Last updated: 2021-01-23
Checks: 7 0
Knit directory: misc/analysis/
This reproducible R Markdown analysis was created with workflowr (version 1.6.2). The Checks tab describes the reproducibility checks that were applied when the results were created. The Past versions tab lists the development history.
Great! Since the R Markdown file has been committed to the Git repository, you know the exact version of the code that produced these results.
Great job! The global environment was empty. Objects defined in the global environment can affect the analysis in your R Markdown file in unknown ways. For reproduciblity it’s best to always run the code in an empty environment.
The command set.seed(1)
was run prior to running the code in the R Markdown file. Setting a seed ensures that any results that rely on randomness, e.g. subsampling or permutations, are reproducible.
Great job! Recording the operating system, R version, and package versions is critical for reproducibility.
Nice! There were no cached chunks for this analysis, so you can be confident that you successfully produced the results during this run.
Great job! Using relative paths to the files within your workflowr project makes it easier to run your code on other machines.
Great! You are using Git for version control. Tracking code development and connecting the code version to the results is critical for reproducibility.
The results in this page were generated with repository version 32ba051. See the Past versions tab to see a history of the changes made to the R Markdown and HTML files.
Note that you need to be careful to ensure that all relevant files for the analysis have been committed to Git prior to generating the results (you can use wflow_publish
or wflow_git_commit
). workflowr only checks the R Markdown file, but you know if there are other scripts or data files that it depends on. Below is the status of the Git repository when the results were generated:
Ignored files:
Ignored: .DS_Store
Ignored: .Rhistory
Ignored: .Rproj.user/
Ignored: analysis/.RData
Ignored: analysis/.Rhistory
Ignored: analysis/ALStruct_cache/
Ignored: data/.Rhistory
Ignored: data/pbmc/
Untracked files:
Untracked: .dropbox
Untracked: Icon
Untracked: analysis/GHstan.Rmd
Untracked: analysis/GTEX-cogaps.Rmd
Untracked: analysis/PACS.Rmd
Untracked: analysis/Rplot.png
Untracked: analysis/SPCAvRP.rmd
Untracked: analysis/admm_02.Rmd
Untracked: analysis/admm_03.Rmd
Untracked: analysis/compare-transformed-models.Rmd
Untracked: analysis/cormotif.Rmd
Untracked: analysis/cp_ash.Rmd
Untracked: analysis/eQTL.perm.rand.pdf
Untracked: analysis/eb_prepilot.Rmd
Untracked: analysis/eb_var.Rmd
Untracked: analysis/ebpmf1.Rmd
Untracked: analysis/flash_test_tree.Rmd
Untracked: analysis/flash_tree.Rmd
Untracked: analysis/ieQTL.perm.rand.pdf
Untracked: analysis/lasso_em_03.Rmd
Untracked: analysis/m6amash.Rmd
Untracked: analysis/mash_bhat_z.Rmd
Untracked: analysis/mash_ieqtl_permutations.Rmd
Untracked: analysis/mixsqp.Rmd
Untracked: analysis/mr.ash_lasso_init.Rmd
Untracked: analysis/mr.mash.test.Rmd
Untracked: analysis/mr_ash_modular.Rmd
Untracked: analysis/mr_ash_parameterization.Rmd
Untracked: analysis/mr_ash_pen.Rmd
Untracked: analysis/mr_ash_ridge.Rmd
Untracked: analysis/nejm.Rmd
Untracked: analysis/nmf_bg.Rmd
Untracked: analysis/normal_conditional_on_r2.Rmd
Untracked: analysis/normalize.Rmd
Untracked: analysis/pbmc.Rmd
Untracked: analysis/poisson_transform.Rmd
Untracked: analysis/pseudodata.Rmd
Untracked: analysis/qrnotes.txt
Untracked: analysis/ridge_iterative_02.Rmd
Untracked: analysis/ridge_iterative_splitting.Rmd
Untracked: analysis/samps/
Untracked: analysis/sc_bimodal.Rmd
Untracked: analysis/shrinkage_comparisons_changepoints.Rmd
Untracked: analysis/susie_en.Rmd
Untracked: analysis/susie_z_investigate.Rmd
Untracked: analysis/svd-timing.Rmd
Untracked: analysis/temp.RDS
Untracked: analysis/temp.Rmd
Untracked: analysis/test-figure/
Untracked: analysis/test.Rmd
Untracked: analysis/test.Rpres
Untracked: analysis/test.md
Untracked: analysis/test_qr.R
Untracked: analysis/test_sparse.Rmd
Untracked: analysis/z.txt
Untracked: code/multivariate_testfuncs.R
Untracked: code/rqb.hacked.R
Untracked: data/4matthew/
Untracked: data/4matthew2/
Untracked: data/E-MTAB-2805.processed.1/
Untracked: data/ENSG00000156738.Sim_Y2.RDS
Untracked: data/GDS5363_full.soft.gz
Untracked: data/GSE41265_allGenesTPM.txt
Untracked: data/Muscle_Skeletal.ACTN3.pm1Mb.RDS
Untracked: data/Thyroid.FMO2.pm1Mb.RDS
Untracked: data/bmass.HaemgenRBC2016.MAF01.Vs2.MergedDataSources.200kRanSubset.ChrBPMAFMarkerZScores.vs1.txt.gz
Untracked: data/bmass.HaemgenRBC2016.Vs2.NewSNPs.ZScores.hclust.vs1.txt
Untracked: data/bmass.HaemgenRBC2016.Vs2.PreviousSNPs.ZScores.hclust.vs1.txt
Untracked: data/eb_prepilot/
Untracked: data/finemap_data/fmo2.sim/b.txt
Untracked: data/finemap_data/fmo2.sim/dap_out.txt
Untracked: data/finemap_data/fmo2.sim/dap_out2.txt
Untracked: data/finemap_data/fmo2.sim/dap_out2_snp.txt
Untracked: data/finemap_data/fmo2.sim/dap_out_snp.txt
Untracked: data/finemap_data/fmo2.sim/data
Untracked: data/finemap_data/fmo2.sim/fmo2.sim.config
Untracked: data/finemap_data/fmo2.sim/fmo2.sim.k
Untracked: data/finemap_data/fmo2.sim/fmo2.sim.k4.config
Untracked: data/finemap_data/fmo2.sim/fmo2.sim.k4.snp
Untracked: data/finemap_data/fmo2.sim/fmo2.sim.ld
Untracked: data/finemap_data/fmo2.sim/fmo2.sim.snp
Untracked: data/finemap_data/fmo2.sim/fmo2.sim.z
Untracked: data/finemap_data/fmo2.sim/pos.txt
Untracked: data/logm.csv
Untracked: data/m.cd.RDS
Untracked: data/m.cdu.old.RDS
Untracked: data/m.new.cd.RDS
Untracked: data/m.old.cd.RDS
Untracked: data/mainbib.bib.old
Untracked: data/mat.csv
Untracked: data/mat.txt
Untracked: data/mat_new.csv
Untracked: data/matrix_lik.rds
Untracked: data/paintor_data/
Untracked: data/running_data_chris.csv
Untracked: data/running_data_matthew.csv
Untracked: data/temp.txt
Untracked: data/y.txt
Untracked: data/y_f.txt
Untracked: data/zscore_jointLCLs_m6AQTLs_susie_eQTLpruned.rds
Untracked: data/zscore_jointLCLs_random.rds
Untracked: explore_udi.R
Untracked: output/fit.k10.rds
Untracked: output/fit.varbvs.RDS
Untracked: output/glmnet.fit.RDS
Untracked: output/test.bv.txt
Untracked: output/test.gamma.txt
Untracked: output/test.hyp.txt
Untracked: output/test.log.txt
Untracked: output/test.param.txt
Untracked: output/test2.bv.txt
Untracked: output/test2.gamma.txt
Untracked: output/test2.hyp.txt
Untracked: output/test2.log.txt
Untracked: output/test2.param.txt
Untracked: output/test3.bv.txt
Untracked: output/test3.gamma.txt
Untracked: output/test3.hyp.txt
Untracked: output/test3.log.txt
Untracked: output/test3.param.txt
Untracked: output/test4.bv.txt
Untracked: output/test4.gamma.txt
Untracked: output/test4.hyp.txt
Untracked: output/test4.log.txt
Untracked: output/test4.param.txt
Untracked: output/test5.bv.txt
Untracked: output/test5.gamma.txt
Untracked: output/test5.hyp.txt
Untracked: output/test5.log.txt
Untracked: output/test5.param.txt
Unstaged changes:
Modified: analysis/ash_delta_operator.Rmd
Modified: analysis/ash_pois_bcell.Rmd
Modified: analysis/lasso_em.Rmd
Modified: analysis/minque.Rmd
Modified: analysis/mr_missing_data.Rmd
Modified: analysis/ridge_admm.Rmd
Note that any generated files, e.g. HTML, png, CSS, etc., are not included in this status report because it is ok for generated content to have uncommitted changes.
These are the previous versions of the repository in which changes were made to the R Markdown (analysis/prec_vs_cov.Rmd
) and HTML (docs/prec_vs_cov.html
) files. If you’ve configured a remote Git repository (see ?wflow_git_remote
), click on the hyperlinks in the table below to view the files as they were in that past version.
File | Version | Author | Date | Message |
---|---|---|---|---|
Rmd | 32ba051 | Matthew Stephens | 2021-01-23 | workflowr::wflow_publish(“prec_vs_cov.Rmd”) |
Here I look at the difference between the precision and covariance for ridge regression.
With suitable scaling, the precision matrix (Omega) is \((X'X+I)\) and covariance (Sigma) is inverse of this. I’m going to look at this when the elements of \(X\) are iid N(0,1).
First I am going to check I have got the right formulae to compute the diagonal elements of Omega and Sigma from an SVD of X, by comparing with direct inversion:
n = 10
p = 20
X = matrix(rnorm(n*p),nrow=n)
Omega = t(X) %*% X + diag(p)
Sigma = chol2inv(chol(Omega))
compute_diags = function(X){
udv = svd(X)
d2 = udv$d^2
v = udv$v
Sigma_diag = 1 - colSums((d2/(1+d2))*t(v^2))
Omega_diag = 1 + colSums(d2*t(v^2))
return(list(Sigma_diag=Sigma_diag,Omega_diag = Omega_diag, inv_Omega_diag = 1/Omega_diag))
}
res = compute_diags(X)
res$Sigma_diag - diag(Sigma)
[1] -3.330669e-16 -4.440892e-16 -5.551115e-16 -1.110223e-16 4.440892e-16
[6] 0.000000e+00 1.110223e-16 0.000000e+00 3.330669e-16 1.110223e-16
[11] 2.220446e-16 -2.220446e-16 8.881784e-16 7.771561e-16 4.996004e-16
[16] -1.665335e-16 2.220446e-16 -6.106227e-16 4.440892e-16 2.220446e-16
res$Omega_diag - diag(Omega)
[1] 8.881784e-16 8.881784e-15 1.953993e-14 6.217249e-15 -5.329071e-15
[6] -3.552714e-15 1.421085e-14 1.776357e-15 7.993606e-15 3.552714e-15
[11] -5.329071e-15 4.440892e-15 1.776357e-15 3.552714e-15 1.776357e-14
[16] 3.552714e-15 -1.776357e-15 8.881784e-15 1.065814e-14 1.776357e-15
If n>>p then diagonal of Sigma and inverse of diagonal of Omega are similar, and look like 1/n, independent of p.
compare_means = function(n,p){
X = matrix(rnorm(n*p),nrow=n)
res = compute_diags(X)
lapply(res,mean)
}
compare_means(1000,100)
$Sigma_diag
[1] 0.00110587
$Omega_diag
[1] 1008.187
$inv_Omega_diag
[1] 0.0009940994
compare_means(10000,100)
$Sigma_diag
[1] 0.0001010482
$Omega_diag
[1] 9997.386
$inv_Omega_diag
[1] 0.0001000428
compare_means(100,20)
$Sigma_diag
[1] 0.0127932
$Omega_diag
[1] 99.12597
$inv_Omega_diag
[1] 0.01021614
compare_means(1000,20)
$Sigma_diag
[1] 0.001006495
$Omega_diag
[1] 1013.262
$inv_Omega_diag
[1] 0.0009898052
compare_means(10000,20)
$Sigma_diag
[1] 9.944003e-05
$Omega_diag
[1] 10080.04
$inv_Omega_diag
[1] 9.922732e-05
If p>n then the inverse of Omega_diag continues to look like 1/n but Sigma looks like 1-(n/p).
compare_means(100,100)
$Sigma_diag
[1] 0.09546693
$Omega_diag
[1] 100.3718
$inv_Omega_diag
[1] 0.01013801
compare_means(100,1000)
$Sigma_diag
[1] 0.9001111
$Omega_diag
[1] 101.0955
$inv_Omega_diag
[1] 0.01010052
compare_means(100,10000)
$Sigma_diag
[1] 0.990001
$Omega_diag
[1] 101.1118
$inv_Omega_diag
[1] 0.01008871
compare_means(100,100000)
$Sigma_diag
[1] 0.999
$Omega_diag
[1] 101.0076
$inv_Omega_diag
[1] 0.01009906
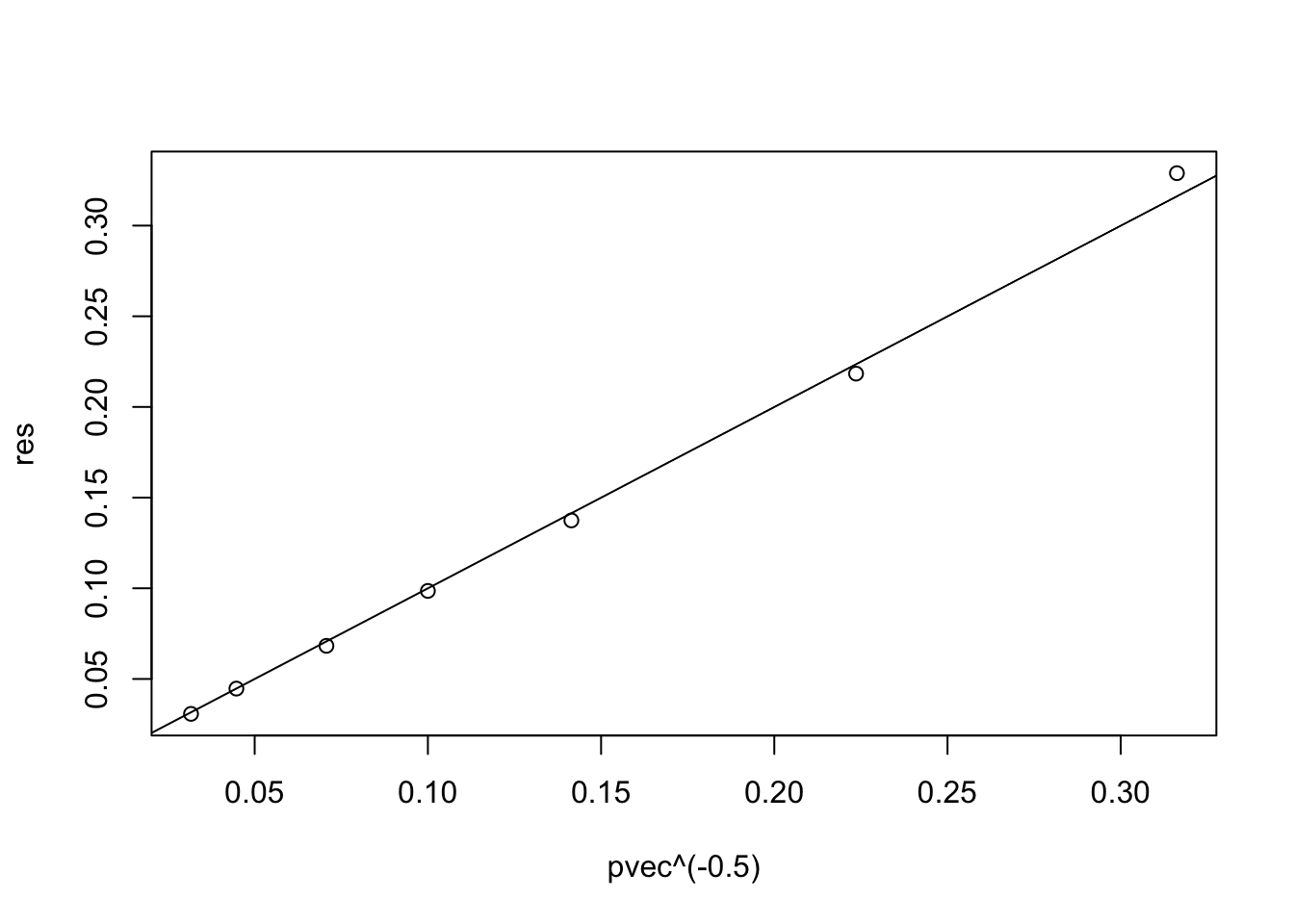
For n=p inv_Omega looks like 1/n, Sigma looks like 1/sqrt(p) [= 1/sqrt(n)].
compare_means(10,10)
$Sigma_diag
[1] 0.296318
$Omega_diag
[1] 9.731093
$inv_Omega_diag
[1] 0.1176032
compare_means(20,20)
$Sigma_diag
[1] 0.2015544
$Omega_diag
[1] 20.64975
$inv_Omega_diag
[1] 0.04976618
compare_means(50,50)
$Sigma_diag
[1] 0.1344954
$Omega_diag
[1] 53.87387
$inv_Omega_diag
[1] 0.01932045
compare_means(100,100)
$Sigma_diag
[1] 0.1020224
$Omega_diag
[1] 100.9052
$inv_Omega_diag
[1] 0.01011604
compare_means(200,200)
$Sigma_diag
[1] 0.07067105
$Omega_diag
[1] 201.0988
$inv_Omega_diag
[1] 0.005013635
compare_means(500,500)
$Sigma_diag
[1] 0.04502965
$Omega_diag
[1] 501.131
$inv_Omega_diag
[1] 0.002003956
compare_means(1000,1000)
$Sigma_diag
[1] 0.03162624
$Omega_diag
[1] 1002.299
$inv_Omega_diag
[1] 0.0009998656
pvec = c(10,20,50,100,200,500,1000)
res = rep(0,length(pvec))
for(i in 1:length(pvec)){
res[i] = compare_means(pvec[i],pvec[i])$Sigma_diag
}
plot(pvec,res)
plot(log(pvec),log(res))
lm(log(res)~log(pvec))
Call:
lm(formula = log(res) ~ log(pvec))
Coefficients:
(Intercept) log(pvec)
0.02073 -0.50734
plot(pvec^(-0.5),res)
abline(a=0,b=1)
sessionInfo()
R version 3.6.0 (2019-04-26)
Platform: x86_64-apple-darwin15.6.0 (64-bit)
Running under: macOS 10.16
Matrix products: default
BLAS: /Library/Frameworks/R.framework/Versions/3.6/Resources/lib/libRblas.0.dylib
LAPACK: /Library/Frameworks/R.framework/Versions/3.6/Resources/lib/libRlapack.dylib
locale:
[1] en_US.UTF-8/en_US.UTF-8/en_US.UTF-8/C/en_US.UTF-8/en_US.UTF-8
attached base packages:
[1] stats graphics grDevices utils datasets methods base
loaded via a namespace (and not attached):
[1] Rcpp_1.0.6 rstudioapi_0.11 whisker_0.4 knitr_1.29
[5] magrittr_1.5 workflowr_1.6.2 R6_2.4.1 rlang_0.4.8
[9] stringr_1.4.0 tools_3.6.0 xfun_0.16 git2r_0.27.1
[13] htmltools_0.5.0 ellipsis_0.3.1 yaml_2.2.1 digest_0.6.27
[17] rprojroot_1.3-2 tibble_3.0.4 lifecycle_0.2.0 crayon_1.3.4
[21] later_1.1.0.1 vctrs_0.3.4 fs_1.5.0 promises_1.1.1
[25] glue_1.4.2 evaluate_0.14 rmarkdown_2.3 stringi_1.4.6
[29] compiler_3.6.0 pillar_1.4.6 backports_1.1.10 httpuv_1.5.4
[33] pkgconfig_2.0.3