Last updated: 2020-06-29
Checks: 7 0
Knit directory: misc/analysis/
This reproducible R Markdown analysis was created with workflowr (version 1.6.1). The Checks tab describes the reproducibility checks that were applied when the results were created. The Past versions tab lists the development history.
Great! Since the R Markdown file has been committed to the Git repository, you know the exact version of the code that produced these results.
Great job! The global environment was empty. Objects defined in the global environment can affect the analysis in your R Markdown file in unknown ways. For reproduciblity it’s best to always run the code in an empty environment.
The command set.seed(1) was run prior to running the code in the R Markdown file. Setting a seed ensures that any results that rely on randomness, e.g. subsampling or permutations, are reproducible.
Great job! Recording the operating system, R version, and package versions is critical for reproducibility.
Nice! There were no cached chunks for this analysis, so you can be confident that you successfully produced the results during this run.
Great job! Using relative paths to the files within your workflowr project makes it easier to run your code on other machines.
Great! You are using Git for version control. Tracking code development and connecting the code version to the results is critical for reproducibility.
The results in this page were generated with repository version 9cc60e0. See the Past versions tab to see a history of the changes made to the R Markdown and HTML files.
Note that you need to be careful to ensure that all relevant files for the analysis have been committed to Git prior to generating the results (you can use wflow_publish or wflow_git_commit). workflowr only checks the R Markdown file, but you know if there are other scripts or data files that it depends on. Below is the status of the Git repository when the results were generated:
Ignored files:
Ignored: .DS_Store
Ignored: .Rhistory
Ignored: .Rproj.user/
Ignored: analysis/.RData
Ignored: analysis/.Rhistory
Ignored: analysis/ALStruct_cache/
Ignored: data/.Rhistory
Ignored: data/pbmc/
Untracked files:
Untracked: .dropbox
Untracked: Icon
Untracked: analysis/GHstan.Rmd
Untracked: analysis/GTEX-cogaps.Rmd
Untracked: analysis/PACS.Rmd
Untracked: analysis/Rplot.png
Untracked: analysis/SPCAvRP.rmd
Untracked: analysis/admm_02.Rmd
Untracked: analysis/admm_03.Rmd
Untracked: analysis/compare-transformed-models.Rmd
Untracked: analysis/cormotif.Rmd
Untracked: analysis/cp_ash.Rmd
Untracked: analysis/eQTL.perm.rand.pdf
Untracked: analysis/eb_prepilot.Rmd
Untracked: analysis/eb_var.Rmd
Untracked: analysis/ebpmf1.Rmd
Untracked: analysis/flash_test_tree.Rmd
Untracked: analysis/ieQTL.perm.rand.pdf
Untracked: analysis/lasso_em_03.Rmd
Untracked: analysis/m6amash.Rmd
Untracked: analysis/mash_bhat_z.Rmd
Untracked: analysis/mash_ieqtl_permutations.Rmd
Untracked: analysis/mixsqp.Rmd
Untracked: analysis/mr.ash_lasso_init.Rmd
Untracked: analysis/mr.mash.test.Rmd
Untracked: analysis/mr_ash_modular.Rmd
Untracked: analysis/mr_ash_parameterization.Rmd
Untracked: analysis/mr_ash_pen.Rmd
Untracked: analysis/mr_ash_ridge.Rmd
Untracked: analysis/nejm.Rmd
Untracked: analysis/normalize.Rmd
Untracked: analysis/pbmc.Rmd
Untracked: analysis/poisson_transform.Rmd
Untracked: analysis/pseudodata.Rmd
Untracked: analysis/qrnotes.txt
Untracked: analysis/ridge_iterative_02.Rmd
Untracked: analysis/ridge_iterative_splitting.Rmd
Untracked: analysis/samps/
Untracked: analysis/sc_bimodal.Rmd
Untracked: analysis/shrinkage_comparisons_changepoints.Rmd
Untracked: analysis/susie_en.Rmd
Untracked: analysis/susie_z_investigate.Rmd
Untracked: analysis/svd-timing.Rmd
Untracked: analysis/temp.RDS
Untracked: analysis/temp.Rmd
Untracked: analysis/test-figure/
Untracked: analysis/test.Rmd
Untracked: analysis/test.Rpres
Untracked: analysis/test.md
Untracked: analysis/test_qr.R
Untracked: analysis/test_sparse.Rmd
Untracked: analysis/z.txt
Untracked: code/multivariate_testfuncs.R
Untracked: code/rqb.hacked.R
Untracked: data/4matthew/
Untracked: data/4matthew2/
Untracked: data/E-MTAB-2805.processed.1/
Untracked: data/ENSG00000156738.Sim_Y2.RDS
Untracked: data/GDS5363_full.soft.gz
Untracked: data/GSE41265_allGenesTPM.txt
Untracked: data/Muscle_Skeletal.ACTN3.pm1Mb.RDS
Untracked: data/Thyroid.FMO2.pm1Mb.RDS
Untracked: data/bmass.HaemgenRBC2016.MAF01.Vs2.MergedDataSources.200kRanSubset.ChrBPMAFMarkerZScores.vs1.txt.gz
Untracked: data/bmass.HaemgenRBC2016.Vs2.NewSNPs.ZScores.hclust.vs1.txt
Untracked: data/bmass.HaemgenRBC2016.Vs2.PreviousSNPs.ZScores.hclust.vs1.txt
Untracked: data/eb_prepilot/
Untracked: data/finemap_data/fmo2.sim/b.txt
Untracked: data/finemap_data/fmo2.sim/dap_out.txt
Untracked: data/finemap_data/fmo2.sim/dap_out2.txt
Untracked: data/finemap_data/fmo2.sim/dap_out2_snp.txt
Untracked: data/finemap_data/fmo2.sim/dap_out_snp.txt
Untracked: data/finemap_data/fmo2.sim/data
Untracked: data/finemap_data/fmo2.sim/fmo2.sim.config
Untracked: data/finemap_data/fmo2.sim/fmo2.sim.k
Untracked: data/finemap_data/fmo2.sim/fmo2.sim.k4.config
Untracked: data/finemap_data/fmo2.sim/fmo2.sim.k4.snp
Untracked: data/finemap_data/fmo2.sim/fmo2.sim.ld
Untracked: data/finemap_data/fmo2.sim/fmo2.sim.snp
Untracked: data/finemap_data/fmo2.sim/fmo2.sim.z
Untracked: data/finemap_data/fmo2.sim/pos.txt
Untracked: data/logm.csv
Untracked: data/m.cd.RDS
Untracked: data/m.cdu.old.RDS
Untracked: data/m.new.cd.RDS
Untracked: data/m.old.cd.RDS
Untracked: data/mainbib.bib.old
Untracked: data/mat.csv
Untracked: data/mat.txt
Untracked: data/mat_new.csv
Untracked: data/matrix_lik.rds
Untracked: data/paintor_data/
Untracked: data/temp.txt
Untracked: data/y.txt
Untracked: data/y_f.txt
Untracked: data/zscore_jointLCLs_m6AQTLs_susie_eQTLpruned.rds
Untracked: data/zscore_jointLCLs_random.rds
Untracked: explore_udi.R
Untracked: output/fit.k10.rds
Untracked: output/fit.varbvs.RDS
Untracked: output/glmnet.fit.RDS
Untracked: output/test.bv.txt
Untracked: output/test.gamma.txt
Untracked: output/test.hyp.txt
Untracked: output/test.log.txt
Untracked: output/test.param.txt
Untracked: output/test2.bv.txt
Untracked: output/test2.gamma.txt
Untracked: output/test2.hyp.txt
Untracked: output/test2.log.txt
Untracked: output/test2.param.txt
Untracked: output/test3.bv.txt
Untracked: output/test3.gamma.txt
Untracked: output/test3.hyp.txt
Untracked: output/test3.log.txt
Untracked: output/test3.param.txt
Untracked: output/test4.bv.txt
Untracked: output/test4.gamma.txt
Untracked: output/test4.hyp.txt
Untracked: output/test4.log.txt
Untracked: output/test4.param.txt
Untracked: output/test5.bv.txt
Untracked: output/test5.gamma.txt
Untracked: output/test5.hyp.txt
Untracked: output/test5.log.txt
Untracked: output/test5.param.txt
Unstaged changes:
Modified: analysis/ash_delta_operator.Rmd
Modified: analysis/ash_pois_bcell.Rmd
Modified: analysis/lasso_em.Rmd
Modified: analysis/minque.Rmd
Modified: analysis/mr_missing_data.Rmd
Note that any generated files, e.g. HTML, png, CSS, etc., are not included in this status report because it is ok for generated content to have uncommitted changes.
These are the previous versions of the repository in which changes were made to the R Markdown (analysis/ridge_admm.Rmd) and HTML (docs/ridge_admm.html) files. If you’ve configured a remote Git repository (see ?wflow_git_remote), click on the hyperlinks in the table below to view the files as they were in that past version.
| File | Version | Author | Date | Message |
|---|---|---|---|---|
| Rmd | 9cc60e0 | Matthew Stephens | 2020-06-29 | workflowr::wflow_publish(“ridge_admm.Rmd”) |
Here I want to use ADMM (see this exampe for my previous code on this) to fit ridge regression with heterogeneous prior variances, which can be written as: \[\min f(x) + g(x)\] where \(f(x) = (1/2\sigma^2) ||y-Ax||_2^2\) and \(g(x) = \sum_j x^2_j/2s^2_j\). Here \(s_j^2\) is the prior variance for “coefficient”" \(x_j\). to be consistent with my previous example I write \(\lambda_j = 1/2s_j^2\).
# note that lambda is as vector here
obj_l2 = function(x,y,A,lambda, residual_variance=1){
(1/(2*residual_variance)) * sum((y- A %*% x)^2) + sum(x^2*lambda)
}
My motivation is that this could be a good approach in situations where the hetergeneous prior variances are changing from iteration to iteration, as one can do one SVD of \(X\) upfront and then use that to solve the ADMM subproblem, which has homogenous variances.
The ADMM steps, also equivalent to Douglas–Rachford, are given in these lecture notes as:
\[x \leftarrow \text{prox}_{f,1/\rho} (z-w)\]
\[z \leftarrow \text{prox}_{g,1/\rho}(x+w)\]
\[w \leftarrow w + x - z\]
where the proximal operator is defined as
\[\text{prox}_{h,t}(x) := \arg \min_z [ (1/2t) ||x-z||_2^2 + h(z)]\]
For now I’ll use the proximal operator for \(f\) is as in my previous example, but later I plan to switch it out for something more efficient.
# Note that allows for non-zero prior mean -- ridge regression is usually 0 prior mean
ridge = function(y,A,prior_variance,prior_mean=rep(0,ncol(A)),residual_variance=1){
n = length(y)
p = ncol(A)
L = chol(t(A) %*% A + (residual_variance/prior_variance)*diag(p))
b = backsolve(L, t(A) %*% y + (residual_variance/prior_variance)*prior_mean, transpose=TRUE)
b = backsolve(L, b)
#b = chol2inv(L) %*% (t(A) %*% y + (residual_variance/prior_variance)*prior_mean)
return(b)
}
prox_regression = function(x, t, y, A, residual_variance=1){
ridge(y,A,prior_variance = t,prior_mean = x,residual_variance)
}
The proximal operator for \(g\) is: \[\text{prox}_{g,t}(x) := \arg \min_z [ (1/2t) ||x-z||_2^2 + \sum_j \lambda_j z_j^2]\] which is the posterior mean, for the normal means problem with data \(z\), prior variances \(1/(2\lambda_j)\) and data variance \(t\):
# I use sb2 for the prior variance of regression coefficients. Here it is a vector of variances.
prox_l2_het = function(x,t,lambda){
prior_prec = 2*lambda # prior precision
data_prec = 1/t
return(x * data_prec/(data_prec+prior_prec))
}
This admm_fn function is taken from my previous example, with defaults changed:
admm_fn = function(y,A,rho,lambda,prox_f=prox_regression, prox_g = prox_l2_het, obj_fn = obj_l2, niter=1000, z_init=NULL){
p = ncol(A)
x = matrix(0,nrow=niter+1,ncol=p)
z = x
w = x
if(!is.null(z_init)){
z[1,] = z_init
}
obj_x = rep(0,niter+1)
obj_z = rep(0,niter+1)
obj_x[1] = obj_fn(x[1,],y,A,lambda)
obj_z[1] = obj_fn(z[1,],y,A,lambda)
for(i in 1:niter){
x[i+1,] = prox_f(z[i,] - w[i,],1/rho,y,A)
z[i+1,] = prox_g(x[i+1,] + w[i,],1/rho,lambda)
w[i+1,] = w[i,] + x[i+1,] - z[i+1,]
obj_x[i+1] = obj_fn(x[i+1,],y,A,lambda)
obj_z[i+1] = obj_fn(z[i+1,],y,A,lambda)
}
return(list(x=x,z=z,w=w,obj_x=obj_x, obj_z=obj_z))
}
Here I simulate some data from my trend-filtering example:
set.seed(100)
n = 100
p = n
X = matrix(0,nrow=n,ncol=n)
for(i in 1:n){
X[i:n,i] = 1:(n-i+1)
}
btrue = rep(0,n)
btrue[40] = 8
btrue[41] = -8
Y = X %*% btrue + rnorm(n)
plot(Y)
lines(X %*% btrue)

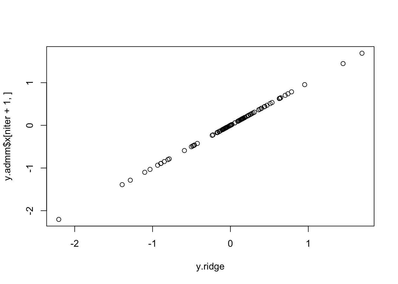
And apply admm and compare with direct ridge approach to solve with heterogeneous variances:
y = Y
A = X
niter = 100
lambda = rexp(n)
y.admm = admm_fn(y,A,rho=1,lambda=lambda,niter= niter)
plot(y.admm$obj_x[-1])

plot(y.admm$obj_z[-1])

plot(y,main="fitted values, admm (red) and direct ridge (green)")
lines(A %*% y.admm$x[niter+1,],col=2)
y.ridge = ridge(y,A,prior_variance = 0.5/lambda)
lines(A %*% y.ridge,col=3)

plot(y.ridge,y.admm$x[niter+1,])

sessionInfo()
R version 3.6.0 (2019-04-26)
Platform: x86_64-apple-darwin15.6.0 (64-bit)
Running under: macOS Mojave 10.14.6
Matrix products: default
BLAS: /Library/Frameworks/R.framework/Versions/3.6/Resources/lib/libRblas.0.dylib
LAPACK: /Library/Frameworks/R.framework/Versions/3.6/Resources/lib/libRlapack.dylib
locale:
[1] en_US.UTF-8/en_US.UTF-8/en_US.UTF-8/C/en_US.UTF-8/en_US.UTF-8
attached base packages:
[1] stats graphics grDevices utils datasets methods base
loaded via a namespace (and not attached):
[1] workflowr_1.6.1 Rcpp_1.0.4.6 rprojroot_1.3-2 digest_0.6.25
[5] later_1.0.0 R6_2.4.1 backports_1.1.5 git2r_0.26.1
[9] magrittr_1.5 evaluate_0.14 stringi_1.4.6 rlang_0.4.5
[13] fs_1.3.2 promises_1.1.0 whisker_0.4 rmarkdown_2.1
[17] tools_3.6.0 stringr_1.4.0 glue_1.4.0 httpuv_1.5.2
[21] xfun_0.12 yaml_2.2.1 compiler_3.6.0 htmltools_0.4.0
[25] knitr_1.28