Last updated: 2019-11-02

Checks: 7 0

Knit directory: misc/analysis/

This reproducible R Markdown analysis was created with workflowr (version 1.4.0). The Checks tab describes the reproducibility checks that were applied when the results were created. The Past versions tab lists the development history.


Great! Since the R Markdown file has been committed to the Git repository, you know the exact version of the code that produced these results.

Great job! The global environment was empty. Objects defined in the global environment can affect the analysis in your R Markdown file in unknown ways. For reproduciblity it’s best to always run the code in an empty environment.

The command set.seed(1) was run prior to running the code in the R Markdown file. Setting a seed ensures that any results that rely on randomness, e.g. subsampling or permutations, are reproducible.

Great job! Recording the operating system, R version, and package versions is critical for reproducibility.

Nice! There were no cached chunks for this analysis, so you can be confident that you successfully produced the results during this run.

Great job! Using relative paths to the files within your workflowr project makes it easier to run your code on other machines.

Great! You are using Git for version control. Tracking code development and connecting the code version to the results is critical for reproducibility. The version displayed above was the version of the Git repository at the time these results were generated.

Note that you need to be careful to ensure that all relevant files for the analysis have been committed to Git prior to generating the results (you can use wflow_publish or wflow_git_commit). workflowr only checks the R Markdown file, but you know if there are other scripts or data files that it depends on. Below is the status of the Git repository when the results were generated:


Ignored files:
    Ignored:    .DS_Store
    Ignored:    .Rhistory
    Ignored:    .Rproj.user/
    Ignored:    analysis/.RData
    Ignored:    analysis/.Rhistory
    Ignored:    analysis/ALStruct_cache/
    Ignored:    data/.Rhistory
    Ignored:    data/pbmc/
    Ignored:    docs/figure/.DS_Store

Untracked files:
    Untracked:  .dropbox
    Untracked:  Icon
    Untracked:  analysis/GTEX-cogaps.Rmd
    Untracked:  analysis/PACS.Rmd
    Untracked:  analysis/SPCAvRP.rmd
    Untracked:  analysis/compare-transformed-models.Rmd
    Untracked:  analysis/cormotif.Rmd
    Untracked:  analysis/cp_ash.Rmd
    Untracked:  analysis/eQTL.perm.rand.pdf
    Untracked:  analysis/eb_prepilot.Rmd
    Untracked:  analysis/flash_test_tree.Rmd
    Untracked:  analysis/ieQTL.perm.rand.pdf
    Untracked:  analysis/m6amash.Rmd
    Untracked:  analysis/mash_bhat_z.Rmd
    Untracked:  analysis/mash_ieqtl_permutations.Rmd
    Untracked:  analysis/mixsqp.Rmd
    Untracked:  analysis/mr_ash_modular.Rmd
    Untracked:  analysis/mr_ash_parameterization.Rmd
    Untracked:  analysis/nejm.Rmd
    Untracked:  analysis/normalize.Rmd
    Untracked:  analysis/pbmc.Rmd
    Untracked:  analysis/poisson_transform.Rmd
    Untracked:  analysis/pseudodata.Rmd
    Untracked:  analysis/ridge_iterative_splitting.Rmd
    Untracked:  analysis/sc_bimodal.Rmd
    Untracked:  analysis/susie_en.Rmd
    Untracked:  analysis/susie_z_investigate.Rmd
    Untracked:  analysis/svd-timing.Rmd
    Untracked:  analysis/temp.Rmd
    Untracked:  analysis/test-figure/
    Untracked:  analysis/test.Rmd
    Untracked:  analysis/test.Rpres
    Untracked:  analysis/test.md
    Untracked:  analysis/test_sparse.Rmd
    Untracked:  analysis/z.txt
    Untracked:  code/multivariate_testfuncs.R
    Untracked:  data/4matthew/
    Untracked:  data/4matthew2/
    Untracked:  data/E-MTAB-2805.processed.1/
    Untracked:  data/ENSG00000156738.Sim_Y2.RDS
    Untracked:  data/GDS5363_full.soft.gz
    Untracked:  data/GSE41265_allGenesTPM.txt
    Untracked:  data/Muscle_Skeletal.ACTN3.pm1Mb.RDS
    Untracked:  data/Thyroid.FMO2.pm1Mb.RDS
    Untracked:  data/bmass.HaemgenRBC2016.MAF01.Vs2.MergedDataSources.200kRanSubset.ChrBPMAFMarkerZScores.vs1.txt.gz
    Untracked:  data/bmass.HaemgenRBC2016.Vs2.NewSNPs.ZScores.hclust.vs1.txt
    Untracked:  data/bmass.HaemgenRBC2016.Vs2.PreviousSNPs.ZScores.hclust.vs1.txt
    Untracked:  data/eb_prepilot/
    Untracked:  data/finemap_data/fmo2.sim/b.txt
    Untracked:  data/finemap_data/fmo2.sim/dap_out.txt
    Untracked:  data/finemap_data/fmo2.sim/dap_out2.txt
    Untracked:  data/finemap_data/fmo2.sim/dap_out2_snp.txt
    Untracked:  data/finemap_data/fmo2.sim/dap_out_snp.txt
    Untracked:  data/finemap_data/fmo2.sim/data
    Untracked:  data/finemap_data/fmo2.sim/fmo2.sim.config
    Untracked:  data/finemap_data/fmo2.sim/fmo2.sim.k
    Untracked:  data/finemap_data/fmo2.sim/fmo2.sim.k4.config
    Untracked:  data/finemap_data/fmo2.sim/fmo2.sim.k4.snp
    Untracked:  data/finemap_data/fmo2.sim/fmo2.sim.ld
    Untracked:  data/finemap_data/fmo2.sim/fmo2.sim.snp
    Untracked:  data/finemap_data/fmo2.sim/fmo2.sim.z
    Untracked:  data/finemap_data/fmo2.sim/pos.txt
    Untracked:  data/logm.csv
    Untracked:  data/m.cd.RDS
    Untracked:  data/m.cdu.old.RDS
    Untracked:  data/m.new.cd.RDS
    Untracked:  data/m.old.cd.RDS
    Untracked:  data/mainbib.bib.old
    Untracked:  data/mat.csv
    Untracked:  data/mat.txt
    Untracked:  data/mat_new.csv
    Untracked:  data/matrix_lik.rds
    Untracked:  data/paintor_data/
    Untracked:  data/temp.txt
    Untracked:  data/y.txt
    Untracked:  data/y_f.txt
    Untracked:  data/zscore_jointLCLs_m6AQTLs_susie_eQTLpruned.rds
    Untracked:  data/zscore_jointLCLs_random.rds
    Untracked:  docs/figure/cp_ash.Rmd/
    Untracked:  docs/figure/eigen.Rmd/
    Untracked:  docs/figure/fmo2.sim.Rmd/
    Untracked:  docs/figure/mr_ash_modular.Rmd/
    Untracked:  docs/figure/newVB.elbo.Rmd/
    Untracked:  docs/figure/poisson_transform.Rmd/
    Untracked:  docs/figure/rbc_zscore_mash2.Rmd/
    Untracked:  docs/figure/rbc_zscore_mash2_analysis.Rmd/
    Untracked:  docs/figure/rbc_zscores.Rmd/
    Untracked:  docs/figure/ridge_iterative_splitting.Rmd/
    Untracked:  docs/figure/susie_en.Rmd/
    Untracked:  docs/figure/test.Rmd/
    Untracked:  docs/trend_files/
    Untracked:  docs/z.txt
    Untracked:  explore_udi.R
    Untracked:  output/fit.k10.rds
    Untracked:  output/fit.varbvs.RDS
    Untracked:  output/glmnet.fit.RDS
    Untracked:  output/test.bv.txt
    Untracked:  output/test.gamma.txt
    Untracked:  output/test.hyp.txt
    Untracked:  output/test.log.txt
    Untracked:  output/test.param.txt
    Untracked:  output/test2.bv.txt
    Untracked:  output/test2.gamma.txt
    Untracked:  output/test2.hyp.txt
    Untracked:  output/test2.log.txt
    Untracked:  output/test2.param.txt
    Untracked:  output/test3.bv.txt
    Untracked:  output/test3.gamma.txt
    Untracked:  output/test3.hyp.txt
    Untracked:  output/test3.log.txt
    Untracked:  output/test3.param.txt
    Untracked:  output/test4.bv.txt
    Untracked:  output/test4.gamma.txt
    Untracked:  output/test4.hyp.txt
    Untracked:  output/test4.log.txt
    Untracked:  output/test4.param.txt
    Untracked:  output/test5.bv.txt
    Untracked:  output/test5.gamma.txt
    Untracked:  output/test5.hyp.txt
    Untracked:  output/test5.log.txt
    Untracked:  output/test5.param.txt

Unstaged changes:
    Modified:   analysis/minque.Rmd

Note that any generated files, e.g. HTML, png, CSS, etc., are not included in this status report because it is ok for generated content to have uncommitted changes.


These are the previous versions of the R Markdown and HTML files. If you’ve configured a remote Git repository (see ?wflow_git_remote), click on the hyperlinks in the table below to view them.

File Version Author Date Message
Rmd 0e9e766 Matthew Stephens 2019-11-02 workflowr::wflow_publish(“mr.ash.changepoint.Rmd”)
html 15c0630 Matthew Stephens 2019-11-02 Build site.
Rmd a0bc392 Matthew Stephens 2019-11-02 workflowr::wflow_publish(“mr.ash.changepoint.Rmd”)

library("mr.ash.alpha")
library("glmnet")
Loading required package: Matrix
Loading required package: foreach
Loaded glmnet 2.0-18
library("genlasso")
Loading required package: igraph

Attaching package: 'igraph'
The following objects are masked from 'package:stats':

    decompose, spectrum
The following object is masked from 'package:base':

    union

Introduction

I’m going to try the current version of mr.ash.alpha on a changepoint problem for my own interest.

Single changepoint

First simulate data:

set.seed(100)
n = 100
p = n
X = matrix(0,nrow=n,ncol=n)
for(i in 1:n){
  X[i:n,i] = 1
}

btrue = rep(0,n)
btrue[50] = 8 
Y = X %*% btrue + rnorm(n)
plot(Y)
lines(X %*% btrue)

Version Author Date
15c0630 Matthew Stephens 2019-11-02

This works great out of the box:

fit.ma = mr.ash(X,Y)
plot(Y)
lines(X %*% btrue,lwd=1)
lines(predict(fit.ma,X),col=2,lwd=2)

fit.glmnet = glmnet(X,Y)
fit.glmnet.cv = glmnet::cv.glmnet(X,Y)
lines(predict(fit.glmnet.cv,X),col=3,lwd=2)

fit.genlasso = trendfilter(Y,ord=0)
fit.genlasso.cv = cv.trendfilter(fit.genlasso)
Fold 1 ... Fold 2 ... Fold 3 ... Fold 4 ... Fold 5 ... 
lines(fit.genlasso$fit[,which(fit.genlasso.cv$lambda==fit.genlasso.cv$lambda.min)],lwd=2,col=4)

Version Author Date
15c0630 Matthew Stephens 2019-11-02

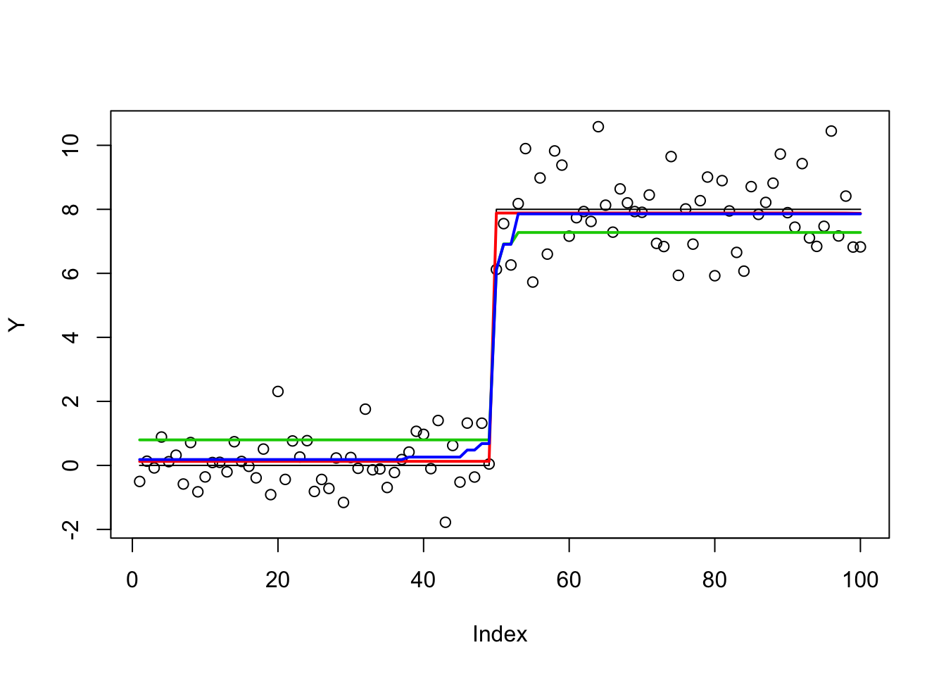
Double changepoint

Now we do a harder case, similar to the Susie paper:

btrue[52] = -8 
Y = X %*% btrue + rnorm(n,0,0.1)
plot(Y)
lines(X %*% btrue)

Version Author Date
15c0630 Matthew Stephens 2019-11-02
fit.ma = mr.ash(X,Y)
plot(Y)
lines(predict(fit.ma,X),col=2)

fit.glmnet = glmnet(X,Y)
fit.glmnet.cv = glmnet::cv.glmnet(X,Y)
lines(predict(fit.glmnet.cv,X),col=3,lwd=2)

fit.genlasso = trendfilter(Y,ord=0)
fit.genlasso.cv = cv.trendfilter(fit.genlasso)
Fold 1 ... Fold 2 ... Fold 3 ... Fold 4 ... Fold 5 ... 
lines(fit.genlasso$fit[,which(fit.genlasso.cv$lambda==fit.genlasso.cv$lambda.min)],lwd=2,col=4)

Version Author Date
15c0630 Matthew Stephens 2019-11-02

It is interesting that glmnet and genlasso give quite different answers. Clearly glmnet is entirely missing the changepoint. If you zoom in you will see that genlasso is overfitting - it is not just getting the single changepoint but fitting the data everywhere!

Also it looks like in this case mr.ash is converging to local optima. (the change is a bit too early…) Here we try warmstarts of mr.ash from genlasso solution, and from truth. However, both give NaN as answers. Not sure why.

b.genlasso  = fit.genlasso$beta[,which(fit.genlasso.cv$lambda==fit.genlasso.cv$lambda.min)]

plot(Y)
lines(b.genlasso)

Version Author Date
15c0630 Matthew Stephens 2019-11-02
fit.ma.warm = mr.ash(X,Y,beta.init = b.genlasso)
fit.ma.warm2 = mr.ash(X,Y,beta.init = btrue)


predict(fit.ma.warm,X)
  [1] NaN NaN NaN NaN NaN NaN NaN NaN NaN NaN NaN NaN NaN NaN NaN NaN NaN
 [18] NaN NaN NaN NaN NaN NaN NaN NaN NaN NaN NaN NaN NaN NaN NaN NaN NaN
 [35] NaN NaN NaN NaN NaN NaN NaN NaN NaN NaN NaN NaN NaN NaN NaN NaN NaN
 [52] NaN NaN NaN NaN NaN NaN NaN NaN NaN NaN NaN NaN NaN NaN NaN NaN NaN
 [69] NaN NaN NaN NaN NaN NaN NaN NaN NaN NaN NaN NaN NaN NaN NaN NaN NaN
 [86] NaN NaN NaN NaN NaN NaN NaN NaN NaN NaN NaN NaN NaN NaN NaN
predict(fit.ma.warm2,X)
  [1] NaN NaN NaN NaN NaN NaN NaN NaN NaN NaN NaN NaN NaN NaN NaN NaN NaN
 [18] NaN NaN NaN NaN NaN NaN NaN NaN NaN NaN NaN NaN NaN NaN NaN NaN NaN
 [35] NaN NaN NaN NaN NaN NaN NaN NaN NaN NaN NaN NaN NaN NaN NaN NaN NaN
 [52] NaN NaN NaN NaN NaN NaN NaN NaN NaN NaN NaN NaN NaN NaN NaN NaN NaN
 [69] NaN NaN NaN NaN NaN NaN NaN NaN NaN NaN NaN NaN NaN NaN NaN NaN NaN
 [86] NaN NaN NaN NaN NaN NaN NaN NaN NaN NaN NaN NaN NaN NaN NaN

sessionInfo()
R version 3.6.0 (2019-04-26)
Platform: x86_64-apple-darwin15.6.0 (64-bit)
Running under: macOS Mojave 10.14.4

Matrix products: default
BLAS:   /Library/Frameworks/R.framework/Versions/3.6/Resources/lib/libRblas.0.dylib
LAPACK: /Library/Frameworks/R.framework/Versions/3.6/Resources/lib/libRlapack.dylib

locale:
[1] en_US.UTF-8/en_US.UTF-8/en_US.UTF-8/C/en_US.UTF-8/en_US.UTF-8

attached base packages:
[1] stats     graphics  grDevices utils     datasets  methods   base     

other attached packages:
[1] genlasso_1.4       igraph_1.2.4.1     glmnet_2.0-18     
[4] foreach_1.4.7      Matrix_1.2-17      mr.ash.alpha_0.1-3

loaded via a namespace (and not attached):
 [1] Rcpp_1.0.2       knitr_1.23       whisker_0.3-2    magrittr_1.5    
 [5] workflowr_1.4.0  lattice_0.20-38  stringr_1.4.0    tools_3.6.0     
 [9] grid_3.6.0       xfun_0.8         git2r_0.26.1     htmltools_0.3.6 
[13] iterators_1.0.12 yaml_2.2.0       rprojroot_1.3-2  digest_0.6.20   
[17] fs_1.3.1         codetools_0.2-16 glue_1.3.1       evaluate_0.14   
[21] rmarkdown_1.14   stringi_1.4.3    compiler_3.6.0   backports_1.1.4 
[25] pkgconfig_2.0.2