   /Library/Frameworks/R.framework/Versions/3.6/Resources/lib/libRblas.0.dylib
LAPACK: /Library/Frameworks/R.framework/Versions/3.6/Resources/lib/libRlapack.dylib

locale:
[1] en_US.UTF-8/en_US.UTF-8/en_US.UTF-8/C/en_US.UTF-8/en_US.UTF-8

attached base packages:
[1] stats     graphics  grDevices utils     datasets  methods   base     

other attached packages:
[1] EbayesThresh_1.4-12 sparsepca_0.1.2     magrittr_1.5       
[4] flashier_0.2.7      flashr_0.6-7       

loaded via a namespace (and not attached):
 [1] wavethresh_4.6.8 softImpute_1.4   tidyselect_1.1.0 xfun_0.16       
 [5] ashr_2.2-51      purrr_0.3.4      reshape2_1.4.4   lattice_0.20-41 
 [9] colorspace_1.4-1 vctrs_0.3.2      generics_0.0.2   htmltools_0.5.0 
[13] yaml_2.2.1       rlang_0.4.7      mixsqp_0.3-43    later_1.1.0.1   
[17] pillar_1.4.6     glue_1.4.1       lifecycle_0.2.0  plyr_1.8.6      
[21] stringr_1.4.0    munsell_0.5.0    gtable_0.3.0     workflowr_1.6.2 
[25] rsvd_1.0.3       evaluate_0.14    knitr_1.29       httpuv_1.5.4    
[29] invgamma_1.1     irlba_2.3.3      parallel_3.6.0   Rcpp_1.0.5      
[33] promises_1.1.1   backports_1.1.8  scales_1.1.1     truncnorm_1.0-8 
[37] fs_1.4.2         ggplot2_3.3.2    digest_0.6.25    stringi_1.4.6   
[41] dplyr_1.0.1      ebnm_0.1-24      grid_3.6.0       rprojroot_1.3-2 
[45] tools_3.6.0      tibble_3.0.3     crayon_1.3.4     whisker_0.4     
[49] pkgconfig_2.0.3  MASS_7.3-51.6    ellipsis_0.3.1   Matrix_1.2-18   
[53] SQUAREM_2020.3   rmarkdown_2.3    rstudioapi_0.11  R6_2.4.1        
[57] git2r_0.27.1     compiler_3.6.0