Last updated: 2021-07-29

Checks: 7 0

Knit directory: misc/analysis/

This reproducible R Markdown analysis was created with workflowr (version 1.6.2). The Checks tab describes the reproducibility checks that were applied when the results were created. The Past versions tab lists the development history.


Great! Since the R Markdown file has been committed to the Git repository, you know the exact version of the code that produced these results.

Great job! The global environment was empty. Objects defined in the global environment can affect the analysis in your R Markdown file in unknown ways. For reproduciblity it’s best to always run the code in an empty environment.

The command set.seed(1) was run prior to running the code in the R Markdown file. Setting a seed ensures that any results that rely on randomness, e.g. subsampling or permutations, are reproducible.

Great job! Recording the operating system, R version, and package versions is critical for reproducibility.

Nice! There were no cached chunks for this analysis, so you can be confident that you successfully produced the results during this run.

Great job! Using relative paths to the files within your workflowr project makes it easier to run your code on other machines.

Great! You are using Git for version control. Tracking code development and connecting the code version to the results is critical for reproducibility.

The results in this page were generated with repository version ea4a202. See the Past versions tab to see a history of the changes made to the R Markdown and HTML files.

Note that you need to be careful to ensure that all relevant files for the analysis have been committed to Git prior to generating the results (you can use wflow_publish or wflow_git_commit). workflowr only checks the R Markdown file, but you know if there are other scripts or data files that it depends on. Below is the status of the Git repository when the results were generated:


Ignored files:
    Ignored:    .DS_Store
    Ignored:    .Rhistory
    Ignored:    .Rproj.user/
    Ignored:    analysis/.RData
    Ignored:    analysis/.Rhistory
    Ignored:    analysis/ALStruct_cache/
    Ignored:    analysis/figure/
    Ignored:    data/.Rhistory
    Ignored:    data/pbmc/

Untracked files:
    Untracked:  .dropbox
    Untracked:  Icon
    Untracked:  analysis/GHstan.Rmd
    Untracked:  analysis/GTEX-cogaps.Rmd
    Untracked:  analysis/PACS.Rmd
    Untracked:  analysis/Rplot.png
    Untracked:  analysis/SPCAvRP.rmd
    Untracked:  analysis/admm_02.Rmd
    Untracked:  analysis/admm_03.Rmd
    Untracked:  analysis/compare-transformed-models.Rmd
    Untracked:  analysis/cormotif.Rmd
    Untracked:  analysis/cp_ash.Rmd
    Untracked:  analysis/eQTL.perm.rand.pdf
    Untracked:  analysis/eb_prepilot.Rmd
    Untracked:  analysis/eb_var.Rmd
    Untracked:  analysis/ebpmf1.Rmd
    Untracked:  analysis/flash_test_tree.Rmd
    Untracked:  analysis/flash_tree.Rmd
    Untracked:  analysis/ieQTL.perm.rand.pdf
    Untracked:  analysis/lasso_em_03.Rmd
    Untracked:  analysis/m6amash.Rmd
    Untracked:  analysis/mash_bhat_z.Rmd
    Untracked:  analysis/mash_ieqtl_permutations.Rmd
    Untracked:  analysis/mixsqp.Rmd
    Untracked:  analysis/mr.ash_lasso_init.Rmd
    Untracked:  analysis/mr.mash.test.Rmd
    Untracked:  analysis/mr_ash_modular.Rmd
    Untracked:  analysis/mr_ash_parameterization.Rmd
    Untracked:  analysis/mr_ash_ridge.Rmd
    Untracked:  analysis/mv_gaussian_message_passing.Rmd
    Untracked:  analysis/nejm.Rmd
    Untracked:  analysis/nmf_bg.Rmd
    Untracked:  analysis/normal_conditional_on_r2.Rmd
    Untracked:  analysis/normalize.Rmd
    Untracked:  analysis/pbmc.Rmd
    Untracked:  analysis/poisson_transform.Rmd
    Untracked:  analysis/pseudodata.Rmd
    Untracked:  analysis/qrnotes.txt
    Untracked:  analysis/ridge_iterative_02.Rmd
    Untracked:  analysis/ridge_iterative_splitting.Rmd
    Untracked:  analysis/samps/
    Untracked:  analysis/sc_bimodal.Rmd
    Untracked:  analysis/shrinkage_comparisons_changepoints.Rmd
    Untracked:  analysis/susie_en.Rmd
    Untracked:  analysis/susie_z_investigate.Rmd
    Untracked:  analysis/svd-timing.Rmd
    Untracked:  analysis/temp.RDS
    Untracked:  analysis/temp.Rmd
    Untracked:  analysis/test-figure/
    Untracked:  analysis/test.Rmd
    Untracked:  analysis/test.Rpres
    Untracked:  analysis/test.md
    Untracked:  analysis/test_qr.R
    Untracked:  analysis/test_sparse.Rmd
    Untracked:  analysis/z.txt
    Untracked:  code/multivariate_testfuncs.R
    Untracked:  code/rqb.hacked.R
    Untracked:  data/4matthew/
    Untracked:  data/4matthew2/
    Untracked:  data/E-MTAB-2805.processed.1/
    Untracked:  data/ENSG00000156738.Sim_Y2.RDS
    Untracked:  data/GDS5363_full.soft.gz
    Untracked:  data/GSE41265_allGenesTPM.txt
    Untracked:  data/Muscle_Skeletal.ACTN3.pm1Mb.RDS
    Untracked:  data/Thyroid.FMO2.pm1Mb.RDS
    Untracked:  data/bmass.HaemgenRBC2016.MAF01.Vs2.MergedDataSources.200kRanSubset.ChrBPMAFMarkerZScores.vs1.txt.gz
    Untracked:  data/bmass.HaemgenRBC2016.Vs2.NewSNPs.ZScores.hclust.vs1.txt
    Untracked:  data/bmass.HaemgenRBC2016.Vs2.PreviousSNPs.ZScores.hclust.vs1.txt
    Untracked:  data/eb_prepilot/
    Untracked:  data/finemap_data/fmo2.sim/b.txt
    Untracked:  data/finemap_data/fmo2.sim/dap_out.txt
    Untracked:  data/finemap_data/fmo2.sim/dap_out2.txt
    Untracked:  data/finemap_data/fmo2.sim/dap_out2_snp.txt
    Untracked:  data/finemap_data/fmo2.sim/dap_out_snp.txt
    Untracked:  data/finemap_data/fmo2.sim/data
    Untracked:  data/finemap_data/fmo2.sim/fmo2.sim.config
    Untracked:  data/finemap_data/fmo2.sim/fmo2.sim.k
    Untracked:  data/finemap_data/fmo2.sim/fmo2.sim.k4.config
    Untracked:  data/finemap_data/fmo2.sim/fmo2.sim.k4.snp
    Untracked:  data/finemap_data/fmo2.sim/fmo2.sim.ld
    Untracked:  data/finemap_data/fmo2.sim/fmo2.sim.snp
    Untracked:  data/finemap_data/fmo2.sim/fmo2.sim.z
    Untracked:  data/finemap_data/fmo2.sim/pos.txt
    Untracked:  data/logm.csv
    Untracked:  data/m.cd.RDS
    Untracked:  data/m.cdu.old.RDS
    Untracked:  data/m.new.cd.RDS
    Untracked:  data/m.old.cd.RDS
    Untracked:  data/mainbib.bib.old
    Untracked:  data/mat.csv
    Untracked:  data/mat.txt
    Untracked:  data/mat_new.csv
    Untracked:  data/matrix_lik.rds
    Untracked:  data/paintor_data/
    Untracked:  data/running_data_chris.csv
    Untracked:  data/running_data_matthew.csv
    Untracked:  data/temp.txt
    Untracked:  data/y.txt
    Untracked:  data/y_f.txt
    Untracked:  data/zscore_jointLCLs_m6AQTLs_susie_eQTLpruned.rds
    Untracked:  data/zscore_jointLCLs_random.rds
    Untracked:  explore_udi.R
    Untracked:  output/fit.k10.rds
    Untracked:  output/fit.varbvs.RDS
    Untracked:  output/glmnet.fit.RDS
    Untracked:  output/test.bv.txt
    Untracked:  output/test.gamma.txt
    Untracked:  output/test.hyp.txt
    Untracked:  output/test.log.txt
    Untracked:  output/test.param.txt
    Untracked:  output/test2.bv.txt
    Untracked:  output/test2.gamma.txt
    Untracked:  output/test2.hyp.txt
    Untracked:  output/test2.log.txt
    Untracked:  output/test2.param.txt
    Untracked:  output/test3.bv.txt
    Untracked:  output/test3.gamma.txt
    Untracked:  output/test3.hyp.txt
    Untracked:  output/test3.log.txt
    Untracked:  output/test3.param.txt
    Untracked:  output/test4.bv.txt
    Untracked:  output/test4.gamma.txt
    Untracked:  output/test4.hyp.txt
    Untracked:  output/test4.log.txt
    Untracked:  output/test4.param.txt
    Untracked:  output/test5.bv.txt
    Untracked:  output/test5.gamma.txt
    Untracked:  output/test5.hyp.txt
    Untracked:  output/test5.log.txt
    Untracked:  output/test5.param.txt

Unstaged changes:
    Modified:   analysis/mr_ash_pen.Rmd
    Modified:   analysis/susie_flash.Rmd

Note that any generated files, e.g. HTML, png, CSS, etc., are not included in this status report because it is ok for generated content to have uncommitted changes.


These are the previous versions of the repository in which changes were made to the R Markdown (analysis/sinkhorn.Rmd) and HTML (docs/sinkhorn.html) files. If you’ve configured a remote Git repository (see ?wflow_git_remote), click on the hyperlinks in the table below to view the files as they were in that past version.

File Version Author Date Message
Rmd ea4a202 Matthew Stephens 2021-07-29 workflowr::wflow_publish(“analysis/sinkhorn.Rmd”)
Rmd 85c84da Matthew Stephens 2021-06-12 add sinkhorn preliminary analysis
Rmd 749bee5 Matthew Stephens 2021-06-12 add sinkhorn preliminary analysis

Introduction

I wanted to do some examination of using sinkhorn normalization for count/single cell data, inspired by the talk by B Landa and the preprint https://arxiv.org/abs/2103.13840

First I wanted to compare the sinkhorn normalization to SVD and row/column sums.

set.seed(1)
p = 200
n = 100
mu = matrix(rexp(n*p,1)) 
X = matrix(rpois(n*p,mu), nrow=n,ncol=p)
sinkhorn = function(X,niter = 10){
  c = colMeans(X)
  #find row and column scalings r and c
  for(i in 1:niter){
    r = 1/rowMeans(t(t(X)*c))
    c = 1/colMeans(X*r)
  }
  Xnorm = t(t(X*sqrt(r))*sqrt(c))
  return(list(Xnorm=Xnorm,c = c, r=r))
}
X.s = sinkhorn(X)
rowMeans(t(t(X*X.s$r)*X.s$c))
  [1] 1 1 1 1 1 1 1 1 1 1 1 1 1 1 1 1 1 1 1 1 1 1 1 1 1 1 1 1 1 1 1 1 1 1 1 1 1
 [38] 1 1 1 1 1 1 1 1 1 1 1 1 1 1 1 1 1 1 1 1 1 1 1 1 1 1 1 1 1 1 1 1 1 1 1 1 1
 [75] 1 1 1 1 1 1 1 1 1 1 1 1 1 1 1 1 1 1 1 1 1 1 1 1 1 1
colMeans(t(t(X*X.s$r)*X.s$c))
  [1] 1 1 1 1 1 1 1 1 1 1 1 1 1 1 1 1 1 1 1 1 1 1 1 1 1 1 1 1 1 1 1 1 1 1 1 1 1
 [38] 1 1 1 1 1 1 1 1 1 1 1 1 1 1 1 1 1 1 1 1 1 1 1 1 1 1 1 1 1 1 1 1 1 1 1 1 1
 [75] 1 1 1 1 1 1 1 1 1 1 1 1 1 1 1 1 1 1 1 1 1 1 1 1 1 1 1 1 1 1 1 1 1 1 1 1 1
[112] 1 1 1 1 1 1 1 1 1 1 1 1 1 1 1 1 1 1 1 1 1 1 1 1 1 1 1 1 1 1 1 1 1 1 1 1 1
[149] 1 1 1 1 1 1 1 1 1 1 1 1 1 1 1 1 1 1 1 1 1 1 1 1 1 1 1 1 1 1 1 1 1 1 1 1 1
[186] 1 1 1 1 1 1 1 1 1 1 1 1 1 1 1
X.svd = svd(X)
plot(X.svd$u[,1],X.s$r)

plot(X.svd$v[,1],X.s$c)

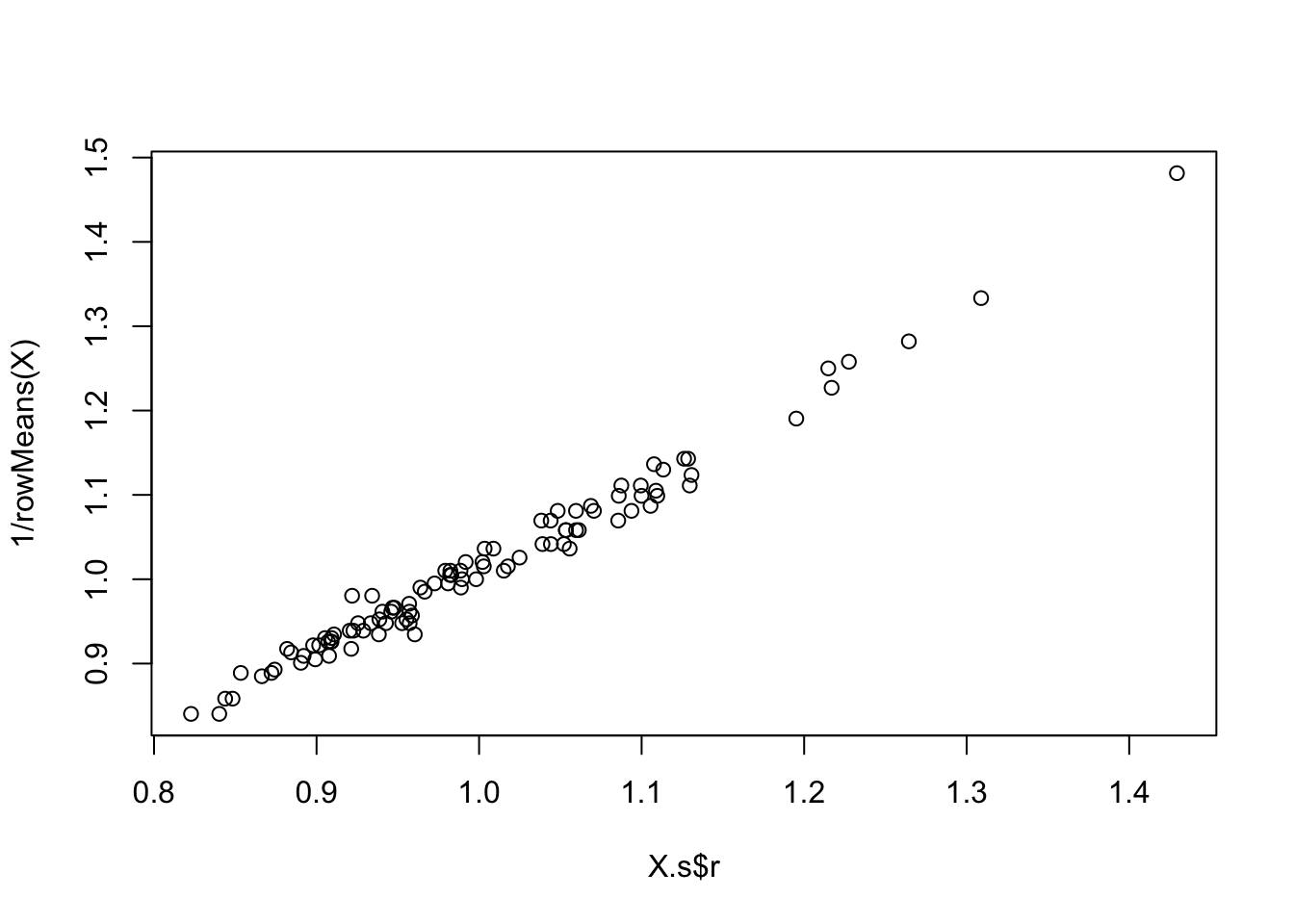
plot(X.s$r, 1/rowMeans(X))

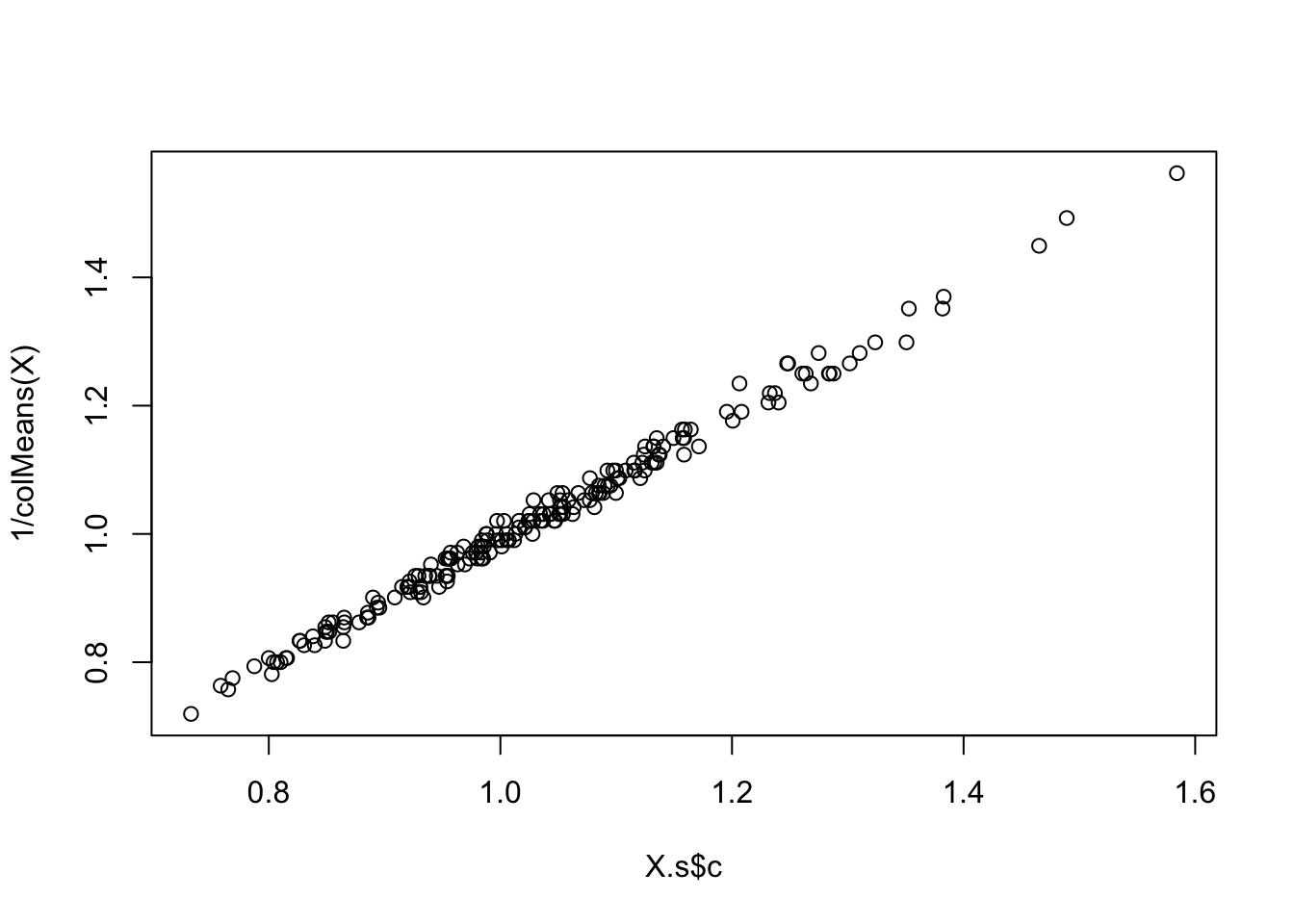
plot(X.s$c, 1/colMeans(X))

Try to recreate the figure from the preprint:

I reproduced this simulation: “Figure 1 exemplifies the advantage of biwhitening on a simulated Poisson count matrix Y with m = 300, n = 1000, and r = 10. For this example, we first generated an m × r matrix B by sampling its entries independently from the log-normal distribution with mean 0 and variance 4 (i.e., from exp(2Z), where Z ∼ N (0, 1)). Then, we generated an r × n matrix C by sampling its entries independently from the uniform distribution over [0,1]. Lastly, we computed X = BC, normalized X by a scalar so that its average entry is 1, and sampled the entries of Y from the Poisson distribution as in (7). After generating Y , Algorithm 1 was applied to Y with scaling tolerance δ = 10−12.”

m=300
n=1000
r = 10
B = exp(2*matrix(rnorm(m*r),nrow=m))
C = matrix(runif(r*n),nrow=r)
X = B  %*% C
X = X/mean(X)
Y = matrix(rpois(length(X),lambda=X), nrow=nrow(X))
Ynorm = sinkhorn(Y)$Xnorm
Ynorm.eigen = eigen((1/n) * Ynorm %*% t(Ynorm))
d = Ynorm.eigen$values
hist(d[d<4],nclass=100)
beta_plus = (1+sqrt(m/n))^2
abline(v=beta_plus)

sum(d>beta_plus)
[1] 10

Compute eigenvalues on some real data

This is a small subset of some single cell data: I extracted counts from a subset of 500 genes at 1000 cytotoxic and 10000 naive cytotoxic T cells from 10x genomics. Note that because I have fewer genes than cells I make those the rows (\(m<n\)) by transposing the data

df = read.csv("../data/cell_data.csv",sep=",")
dim(df)
[1] 2000  501
Y = t(as.matrix(df[,-1]))
Y.svd = svd(Y)
hist(Y.svd$d[Y.svd$d<100], xlim = c(0,100), breaks = seq(0,100,by=1))

Now try the normalization (note that I did not try to estimate the scaling factor they use)

Ynorm = sinkhorn(Y)$Xnorm
m= nrow(Ynorm)
n= ncol(Ynorm)
Ynorm.eigen = eigen((1/n) * Ynorm %*% t(Ynorm))
d = Ynorm.eigen$values
v= Ynorm.eigen$vectors
hist(d[d<4],nclass=100)
beta_plus = (1+sqrt(m/n))^2
abline(v=beta_plus)

sum(d>beta_plus)
[1] 23
sub = (d>beta_plus)
Ytrunc = v[,sub] %*% diag(d[sub]) %*% t(v[,sub])

Additional stuff

All the stuff below here is a bit underdeveloped.

Try running flashr on the covariance matrix

library(flashr)
S = (1/n) * Ynorm %*% t(Ynorm)
diag(S) <- NA
S.flash = flash(S,K=50)
ebnm package not installed. ebnm_ash will be used instead of ebnm_pn.
Fitting factor/loading 1 (stop when difference in obj. is < 1.00e-02):
  Iteration      Objective   Obj Diff
          1      418224.63        Inf
          2      418508.06   2.83e+02
          3      418645.68   1.38e+02
          4      418722.38   7.67e+01
          5      418764.86   4.25e+01
          6      418788.17   2.33e+01
          7      418800.86   1.27e+01
          8      418807.74   6.88e+00
          9      418811.45   3.71e+00
         10      418813.45   1.99e+00
         11      418814.52   1.07e+00
         12      418815.09   5.72e-01
         13      418815.39   3.05e-01
         14      418815.56   1.63e-01
         15      418815.64   8.69e-02
         16      418815.69   4.63e-02
         17      418815.71   2.47e-02
         18      418815.73   1.31e-02
         19      418815.73   6.99e-03
Performing nullcheck...
  Deleting factor 1 decreases objective by 8.85e+05. Factor retained.
  Nullcheck complete. Objective: 418815.73
Fitting factor/loading 2 (stop when difference in obj. is < 1.00e-02):
  Iteration      Objective   Obj Diff
          1      513503.14        Inf
          2      513953.19   4.50e+02
          3      513989.44   3.63e+01
          4      513992.54   3.10e+00
          5      513992.82   2.71e-01
          6      513992.84   2.40e-02
          7      513992.84   2.16e-03
Performing nullcheck...
  Deleting factor 2 decreases objective by 9.52e+04. Factor retained.
  Nullcheck complete. Objective: 513992.84
Fitting factor/loading 3 (stop when difference in obj. is < 1.00e-02):
  Iteration      Objective   Obj Diff
          1      527620.32        Inf
          2      527666.76   4.64e+01
          3      527680.32   1.36e+01
          4      527684.98   4.66e+00
          5      527686.59   1.61e+00
          6      527687.15   5.59e-01
          7      527687.35   1.94e-01
          8      527687.41   6.74e-02
          9      527687.44   2.37e-02
         10      527687.45   8.47e-03
Performing nullcheck...
  Deleting factor 3 decreases objective by 1.37e+04. Factor retained.
  Nullcheck complete. Objective: 527687.45
Fitting factor/loading 4 (stop when difference in obj. is < 1.00e-02):
  Iteration      Objective   Obj Diff
          1      533718.04        Inf
          2      533781.57   6.35e+01
          3      533788.41   6.84e+00
          4      533789.43   1.02e+00
          5      533789.61   1.82e-01
          6      533789.66   4.15e-02
          7      533789.67   1.43e-02
          8      533789.68   7.34e-03
Performing nullcheck...
  Deleting factor 4 decreases objective by 6.10e+03. Factor retained.
  Nullcheck complete. Objective: 533789.68
Fitting factor/loading 5 (stop when difference in obj. is < 1.00e-02):
  Iteration      Objective   Obj Diff
          1      539219.83        Inf
          2      539251.04   3.12e+01
          3      539265.63   1.46e+01
          4      539275.74   1.01e+01
          5      539282.67   6.94e+00
          6      539287.30   4.63e+00
          7      539290.30   2.99e+00
          8      539292.18   1.89e+00
          9      539293.35   1.16e+00
         10      539294.06   7.09e-01
         11      539294.49   4.31e-01
         12      539294.74   2.57e-01
         13      539294.90   1.52e-01
         14      539294.99   8.90e-02
         15      539295.04   5.20e-02
         16      539295.07   3.02e-02
         17      539295.09   1.75e-02
         18      539295.10   1.01e-02
         19      539295.10   5.78e-03
Performing nullcheck...
  Deleting factor 5 decreases objective by 5.51e+03. Factor retained.
  Nullcheck complete. Objective: 539295.1
Fitting factor/loading 6 (stop when difference in obj. is < 1.00e-02):
  Iteration      Objective   Obj Diff
          1      543209.94        Inf
          2      543222.65   1.27e+01
          3      543226.24   3.59e+00
          4      543227.75   1.51e+00
          5      543228.40   6.44e-01
          6      543228.67   2.75e-01
          7      543228.79   1.17e-01
          8      543228.84   4.88e-02
          9      543228.86   2.00e-02
         10      543228.87   7.91e-03
Performing nullcheck...
  Deleting factor 6 decreases objective by 3.93e+03. Factor retained.
  Nullcheck complete. Objective: 543228.87
Fitting factor/loading 7 (stop when difference in obj. is < 1.00e-02):
  Iteration      Objective   Obj Diff
          1      544599.26        Inf
          2      544658.49   5.92e+01
          3      544682.03   2.35e+01
          4      544702.07   2.00e+01
          5      544721.54   1.95e+01
          6      544742.02   2.05e+01
          7      544764.07   2.20e+01
          8      544786.96   2.29e+01
          9      544810.73   2.38e+01
         10      544835.06   2.43e+01
         11      544858.69   2.36e+01
         12      544881.13   2.24e+01
         13      544902.26   2.11e+01
         14      544920.80   1.85e+01
         15      544936.56   1.58e+01
         16      544949.60   1.30e+01
         17      544960.13   1.05e+01
         18      544968.49   8.36e+00
         19      544975.08   6.59e+00
         20      544980.28   5.20e+00
         21      544984.40   4.12e+00
         22      544987.67   3.27e+00
         23      544990.26   2.59e+00
         24      544992.32   2.06e+00
         25      544993.96   1.64e+00
         26      544995.28   1.32e+00
         27      544996.34   1.06e+00
         28      544997.20   8.58e-01
         29      544997.89   6.94e-01
         30      544998.45   5.62e-01
         31      544998.91   4.56e-01
         32      544999.28   3.70e-01
         33      544999.58   3.01e-01
         34      544999.82   2.45e-01
         35      545000.02   1.99e-01
         36      545000.19   1.62e-01
         37      545000.32   1.33e-01
         38      545000.43   1.08e-01
         39      545000.52   8.88e-02
         40      545000.59   7.27e-02
         41      545000.65   5.97e-02
         42      545000.70   4.90e-02
         43      545000.74   4.03e-02
         44      545000.77   3.32e-02
         45      545000.80   2.73e-02
         46      545000.82   2.25e-02
         47      545000.84   1.86e-02
         48      545000.85   1.54e-02
         49      545000.87   1.27e-02
         50      545000.88   1.06e-02
         51      545000.89   8.78e-03
Performing nullcheck...
  Deleting factor 7 decreases objective by 1.77e+03. Factor retained.
  Nullcheck complete. Objective: 545000.89
Fitting factor/loading 8 (stop when difference in obj. is < 1.00e-02):
  Iteration      Objective   Obj Diff
          1      546398.34        Inf
          2      546466.26   6.79e+01
          3      546486.63   2.04e+01
          4      546499.12   1.25e+01
          5      546507.37   8.25e+00
          6      546512.73   5.36e+00
          7      546516.13   3.40e+00
          8      546518.35   2.22e+00
          9      546519.80   1.45e+00
         10      546520.73   9.32e-01
         11      546521.38   6.49e-01
         12      546521.79   4.17e-01
         13      546522.07   2.76e-01
         14      546522.25   1.84e-01
         15      546522.37   1.20e-01
         16      546522.45   7.54e-02
         17      546522.50   4.85e-02
         18      546522.53   3.15e-02
         19      546522.55   2.05e-02
         20      546522.56   1.33e-02
         21      546522.57   8.65e-03
Performing nullcheck...
  Deleting factor 8 decreases objective by 1.52e+03. Factor retained.
  Nullcheck complete. Objective: 546522.57
Fitting factor/loading 9 (stop when difference in obj. is < 1.00e-02):
  Iteration      Objective   Obj Diff
          1      547249.79        Inf
          2      547303.15   5.34e+01
          3      547308.73   5.59e+00
          4      547310.70   1.97e+00
          5      547311.50   8.01e-01
          6      547311.85   3.47e-01
          7      547312.01   1.59e-01
          8      547312.09   7.72e-02
          9      547312.13   3.85e-02
         10      547312.15   1.94e-02
         11      547312.16   9.88e-03
Performing nullcheck...
  Deleting factor 9 decreases objective by 7.90e+02. Factor retained.
  Nullcheck complete. Objective: 547312.16
Fitting factor/loading 10 (stop when difference in obj. is < 1.00e-02):
  Iteration      Objective   Obj Diff
          1      547596.08        Inf
          2      547683.56   8.75e+01
          3      547709.30   2.57e+01
          4      547725.91   1.66e+01
          5      547741.00   1.51e+01
          6      547756.19   1.52e+01
          7      547772.31   1.61e+01
          8      547789.43   1.71e+01
          9      547806.49   1.71e+01
         10      547822.27   1.58e+01
         11      547835.76   1.35e+01
         12      547846.82   1.11e+01
         13      547855.67   8.85e+00
         14      547862.56   6.89e+00
         15      547867.65   5.08e+00
         16      547871.26   3.61e+00
         17      547873.70   2.44e+00
         18      547875.25   1.55e+00
         19      547876.21   9.59e-01
         20      547876.80   5.94e-01
         21      547877.17   3.70e-01
         22      547877.40   2.31e-01
         23      547877.55   1.43e-01
         24      547877.64   8.80e-02
         25      547877.69   5.36e-02
         26      547877.72   3.20e-02
         27      547877.74   1.85e-02
         28      547877.75   1.01e-02
         29      547877.75   4.92e-03
Performing nullcheck...
  Deleting factor 10 decreases objective by 5.66e+02. Factor retained.
  Nullcheck complete. Objective: 547877.75
Fitting factor/loading 11 (stop when difference in obj. is < 1.00e-02):
  Iteration      Objective   Obj Diff
          1      547821.30        Inf
          2      547958.87   1.38e+02
          3      547985.29   2.64e+01
          4      547999.97   1.47e+01
          5      548010.59   1.06e+01
          6      548013.52   2.93e+00
          7      548013.94   4.17e-01
          8      548014.02   8.32e-02
          9      548014.04   2.58e-02
         10      548014.05   1.02e-02
         11      548014.06   4.58e-03
Performing nullcheck...
  Deleting factor 11 decreases objective by 1.36e+02. Factor retained.
  Nullcheck complete. Objective: 548014.06
Fitting factor/loading 12 (stop when difference in obj. is < 1.00e-02):
  Iteration      Objective   Obj Diff
          1      548241.94        Inf
          2      548353.30   1.11e+02
          3      548372.76   1.95e+01
          4      548379.87   7.11e+00
          5      548383.65   3.78e+00
          6      548386.10   2.45e+00
          7      548387.80   1.70e+00
          8      548388.99   1.19e+00
          9      548389.86   8.69e-01
         10      548390.51   6.49e-01
         11      548391.00   4.90e-01
         12      548391.37   3.70e-01
         13      548391.65   2.77e-01
         14      548391.85   2.05e-01
         15      548392.00   1.50e-01
         16      548392.11   1.09e-01
         17      548392.19   7.60e-02
         18      548392.25   5.84e-02
         19      548392.29   4.26e-02
         20      548392.32   3.10e-02
         21      548392.34   2.25e-02
         22      548392.36   1.63e-02
         23      548392.37   1.17e-02
         24      548392.38   8.32e-03
Performing nullcheck...
  Deleting factor 12 decreases objective by 3.78e+02. Factor retained.
  Nullcheck complete. Objective: 548392.38
Fitting factor/loading 13 (stop when difference in obj. is < 1.00e-02):
  Iteration      Objective   Obj Diff
          1      548165.58        Inf
          2      548308.76   1.43e+02
          3      548348.41   3.97e+01
          4      548373.11   2.47e+01
          5      548380.11   7.00e+00
          6      548389.59   9.48e+00
          7      548390.56   9.77e-01
Warning in verbose_obj_decrease_warning(): An iteration decreased the objective.
This happens occasionally, perhaps due to numeric reasons. You could ignore this
warning, but you might like to check out https://github.com/stephenslab/flashr/
issues/26 for more details.
          8      548390.42  -1.40e-01
Performing nullcheck...
  Deleting factor 13 increases objective by 1.95e+00. Factor zeroed out.
  Nullcheck complete. Objective: 548392.38

And on the truncated covariance

Strunc = (1/n) * Ytrunc %*% t(Ytrunc)
diag(Strunc) <- NA
Strunc.flash = flash(Strunc,K=50)
ebnm package not installed. ebnm_ash will be used instead of ebnm_pn.
Fitting factor/loading 1 (stop when difference in obj. is < 1.00e-02):
  Iteration      Objective   Obj Diff
          1     1550386.07        Inf
          2     1550901.88   5.16e+02
          3     1551502.31   6.00e+02
          4     1552405.98   9.04e+02
          5     1553705.27   1.30e+03
          6     1555240.57   1.54e+03
          7     1556625.03   1.38e+03
          8     1557635.92   1.01e+03
          9     1558259.01   6.23e+02
         10     1558598.55   3.40e+02
         11     1558780.30   1.82e+02
         12     1558889.01   1.09e+02
         13     1558964.98   7.60e+01
         14     1559025.01   6.00e+01
         15     1559076.77   5.18e+01
         16     1559124.44   4.77e+01
         17     1559170.69   4.62e+01
         18     1559217.51   4.68e+01
         19     1559266.67   4.92e+01
         20     1559319.97   5.33e+01
         21     1559379.40   5.94e+01
         22     1559447.42   6.80e+01
         23     1559527.12   7.97e+01
         24     1559622.54   9.54e+01
         25     1559738.91   1.16e+02
         26     1559882.76   1.44e+02
         27     1560061.41   1.79e+02
         28     1560280.45   2.19e+02
         29     1560537.17   2.57e+02
         30     1560811.92   2.75e+02
         31     1561076.75   2.65e+02
         32     1561330.43   2.54e+02
         33     1561600.26   2.70e+02
         34     1561906.17   3.06e+02
         35     1562246.39   3.40e+02
         36     1562600.08   3.54e+02
         37     1562936.68   3.37e+02
         38     1563233.47   2.97e+02
         39     1563487.37   2.54e+02
         40     1563703.96   2.17e+02
         41     1563885.24   1.81e+02
         42     1564031.37   1.46e+02
         43     1564144.59   1.13e+02
         44     1564229.46   8.49e+01
         45     1564291.23   6.18e+01
         46     1564334.79   4.36e+01
         47     1564364.44   2.97e+01
         48     1564383.90   1.95e+01
         49     1564396.19   1.23e+01
         50     1564403.70   7.51e+00
         51     1564408.14   4.45e+00
         52     1564410.71   2.57e+00
         53     1564412.17   1.45e+00
         54     1564412.98   8.10e-01
         55     1564413.42   4.45e-01
         56     1564413.66   2.43e-01
         57     1564413.80   1.31e-01
         58     1564413.87   7.06e-02
         59     1564413.90   3.76e-02
         60     1564413.92   2.00e-02
         61     1564413.93   1.12e-02
         62     1564413.94   5.38e-03
Performing nullcheck...
  Deleting factor 1 decreases objective by 1.92e+06. Factor retained.
  Nullcheck complete. Objective: 1564413.94
Fitting factor/loading 2 (stop when difference in obj. is < 1.00e-02):
  Iteration      Objective   Obj Diff
          1     2006696.92        Inf
          2     2007716.33   1.02e+03
          3     2007876.14   1.60e+02
          4     2007906.17   3.00e+01
          5     2007912.08   5.91e+00
          6     2007913.26   1.18e+00
          7     2007913.49   2.35e-01
          8     2007913.54   4.71e-02
          9     2007913.55   9.44e-03
Performing nullcheck...
  Deleting factor 2 decreases objective by 4.43e+05. Factor retained.
  Nullcheck complete. Objective: 2007913.55
Fitting factor/loading 3 (stop when difference in obj. is < 1.00e-02):
  Iteration      Objective   Obj Diff
          1     2068754.00        Inf
          2     2069098.88   3.45e+02
          3     2069171.52   7.26e+01
          4     2069195.02   2.35e+01
          5     2069203.05   8.03e+00
          6     2069205.87   2.82e+00
          7     2069206.87   1.00e+00
          8     2069207.23   3.59e-01
          9     2069207.36   1.29e-01
         10     2069207.41   4.61e-02
         11     2069207.42   1.65e-02
         12     2069207.43   5.86e-03
Performing nullcheck...
  Deleting factor 3 decreases objective by 6.13e+04. Factor retained.
  Nullcheck complete. Objective: 2069207.43
Fitting factor/loading 4 (stop when difference in obj. is < 1.00e-02):
  Iteration      Objective   Obj Diff
          1     2099600.29        Inf
          2     2099809.20   2.09e+02
          3     2099856.21   4.70e+01
          4     2099879.39   2.32e+01
          5     2099890.89   1.15e+01
          6     2099896.56   5.67e+00
          7     2099899.34   2.78e+00
          8     2099900.69   1.35e+00
          9     2099901.35   6.60e-01
         10     2099901.67   3.22e-01
         11     2099901.83   1.57e-01
         12     2099901.91   7.64e-02
         13     2099901.94   3.74e-02
         14     2099901.96   1.84e-02
         15     2099901.97   9.13e-03
Performing nullcheck...
  Deleting factor 4 decreases objective by 3.07e+04. Factor retained.
  Nullcheck complete. Objective: 2099901.97
Fitting factor/loading 5 (stop when difference in obj. is < 1.00e-02):
  Iteration      Objective   Obj Diff
          1     2123450.05        Inf
          2     2123608.04   1.58e+02
          3     2123642.37   3.43e+01
          4     2123654.56   1.22e+01
          5     2123658.95   4.39e+00
          6     2123660.51   1.57e+00
          7     2123661.07   5.57e-01
          8     2123661.27   1.97e-01
          9     2123661.34   6.98e-02
         10     2123661.36   2.46e-02
         11     2123661.37   8.71e-03
Performing nullcheck...
  Deleting factor 5 decreases objective by 2.38e+04. Factor retained.
  Nullcheck complete. Objective: 2123661.37
Fitting factor/loading 6 (stop when difference in obj. is < 1.00e-02):
  Iteration      Objective   Obj Diff
          1     2136563.53        Inf
          2     2137002.74   4.39e+02
          3     2137013.78   1.10e+01
          4     2137015.72   1.94e+00
          5     2137016.49   7.77e-01
          6     2137016.91   4.13e-01
          7     2137017.14   2.31e-01
          8     2137017.27   1.31e-01
          9     2137017.34   7.42e-02
         10     2137017.39   4.23e-02
         11     2137017.41   2.42e-02
         12     2137017.42   1.39e-02
         13     2137017.43   8.01e-03
Performing nullcheck...
  Deleting factor 6 decreases objective by 1.34e+04. Factor retained.
  Nullcheck complete. Objective: 2137017.43
Fitting factor/loading 7 (stop when difference in obj. is < 1.00e-02):
  Iteration      Objective   Obj Diff
          1     2139739.49        Inf
          2     2141706.13   1.97e+03
          3     2143362.84   1.66e+03
          4     2144244.41   8.82e+02
          5     2144557.41   3.13e+02
          6     2144658.18   1.01e+02
          7     2144690.16   3.20e+01
          8     2144700.37   1.02e+01
          9     2144703.64   3.28e+00
         10     2144704.73   1.09e+00
         11     2144705.12   3.92e-01
         12     2144705.29   1.68e-01
         13     2144705.39   9.41e-02
         14     2144705.45   6.80e-02
         15     2144705.51   5.74e-02
         16     2144705.56   5.20e-02
         17     2144705.61   4.83e-02
         18     2144705.66   4.55e-02
         19     2144705.70   4.32e-02
         20     2144705.74   4.13e-02
         21     2144705.78   3.94e-02
         22     2144705.82   3.78e-02
         23     2144705.86   3.64e-02
         24     2144705.89   3.51e-02
         25     2144705.92   3.39e-02
         26     2144705.96   3.27e-02
         27     2144705.99   3.16e-02
         28     2144706.02   3.05e-02
         29     2144706.05   2.95e-02
         30     2144706.08   2.86e-02
         31     2144706.11   2.78e-02
         32     2144706.13   2.71e-02
         33     2144706.16   2.66e-02
         34     2144706.19   2.59e-02
         35     2144706.21   2.52e-02
         36     2144706.24   2.45e-02
         37     2144706.26   2.39e-02
         38     2144706.28   2.33e-02
         39     2144706.30   2.27e-02
         40     2144706.33   2.21e-02
         41     2144706.35   2.15e-02
         42     2144706.37   2.10e-02
         43     2144706.39   2.04e-02
         44     2144706.41   1.99e-02
         45     2144706.43   1.94e-02
         46     2144706.45   1.89e-02
         47     2144706.47   1.84e-02
         48     2144706.48   1.79e-02
         49     2144706.50   1.75e-02
         50     2144706.52   1.70e-02
         51     2144706.54   1.66e-02
         52     2144706.55   1.61e-02
         53     2144706.57   1.57e-02
         54     2144706.58   1.53e-02
         55     2144706.60   1.50e-02
         56     2144706.61   1.48e-02
         57     2144706.63   1.44e-02
         58     2144706.64   1.40e-02
         59     2144706.65   1.36e-02
         60     2144706.67   1.32e-02
         61     2144706.68   1.28e-02
         62     2144706.69   1.24e-02
         63     2144706.71   1.20e-02
         64     2144706.72   1.17e-02
         65     2144706.73   1.13e-02
         66     2144706.74   1.09e-02
         67     2144706.75   1.06e-02
         68     2144706.76   1.03e-02
         69     2144706.77   9.93e-03
Performing nullcheck...
  Deleting factor 7 decreases objective by 7.69e+03. Factor retained.
  Nullcheck complete. Objective: 2144706.77
Fitting factor/loading 8 (stop when difference in obj. is < 1.00e-02):
  Iteration      Objective   Obj Diff
          1     2147171.15        Inf
          2     2148021.85   8.51e+02
          3     2148290.88   2.69e+02
          4     2148666.34   3.75e+02
          5     2149391.94   7.26e+02
          6     2150530.39   1.14e+03
          7     2151688.18   1.16e+03
          8     2152429.49   7.41e+02
          9     2152762.01   3.33e+02
         10     2152886.34   1.24e+02
         11     2152929.56   4.32e+01
         12     2152944.16   1.46e+01
         13     2152949.04   4.88e+00
         14     2152950.67   1.63e+00
         15     2152951.21   5.41e-01
         16     2152951.39   1.80e-01
         17     2152951.45   6.00e-02
         18     2152951.47   2.00e-02
         19     2152951.47   6.69e-03
Performing nullcheck...
  Deleting factor 8 decreases objective by 8.24e+03. Factor retained.
  Nullcheck complete. Objective: 2152951.47
Fitting factor/loading 9 (stop when difference in obj. is < 1.00e-02):
  Iteration      Objective   Obj Diff
          1     2155815.70        Inf
          2     2156719.39   9.04e+02
          3     2156902.81   1.83e+02
          4     2156994.95   9.21e+01
          5     2157046.25   5.13e+01
          6     2157074.92   2.87e+01
          7     2157091.31   1.64e+01
          8     2157101.17   9.87e+00
          9     2157107.49   6.31e+00
         10     2157111.50   4.02e+00
         11     2157114.11   2.61e+00
         12     2157115.84   1.73e+00
         13     2157117.00   1.16e+00
         14     2157117.80   7.93e-01
         15     2157118.34   5.40e-01
         16     2157118.71   3.72e-01
         17     2157118.97   2.60e-01
         18     2157119.15   1.83e-01
         19     2157119.28   1.31e-01
         20     2157119.37   9.40e-02
         21     2157119.44   6.81e-02
         22     2157119.49   4.97e-02
         23     2157119.53   3.64e-02
         24     2157119.56   2.68e-02
         25     2157119.58   1.98e-02
         26     2157119.59   1.47e-02
         27     2157119.60   1.09e-02
         28     2157119.61   8.14e-03
Performing nullcheck...
  Deleting factor 9 decreases objective by 4.17e+03. Factor retained.
  Nullcheck complete. Objective: 2157119.61
Fitting factor/loading 10 (stop when difference in obj. is < 1.00e-02):
  Iteration      Objective   Obj Diff
          1     2158902.46        Inf
          2     2159814.06   9.12e+02
          3     2160050.54   2.36e+02
          4     2160222.44   1.72e+02
          5     2160366.95   1.45e+02
          6     2160482.71   1.16e+02
          7     2160572.98   9.03e+01
          8     2160640.95   6.80e+01
          9     2160690.84   4.99e+01
         10     2160730.70   3.99e+01
         11     2160759.61   2.89e+01
         12     2160784.17   2.46e+01
         13     2160803.53   1.94e+01
         14     2160819.08   1.55e+01
         15     2160831.74   1.27e+01
         16     2160842.13   1.04e+01
         17     2160850.65   8.53e+00
         18     2160857.67   7.01e+00
         19     2160863.44   5.77e+00
         20     2160868.20   4.76e+00
         21     2160872.14   3.95e+00
         22     2160875.45   3.30e+00
         23     2160878.23   2.78e+00
         24     2160880.58   2.35e+00
         25     2160882.60   2.02e+00
         26     2160884.32   1.73e+00
         27     2160885.80   1.48e+00
         28     2160887.05   1.25e+00
         29     2160888.09   1.04e+00
         30     2160888.96   8.69e-01
         31     2160889.69   7.27e-01
         32     2160890.30   6.14e-01
         33     2160890.82   5.18e-01
         34     2160891.25   4.33e-01
         35     2160891.62   3.61e-01
         36     2160891.92   3.01e-01
         37     2160892.17   2.51e-01
         38     2160892.38   2.10e-01
         39     2160892.56   1.77e-01
         40     2160892.70   1.48e-01
         41     2160892.83   1.23e-01
         42     2160892.93   1.05e-01
         43     2160893.02   9.42e-02
         44     2160893.14   1.18e-01
         45     2160893.24   1.02e-01
         46     2160893.33   8.89e-02
         47     2160893.41   7.73e-02
         48     2160893.48   6.73e-02
         49     2160893.54   5.87e-02
         50     2160893.59   5.11e-02
         51     2160893.63   4.46e-02
         52     2160893.67   3.89e-02
         53     2160893.71   3.40e-02
         54     2160893.74   2.98e-02
         55     2160893.76   2.61e-02
         56     2160893.78   2.29e-02
         57     2160893.80   2.01e-02
         58     2160893.82   1.76e-02
         59     2160893.84   1.55e-02
         60     2160893.85   1.36e-02
         61     2160893.86   1.20e-02
         62     2160893.87   1.06e-02
         63     2160893.88   9.35e-03
Performing nullcheck...
  Deleting factor 10 decreases objective by 3.77e+03. Factor retained.
  Nullcheck complete. Objective: 2160893.88
Fitting factor/loading 11 (stop when difference in obj. is < 1.00e-02):
  Iteration      Objective   Obj Diff
          1     2162788.91        Inf
          2     2163743.92   9.55e+02
          3     2163943.05   1.99e+02
          4     2164059.15   1.16e+02
          5     2164142.26   8.31e+01
          6     2164205.27   6.30e+01
          7     2164255.13   4.99e+01
          8     2164295.05   3.99e+01
          9     2164327.40   3.23e+01
         10     2164352.20   2.48e+01
         11     2164370.91   1.87e+01
         12     2164385.14   1.42e+01
         13     2164396.10   1.10e+01
         14     2164404.76   8.66e+00
         15     2164411.75   6.99e+00
         16     2164417.35   5.60e+00
         17     2164421.86   4.51e+00
         18     2164425.44   3.58e+00
         19     2164428.30   2.85e+00
         20     2164430.62   2.32e+00
         21     2164432.55   1.93e+00
         22     2164434.17   1.62e+00
         23     2164435.56   1.39e+00
         24     2164436.77   1.21e+00
         25     2164437.89   1.12e+00
         26     2164438.92   1.03e+00
         27     2164439.85   9.30e-01
         28     2164440.69   8.37e-01
         29     2164441.42   7.34e-01
         30     2164442.05   6.25e-01
         31     2164442.58   5.33e-01
         32     2164443.03   4.55e-01
         33     2164443.42   3.89e-01
         34     2164443.76   3.33e-01
         35     2164444.04   2.83e-01
         36     2164444.27   2.30e-01
         37     2164444.46   1.86e-01
         38     2164444.60   1.44e-01
         39     2164444.71   1.08e-01
         40     2164444.79   7.99e-02
         41     2164444.85   6.03e-02
         42     2164444.89   4.68e-02
         43     2164444.93   3.57e-02
         44     2164444.96   2.67e-02
         45     2164444.98   1.95e-02
         46     2164444.99   1.35e-02
         47     2164445.00   8.42e-03
Performing nullcheck...
  Deleting factor 11 decreases objective by 3.55e+03. Factor retained.
  Nullcheck complete. Objective: 2164445
Fitting factor/loading 12 (stop when difference in obj. is < 1.00e-02):
  Iteration      Objective   Obj Diff
          1     2166318.03        Inf
          2     2167329.97   1.01e+03
          3     2167503.18   1.73e+02
          4     2167591.60   8.84e+01
          5     2167646.46   5.49e+01
          6     2167682.24   3.58e+01
          7     2167707.10   2.49e+01
          8     2167725.64   1.85e+01
          9     2167740.12   1.45e+01
         10     2167752.02   1.19e+01
         11     2167762.21   1.02e+01
         12     2167771.02   8.81e+00
         13     2167778.68   7.66e+00
         14     2167785.53   6.85e+00
         15     2167791.72   6.19e+00
         16     2167797.35   5.63e+00
         17     2167802.48   5.13e+00
         18     2167807.15   4.67e+00
         19     2167811.37   4.22e+00
         20     2167815.16   3.79e+00
         21     2167818.59   3.42e+00
         22     2167821.73   3.15e+00
         23     2167824.66   2.92e+00
         24     2167827.38   2.73e+00
         25     2167829.93   2.55e+00
         26     2167832.32   2.39e+00
         27     2167834.55   2.22e+00
         28     2167836.61   2.06e+00
         29     2167838.52   1.91e+00
         30     2167840.29   1.77e+00
         31     2167841.93   1.64e+00
         32     2167843.46   1.52e+00
         33     2167844.86   1.41e+00
         34     2167846.15   1.29e+00
         35     2167847.34   1.19e+00
         36     2167848.44   1.09e+00
         37     2167849.44   1.01e+00
         38     2167850.37   9.25e-01
         39     2167851.22   8.51e-01
         40     2167852.01   7.84e-01
         41     2167852.73   7.23e-01
         42     2167853.40   6.70e-01
         43     2167854.02   6.22e-01
         44     2167854.60   5.78e-01
         45     2167855.14   5.39e-01
         46     2167855.64   5.03e-01
         47     2167856.11   4.70e-01
         48     2167856.55   4.42e-01
         49     2167856.97   4.16e-01
         50     2167857.36   3.92e-01
         51     2167857.73   3.69e-01
         52     2167858.08   3.46e-01
         53     2167858.40   3.27e-01
         54     2167858.71   3.10e-01
         55     2167859.01   2.94e-01
         56     2167859.28   2.78e-01
         57     2167859.55   2.64e-01
         58     2167859.80   2.51e-01
         59     2167860.04   2.39e-01
         60     2167860.26   2.28e-01
         61     2167860.48   2.18e-01
         62     2167860.69   2.09e-01
         63     2167860.89   2.01e-01
         64     2167861.09   1.93e-01
         65     2167861.27   1.86e-01
         66     2167861.45   1.80e-01
         67     2167861.63   1.73e-01
         68     2167861.79   1.67e-01
         69     2167861.95   1.62e-01
         70     2167862.11   1.56e-01
         71     2167862.26   1.50e-01
         72     2167862.40   1.44e-01
         73     2167862.54   1.38e-01
         74     2167862.67   1.33e-01
         75     2167862.80   1.27e-01
         76     2167862.92   1.22e-01
         77     2167863.04   1.17e-01
         78     2167863.15   1.13e-01
         79     2167863.26   1.08e-01
         80     2167863.37   1.04e-01
         81     2167863.47   9.93e-02
         82     2167863.56   9.51e-02
         83     2167863.65   9.11e-02
         84     2167863.74   8.73e-02
         85     2167863.82   8.37e-02
         86     2167863.90   8.03e-02
         87     2167863.98   7.70e-02
         88     2167864.05   7.38e-02
         89     2167864.12   7.09e-02
         90     2167864.19   6.80e-02
         91     2167864.26   6.53e-02
         92     2167864.32   6.26e-02
         93     2167864.38   6.02e-02
         94     2167864.44   5.78e-02
         95     2167864.49   5.55e-02
         96     2167864.55   5.33e-02
         97     2167864.60   5.12e-02
         98     2167864.65   4.92e-02
         99     2167864.69   4.73e-02
        100     2167864.74   4.55e-02
        101     2167864.78   4.37e-02
        102     2167864.83   4.20e-02
        103     2167864.87   4.04e-02
        104     2167864.91   3.88e-02
        105     2167864.94   3.73e-02
        106     2167864.98   3.59e-02
        107     2167865.01   3.45e-02
        108     2167865.05   3.32e-02
        109     2167865.08   3.19e-02
        110     2167865.11   3.07e-02
        111     2167865.14   2.96e-02
        112     2167865.17   2.84e-02
        113     2167865.19   2.73e-02
        114     2167865.22   2.63e-02
        115     2167865.25   2.53e-02
        116     2167865.27   2.43e-02
        117     2167865.29   2.34e-02
        118     2167865.32   2.25e-02
        119     2167865.34   2.16e-02
        120     2167865.36   2.08e-02
        121     2167865.38   2.00e-02
        122     2167865.40   1.93e-02
        123     2167865.42   1.85e-02
        124     2167865.43   1.78e-02
        125     2167865.45   1.71e-02
        126     2167865.47   1.65e-02
        127     2167865.48   1.59e-02
        128     2167865.50   1.52e-02
        129     2167865.51   1.47e-02
        130     2167865.53   1.41e-02
        131     2167865.54   1.36e-02
        132     2167865.55   1.31e-02
        133     2167865.57   1.26e-02
        134     2167865.58   1.21e-02
        135     2167865.59   1.17e-02
        136     2167865.60   1.12e-02
        137     2167865.61   1.08e-02
        138     2167865.62   1.04e-02
        139     2167865.63   1.00e-02
        140     2167865.64   9.67e-03
Performing nullcheck...
  Deleting factor 12 decreases objective by 3.42e+03. Factor retained.
  Nullcheck complete. Objective: 2167865.64
Fitting factor/loading 13 (stop when difference in obj. is < 1.00e-02):
  Iteration      Objective   Obj Diff
          1     2169746.12        Inf
          2     2170792.66   1.05e+03
          3     2170952.95   1.60e+02
          4     2171040.72   8.78e+01
          5     2171100.45   5.97e+01
          6     2171142.30   4.18e+01
          7     2171171.76   2.95e+01
          8     2171192.44   2.07e+01
          9     2171207.65   1.52e+01
         10     2171219.14   1.15e+01
         11     2171228.14   8.99e+00
         12     2171235.42   7.29e+00
         13     2171241.43   6.01e+00
         14     2171246.62   5.19e+00
         15     2171251.31   4.69e+00
         16     2171255.70   4.38e+00
         17     2171259.89   4.19e+00
         18     2171263.97   4.08e+00
         19     2171267.97   4.00e+00
         20     2171271.92   3.95e+00
         21     2171275.84   3.92e+00
         22     2171279.73   3.89e+00
         23     2171283.61   3.88e+00
         24     2171287.50   3.89e+00
         25     2171291.44   3.94e+00
         26     2171295.48   4.04e+00
         27     2171299.69   4.21e+00
         28     2171304.11   4.41e+00
         29     2171308.69   4.59e+00
         30     2171313.46   4.77e+00
         31     2171318.42   4.96e+00
         32     2171323.60   5.18e+00
         33     2171329.01   5.41e+00
         34     2171334.64   5.64e+00
         35     2171340.45   5.81e+00
         36     2171346.35   5.90e+00
         37     2171352.26   5.91e+00
         38     2171357.93   5.67e+00
         39     2171363.34   5.42e+00
         40     2171369.33   5.98e+00
         41     2171375.22   5.90e+00
         42     2171380.99   5.77e+00
         43     2171386.91   5.91e+00
         44     2171393.12   6.21e+00
         45     2171399.49   6.37e+00
         46     2171405.97   6.48e+00
         47     2171412.51   6.54e+00
         48     2171419.09   6.59e+00
         49     2171425.67   6.58e+00
         50     2171431.84   6.17e+00
         51     2171437.83   5.99e+00
         52     2171443.70   5.88e+00
         53     2171449.59   5.88e+00
         54     2171455.53   5.94e+00
         55     2171461.34   5.81e+00
         56     2171466.88   5.53e+00
         57     2171472.10   5.22e+00
         58     2171477.05   4.96e+00
         59     2171481.86   4.81e+00
         60     2171486.55   4.69e+00
         61     2171491.12   4.57e+00
         62     2171495.56   4.44e+00
         63     2171499.87   4.30e+00
         64     2171504.01   4.15e+00
         65     2171507.98   3.97e+00
         66     2171511.75   3.77e+00
         67     2171515.30   3.55e+00
         68     2171518.63   3.32e+00
         69     2171521.72   3.10e+00
         70     2171524.60   2.88e+00
         71     2171527.26   2.66e+00
         72     2171529.71   2.44e+00
         73     2171531.93   2.23e+00
         74     2171533.95   2.02e+00
         75     2171535.77   1.82e+00
         76     2171537.42   1.65e+00
         77     2171538.92   1.50e+00
         78     2171540.29   1.37e+00
         79     2171541.53   1.24e+00
         80     2171542.66   1.13e+00
         81     2171543.68   1.02e+00
         82     2171544.61   9.29e-01
         83     2171545.45   8.41e-01
         84     2171546.22   7.62e-01
         85     2171546.91   6.90e-01
         86     2171547.53   6.24e-01
         87     2171548.09   5.65e-01
         88     2171548.61   5.13e-01
         89     2171549.07   4.66e-01
         90     2171549.50   4.24e-01
         91     2171549.88   3.87e-01
         92     2171550.24   3.54e-01
         93     2171550.56   3.25e-01
         94     2171550.86   3.00e-01
         95     2171551.14   2.78e-01
         96     2171551.40   2.59e-01
         97     2171551.64   2.43e-01
         98     2171551.87   2.29e-01
         99     2171552.09   2.17e-01
        100     2171552.30   2.07e-01
        101     2171552.49   1.99e-01
        102     2171552.69   1.91e-01
        103     2171552.87   1.85e-01
        104     2171553.05   1.80e-01
        105     2171553.23   1.76e-01
        106     2171553.40   1.72e-01
        107     2171553.57   1.70e-01
        108     2171553.74   1.68e-01
        109     2171553.90   1.67e-01
        110     2171554.07   1.66e-01
        111     2171554.24   1.66e-01
        112     2171554.40   1.66e-01
        113     2171554.57   1.66e-01
        114     2171554.73   1.67e-01
        115     2171554.90   1.67e-01
        116     2171555.07   1.68e-01
        117     2171555.24   1.70e-01
        118     2171555.41   1.75e-01
        119     2171555.59   1.76e-01
        120     2171555.77   1.77e-01
        121     2171555.95   1.79e-01
        122     2171556.13   1.80e-01
        123     2171556.31   1.82e-01
        124     2171556.49   1.83e-01
        125     2171556.68   1.85e-01
        126     2171556.86   1.86e-01
        127     2171557.05   1.88e-01
        128     2171557.24   1.89e-01
        129     2171557.43   1.91e-01
        130     2171557.62   1.92e-01
        131     2171557.82   1.93e-01
        132     2171558.01   1.94e-01
        133     2171558.20   1.95e-01
        134     2171558.40   1.95e-01
        135     2171558.59   1.96e-01
        136     2171558.79   1.96e-01
        137     2171558.99   1.96e-01
        138     2171559.18   1.96e-01
        139     2171559.38   1.95e-01
        140     2171559.57   1.95e-01
        141     2171559.77   1.94e-01
        142     2171559.96   1.92e-01
        143     2171560.15   1.91e-01
        144     2171560.34   1.89e-01
        145     2171560.52   1.87e-01
        146     2171560.71   1.85e-01
        147     2171560.89   1.82e-01
        148     2171561.07   1.78e-01
        149     2171561.24   1.75e-01
        150     2171561.42   1.72e-01
        151     2171561.58   1.68e-01
        152     2171561.75   1.64e-01
        153     2171561.91   1.60e-01
        154     2171562.06   1.55e-01
        155     2171562.21   1.50e-01
        156     2171562.36   1.45e-01
        157     2171562.50   1.40e-01
        158     2171562.63   1.35e-01
        159     2171562.76   1.29e-01
        160     2171562.89   1.24e-01
        161     2171563.00   1.18e-01
        162     2171563.12   1.13e-01
        163     2171563.22   1.07e-01
        164     2171563.33   1.01e-01
        165     2171563.42   9.57e-02
        166     2171563.51   9.02e-02
        167     2171563.60   8.48e-02
        168     2171563.68   7.96e-02
        169     2171563.75   7.45e-02
        170     2171563.82   6.96e-02
        171     2171563.88   6.49e-02
        172     2171563.95   6.04e-02
        173     2171564.00   5.60e-02
        174     2171564.05   5.20e-02
        175     2171564.10   4.83e-02
        176     2171564.15   4.48e-02
        177     2171564.19   4.15e-02
        178     2171564.23   3.83e-02
        179     2171564.26   3.53e-02
        180     2171564.29   3.25e-02
        181     2171564.32   2.99e-02
        182     2171564.35   2.74e-02
        183     2171564.38   2.50e-02
        184     2171564.40   2.29e-02
        185     2171564.42   2.10e-02
        186     2171564.44   1.92e-02
        187     2171564.46   1.75e-02
        188     2171564.47   1.59e-02
        189     2171564.49   1.45e-02
        190     2171564.50   1.32e-02
        191     2171564.51   1.20e-02
        192     2171564.52   1.08e-02
        193     2171564.53   9.81e-03
Performing nullcheck...
  Deleting factor 13 decreases objective by 3.70e+03. Factor retained.
  Nullcheck complete. Objective: 2171564.53
Fitting factor/loading 14 (stop when difference in obj. is < 1.00e-02):
  Iteration      Objective   Obj Diff
          1     2173677.10        Inf
          2     2174755.53   1.08e+03
          3     2174916.04   1.61e+02
          4     2175000.48   8.44e+01
          5     2175057.78   5.73e+01
          6     2175097.65   3.99e+01
          7     2175125.82   2.82e+01
          8     2175146.00   2.02e+01
          9     2175160.88   1.49e+01
         10     2175172.02   1.11e+01
         11     2175180.63   8.60e+00
         12     2175187.17   6.54e+00
         13     2175192.27   5.10e+00
         14     2175196.55   4.28e+00
         15     2175200.24   3.69e+00
         16     2175203.43   3.19e+00
         17     2175206.23   2.80e+00
         18     2175208.73   2.50e+00
         19     2175210.99   2.26e+00
         20     2175213.06   2.07e+00
         21     2175214.98   1.92e+00
         22     2175216.78   1.80e+00
         23     2175218.48   1.70e+00
         24     2175220.08   1.61e+00
         25     2175221.61   1.53e+00
         26     2175223.06   1.45e+00
         27     2175224.45   1.39e+00
         28     2175225.78   1.33e+00
         29     2175227.05   1.27e+00
         30     2175228.27   1.22e+00
         31     2175229.44   1.17e+00
         32     2175230.56   1.12e+00
         33     2175231.63   1.07e+00
         34     2175232.65   1.02e+00
         35     2175233.64   9.96e-01
         36     2175234.62   9.78e-01
         37     2175235.56   9.40e-01
         38     2175236.46   8.98e-01
         39     2175237.31   8.56e-01
         40     2175238.13   8.14e-01
         41     2175238.90   7.72e-01
         42     2175239.63   7.30e-01
         43     2175240.32   6.90e-01
         44     2175240.97   6.51e-01
         45     2175241.60   6.28e-01
         46     2175242.21   6.10e-01
         47     2175242.79   5.85e-01
         48     2175243.34   5.49e-01
         49     2175243.86   5.12e-01
         50     2175244.34   4.79e-01
         51     2175244.79   4.51e-01
         52     2175245.21   4.21e-01
         53     2175245.60   3.91e-01
         54     2175245.96   3.61e-01
         55     2175246.29   3.34e-01
         56     2175246.60   3.08e-01
         57     2175246.89   2.84e-01
         58     2175247.15   2.61e-01
         59     2175247.39   2.40e-01
         60     2175247.61   2.21e-01
         61     2175247.81   2.03e-01
         62     2175248.00   1.86e-01
         63     2175248.17   1.71e-01
         64     2175248.33   1.60e-01
         65     2175248.48   1.52e-01
         66     2175248.62   1.44e-01
         67     2175248.76   1.36e-01
         68     2175248.89   1.26e-01
         69     2175249.00   1.15e-01
         70     2175249.11   1.05e-01
         71     2175249.20   9.59e-02
         72     2175249.29   8.78e-02
         73     2175249.37   8.04e-02
         74     2175249.44   7.37e-02
         75     2175249.51   6.75e-02
         76     2175249.57   6.18e-02
         77     2175249.63   5.66e-02
         78     2175249.68   5.19e-02
         79     2175249.73   4.75e-02
         80     2175249.77   4.35e-02
         81     2175249.81   3.98e-02
         82     2175249.85   3.64e-02
         83     2175249.88   3.33e-02
         84     2175249.91   3.05e-02
         85     2175249.94   2.80e-02
         86     2175249.97   2.56e-02
         87     2175249.99   2.34e-02
         88     2175250.01   2.15e-02
         89     2175250.03   1.97e-02
         90     2175250.05   1.80e-02
         91     2175250.07   1.65e-02
         92     2175250.08   1.52e-02
         93     2175250.09   1.39e-02
         94     2175250.11   1.27e-02
         95     2175250.12   1.17e-02
         96     2175250.13   1.07e-02
         97     2175250.14   9.86e-03
Performing nullcheck...
  Deleting factor 14 decreases objective by 3.69e+03. Factor retained.
  Nullcheck complete. Objective: 2175250.14
Fitting factor/loading 15 (stop when difference in obj. is < 1.00e-02):
  Iteration      Objective   Obj Diff
          1     2177020.28        Inf
          2     2178329.71   1.31e+03
          3     2178564.73   2.35e+02
          4     2178691.32   1.27e+02
          5     2178783.40   9.21e+01
          6     2178853.38   7.00e+01
          7     2178909.20   5.58e+01
          8     2178954.61   4.54e+01
          9     2178991.73   3.71e+01
         10     2179022.23   3.05e+01
         11     2179047.36   2.51e+01
         12     2179068.04   2.07e+01
         13     2179085.07   1.70e+01
         14     2179099.24   1.42e+01
         15     2179111.18   1.19e+01
         16     2179121.41   1.02e+01
         17     2179130.28   8.87e+00
         18     2179138.07   7.79e+00
         19     2179144.97   6.90e+00
         20     2179151.12   6.15e+00
         21     2179156.62   5.50e+00
         22     2179161.56   4.94e+00
         23     2179165.99   4.43e+00
         24     2179169.95   3.96e+00
         25     2179173.45   3.50e+00
         26     2179176.58   3.13e+00
         27     2179179.36   2.78e+00
         28     2179181.84   2.47e+00
         29     2179184.03   2.20e+00
         30     2179185.98   1.94e+00
         31     2179187.69   1.72e+00
         32     2179189.21   1.51e+00
         33     2179190.54   1.33e+00
         34     2179191.71   1.17e+00
         35     2179192.74   1.03e+00
         36     2179193.65   9.05e-01
         37     2179194.44   7.98e-01
         38     2179195.15   7.03e-01
         39     2179195.76   6.18e-01
         40     2179196.31   5.42e-01
         41     2179196.78   4.74e-01
         42     2179197.20   4.14e-01
         43     2179197.56   3.61e-01
         44     2179197.87   3.15e-01
         45     2179198.15   2.74e-01
         46     2179198.38   2.38e-01
         47     2179198.59   2.06e-01
         48     2179198.77   1.78e-01
         49     2179198.92   1.54e-01
         50     2179199.06   1.34e-01
         51     2179199.17   1.15e-01
         52     2179199.27   9.97e-02
         53     2179199.36   8.61e-02
         54     2179199.43   7.44e-02
         55     2179199.50   6.42e-02
         56     2179199.55   5.55e-02
         57     2179199.60   4.79e-02
         58     2179199.64   4.14e-02
         59     2179199.68   3.58e-02
         60     2179199.71   3.10e-02
         61     2179199.73   2.67e-02
         62     2179199.76   2.28e-02
         63     2179199.78   1.95e-02
         64     2179199.79   1.68e-02
         65     2179199.81   1.44e-02
         66     2179199.82   1.24e-02
         67     2179199.83   1.07e-02
         68     2179199.84   9.26e-03
Performing nullcheck...
  Deleting factor 15 decreases objective by 3.95e+03. Factor retained.
  Nullcheck complete. Objective: 2179199.84
Fitting factor/loading 16 (stop when difference in obj. is < 1.00e-02):
  Iteration      Objective   Obj Diff
          1     2180952.26        Inf
          2     2182339.40   1.39e+03
          3     2182576.51   2.37e+02
          4     2182682.10   1.06e+02
          5     2182746.41   6.43e+01
          6     2182788.05   4.16e+01
          7     2182817.51   2.95e+01
          8     2182840.89   2.34e+01
          9     2182861.50   2.06e+01
         10     2182880.71   1.92e+01
         11     2182899.02   1.83e+01
         12     2182916.88   1.79e+01
         13     2182934.13   1.73e+01
         14     2182950.43   1.63e+01
         15     2182965.47   1.50e+01
         16     2182979.06   1.36e+01
         17     2182991.17   1.21e+01
         18     2183001.82   1.07e+01
         19     2183011.11   9.29e+00
         20     2183019.15   8.04e+00
         21     2183026.08   6.93e+00
         22     2183032.04   5.96e+00
         23     2183037.26   5.22e+00
         24     2183041.90   4.64e+00
         25     2183046.05   4.15e+00
         26     2183049.79   3.74e+00
         27     2183053.14   3.35e+00
         28     2183056.10   2.96e+00
         29     2183058.79   2.69e+00
         30     2183061.27   2.48e+00
         31     2183063.58   2.31e+00
         32     2183065.73   2.16e+00
         33     2183067.76   2.02e+00
         34     2183069.67   1.91e+00
         35     2183071.48   1.81e+00
         36     2183073.20   1.72e+00
         37     2183074.84   1.64e+00
         38     2183076.42   1.58e+00
         39     2183077.95   1.53e+00
         40     2183079.44   1.48e+00
         41     2183080.88   1.44e+00
         42     2183082.29   1.41e+00
         43     2183083.67   1.38e+00
         44     2183085.02   1.35e+00
         45     2183086.35   1.33e+00
         46     2183087.67   1.32e+00
         47     2183088.98   1.31e+00
         48     2183090.27   1.29e+00
         49     2183091.56   1.29e+00
         50     2183092.84   1.28e+00
         51     2183094.10   1.27e+00
         52     2183095.36   1.26e+00
         53     2183096.60   1.24e+00
         54     2183097.83   1.23e+00
         55     2183099.03   1.20e+00
         56     2183100.21   1.18e+00
         57     2183101.37   1.15e+00
         58     2183102.49   1.13e+00
         59     2183103.59   1.10e+00
         60     2183104.66   1.07e+00
         61     2183105.71   1.05e+00
         62     2183106.73   1.02e+00
         63     2183107.73   9.99e-01
         64     2183108.70   9.74e-01
         65     2183109.65   9.48e-01
         66     2183110.57   9.18e-01
         67     2183111.45   8.77e-01
         68     2183112.28   8.32e-01
         69     2183113.06   7.85e-01
         70     2183113.79   7.26e-01
         71     2183114.43   6.34e-01
         72     2183115.02   5.97e-01
         73     2183115.58   5.59e-01
         74     2183116.10   5.23e-01
         75     2183116.59   4.87e-01
         76     2183117.04   4.52e-01
         77     2183117.46   4.19e-01
         78     2183117.85   3.87e-01
         79     2183118.21   3.57e-01
         80     2183118.53   3.28e-01
         81     2183118.79   2.57e-01
         82     2183118.98   1.87e-01
         83     2183119.15   1.70e-01
         84     2183119.30   1.55e-01
         85     2183119.44   1.41e-01
         86     2183119.57   1.29e-01
         87     2183119.69   1.17e-01
         88     2183119.80   1.06e-01
         89     2183119.89   9.68e-02
         90     2183119.98   8.80e-02
         91     2183120.06   8.00e-02
         92     2183120.13   7.27e-02
         93     2183120.20   6.60e-02
         94     2183120.26   5.99e-02
         95     2183120.31   5.43e-02
         96     2183120.36   4.92e-02
         97     2183120.41   4.46e-02
         98     2183120.45   4.04e-02
         99     2183120.48   3.65e-02
        100     2183120.52   3.30e-02
        101     2183120.55   2.99e-02
        102     2183120.57   2.70e-02
        103     2183120.60   2.43e-02
        104     2183120.62   2.19e-02
        105     2183120.64   1.98e-02
        106     2183120.66   1.78e-02
        107     2183120.67   1.60e-02
        108     2183120.69   1.44e-02
        109     2183120.70   1.29e-02
        110     2183120.71   1.16e-02
        111     2183120.72   1.04e-02
        112     2183120.73   9.31e-03
Performing nullcheck...
  Deleting factor 16 decreases objective by 3.92e+03. Factor retained.
  Nullcheck complete. Objective: 2183120.73
Fitting factor/loading 17 (stop when difference in obj. is < 1.00e-02):
  Iteration      Objective   Obj Diff
          1     2184901.57        Inf
          2     2186315.53   1.41e+03
          3     2186587.70   2.72e+02
          4     2186740.16   1.52e+02
          5     2186844.91   1.05e+02
          6     2186913.75   6.88e+01
          7     2186959.78   4.60e+01
          8     2186992.81   3.30e+01
          9     2187018.54   2.57e+01
         10     2187039.90   2.14e+01
         11     2187058.32   1.84e+01
         12     2187074.44   1.61e+01
         13     2187088.57   1.41e+01
         14     2187100.91   1.23e+01
         15     2187111.62   1.07e+01
         16     2187120.74   9.12e+00
         17     2187128.39   7.64e+00
         18     2187134.71   6.32e+00
         19     2187139.89   5.18e+00
         20     2187144.10   4.21e+00
         21     2187147.52   3.41e+00
         22     2187150.28   2.76e+00
         23     2187152.51   2.23e+00
         24     2187154.33   1.82e+00
         25     2187155.83   1.50e+00
         26     2187157.07   1.25e+00
         27     2187158.12   1.04e+00
         28     2187159.00   8.83e-01
         29     2187159.76   7.62e-01
         30     2187160.43   6.67e-01
         31     2187161.02   5.94e-01
         32     2187161.56   5.37e-01
         33     2187162.05   4.92e-01
         34     2187162.51   4.56e-01
         35     2187162.93   4.27e-01
         36     2187163.34   4.04e-01
         37     2187163.72   3.85e-01
         38     2187164.09   3.67e-01
         39     2187164.44   3.53e-01
         40     2187164.78   3.41e-01
         41     2187165.11   3.30e-01
         42     2187165.44   3.22e-01
         43     2187165.75   3.14e-01
         44     2187166.06   3.07e-01
         45     2187166.36   3.02e-01
         46     2187166.65   2.97e-01
         47     2187166.95   2.93e-01
         48     2187167.24   2.89e-01
         49     2187167.52   2.86e-01
         50     2187167.81   2.84e-01
         51     2187168.09   2.82e-01
         52     2187168.37   2.81e-01
         53     2187168.65   2.80e-01
         54     2187168.93   2.79e-01
         55     2187169.21   2.79e-01
         56     2187169.49   2.80e-01
         57     2187169.77   2.80e-01
         58     2187170.05   2.81e-01
         59     2187170.33   2.83e-01
         60     2187170.62   2.89e-01
         61     2187170.92   2.98e-01
         62     2187171.22   3.00e-01
         63     2187171.52   3.03e-01
         64     2187171.83   3.06e-01
         65     2187172.14   3.10e-01
         66     2187172.45   3.14e-01
         67     2187172.77   3.19e-01
         68     2187173.10   3.24e-01
         69     2187173.43   3.29e-01
         70     2187173.76   3.35e-01
         71     2187174.10   3.41e-01
         72     2187174.45   3.47e-01
         73     2187174.80   3.53e-01
         74     2187175.16   3.60e-01
         75     2187175.53   3.67e-01
         76     2187175.92   3.88e-01
         77     2187176.32   4.00e-01
         78     2187176.72   4.07e-01
         79     2187177.14   4.13e-01
         80     2187177.56   4.20e-01
         81     2187177.98   4.26e-01
         82     2187178.41   4.32e-01
         83     2187178.85   4.38e-01
         84     2187179.30   4.44e-01
         85     2187179.75   4.49e-01
         86     2187180.20   4.54e-01
         87     2187180.66   4.59e-01
         88     2187181.13   4.67e-01
         89     2187181.60   4.77e-01
         90     2187182.09   4.85e-01
         91     2187182.58   4.93e-01
         92     2187183.08   5.01e-01
         93     2187183.59   5.09e-01
         94     2187184.11   5.18e-01
         95     2187184.64   5.25e-01
         96     2187185.17   5.32e-01
         97     2187185.71   5.39e-01
         98     2187186.25   5.44e-01
         99     2187186.80   5.49e-01
        100     2187187.35   5.52e-01
        101     2187187.91   5.55e-01
        102     2187188.46   5.56e-01
        103     2187189.02   5.56e-01
        104     2187189.57   5.55e-01
        105     2187190.13   5.53e-01
        106     2187190.68   5.50e-01
        107     2187191.22   5.46e-01
        108     2187191.77   5.43e-01
        109     2187192.30   5.39e-01
        110     2187192.84   5.34e-01
        111     2187193.37   5.29e-01
        112     2187193.89   5.23e-01
        113     2187194.41   5.16e-01
        114     2187194.91   5.09e-01
        115     2187195.42   5.01e-01
        116     2187195.91   4.93e-01
        117     2187196.39   4.84e-01
        118     2187196.87   4.74e-01
        119     2187197.33   4.64e-01
        120     2187197.78   4.53e-01
        121     2187198.23   4.42e-01
        122     2187198.66   4.31e-01
        123     2187199.07   4.18e-01
        124     2187199.48   4.06e-01
        125     2187199.87   3.93e-01
        126     2187200.25   3.80e-01
        127     2187200.62   3.67e-01
        128     2187200.97   3.53e-01
        129     2187201.31   3.40e-01
        130     2187201.64   3.26e-01
        131     2187201.95   3.13e-01
        132     2187202.25   3.00e-01
        133     2187202.54   2.87e-01
        134     2187202.81   2.74e-01
        135     2187203.07   2.61e-01
        136     2187203.32   2.49e-01
        137     2187203.56   2.36e-01
        138     2187203.78   2.25e-01
        139     2187204.00   2.14e-01
        140     2187204.20   2.03e-01
        141     2187204.39   1.92e-01
        142     2187204.58   1.82e-01
        143     2187204.75   1.73e-01
        144     2187204.91   1.63e-01
        145     2187205.07   1.55e-01
        146     2187205.21   1.47e-01
        147     2187205.35   1.39e-01
        148     2187205.48   1.31e-01
        149     2187205.61   1.24e-01
        150     2187205.72   1.17e-01
        151     2187205.83   1.11e-01
        152     2187205.94   1.05e-01
        153     2187206.04   9.91e-02
        154     2187206.13   9.36e-02
        155     2187206.22   8.84e-02
        156     2187206.30   8.34e-02
        157     2187206.38   7.88e-02
        158     2187206.46   7.43e-02
        159     2187206.53   7.02e-02
        160     2187206.59   6.62e-02
        161     2187206.66   6.25e-02
        162     2187206.72   5.89e-02
        163     2187206.77   5.56e-02
        164     2187206.82   5.24e-02
        165     2187206.87   4.94e-02
        166     2187206.92   4.66e-02
        167     2187206.96   4.39e-02
        168     2187207.00   4.14e-02
        169     2187207.04   3.91e-02
        170     2187207.08   3.68e-02
        171     2187207.12   3.47e-02
        172     2187207.15   3.27e-02
        173     2187207.18   3.08e-02
        174     2187207.21   2.90e-02
        175     2187207.23   2.73e-02
        176     2187207.26   2.57e-02
        177     2187207.28   2.42e-02
        178     2187207.31   2.27e-02
        179     2187207.33   2.14e-02
        180     2187207.35   2.01e-02
        181     2187207.37   1.89e-02
        182     2187207.39   1.77e-02
        183     2187207.40   1.67e-02
        184     2187207.42   1.57e-02
        185     2187207.43   1.47e-02
        186     2187207.45   1.38e-02
        187     2187207.46   1.30e-02
        188     2187207.47   1.22e-02
        189     2187207.48   1.14e-02
        190     2187207.49   1.07e-02
        191     2187207.50   1.00e-02
        192     2187207.51   9.40e-03
Performing nullcheck...
  Deleting factor 17 decreases objective by 4.09e+03. Factor retained.
  Nullcheck complete. Objective: 2187207.51
Fitting factor/loading 18 (stop when difference in obj. is < 1.00e-02):
  Iteration      Objective   Obj Diff
          1     2189248.70        Inf
          2     2190712.61   1.46e+03
          3     2190947.13   2.35e+02
          4     2191072.34   1.25e+02
          5     2191158.19   8.59e+01
          6     2191215.66   5.75e+01
          7     2191253.46   3.78e+01
          8     2191278.94   2.55e+01
          9     2191297.26   1.83e+01
         10     2191311.46   1.42e+01
         11     2191323.31   1.19e+01
         12     2191333.68   1.04e+01
         13     2191343.17   9.49e+00
         14     2191352.24   9.07e+00
         15     2191360.95   8.71e+00
         16     2191369.29   8.34e+00
         17     2191377.28   7.99e+00
         18     2191384.92   7.64e+00
         19     2191392.19   7.27e+00
         20     2191399.11   6.92e+00
         21     2191405.64   6.53e+00
         22     2191411.73   6.09e+00
         23     2191417.39   5.66e+00
         24     2191422.63   5.24e+00
         25     2191427.45   4.82e+00
         26     2191431.88   4.43e+00
         27     2191435.90   4.02e+00
         28     2191439.50   3.60e+00
         29     2191442.69   3.19e+00
         30     2191445.51   2.82e+00
         31     2191448.00   2.49e+00
         32     2191450.20   2.20e+00
         33     2191452.15   1.95e+00
         34     2191453.87   1.72e+00
         35     2191455.40   1.53e+00
         36     2191456.75   1.35e+00
         37     2191457.95   1.20e+00
         38     2191459.01   1.07e+00
         39     2191459.96   9.45e-01
         40     2191460.80   8.39e-01
         41     2191461.55   7.48e-01
         42     2191462.22   6.70e-01
         43     2191462.82   6.03e-01
         44     2191463.37   5.46e-01
         45     2191463.86   4.98e-01
         46     2191464.32   4.56e-01
         47     2191464.74   4.20e-01
         48     2191465.13   3.89e-01
         49     2191465.49   3.62e-01
         50     2191465.83   3.39e-01
         51     2191466.15   3.19e-01
         52     2191466.45   3.01e-01
         53     2191466.73   2.86e-01
         54     2191467.01   2.72e-01
         55     2191467.27   2.60e-01
         56     2191467.52   2.50e-01
         57     2191467.76   2.40e-01
         58     2191467.99   2.32e-01
         59     2191468.21   2.25e-01
         60     2191468.43   2.18e-01
         61     2191468.64   2.12e-01
         62     2191468.85   2.06e-01
         63     2191469.05   2.01e-01
         64     2191469.25   1.97e-01
         65     2191469.44   1.93e-01
         66     2191469.63   1.89e-01
         67     2191469.81   1.86e-01
         68     2191470.00   1.83e-01
         69     2191470.18   1.80e-01
         70     2191470.35   1.78e-01
         71     2191470.53   1.75e-01
         72     2191470.70   1.74e-01
         73     2191470.88   1.72e-01
         74     2191471.05   1.70e-01
         75     2191471.22   1.69e-01
         76     2191471.38   1.68e-01
         77     2191471.55   1.67e-01
         78     2191471.72   1.67e-01
         79     2191471.88   1.66e-01
         80     2191472.05   1.66e-01
         81     2191472.22   1.66e-01
         82     2191472.38   1.67e-01
         83     2191472.55   1.67e-01
         84     2191472.72   1.68e-01
         85     2191472.89   1.68e-01
         86     2191473.06   1.69e-01
         87     2191473.23   1.71e-01
         88     2191473.40   1.72e-01
         89     2191473.57   1.74e-01
         90     2191473.75   1.76e-01
         91     2191473.93   1.78e-01
         92     2191474.11   1.81e-01
         93     2191474.29   1.84e-01
         94     2191474.48   1.87e-01
         95     2191474.67   1.90e-01
         96     2191474.86   1.94e-01
         97     2191475.06   1.98e-01
         98     2191475.26   2.02e-01
         99     2191475.47   2.07e-01
        100     2191475.68   2.13e-01
        101     2191475.90   2.19e-01
        102     2191476.13   2.25e-01
        103     2191476.36   2.32e-01
        104     2191476.60   2.40e-01
        105     2191476.85   2.48e-01
        106     2191477.10   2.57e-01
        107     2191477.37   2.67e-01
        108     2191477.65   2.77e-01
        109     2191477.93   2.89e-01
        110     2191478.24   3.02e-01
        111     2191478.55   3.15e-01
        112     2191478.88   3.30e-01
        113     2191479.23   3.47e-01
        114     2191479.59   3.65e-01
        115     2191479.98   3.84e-01
        116     2191480.38   4.05e-01
        117     2191480.81   4.28e-01
        118     2191481.27   4.53e-01
        119     2191481.75   4.80e-01
        120     2191482.26   5.10e-01
        121     2191482.80   5.41e-01
        122     2191483.37   5.75e-01
        123     2191483.98   6.11e-01
        124     2191484.63   6.49e-01
        125     2191485.32   6.89e-01
        126     2191486.05   7.31e-01
        127     2191486.83   7.76e-01
        128     2191487.65   8.22e-01
        129     2191488.52   8.70e-01
        130     2191489.44   9.19e-01
        131     2191490.41   9.70e-01
        132     2191491.43   1.02e+00
        133     2191492.50   1.07e+00
        134     2191493.62   1.12e+00
        135     2191494.79   1.17e+00
        136     2191496.01   1.22e+00
        137     2191497.28   1.27e+00
        138     2191498.59   1.31e+00
        139     2191499.93   1.35e+00
        140     2191501.31   1.38e+00
        141     2191502.72   1.41e+00
        142     2191504.15   1.43e+00
        143     2191505.60   1.45e+00
        144     2191507.06   1.46e+00
        145     2191508.52   1.47e+00
        146     2191510.00   1.48e+00
        147     2191511.49   1.49e+00
        148     2191512.96   1.47e+00
        149     2191514.35   1.39e+00
        150     2191515.85   1.50e+00
        151     2191517.28   1.43e+00
        152     2191518.68   1.39e+00
        153     2191520.02   1.34e+00
        154     2191521.29   1.28e+00
        155     2191522.50   1.21e+00
        156     2191523.63   1.13e+00
        157     2191524.67   1.04e+00
        158     2191525.62   9.51e-01
        159     2191526.45   8.33e-01
        160     2191527.21   7.56e-01
        161     2191527.89   6.83e-01
        162     2191528.51   6.18e-01
        163     2191529.07   5.66e-01
        164     2191529.59   5.17e-01
        165     2191530.06   4.69e-01
        166     2191530.48   4.23e-01
        167     2191530.86   3.79e-01
        168     2191531.20   3.38e-01
        169     2191531.50   3.01e-01
        170     2191531.77   2.70e-01
        171     2191532.01   2.41e-01
        172     2191532.22   2.12e-01
        173     2191532.41   1.87e-01
        174     2191532.57   1.64e-01
        175     2191532.72   1.44e-01
        176     2191532.84   1.26e-01
        177     2191532.96   1.13e-01
        178     2191533.06   1.03e-01
        179     2191533.15   9.00e-02
        180     2191533.23   7.86e-02
        181     2191533.30   6.85e-02
        182     2191533.36   5.97e-02
        183     2191533.41   5.21e-02
        184     2191533.45   4.61e-02
        185     2191533.50   4.11e-02
        186     2191533.53   3.66e-02
        187     2191533.57   3.30e-02
        188     2191533.60   2.96e-02
        189     2191533.62   2.65e-02
        190     2191533.65   2.38e-02
        191     2191533.67   2.16e-02
        192     2191533.69   1.96e-02
        193     2191533.70   1.73e-02
        194     2191533.72   1.50e-02
        195     2191533.73   1.31e-02
        196     2191533.74   1.17e-02
        197     2191533.75   1.05e-02
        198     2191533.76   9.40e-03
Performing nullcheck...
  Deleting factor 18 decreases objective by 4.33e+03. Factor retained.
  Nullcheck complete. Objective: 2191533.76
Fitting factor/loading 19 (stop when difference in obj. is < 1.00e-02):
  Iteration      Objective   Obj Diff
          1     2193763.53        Inf
          2     2195293.69   1.53e+03
          3     2195505.30   2.12e+02
          4     2195616.76   1.11e+02
          5     2195695.07   7.83e+01
          6     2195748.76   5.37e+01
          7     2195785.50   3.67e+01
          8     2195810.91   2.54e+01
          9     2195829.37   1.85e+01
         10     2195843.87   1.45e+01
         11     2195856.12   1.23e+01
         12     2195867.24   1.11e+01
         13     2195877.90   1.07e+01
         14     2195888.37   1.05e+01
         15     2195898.84   1.05e+01
         16     2195909.45   1.06e+01
         17     2195920.20   1.08e+01
         18     2195930.94   1.07e+01
         19     2195941.43   1.05e+01
         20     2195951.64   1.02e+01
         21     2195961.59   9.95e+00
         22     2195971.13   9.54e+00
         23     2195980.16   9.03e+00
         24     2195988.61   8.45e+00
         25     2195996.44   7.82e+00
         26     2196003.55   7.12e+00
         27     2196009.95   6.40e+00
         28     2196015.73   5.77e+00
         29     2196020.90   5.18e+00
         30     2196025.53   4.62e+00
         31     2196029.63   4.11e+00
         32     2196033.26   3.63e+00
         33     2196036.46   3.20e+00
         34     2196039.26   2.81e+00
         35     2196041.72   2.45e+00
         36     2196043.86   2.14e+00
         37     2196045.73   1.87e+00
         38     2196047.34   1.61e+00
         39     2196048.74   1.40e+00
         40     2196049.95   1.21e+00
         41     2196051.00   1.05e+00
         42     2196051.90   9.06e-01
         43     2196052.68   7.82e-01
         44     2196053.36   6.76e-01
         45     2196053.94   5.83e-01
         46     2196054.45   5.03e-01
         47     2196054.88   4.35e-01
         48     2196055.26   3.79e-01
         49     2196055.59   3.29e-01
         50     2196055.87   2.84e-01
         51     2196056.12   2.44e-01
         52     2196056.33   2.10e-01
         53     2196056.51   1.81e-01
         54     2196056.66   1.55e-01
         55     2196056.80   1.33e-01
         56     2196056.91   1.14e-01
         57     2196057.01   9.79e-02
         58     2196057.09   8.38e-02
         59     2196057.17   7.17e-02
         60     2196057.23   6.13e-02
         61     2196057.28   5.23e-02
         62     2196057.32   4.47e-02
         63     2196057.36   3.82e-02
         64     2196057.39   3.26e-02
         65     2196057.42   2.78e-02
         66     2196057.45   2.37e-02
         67     2196057.47   2.03e-02
         68     2196057.48   1.73e-02
         69     2196057.50   1.48e-02
         70     2196057.51   1.26e-02
         71     2196057.52   1.08e-02
         72     2196057.53   9.18e-03
Performing nullcheck...
  Deleting factor 19 decreases objective by 4.52e+03. Factor retained.
  Nullcheck complete. Objective: 2196057.53
Fitting factor/loading 20 (stop when difference in obj. is < 1.00e-02):
  Iteration      Objective   Obj Diff
          1     2198284.40        Inf
          2     2199950.68   1.67e+03
          3     2200150.90   2.00e+02
          4     2200248.82   9.79e+01
          5     2200328.97   8.01e+01
          6     2200390.57   6.16e+01
          7     2200435.53   4.50e+01
          8     2200468.12   3.26e+01
          9     2200491.96   2.38e+01
         10     2200509.72   1.78e+01
         11     2200522.84   1.31e+01
         12     2200532.55   9.71e+00
         13     2200539.81   7.26e+00
         14     2200545.27   5.46e+00
         15     2200549.41   4.14e+00
         16     2200552.67   3.26e+00
         17     2200555.39   2.72e+00
         18     2200557.71   2.32e+00
         19     2200559.70   1.99e+00
         20     2200561.40   1.71e+00
         21     2200562.88   1.47e+00
         22     2200564.15   1.27e+00
         23     2200565.25   1.10e+00
         24     2200566.20   9.50e-01
         25     2200567.01   8.09e-01
         26     2200567.71   6.99e-01
         27     2200568.31   6.02e-01
         28     2200568.83   5.14e-01
         29     2200569.26   4.30e-01
         30     2200569.61   3.56e-01
         31     2200569.91   2.97e-01
         32     2200570.17   2.62e-01
         33     2200570.41   2.42e-01
         34     2200570.64   2.23e-01
         35     2200570.84   2.06e-01
         36     2200571.04   1.91e-01
         37     2200571.21   1.75e-01
         38     2200571.37   1.61e-01
         39     2200571.52   1.45e-01
         40     2200571.65   1.30e-01
         41     2200571.75   1.06e-01
         42     2200571.84   8.58e-02
         43     2200571.91   7.63e-02
         44     2200571.98   6.79e-02
         45     2200572.04   6.05e-02
         46     2200572.10   5.40e-02
         47     2200572.15   4.82e-02
         48     2200572.19   4.31e-02
         49     2200572.23   3.85e-02
         50     2200572.24   1.36e-02
         51     2200572.29   5.23e-02
         52     2200572.32   2.78e-02
         53     2200572.35   2.49e-02
         54     2200572.37   2.24e-02
         55     2200572.39   2.02e-02
         56     2200572.41   1.82e-02
         57     2200572.42   1.64e-02
         58     2200572.44   1.45e-02
         59     2200572.45   1.38e-02
         60     2200572.46   1.21e-02
         61     2200572.47   1.10e-02
         62     2200572.48   9.97e-03
Performing nullcheck...
  Deleting factor 20 decreases objective by 4.51e+03. Factor retained.
  Nullcheck complete. Objective: 2200572.48
Fitting factor/loading 21 (stop when difference in obj. is < 1.00e-02):
  Iteration      Objective   Obj Diff
          1     2202565.23        Inf
          2     2204447.69   1.88e+03
          3     2204587.17   1.39e+02
          4     2204616.01   2.88e+01
          5     2204642.95   2.69e+01
          6     2204667.94   2.50e+01
          7     2204690.81   2.29e+01
          8     2204711.73   2.09e+01
          9     2204730.83   1.91e+01
         10     2204748.16   1.73e+01
         11     2204763.74   1.56e+01
         12     2204777.49   1.37e+01
         13     2204789.47   1.20e+01
         14     2204800.31   1.08e+01
         15     2204809.97   9.66e+00
         16     2204818.54   8.57e+00
         17     2204826.18   7.63e+00
         18     2204833.01   6.83e+00
         19     2204839.18   6.17e+00
         20     2204844.83   5.64e+00
         21     2204850.08   5.25e+00
         22     2204855.08   5.00e+00
         23     2204859.94   4.87e+00
         24     2204864.81   4.87e+00
         25     2204869.81   5.00e+00
         26     2204875.09   5.28e+00
         27     2204880.69   5.60e+00
         28     2204886.64   5.95e+00
         29     2204892.93   6.29e+00
         30     2204899.64   6.71e+00
         31     2204906.80   7.16e+00
         32     2204914.42   7.62e+00
         33     2204922.49   8.07e+00
         34     2204931.05   8.56e+00
         35     2204939.99   8.94e+00
         36     2204949.26   9.27e+00
         37     2204958.77   9.51e+00
         38     2204968.45   9.68e+00
         39     2204978.13   9.68e+00
         40     2204987.77   9.64e+00
         41     2204997.19   9.42e+00
         42     2205006.29   9.10e+00
         43     2205015.02   8.73e+00
         44     2205023.32   8.30e+00
         45     2205031.16   7.84e+00
         46     2205038.52   7.36e+00
         47     2205045.40   6.88e+00
         48     2205051.81   6.41e+00
         49     2205057.75   5.94e+00
         50     2205063.22   5.47e+00
         51     2205068.25   5.03e+00
         52     2205072.86   4.61e+00
         53     2205077.07   4.21e+00
         54     2205080.91   3.84e+00
         55     2205084.41   3.50e+00
         56     2205087.61   3.20e+00
         57     2205090.53   2.92e+00
         58     2205093.18   2.65e+00
         59     2205095.59   2.40e+00
         60     2205097.76   2.17e+00
         61     2205099.72   1.96e+00
         62     2205101.49   1.77e+00
         63     2205103.10   1.62e+00
         64     2205104.57   1.47e+00
         65     2205105.90   1.33e+00
         66     2205107.09   1.19e+00
         67     2205108.16   1.07e+00
         68     2205109.12   9.57e-01
         69     2205109.97   8.55e-01
         70     2205110.73   7.64e-01
         71     2205111.42   6.81e-01
         72     2205112.02   6.08e-01
         73     2205112.57   5.42e-01
         74     2205113.05   4.83e-01
         75     2205113.48   4.30e-01
         76     2205113.86   3.84e-01
         77     2205114.21   3.43e-01
         78     2205114.51   3.06e-01
         79     2205114.78   2.73e-01
         80     2205115.03   2.44e-01
         81     2205115.25   2.18e-01
         82     2205115.44   1.94e-01
         83     2205115.61   1.74e-01
         84     2205115.77   1.55e-01
         85     2205115.91   1.38e-01
         86     2205116.03   1.23e-01
         87     2205116.14   1.10e-01
         88     2205116.24   9.81e-02
         89     2205116.33   8.76e-02
         90     2205116.40   7.81e-02
         91     2205116.47   6.97e-02
         92     2205116.54   6.22e-02
         93     2205116.59   5.55e-02
         94     2205116.64   4.95e-02
         95     2205116.69   4.42e-02
         96     2205116.72   3.94e-02
         97     2205116.76   3.52e-02
         98     2205116.79   3.14e-02
         99     2205116.82   2.81e-02
        100     2205116.84   2.51e-02
        101     2205116.87   2.24e-02
        102     2205116.89   2.00e-02
        103     2205116.90   1.79e-02
        104     2205116.92   1.59e-02
        105     2205116.94   1.42e-02
        106     2205116.95   1.27e-02
        107     2205116.96   1.14e-02
        108     2205116.97   1.02e-02
        109     2205116.98   9.09e-03
Performing nullcheck...
  Deleting factor 21 decreases objective by 4.54e+03. Factor retained.
  Nullcheck complete. Objective: 2205116.98
Fitting factor/loading 22 (stop when difference in obj. is < 1.00e-02):
  Iteration      Objective   Obj Diff
          1     2207197.34        Inf
          2     2209337.33   2.14e+03
          3     2209515.17   1.78e+02
          4     2209548.19   3.30e+01
          5     2209580.95   3.28e+01
          6     2209613.18   3.22e+01
          7     2209644.23   3.10e+01
          8     2209673.46   2.92e+01
          9     2209700.45   2.70e+01
         10     2209724.64   2.42e+01
         11     2209745.80   2.12e+01
         12     2209764.49   1.87e+01
         13     2209780.76   1.63e+01
         14     2209794.83   1.41e+01
         15     2209806.83   1.20e+01
         16     2209816.85   1.00e+01
         17     2209825.14   8.28e+00
         18     2209831.91   6.77e+00
         19     2209837.40   5.49e+00
         20     2209841.81   4.41e+00
         21     2209845.33   3.52e+00
         22     2209848.12   2.79e+00
         23     2209850.31   2.19e+00
         24     2209852.03   1.72e+00
         25     2209853.38   1.35e+00
         26     2209854.44   1.05e+00
         27     2209855.26   8.18e-01
         28     2209855.89   6.35e-01
         29     2209856.38   4.91e-01
         30     2209856.76   3.80e-01
         31     2209857.05   2.93e-01
         32     2209857.28   2.28e-01
         33     2209857.46   1.78e-01
         34     2209857.60   1.39e-01
         35     2209857.71   1.07e-01
         36     2209857.79   8.24e-02
         37     2209857.85   6.33e-02
         38     2209857.90   4.86e-02
         39     2209857.94   3.73e-02
         40     2209857.97   2.86e-02
         41     2209857.99   2.19e-02
         42     2209858.01   1.68e-02
         43     2209858.02   1.29e-02
         44     2209858.03   9.91e-03
Performing nullcheck...
  Deleting factor 22 decreases objective by 4.74e+03. Factor retained.
  Nullcheck complete. Objective: 2209858.03
Fitting factor/loading 23 (stop when difference in obj. is < 1.00e-02):
  Iteration      Objective   Obj Diff
          1     2211282.51        Inf
          2     2213955.24   2.67e+03
          3     2214230.16   2.75e+02
          4     2214230.72   5.57e-01
          5     2214230.72   7.16e-04
Performing nullcheck...
  Deleting factor 23 decreases objective by 4.37e+03. Factor retained.
  Nullcheck complete. Objective: 2214230.72
Fitting factor/loading 24 (stop when difference in obj. is < 1.00e-02):
  Iteration      Objective   Obj Diff
          1     2214147.35        Inf
          2     2214201.75   5.44e+01
          3     2214223.89   2.21e+01
          4     2214233.89   9.99e+00
          5     2214234.03   1.42e-01
          6     2214240.35   6.33e+00
          7     2214242.94   2.59e+00
          8     2214242.96   1.76e-02
          9     2214242.96   4.71e-05
Performing nullcheck...
  Deleting factor 24 decreases objective by 1.22e+01. Factor retained.
  Nullcheck complete. Objective: 2214242.97
Fitting factor/loading 25 (stop when difference in obj. is < 1.00e-02):
  Iteration      Objective   Obj Diff
          1     2214132.90        Inf
          2     2214202.37   6.95e+01
          3     2214220.19   1.78e+01
          4     2214231.36   1.12e+01
          5     2214233.89   2.53e+00
          6     2214241.58   7.69e+00
Warning in verbose_obj_decrease_warning(): An iteration decreased the objective.
This happens occasionally, perhaps due to numeric reasons. You could ignore this
warning, but you might like to check out https://github.com/stephenslab/flashr/
issues/26 for more details.
          7     2214241.43  -1.41e-01
Performing nullcheck...
  Deleting factor 25 increases objective by 1.53e+00. Factor zeroed out.
  Nullcheck complete. Objective: 2214242.97

Plot the factors from flash

par(mfrow=c(3,4))
par(mai=rep(0.1,4))
for(i in 1:12){
  plot(S.flash$ldf$l[,i],main=paste0(i))
}

Compare factors from flash and truncated:

par(mfrow=c(3,4))
par(mai=rep(0.1,4))
for(i in 1:12){
  plot(S.flash$ldf$l[,i],Strunc.flash$ldf$l[,i])
}

image(cor(S.flash$ldf$l[,1:12],Strunc.flash$ldf$l[,1:12]))

plot(S.flash$ldf$l[,7],Strunc.flash$ldf$l[,6])

gene_names =colnames(df)[-1]
gene_names[order(S.flash$ldf$l[,2])]
  [1] "RPS5"          "RPL13"         "RPL32"         "RPS3A"        
  [5] "RPS12"         "RPS6"          "RPL11"         "RPS2"         
  [9] "RPL18A"        "RPS13"         "RPL10A"        "RPL31"        
 [13] "RPL5"          "RPS23"         "RPS8"          "RPL12"        
 [17] "RPL18"         "RPLP2"         "RPS14"         "RPL4"         
 [21] "RPL19"         "RPLP1"         "RPS25"         "RPL9"         
 [25] "RPS16"         "RPS9"          "RPS4X"         "RPS18"        
 [29] "RPL10"         "RPL29"         "RPL3"          "RPL7"         
 [33] "EEF1B2"        "RPS15"         "RPL22"         "RPS28"        
 [37] "RPL36"         "RPS19"         "EEF1A1"        "RPL21"        
 [41] "RP11.291B21.2" "RPL15"         "RPL8"          "NACA"         
 [45] "S100B"         "NPM1"          "GNB2L1"        "RPL30"        
 [49] "RPL13A"        "LDHB"          "RPSA"          "TPT1"         
 [53] "RPS20"         "CCR7"          "RPS15A"        "RPS3"         
 [57] "RPL6"          "RPL28"         "RPS10"         "RPL35A"       
 [61] "RPL34"         "NOSIP"         "RPL7A"         "AIF1"         
 [65] "RPL37A"        "SELL"          "C6orf48"       "PABPC1"       
 [69] "LEF1"          "RPL23"         "RPLP0"         "PIK3IP1"      
 [73] "PRKCQ.AS1"     "EIF3L"         "RGS10"         "EIF3E"        
 [77] "ST13"          "NDFIP1"        "RPL14"         "RPS7"         
 [81] "UBA52"         "CD8B"          "RPL24"         "RPL27"        
 [85] "COX4I1"        "RPL37"         "RPL38"         "GLTSCR2"      
 [89] "TMEM66"        "RPL27A"        "RPS11"         "RPS27"        
 [93] "SNHG7"         "RPL17"         "RSL1D1"        "RPS21"        
 [97] "FBL"           "RPS27A"        "TMSB10"        "HSPB1"        
[101] "RASGRP2"       "COMMD6"        "TMEM123"       "RPL35"        
[105] "RPL36A"        "SNHG8"         "MT.ND4"        "NAP1L1"       
[109] "EEF1D"         "MT.CO3"        "LEPROTL1"      "NBEAL1"       
[113] "ATP5O"         "EIF3H"         "SMDT1"         "FLT3LG"       
[117] "GPX1"          "LIMD2"         "C11orf31"      "C1QBP"        
[121] "PFDN5"         "CD27"          "RPS24"         "ANP32B"       
[125] "ATP6V1G1"      "RPS29"         "BTF3"          "PPA1"         
[129] "UBE2D2"        "EEF2"          "TRAF3IP3"      "ZFAS1"        
[133] "RPL26"         "SLC25A6"       "ATP5A1"        "GIMAP7"       
[137] "HNRNPA1"       "JUNB"          "RPL41"         "UXT"          
[141] "CHCHD10"       "COX7C"         "ALKBH7"        "RPSAP58"      
[145] "GYPC"          "OCIAD2"        "FAU"           "C12orf57"     
[149] "CALM3"         "NHP2"          "HMGN1"         "NUCB2"        
[153] "RPL23A"        "ANAPC16"       "SERP1"         "FYB"          
[157] "HSP90AB1"      "UQCRH"         "CMPK1"         "RPL39"        
[161] "PNISR"         "DDT"           "MT.ND3"        "TOMM7"        
[165] "C9orf78"       "SERBP1"        "ISG20"         "FIS1"         
[169] "MT.CO2"        "PRMT2"         "SLC25A5"       "COX6C"        
[173] "PRDX2"         "EIF3D"         "EDF1"          "MT.CYB"       
[177] "TXNIP"         "MZT2B"         "LTB"           "MZT2A"        
[181] "EIF3M"         "HINT1"         "PRDX6"         "COX7A2L"      
[185] "C19orf70"      "MRPL23"        "LSM7"          "CD48"         
[189] "EIF3G"         "C19orf53"      "CCNI"          "CCDC109B"     
[193] "LBH"           "GPX4"          "AES"           "PCBP2"        
[197] "SEPT9"         "UBXN1"         "UCP2"          "TUFM"         
[201] "ACAP1"         "PA2G4"         "EIF4A2"        "TBCA"         
[205] "CUTA"          "PSMC5"         "MIF"           "RNASET2"      
[209] "ATP5H"         "EIF3F"         "PCBP1"         "KRT10"        
[213] "DAD1"          "MT.ATP6"       "STK17A"        "ERGIC3"       
[217] "ATP6V1F"       "MINOS1"        "KLF2"          "UFC1"         
[221] "MORF4L1"       "ARPC5"         "UQCRQ"         "VAMP2"        
[225] "TSTD1"         "RPS26"         "ATP5D"         "ATP5L"        
[229] "EIF3K"         "SSU72"         "SNRPD2"        "VPS28"        
[233] "CCND3"         "GPSM3"         "HLA.F"         "NDUFA11"      
[237] "PTGES3"        "LAMTOR4"       "SKP1"          "SEPT1"        
[241] "MRPS21"        "CD7"           "NDUFB8"        "RAN"          
[245] "WDR83OS"       "SOD1"          "UQCR10"        "DDIT4"        
[249] "BTG2"          "HIGD2A"        "HNRNPM"        "ISCU"         
[253] "MT.ND1"        "C4orf3"        "CCDC85B"       "AURKAIP1"     
[257] "MT.ND2"        "NDUFS5"        "COX7A2"        "PGK1"         
[261] "CIRBP"         "POLD4"         "TMEM230"       "LITAF"        
[265] "SLC25A3"       "CD37"          "SEC62"         "NHP2L1"       
[269] "NDUFB11"       "C9orf16"       "RPS19BP1"      "SRSF5"        
[273] "UBE2D3"        "PEBP1"         "SPCS1"         "PARK7"        
[277] "ARL6IP4"       "LAPTM5"        "HSPA8"         "SYF2"         
[281] "C19orf60"      "IER2"          "HNRNPA0"       "PAIP2"        
[285] "CAP1"          "ATP5J"         "IFITM1"        "TBC1D10C"     
[289] "C11orf58"      "TRAPPC1"       "LSM4"          "EVL"          
[293] "MYEOV2"        "ALDOA"         "CNN2"          "APRT"         
[297] "GMFG"          "ATP6V0E1"      "COX5B"         "ATP5G2"       
[301] "VAMP8"         "LCK"           "EIF4A1"        "NDUFA4"       
[305] "CD3E"          "RBM3"          "SEPW1"         "PRDX5"        
[309] "TRMT112"       "GADD45GIP1"    "CALM2"         "ATP5B"        
[313] "SON"           "U2AF1"         "ERP29"         "DRAP1"        
[317] "YBX1"          "HNRNPA2B1"     "MPHOSPH8"      "SSR4"         
[321] "HNRNPC"        "POLR2L"        "HNRNPK"        "OST4"         
[325] "YWHAB"         "SCAND1"        "NDUFA1"        "FXYD5"        
[329] "PKM"           "PSMB8"         "GTF3A"         "CAPZB"        
[333] "LAT"           "COX6A1"        "NDUFB9"        "COX6B1"       
[337] "ATP5G3"        "TMEM258"       "ECH1"          "RHOA"         
[341] "FKBP8"         "TUBA1A"        "BRK1"          "CSTB"         
[345] "COTL1"         "COX8A"         "ATP5J2"        "RWDD1"        
[349] "SSR2"          "NDUFB2"        "PRELID1"       "IL7R"         
[353] "SUN2"          "PSMB1"         "ATP5F1"        "CIB1"         
[357] "CD44"          "SUMO2"         "GSTK1"         "H2AFZ"        
[361] "TMA7"          "BIN1"          "COPE"          "UBL5"         
[365] "TPI1"          "TPM3"          "BIN2"          "FTL"          
[369] "ATPIF1"        "NEDD8"         "KRTCAP2"       "RABAC1"       
[373] "ENO1"          "CNBP"          "ICAM3"         "UQCR11"       
[377] "C19orf43"      "DNAJB1"        "TCEB2"         "GLRX"         
[381] "SNRPB"         "CXCR4"         "C9orf142"      "ZFP36L2"      
[385] "ITM2B"         "MT.ND5"        "JTB"           "RBM39"        
[389] "HNRNPDL"       "NDUFA13"       "TUBA1B"        "ARHGDIB"      
[393] "LDHA"          "CD3G"          "NDUFB10"       "PNRC1"        
[397] "TMBIM6"        "PRR13"         "CHCHD2"        "PSME2"        
[401] "SF3B5"         "CORO1A"        "SAP18"         "LY6E"         
[405] "LSP1"          "CD8A"          "TSPO"          "BTG1"         
[409] "COX5A"         "ATP5E"         "SRSF3"         "TSC22D3"      
[413] "PPDPF"         "ARPC3"         "PTMA"          "PPIA"         
[417] "SRP14"         "PSME1"         "DDX5"          "ARPC1B"       
[421] "RPL36AL"       "SERF2"         "PSMA7"         "EID1"         
[425] "MT.CO1"        "TMEM59"        "SRSF7"         "VIM"          
[429] "SEPT7"         "CD53"          "GSTP1"         "RAC2"         
[433] "RARRES3"       "GUK1"          "PTPRC"         "HMGB1"        
[437] "ID2"           "GZMM"          "CD3D"          "PPP1CA"       
[441] "HSP90AA1"      "ACTG1"         "TAGLN2"        "MYL12B"       
[445] "OAZ1"          "ARPC2"         "IL2RG"         "PSMB9"        
[449] "PPIB"          "ITGB2"         "FTH1"          "UBB"          
[453] "IFITM2"        "CD2"           "MYL6"          "HLA.E"        
[457] "CD69"          "CRIP1"         "S100A10"       "DUSP2"        
[461] "PPP1R15A"      "CFL1"          "ZFP36"         "MYL12A"       
[465] "NFKBIA"        "HCST"          "H3F3B"         "CALM1"        
[469] "EMP3"          "CD52"          "GAPDH"         "PTPRCAP"      
[473] "CTSW"          "UBC"           "FOS"           "EIF1"         
[477] "CD74"          "JUN"           "S100A6"        "CYBA"         
[481] "CD99"          "CLIC1"         "HLA.C"         "DUSP1"        
[485] "PFN1"          "HLA.A"         "SH3BGRL3"      "ACTB"         
[489] "IL32"          "HLA.B"         "GZMK"          "TMSB4X"       
[493] "CST7"          "GZMA"          "S100A4"        "B2M"          
[497] "MALAT1"        "GNLY"          "NKG7"          "CCL5"         

Running on the cells

To cluster cells (rather than genes) we need to run flash on the larger covariance (cell-cell).

Scell = (1/p) * t(Ynorm) %*% Ynorm
diag(Scell) <- NA
Scell.flash = flash(Scell,K=50)
ebnm package not installed. ebnm_ash will be used instead of ebnm_pn.
Fitting factor/loading 1 (stop when difference in obj. is < 1.00e-02):
  Iteration      Objective   Obj Diff
          1     1167221.34        Inf
          2     1238847.89   7.16e+04
          3     1243129.26   4.28e+03
          4     1243394.12   2.65e+02
          5     1243410.36   1.62e+01
          6     1243411.35   9.92e-01
          7     1243411.41   6.07e-02
          8     1243411.42   3.76e-03
Performing nullcheck...
  Deleting factor 1 decreases objective by 1.43e+07. Factor retained.
  Nullcheck complete. Objective: 1243411.42
Fitting factor/loading 2 (stop when difference in obj. is < 1.00e-02):
  Iteration      Objective   Obj Diff
          1     2144145.09        Inf
          2     2146443.89   2.30e+03
          3     2147085.62   6.42e+02
          4     2147268.47   1.83e+02
          5     2147320.05   5.16e+01
          6     2147334.49   1.44e+01
          7     2147338.52   4.03e+00
          8     2147339.65   1.13e+00
          9     2147339.97   3.16e-01
         10     2147340.05   8.94e-02
         11     2147340.08   2.57e-02
         12     2147340.09   7.64e-03
Performing nullcheck...
  Deleting factor 2 decreases objective by 9.04e+05. Factor retained.
  Nullcheck complete. Objective: 2147340.09
Fitting factor/loading 3 (stop when difference in obj. is < 1.00e-02):
  Iteration      Objective   Obj Diff
          1     2318281.31        Inf
          2     2321212.80   2.93e+03
          3     2323346.65   2.13e+03
          4     2324924.30   1.58e+03
          5     2326049.84   1.13e+03
          6     2326825.96   7.76e+02
          7     2327345.67   5.20e+02
          8     2327684.22   3.39e+02
          9     2327899.20   2.15e+02
         10     2328028.97   1.30e+02
         11     2328111.45   8.25e+01
         12     2328160.89   4.94e+01
         13     2328190.24   2.93e+01
         14     2328207.53   1.73e+01
         15     2328217.65   1.01e+01
         16     2328223.52   5.87e+00
         17     2328226.90   3.38e+00
         18     2328228.85   1.94e+00
         19     2328229.96   1.12e+00
         20     2328230.60   6.40e-01
         21     2328230.97   3.68e-01
         22     2328231.18   2.11e-01
         23     2328231.30   1.22e-01
         24     2328231.38   7.03e-02
         25     2328231.42   4.08e-02
         26     2328231.44   2.38e-02
         27     2328231.45   1.40e-02
         28     2328231.46   8.29e-03
Performing nullcheck...
  Deleting factor 3 decreases objective by 1.81e+05. Factor retained.
  Nullcheck complete. Objective: 2328231.46
Fitting factor/loading 4 (stop when difference in obj. is < 1.00e-02):
  Iteration      Objective   Obj Diff
          1     2456250.70        Inf
          2     2456460.88   2.10e+02
          3     2456520.87   6.00e+01
          4     2456543.23   2.24e+01
          5     2456552.40   9.17e+00
          6     2456556.35   3.95e+00
          7     2456558.10   1.75e+00
          8     2456558.89   7.87e-01
          9     2456559.24   3.57e-01
         10     2456559.41   1.64e-01
         11     2456559.48   7.59e-02
         12     2456559.52   3.56e-02
         13     2456559.54   1.70e-02
         14     2456559.55   8.25e-03
Performing nullcheck...
  Deleting factor 4 decreases objective by 1.28e+05. Factor retained.
  Nullcheck complete. Objective: 2456559.55
Fitting factor/loading 5 (stop when difference in obj. is < 1.00e-02):
  Iteration      Objective   Obj Diff
          1     2544204.78        Inf
          2     2544286.87   8.21e+01
          3     2544313.38   2.65e+01
          4     2544324.07   1.07e+01
          5     2544328.88   4.81e+00
          6     2544331.17   2.30e+00
          7     2544332.30   1.13e+00
          8     2544332.86   5.61e-01
          9     2544333.14   2.79e-01
         10     2544333.28   1.38e-01
         11     2544333.35   6.79e-02
         12     2544333.38   3.29e-02
         13     2544333.40   1.55e-02
         14     2544333.40   7.05e-03
Performing nullcheck...
  Deleting factor 5 decreases objective by 8.78e+04. Factor retained.
  Nullcheck complete. Objective: 2544333.4
Fitting factor/loading 6 (stop when difference in obj. is < 1.00e-02):
  Iteration      Objective   Obj Diff
          1     2606639.03        Inf
          2     2606795.78   1.57e+02
          3     2606859.07   6.33e+01
          4     2606885.51   2.64e+01
          5     2606896.62   1.11e+01
          6     2606901.31   4.69e+00
          7     2606903.31   2.00e+00
          8     2606904.17   8.64e-01
          9     2606904.55   3.81e-01
         10     2606904.73   1.73e-01
         11     2606904.81   8.15e-02
         12     2606904.85   4.01e-02
         13     2606904.87   2.07e-02
         14     2606904.88   1.13e-02
         15     2606904.89   6.37e-03
Performing nullcheck...
  Deleting factor 6 decreases objective by 6.26e+04. Factor retained.
  Nullcheck complete. Objective: 2606904.89
Fitting factor/loading 7 (stop when difference in obj. is < 1.00e-02):
  Iteration      Objective   Obj Diff
          1     2647656.74        Inf
          2     2647671.68   1.49e+01
          3     2647674.14   2.46e+00
          4     2647674.90   7.56e-01
          5     2647675.14   2.45e-01
          6     2647675.23   8.28e-02
          7     2647675.26   2.94e-02
          8     2647675.27   1.10e-02
          9     2647675.27   4.39e-03
Performing nullcheck...
  Deleting factor 7 decreases objective by 4.08e+04. Factor retained.
  Nullcheck complete. Objective: 2647675.27
Fitting factor/loading 8 (stop when difference in obj. is < 1.00e-02):
  Iteration      Objective   Obj Diff
          1     2674491.75        Inf
          2     2674507.37   1.56e+01
          3     2674512.63   5.26e+00
          4     2674514.93   2.30e+00
          5     2674516.00   1.07e+00
          6     2674516.52   5.24e-01
          7     2674516.79   2.65e-01
          8     2674516.93   1.38e-01
          9     2674517.00   7.42e-02
         10     2674517.04   4.08e-02
         11     2674517.07   2.30e-02
         12     2674517.08   1.34e-02
         13     2674517.09   7.95e-03
Performing nullcheck...
  Deleting factor 8 decreases objective by 2.68e+04. Factor retained.
  Nullcheck complete. Objective: 2674517.09
Fitting factor/loading 9 (stop when difference in obj. is < 1.00e-02):
  Iteration      Objective   Obj Diff
          1     2693603.97        Inf
          2     2693650.17   4.62e+01
          3     2693675.60   2.54e+01
          4     2693692.97   1.74e+01
          5     2693705.06   1.21e+01
          6     2693713.58   8.52e+00
          7     2693719.65   6.07e+00
          8     2693724.01   4.36e+00
          9     2693727.17   3.16e+00
         10     2693729.48   2.31e+00
         11     2693731.17   1.69e+00
         12     2693732.42   1.25e+00
         13     2693733.34   9.26e-01
         14     2693734.03   6.90e-01
         15     2693734.55   5.15e-01
         16     2693734.94   3.87e-01
         17     2693735.23   2.91e-01
         18     2693735.45   2.20e-01
         19     2693735.61   1.66e-01
         20     2693735.74   1.26e-01
         21     2693735.83   9.58e-02
         22     2693735.91   7.30e-02
         23     2693735.96   5.57e-02
         24     2693736.01   4.26e-02
         25     2693736.04   3.27e-02
         26     2693736.06   2.51e-02
         27     2693736.08   1.93e-02
         28     2693736.10   1.49e-02
         29     2693736.11   1.16e-02
         30     2693736.12   8.97e-03
Performing nullcheck...
  Deleting factor 9 decreases objective by 1.92e+04. Factor retained.
  Nullcheck complete. Objective: 2693736.12
Fitting factor/loading 10 (stop when difference in obj. is < 1.00e-02):
  Iteration      Objective   Obj Diff
          1     2709189.57        Inf
          2     2709275.29   8.57e+01
          3     2709348.56   7.33e+01
          4     2709415.05   6.65e+01
          5     2709475.48   6.04e+01
          6     2709529.92   5.44e+01
          7     2709578.93   4.90e+01
          8     2709623.02   4.41e+01
          9     2709662.62   3.96e+01
         10     2709698.12   3.55e+01
         11     2709729.91   3.18e+01
         12     2709758.35   2.84e+01
         13     2709783.75   2.54e+01
         14     2709806.40   2.26e+01
         15     2709826.55   2.02e+01
         16     2709844.49   1.79e+01
         17     2709860.46   1.60e+01
         18     2709874.67   1.42e+01
         19     2709887.31   1.26e+01
         20     2709898.56   1.12e+01
         21     2709908.60   1.00e+01
         22     2709917.54   8.94e+00
         23     2709925.48   7.94e+00
         24     2709932.50   7.02e+00
         25     2709938.67   6.17e+00
         26     2709944.08   5.41e+00
         27     2709948.82   4.74e+00
         28     2709952.97   4.15e+00
         29     2709956.60   3.64e+00
         30     2709959.80   3.19e+00
         31     2709962.61   2.81e+00
         32     2709965.09   2.48e+00
         33     2709967.29   2.20e+00
         34     2709969.24   1.95e+00
         35     2709970.97   1.73e+00
         36     2709972.51   1.54e+00
         37     2709973.89   1.38e+00
         38     2709975.12   1.23e+00
         39     2709976.22   1.10e+00
         40     2709977.20   9.85e-01
         41     2709978.09   8.84e-01
         42     2709978.88   7.91e-01
         43     2709979.58   7.06e-01
         44     2709980.21   6.31e-01
         45     2709980.78   5.64e-01
         46     2709981.28   5.04e-01
         47     2709981.73   4.51e-01
         48     2709982.13   4.03e-01
         49     2709982.50   3.61e-01
         50     2709982.82   3.23e-01
         51     2709983.11   2.90e-01
         52     2709983.37   2.60e-01
         53     2709983.60   2.33e-01
         54     2709983.81   2.08e-01
         55     2709983.99   1.85e-01
         56     2709984.16   1.65e-01
         57     2709984.31   1.47e-01
         58     2709984.44   1.31e-01
         59     2709984.55   1.17e-01
         60     2709984.66   1.04e-01
         61     2709984.75   9.27e-02
         62     2709984.83   8.27e-02
         63     2709984.91   7.37e-02
         64     2709984.97   6.58e-02
         65     2709985.03   5.87e-02
         66     2709985.08   5.23e-02
         67     2709985.13   4.67e-02
         68     2709985.17   4.17e-02
         69     2709985.21   3.72e-02
         70     2709985.24   3.32e-02
         71     2709985.27   2.96e-02
         72     2709985.30   2.65e-02
         73     2709985.32   2.36e-02
         74     2709985.34   2.11e-02
         75     2709985.36   1.89e-02
         76     2709985.38   1.69e-02
         77     2709985.39   1.51e-02
         78     2709985.41   1.35e-02
         79     2709985.42   1.20e-02
         80     2709985.43   1.08e-02
         81     2709985.44   9.62e-03
Performing nullcheck...
  Deleting factor 10 decreases objective by 1.62e+04. Factor retained.
  Nullcheck complete. Objective: 2709985.44
Fitting factor/loading 11 (stop when difference in obj. is < 1.00e-02):
  Iteration      Objective   Obj Diff
          1     2725052.25        Inf
          2     2725073.96   2.17e+01
          3     2725087.08   1.31e+01
          4     2725098.20   1.11e+01
          5     2725107.87   9.67e+00
          6     2725116.34   8.47e+00
          7     2725123.73   7.39e+00
          8     2725130.24   6.52e+00
          9     2725136.02   5.78e+00
         10     2725141.16   5.14e+00
         11     2725145.74   4.58e+00
         12     2725149.83   4.09e+00
         13     2725153.49   3.66e+00
         14     2725156.74   3.25e+00
         15     2725159.61   2.87e+00
         16     2725162.16   2.54e+00
         17     2725164.43   2.28e+00
         18     2725166.48   2.05e+00
         19     2725168.32   1.85e+00
         20     2725169.99   1.67e+00
         21     2725171.50   1.51e+00
         22     2725172.87   1.37e+00
         23     2725174.11   1.24e+00
         24     2725175.23   1.13e+00
         25     2725176.26   1.03e+00
         26     2725177.19   9.34e-01
         27     2725178.04   8.52e-01
         28     2725178.82   7.78e-01
         29     2725179.53   7.11e-01
         30     2725180.18   6.51e-01
         31     2725180.78   5.96e-01
         32     2725181.33   5.46e-01
         33     2725181.83   5.01e-01
         34     2725182.29   4.60e-01
         35     2725182.71   4.23e-01
         36     2725183.10   3.89e-01
         37     2725183.46   3.58e-01
         38     2725183.79   3.29e-01
         39     2725184.09   3.03e-01
         40     2725184.37   2.80e-01
         41     2725184.63   2.58e-01
         42     2725184.87   2.38e-01
         43     2725185.09   2.19e-01
         44     2725185.29   2.03e-01
         45     2725185.47   1.87e-01
         46     2725185.65   1.73e-01
         47     2725185.81   1.60e-01
         48     2725185.95   1.48e-01
         49     2725186.09   1.37e-01
         50     2725186.22   1.26e-01
         51     2725186.33   1.17e-01
         52     2725186.44   1.08e-01
         53     2725186.54   1.00e-01
         54     2725186.64   9.28e-02
         55     2725186.72   8.59e-02
         56     2725186.80   7.96e-02
         57     2725186.88   7.38e-02
         58     2725186.94   6.84e-02
         59     2725187.01   6.34e-02
         60     2725187.07   5.88e-02
         61     2725187.12   5.46e-02
         62     2725187.17   5.06e-02
         63     2725187.22   4.70e-02
         64     2725187.26   4.36e-02
         65     2725187.30   4.05e-02
         66     2725187.34   3.76e-02
         67     2725187.37   3.49e-02
         68     2725187.41   3.25e-02
         69     2725187.44   3.02e-02
         70     2725187.47   2.80e-02
         71     2725187.49   2.61e-02
         72     2725187.52   2.42e-02
         73     2725187.54   2.26e-02
         74     2725187.56   2.10e-02
         75     2725187.58   1.95e-02
         76     2725187.60   1.82e-02
         77     2725187.61   1.69e-02
         78     2725187.63   1.57e-02
         79     2725187.64   1.47e-02
         80     2725187.66   1.37e-02
         81     2725187.67   1.27e-02
         82     2725187.68   1.19e-02
         83     2725187.69   1.11e-02
         84     2725187.70   1.03e-02
         85     2725187.71   9.62e-03
Performing nullcheck...
  Deleting factor 11 decreases objective by 1.52e+04. Factor retained.
  Nullcheck complete. Objective: 2725187.71
Fitting factor/loading 12 (stop when difference in obj. is < 1.00e-02):
  Iteration      Objective   Obj Diff
          1     2739918.96        Inf
          2     2739942.71   2.38e+01
          3     2739959.48   1.68e+01
          4     2739974.05   1.46e+01
          5     2739987.15   1.31e+01
          6     2739999.15   1.20e+01
          7     2740010.28   1.11e+01
          8     2740020.70   1.04e+01
          9     2740030.50   9.80e+00
         10     2740039.75   9.24e+00
         11     2740048.49   8.74e+00
         12     2740056.74   8.26e+00
         13     2740064.52   7.78e+00
         14     2740071.83   7.30e+00
         15     2740078.66   6.84e+00
         16     2740085.03   6.37e+00
         17     2740090.95   5.91e+00
         18     2740096.41   5.47e+00
         19     2740101.44   5.03e+00
         20     2740106.05   4.61e+00
         21     2740110.26   4.21e+00
         22     2740114.08   3.82e+00
         23     2740117.54   3.46e+00
         24     2740120.66   3.12e+00
         25     2740123.46   2.80e+00
         26     2740125.97   2.51e+00
         27     2740128.21   2.24e+00
         28     2740130.19   1.99e+00
         29     2740131.96   1.76e+00
         30     2740133.51   1.56e+00
         31     2740134.88   1.37e+00
         32     2740136.09   1.20e+00
         33     2740137.14   1.05e+00
         34     2740138.06   9.22e-01
         35     2740138.87   8.04e-01
         36     2740139.57   7.00e-01
         37     2740140.18   6.08e-01
         38     2740140.70   5.27e-01
         39     2740141.16   4.57e-01
         40     2740141.55   3.95e-01
         41     2740141.89   3.41e-01
         42     2740142.19   2.94e-01
         43     2740142.44   2.53e-01
         44     2740142.66   2.18e-01
         45     2740142.85   1.87e-01
         46     2740143.01   1.61e-01
         47     2740143.15   1.38e-01
         48     2740143.26   1.18e-01
         49     2740143.36   1.01e-01
         50     2740143.45   8.69e-02
         51     2740143.53   7.45e-02
         52     2740143.59   6.38e-02
         53     2740143.64   5.46e-02
         54     2740143.69   4.68e-02
         55     2740143.73   4.01e-02
         56     2740143.77   3.43e-02
         57     2740143.80   2.94e-02
         58     2740143.82   2.52e-02
         59     2740143.84   2.16e-02
         60     2740143.86   1.85e-02
         61     2740143.88   1.59e-02
         62     2740143.89   1.36e-02
         63     2740143.90   1.17e-02
         64     2740143.91   1.01e-02
         65     2740143.92   8.67e-03
Performing nullcheck...
  Deleting factor 12 decreases objective by 1.50e+04. Factor retained.
  Nullcheck complete. Objective: 2740143.92
Fitting factor/loading 13 (stop when difference in obj. is < 1.00e-02):
  Iteration      Objective   Obj Diff
          1     2754064.22        Inf
          2     2754077.73   1.35e+01
          3     2754084.19   6.46e+00
          4     2754088.95   4.76e+00
          5     2754092.69   3.74e+00
          6     2754095.71   3.01e+00
          7     2754098.17   2.46e+00
          8     2754100.20   2.03e+00
          9     2754101.88   1.68e+00
         10     2754103.27   1.39e+00
         11     2754104.43   1.16e+00
         12     2754105.39   9.63e-01
         13     2754106.20   8.02e-01
         14     2754106.87   6.68e-01
         15     2754107.42   5.57e-01
         16     2754107.89   4.64e-01
         17     2754108.27   3.87e-01
         18     2754108.60   3.23e-01
         19     2754108.86   2.69e-01
         20     2754109.09   2.24e-01
         21     2754109.28   1.87e-01
         22     2754109.43   1.56e-01
         23     2754109.56   1.30e-01
         24     2754109.67   1.09e-01
         25     2754109.76   9.06e-02
         26     2754109.84   7.55e-02
         27     2754109.90   6.30e-02
         28     2754109.95   5.25e-02
         29     2754110.00   4.38e-02
         30     2754110.03   3.65e-02
         31     2754110.06   3.05e-02
         32     2754110.09   2.54e-02
         33     2754110.11   2.12e-02
         34     2754110.13   1.77e-02
         35     2754110.14   1.47e-02
         36     2754110.15   1.23e-02
         37     2754110.16   1.02e-02
         38     2754110.17   8.53e-03
Performing nullcheck...
  Deleting factor 13 decreases objective by 1.40e+04. Factor retained.
  Nullcheck complete. Objective: 2754110.17
Fitting factor/loading 14 (stop when difference in obj. is < 1.00e-02):
  Iteration      Objective   Obj Diff
          1     2766621.92        Inf
          2     2766630.95   9.03e+00
          3     2766632.58   1.63e+00
          4     2766633.39   8.06e-01
          5     2766633.87   4.77e-01
          6     2766634.18   3.14e-01
          7     2766634.40   2.22e-01
          8     2766634.57   1.64e-01
          9     2766634.69   1.25e-01
         10     2766634.79   9.73e-02
         11     2766634.87   7.72e-02
         12     2766634.93   6.20e-02
         13     2766634.98   5.04e-02
         14     2766635.02   4.13e-02
         15     2766635.05   3.41e-02
         16     2766635.08   2.84e-02
         17     2766635.11   2.37e-02
         18     2766635.13   1.99e-02
         19     2766635.14   1.68e-02
         20     2766635.16   1.42e-02
         21     2766635.17   1.20e-02
         22     2766635.18   1.02e-02
         23     2766635.19   8.66e-03
Performing nullcheck...
  Deleting factor 14 decreases objective by 1.25e+04. Factor retained.
  Nullcheck complete. Objective: 2766635.19
Fitting factor/loading 15 (stop when difference in obj. is < 1.00e-02):
  Iteration      Objective   Obj Diff
          1     2778172.72        Inf
          2     2778181.56   8.84e+00
          3     2778183.67   2.12e+00
          4     2778184.62   9.46e-01
          5     2778185.09   4.67e-01
          6     2778185.34   2.48e-01
          7     2778185.48   1.40e-01
          8     2778185.56   8.33e-02
          9     2778185.61   5.21e-02
         10     2778185.65   3.40e-02
         11     2778185.67   2.31e-02
         12     2778185.69   1.62e-02
         13     2778185.70   1.17e-02
         14     2778185.71   8.67e-03
Performing nullcheck...
  Deleting factor 15 decreases objective by 1.16e+04. Factor retained.
  Nullcheck complete. Objective: 2778185.71
Fitting factor/loading 16 (stop when difference in obj. is < 1.00e-02):
  Iteration      Objective   Obj Diff
          1     2788811.37        Inf
          2     2788819.35   7.98e+00
          3     2788819.59   2.34e-01
          4     2788821.01   1.43e+00
          5     2788822.12   1.11e+00
          6     2788823.01   8.88e-01
          7     2788823.74   7.32e-01
Warning in verbose_obj_decrease_warning(): An iteration decreased the objective.
This happens occasionally, perhaps due to numeric reasons. You could ignore this
warning, but you might like to check out https://github.com/stephenslab/flashr/
issues/26 for more details.
          8     2788821.81  -1.93e+00
Performing nullcheck...
  Deleting factor 16 decreases objective by 1.06e+04. Factor retained.
  Nullcheck complete. Objective: 2788821.81
Fitting factor/loading 17 (stop when difference in obj. is < 1.00e-02):
  Iteration      Objective   Obj Diff
          1     2798610.39        Inf
          2     2798618.89   8.51e+00
          3     2798621.07   2.17e+00
          4     2798622.27   1.20e+00
          5     2798623.02   7.47e-01
          6     2798623.52   5.00e-01
          7     2798623.88   3.55e-01
          8     2798624.14   2.65e-01
          9     2798624.34   2.05e-01
         10     2798624.51   1.63e-01
         11     2798624.64   1.33e-01
         12     2798624.75   1.10e-01
         13     2798624.84   9.30e-02
         14     2798624.92   7.92e-02
         15     2798624.99   6.80e-02
         16     2798625.05   5.89e-02
         17     2798625.10   5.12e-02
         18     2798625.15   4.48e-02
         19     2798625.19   3.93e-02
         20     2798625.22   3.46e-02
         21     2798625.25   3.05e-02
         22     2798625.28   2.69e-02
         23     2798625.30   2.38e-02
         24     2798625.32   2.11e-02
         25     2798625.34   1.88e-02
         26     2798625.36   1.67e-02
         27     2798625.37   1.49e-02
         28     2798625.39   1.32e-02
         29     2798625.40   1.18e-02
         30     2798625.41   1.05e-02
         31     2798625.42   9.38e-03
Performing nullcheck...
  Deleting factor 17 decreases objective by 9.80e+03. Factor retained.
  Nullcheck complete. Objective: 2798625.42
Fitting factor/loading 18 (stop when difference in obj. is < 1.00e-02):
  Iteration      Objective   Obj Diff
          1     2808325.75        Inf
          2     2808335.63   9.88e+00
          3     2808338.64   3.01e+00
          4     2808340.32   1.68e+00
          5     2808341.35   1.03e+00
          6     2808342.01   6.63e-01
          7     2808342.46   4.47e-01
          8     2808342.77   3.13e-01
          9     2808343.00   2.26e-01
         10     2808343.16   1.67e-01
         11     2808343.29   1.26e-01
         12     2808343.39   9.76e-02
         13     2808343.46   7.65e-02
         14     2808343.53   6.08e-02
         15     2808343.57   4.89e-02
         16     2808343.61   3.97e-02
         17     2808343.65   3.26e-02
         18     2808343.67   2.69e-02
         19     2808343.70   2.24e-02
         20     2808343.71   1.88e-02
         21     2808343.73   1.58e-02
         22     2808343.74   1.34e-02
         23     2808343.76   1.14e-02
         24     2808343.77   9.78e-03
Performing nullcheck...
  Deleting factor 18 decreases objective by 9.72e+03. Factor retained.
  Nullcheck complete. Objective: 2808343.77
Fitting factor/loading 19 (stop when difference in obj. is < 1.00e-02):
  Iteration      Objective   Obj Diff
          1     2817590.12        Inf
          2     2817599.06   8.93e+00
          3     2817601.60   2.54e+00
          4     2817603.15   1.55e+00
          5     2817604.21   1.07e+00
          6     2817605.00   7.86e-01
          7     2817605.60   6.07e-01
          8     2817606.09   4.83e-01
          9     2817606.48   3.94e-01
         10     2817606.81   3.25e-01
         11     2817607.08   2.72e-01
         12     2817607.31   2.29e-01
         13     2817607.50   1.94e-01
         14     2817607.67   1.66e-01
         15     2817607.81   1.42e-01
         16     2817607.93   1.22e-01
         17     2817608.04   1.05e-01
         18     2817608.13   9.10e-02
         19     2817608.21   7.90e-02
         20     2817608.28   6.88e-02
         21     2817608.34   6.01e-02
         22     2817608.39   5.26e-02
         23     2817608.43   4.62e-02
         24     2817608.48   4.07e-02
         25     2817608.51   3.60e-02
         26     2817608.54   3.19e-02
         27     2817608.57   2.84e-02
         28     2817608.60   2.53e-02
         29     2817608.62   2.26e-02
         30     2817608.64   2.02e-02
         31     2817608.66   1.82e-02
         32     2817608.67   1.64e-02
         33     2817608.69   1.48e-02
         34     2817608.70   1.34e-02
         35     2817608.71   1.21e-02
         36     2817608.73   1.10e-02
         37     2817608.74   1.01e-02
         38     2817608.74   9.20e-03
Performing nullcheck...
  Deleting factor 19 decreases objective by 9.26e+03. Factor retained.
  Nullcheck complete. Objective: 2817608.74
Fitting factor/loading 20 (stop when difference in obj. is < 1.00e-02):
  Iteration      Objective   Obj Diff
          1     2826277.58        Inf
          2     2826297.68   2.01e+01
          3     2826303.98   6.31e+00
          4     2826308.22   4.23e+00
          5     2826311.24   3.03e+00
          6     2826313.48   2.24e+00
          7     2826315.19   1.70e+00
          8     2826316.51   1.32e+00
          9     2826317.56   1.05e+00
         10     2826318.40   8.43e-01
         11     2826319.09   6.91e-01
         12     2826319.67   5.76e-01
         13     2826320.15   4.88e-01
         14     2826320.57   4.19e-01
         15     2826320.94   3.65e-01
         16     2826321.26   3.22e-01
         17     2826321.55   2.88e-01
         18     2826321.81   2.60e-01
         19     2826322.04   2.37e-01
         20     2826322.26   2.17e-01
         21     2826322.46   2.01e-01
         22     2826322.65   1.87e-01
         23     2826322.82   1.74e-01
         24     2826322.99   1.64e-01
         25     2826323.14   1.54e-01
         26     2826323.29   1.46e-01
         27     2826323.42   1.38e-01
         28     2826323.56   1.31e-01
         29     2826323.68   1.25e-01
         30     2826323.80   1.19e-01
         31     2826323.91   1.14e-01
         32     2826324.02   1.09e-01
         33     2826324.13   1.04e-01
         34     2826324.22   9.94e-02
         35     2826324.32   9.51e-02
         36     2826324.41   9.08e-02
         37     2826324.50   8.71e-02
         38     2826324.58   8.35e-02
         39     2826324.66   8.00e-02
         40     2826324.74   7.66e-02
         41     2826324.81   7.34e-02
         42     2826324.88   7.04e-02
         43     2826324.95   6.75e-02
         44     2826325.01   6.47e-02
         45     2826325.08   6.20e-02
         46     2826325.14   5.95e-02
         47     2826325.19   5.71e-02
         48     2826325.25   5.47e-02
         49     2826325.30   5.25e-02
         50     2826325.35   5.03e-02
         51     2826325.40   4.83e-02
         52     2826325.44   4.63e-02
         53     2826325.49   4.44e-02
         54     2826325.53   4.26e-02
         55     2826325.57   4.10e-02
         56     2826325.61   3.93e-02
         57     2826325.65   3.76e-02
         58     2826325.69   3.61e-02
         59     2826325.72   3.46e-02
         60     2826325.75   3.32e-02
         61     2826325.79   3.18e-02
         62     2826325.82   3.05e-02
         63     2826325.85   2.93e-02
         64     2826325.87   2.81e-02
         65     2826325.90   2.69e-02
         66     2826325.93   2.58e-02
         67     2826325.95   2.48e-02
         68     2826325.97   2.38e-02
         69     2826326.00   2.28e-02
         70     2826326.02   2.19e-02
         71     2826326.04   2.10e-02
         72     2826326.06   2.01e-02
         73     2826326.08   1.93e-02
         74     2826326.10   1.85e-02
         75     2826326.12   1.78e-02
         76     2826326.13   1.70e-02
         77     2826326.15   1.64e-02
         78     2826326.17   1.57e-02
         79     2826326.18   1.51e-02
         80     2826326.19   1.44e-02
         81     2826326.21   1.39e-02
         82     2826326.22   1.33e-02
         83     2826326.23   1.28e-02
         84     2826326.25   1.22e-02
         85     2826326.26   1.17e-02
         86     2826326.27   1.13e-02
         87     2826326.28   1.08e-02
         88     2826326.29   1.04e-02
         89     2826326.30   9.95e-03
Performing nullcheck...
  Deleting factor 20 decreases objective by 8.72e+03. Factor retained.
  Nullcheck complete. Objective: 2826326.3
Fitting factor/loading 21 (stop when difference in obj. is < 1.00e-02):
  Iteration      Objective   Obj Diff
          1     2834736.15        Inf
          2     2834751.24   1.51e+01
          3     2834758.89   7.64e+00
          4     2834765.00   6.12e+00
          5     2834770.20   5.19e+00
          6     2834774.73   4.54e+00
          7     2834778.77   4.04e+00
          8     2834782.40   3.63e+00
          9     2834785.70   3.30e+00
         10     2834788.71   3.01e+00
         11     2834791.48   2.77e+00
         12     2834794.03   2.55e+00
         13     2834796.38   2.36e+00
         14     2834798.57   2.19e+00
         15     2834800.60   2.03e+00
         16     2834802.49   1.89e+00
         17     2834804.24   1.76e+00
         18     2834805.88   1.64e+00
         19     2834807.41   1.53e+00
         20     2834808.84   1.43e+00
         21     2834810.18   1.34e+00
         22     2834811.43   1.25e+00
         23     2834812.60   1.17e+00
         24     2834813.69   1.10e+00
         25     2834814.72   1.03e+00
         26     2834815.68   9.60e-01
         27     2834816.58   8.98e-01
         28     2834817.42   8.41e-01
         29     2834818.21   7.87e-01
         30     2834818.94   7.37e-01
         31     2834819.63   6.90e-01
         32     2834820.28   6.46e-01
         33     2834820.88   6.05e-01
         34     2834821.45   5.69e-01
         35     2834821.99   5.35e-01
         36     2834822.49   5.03e-01
         37     2834822.97   4.73e-01
         38     2834823.41   4.45e-01
         39     2834823.83   4.20e-01
         40     2834824.23   3.96e-01
         41     2834824.60   3.73e-01
         42     2834824.95   3.51e-01
         43     2834825.28   3.31e-01
         44     2834825.59   3.11e-01
         45     2834825.89   2.93e-01
         46     2834826.16   2.75e-01
         47     2834826.42   2.58e-01
         48     2834826.66   2.42e-01
         49     2834826.89   2.27e-01
         50     2834827.10   2.13e-01
         51     2834827.30   2.00e-01
         52     2834827.49   1.87e-01
         53     2834827.66   1.75e-01
         54     2834827.83   1.64e-01
         55     2834827.98   1.53e-01
         56     2834828.12   1.43e-01
         57     2834828.26   1.34e-01
         58     2834828.38   1.25e-01
         59     2834828.50   1.17e-01
         60     2834828.61   1.09e-01
         61     2834828.71   1.02e-01
         62     2834828.81   9.49e-02
         63     2834828.89   8.85e-02
         64     2834828.98   8.25e-02
         65     2834829.05   7.68e-02
         66     2834829.12   7.15e-02
         67     2834829.19   6.66e-02
         68     2834829.25   6.20e-02
         69     2834829.31   5.77e-02
         70     2834829.36   5.38e-02
         71     2834829.41   5.00e-02
         72     2834829.46   4.66e-02
         73     2834829.50   4.33e-02
         74     2834829.54   4.03e-02
         75     2834829.58   3.75e-02
         76     2834829.62   3.49e-02
         77     2834829.65   3.24e-02
         78     2834829.68   3.02e-02
         79     2834829.71   2.81e-02
         80     2834829.73   2.61e-02
         81     2834829.76   2.42e-02
         82     2834829.78   2.25e-02
         83     2834829.80   2.09e-02
         84     2834829.82   1.95e-02
         85     2834829.84   1.81e-02
         86     2834829.86   1.68e-02
         87     2834829.87   1.56e-02
         88     2834829.89   1.45e-02
         89     2834829.90   1.35e-02
         90     2834829.91   1.25e-02
         91     2834829.92   1.16e-02
         92     2834829.93   1.08e-02
         93     2834829.94   9.99e-03
Performing nullcheck...
  Deleting factor 21 decreases objective by 8.50e+03. Factor retained.
  Nullcheck complete. Objective: 2834829.94
Fitting factor/loading 22 (stop when difference in obj. is < 1.00e-02):
  Iteration      Objective   Obj Diff
          1     2842941.68        Inf
          2     2842951.39   9.71e+00
          3     2842954.62   3.23e+00
          4     2842956.91   2.29e+00
          5     2842958.68   1.77e+00
          6     2842960.12   1.44e+00
          7     2842961.33   1.21e+00
          8     2842962.37   1.04e+00
          9     2842963.28   9.09e-01
         10     2842964.09   8.07e-01
         11     2842964.81   7.26e-01
         12     2842965.47   6.60e-01
         13     2842966.08   6.05e-01
         14     2842966.64   5.59e-01
         15     2842967.16   5.20e-01
         16     2842967.64   4.84e-01
         17     2842968.10   4.54e-01
         18     2842968.53   4.28e-01
         19     2842968.93   4.05e-01
         20     2842969.31   3.85e-01
         21     2842969.68   3.66e-01
         22     2842970.03   3.50e-01
         23     2842970.37   3.35e-01
         24     2842970.69   3.21e-01
         25     2842970.99   3.09e-01
         26     2842971.29   2.97e-01
         27     2842971.58   2.86e-01
         28     2842971.86   2.77e-01
         29     2842972.12   2.67e-01
         30     2842972.38   2.59e-01
         31     2842972.63   2.51e-01
         32     2842972.88   2.43e-01
         33     2842973.11   2.36e-01
         34     2842973.34   2.30e-01
         35     2842973.56   2.23e-01
         36     2842973.78   2.17e-01
         37     2842973.99   2.11e-01
         38     2842974.20   2.06e-01
         39     2842974.40   2.01e-01
         40     2842974.60   1.96e-01
         41     2842974.79   1.91e-01
         42     2842974.97   1.86e-01
         43     2842975.16   1.82e-01
         44     2842975.33   1.78e-01
         45     2842975.51   1.74e-01
         46     2842975.68   1.70e-01
         47     2842975.84   1.66e-01
         48     2842976.01   1.62e-01
         49     2842976.16   1.59e-01
         50     2842976.32   1.55e-01
         51     2842976.47   1.52e-01
         52     2842976.62   1.49e-01
         53     2842976.77   1.46e-01
         54     2842976.91   1.43e-01
         55     2842977.05   1.40e-01
         56     2842977.18   1.37e-01
         57     2842977.32   1.34e-01
         58     2842977.45   1.31e-01
         59     2842977.58   1.29e-01
         60     2842977.70   1.26e-01
         61     2842977.83   1.23e-01
         62     2842977.95   1.21e-01
         63     2842978.07   1.19e-01
         64     2842978.18   1.16e-01
         65     2842978.30   1.14e-01
         66     2842978.41   1.12e-01
         67     2842978.52   1.10e-01
         68     2842978.63   1.07e-01
         69     2842978.73   1.05e-01
         70     2842978.83   1.03e-01
         71     2842978.94   1.01e-01
         72     2842979.04   9.94e-02
         73     2842979.13   9.75e-02
         74     2842979.23   9.56e-02
         75     2842979.32   9.38e-02
         76     2842979.41   9.20e-02
         77     2842979.50   9.03e-02
         78     2842979.59   8.86e-02
         79     2842979.68   8.69e-02
         80     2842979.77   8.53e-02
         81     2842979.85   8.37e-02
         82     2842979.93   8.21e-02
         83     2842980.01   8.06e-02
         84     2842980.09   7.91e-02
         85     2842980.17   7.76e-02
         86     2842980.24   7.62e-02
         87     2842980.32   7.47e-02
         88     2842980.39   7.33e-02
         89     2842980.46   7.20e-02
         90     2842980.54   7.07e-02
         91     2842980.60   6.93e-02
         92     2842980.67   6.81e-02
         93     2842980.74   6.68e-02
         94     2842980.81   6.56e-02
         95     2842980.87   6.44e-02
         96     2842980.93   6.32e-02
         97     2842980.99   6.20e-02
         98     2842981.06   6.09e-02
         99     2842981.12   5.98e-02
        100     2842981.17   5.87e-02
        101     2842981.23   5.76e-02
        102     2842981.29   5.65e-02
        103     2842981.34   5.55e-02
        104     2842981.40   5.45e-02
        105     2842981.45   5.35e-02
        106     2842981.50   5.25e-02
        107     2842981.56   5.16e-02
        108     2842981.61   5.06e-02
        109     2842981.66   4.97e-02
        110     2842981.70   4.88e-02
        111     2842981.75   4.79e-02
        112     2842981.80   4.70e-02
        113     2842981.85   4.62e-02
        114     2842981.89   4.54e-02
        115     2842981.94   4.45e-02
        116     2842981.98   4.37e-02
        117     2842982.02   4.29e-02
        118     2842982.06   4.22e-02
        119     2842982.11   4.14e-02
        120     2842982.15   4.06e-02
        121     2842982.19   3.99e-02
        122     2842982.23   3.92e-02
        123     2842982.26   3.85e-02
        124     2842982.30   3.78e-02
        125     2842982.34   3.71e-02
        126     2842982.38   3.64e-02
        127     2842982.41   3.58e-02
        128     2842982.45   3.51e-02
        129     2842982.48   3.45e-02
        130     2842982.51   3.39e-02
        131     2842982.55   3.33e-02
        132     2842982.58   3.27e-02
        133     2842982.61   3.21e-02
        134     2842982.64   3.15e-02
        135     2842982.68   3.10e-02
        136     2842982.71   3.04e-02
        137     2842982.74   2.99e-02
        138     2842982.77   2.93e-02
        139     2842982.79   2.88e-02
        140     2842982.82   2.83e-02
        141     2842982.85   2.78e-02
        142     2842982.88   2.73e-02
        143     2842982.90   2.68e-02
        144     2842982.93   2.63e-02
        145     2842982.96   2.59e-02
        146     2842982.98   2.54e-02
        147     2842983.01   2.50e-02
        148     2842983.03   2.45e-02
        149     2842983.06   2.41e-02
        150     2842983.08   2.37e-02
        151     2842983.10   2.32e-02
        152     2842983.13   2.28e-02
        153     2842983.15   2.24e-02
        154     2842983.17   2.20e-02
        155     2842983.19   2.17e-02
        156     2842983.21   2.13e-02
        157     2842983.23   2.09e-02
        158     2842983.25   2.05e-02
        159     2842983.27   2.02e-02
        160     2842983.29   1.98e-02
        161     2842983.31   1.95e-02
        162     2842983.33   1.91e-02
        163     2842983.35   1.88e-02
        164     2842983.37   1.85e-02
        165     2842983.39   1.82e-02
        166     2842983.41   1.78e-02
        167     2842983.42   1.75e-02
        168     2842983.44   1.72e-02
        169     2842983.46   1.69e-02
        170     2842983.47   1.66e-02
        171     2842983.49   1.63e-02
        172     2842983.51   1.61e-02
        173     2842983.52   1.58e-02
        174     2842983.54   1.55e-02
        175     2842983.55   1.52e-02
        176     2842983.57   1.50e-02
        177     2842983.58   1.47e-02
        178     2842983.60   1.45e-02
        179     2842983.61   1.42e-02
        180     2842983.63   1.40e-02
        181     2842983.64   1.37e-02
        182     2842983.65   1.35e-02
        183     2842983.67   1.33e-02
        184     2842983.68   1.31e-02
        185     2842983.69   1.28e-02
        186     2842983.70   1.26e-02
        187     2842983.72   1.24e-02
        188     2842983.73   1.22e-02
        189     2842983.74   1.20e-02
        190     2842983.75   1.18e-02
        191     2842983.76   1.16e-02
        192     2842983.78   1.14e-02
        193     2842983.79   1.12e-02
        194     2842983.80   1.10e-02
        195     2842983.81   1.08e-02
        196     2842983.82   1.06e-02
        197     2842983.83   1.05e-02
        198     2842983.84   1.03e-02
        199     2842983.85   1.01e-02
        200     2842983.86   9.95e-03
Performing nullcheck...
  Deleting factor 22 decreases objective by 8.15e+03. Factor retained.
  Nullcheck complete. Objective: 2842983.86
Fitting factor/loading 23 (stop when difference in obj. is < 1.00e-02):
  Iteration      Objective   Obj Diff
          1     2851025.08        Inf
          2     2851038.27   1.32e+01
          3     2851044.62   6.35e+00
          4     2851049.77   5.15e+00
          5     2851054.21   4.44e+00
          6     2851058.18   3.96e+00
          7     2851061.78   3.61e+00
          8     2851065.11   3.33e+00
          9     2851068.23   3.11e+00
         10     2851071.15   2.93e+00
         11     2851073.92   2.77e+00
         12     2851076.56   2.63e+00
         13     2851079.04   2.48e+00
         14     2851081.42   2.38e+00
         15     2851083.70   2.29e+00
         16     2851085.88   2.18e+00
         17     2851087.98   2.10e+00
         18     2851090.01   2.03e+00
         19     2851091.97   1.96e+00
         20     2851093.86   1.89e+00
         21     2851095.69   1.83e+00
         22     2851097.45   1.76e+00
         23     2851099.14   1.69e+00
         24     2851100.77   1.63e+00
         25     2851102.33   1.57e+00
         26     2851103.84   1.51e+00
         27     2851105.29   1.45e+00
         28     2851106.68   1.39e+00
         29     2851107.96   1.28e+00
         30     2851109.19   1.22e+00
         31     2851110.36   1.18e+00
         32     2851111.50   1.13e+00
         33     2851112.53   1.03e+00
         34     2851113.51   9.85e-01
         35     2851114.46   9.46e-01
         36     2851115.37   9.08e-01
         37     2851116.24   8.72e-01
         38     2851117.07   8.37e-01
         39     2851117.88   8.03e-01
         40     2851118.65   7.70e-01
         41     2851119.38   7.38e-01
         42     2851120.09   7.08e-01
         43     2851120.77   6.78e-01
         44     2851121.42   6.50e-01
         45     2851122.04   6.22e-01
         46     2851122.64   5.96e-01
         47     2851123.21   5.71e-01
         48     2851123.76   5.46e-01
         49     2851124.28   5.23e-01
         50     2851124.78   5.00e-01
         51     2851125.26   4.79e-01
         52     2851125.72   4.58e-01
         53     2851126.15   4.38e-01
         54     2851126.57   4.19e-01
         55     2851126.97   4.00e-01
         56     2851127.35   3.83e-01
         57     2851127.72   3.66e-01
         58     2851128.07   3.50e-01
         59     2851128.40   3.34e-01
         60     2851128.72   3.19e-01
         61     2851129.03   3.05e-01
         62     2851129.32   2.91e-01
         63     2851129.60   2.78e-01
         64     2851129.86   2.66e-01
         65     2851130.12   2.54e-01
         66     2851130.36   2.42e-01
         67     2851130.59   2.31e-01
         68     2851130.81   2.21e-01
         69     2851131.02   2.11e-01
         70     2851131.22   2.01e-01
         71     2851131.41   1.92e-01
         72     2851131.60   1.83e-01
         73     2851131.77   1.75e-01
         74     2851131.94   1.67e-01
         75     2851132.10   1.59e-01
         76     2851132.25   1.52e-01
         77     2851132.40   1.45e-01
         78     2851132.53   1.38e-01
         79     2851132.67   1.32e-01
         80     2851132.79   1.26e-01
         81     2851132.91   1.20e-01
         82     2851133.03   1.15e-01
         83     2851133.14   1.09e-01
         84     2851133.24   1.04e-01
         85     2851133.34   9.98e-02
         86     2851133.44   9.55e-02
         87     2851133.53   9.14e-02
         88     2851133.61   8.74e-02
         89     2851133.70   8.35e-02
         90     2851133.78   7.99e-02
         91     2851133.85   7.63e-02
         92     2851133.93   7.30e-02
         93     2851134.00   6.98e-02
         94     2851134.06   6.67e-02
         95     2851134.13   6.37e-02
         96     2851134.19   6.09e-02
         97     2851134.25   5.82e-02
         98     2851134.30   5.56e-02
         99     2851134.36   5.32e-02
        100     2851134.41   5.09e-02
        101     2851134.45   4.89e-02
        102     2851134.50   4.69e-02
        103     2851134.55   4.50e-02
        104     2851134.59   4.31e-02
        105     2851134.63   4.13e-02
        106     2851134.67   3.96e-02
        107     2851134.71   3.79e-02
        108     2851134.74   3.63e-02
        109     2851134.78   3.48e-02
        110     2851134.81   3.33e-02
        111     2851134.84   3.19e-02
        112     2851134.88   3.06e-02
        113     2851134.90   2.93e-02
        114     2851134.93   2.81e-02
        115     2851134.96   2.69e-02
        116     2851134.99   2.58e-02
        117     2851135.01   2.47e-02
        118     2851135.03   2.37e-02
        119     2851135.06   2.27e-02
        120     2851135.08   2.17e-02
        121     2851135.10   2.08e-02
        122     2851135.12   1.99e-02
        123     2851135.14   1.91e-02
        124     2851135.16   1.83e-02
        125     2851135.17   1.75e-02
        126     2851135.19   1.68e-02
        127     2851135.21   1.61e-02
        128     2851135.22   1.54e-02
        129     2851135.24   1.48e-02
        130     2851135.25   1.42e-02
        131     2851135.27   1.36e-02
        132     2851135.28   1.30e-02
        133     2851135.29   1.25e-02
        134     2851135.30   1.19e-02
        135     2851135.31   1.14e-02
        136     2851135.32   1.10e-02
        137     2851135.34   1.05e-02
        138     2851135.35   1.01e-02
        139     2851135.36   9.65e-03
Performing nullcheck...
  Deleting factor 23 decreases objective by 8.15e+03. Factor retained.
  Nullcheck complete. Objective: 2851135.36
Fitting factor/loading 24 (stop when difference in obj. is < 1.00e-02):
  Iteration      Objective   Obj Diff
          1     2859006.85        Inf
          2     2859020.45   1.36e+01
          3     2859028.18   7.73e+00
          4     2859032.27   4.09e+00
Warning in verbose_obj_decrease_warning(): An iteration decreased the objective.
This happens occasionally, perhaps due to numeric reasons. You could ignore this
warning, but you might like to check out https://github.com/stephenslab/flashr/
issues/26 for more details.
          5     2859029.95  -2.32e+00
Performing nullcheck...
  Deleting factor 24 decreases objective by 7.89e+03. Factor retained.
  Nullcheck complete. Objective: 2859029.95
Fitting factor/loading 25 (stop when difference in obj. is < 1.00e-02):
  Iteration      Objective   Obj Diff
          1     2866462.23        Inf
          2     2866475.07   1.28e+01
          3     2866480.08   5.01e+00
          4     2866483.65   3.57e+00
          5     2866486.43   2.78e+00
          6     2866488.71   2.28e+00
          7     2866490.66   1.95e+00
          8     2866492.37   1.71e+00
          9     2866493.89   1.53e+00
         10     2866495.29   1.39e+00
         11     2866496.58   1.29e+00
         12     2866497.79   1.21e+00
         13     2866498.93   1.14e+00
         14     2866500.02   1.09e+00
         15     2866501.07   1.05e+00
         16     2866502.08   1.01e+00
         17     2866503.06   9.80e-01
         18     2866504.01   9.54e-01
         19     2866504.95   9.32e-01
         20     2866505.86   9.13e-01
         21     2866506.76   8.97e-01
         22     2866507.64   8.83e-01
         23     2866508.51   8.70e-01
         24     2866509.37   8.59e-01
         25     2866510.22   8.48e-01
         26     2866511.05   8.38e-01
         27     2866511.88   8.28e-01
         28     2866512.70   8.19e-01
         29     2866513.51   8.11e-01
         30     2866514.32   8.04e-01
         31     2866515.11   7.96e-01
         32     2866515.90   7.89e-01
         33     2866516.68   7.82e-01
         34     2866517.46   7.75e-01
         35     2866518.23   7.69e-01
         36     2866518.99   7.62e-01
         37     2866519.75   7.56e-01
         38     2866520.50   7.49e-01
         39     2866521.24   7.43e-01
         40     2866521.98   7.37e-01
         41     2866522.71   7.30e-01
         42     2866523.43   7.24e-01
         43     2866524.15   7.17e-01
         44     2866524.86   7.10e-01
         45     2866525.56   7.03e-01
         46     2866526.26   6.96e-01
         47     2866526.95   6.89e-01
         48     2866527.63   6.83e-01
         49     2866528.31   6.77e-01
         50     2866528.98   6.70e-01
         51     2866529.64   6.64e-01
         52     2866530.30   6.57e-01
         53     2866530.95   6.50e-01
         54     2866531.59   6.43e-01
         55     2866532.22   6.35e-01
         56     2866532.85   6.29e-01
         57     2866533.48   6.23e-01
         58     2866534.09   6.17e-01
         59     2866534.70   6.11e-01
         60     2866535.31   6.05e-01
         61     2866535.90   5.93e-01
         62     2866536.48   5.77e-01
         63     2866537.04   5.60e-01
         64     2866537.58   5.43e-01
         65     2866538.11   5.28e-01
         66     2866538.63   5.16e-01
         67     2866539.13   5.05e-01
         68     2866539.62   4.91e-01
         69     2866540.09   4.72e-01
         70     2866540.55   4.53e-01
         71     2866540.98   4.35e-01
         72     2866541.40   4.19e-01
         73     2866541.80   4.02e-01
         74     2866542.19   3.86e-01
         75     2866542.56   3.74e-01
         76     2866542.93   3.64e-01
         77     2866543.28   3.57e-01
         78     2866543.63   3.49e-01
         79     2866543.97   3.41e-01
Warning in verbose_obj_decrease_warning(): An iteration decreased the objective.
This happens occasionally, perhaps due to numeric reasons. You could ignore this
warning, but you might like to check out https://github.com/stephenslab/flashr/
issues/26 for more details.
         80     2866543.37  -6.00e-01
Performing nullcheck...
  Deleting factor 25 decreases objective by 7.51e+03. Factor retained.
  Nullcheck complete. Objective: 2866543.37
Fitting factor/loading 26 (stop when difference in obj. is < 1.00e-02):
  Iteration      Objective   Obj Diff
          1     2874156.52        Inf
          2     2874166.95   1.04e+01
          3     2874170.43   3.48e+00
          4     2874172.80   2.37e+00
          5     2874174.55   1.75e+00
          6     2874175.91   1.36e+00
          7     2874176.99   1.08e+00
          8     2874177.87   8.85e-01
          9     2874178.61   7.37e-01
         10     2874179.23   6.22e-01
         11     2874179.77   5.33e-01
         12     2874180.23   4.61e-01
         13     2874180.63   4.02e-01
         14     2874180.98   3.54e-01
         15     2874181.30   3.14e-01
         16     2874181.58   2.80e-01
         17     2874181.83   2.52e-01
         18     2874182.06   2.28e-01
         19     2874182.26   2.07e-01
         20     2874182.45   1.89e-01
         21     2874182.62   1.73e-01
         22     2874182.78   1.59e-01
         23     2874182.93   1.46e-01
         24     2874183.06   1.35e-01
         25     2874183.19   1.26e-01
         26     2874183.31   1.18e-01
         27     2874183.42   1.11e-01
         28     2874183.52   1.04e-01
         29     2874183.62   9.80e-02
         30     2874183.71   9.24e-02
         31     2874183.80   8.74e-02
         32     2874183.88   8.28e-02
         33     2874183.96   7.86e-02
         34     2874184.04   7.49e-02
         35     2874184.11   7.16e-02
         36     2874184.18   6.88e-02
         37     2874184.25   6.63e-02
         38     2874184.31   6.40e-02
         39     2874184.37   6.17e-02
         40     2874184.43   5.96e-02
         41     2874184.49   5.76e-02
         42     2874184.54   5.58e-02
         43     2874184.60   5.41e-02
         44     2874184.65   5.25e-02
         45     2874184.70   5.09e-02
         46     2874184.75   4.86e-02
         47     2874184.80   4.59e-02
         48     2874184.84   4.35e-02
         49     2874184.88   4.11e-02
         50     2874184.92   3.81e-02
         51     2874184.95   3.15e-02
         52     2874184.98   2.97e-02
         53     2874185.01   2.83e-02
Warning in verbose_obj_decrease_warning(): An iteration decreased the objective.
This happens occasionally, perhaps due to numeric reasons. You could ignore this
warning, but you might like to check out https://github.com/stephenslab/flashr/
issues/26 for more details.
         54     2874184.82  -1.85e-01
Performing nullcheck...
  Deleting factor 26 decreases objective by 7.64e+03. Factor retained.
  Nullcheck complete. Objective: 2874184.82
Fitting factor/loading 27 (stop when difference in obj. is < 1.00e-02):
  Iteration      Objective   Obj Diff
          1     2881625.81        Inf
          2     2881639.03   1.32e+01
          3     2881645.20   6.18e+00
          4     2881650.27   5.06e+00
          5     2881654.70   4.43e+00
          6     2881658.73   4.03e+00
          7     2881662.48   3.75e+00
          8     2881666.02   3.54e+00
          9     2881669.40   3.38e+00
         10     2881672.65   3.25e+00
         11     2881675.80   3.15e+00
         12     2881678.86   3.06e+00
         13     2881681.83   2.97e+00
         14     2881684.73   2.90e+00
         15     2881687.56   2.83e+00
         16     2881690.33   2.77e+00
         17     2881693.04   2.71e+00
         18     2881695.69   2.66e+00
         19     2881698.30   2.61e+00
         20     2881700.84   2.55e+00
         21     2881703.32   2.47e+00
         22     2881705.74   2.42e+00
         23     2881708.10   2.36e+00
         24     2881710.41   2.31e+00
         25     2881712.66   2.25e+00
         26     2881714.85   2.19e+00
         27     2881716.97   2.13e+00
         28     2881719.04   2.06e+00
         29     2881721.06   2.02e+00
         30     2881723.03   1.97e+00
         31     2881724.96   1.93e+00
         32     2881726.85   1.89e+00
         33     2881728.69   1.84e+00
         34     2881730.49   1.80e+00
         35     2881732.24   1.76e+00
         36     2881733.95   1.71e+00
         37     2881735.62   1.67e+00
         38     2881737.25   1.63e+00
         39     2881738.83   1.58e+00
         40     2881740.37   1.54e+00
         41     2881741.87   1.50e+00
         42     2881743.33   1.46e+00
         43     2881744.75   1.42e+00
         44     2881746.12   1.37e+00
         45     2881747.46   1.33e+00
         46     2881748.75   1.29e+00
         47     2881750.00   1.25e+00
         48     2881751.22   1.21e+00
         49     2881752.39   1.17e+00
         50     2881753.53   1.14e+00
Warning in verbose_obj_decrease_warning(): An iteration decreased the objective.
This happens occasionally, perhaps due to numeric reasons. You could ignore this
warning, but you might like to check out https://github.com/stephenslab/flashr/
issues/26 for more details.
         51     2881752.39  -1.14e+00
Performing nullcheck...
  Deleting factor 27 decreases objective by 7.57e+03. Factor retained.
  Nullcheck complete. Objective: 2881752.39
Fitting factor/loading 28 (stop when difference in obj. is < 1.00e-02):
  Iteration      Objective   Obj Diff
          1     2889153.62        Inf
          2     2889162.54   8.92e+00
          3     2889165.06   2.52e+00
          4     2889166.91   1.86e+00
          5     2889168.44   1.53e+00
          6     2889169.77   1.33e+00
          7     2889170.97   1.19e+00
          8     2889172.05   1.09e+00
          9     2889173.06   1.00e+00
         10     2889173.99   9.34e-01
         11     2889174.87   8.72e-01
         12     2889175.68   8.18e-01
         13     2889176.45   7.65e-01
         14     2889177.16   7.15e-01
         15     2889177.84   6.74e-01
         16     2889178.47   6.37e-01
         17     2889179.08   6.02e-01
         18     2889179.65   5.69e-01
         19     2889180.18   5.39e-01
         20     2889180.70   5.10e-01
         21     2889181.18   4.84e-01
         22     2889181.64   4.59e-01
         23     2889182.07   4.35e-01
         24     2889182.48   4.08e-01
         25     2889182.87   3.87e-01
         26     2889183.23   3.67e-01
         27     2889183.58   3.49e-01
         28     2889183.92   3.32e-01
         29     2889184.23   3.16e-01
         30     2889184.53   3.00e-01
         31     2889184.82   2.86e-01
         32     2889185.09   2.72e-01
         33     2889185.35   2.59e-01
         34     2889185.59   2.47e-01
         35     2889185.83   2.35e-01
         36     2889186.05   2.24e-01
         37     2889186.27   2.13e-01
         38     2889186.47   2.04e-01
         39     2889186.66   1.94e-01
         40     2889186.85   1.85e-01
         41     2889187.03   1.77e-01
         42     2889187.19   1.69e-01
         43     2889187.36   1.61e-01
         44     2889187.51   1.54e-01
         45     2889187.66   1.47e-01
         46     2889187.80   1.41e-01
         47     2889187.93   1.34e-01
         48     2889188.06   1.29e-01
         49     2889188.18   1.23e-01
         50     2889188.30   1.18e-01
         51     2889188.41   1.12e-01
         52     2889188.52   1.08e-01
         53     2889188.62   1.03e-01
         54     2889188.72   9.86e-02
         55     2889188.82   9.44e-02
         56     2889188.91   9.04e-02
         57     2889188.99   8.66e-02
         58     2889189.08   8.30e-02
         59     2889189.16   7.95e-02
         60     2889189.23   7.62e-02
         61     2889189.31   7.30e-02
         62     2889189.38   7.00e-02
         63     2889189.44   6.71e-02
         64     2889189.51   6.43e-02
         65     2889189.57   6.17e-02
         66     2889189.63   5.92e-02
         67     2889189.68   5.68e-02
         68     2889189.74   5.44e-02
         69     2889189.79   5.22e-02
         70     2889189.84   5.01e-02
         71     2889189.89   4.81e-02
         72     2889189.94   4.62e-02
         73     2889189.98   4.43e-02
         74     2889190.02   4.25e-02
         75     2889190.06   4.08e-02
         76     2889190.10   3.92e-02
         77     2889190.14   3.76e-02
         78     2889190.18   3.61e-02
         79     2889190.21   3.47e-02
         80     2889190.24   3.33e-02
         81     2889190.28   3.20e-02
         82     2889190.31   3.07e-02
         83     2889190.34   2.95e-02
         84     2889190.37   2.84e-02
         85     2889190.39   2.72e-02
         86     2889190.42   2.62e-02
         87     2889190.44   2.51e-02
         88     2889190.47   2.42e-02
         89     2889190.49   2.32e-02
         90     2889190.51   2.23e-02
         91     2889190.53   2.14e-02
         92     2889190.56   2.06e-02
         93     2889190.58   1.98e-02
         94     2889190.59   1.90e-02
         95     2889190.61   1.83e-02
         96     2889190.63   1.76e-02
         97     2889190.65   1.69e-02
         98     2889190.66   1.62e-02
         99     2889190.68   1.56e-02
        100     2889190.69   1.50e-02
        101     2889190.71   1.44e-02
        102     2889190.72   1.39e-02
        103     2889190.74   1.33e-02
        104     2889190.75   1.28e-02
        105     2889190.76   1.23e-02
        106     2889190.77   1.19e-02
        107     2889190.78   1.14e-02
        108     2889190.79   1.10e-02
        109     2889190.81   1.06e-02
        110     2889190.82   1.01e-02
        111     2889190.83   9.76e-03
Performing nullcheck...
  Deleting factor 28 decreases objective by 7.44e+03. Factor retained.
  Nullcheck complete. Objective: 2889190.83
Fitting factor/loading 29 (stop when difference in obj. is < 1.00e-02):
  Iteration      Objective   Obj Diff
          1     2896318.07        Inf
          2     2896328.93   1.09e+01
          3     2896332.88   3.95e+00
          4     2896335.94   3.06e+00
          5     2896338.53   2.59e+00
          6     2896340.82   2.29e+00
          7     2896342.91   2.09e+00
          8     2896344.85   1.94e+00
          9     2896346.69   1.83e+00
         10     2896348.44   1.75e+00
         11     2896350.11   1.68e+00
         12     2896351.74   1.62e+00
         13     2896353.31   1.58e+00
         14     2896354.85   1.54e+00
         15     2896356.36   1.50e+00
         16     2896357.83   1.48e+00
         17     2896359.28   1.45e+00
         18     2896360.71   1.43e+00
         19     2896362.12   1.41e+00
         20     2896363.51   1.39e+00
         21     2896364.88   1.38e+00
         22     2896366.24   1.36e+00
         23     2896367.59   1.35e+00
         24     2896368.93   1.34e+00
         25     2896370.25   1.32e+00
         26     2896371.56   1.31e+00
         27     2896372.86   1.30e+00
         28     2896374.16   1.29e+00
         29     2896375.44   1.28e+00
         30     2896376.71   1.27e+00
         31     2896377.98   1.26e+00
         32     2896379.23   1.25e+00
         33     2896380.48   1.25e+00
         34     2896381.71   1.24e+00
         35     2896382.94   1.23e+00
         36     2896384.17   1.22e+00
         37     2896385.38   1.21e+00
         38     2896386.58   1.20e+00
         39     2896387.78   1.20e+00
         40     2896388.97   1.19e+00
         41     2896390.14   1.18e+00
         42     2896391.31   1.17e+00
         43     2896392.47   1.16e+00
         44     2896393.62   1.15e+00
         45     2896394.76   1.14e+00
         46     2896395.89   1.13e+00
         47     2896397.01   1.12e+00
         48     2896398.11   1.11e+00
         49     2896399.21   1.10e+00
         50     2896400.30   1.08e+00
         51     2896401.37   1.07e+00
         52     2896402.43   1.06e+00
         53     2896403.48   1.05e+00
         54     2896404.52   1.04e+00
         55     2896405.54   1.02e+00
         56     2896406.55   1.01e+00
         57     2896407.55   9.99e-01
         58     2896408.54   9.86e-01
         59     2896409.51   9.73e-01
         60     2896410.47   9.60e-01
         61     2896411.42   9.46e-01
         62     2896412.35   9.33e-01
         63     2896413.27   9.19e-01
         64     2896414.17   9.06e-01
         65     2896415.07   8.92e-01
         66     2896415.94   8.78e-01
         67     2896416.81   8.65e-01
         68     2896417.66   8.51e-01
         69     2896418.50   8.38e-01
         70     2896419.32   8.24e-01
         71     2896420.13   8.11e-01
         72     2896420.93   7.97e-01
         73     2896421.71   7.84e-01
         74     2896422.49   7.71e-01
         75     2896423.24   7.58e-01
         76     2896423.99   7.46e-01
         77     2896424.72   7.33e-01
         78     2896425.44   7.21e-01
         79     2896426.15   7.09e-01
         80     2896426.85   6.97e-01
         81     2896427.53   6.86e-01
         82     2896428.21   6.74e-01
         83     2896428.87   6.63e-01
         84     2896429.52   6.53e-01
         85     2896430.17   6.42e-01
         86     2896430.80   6.32e-01
         87     2896431.42   6.22e-01
         88     2896432.03   6.12e-01
         89     2896432.64   6.03e-01
         90     2896433.23   5.94e-01
         91     2896433.82   5.85e-01
         92     2896434.39   5.77e-01
         93     2896434.96   5.68e-01
         94     2896435.52   5.60e-01
         95     2896436.07   5.51e-01
         96     2896436.61   5.42e-01
         97     2896437.15   5.32e-01
         98     2896437.67   5.22e-01
         99     2896438.18   5.13e-01
        100     2896438.68   5.03e-01
        101     2896439.18   4.94e-01
        102     2896439.66   4.85e-01
        103     2896440.14   4.76e-01
        104     2896440.61   4.67e-01
        105     2896441.06   4.58e-01
        106     2896441.51   4.49e-01
        107     2896441.96   4.41e-01
        108     2896442.39   4.32e-01
        109     2896442.81   4.24e-01
        110     2896443.23   4.16e-01
        111     2896443.64   4.08e-01
        112     2896444.04   4.00e-01
        113     2896444.43   3.92e-01
        114     2896444.81   3.84e-01
        115     2896445.19   3.77e-01
        116     2896445.56   3.69e-01
        117     2896445.92   3.62e-01
        118     2896446.27   3.54e-01
        119     2896446.62   3.47e-01
        120     2896446.96   3.40e-01
        121     2896447.29   3.33e-01
        122     2896447.62   3.26e-01
        123     2896447.94   3.19e-01
        124     2896448.25   3.12e-01
        125     2896448.55   3.06e-01
        126     2896448.85   2.99e-01
        127     2896449.15   2.93e-01
        128     2896449.43   2.86e-01
        129     2896449.71   2.80e-01
        130     2896449.99   2.74e-01
        131     2896450.26   2.68e-01
        132     2896450.52   2.62e-01
        133     2896450.77   2.56e-01
        134     2896451.02   2.50e-01
        135     2896451.25   2.30e-01
        136     2896451.47   2.20e-01
        137     2896451.69   2.15e-01
        138     2896451.90   2.10e-01
        139     2896452.10   2.05e-01
        140     2896452.30   2.01e-01
        141     2896452.50   1.94e-01
        142     2896452.67   1.72e-01
        143     2896452.84   1.68e-01
        144     2896453.00   1.65e-01
        145     2896453.16   1.61e-01
        146     2896453.32   1.57e-01
        147     2896453.47   1.54e-01
        148     2896453.63   1.50e-01
        149     2896453.77   1.47e-01
        150     2896453.92   1.44e-01
        151     2896454.06   1.40e-01
        152     2896454.19   1.37e-01
        153     2896454.33   1.34e-01
        154     2896454.46   1.31e-01
        155     2896454.58   1.28e-01
        156     2896454.71   1.25e-01
        157     2896454.83   1.22e-01
        158     2896454.95   1.19e-01
        159     2896455.07   1.16e-01
        160     2896455.18   1.13e-01
        161     2896455.29   1.10e-01
        162     2896455.40   1.08e-01
        163     2896455.50   1.05e-01
        164     2896455.61   1.03e-01
        165     2896455.71   1.00e-01
        166     2896455.80   9.78e-02
        167     2896455.90   9.54e-02
        168     2896455.99   9.31e-02
        169     2896456.08   9.08e-02
        170     2896456.17   8.86e-02
        171     2896456.26   8.65e-02
        172     2896456.34   8.43e-02
        173     2896456.42   8.23e-02
        174     2896456.50   8.02e-02
        175     2896456.58   7.82e-02
        176     2896456.66   7.63e-02
        177     2896456.73   7.44e-02
        178     2896456.81   7.25e-02
        179     2896456.88   7.07e-02
        180     2896456.95   6.90e-02
        181     2896457.01   6.72e-02
        182     2896457.08   6.55e-02
        183     2896457.14   6.39e-02
        184     2896457.20   6.23e-02
        185     2896457.27   6.07e-02
        186     2896457.32   5.92e-02
        187     2896457.38   5.77e-02
        188     2896457.44   5.62e-02
        189     2896457.49   5.48e-02
        190     2896457.55   5.36e-02
        191     2896457.60   5.24e-02
        192     2896457.65   5.12e-02
        193     2896457.70   4.99e-02
        194     2896457.75   4.88e-02
        195     2896457.80   4.76e-02
        196     2896457.84   4.64e-02
        197     2896457.89   4.53e-02
        198     2896457.93   4.42e-02
        199     2896457.98   4.31e-02
        200     2896458.02   4.20e-02
        201     2896458.06   4.10e-02
        202     2896458.10   4.00e-02
        203     2896458.14   3.90e-02
        204     2896458.18   3.80e-02
        205     2896458.21   3.72e-02
        206     2896458.25   3.63e-02
        207     2896458.28   3.55e-02
        208     2896458.32   3.46e-02
        209     2896458.35   3.38e-02
        210     2896458.39   3.30e-02
        211     2896458.42   3.22e-02
        212     2896458.45   3.14e-02
        213     2896458.48   3.06e-02
        214     2896458.51   2.99e-02
        215     2896458.54   2.92e-02
        216     2896458.57   2.84e-02
        217     2896458.60   2.77e-02
        218     2896458.62   2.70e-02
        219     2896458.65   2.62e-02
        220     2896458.67   2.55e-02
        221     2896458.70   2.48e-02
        222     2896458.72   2.42e-02
        223     2896458.75   2.35e-02
        224     2896458.77   2.29e-02
        225     2896458.79   2.23e-02
        226     2896458.81   2.17e-02
        227     2896458.83   2.11e-02
        228     2896458.85   2.06e-02
        229     2896458.87   2.00e-02
        230     2896458.89   1.95e-02
        231     2896458.91   1.90e-02
        232     2896458.93   1.85e-02
        233     2896458.95   1.80e-02
        234     2896458.97   1.75e-02
        235     2896458.98   1.70e-02
        236     2896459.00   1.66e-02
        237     2896459.02   1.61e-02
        238     2896459.03   1.57e-02
        239     2896459.05   1.53e-02
        240     2896459.06   1.49e-02
        241     2896459.08   1.45e-02
        242     2896459.09   1.41e-02
        243     2896459.11   1.37e-02
        244     2896459.12   1.34e-02
        245     2896459.13   1.30e-02
        246     2896459.14   1.27e-02
        247     2896459.16   1.23e-02
        248     2896459.17   1.20e-02
        249     2896459.18   1.17e-02
        250     2896459.19   1.14e-02
        251     2896459.20   1.10e-02
        252     2896459.21   1.07e-02
        253     2896459.22   1.04e-02
        254     2896459.23   1.01e-02
        255     2896459.24   9.84e-03
Performing nullcheck...
  Deleting factor 29 decreases objective by 7.27e+03. Factor retained.
  Nullcheck complete. Objective: 2896459.24
Fitting factor/loading 30 (stop when difference in obj. is < 1.00e-02):
  Iteration      Objective   Obj Diff
          1     2903588.92        Inf
          2     2903601.38   1.25e+01
          3     2903606.32   4.94e+00
          4     2903609.98   3.66e+00
          5     2903612.90   2.92e+00
          6     2903615.34   2.44e+00
          7     2903617.44   2.10e+00
          8     2903619.29   1.85e+00
          9     2903620.93   1.65e+00
         10     2903622.43   1.49e+00
         11     2903623.80   1.37e+00
         12     2903625.06   1.26e+00
         13     2903626.24   1.18e+00
         14     2903627.34   1.10e+00
         15     2903628.37   1.03e+00
         16     2903629.35   9.76e-01
         17     2903630.27   9.25e-01
         18     2903631.15   8.78e-01
         19     2903631.99   8.36e-01
         20     2903632.79   7.98e-01
         21     2903633.55   7.63e-01
         22     2903634.28   7.30e-01
         23     2903634.98   6.99e-01
         24     2903635.65   6.70e-01
         25     2903636.29   6.44e-01
         26     2903636.91   6.20e-01
         27     2903637.51   5.96e-01
         28     2903638.08   5.74e-01
         29     2903638.64   5.53e-01
         30     2903639.17   5.33e-01
         31     2903639.68   5.14e-01
         32     2903640.18   4.95e-01
         33     2903640.66   4.77e-01
         34     2903641.12   4.61e-01
         35     2903641.56   4.45e-01
         36     2903641.99   4.29e-01
         37     2903642.40   4.15e-01
         38     2903642.81   4.01e-01
         39     2903643.19   3.88e-01
         40     2903643.57   3.75e-01
         41     2903643.93   3.62e-01
         42     2903644.28   3.50e-01
         43     2903644.62   3.39e-01
         44     2903644.95   3.28e-01
         45     2903645.26   3.17e-01
         46     2903645.57   3.06e-01
         47     2903645.87   2.96e-01
         48     2903646.15   2.87e-01
         49     2903646.43   2.78e-01
         50     2903646.70   2.69e-01
         51     2903646.96   2.60e-01
         52     2903647.21   2.51e-01
         53     2903647.45   2.43e-01
         54     2903647.69   2.36e-01
         55     2903647.92   2.28e-01
         56     2903648.14   2.21e-01
         57     2903648.35   2.14e-01
         58     2903648.56   2.07e-01
         59     2903648.76   2.01e-01
         60     2903648.96   1.95e-01
         61     2903649.14   1.89e-01
         62     2903649.33   1.83e-01
         63     2903649.50   1.77e-01
         64     2903649.68   1.71e-01
         65     2903649.84   1.66e-01
         66     2903650.00   1.60e-01
         67     2903650.16   1.55e-01
         68     2903650.31   1.50e-01
         69     2903650.45   1.45e-01
         70     2903650.59   1.41e-01
         71     2903650.73   1.36e-01
         72     2903650.86   1.32e-01
         73     2903650.99   1.28e-01
         74     2903651.11   1.24e-01
         75     2903651.23   1.20e-01
         76     2903651.35   1.16e-01
         77     2903651.46   1.12e-01
         78     2903651.57   1.09e-01
         79     2903651.68   1.05e-01
         80     2903651.78   1.02e-01
         81     2903651.88   9.95e-02
         82     2903651.97   9.63e-02
         83     2903652.07   9.31e-02
         84     2903652.16   9.01e-02
         85     2903652.24   8.72e-02
         86     2903652.33   8.45e-02
         87     2903652.41   8.18e-02
         88     2903652.49   7.92e-02
         89     2903652.57   7.67e-02
         90     2903652.64   7.43e-02
         91     2903652.71   7.20e-02
         92     2903652.78   6.98e-02
         93     2903652.85   6.76e-02
         94     2903652.92   6.55e-02
         95     2903652.98   6.35e-02
         96     2903653.04   6.15e-02
         97     2903653.10   5.96e-02
         98     2903653.16   5.77e-02
         99     2903653.21   5.60e-02
        100     2903653.27   5.42e-02
        101     2903653.32   5.26e-02
        102     2903653.37   5.09e-02
        103     2903653.42   4.94e-02
        104     2903653.47   4.79e-02
        105     2903653.51   4.64e-02
        106     2903653.56   4.50e-02
        107     2903653.60   4.36e-02
        108     2903653.65   4.23e-02
        109     2903653.69   4.10e-02
        110     2903653.73   3.97e-02
        111     2903653.76   3.85e-02
        112     2903653.80   3.73e-02
        113     2903653.84   3.62e-02
        114     2903653.87   3.51e-02
        115     2903653.91   3.41e-02
        116     2903653.94   3.30e-02
        117     2903653.97   3.20e-02
        118     2903654.00   3.11e-02
        119     2903654.03   3.01e-02
        120     2903654.06   2.92e-02
        121     2903654.09   2.84e-02
        122     2903654.12   2.75e-02
        123     2903654.15   2.67e-02
        124     2903654.17   2.59e-02
        125     2903654.20   2.51e-02
        126     2903654.22   2.44e-02
        127     2903654.24   2.37e-02
        128     2903654.27   2.30e-02
        129     2903654.29   2.23e-02
        130     2903654.31   2.16e-02
        131     2903654.33   2.10e-02
        132     2903654.35   2.04e-02
        133     2903654.37   1.98e-02
        134     2903654.39   1.92e-02
        135     2903654.41   1.86e-02
        136     2903654.43   1.81e-02
        137     2903654.45   1.76e-02
        138     2903654.46   1.71e-02
        139     2903654.48   1.66e-02
        140     2903654.50   1.61e-02
        141     2903654.51   1.56e-02
        142     2903654.53   1.52e-02
        143     2903654.54   1.48e-02
        144     2903654.56   1.43e-02
        145     2903654.57   1.39e-02
        146     2903654.58   1.35e-02
        147     2903654.60   1.31e-02
        148     2903654.61   1.28e-02
        149     2903654.62   1.24e-02
        150     2903654.63   1.21e-02
        151     2903654.65   1.17e-02
        152     2903654.66   1.14e-02
        153     2903654.67   1.11e-02
        154     2903654.68   1.08e-02
        155     2903654.69   1.05e-02
        156     2903654.70   1.02e-02
        157     2903654.71   9.89e-03
Performing nullcheck...
  Deleting factor 30 decreases objective by 7.20e+03. Factor retained.
  Nullcheck complete. Objective: 2903654.71
Fitting factor/loading 31 (stop when difference in obj. is < 1.00e-02):
  Iteration      Objective   Obj Diff
          1     2910829.47        Inf
          2     2910839.58   1.01e+01
          3     2910842.73   3.15e+00
          4     2910844.98   2.25e+00
          5     2910846.75   1.77e+00
          6     2910848.21   1.46e+00
          7     2910849.46   1.25e+00
          8     2910850.56   1.10e+00
          9     2910851.53   9.74e-01
         10     2910852.41   8.76e-01
         11     2910853.20   7.94e-01
         12     2910853.93   7.25e-01
         13     2910854.59   6.64e-01
         14     2910855.20   6.11e-01
         15     2910855.77   5.64e-01
         16     2910856.29   5.21e-01
         17     2910856.77   4.83e-01
         18     2910857.22   4.49e-01
         19     2910857.64   4.17e-01
         20     2910858.02   3.88e-01
         21     2910858.39   3.62e-01
         22     2910858.72   3.38e-01
         23     2910859.04   3.16e-01
         24     2910859.34   2.95e-01
         25     2910859.61   2.76e-01
         26     2910859.87   2.59e-01
         27     2910860.11   2.43e-01
         28     2910860.34   2.28e-01
         29     2910860.55   2.14e-01
         30     2910860.76   2.01e-01
         31     2910860.95   1.89e-01
         32     2910861.12   1.78e-01
         33     2910861.29   1.68e-01
         34     2910861.45   1.58e-01
         35     2910861.60   1.49e-01
         36     2910861.74   1.41e-01
         37     2910861.87   1.33e-01
         38     2910862.00   1.26e-01
         39     2910862.12   1.19e-01
         40     2910862.23   1.13e-01
         41     2910862.34   1.07e-01
         42     2910862.44   1.01e-01
         43     2910862.53   9.58e-02
         44     2910862.63   9.09e-02
         45     2910862.71   8.62e-02
         46     2910862.79   8.19e-02
         47     2910862.87   7.78e-02
         48     2910862.95   7.39e-02
         49     2910863.02   7.03e-02
         50     2910863.08   6.68e-02
         51     2910863.15   6.36e-02
         52     2910863.21   6.05e-02
         53     2910863.26   5.76e-02
         54     2910863.32   5.49e-02
         55     2910863.37   5.23e-02
         56     2910863.42   4.99e-02
         57     2910863.47   4.76e-02
         58     2910863.51   4.54e-02
         59     2910863.56   4.33e-02
         60     2910863.60   4.14e-02
         61     2910863.64   3.95e-02
         62     2910863.68   3.78e-02
         63     2910863.71   3.61e-02
         64     2910863.75   3.45e-02
         65     2910863.78   3.30e-02
         66     2910863.81   3.16e-02
         67     2910863.84   3.02e-02
         68     2910863.87   2.89e-02
         69     2910863.90   2.77e-02
         70     2910863.92   2.65e-02
         71     2910863.95   2.54e-02
         72     2910863.97   2.43e-02
         73     2910864.00   2.33e-02
         74     2910864.02   2.23e-02
         75     2910864.04   2.14e-02
         76     2910864.06   2.06e-02
         77     2910864.08   1.97e-02
         78     2910864.10   1.89e-02
         79     2910864.12   1.82e-02
         80     2910864.14   1.74e-02
         81     2910864.15   1.67e-02
         82     2910864.17   1.61e-02
         83     2910864.18   1.54e-02
         84     2910864.20   1.48e-02
         85     2910864.21   1.43e-02
         86     2910864.23   1.37e-02
         87     2910864.24   1.32e-02
         88     2910864.25   1.27e-02
         89     2910864.27   1.22e-02
         90     2910864.28   1.17e-02
         91     2910864.29   1.13e-02
         92     2910864.30   1.09e-02
         93     2910864.31   1.05e-02
         94     2910864.32   1.01e-02
         95     2910864.33   9.69e-03
Performing nullcheck...
  Deleting factor 31 decreases objective by 7.21e+03. Factor retained.
  Nullcheck complete. Objective: 2910864.33
Fitting factor/loading 32 (stop when difference in obj. is < 1.00e-02):
  Iteration      Objective   Obj Diff
          1     2918001.16        Inf
          2     2918010.83   9.68e+00
          3     2918013.61   2.77e+00
          4     2918015.42   1.82e+00
          5     2918016.74   1.32e+00
          6     2918017.75   1.01e+00
          7     2918018.56   8.08e-01
          8     2918019.23   6.68e-01
          9     2918019.79   5.66e-01
         10     2918020.28   4.89e-01
         11     2918020.71   4.29e-01
         12     2918021.09   3.81e-01
         13     2918021.43   3.42e-01
         14     2918021.74   3.09e-01
         15     2918022.02   2.81e-01
         16     2918022.28   2.57e-01
         17     2918022.52   2.37e-01
         18     2918022.74   2.19e-01
         19     2918022.94   2.03e-01
         20     2918023.13   1.88e-01
         21     2918023.30   1.75e-01
         22     2918023.47   1.64e-01
         23     2918023.62   1.53e-01
         24     2918023.76   1.43e-01
         25     2918023.90   1.35e-01
         26     2918024.02   1.27e-01
         27     2918024.14   1.19e-01
         28     2918024.25   1.12e-01
         29     2918024.36   1.06e-01
         30     2918024.46   9.81e-02
         31     2918024.55   9.23e-02
         32     2918024.64   8.71e-02
         33     2918024.72   8.20e-02
         34     2918024.79   7.44e-02
         35     2918024.86   7.00e-02
         36     2918024.93   6.59e-02
         37     2918024.99   6.21e-02
         38     2918025.05   5.85e-02
         39     2918025.11   5.52e-02
         40     2918025.16   5.21e-02
         41     2918025.21   4.91e-02
         42     2918025.25   4.64e-02
         43     2918025.30   4.38e-02
         44     2918025.34   4.14e-02
         45     2918025.38   3.91e-02
         46     2918025.42   3.69e-02
         47     2918025.45   3.49e-02
         48     2918025.48   3.30e-02
         49     2918025.51   3.12e-02
         50     2918025.54   2.95e-02
         51     2918025.57   2.80e-02
         52     2918025.60   2.65e-02
         53     2918025.62   2.51e-02
         54     2918025.65   2.37e-02
         55     2918025.67   2.25e-02
         56     2918025.69   2.13e-02
         57     2918025.71   2.02e-02
         58     2918025.73   1.91e-02
         59     2918025.75   1.81e-02
         60     2918025.77   1.72e-02
         61     2918025.78   1.63e-02
         62     2918025.80   1.55e-02
         63     2918025.81   1.47e-02
         64     2918025.83   1.40e-02
         65     2918025.84   1.32e-02
         66     2918025.85   1.26e-02
         67     2918025.86   1.20e-02
         68     2918025.88   1.14e-02
         69     2918025.89   1.08e-02
         70     2918025.90   1.03e-02
         71     2918025.91   9.76e-03
Performing nullcheck...
  Deleting factor 32 decreases objective by 7.16e+03. Factor retained.
  Nullcheck complete. Objective: 2918025.91
Fitting factor/loading 33 (stop when difference in obj. is < 1.00e-02):
  Iteration      Objective   Obj Diff
          1     2924957.79        Inf
          2     2924969.20   1.14e+01
          3     2924974.21   5.01e+00
          4     2924978.64   4.43e+00
          5     2924982.79   4.15e+00
          6     2924986.76   3.97e+00
          7     2924990.62   3.86e+00
          8     2924994.39   3.77e+00
          9     2924998.10   3.70e+00
         10     2925001.74   3.64e+00
         11     2925005.32   3.58e+00
         12     2925008.83   3.51e+00
         13     2925012.27   3.44e+00
         14     2925015.64   3.37e+00
         15     2925018.93   3.29e+00
         16     2925022.13   3.21e+00
         17     2925025.26   3.12e+00
         18     2925028.30   3.04e+00
         19     2925031.26   2.96e+00
         20     2925034.14   2.89e+00
         21     2925036.96   2.82e+00
         22     2925039.71   2.75e+00
         23     2925042.40   2.69e+00
         24     2925045.04   2.64e+00
         25     2925047.63   2.59e+00
         26     2925050.17   2.55e+00
         27     2925052.68   2.50e+00
         28     2925055.14   2.46e+00
         29     2925057.57   2.43e+00
         30     2925059.96   2.39e+00
         31     2925062.31   2.35e+00
         32     2925064.62   2.31e+00
         33     2925066.90   2.27e+00
         34     2925069.13   2.23e+00
         35     2925071.32   2.19e+00
         36     2925073.47   2.15e+00
         37     2925075.57   2.10e+00
         38     2925077.63   2.06e+00
         39     2925079.64   2.01e+00
         40     2925081.60   1.96e+00
         41     2925083.52   1.92e+00
         42     2925085.39   1.87e+00
         43     2925087.21   1.82e+00
         44     2925088.98   1.77e+00
         45     2925090.75   1.77e+00
         46     2925092.49   1.74e+00
         47     2925094.18   1.69e+00
         48     2925095.89   1.71e+00
         49     2925097.55   1.66e+00
         50     2925099.15   1.60e+00
         51     2925100.70   1.55e+00
         52     2925102.20   1.50e+00
         53     2925103.64   1.44e+00
         54     2925105.03   1.39e+00
         55     2925106.37   1.34e+00
         56     2925107.66   1.29e+00
         57     2925108.90   1.24e+00
         58     2925110.10   1.19e+00
         59     2925111.24   1.15e+00
         60     2925112.35   1.10e+00
         61     2925113.40   1.06e+00
         62     2925114.42   1.02e+00
         63     2925115.40   9.78e-01
         64     2925116.34   9.40e-01
         65     2925117.24   9.03e-01
         66     2925118.11   8.68e-01
         67     2925118.94   8.34e-01
         68     2925119.75   8.02e-01
         69     2925120.52   7.71e-01
         70     2925121.26   7.42e-01
         71     2925121.97   7.14e-01
         72     2925122.66   6.87e-01
         73     2925123.32   6.62e-01
         74     2925123.96   6.37e-01
         75     2925124.57   6.14e-01
         76     2925125.17   5.92e-01
         77     2925125.74   5.71e-01
         78     2925126.29   5.51e-01
         79     2925126.82   5.32e-01
         80     2925127.33   5.13e-01
         81     2925127.83   4.96e-01
         82     2925128.31   4.79e-01
         83     2925128.77   4.63e-01
         84     2925129.22   4.48e-01
         85     2925129.65   4.33e-01
         86     2925130.07   4.19e-01
         87     2925130.47   4.05e-01
         88     2925130.87   3.92e-01
         89     2925131.25   3.79e-01
         90     2925131.61   3.67e-01
         91     2925131.97   3.55e-01
         92     2925132.31   3.44e-01
         93     2925132.64   3.33e-01
         94     2925132.99   3.49e-01
         95     2925133.34   3.45e-01
         96     2925133.67   3.34e-01
         97     2925134.00   3.24e-01
         98     2925134.31   3.13e-01
         99     2925134.61   3.03e-01
        100     2925134.91   2.93e-01
        101     2925135.19   2.84e-01
        102     2925135.46   2.74e-01
        103     2925135.73   2.65e-01
        104     2925135.99   2.57e-01
        105     2925136.24   2.48e-01
        106     2925136.48   2.40e-01
        107     2925136.71   2.32e-01
        108     2925136.93   2.24e-01
        109     2925137.15   2.17e-01
        110     2925137.36   2.09e-01
        111     2925137.56   2.02e-01
        112     2925137.75   1.95e-01
        113     2925137.94   1.89e-01
        114     2925138.13   1.82e-01
        115     2925138.30   1.76e-01
        116     2925138.47   1.70e-01
        117     2925138.64   1.64e-01
        118     2925138.79   1.58e-01
        119     2925138.95   1.53e-01
        120     2925139.09   1.47e-01
        121     2925139.24   1.42e-01
        122     2925139.37   1.37e-01
        123     2925139.50   1.32e-01
        124     2925139.63   1.28e-01
        125     2925139.75   1.23e-01
        126     2925139.87   1.19e-01
        127     2925139.99   1.14e-01
        128     2925140.10   1.10e-01
        129     2925140.20   1.06e-01
        130     2925140.31   1.02e-01
        131     2925140.41   9.88e-02
        132     2925140.50   9.52e-02
        133     2925140.59   9.18e-02
        134     2925140.68   8.85e-02
        135     2925140.77   8.53e-02
        136     2925140.85   8.22e-02
        137     2925140.93   7.92e-02
        138     2925141.00   7.63e-02
        139     2925141.08   7.35e-02
        140     2925141.15   7.09e-02
        141     2925141.22   6.83e-02
        142     2925141.28   6.58e-02
        143     2925141.35   6.34e-02
        144     2925141.41   6.11e-02
        145     2925141.47   5.89e-02
        146     2925141.52   5.68e-02
        147     2925141.58   5.47e-02
        148     2925141.63   5.27e-02
        149     2925141.68   5.08e-02
        150     2925141.73   4.89e-02
        151     2925141.78   4.72e-02
        152     2925141.82   4.55e-02
        153     2925141.87   4.38e-02
        154     2925141.91   4.22e-02
        155     2925141.95   4.07e-02
        156     2925141.99   3.92e-02
        157     2925142.03   3.78e-02
        158     2925142.06   3.64e-02
        159     2925142.10   3.51e-02
        160     2925142.13   3.39e-02
        161     2925142.16   3.26e-02
        162     2925142.20   3.15e-02
        163     2925142.23   3.03e-02
        164     2925142.26   2.92e-02
        165     2925142.28   2.82e-02
        166     2925142.31   2.72e-02
        167     2925142.34   2.62e-02
        168     2925142.36   2.53e-02
        169     2925142.39   2.44e-02
        170     2925142.41   2.35e-02
        171     2925142.43   2.27e-02
        172     2925142.45   2.19e-02
        173     2925142.48   2.11e-02
        174     2925142.50   2.03e-02
        175     2925142.52   1.96e-02
        176     2925142.53   1.89e-02
        177     2925142.55   1.83e-02
        178     2925142.57   1.76e-02
        179     2925142.59   1.68e-02
        180     2925142.60   1.61e-02
        181     2925142.62   1.55e-02
        182     2925142.63   1.48e-02
        183     2925142.65   1.43e-02
        184     2925142.66   1.37e-02
        185     2925142.67   1.32e-02
        186     2925142.69   1.27e-02
        187     2925142.70   1.22e-02
        188     2925142.71   1.17e-02
        189     2925142.72   1.12e-02
        190     2925142.73   1.08e-02
        191     2925142.74   1.04e-02
        192     2925142.75   1.00e-02
Performing nullcheck...
  Deleting factor 33 decreases objective by 7.12e+03. Factor retained.
  Nullcheck complete. Objective: 2925142.75
Fitting factor/loading 34 (stop when difference in obj. is < 1.00e-02):
  Iteration      Objective   Obj Diff
          1     2932137.11        Inf
          2     2932146.08   8.96e+00
          3     2932148.40   2.32e+00
          4     2932150.00   1.60e+00
          5     2932151.25   1.25e+00
          6     2932152.29   1.04e+00
          7     2932153.19   9.05e-01
          8     2932154.01   8.15e-01
          9     2932154.76   7.52e-01
         10     2932155.47   7.05e-01
         11     2932156.14   6.70e-01
         12     2932156.78   6.42e-01
         13     2932157.40   6.20e-01
         14     2932158.00   6.01e-01
         15     2932158.58   5.85e-01
         16     2932159.16   5.71e-01
         17     2932159.71   5.59e-01
         18     2932160.26   5.48e-01
         19     2932160.80   5.38e-01
         20     2932161.33   5.29e-01
         21     2932161.85   5.20e-01
         22     2932162.36   5.12e-01
         23     2932162.87   5.05e-01
         24     2932163.36   4.98e-01
         25     2932163.86   4.91e-01
         26     2932164.34   4.85e-01
         27     2932164.82   4.78e-01
         28     2932165.29   4.72e-01
         29     2932165.76   4.67e-01
         30     2932166.22   4.61e-01
         31     2932166.67   4.56e-01
         32     2932167.13   4.51e-01
         33     2932167.57   4.46e-01
         34     2932168.01   4.41e-01
         35     2932168.45   4.36e-01
         36     2932168.88   4.32e-01
         37     2932169.31   4.28e-01
         38     2932169.73   4.24e-01
         39     2932170.15   4.20e-01
         40     2932170.57   4.16e-01
         41     2932170.98   4.12e-01
         42     2932171.39   4.08e-01
         43     2932171.79   4.04e-01
         44     2932172.19   4.00e-01
         45     2932172.59   3.96e-01
         46     2932172.98   3.93e-01
         47     2932173.37   3.89e-01
         48     2932173.75   3.85e-01
         49     2932174.13   3.81e-01
         50     2932174.51   3.77e-01
         51     2932174.88   3.73e-01
         52     2932175.25   3.69e-01
         53     2932175.62   3.65e-01
         54     2932175.98   3.62e-01
         55     2932176.34   3.58e-01
         56     2932176.69   3.54e-01
         57     2932177.04   3.50e-01
         58     2932177.39   3.47e-01
         59     2932177.73   3.43e-01
         60     2932178.07   3.39e-01
         61     2932178.41   3.36e-01
         62     2932178.74   3.32e-01
         63     2932179.07   3.28e-01
         64     2932179.39   3.25e-01
         65     2932179.71   3.21e-01
         66     2932180.03   3.18e-01
         67     2932180.34   3.14e-01
         68     2932180.65   3.10e-01
         69     2932180.96   3.07e-01
         70     2932181.26   3.03e-01
         71     2932181.56   3.00e-01
         72     2932181.86   2.96e-01
         73     2932182.15   2.93e-01
         74     2932182.44   2.89e-01
         75     2932182.73   2.86e-01
         76     2932183.01   2.83e-01
         77     2932183.29   2.79e-01
         78     2932183.57   2.76e-01
         79     2932183.84   2.72e-01
         80     2932184.11   2.69e-01
         81     2932184.37   2.66e-01
         82     2932184.64   2.62e-01
         83     2932184.89   2.59e-01
         84     2932185.15   2.56e-01
         85     2932185.40   2.53e-01
         86     2932185.65   2.49e-01
         87     2932185.90   2.46e-01
         88     2932186.14   2.43e-01
         89     2932186.38   2.40e-01
         90     2932186.62   2.37e-01
         91     2932186.85   2.34e-01
         92     2932187.08   2.31e-01
         93     2932187.31   2.28e-01
         94     2932187.54   2.25e-01
         95     2932187.76   2.22e-01
         96     2932187.98   2.19e-01
         97     2932188.19   2.16e-01
         98     2932188.40   2.13e-01
         99     2932188.61   2.10e-01
        100     2932188.82   2.07e-01
        101     2932189.03   2.04e-01
        102     2932189.23   2.01e-01
        103     2932189.43   1.99e-01
        104     2932189.62   1.96e-01
        105     2932189.81   1.93e-01
        106     2932190.01   1.91e-01
        107     2932190.19   1.88e-01
        108     2932190.38   1.85e-01
        109     2932190.56   1.83e-01
        110     2932190.74   1.80e-01
        111     2932190.92   1.77e-01
        112     2932191.09   1.75e-01
        113     2932191.27   1.72e-01
        114     2932191.44   1.70e-01
        115     2932191.60   1.68e-01
        116     2932191.77   1.65e-01
        117     2932191.93   1.63e-01
        118     2932192.09   1.60e-01
        119     2932192.25   1.58e-01
        120     2932192.41   1.56e-01
        121     2932192.56   1.53e-01
        122     2932192.71   1.51e-01
        123     2932192.86   1.49e-01
        124     2932193.01   1.47e-01
        125     2932193.15   1.45e-01
        126     2932193.29   1.43e-01
        127     2932193.43   1.40e-01
        128     2932193.57   1.38e-01
        129     2932193.71   1.36e-01
        130     2932193.84   1.34e-01
        131     2932193.98   1.32e-01
        132     2932194.11   1.30e-01
        133     2932194.23   1.28e-01
        134     2932194.36   1.26e-01
        135     2932194.48   1.24e-01
        136     2932194.61   1.23e-01
        137     2932194.73   1.21e-01
        138     2932194.85   1.19e-01
        139     2932194.96   1.17e-01
        140     2932195.08   1.15e-01
        141     2932195.19   1.14e-01
        142     2932195.31   1.12e-01
        143     2932195.42   1.10e-01
        144     2932195.52   1.08e-01
        145     2932195.63   1.07e-01
        146     2932195.74   1.05e-01
        147     2932195.84   1.04e-01
        148     2932195.94   1.02e-01
        149     2932196.04   1.00e-01
        150     2932196.14   9.89e-02
        151     2932196.24   9.74e-02
        152     2932196.33   9.59e-02
        153     2932196.43   9.44e-02
        154     2932196.52   9.29e-02
        155     2932196.61   9.15e-02
        156     2932196.70   9.01e-02
        157     2932196.79   8.87e-02
        158     2932196.88   8.73e-02
        159     2932196.96   8.59e-02
        160     2932197.05   8.46e-02
        161     2932197.13   8.33e-02
        162     2932197.21   8.20e-02
        163     2932197.30   8.07e-02
        164     2932197.37   7.95e-02
        165     2932197.45   7.82e-02
        166     2932197.53   7.70e-02
        167     2932197.61   7.58e-02
        168     2932197.68   7.46e-02
        169     2932197.75   7.34e-02
        170     2932197.83   7.23e-02
        171     2932197.90   7.12e-02
        172     2932197.97   7.00e-02
        173     2932198.04   6.90e-02
        174     2932198.10   6.79e-02
        175     2932198.17   6.68e-02
        176     2932198.24   6.58e-02
        177     2932198.30   6.47e-02
        178     2932198.37   6.37e-02
        179     2932198.43   6.27e-02
        180     2932198.49   6.17e-02
        181     2932198.55   6.08e-02
        182     2932198.61   5.98e-02
        183     2932198.67   5.89e-02
        184     2932198.73   5.79e-02
        185     2932198.78   5.70e-02
        186     2932198.84   5.61e-02
        187     2932198.90   5.52e-02
        188     2932198.95   5.44e-02
        189     2932199.00   5.35e-02
        190     2932199.06   5.27e-02
        191     2932199.11   5.19e-02
        192     2932199.16   5.10e-02
        193     2932199.21   5.02e-02
        194     2932199.26   4.94e-02
        195     2932199.31   4.87e-02
        196     2932199.36   4.79e-02
        197     2932199.40   4.71e-02
        198     2932199.45   4.64e-02
        199     2932199.49   4.57e-02
        200     2932199.54   4.50e-02
        201     2932199.58   4.43e-02
        202     2932199.63   4.36e-02
        203     2932199.67   4.29e-02
        204     2932199.71   4.22e-02
        205     2932199.75   4.15e-02
        206     2932199.79   4.09e-02
        207     2932199.83   4.03e-02
        208     2932199.87   3.96e-02
        209     2932199.91   3.90e-02
        210     2932199.95   3.84e-02
        211     2932199.99   3.78e-02
        212     2932200.03   3.72e-02
        213     2932200.06   3.66e-02
        214     2932200.10   3.60e-02
        215     2932200.13   3.55e-02
        216     2932200.17   3.49e-02
        217     2932200.20   3.44e-02
        218     2932200.24   3.39e-02
        219     2932200.27   3.33e-02
        220     2932200.30   3.28e-02
        221     2932200.34   3.23e-02
        222     2932200.37   3.18e-02
        223     2932200.40   3.13e-02
        224     2932200.43   3.08e-02
        225     2932200.46   3.03e-02
        226     2932200.49   2.99e-02
        227     2932200.52   2.94e-02
        228     2932200.55   2.89e-02
        229     2932200.58   2.85e-02
        230     2932200.61   2.81e-02
        231     2932200.63   2.76e-02
        232     2932200.66   2.72e-02
        233     2932200.69   2.68e-02
        234     2932200.71   2.64e-02
        235     2932200.74   2.60e-02
        236     2932200.77   2.56e-02
        237     2932200.79   2.52e-02
        238     2932200.82   2.48e-02
        239     2932200.84   2.44e-02
        240     2932200.86   2.40e-02
        241     2932200.89   2.37e-02
        242     2932200.91   2.33e-02
        243     2932200.93   2.30e-02
        244     2932200.96   2.26e-02
        245     2932200.98   2.23e-02
        246     2932201.00   2.19e-02
        247     2932201.02   2.16e-02
        248     2932201.04   2.13e-02
        249     2932201.06   2.09e-02
        250     2932201.08   2.06e-02
        251     2932201.10   2.03e-02
        252     2932201.12   2.00e-02
        253     2932201.14   1.97e-02
        254     2932201.16   1.94e-02
        255     2932201.18   1.91e-02
        256     2932201.20   1.88e-02
        257     2932201.22   1.85e-02
        258     2932201.24   1.83e-02
        259     2932201.26   1.80e-02
        260     2932201.27   1.77e-02
        261     2932201.29   1.75e-02
        262     2932201.31   1.72e-02
        263     2932201.33   1.69e-02
        264     2932201.34   1.67e-02
        265     2932201.36   1.64e-02
        266     2932201.38   1.62e-02
        267     2932201.39   1.59e-02
        268     2932201.41   1.57e-02
        269     2932201.42   1.55e-02
        270     2932201.44   1.52e-02
        271     2932201.45   1.50e-02
        272     2932201.47   1.48e-02
        273     2932201.48   1.46e-02
        274     2932201.50   1.44e-02
        275     2932201.51   1.42e-02
        276     2932201.52   1.40e-02
        277     2932201.54   1.37e-02
        278     2932201.55   1.35e-02
        279     2932201.57   1.33e-02
        280     2932201.58   1.32e-02
        281     2932201.59   1.30e-02
        282     2932201.60   1.28e-02
        283     2932201.62   1.26e-02
        284     2932201.63   1.24e-02
        285     2932201.64   1.22e-02
        286     2932201.65   1.20e-02
        287     2932201.67   1.19e-02
        288     2932201.68   1.17e-02
        289     2932201.69   1.15e-02
        290     2932201.70   1.14e-02
        291     2932201.71   1.12e-02
        292     2932201.72   1.10e-02
        293     2932201.73   1.09e-02
        294     2932201.74   1.07e-02
        295     2932201.75   1.06e-02
        296     2932201.76   1.04e-02
        297     2932201.77   1.03e-02
        298     2932201.79   1.01e-02
        299     2932201.80   9.98e-03
Performing nullcheck...
  Deleting factor 34 decreases objective by 7.06e+03. Factor retained.
  Nullcheck complete. Objective: 2932201.8
Fitting factor/loading 35 (stop when difference in obj. is < 1.00e-02):
  Iteration      Objective   Obj Diff
          1     2939150.90        Inf
          2     2939162.63   1.17e+01
          3     2939166.54   3.90e+00
          4     2939169.20   2.66e+00
          5     2939171.22   2.02e+00
          6     2939172.87   1.66e+00
          7     2939174.30   1.43e+00
          8     2939175.59   1.29e+00
          9     2939176.78   1.19e+00
         10     2939177.91   1.13e+00
         11     2939179.00   1.08e+00
         12     2939180.05   1.05e+00
         13     2939181.08   1.03e+00
         14     2939182.09   1.01e+00
         15     2939183.07   9.86e-01
         16     2939184.04   9.70e-01
         17     2939185.00   9.61e-01
         18     2939185.96   9.53e-01
         19     2939186.90   9.47e-01
         20     2939187.85   9.42e-01
         21     2939188.78   9.38e-01
         22     2939189.72   9.35e-01
         23     2939190.65   9.31e-01
         24     2939191.58   9.29e-01
         25     2939192.50   9.26e-01
         26     2939193.43   9.23e-01
         27     2939194.35   9.21e-01
         28     2939195.27   9.19e-01
         29     2939196.18   9.16e-01
         30     2939197.10   9.14e-01
         31     2939198.01   9.11e-01
         32     2939198.92   9.09e-01
         33     2939199.82   9.06e-01
         34     2939200.73   9.03e-01
         35     2939201.63   9.00e-01
         36     2939202.52   8.97e-01
         37     2939203.42   8.94e-01
         38     2939204.31   8.91e-01
         39     2939205.20   8.86e-01
         40     2939206.06   8.65e-01
         41     2939206.92   8.62e-01
         42     2939207.78   8.58e-01
         43     2939208.64   8.54e-01
         44     2939209.49   8.51e-01
         45     2939210.33   8.47e-01
         46     2939211.17   8.42e-01
         47     2939212.01   8.38e-01
         48     2939212.84   8.25e-01
         49     2939213.65   8.15e-01
         50     2939214.46   8.11e-01
         51     2939215.27   8.07e-01
         52     2939216.07   8.02e-01
         53     2939216.87   7.98e-01
         54     2939217.67   7.93e-01
         55     2939218.45   7.88e-01
         56     2939219.24   7.84e-01
         57     2939220.02   7.78e-01
         58     2939220.79   7.73e-01
         59     2939221.56   7.68e-01
         60     2939222.32   7.62e-01
         61     2939223.07   7.56e-01
         62     2939223.83   7.51e-01
         63     2939224.57   7.45e-01
         64     2939225.31   7.38e-01
         65     2939226.04   7.32e-01
         66     2939226.77   7.26e-01
         67     2939227.49   7.19e-01
         68     2939228.20   7.12e-01
         69     2939228.90   7.05e-01
         70     2939229.60   6.98e-01
         71     2939230.29   6.90e-01
         72     2939230.97   6.83e-01
         73     2939231.65   6.75e-01
         74     2939232.32   6.68e-01
         75     2939232.98   6.60e-01
         76     2939233.63   6.52e-01
         77     2939234.27   6.44e-01
         78     2939234.91   6.36e-01
         79     2939235.54   6.28e-01
         80     2939236.16   6.20e-01
         81     2939236.77   6.12e-01
         82     2939237.37   6.03e-01
         83     2939237.97   5.95e-01
         84     2939238.55   5.87e-01
         85     2939239.13   5.78e-01
         86     2939239.70   5.70e-01
         87     2939240.26   5.61e-01
         88     2939240.81   5.53e-01
         89     2939241.36   5.45e-01
         90     2939241.90   5.36e-01
         91     2939242.42   5.28e-01
         92     2939242.94   5.19e-01
         93     2939243.45   5.11e-01
         94     2939243.96   5.03e-01
         95     2939244.45   4.94e-01
         96     2939244.94   4.86e-01
         97     2939245.41   4.78e-01
         98     2939245.88   4.70e-01
         99     2939246.34   4.61e-01
        100     2939246.80   4.53e-01
        101     2939247.24   4.45e-01
        102     2939247.68   4.37e-01
        103     2939248.11   4.30e-01
        104     2939248.53   4.22e-01
        105     2939248.95   4.14e-01
        106     2939249.35   4.07e-01
        107     2939249.75   3.99e-01
        108     2939250.14   3.92e-01
        109     2939250.53   3.84e-01
        110     2939250.91   3.77e-01
        111     2939251.28   3.70e-01
        112     2939251.64   3.63e-01
        113     2939252.00   3.56e-01
        114     2939252.34   3.49e-01
        115     2939252.69   3.43e-01
        116     2939253.02   3.36e-01
        117     2939253.35   3.30e-01
        118     2939253.68   3.23e-01
        119     2939253.99   3.17e-01
        120     2939254.30   3.11e-01
        121     2939254.61   3.05e-01
        122     2939254.91   2.99e-01
        123     2939255.20   2.93e-01
        124     2939255.49   2.87e-01
        125     2939255.77   2.82e-01
        126     2939256.05   2.76e-01
        127     2939256.32   2.71e-01
        128     2939256.58   2.66e-01
        129     2939256.84   2.61e-01
        130     2939257.10   2.56e-01
        131     2939257.35   2.51e-01
        132     2939257.60   2.46e-01
        133     2939257.84   2.41e-01
        134     2939258.07   2.37e-01
        135     2939258.31   2.32e-01
        136     2939258.53   2.28e-01
        137     2939258.76   2.23e-01
        138     2939258.98   2.19e-01
        139     2939259.19   2.15e-01
        140     2939259.40   2.11e-01
        141     2939259.61   2.07e-01
        142     2939259.81   2.03e-01
        143     2939260.01   1.99e-01
        144     2939260.21   1.96e-01
        145     2939260.40   1.92e-01
        146     2939260.59   1.88e-01
        147     2939260.77   1.85e-01
        148     2939260.95   1.81e-01
        149     2939261.13   1.78e-01
        150     2939261.31   1.75e-01
        151     2939261.48   1.71e-01
        152     2939261.64   1.67e-01
        153     2939261.81   1.63e-01
        154     2939261.97   1.60e-01
        155     2939262.12   1.57e-01
        156     2939262.28   1.54e-01
        157     2939262.43   1.51e-01
        158     2939262.58   1.48e-01
        159     2939262.72   1.45e-01
        160     2939262.86   1.42e-01
        161     2939263.00   1.39e-01
        162     2939263.14   1.36e-01
        163     2939263.27   1.34e-01
        164     2939263.40   1.31e-01
        165     2939263.53   1.28e-01
        166     2939263.66   1.26e-01
        167     2939263.78   1.23e-01
        168     2939263.90   1.21e-01
        169     2939264.02   1.18e-01
        170     2939264.14   1.16e-01
        171     2939264.25   1.14e-01
        172     2939264.36   1.11e-01
        173     2939264.47   1.09e-01
        174     2939264.58   1.07e-01
        175     2939264.68   1.05e-01
        176     2939264.78   1.03e-01
        177     2939264.89   1.01e-01
        178     2939264.98   9.87e-02
        179     2939265.08   9.68e-02
        180     2939265.18   9.48e-02
        181     2939265.27   9.29e-02
        182     2939265.36   9.11e-02
        183     2939265.45   8.93e-02
        184     2939265.54   8.75e-02
        185     2939265.62   8.58e-02
        186     2939265.71   8.41e-02
        187     2939265.79   8.24e-02
        188     2939265.87   8.08e-02
        189     2939265.95   7.92e-02
        190     2939266.03   7.76e-02
        191     2939266.10   7.61e-02
        192     2939266.18   7.46e-02
        193     2939266.25   7.31e-02
        194     2939266.32   7.16e-02
        195     2939266.39   7.02e-02
        196     2939266.46   6.89e-02
        197     2939266.53   6.75e-02
        198     2939266.59   6.62e-02
        199     2939266.66   6.49e-02
        200     2939266.72   6.36e-02
        201     2939266.79   6.24e-02
        202     2939266.85   6.12e-02
        203     2939266.91   6.00e-02
        204     2939266.97   5.88e-02
        205     2939267.02   5.77e-02
        206     2939267.08   5.66e-02
        207     2939267.14   5.55e-02
        208     2939267.19   5.44e-02
        209     2939267.24   5.34e-02
        210     2939267.30   5.23e-02
        211     2939267.35   5.13e-02
        212     2939267.40   5.04e-02
        213     2939267.45   4.94e-02
        214     2939267.49   4.85e-02
        215     2939267.54   4.75e-02
        216     2939267.59   4.66e-02
        217     2939267.63   4.58e-02
        218     2939267.68   4.49e-02
        219     2939267.72   4.40e-02
        220     2939267.77   4.32e-02
        221     2939267.81   4.24e-02
        222     2939267.85   4.16e-02
        223     2939267.89   4.08e-02
        224     2939267.93   4.01e-02
        225     2939267.97   3.93e-02
        226     2939268.01   3.86e-02
        227     2939268.05   3.79e-02
        228     2939268.09   3.72e-02
        229     2939268.12   3.65e-02
        230     2939268.16   3.58e-02
        231     2939268.19   3.52e-02
        232     2939268.23   3.45e-02
        233     2939268.26   3.39e-02
        234     2939268.29   3.33e-02
        235     2939268.33   3.27e-02
        236     2939268.36   3.21e-02
        237     2939268.39   3.15e-02
        238     2939268.42   3.10e-02
        239     2939268.45   3.04e-02
        240     2939268.48   2.99e-02
        241     2939268.51   2.93e-02
        242     2939268.54   2.88e-02
        243     2939268.57   2.83e-02
        244     2939268.60   2.78e-02
        245     2939268.62   2.73e-02
        246     2939268.65   2.68e-02
        247     2939268.68   2.63e-02
        248     2939268.70   2.59e-02
        249     2939268.73   2.54e-02
        250     2939268.75   2.50e-02
        251     2939268.78   2.46e-02
        252     2939268.80   2.41e-02
        253     2939268.83   2.37e-02
        254     2939268.85   2.33e-02
        255     2939268.87   2.29e-02
        256     2939268.89   2.25e-02
        257     2939268.92   2.21e-02
        258     2939268.94   2.17e-02
        259     2939268.96   2.14e-02
        260     2939268.98   2.10e-02
        261     2939269.00   2.07e-02
        262     2939269.02   2.03e-02
        263     2939269.04   2.00e-02
        264     2939269.06   1.96e-02
        265     2939269.08   1.93e-02
        266     2939269.10   1.90e-02
        267     2939269.12   1.87e-02
        268     2939269.14   1.83e-02
        269     2939269.15   1.80e-02
        270     2939269.17   1.77e-02
        271     2939269.19   1.74e-02
        272     2939269.21   1.72e-02
        273     2939269.22   1.69e-02
        274     2939269.24   1.66e-02
        275     2939269.26   1.63e-02
        276     2939269.27   1.61e-02
        277     2939269.29   1.58e-02
        278     2939269.30   1.55e-02
        279     2939269.32   1.53e-02
        280     2939269.33   1.50e-02
        281     2939269.35   1.48e-02
        282     2939269.36   1.46e-02
        283     2939269.38   1.43e-02
        284     2939269.39   1.41e-02
        285     2939269.41   1.39e-02
        286     2939269.42   1.37e-02
        287     2939269.43   1.34e-02
        288     2939269.45   1.32e-02
        289     2939269.46   1.30e-02
        290     2939269.47   1.28e-02
        291     2939269.48   1.26e-02
        292     2939269.50   1.24e-02
        293     2939269.51   1.22e-02
        294     2939269.52   1.20e-02
        295     2939269.53   1.18e-02
        296     2939269.54   1.17e-02
        297     2939269.56   1.15e-02
        298     2939269.57   1.13e-02
        299     2939269.58   1.11e-02
        300     2939269.59   1.10e-02
        301     2939269.60   1.08e-02
        302     2939269.61   1.06e-02
        303     2939269.62   1.05e-02
        304     2939269.63   1.03e-02
        305     2939269.64   1.01e-02
        306     2939269.65   9.99e-03
Performing nullcheck...
  Deleting factor 35 decreases objective by 7.07e+03. Factor retained.
  Nullcheck complete. Objective: 2939269.65
Fitting factor/loading 36 (stop when difference in obj. is < 1.00e-02):
  Iteration      Objective   Obj Diff
          1     2946257.38        Inf
          2     2946268.49   1.11e+01
          3     2946271.99   3.50e+00
          4     2946274.30   2.31e+00
          5     2946275.98   1.68e+00
          6     2946277.28   1.30e+00
          7     2946278.34   1.05e+00
          8     2946279.22   8.81e-01
          9     2946279.98   7.59e-01
         10     2946280.64   6.69e-01
         11     2946281.25   6.01e-01
         12     2946281.79   5.48e-01
         13     2946282.30   5.07e-01
         14     2946282.77   4.73e-01
         15     2946283.22   4.44e-01
         16     2946283.64   4.20e-01
         17     2946284.04   3.98e-01
         18     2946284.41   3.77e-01
         19     2946284.77   3.59e-01
         20     2946285.12   3.43e-01
         21     2946285.44   3.28e-01
         22     2946285.76   3.14e-01
         23     2946286.06   3.01e-01
         24     2946286.35   2.89e-01
         25     2946286.62   2.78e-01
         26     2946286.89   2.67e-01
         27     2946287.15   2.57e-01
         28     2946287.40   2.48e-01
         29     2946287.64   2.39e-01
         30     2946287.87   2.31e-01
         31     2946288.09   2.23e-01
         32     2946288.30   2.15e-01
         33     2946288.51   2.08e-01
         34     2946288.71   2.01e-01
         35     2946288.91   1.94e-01
         36     2946289.10   1.88e-01
         37     2946289.28   1.82e-01
         38     2946289.45   1.76e-01
         39     2946289.62   1.71e-01
         40     2946289.79   1.66e-01
         41     2946289.95   1.60e-01
         42     2946290.11   1.56e-01
         43     2946290.26   1.51e-01
         44     2946290.40   1.47e-01
         45     2946290.55   1.42e-01
         46     2946290.68   1.38e-01
         47     2946290.82   1.35e-01
         48     2946290.95   1.31e-01
         49     2946291.08   1.28e-01
         50     2946291.20   1.25e-01
         51     2946291.32   1.22e-01
         52     2946291.44   1.19e-01
         53     2946291.56   1.16e-01
         54     2946291.67   1.13e-01
         55     2946291.78   1.10e-01
         56     2946291.89   1.08e-01
         57     2946292.00   1.05e-01
         58     2946292.10   1.03e-01
         59     2946292.20   1.01e-01
         60     2946292.30   9.84e-02
         61     2946292.39   9.63e-02
         62     2946292.49   9.41e-02
         63     2946292.58   9.21e-02
         64     2946292.67   9.00e-02
         65     2946292.76   8.81e-02
         66     2946292.84   8.61e-02
         67     2946292.93   8.42e-02
         68     2946293.01   8.23e-02
         69     2946293.09   8.05e-02
         70     2946293.17   7.87e-02
         71     2946293.25   7.69e-02
         72     2946293.32   7.52e-02
         73     2946293.40   7.35e-02
         74     2946293.47   7.18e-02
         75     2946293.54   7.01e-02
         76     2946293.61   6.85e-02
         77     2946293.67   6.68e-02
         78     2946293.74   6.52e-02
         79     2946293.80   6.37e-02
         80     2946293.86   6.21e-02
         81     2946293.92   6.06e-02
         82     2946293.98   5.91e-02
         83     2946294.04   5.76e-02
         84     2946294.10   5.61e-02
         85     2946294.15   5.47e-02
         86     2946294.20   5.33e-02
         87     2946294.26   5.19e-02
         88     2946294.31   5.05e-02
         89     2946294.36   4.92e-02
         90     2946294.40   4.79e-02
         91     2946294.45   4.66e-02
         92     2946294.50   4.54e-02
         93     2946294.54   4.41e-02
         94     2946294.58   4.29e-02
         95     2946294.63   4.17e-02
         96     2946294.67   4.06e-02
         97     2946294.71   3.95e-02
         98     2946294.74   3.84e-02
         99     2946294.78   3.73e-02
        100     2946294.82   3.62e-02
        101     2946294.85   3.52e-02
        102     2946294.89   3.42e-02
        103     2946294.92   3.33e-02
        104     2946294.95   3.23e-02
        105     2946294.98   3.14e-02
        106     2946295.01   3.05e-02
        107     2946295.04   2.96e-02
        108     2946295.07   2.88e-02
        109     2946295.10   2.79e-02
        110     2946295.13   2.71e-02
        111     2946295.15   2.63e-02
        112     2946295.18   2.56e-02
        113     2946295.20   2.48e-02
        114     2946295.23   2.41e-02
        115     2946295.25   2.34e-02
        116     2946295.27   2.27e-02
        117     2946295.30   2.21e-02
        118     2946295.32   2.14e-02
        119     2946295.34   2.08e-02
        120     2946295.36   2.02e-02
        121     2946295.38   1.96e-02
        122     2946295.40   1.91e-02
        123     2946295.42   1.85e-02
        124     2946295.43   1.80e-02
        125     2946295.45   1.75e-02
        126     2946295.47   1.70e-02
        127     2946295.49   1.65e-02
        128     2946295.50   1.60e-02
        129     2946295.52   1.55e-02
        130     2946295.53   1.51e-02
        131     2946295.55   1.46e-02
        132     2946295.56   1.42e-02
        133     2946295.57   1.38e-02
        134     2946295.59   1.34e-02
        135     2946295.60   1.30e-02
        136     2946295.61   1.27e-02
        137     2946295.63   1.23e-02
        138     2946295.64   1.19e-02
        139     2946295.65   1.16e-02
        140     2946295.66   1.13e-02
        141     2946295.67   1.09e-02
        142     2946295.68   1.06e-02
        143     2946295.69   1.03e-02
        144     2946295.70   1.00e-02
        145     2946295.71   9.75e-03
Performing nullcheck...
  Deleting factor 36 decreases objective by 7.03e+03. Factor retained.
  Nullcheck complete. Objective: 2946295.71
Fitting factor/loading 37 (stop when difference in obj. is < 1.00e-02):
  Iteration      Objective   Obj Diff
          1     2953246.86        Inf
          2     2953257.84   1.10e+01
          3     2953261.28   3.44e+00
          4     2953263.60   2.32e+00
          5     2953265.31   1.71e+00
          6     2953266.64   1.33e+00
          7     2953267.71   1.07e+00
          8     2953268.60   8.84e-01
          9     2953269.35   7.48e-01
         10     2953269.99   6.46e-01
         11     2953270.56   5.67e-01
         12     2953271.07   5.06e-01
         13     2953271.52   4.57e-01
         14     2953271.94   4.17e-01
         15     2953272.32   3.85e-01
         16     2953272.68   3.57e-01
         17     2953273.02   3.34e-01
         18     2953273.33   3.15e-01
         19     2953273.63   2.98e-01
         20     2953273.91   2.82e-01
         21     2953274.18   2.69e-01
         22     2953274.44   2.57e-01
         23     2953274.68   2.46e-01
         24     2953274.92   2.36e-01
         25     2953275.15   2.27e-01
         26     2953275.36   2.18e-01
         27     2953275.57   2.10e-01
         28     2953275.78   2.03e-01
         29     2953275.97   1.96e-01
         30     2953276.16   1.89e-01
         31     2953276.34   1.83e-01
         32     2953276.52   1.77e-01
         33     2953276.69   1.72e-01
         34     2953276.86   1.67e-01
         35     2953277.02   1.63e-01
         36     2953277.18   1.58e-01
         37     2953277.34   1.54e-01
         38     2953277.49   1.50e-01
         39     2953277.63   1.46e-01
         40     2953277.77   1.42e-01
         41     2953277.91   1.39e-01
         42     2953278.05   1.36e-01
         43     2953278.18   1.32e-01
         44     2953278.31   1.29e-01
         45     2953278.44   1.26e-01
Warning in verbose_obj_decrease_warning(): An iteration decreased the objective.
This happens occasionally, perhaps due to numeric reasons. You could ignore this
warning, but you might like to check out https://github.com/stephenslab/flashr/
issues/26 for more details.
         46     2953273.40  -5.04e+00
Performing nullcheck...
  Deleting factor 37 decreases objective by 6.98e+03. Factor retained.
  Nullcheck complete. Objective: 2953273.4
Fitting factor/loading 38 (stop when difference in obj. is < 1.00e-02):
  Iteration      Objective   Obj Diff
          1     2960018.90        Inf
          2     2960030.60   1.17e+01
          3     2960035.27   4.68e+00
          4     2960038.95   3.68e+00
          5     2960042.07   3.12e+00
          6     2960044.83   2.76e+00
          7     2960047.32   2.50e+00
          8     2960049.62   2.30e+00
          9     2960051.76   2.14e+00
         10     2960053.78   2.01e+00
         11     2960055.69   1.91e+00
         12     2960057.51   1.82e+00
         13     2960059.25   1.74e+00
         14     2960060.92   1.67e+00
         15     2960062.53   1.61e+00
         16     2960064.08   1.56e+00
         17     2960065.59   1.51e+00
         18     2960067.05   1.46e+00
         19     2960068.46   1.42e+00
         20     2960069.84   1.38e+00
         21     2960071.18   1.34e+00
         22     2960072.48   1.30e+00
         23     2960073.75   1.27e+00
         24     2960074.98   1.24e+00
         25     2960076.19   1.20e+00
         26     2960077.36   1.17e+00
         27     2960078.51   1.14e+00
         28     2960079.62   1.12e+00
         29     2960080.71   1.09e+00
         30     2960081.77   1.06e+00
         31     2960082.81   1.04e+00
         32     2960083.82   1.01e+00
         33     2960084.80   9.84e-01
         34     2960085.76   9.59e-01
         35     2960086.70   9.35e-01
         36     2960087.61   9.11e-01
         37     2960088.50   8.88e-01
         38     2960089.36   8.65e-01
         39     2960090.20   8.43e-01
         40     2960091.02   8.21e-01
         41     2960091.82   7.99e-01
         42     2960092.60   7.78e-01
         43     2960093.36   7.57e-01
         44     2960094.10   7.39e-01
         45     2960094.82   7.22e-01
         46     2960095.53   7.06e-01
         47     2960096.22   6.89e-01
         48     2960096.89   6.74e-01
         49     2960097.55   6.61e-01
         50     2960098.20   6.49e-01
         51     2960098.84   6.37e-01
         52     2960099.46   6.25e-01
         53     2960100.07   6.11e-01
         54     2960100.67   5.93e-01
         55     2960101.24   5.75e-01
         56     2960101.80   5.58e-01
         57     2960102.34   5.41e-01
         58     2960102.86   5.24e-01
         59     2960103.37   5.07e-01
         60     2960103.86   4.88e-01
         61     2960104.33   4.69e-01
         62     2960104.78   4.49e-01
         63     2960105.21   4.29e-01
         64     2960105.62   4.12e-01
         65     2960106.01   3.95e-01
         66     2960106.39   3.75e-01
         67     2960106.74   3.55e-01
         68     2960107.08   3.36e-01
         69     2960107.40   3.19e-01
         70     2960107.70   3.02e-01
         71     2960107.98   2.85e-01
         72     2960108.26   2.71e-01
         73     2960108.51   2.59e-01
         74     2960108.76   2.46e-01
         75     2960108.99   2.33e-01
         76     2960109.21   2.20e-01
         77     2960109.42   2.07e-01
         78     2960109.62   1.96e-01
         79     2960109.80   1.87e-01
         80     2960109.98   1.80e-01
         81     2960110.16   1.73e-01
         82     2960110.32   1.66e-01
         83     2960110.48   1.58e-01
         84     2960110.63   1.51e-01
         85     2960110.78   1.45e-01
         86     2960110.91   1.38e-01
         87     2960111.05   1.32e-01
         88     2960111.17   1.26e-01
         89     2960111.29   1.20e-01
         90     2960111.41   1.14e-01
         91     2960111.52   1.09e-01
         92     2960111.62   1.04e-01
         93     2960111.72   9.91e-02
         94     2960111.81   9.44e-02
         95     2960111.90   8.99e-02
         96     2960111.99   8.55e-02
         97     2960112.07   8.14e-02
         98     2960112.15   7.74e-02
         99     2960112.22   7.35e-02
        100     2960112.29   6.99e-02
        101     2960112.36   6.64e-02
        102     2960112.42   6.30e-02
Warning in verbose_obj_decrease_warning(): An iteration decreased the objective.
This happens occasionally, perhaps due to numeric reasons. You could ignore this
warning, but you might like to check out https://github.com/stephenslab/flashr/
issues/26 for more details.
        103     2960111.64  -7.83e-01
Performing nullcheck...
  Deleting factor 38 decreases objective by 6.84e+03. Factor retained.
  Nullcheck complete. Objective: 2960111.64
Fitting factor/loading 39 (stop when difference in obj. is < 1.00e-02):
  Iteration      Objective   Obj Diff
          1     2967113.54        Inf
          2     2967124.32   1.08e+01
          3     2967128.10   3.78e+00
          4     2967130.88   2.78e+00
          5     2967133.06   2.18e+00
          6     2967134.81   1.75e+00
          7     2967136.24   1.43e+00
          8     2967137.43   1.19e+00
          9     2967138.43   9.96e-01
         10     2967139.27   8.38e-01
         11     2967139.98   7.10e-01
Warning in verbose_obj_decrease_warning(): An iteration decreased the objective.
This happens occasionally, perhaps due to numeric reasons. You could ignore this
warning, but you might like to check out https://github.com/stephenslab/flashr/
issues/26 for more details.
         12     2967137.89  -2.09e+00
Performing nullcheck...
  Deleting factor 39 decreases objective by 7.03e+03. Factor retained.
  Nullcheck complete. Objective: 2967137.89
Fitting factor/loading 40 (stop when difference in obj. is < 1.00e-02):
  Iteration      Objective   Obj Diff
          1     2973721.21        Inf
          2     2973734.86   1.37e+01
          3     2973740.65   5.78e+00
          4     2973745.21   4.56e+00
          5     2973749.10   3.89e+00
          6     2973752.57   3.47e+00
          7     2973755.76   3.19e+00
          8     2973758.74   2.98e+00
          9     2973761.58   2.84e+00
         10     2973764.30   2.72e+00
         11     2973766.94   2.64e+00
         12     2973769.51   2.57e+00
         13     2973772.03   2.52e+00
         14     2973774.50   2.48e+00
         15     2973776.94   2.44e+00
         16     2973779.36   2.42e+00
         17     2973781.75   2.39e+00
         18     2973784.13   2.38e+00
         19     2973786.49   2.36e+00
         20     2973788.83   2.35e+00
         21     2973791.17   2.34e+00
         22     2973793.50   2.33e+00
         23     2973795.81   2.32e+00
         24     2973798.12   2.31e+00
         25     2973800.42   2.30e+00
         26     2973802.71   2.29e+00
         27     2973805.00   2.28e+00
         28     2973807.27   2.27e+00
         29     2973809.54   2.27e+00
         30     2973811.79   2.26e+00
         31     2973814.04   2.25e+00
         32     2973816.28   2.24e+00
         33     2973818.50   2.22e+00
         34     2973820.71   2.21e+00
         35     2973822.92   2.20e+00
         36     2973825.09   2.17e+00
         37     2973827.25   2.16e+00
         38     2973829.37   2.13e+00
         39     2973831.48   2.11e+00
         40     2973833.57   2.09e+00
         41     2973835.64   2.07e+00
         42     2973837.70   2.05e+00
         43     2973839.73   2.03e+00
         44     2973841.74   2.01e+00
         45     2973843.74   1.99e+00
         46     2973845.71   1.97e+00
         47     2973847.66   1.95e+00
         48     2973849.59   1.93e+00
         49     2973851.50   1.91e+00
         50     2973853.38   1.89e+00
         51     2973855.25   1.86e+00
         52     2973857.09   1.84e+00
         53     2973858.91   1.82e+00
         54     2973860.71   1.80e+00
         55     2973862.49   1.78e+00
         56     2973864.24   1.75e+00
         57     2973865.97   1.73e+00
         58     2973867.68   1.71e+00
         59     2973869.37   1.69e+00
         60     2973871.03   1.67e+00
         61     2973872.68   1.64e+00
         62     2973874.30   1.62e+00
         63     2973875.90   1.60e+00
         64     2973877.47   1.58e+00
         65     2973879.03   1.56e+00
         66     2973880.56   1.53e+00
         67     2973882.08   1.51e+00
         68     2973883.57   1.49e+00
         69     2973885.03   1.47e+00
         70     2973886.48   1.45e+00
         71     2973887.91   1.43e+00
         72     2973889.31   1.40e+00
         73     2973890.70   1.38e+00
         74     2973892.06   1.36e+00
         75     2973893.40   1.34e+00
         76     2973894.72   1.32e+00
         77     2973896.02   1.30e+00
         78     2973897.29   1.28e+00
         79     2973898.55   1.26e+00
         80     2973899.78   1.23e+00
         81     2973900.99   1.21e+00
         82     2973902.19   1.19e+00
         83     2973903.35   1.17e+00
         84     2973904.50   1.15e+00
         85     2973905.63   1.13e+00
         86     2973906.73   1.10e+00
         87     2973907.81   1.08e+00
         88     2973908.87   1.06e+00
         89     2973909.88   1.01e+00
         90     2973910.85   9.70e-01
         91     2973911.65   7.94e-01
         92     2973912.35   7.00e-01
         93     2973913.08   7.35e-01
         94     2973913.76   6.78e-01
         95     2973914.39   6.31e-01
         96     2973914.97   5.81e-01
         97     2973915.50   5.28e-01
         98     2973915.98   4.75e-01
         99     2973916.40   4.22e-01
        100     2973916.77   3.69e-01
        101     2973917.08   3.16e-01
        102     2973917.35   2.63e-01
        103     2973917.56   2.11e-01
        104     2973917.71   1.58e-01
        105     2973917.82   1.07e-01
        106     2973917.88   5.55e-02
        107     2973919.76   1.88e+00
        108     2973920.08   3.22e-01
        109     2973922.76   2.68e+00
        110     2973923.18   4.21e-01
        111     2973923.55   3.73e-01
        112     2973923.88   3.27e-01
        113     2973924.17   2.98e-01
        114     2973924.45   2.75e-01
        115     2973924.71   2.57e-01
        116     2973924.95   2.41e-01
        117     2973925.17   2.26e-01
        118     2973925.39   2.13e-01
        119     2973925.59   2.01e-01
        120     2973925.78   1.90e-01
        121     2973925.96   1.79e-01
        122     2973926.12   1.70e-01
        123     2973926.29   1.61e-01
        124     2973926.44   1.52e-01
        125     2973926.58   1.45e-01
        126     2973926.72   1.37e-01
        127     2973926.85   1.31e-01
        128     2973926.98   1.25e-01
        129     2973927.09   1.19e-01
        130     2973927.21   1.14e-01
        131     2973927.32   1.09e-01
        132     2973927.42   1.04e-01
        133     2973927.52   9.98e-02
        134     2973927.62   9.59e-02
        135     2973927.71   9.23e-02
        136     2973927.80   8.90e-02
        137     2973927.88   8.59e-02
        138     2973927.97   8.31e-02
        139     2973928.05   8.04e-02
        140     2973928.12   7.80e-02
        141     2973928.20   7.58e-02
        142     2973928.27   7.37e-02
        143     2973928.35   7.19e-02
        144     2973928.42   7.01e-02
        145     2973928.48   6.85e-02
        146     2973928.55   6.71e-02
        147     2973928.62   6.57e-02
        148     2973928.68   6.45e-02
        149     2973928.75   6.34e-02
        150     2973928.81   6.24e-02
        151     2973928.87   6.14e-02
        152     2973928.93   6.06e-02
        153     2973928.99   5.98e-02
        154     2973929.05   5.91e-02
        155     2973929.11   5.84e-02
        156     2973929.16   5.78e-02
        157     2973929.22   5.73e-02
        158     2973929.28   5.68e-02
        159     2973929.33   5.63e-02
        160     2973929.39   5.59e-02
        161     2973929.45   5.55e-02
        162     2973929.50   5.52e-02
        163     2973929.56   5.49e-02
        164     2973929.61   5.46e-02
        165     2973929.67   5.43e-02
        166     2973929.72   5.41e-02
        167     2973929.77   5.39e-02
        168     2973929.85   7.99e-02
        169     2973929.96   1.02e-01
        170     2973930.06   1.08e-01
        171     2973930.17   1.07e-01
        172     2973930.28   1.06e-01
        173     2973930.38   1.05e-01
        174     2973930.48   1.04e-01
        175     2973930.59   1.04e-01
        176     2973930.69   1.03e-01
        177     2973930.79   1.02e-01
        178     2973930.89   1.01e-01
        179     2973930.99   1.00e-01
        180     2973931.09   9.96e-02
        181     2973931.19   9.89e-02
        182     2973931.29   9.81e-02
        183     2973931.39   9.74e-02
        184     2973931.48   9.66e-02
        185     2973931.58   9.59e-02
        186     2973931.68   9.52e-02
        187     2973931.77   9.44e-02
        188     2973931.86   9.37e-02
        189     2973931.96   9.30e-02
        190     2973932.05   9.23e-02
        191     2973932.14   9.16e-02
        192     2973932.23   9.09e-02
        193     2973932.32   9.02e-02
        194     2973932.41   8.95e-02
        195     2973932.50   8.88e-02
        196     2973932.59   8.81e-02
        197     2973932.68   8.74e-02
        198     2973932.76   8.67e-02
        199     2973932.85   8.60e-02
        200     2973932.93   8.53e-02
        201     2973933.02   8.46e-02
        202     2973933.10   8.39e-02
        203     2973933.19   8.32e-02
        204     2973933.27   8.25e-02
        205     2973933.35   8.18e-02
        206     2973933.43   8.11e-02
        207     2973933.51   8.05e-02
        208     2973933.59   7.98e-02
        209     2973933.67   7.91e-02
        210     2973933.75   7.84e-02
        211     2973933.83   7.77e-02
        212     2973933.90   7.70e-02
        213     2973933.98   7.63e-02
        214     2973934.06   7.56e-02
        215     2973934.13   7.50e-02
        216     2973934.20   7.43e-02
        217     2973934.28   7.36e-02
        218     2973934.35   7.29e-02
        219     2973934.42   7.22e-02
        220     2973934.49   7.16e-02
        221     2973934.57   7.09e-02
        222     2973934.64   7.02e-02
        223     2973934.71   6.95e-02
        224     2973934.77   6.88e-02
        225     2973934.84   6.82e-02
        226     2973934.91   6.75e-02
        227     2973934.98   6.68e-02
        228     2973935.04   6.62e-02
        229     2973935.11   6.55e-02
        230     2973935.17   6.48e-02
        231     2973935.24   6.42e-02
        232     2973935.30   6.35e-02
        233     2973935.36   6.29e-02
        234     2973935.43   6.22e-02
        235     2973935.49   6.15e-02
        236     2973935.55   6.09e-02
        237     2973935.61   6.03e-02
        238     2973935.67   5.96e-02
        239     2973935.73   5.90e-02
        240     2973935.79   5.83e-02
        241     2973935.84   5.77e-02
        242     2973935.90   5.71e-02
        243     2973935.96   5.64e-02
        244     2973936.01   5.58e-02
        245     2973936.07   5.52e-02
        246     2973936.12   5.46e-02
        247     2973936.18   5.39e-02
        248     2973936.23   5.33e-02
        249     2973936.28   5.27e-02
        250     2973936.33   5.21e-02
        251     2973936.39   5.15e-02
        252     2973936.44   5.09e-02
        253     2973936.49   5.03e-02
        254     2973936.54   4.97e-02
        255     2973936.59   4.92e-02
        256     2973936.63   4.86e-02
        257     2973936.68   4.80e-02
        258     2973936.73   4.74e-02
        259     2973936.78   4.69e-02
        260     2973936.82   4.63e-02
        261     2973936.87   4.57e-02
        262     2973936.91   4.52e-02
        263     2973936.96   4.46e-02
        264     2973937.00   4.41e-02
        265     2973937.05   4.36e-02
        266     2973937.09   4.30e-02
        267     2973937.13   4.25e-02
        268     2973937.17   4.20e-02
        269     2973937.22   4.14e-02
        270     2973937.26   4.09e-02
        271     2973937.30   4.04e-02
        272     2973937.34   3.99e-02
        273     2973937.38   3.94e-02
        274     2973937.42   3.89e-02
        275     2973937.45   3.84e-02
        276     2973937.49   3.79e-02
        277     2973937.53   3.74e-02
        278     2973937.57   3.70e-02
        279     2973937.60   3.65e-02
        280     2973937.64   3.60e-02
        281     2973937.67   3.56e-02
        282     2973937.71   3.51e-02
        283     2973937.74   3.46e-02
        284     2973937.78   3.42e-02
        285     2973937.81   3.37e-02
        286     2973937.84   3.33e-02
        287     2973937.88   3.29e-02
        288     2973937.91   3.24e-02
        289     2973937.94   3.20e-02
        290     2973937.97   3.16e-02
        291     2973938.01   3.12e-02
        292     2973938.04   3.08e-02
        293     2973938.07   3.04e-02
        294     2973938.10   3.00e-02
        295     2973938.13   2.96e-02
        296     2973938.15   2.92e-02
        297     2973938.18   2.88e-02
        298     2973938.21   2.84e-02
        299     2973938.24   2.80e-02
        300     2973938.27   2.76e-02
        301     2973938.29   2.73e-02
        302     2973938.32   2.69e-02
        303     2973938.35   2.65e-02
        304     2973938.37   2.62e-02
        305     2973938.40   2.58e-02
        306     2973938.43   2.55e-02
        307     2973938.45   2.51e-02
        308     2973938.48   2.48e-02
        309     2973938.50   2.44e-02
        310     2973938.52   2.41e-02
        311     2973938.55   2.38e-02
        312     2973938.57   2.35e-02
        313     2973938.59   2.31e-02
        314     2973938.62   2.28e-02
        315     2973938.64   2.25e-02
        316     2973938.66   2.22e-02
        317     2973938.68   2.19e-02
        318     2973938.71   2.16e-02
        319     2973938.73   2.13e-02
        320     2973938.75   2.10e-02
        321     2973938.77   2.07e-02
        322     2973938.79   2.04e-02
        323     2973938.81   2.02e-02
        324     2973938.83   1.99e-02
        325     2973938.85   1.96e-02
        326     2973938.87   1.93e-02
        327     2973938.89   1.91e-02
        328     2973938.91   1.88e-02
        329     2973938.92   1.86e-02
        330     2973938.94   1.83e-02
        331     2973938.96   1.80e-02
        332     2973938.98   1.78e-02
        333     2973939.00   1.76e-02
        334     2973939.01   1.73e-02
        335     2973939.03   1.71e-02
        336     2973939.05   1.68e-02
        337     2973939.06   1.66e-02
        338     2973939.08   1.64e-02
        339     2973939.10   1.61e-02
        340     2973939.11   1.59e-02
        341     2973939.13   1.57e-02
        342     2973939.14   1.55e-02
        343     2973939.16   1.53e-02
        344     2973939.17   1.51e-02
        345     2973939.19   1.49e-02
        346     2973939.20   1.46e-02
        347     2973939.22   1.44e-02
        348     2973939.23   1.42e-02
        349     2973939.25   1.40e-02
        350     2973939.26   1.39e-02
        351     2973939.27   1.37e-02
        352     2973939.29   1.35e-02
        353     2973939.30   1.33e-02
        354     2973939.31   1.31e-02
        355     2973939.33   1.29e-02
        356     2973939.34   1.27e-02
        357     2973939.35   1.26e-02
        358     2973939.36   1.24e-02
        359     2973939.38   1.22e-02
        360     2973939.39   1.21e-02
        361     2973939.40   1.19e-02
        362     2973939.41   1.17e-02
        363     2973939.42   1.16e-02
        364     2973939.44   1.14e-02
        365     2973939.45   1.12e-02
        366     2973939.46   1.11e-02
        367     2973939.47   1.09e-02
        368     2973939.48   1.08e-02
        369     2973939.49   1.06e-02
        370     2973939.50   1.05e-02
        371     2973939.51   1.03e-02
        372     2973939.52   1.02e-02
        373     2973939.53   1.01e-02
        374     2973939.54   9.91e-03
Performing nullcheck...
  Deleting factor 40 decreases objective by 6.80e+03. Factor retained.
  Nullcheck complete. Objective: 2973939.54
Fitting factor/loading 41 (stop when difference in obj. is < 1.00e-02):
  Iteration      Objective   Obj Diff
          1     2980464.35        Inf
          2     2980476.67   1.23e+01
          3     2980479.25   2.58e+00
          4     2980483.76   4.51e+00
          5     2980484.69   9.33e-01
          6     2980491.41   6.71e+00
          7     2980494.76   3.36e+00
          8     2980498.03   3.27e+00
          9     2980501.13   3.10e+00
         10     2980506.81   5.68e+00
         11     2980509.93   3.12e+00
         12     2980513.00   3.07e+00
         13     2980516.04   3.04e+00
         14     2980519.06   3.02e+00
         15     2980522.07   3.00e+00
         16     2980525.06   2.99e+00
         17     2980528.05   2.99e+00
         18     2980531.03   2.98e+00
         19     2980534.00   2.98e+00
         20     2980536.98   2.98e+00
         21     2980539.95   2.97e+00
         22     2980542.93   2.97e+00
         23     2980545.90   2.97e+00
         24     2980548.88   2.98e+00
         25     2980551.85   2.98e+00
         26     2980554.83   2.98e+00
         27     2980557.82   2.98e+00
         28     2980560.81   3.00e+00
         29     2980563.83   3.01e+00
         30     2980566.86   3.03e+00
         31     2980569.92   3.06e+00
         32     2980573.00   3.08e+00
         33     2980576.10   3.10e+00
         34     2980579.22   3.12e+00
         35     2980582.30   3.09e+00
         36     2980585.33   3.03e+00
         37     2980588.32   2.99e+00
         38     2980591.27   2.95e+00
         39     2980594.16   2.89e+00
         40     2980596.98   2.83e+00
         41     2980599.74   2.76e+00
         42     2980602.43   2.68e+00
         43     2980605.03   2.61e+00
         44     2980607.56   2.53e+00
         45     2980610.01   2.45e+00
         46     2980612.38   2.37e+00
         47     2980614.67   2.29e+00
         48     2980616.89   2.22e+00
         49     2980619.04   2.15e+00
         50     2980621.12   2.08e+00
         51     2980623.13   2.01e+00
         52     2980625.08   1.95e+00
         53     2980626.96   1.88e+00
         54     2980628.78   1.82e+00
         55     2980630.54   1.76e+00
         56     2980632.25   1.70e+00
         57     2980633.89   1.64e+00
         58     2980635.48   1.59e+00
         59     2980637.01   1.53e+00
         60     2980638.48   1.48e+00
         61     2980639.90   1.42e+00
         62     2980641.27   1.37e+00
         63     2980642.59   1.31e+00
         64     2980643.85   1.26e+00
         65     2980645.06   1.21e+00
         66     2980646.23   1.16e+00
         67     2980647.34   1.12e+00
         68     2980648.42   1.07e+00
         69     2980649.45   1.03e+00
         70     2980650.44   9.90e-01
         71     2980651.39   9.51e-01
         72     2980652.30   9.14e-01
         73     2980653.18   8.79e-01
         74     2980654.03   8.46e-01
         75     2980654.84   8.15e-01
         76     2980655.63   7.85e-01
         77     2980656.39   7.57e-01
         78     2980657.12   7.31e-01
         79     2980657.83   7.09e-01
         80     2980658.52   6.90e-01
         81     2980659.19   6.71e-01
         82     2980659.84   6.54e-01
         83     2980660.48   6.37e-01
         84     2980661.10   6.20e-01
         85     2980661.70   6.04e-01
         86     2980662.29   5.88e-01
         87     2980662.86   5.72e-01
         88     2980663.42   5.56e-01
         89     2980663.96   5.40e-01
         90     2980664.48   5.24e-01
         91     2980664.99   5.05e-01
         92     2980665.47   4.84e-01
         93     2980665.93   4.63e-01
         94     2980666.38   4.43e-01
         95     2980666.80   4.24e-01
         96     2980667.21   4.06e-01
         97     2980667.60   3.89e-01
         98     2980667.97   3.73e-01
         99     2980668.33   3.57e-01
        100     2980668.67   3.42e-01
        101     2980669.00   3.28e-01
        102     2980669.31   3.14e-01
        103     2980669.61   3.01e-01
        104     2980669.90   2.89e-01
        105     2980670.18   2.77e-01
        106     2980670.44   2.66e-01
        107     2980670.70   2.55e-01
        108     2980670.94   2.44e-01
        109     2980671.18   2.34e-01
        110     2980671.40   2.25e-01
        111     2980671.62   2.16e-01
        112     2980671.83   2.07e-01
        113     2980672.02   1.99e-01
        114     2980672.22   1.91e-01
        115     2980672.40   1.83e-01
        116     2980672.57   1.76e-01
        117     2980672.74   1.69e-01
        118     2980672.91   1.62e-01
        119     2980673.06   1.56e-01
        120     2980673.21   1.50e-01
        121     2980673.36   1.44e-01
        122     2980673.49   1.38e-01
        123     2980673.63   1.33e-01
        124     2980673.75   1.28e-01
        125     2980673.88   1.23e-01
        126     2980674.00   1.18e-01
        127     2980674.11   1.14e-01
        128     2980674.22   1.10e-01
        129     2980674.33   1.06e-01
        130     2980674.43   1.02e-01
        131     2980674.53   9.79e-02
        132     2980674.62   9.43e-02
        133     2980674.71   9.08e-02
        134     2980674.80   8.75e-02
        135     2980674.88   8.43e-02
        136     2980674.96   8.13e-02
        137     2980675.04   7.84e-02
        138     2980675.12   7.56e-02
        139     2980675.19   7.29e-02
        140     2980675.26   7.03e-02
        141     2980675.33   6.78e-02
        142     2980675.39   6.55e-02
        143     2980675.46   6.32e-02
        144     2980675.52   6.10e-02
        145     2980675.58   5.90e-02
        146     2980675.63   5.69e-02
        147     2980675.69   5.50e-02
        148     2980675.74   5.32e-02
        149     2980675.79   5.14e-02
        150     2980675.84   4.97e-02
        151     2980675.89   4.81e-02
        152     2980675.94   4.65e-02
        153     2980675.98   4.50e-02
        154     2980676.03   4.35e-02
        155     2980676.07   4.21e-02
        156     2980676.11   4.08e-02
        157     2980676.15   3.95e-02
        158     2980676.19   3.82e-02
        159     2980676.22   3.70e-02
        160     2980676.26   3.55e-02
        161     2980676.29   3.41e-02
        162     2980676.33   3.30e-02
        163     2980676.36   3.20e-02
        164     2980676.39   3.11e-02
        165     2980676.42   3.02e-02
        166     2980676.45   2.86e-02
        167     2980676.48   2.73e-02
        168     2980676.50   2.65e-02
        169     2980676.53   2.57e-02
        170     2980676.55   2.50e-02
        171     2980676.58   2.43e-02
        172     2980676.60   2.36e-02
        173     2980676.62   2.29e-02
        174     2980676.65   2.23e-02
        175     2980676.67   2.16e-02
        176     2980676.69   2.10e-02
        177     2980676.71   2.05e-02
        178     2980676.73   1.99e-02
        179     2980676.75   1.93e-02
        180     2980676.77   1.88e-02
        181     2980676.79   1.83e-02
        182     2980676.80   1.78e-02
        183     2980676.82   1.73e-02
        184     2980676.84   1.69e-02
        185     2980676.85   1.65e-02
        186     2980676.87   1.60e-02
        187     2980676.89   1.56e-02
        188     2980676.90   1.52e-02
        189     2980676.92   1.48e-02
        190     2980676.93   1.45e-02
        191     2980676.94   1.41e-02
        192     2980676.96   1.37e-02
        193     2980676.97   1.34e-02
        194     2980676.98   1.31e-02
        195     2980677.00   1.28e-02
        196     2980677.01   1.24e-02
        197     2980677.02   1.21e-02
        198     2980677.03   1.18e-02
        199     2980677.05   1.16e-02
        200     2980677.06   1.13e-02
        201     2980677.07   1.10e-02
        202     2980677.08   1.08e-02
        203     2980677.09   1.05e-02
        204     2980677.10   1.03e-02
        205     2980677.11   1.00e-02
        206     2980677.12   9.81e-03
Performing nullcheck...
  Deleting factor 41 decreases objective by 6.74e+03. Factor retained.
  Nullcheck complete. Objective: 2980677.12
Fitting factor/loading 42 (stop when difference in obj. is < 1.00e-02):
  Iteration      Objective   Obj Diff
          1     2987385.55        Inf
          2     2987393.80   8.25e+00
          3     2987400.00   6.20e+00
          4     2987402.30   2.30e+00
          5     2987403.99   1.69e+00
          6     2987405.29   1.30e+00
          7     2987406.34   1.04e+00
          8     2987407.19   8.56e-01
          9     2987407.91   7.14e-01
         10     2987408.51   6.04e-01
         11     2987409.03   5.15e-01
         12     2987409.47   4.44e-01
         13     2987409.86   3.84e-01
Warning in verbose_obj_decrease_warning(): An iteration decreased the objective.
This happens occasionally, perhaps due to numeric reasons. You could ignore this
warning, but you might like to check out https://github.com/stephenslab/flashr/
issues/26 for more details.
         14     2987407.42  -2.43e+00
Performing nullcheck...
  Deleting factor 42 decreases objective by 6.73e+03. Factor retained.
  Nullcheck complete. Objective: 2987407.42
Fitting factor/loading 43 (stop when difference in obj. is < 1.00e-02):
  Iteration      Objective   Obj Diff
          1     2993970.18        Inf
          2     2993981.58   1.14e+01
          3     2993986.65   5.08e+00
          4     2993991.07   4.42e+00
          5     2993994.58   3.51e+00
          6     2993997.44   2.85e+00
          7     2993999.80   2.37e+00
          8     2994001.80   1.99e+00
          9     2994003.50   1.70e+00
         10     2994004.97   1.47e+00
         11     2994006.25   1.28e+00
         12     2994007.38   1.12e+00
         13     2994008.37   9.92e-01
         14     2994009.26   8.89e-01
         15     2994010.05   7.91e-01
         16     2994010.75   7.04e-01
         17     2994011.38   6.31e-01
         18     2994011.95   5.69e-01
         19     2994012.47   5.14e-01
         20     2994012.93   4.67e-01
         21     2994013.36   4.25e-01
         22     2994013.74   3.87e-01
         23     2994014.10   3.54e-01
         24     2994014.42   3.23e-01
         25     2994014.72   2.96e-01
         26     2994014.99   2.72e-01
         27     2994015.24   2.50e-01
         28     2994015.47   2.30e-01
         29     2994015.68   2.12e-01
         30     2994015.88   1.95e-01
         31     2994016.06   1.80e-01
         32     2994016.22   1.67e-01
         33     2994016.38   1.54e-01
         34     2994016.52   1.43e-01
         35     2994016.65   1.32e-01
         36     2994016.77   1.23e-01
         37     2994016.89   1.14e-01
         38     2994016.99   1.06e-01
         39     2994017.09   9.85e-02
         40     2994017.18   9.16e-02
         41     2994017.27   8.53e-02
         42     2994017.35   7.95e-02
         43     2994017.41   6.26e-02
         44     2994017.44   3.30e-02
         45     2994017.49   4.61e-02
         46     2994017.53   4.06e-02
         47     2994017.57   3.88e-02
         48     2994017.61   3.59e-02
         49     2994017.64   3.26e-02
         50     2994017.67   2.92e-02
         51     2994017.69   2.59e-02
         52     2994017.72   2.26e-02
         53     2994017.74   1.96e-02
         54     2994017.75   1.66e-02
         55     2994017.77   1.38e-02
         56     2994017.78   1.12e-02
         57     2994017.79   8.63e-03
Performing nullcheck...
  Deleting factor 43 decreases objective by 6.61e+03. Factor retained.
  Nullcheck complete. Objective: 2994017.79
Fitting factor/loading 44 (stop when difference in obj. is < 1.00e-02):
  Iteration      Objective   Obj Diff
          1     3000600.70        Inf
          2     3000611.48   1.08e+01
          3     3000615.16   3.68e+00
          4     3000617.95   2.79e+00
          5     3000620.26   2.31e+00
          6     3000622.25   2.00e+00
          7     3000624.03   1.77e+00
          8     3000625.63   1.60e+00
          9     3000627.10   1.47e+00
         10     3000628.46   1.36e+00
         11     3000629.73   1.26e+00
         12     3000630.91   1.18e+00
         13     3000632.02   1.11e+00
         14     3000633.07   1.05e+00
         15     3000634.07   9.97e-01
         16     3000635.02   9.48e-01
         17     3000635.92   9.05e-01
         18     3000636.79   8.67e-01
         19     3000637.62   8.32e-01
         20     3000638.42   8.01e-01
         21     3000639.20   7.73e-01
         22     3000639.95   7.55e-01
         23     3000640.69   7.38e-01
         24     3000641.41   7.17e-01
         25     3000642.10   6.98e-01
         26     3000642.78   6.80e-01
         27     3000643.45   6.63e-01
         28     3000644.09   6.47e-01
         29     3000644.73   6.32e-01
         30     3000645.34   6.17e-01
         31     3000645.95   6.02e-01
         32     3000646.54   5.96e-01
         33     3000647.13   5.87e-01
         34     3000647.70   5.74e-01
         35     3000648.26   5.60e-01
         36     3000648.82   5.52e-01
         37     3000649.35   5.34e-01
         38     3000649.87   5.21e-01
         39     3000650.38   5.08e-01
         40     3000650.87   4.94e-01
         41     3000651.35   4.81e-01
         42     3000651.82   4.68e-01
         43     3000652.28   4.55e-01
         44     3000652.72   4.42e-01
         45     3000653.15   4.29e-01
         46     3000653.56   4.17e-01
         47     3000653.97   4.04e-01
         48     3000654.36   3.92e-01
         49     3000654.74   3.80e-01
         50     3000655.11   3.68e-01
         51     3000655.47   3.56e-01
         52     3000655.81   3.45e-01
         53     3000656.14   3.34e-01
         54     3000656.47   3.23e-01
         55     3000656.78   3.12e-01
         56     3000657.08   3.01e-01
         57     3000657.37   2.91e-01
         58     3000657.65   2.81e-01
         59     3000657.92   2.71e-01
         60     3000658.18   2.62e-01
         61     3000658.44   2.52e-01
         62     3000658.68   2.43e-01
         63     3000658.91   2.35e-01
         64     3000659.14   2.26e-01
         65     3000659.36   2.18e-01
         66     3000659.57   2.10e-01
         67     3000659.78   2.08e-01
         68     3000660.00   2.27e-01
         69     3000660.22   2.21e-01
         70     3000660.44   2.11e-01
         71     3000660.64   2.02e-01
         72     3000660.83   1.93e-01
         73     3000661.02   1.85e-01
         74     3000661.19   1.76e-01
         75     3000661.36   1.68e-01
         76     3000661.52   1.60e-01
         77     3000661.67   1.53e-01
         78     3000661.82   1.45e-01
         79     3000661.96   1.38e-01
         80     3000662.09   1.32e-01
         81     3000662.21   1.25e-01
         82     3000662.33   1.19e-01
         83     3000662.44   1.13e-01
         84     3000662.55   1.07e-01
         85     3000662.65   1.01e-01
         86     3000662.75   9.57e-02
         87     3000662.84   9.05e-02
         88     3000662.92   8.56e-02
         89     3000663.00   8.09e-02
         90     3000663.08   7.64e-02
         91     3000663.15   7.21e-02
         92     3000663.22   6.80e-02
         93     3000663.29   6.41e-02
         94     3000663.35   6.04e-02
         95     3000663.40   5.69e-02
         96     3000663.46   5.35e-02
         97     3000663.51   5.03e-02
         98     3000663.55   4.73e-02
         99     3000663.60   4.44e-02
        100     3000663.64   4.17e-02
        101     3000663.68   3.91e-02
        102     3000663.72   3.67e-02
        103     3000663.75   3.43e-02
        104     3000663.78   3.21e-02
        105     3000663.81   3.01e-02
        106     3000663.84   2.81e-02
        107     3000663.87   2.63e-02
        108     3000663.89   2.45e-02
        109     3000663.91   2.28e-02
        110     3000663.94   2.13e-02
        111     3000663.96   1.98e-02
        112     3000663.97   1.84e-02
        113     3000663.99   1.71e-02
        114     3000664.01   1.59e-02
        115     3000664.02   1.47e-02
        116     3000664.03   1.36e-02
        117     3000664.05   1.26e-02
        118     3000664.06   1.16e-02
        119     3000664.07   1.07e-02
        120     3000664.08   9.83e-03
Performing nullcheck...
  Deleting factor 44 decreases objective by 6.65e+03. Factor retained.
  Nullcheck complete. Objective: 3000664.08
Fitting factor/loading 45 (stop when difference in obj. is < 1.00e-02):
  Iteration      Objective   Obj Diff
          1     3007180.26        Inf
          2     3007190.98   1.07e+01
          3     3007195.01   4.03e+00
          4     3007198.11   3.10e+00
          5     3007200.66   2.55e+00
          6     3007202.83   2.17e+00
          7     3007204.73   1.90e+00
Warning in verbose_obj_decrease_warning(): An iteration decreased the objective.
This happens occasionally, perhaps due to numeric reasons. You could ignore this
warning, but you might like to check out https://github.com/stephenslab/flashr/
issues/26 for more details.
          8     3007203.73  -1.00e+00
Performing nullcheck...
  Deleting factor 45 decreases objective by 6.54e+03. Factor retained.
  Nullcheck complete. Objective: 3007203.73
Fitting factor/loading 46 (stop when difference in obj. is < 1.00e-02):
  Iteration      Objective   Obj Diff
          1     3013716.16        Inf
          2     3013727.54   1.14e+01
          3     3013731.68   4.15e+00
          4     3013734.83   3.14e+00
          5     3013737.39   2.56e+00
          6     3013739.57   2.18e+00
          7     3013741.48   1.91e+00
          8     3013743.17   1.70e+00
          9     3013744.71   1.54e+00
         10     3013746.12   1.41e+00
         11     3013747.42   1.30e+00
         12     3013748.63   1.21e+00
         13     3013749.76   1.13e+00
         14     3013750.82   1.06e+00
         15     3013751.82   1.00e+00
         16     3013752.77   9.47e-01
         17     3013753.67   8.97e-01
         18     3013754.52   8.52e-01
         19     3013755.33   8.11e-01
         20     3013756.10   7.72e-01
         21     3013756.84   7.37e-01
         22     3013757.54   7.05e-01
         23     3013758.22   6.76e-01
         24     3013758.87   6.48e-01
         25     3013759.49   6.22e-01
         26     3013760.09   5.97e-01
         27     3013760.66   5.73e-01
         28     3013761.21   5.51e-01
         29     3013761.74   5.30e-01
         30     3013762.25   5.09e-01
         31     3013762.74   4.91e-01
         32     3013763.21   4.73e-01
         33     3013763.67   4.56e-01
         34     3013764.11   4.40e-01
         35     3013764.53   4.24e-01
         36     3013764.94   4.10e-01
         37     3013765.34   3.96e-01
         38     3013765.72   3.82e-01
         39     3013766.09   3.69e-01
         40     3013766.45   3.56e-01
         41     3013766.79   3.44e-01
         42     3013767.12   3.32e-01
         43     3013767.44   3.21e-01
         44     3013767.75   3.10e-01
         45     3013768.05   3.00e-01
         46     3013768.34   2.90e-01
         47     3013768.62   2.80e-01
         48     3013768.90   2.71e-01
         49     3013769.16   2.62e-01
         50     3013769.41   2.54e-01
         51     3013769.66   2.46e-01
         52     3013769.89   2.38e-01
         53     3013770.12   2.30e-01
         54     3013770.35   2.23e-01
         55     3013770.56   2.16e-01
         56     3013770.77   2.09e-01
         57     3013770.97   2.02e-01
         58     3013771.17   1.96e-01
         59     3013771.36   1.90e-01
         60     3013771.54   1.84e-01
         61     3013771.72   1.78e-01
         62     3013771.90   1.73e-01
         63     3013772.06   1.67e-01
         64     3013772.23   1.62e-01
         65     3013772.38   1.57e-01
         66     3013772.54   1.52e-01
         67     3013772.68   1.48e-01
         68     3013772.83   1.43e-01
         69     3013772.97   1.39e-01
         70     3013773.10   1.35e-01
         71     3013773.23   1.31e-01
         72     3013773.36   1.27e-01
         73     3013773.48   1.23e-01
         74     3013773.60   1.19e-01
         75     3013773.71   1.15e-01
         76     3013773.83   1.12e-01
         77     3013773.94   1.09e-01
         78     3013774.04   1.05e-01
         79     3013774.14   1.02e-01
         80     3013774.24   9.90e-02
         81     3013774.34   9.60e-02
         82     3013774.43   9.31e-02
         83     3013774.52   9.03e-02
         84     3013774.61   8.76e-02
         85     3013774.69   8.49e-02
         86     3013774.78   8.24e-02
         87     3013774.86   7.99e-02
         88     3013774.93   7.75e-02
         89     3013775.01   7.51e-02
         90     3013775.08   7.29e-02
         91     3013775.15   7.07e-02
         92     3013775.22   6.85e-02
         93     3013775.29   6.64e-02
         94     3013775.35   6.44e-02
         95     3013775.41   6.25e-02
         96     3013775.47   6.06e-02
         97     3013775.53   5.88e-02
         98     3013775.59   5.70e-02
         99     3013775.65   5.53e-02
        100     3013775.70   5.36e-02
        101     3013775.75   5.20e-02
        102     3013775.80   5.04e-02
        103     3013775.85   4.89e-02
        104     3013775.90   4.74e-02
        105     3013775.94   4.59e-02
        106     3013775.99   4.45e-02
        107     3013776.03   4.32e-02
        108     3013776.07   4.19e-02
        109     3013776.11   4.06e-02
        110     3013776.15   3.94e-02
        111     3013776.19   3.82e-02
        112     3013776.23   3.70e-02
        113     3013776.26   3.59e-02
        114     3013776.30   3.48e-02
        115     3013776.33   3.37e-02
        116     3013776.36   3.27e-02
        117     3013776.40   3.17e-02
        118     3013776.43   3.07e-02
        119     3013776.46   2.98e-02
        120     3013776.49   2.88e-02
        121     3013776.51   2.80e-02
        122     3013776.54   2.71e-02
        123     3013776.57   2.63e-02
        124     3013776.59   2.55e-02
        125     3013776.62   2.47e-02
        126     3013776.64   2.39e-02
        127     3013776.66   2.32e-02
        128     3013776.69   2.25e-02
        129     3013776.71   2.18e-02
        130     3013776.73   2.11e-02
        131     3013776.75   2.05e-02
        132     3013776.77   1.98e-02
        133     3013776.79   1.92e-02
        134     3013776.81   1.86e-02
        135     3013776.83   1.80e-02
        136     3013776.84   1.75e-02
        137     3013776.86   1.69e-02
        138     3013776.88   1.64e-02
        139     3013776.89   1.59e-02
        140     3013776.91   1.54e-02
        141     3013776.92   1.49e-02
        142     3013776.94   1.45e-02
        143     3013776.95   1.40e-02
        144     3013776.97   1.36e-02
        145     3013776.98   1.32e-02
        146     3013776.99   1.27e-02
        147     3013777.00   1.23e-02
        148     3013777.02   1.20e-02
        149     3013777.03   1.16e-02
        150     3013777.04   1.12e-02
        151     3013777.05   1.09e-02
        152     3013777.06   1.05e-02
        153     3013777.07   1.02e-02
        154     3013777.08   9.88e-03
Performing nullcheck...
  Deleting factor 46 decreases objective by 6.57e+03. Factor retained.
  Nullcheck complete. Objective: 3013777.08
Fitting factor/loading 47 (stop when difference in obj. is < 1.00e-02):
  Iteration      Objective   Obj Diff
          1     3020197.09        Inf
          2     3020210.20   1.31e+01
          3     3020215.16   4.96e+00
          4     3020218.62   3.46e+00
          5     3020221.31   2.69e+00
          6     3020223.49   2.18e+00
          7     3020225.32   1.83e+00
          8     3020226.87   1.56e+00
          9     3020228.24   1.36e+00
         10     3020229.45   1.21e+00
         11     3020230.52   1.08e+00
         12     3020231.50   9.75e-01
         13     3020232.39   8.89e-01
         14     3020233.20   8.17e-01
         15     3020233.96   7.55e-01
         16     3020234.66   7.02e-01
         17     3020235.32   6.56e-01
         18     3020235.93   6.15e-01
         19     3020236.51   5.79e-01
         20     3020237.06   5.46e-01
         21     3020237.57   5.16e-01
         22     3020238.06   4.89e-01
         23     3020238.53   4.64e-01
         24     3020238.97   4.41e-01
         25     3020239.39   4.20e-01
         26     3020239.79   4.00e-01
         27     3020240.17   3.82e-01
         28     3020240.54   3.65e-01
         29     3020240.88   3.48e-01
         30     3020241.22   3.33e-01
         31     3020241.54   3.19e-01
         32     3020241.84   3.05e-01
         33     3020242.13   2.92e-01
         34     3020242.41   2.80e-01
         35     3020242.68   2.68e-01
         36     3020242.94   2.57e-01
         37     3020243.19   2.47e-01
         38     3020243.42   2.37e-01
         39     3020243.65   2.27e-01
         40     3020243.87   2.18e-01
         41     3020244.08   2.10e-01
         42     3020244.28   2.01e-01
         43     3020244.47   1.93e-01
         44     3020244.66   1.85e-01
         45     3020244.84   1.78e-01
         46     3020245.01   1.71e-01
         47     3020245.17   1.64e-01
         48     3020245.33   1.57e-01
         49     3020245.48   1.51e-01
         50     3020245.62   1.45e-01
         51     3020245.76   1.39e-01
         52     3020245.90   1.33e-01
         53     3020246.02   1.28e-01
         54     3020246.15   1.23e-01
         55     3020246.26   1.18e-01
         56     3020246.38   1.13e-01
         57     3020246.49   1.08e-01
         58     3020246.59   1.04e-01
         59     3020246.69   9.95e-02
         60     3020246.78   9.53e-02
         61     3020246.88   9.14e-02
         62     3020246.96   8.76e-02
         63     3020247.05   8.39e-02
         64     3020247.13   8.04e-02
         65     3020247.20   7.72e-02
         66     3020247.28   7.42e-02
         67     3020247.35   7.13e-02
         68     3020247.42   6.86e-02
         69     3020247.48   6.60e-02
         70     3020247.55   6.34e-02
         71     3020247.61   6.10e-02
         72     3020247.67   5.87e-02
         73     3020247.72   5.61e-02
         74     3020247.78   5.37e-02
         75     3020247.83   5.15e-02
         76     3020247.88   4.96e-02
         77     3020247.93   4.77e-02
         78     3020247.97   4.59e-02
         79     3020248.02   4.41e-02
         80     3020248.06   4.25e-02
         81     3020248.10   4.09e-02
         82     3020248.14   3.93e-02
         83     3020248.18   3.78e-02
         84     3020248.21   3.63e-02
         85     3020248.25   3.46e-02
         86     3020248.28   3.31e-02
         87     3020248.31   3.17e-02
         88     3020248.34   3.03e-02
         89     3020248.37   2.90e-02
         90     3020248.40   2.77e-02
         91     3020248.43   2.65e-02
         92     3020248.45   2.53e-02
         93     3020248.48   2.42e-02
         94     3020248.50   2.31e-02
         95     3020248.52   2.20e-02
         96     3020248.54   2.10e-02
         97     3020248.56   2.00e-02
         98     3020248.58   1.91e-02
         99     3020248.60   1.83e-02
        100     3020248.62   1.74e-02
        101     3020248.63   1.66e-02
        102     3020248.65   1.58e-02
        103     3020248.66   1.51e-02
        104     3020248.68   1.44e-02
        105     3020248.69   1.35e-02
        106     3020248.70   1.28e-02
        107     3020248.72   1.21e-02
        108     3020248.73   1.15e-02
        109     3020248.74   1.09e-02
        110     3020248.75   1.04e-02
        111     3020248.76   9.87e-03
Performing nullcheck...
  Deleting factor 47 decreases objective by 6.47e+03. Factor retained.
  Nullcheck complete. Objective: 3020248.76
Fitting factor/loading 48 (stop when difference in obj. is < 1.00e-02):
  Iteration      Objective   Obj Diff
          1     3026644.80        Inf
          2     3026657.23   1.24e+01
          3     3026661.73   4.50e+00
          4     3026665.02   3.29e+00
          5     3026667.66   2.63e+00
          6     3026669.88   2.22e+00
          7     3026671.81   1.93e+00
          8     3026673.53   1.72e+00
          9     3026675.09   1.56e+00
         10     3026676.52   1.43e+00
         11     3026677.85   1.32e+00
         12     3026679.08   1.24e+00
         13     3026680.24   1.16e+00
         14     3026681.34   1.09e+00
         15     3026682.37   1.04e+00
         16     3026683.36   9.86e-01
         17     3026684.30   9.41e-01
         18     3026685.20   9.01e-01
         19     3026686.07   8.65e-01
         20     3026686.90   8.32e-01
         21     3026687.70   8.02e-01
         22     3026688.47   7.74e-01
         23     3026689.22   7.49e-01
         24     3026689.95   7.25e-01
         25     3026690.65   7.02e-01
         26     3026691.33   6.81e-01
         27     3026691.99   6.61e-01
         28     3026692.63   6.42e-01
         29     3026693.26   6.24e-01
         30     3026693.86   6.06e-01
         31     3026694.45   5.90e-01
         32     3026695.03   5.74e-01
         33     3026695.58   5.58e-01
         34     3026696.13   5.44e-01
         35     3026696.66   5.29e-01
         36     3026697.17   5.12e-01
         37     3026697.66   4.95e-01
         38     3026698.14   4.79e-01
         39     3026698.60   4.63e-01
         40     3026699.05   4.50e-01
         41     3026699.49   4.36e-01
         42     3026699.91   4.24e-01
         43     3026700.33   4.13e-01
         44     3026700.73   4.00e-01
         45     3026701.11   3.86e-01
         46     3026701.49   3.73e-01
         47     3026701.85   3.62e-01
         48     3026702.20   3.48e-01
         49     3026702.53   3.35e-01
         50     3026702.85   3.20e-01
         51     3026703.16   3.06e-01
         52     3026703.45   2.93e-01
         53     3026703.73   2.81e-01
         54     3026704.00   2.69e-01
         55     3026704.26   2.59e-01
         56     3026704.51   2.49e-01
         57     3026704.75   2.40e-01
         58     3026704.98   2.32e-01
         59     3026705.21   2.25e-01
         60     3026705.43   2.19e-01
         61     3026705.64   2.13e-01
         62     3026705.85   2.08e-01
         63     3026706.05   2.03e-01
         64     3026706.25   1.99e-01
         65     3026706.44   1.95e-01
         66     3026706.63   1.90e-01
         67     3026706.82   1.87e-01
         68     3026707.00   1.83e-01
         69     3026707.18   1.80e-01
         70     3026707.36   1.77e-01
         71     3026707.53   1.74e-01
         72     3026707.71   1.72e-01
         73     3026707.88   1.69e-01
         74     3026708.04   1.67e-01
         75     3026708.21   1.65e-01
         76     3026708.37   1.65e-01
         77     3026708.54   1.70e-01
         78     3026708.71   1.67e-01
         79     3026708.87   1.65e-01
         80     3026709.04   1.64e-01
         81     3026709.20   1.65e-01
         82     3026709.37   1.62e-01
         83     3026709.52   1.59e-01
         84     3026709.68   1.56e-01
         85     3026709.83   1.53e-01
         86     3026709.98   1.50e-01
         87     3026710.13   1.48e-01
         88     3026710.28   1.45e-01
         89     3026710.42   1.43e-01
         90     3026710.56   1.40e-01
         91     3026710.70   1.38e-01
         92     3026710.83   1.36e-01
         93     3026710.97   1.33e-01
         94     3026711.10   1.31e-01
         95     3026711.23   1.29e-01
         96     3026711.35   1.26e-01
         97     3026711.48   1.24e-01
         98     3026711.60   1.22e-01
         99     3026711.72   1.20e-01
        100     3026711.84   1.18e-01
        101     3026711.95   1.16e-01
        102     3026712.07   1.14e-01
        103     3026712.18   1.12e-01
        104     3026712.29   1.10e-01
        105     3026712.40   1.08e-01
        106     3026712.50   1.07e-01
        107     3026712.61   1.05e-01
        108     3026712.71   1.03e-01
        109     3026712.81   1.01e-01
        110     3026712.91   9.97e-02
        111     3026713.01   9.80e-02
        112     3026713.11   9.64e-02
        113     3026713.20   9.48e-02
        114     3026713.30   9.32e-02
        115     3026713.39   9.17e-02
        116     3026713.48   9.02e-02
        117     3026713.57   8.87e-02
        118     3026713.65   8.73e-02
        119     3026713.74   8.58e-02
        120     3026713.82   8.44e-02
        121     3026713.91   8.30e-02
        122     3026713.99   8.17e-02
        123     3026714.07   8.03e-02
        124     3026714.15   7.90e-02
        125     3026714.23   7.78e-02
        126     3026714.30   7.65e-02
        127     3026714.38   7.52e-02
        128     3026714.45   7.40e-02
        129     3026714.52   7.28e-02
        130     3026714.60   7.16e-02
        131     3026714.67   7.05e-02
        132     3026714.74   6.93e-02
        133     3026714.80   6.82e-02
        134     3026714.87   6.71e-02
        135     3026714.94   6.60e-02
        136     3026715.00   6.49e-02
        137     3026715.07   6.39e-02
        138     3026715.13   6.29e-02
        139     3026715.19   6.18e-02
        140     3026715.25   6.08e-02
        141     3026715.31   5.99e-02
        142     3026715.37   5.89e-02
        143     3026715.43   5.79e-02
        144     3026715.49   5.70e-02
        145     3026715.54   5.61e-02
        146     3026715.60   5.52e-02
        147     3026715.65   5.43e-02
        148     3026715.70   5.34e-02
        149     3026715.76   5.25e-02
        150     3026715.81   5.17e-02
        151     3026715.86   5.09e-02
        152     3026715.91   5.00e-02
        153     3026715.96   4.92e-02
        154     3026716.01   4.84e-02
        155     3026716.05   4.76e-02
        156     3026716.10   4.69e-02
        157     3026716.15   4.61e-02
        158     3026716.19   4.54e-02
        159     3026716.24   4.46e-02
        160     3026716.28   4.39e-02
        161     3026716.32   4.32e-02
        162     3026716.37   4.25e-02
        163     3026716.41   4.18e-02
        164     3026716.45   4.11e-02
        165     3026716.49   4.05e-02
        166     3026716.53   3.98e-02
        167     3026716.57   3.92e-02
        168     3026716.61   3.85e-02
        169     3026716.65   3.79e-02
        170     3026716.68   3.73e-02
        171     3026716.72   3.67e-02
        172     3026716.76   3.61e-02
        173     3026716.79   3.55e-02
        174     3026716.83   3.49e-02
        175     3026716.86   3.43e-02
        176     3026716.89   3.38e-02
        177     3026716.93   3.32e-02
        178     3026716.96   3.26e-02
        179     3026716.99   3.21e-02
        180     3026717.02   3.16e-02
        181     3026717.06   3.10e-02
        182     3026717.09   3.05e-02
        183     3026717.12   3.00e-02
        184     3026717.15   2.95e-02
        185     3026717.17   2.90e-02
        186     3026717.20   2.85e-02
        187     3026717.23   2.81e-02
        188     3026717.26   2.76e-02
        189     3026717.29   2.71e-02
        190     3026717.31   2.67e-02
        191     3026717.34   2.62e-02
        192     3026717.36   2.58e-02
        193     3026717.39   2.53e-02
        194     3026717.41   2.49e-02
        195     3026717.44   2.45e-02
        196     3026717.46   2.41e-02
        197     3026717.49   2.37e-02
        198     3026717.51   2.33e-02
        199     3026717.53   2.29e-02
        200     3026717.56   2.25e-02
        201     3026717.58   2.21e-02
        202     3026717.60   2.17e-02
        203     3026717.62   2.14e-02
        204     3026717.64   2.10e-02
        205     3026717.66   2.07e-02
        206     3026717.68   2.03e-02
        207     3026717.70   2.00e-02
        208     3026717.72   1.96e-02
        209     3026717.74   1.93e-02
        210     3026717.76   1.90e-02
        211     3026717.78   1.86e-02
        212     3026717.80   1.83e-02
        213     3026717.82   1.80e-02
        214     3026717.83   1.77e-02
        215     3026717.85   1.74e-02
        216     3026717.87   1.71e-02
        217     3026717.88   1.68e-02
        218     3026717.90   1.65e-02
        219     3026717.92   1.62e-02
        220     3026717.93   1.60e-02
        221     3026717.95   1.57e-02
        222     3026717.96   1.54e-02
        223     3026717.98   1.51e-02
        224     3026717.99   1.49e-02
        225     3026718.01   1.46e-02
        226     3026718.02   1.44e-02
        227     3026718.04   1.41e-02
        228     3026718.05   1.39e-02
        229     3026718.06   1.36e-02
        230     3026718.08   1.34e-02
        231     3026718.09   1.32e-02
        232     3026718.10   1.29e-02
        233     3026718.12   1.27e-02
        234     3026718.13   1.25e-02
        235     3026718.14   1.23e-02
        236     3026718.15   1.21e-02
        237     3026718.17   1.19e-02
        238     3026718.18   1.16e-02
        239     3026718.19   1.14e-02
        240     3026718.20   1.12e-02
        241     3026718.21   1.10e-02
        242     3026718.22   1.09e-02
        243     3026718.23   1.07e-02
        244     3026718.24   1.05e-02
        245     3026718.25   1.03e-02
        246     3026718.26   1.01e-02
        247     3026718.27   9.93e-03
Performing nullcheck...
  Deleting factor 48 decreases objective by 6.47e+03. Factor retained.
  Nullcheck complete. Objective: 3026718.27
Fitting factor/loading 49 (stop when difference in obj. is < 1.00e-02):
  Iteration      Objective   Obj Diff
          1     3033096.10        Inf
          2     3033108.72   1.26e+01
          3     3033113.99   5.28e+00
          4     3033118.21   4.22e+00
          5     3033121.78   3.57e+00
          6     3033127.65   5.88e+00
          7     3033130.14   2.49e+00
          8     3033132.39   2.25e+00
          9     3033134.47   2.08e+00
         10     3033136.41   1.94e+00
         11     3033138.23   1.82e+00
         12     3033139.94   1.71e+00
         13     3033141.56   1.61e+00
         14     3033143.08   1.53e+00
         15     3033144.53   1.45e+00
         16     3033145.90   1.37e+00
         17     3033147.21   1.30e+00
         18     3033148.45   1.24e+00
         19     3033149.63   1.18e+00
         20     3033150.75   1.12e+00
         21     3033151.82   1.07e+00
         22     3033152.84   1.02e+00
         23     3033153.81   9.71e-01
         24     3033154.74   9.26e-01
         25     3033155.62   8.82e-01
         26     3033156.46   8.41e-01
         27     3033157.26   8.01e-01
         28     3033158.03   7.64e-01
         29     3033158.75   7.28e-01
         30     3033159.45   6.93e-01
         31     3033160.11   6.61e-01
         32     3033160.74   6.30e-01
         33     3033161.34   6.00e-01
         34     3033161.91   5.71e-01
         35     3033162.45   5.44e-01
         36     3033162.97   5.18e-01
         37     3033163.47   4.94e-01
         38     3033163.94   4.70e-01
         39     3033164.38   4.48e-01
         40     3033164.81   4.26e-01
         41     3033165.22   4.06e-01
         42     3033165.60   3.86e-01
         43     3033165.97   3.68e-01
         44     3033166.32   3.50e-01
         45     3033166.65   3.34e-01
         46     3033166.97   3.18e-01
         47     3033167.27   3.02e-01
         48     3033167.56   2.88e-01
         49     3033167.84   2.74e-01
         50     3033168.10   2.61e-01
         51     3033168.34   2.49e-01
         52     3033168.58   2.37e-01
         53     3033168.81   2.25e-01
         54     3033169.02   2.15e-01
         55     3033169.23   2.05e-01
         56     3033169.42   1.95e-01
         57     3033169.61   1.86e-01
         58     3033169.78   1.77e-01
         59     3033169.95   1.69e-01
         60     3033170.11   1.61e-01
         61     3033170.27   1.53e-01
         62     3033170.41   1.46e-01
         63     3033170.55   1.40e-01
         64     3033170.69   1.33e-01
         65     3033170.81   1.27e-01
         66     3033170.93   1.21e-01
         67     3033171.05   1.16e-01
         68     3033171.16   1.11e-01
         69     3033171.27   1.06e-01
         70     3033171.37   1.01e-01
         71     3033171.46   9.64e-02
         72     3033171.56   9.22e-02
         73     3033171.64   8.81e-02
         74     3033171.73   8.43e-02
         75     3033171.81   8.07e-02
         76     3033171.89   7.72e-02
         77     3033171.96   7.39e-02
         78     3033172.03   7.08e-02
         79     3033172.10   6.78e-02
         80     3033172.16   6.50e-02
         81     3033172.23   6.23e-02
         82     3033172.29   5.97e-02
         83     3033172.34   5.73e-02
         84     3033172.40   5.50e-02
         85     3033172.45   5.28e-02
         86     3033172.50   5.07e-02
         87     3033172.55   4.87e-02
         88     3033172.60   4.68e-02
         89     3033172.64   4.49e-02
         90     3033172.68   4.32e-02
         91     3033172.73   4.16e-02
         92     3033172.77   4.00e-02
         93     3033172.80   3.85e-02
         94     3033172.84   3.71e-02
         95     3033172.88   3.57e-02
         96     3033172.91   3.44e-02
         97     3033172.95   3.32e-02
         98     3033172.98   3.20e-02
         99     3033173.01   3.08e-02
        100     3033173.04   2.97e-02
        101     3033173.07   2.87e-02
        102     3033173.09   2.77e-02
        103     3033173.12   2.68e-02
        104     3033173.15   2.59e-02
        105     3033173.17   2.50e-02
        106     3033173.20   2.42e-02
        107     3033173.22   2.34e-02
        108     3033173.24   2.26e-02
        109     3033173.26   2.19e-02
        110     3033173.28   2.12e-02
        111     3033173.31   2.05e-02
        112     3033173.33   1.98e-02
        113     3033173.34   1.92e-02
        114     3033173.36   1.86e-02
        115     3033173.38   1.80e-02
        116     3033173.40   1.75e-02
        117     3033173.42   1.70e-02
        118     3033173.43   1.65e-02
        119     3033173.45   1.60e-02
        120     3033173.46   1.55e-02
        121     3033173.48   1.50e-02
        122     3033173.49   1.46e-02
        123     3033173.51   1.42e-02
        124     3033173.52   1.38e-02
        125     3033173.53   1.34e-02
        126     3033173.55   1.30e-02
        127     3033173.56   1.27e-02
        128     3033173.57   1.23e-02
        129     3033173.58   1.20e-02
        130     3033173.60   1.16e-02
        131     3033173.61   1.13e-02
        132     3033173.62   1.10e-02
        133     3033173.63   1.07e-02
        134     3033173.64   1.04e-02
        135     3033173.65   1.02e-02
        136     3033173.66   9.90e-03
Performing nullcheck...
  Deleting factor 49 decreases objective by 6.46e+03. Factor retained.
  Nullcheck complete. Objective: 3033173.66
Fitting factor/loading 50 (stop when difference in obj. is < 1.00e-02):
  Iteration      Objective   Obj Diff
          1     3039530.35        Inf
          2     3039539.98   9.63e+00
          3     3039542.25   2.27e+00
          4     3039543.66   1.41e+00
          5     3039544.66   9.96e-01
          6     3039545.41   7.54e-01
          7     3039546.01   5.99e-01
          8     3039546.51   4.93e-01
          9     3039546.92   4.16e-01
         10     3039547.28   3.59e-01
         11     3039547.59   3.14e-01
         12     3039547.87   2.78e-01
         13     3039548.12   2.49e-01
         14     3039548.35   2.25e-01
         15     3039548.55   2.04e-01
         16     3039548.74   1.87e-01
         17     3039548.91   1.72e-01
         18     3039549.07   1.58e-01
         19     3039549.21   1.47e-01
         20     3039549.35   1.36e-01
         21     3039549.48   1.27e-01
         22     3039549.59   1.18e-01
         23     3039549.70   1.10e-01
         24     3039549.81   1.03e-01
         25     3039549.90   9.64e-02
         26     3039549.99   9.04e-02
         27     3039550.08   8.48e-02
         28     3039550.16   7.96e-02
         29     3039550.23   7.48e-02
         30     3039550.30   7.04e-02
         31     3039550.37   6.62e-02
         32     3039550.43   6.24e-02
         33     3039550.49   5.88e-02
         34     3039550.55   5.54e-02
         35     3039550.60   5.23e-02
         36     3039550.65   4.93e-02
         37     3039550.70   4.65e-02
         38     3039550.74   4.40e-02
         39     3039550.78   4.15e-02
         40     3039550.82   3.92e-02
         41     3039550.86   3.71e-02
         42     3039550.89   3.51e-02
         43     3039550.93   3.32e-02
         44     3039550.96   3.14e-02
         45     3039550.99   2.97e-02
         46     3039551.01   2.82e-02
         47     3039551.04   2.67e-02
         48     3039551.07   2.53e-02
         49     3039551.09   2.40e-02
         50     3039551.11   2.27e-02
         51     3039551.14   2.16e-02
         52     3039551.16   2.05e-02
         53     3039551.17   1.94e-02
         54     3039551.19   1.84e-02
         55     3039551.21   1.75e-02
         56     3039551.23   1.66e-02
         57     3039551.24   1.58e-02
         58     3039551.26   1.50e-02
         59     3039551.27   1.42e-02
         60     3039551.29   1.35e-02
         61     3039551.30   1.29e-02
         62     3039551.31   1.22e-02
         63     3039551.32   1.17e-02
         64     3039551.33   1.11e-02
         65     3039551.34   1.05e-02
         66     3039551.35   1.00e-02
         67     3039551.36   9.56e-03
Performing nullcheck...
  Deleting factor 50 decreases objective by 6.38e+03. Factor retained.
  Nullcheck complete. Objective: 3039551.36
par(mfrow=c(4,4))
par(mai=rep(0.1,4))
for(i in 1:16){
  plot(Scell.flash$ldf$l[,i],main=paste0(i))
}


sessionInfo()
R version 4.1.0 Patched (2021-07-20 r80657)
Platform: aarch64-apple-darwin20 (64-bit)
Running under: macOS Big Sur 11.5

Matrix products: default
BLAS:   /Library/Frameworks/R.framework/Versions/4.1-arm64/Resources/lib/libRblas.0.dylib
LAPACK: /Library/Frameworks/R.framework/Versions/4.1-arm64/Resources/lib/libRlapack.dylib

locale:
[1] en_US.UTF-8/en_US.UTF-8/en_US.UTF-8/C/en_US.UTF-8/en_US.UTF-8

attached base packages:
[1] stats     graphics  grDevices utils     datasets  methods   base     

other attached packages:
[1] flashr_0.6-8

loaded via a namespace (and not attached):
 [1] Rcpp_1.0.7        plyr_1.8.6        pillar_1.6.2      compiler_4.1.0   
 [5] later_1.2.0       git2r_0.28.0      highr_0.9         workflowr_1.6.2  
 [9] tools_4.1.0       digest_0.6.27     gtable_0.3.0      evaluate_0.14    
[13] lifecycle_1.0.0   tibble_3.1.3      lattice_0.20-44   pkgconfig_2.0.3  
[17] rlang_0.4.11      Matrix_1.3-4      yaml_2.2.1        xfun_0.24        
[21] invgamma_1.1      dplyr_1.0.7       stringr_1.4.0     knitr_1.33       
[25] generics_0.1.0    fs_1.5.0          vctrs_0.3.8       tidyselect_1.1.1 
[29] rprojroot_2.0.2   grid_4.1.0        glue_1.4.2        R6_2.5.0         
[33] fansi_0.5.0       rmarkdown_2.9     mixsqp_0.3-43     irlba_2.3.3      
[37] reshape2_1.4.4    purrr_0.3.4       ggplot2_3.3.5     ashr_2.2-51      
[41] magrittr_2.0.1    whisker_0.4       scales_1.1.1      promises_1.2.0.1 
[45] ellipsis_0.3.2    htmltools_0.5.1.1 softImpute_1.4-1  colorspace_2.0-2 
[49] httpuv_1.6.1      utf8_1.2.2        stringi_1.7.3     munsell_0.5.0    
[53] truncnorm_1.0-8   SQUAREM_2021.1    crayon_1.4.1