Last updated: 2021-07-29
Checks: 7 0
Knit directory: misc/analysis/
This reproducible R Markdown analysis was created with workflowr (version 1.6.2). The Checks tab describes the reproducibility checks that were applied when the results were created. The Past versions tab lists the development history.
Great! Since the R Markdown file has been committed to the Git repository, you know the exact version of the code that produced these results.
Great job! The global environment was empty. Objects defined in the global environment can affect the analysis in your R Markdown file in unknown ways. For reproduciblity it’s best to always run the code in an empty environment.
The command set.seed(1) was run prior to running the code in the R Markdown file. Setting a seed ensures that any results that rely on randomness, e.g. subsampling or permutations, are reproducible.
Great job! Recording the operating system, R version, and package versions is critical for reproducibility.
Nice! There were no cached chunks for this analysis, so you can be confident that you successfully produced the results during this run.
Great job! Using relative paths to the files within your workflowr project makes it easier to run your code on other machines.
Great! You are using Git for version control. Tracking code development and connecting the code version to the results is critical for reproducibility.
The results in this page were generated with repository version ea4a202. See the Past versions tab to see a history of the changes made to the R Markdown and HTML files.
Note that you need to be careful to ensure that all relevant files for the analysis have been committed to Git prior to generating the results (you can use wflow_publish or wflow_git_commit). workflowr only checks the R Markdown file, but you know if there are other scripts or data files that it depends on. Below is the status of the Git repository when the results were generated:
Ignored files:
Ignored: .DS_Store
Ignored: .Rhistory
Ignored: .Rproj.user/
Ignored: analysis/.RData
Ignored: analysis/.Rhistory
Ignored: analysis/ALStruct_cache/
Ignored: analysis/figure/
Ignored: data/.Rhistory
Ignored: data/pbmc/
Untracked files:
Untracked: .dropbox
Untracked: Icon
Untracked: analysis/GHstan.Rmd
Untracked: analysis/GTEX-cogaps.Rmd
Untracked: analysis/PACS.Rmd
Untracked: analysis/Rplot.png
Untracked: analysis/SPCAvRP.rmd
Untracked: analysis/admm_02.Rmd
Untracked: analysis/admm_03.Rmd
Untracked: analysis/compare-transformed-models.Rmd
Untracked: analysis/cormotif.Rmd
Untracked: analysis/cp_ash.Rmd
Untracked: analysis/eQTL.perm.rand.pdf
Untracked: analysis/eb_prepilot.Rmd
Untracked: analysis/eb_var.Rmd
Untracked: analysis/ebpmf1.Rmd
Untracked: analysis/flash_test_tree.Rmd
Untracked: analysis/flash_tree.Rmd
Untracked: analysis/ieQTL.perm.rand.pdf
Untracked: analysis/lasso_em_03.Rmd
Untracked: analysis/m6amash.Rmd
Untracked: analysis/mash_bhat_z.Rmd
Untracked: analysis/mash_ieqtl_permutations.Rmd
Untracked: analysis/mixsqp.Rmd
Untracked: analysis/mr.ash_lasso_init.Rmd
Untracked: analysis/mr.mash.test.Rmd
Untracked: analysis/mr_ash_modular.Rmd
Untracked: analysis/mr_ash_parameterization.Rmd
Untracked: analysis/mr_ash_ridge.Rmd
Untracked: analysis/mv_gaussian_message_passing.Rmd
Untracked: analysis/nejm.Rmd
Untracked: analysis/nmf_bg.Rmd
Untracked: analysis/normal_conditional_on_r2.Rmd
Untracked: analysis/normalize.Rmd
Untracked: analysis/pbmc.Rmd
Untracked: analysis/poisson_transform.Rmd
Untracked: analysis/pseudodata.Rmd
Untracked: analysis/qrnotes.txt
Untracked: analysis/ridge_iterative_02.Rmd
Untracked: analysis/ridge_iterative_splitting.Rmd
Untracked: analysis/samps/
Untracked: analysis/sc_bimodal.Rmd
Untracked: analysis/shrinkage_comparisons_changepoints.Rmd
Untracked: analysis/susie_en.Rmd
Untracked: analysis/susie_z_investigate.Rmd
Untracked: analysis/svd-timing.Rmd
Untracked: analysis/temp.RDS
Untracked: analysis/temp.Rmd
Untracked: analysis/test-figure/
Untracked: analysis/test.Rmd
Untracked: analysis/test.Rpres
Untracked: analysis/test.md
Untracked: analysis/test_qr.R
Untracked: analysis/test_sparse.Rmd
Untracked: analysis/z.txt
Untracked: code/multivariate_testfuncs.R
Untracked: code/rqb.hacked.R
Untracked: data/4matthew/
Untracked: data/4matthew2/
Untracked: data/E-MTAB-2805.processed.1/
Untracked: data/ENSG00000156738.Sim_Y2.RDS
Untracked: data/GDS5363_full.soft.gz
Untracked: data/GSE41265_allGenesTPM.txt
Untracked: data/Muscle_Skeletal.ACTN3.pm1Mb.RDS
Untracked: data/Thyroid.FMO2.pm1Mb.RDS
Untracked: data/bmass.HaemgenRBC2016.MAF01.Vs2.MergedDataSources.200kRanSubset.ChrBPMAFMarkerZScores.vs1.txt.gz
Untracked: data/bmass.HaemgenRBC2016.Vs2.NewSNPs.ZScores.hclust.vs1.txt
Untracked: data/bmass.HaemgenRBC2016.Vs2.PreviousSNPs.ZScores.hclust.vs1.txt
Untracked: data/eb_prepilot/
Untracked: data/finemap_data/fmo2.sim/b.txt
Untracked: data/finemap_data/fmo2.sim/dap_out.txt
Untracked: data/finemap_data/fmo2.sim/dap_out2.txt
Untracked: data/finemap_data/fmo2.sim/dap_out2_snp.txt
Untracked: data/finemap_data/fmo2.sim/dap_out_snp.txt
Untracked: data/finemap_data/fmo2.sim/data
Untracked: data/finemap_data/fmo2.sim/fmo2.sim.config
Untracked: data/finemap_data/fmo2.sim/fmo2.sim.k
Untracked: data/finemap_data/fmo2.sim/fmo2.sim.k4.config
Untracked: data/finemap_data/fmo2.sim/fmo2.sim.k4.snp
Untracked: data/finemap_data/fmo2.sim/fmo2.sim.ld
Untracked: data/finemap_data/fmo2.sim/fmo2.sim.snp
Untracked: data/finemap_data/fmo2.sim/fmo2.sim.z
Untracked: data/finemap_data/fmo2.sim/pos.txt
Untracked: data/logm.csv
Untracked: data/m.cd.RDS
Untracked: data/m.cdu.old.RDS
Untracked: data/m.new.cd.RDS
Untracked: data/m.old.cd.RDS
Untracked: data/mainbib.bib.old
Untracked: data/mat.csv
Untracked: data/mat.txt
Untracked: data/mat_new.csv
Untracked: data/matrix_lik.rds
Untracked: data/paintor_data/
Untracked: data/running_data_chris.csv
Untracked: data/running_data_matthew.csv
Untracked: data/temp.txt
Untracked: data/y.txt
Untracked: data/y_f.txt
Untracked: data/zscore_jointLCLs_m6AQTLs_susie_eQTLpruned.rds
Untracked: data/zscore_jointLCLs_random.rds
Untracked: explore_udi.R
Untracked: output/fit.k10.rds
Untracked: output/fit.varbvs.RDS
Untracked: output/glmnet.fit.RDS
Untracked: output/test.bv.txt
Untracked: output/test.gamma.txt
Untracked: output/test.hyp.txt
Untracked: output/test.log.txt
Untracked: output/test.param.txt
Untracked: output/test2.bv.txt
Untracked: output/test2.gamma.txt
Untracked: output/test2.hyp.txt
Untracked: output/test2.log.txt
Untracked: output/test2.param.txt
Untracked: output/test3.bv.txt
Untracked: output/test3.gamma.txt
Untracked: output/test3.hyp.txt
Untracked: output/test3.log.txt
Untracked: output/test3.param.txt
Untracked: output/test4.bv.txt
Untracked: output/test4.gamma.txt
Untracked: output/test4.hyp.txt
Untracked: output/test4.log.txt
Untracked: output/test4.param.txt
Untracked: output/test5.bv.txt
Untracked: output/test5.gamma.txt
Untracked: output/test5.hyp.txt
Untracked: output/test5.log.txt
Untracked: output/test5.param.txt
Unstaged changes:
Modified: analysis/mr_ash_pen.Rmd
Modified: analysis/susie_flash.Rmd
Note that any generated files, e.g. HTML, png, CSS, etc., are not included in this status report because it is ok for generated content to have uncommitted changes.
These are the previous versions of the repository in which changes were made to the R Markdown (analysis/sinkhorn.Rmd) and HTML (docs/sinkhorn.html) files. If you’ve configured a remote Git repository (see ?wflow_git_remote), click on the hyperlinks in the table below to view the files as they were in that past version.
| File | Version | Author | Date | Message |
|---|---|---|---|---|
| Rmd | ea4a202 | Matthew Stephens | 2021-07-29 | workflowr::wflow_publish(“analysis/sinkhorn.Rmd”) |
| Rmd | 85c84da | Matthew Stephens | 2021-06-12 | add sinkhorn preliminary analysis |
| Rmd | 749bee5 | Matthew Stephens | 2021-06-12 | add sinkhorn preliminary analysis |
I wanted to do some examination of using sinkhorn normalization for count/single cell data, inspired by the talk by B Landa and the preprint https://arxiv.org/abs/2103.13840
First I wanted to compare the sinkhorn normalization to SVD and row/column sums.
set.seed(1)
p = 200
n = 100
mu = matrix(rexp(n*p,1))
X = matrix(rpois(n*p,mu), nrow=n,ncol=p)
sinkhorn = function(X,niter = 10){
c = colMeans(X)
#find row and column scalings r and c
for(i in 1:niter){
r = 1/rowMeans(t(t(X)*c))
c = 1/colMeans(X*r)
}
Xnorm = t(t(X*sqrt(r))*sqrt(c))
return(list(Xnorm=Xnorm,c = c, r=r))
}
X.s = sinkhorn(X)
rowMeans(t(t(X*X.s$r)*X.s$c))
[1] 1 1 1 1 1 1 1 1 1 1 1 1 1 1 1 1 1 1 1 1 1 1 1 1 1 1 1 1 1 1 1 1 1 1 1 1 1
[38] 1 1 1 1 1 1 1 1 1 1 1 1 1 1 1 1 1 1 1 1 1 1 1 1 1 1 1 1 1 1 1 1 1 1 1 1 1
[75] 1 1 1 1 1 1 1 1 1 1 1 1 1 1 1 1 1 1 1 1 1 1 1 1 1 1
colMeans(t(t(X*X.s$r)*X.s$c))
[1] 1 1 1 1 1 1 1 1 1 1 1 1 1 1 1 1 1 1 1 1 1 1 1 1 1 1 1 1 1 1 1 1 1 1 1 1 1
[38] 1 1 1 1 1 1 1 1 1 1 1 1 1 1 1 1 1 1 1 1 1 1 1 1 1 1 1 1 1 1 1 1 1 1 1 1 1
[75] 1 1 1 1 1 1 1 1 1 1 1 1 1 1 1 1 1 1 1 1 1 1 1 1 1 1 1 1 1 1 1 1 1 1 1 1 1
[112] 1 1 1 1 1 1 1 1 1 1 1 1 1 1 1 1 1 1 1 1 1 1 1 1 1 1 1 1 1 1 1 1 1 1 1 1 1
[149] 1 1 1 1 1 1 1 1 1 1 1 1 1 1 1 1 1 1 1 1 1 1 1 1 1 1 1 1 1 1 1 1 1 1 1 1 1
[186] 1 1 1 1 1 1 1 1 1 1 1 1 1 1 1
X.svd = svd(X)
plot(X.svd$u[,1],X.s$r)

plot(X.svd$v[,1],X.s$c)

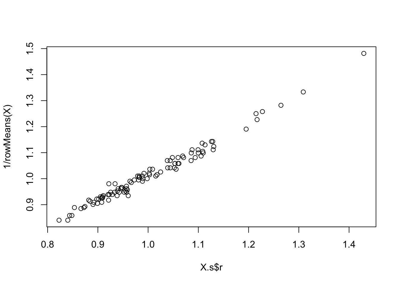
plot(X.s$r, 1/rowMeans(X))

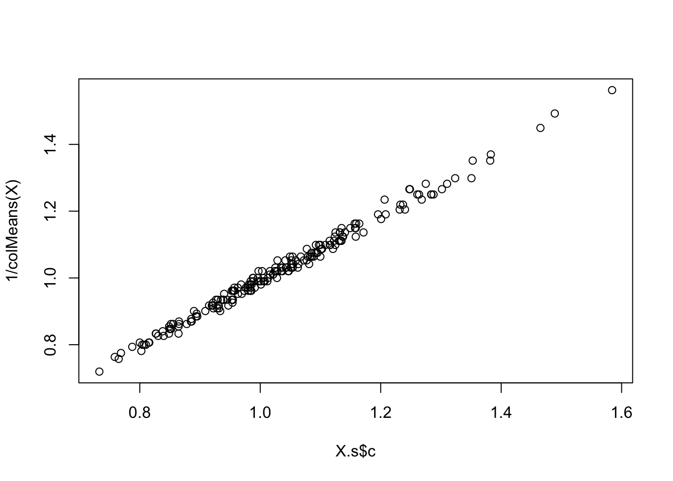
plot(X.s$c, 1/colMeans(X))

I reproduced this simulation: “Figure 1 exemplifies the advantage of biwhitening on a simulated Poisson count matrix Y with m = 300, n = 1000, and r = 10. For this example, we first generated an m × r matrix B by sampling its entries independently from the log-normal distribution with mean 0 and variance 4 (i.e., from exp(2Z), where Z ∼ N (0, 1)). Then, we generated an r × n matrix C by sampling its entries independently from the uniform distribution over [0,1]. Lastly, we computed X = BC, normalized X by a scalar so that its average entry is 1, and sampled the entries of Y from the Poisson distribution as in (7). After generating Y , Algorithm 1 was applied to Y with scaling tolerance δ = 10−12.”
m=300
n=1000
r = 10
B = exp(2*matrix(rnorm(m*r),nrow=m))
C = matrix(runif(r*n),nrow=r)
X = B %*% C
X = X/mean(X)
Y = matrix(rpois(length(X),lambda=X), nrow=nrow(X))
Ynorm = sinkhorn(Y)$Xnorm
Ynorm.eigen = eigen((1/n) * Ynorm %*% t(Ynorm))
d = Ynorm.eigen$values
hist(d[d<4],nclass=100)
beta_plus = (1+sqrt(m/n))^2
abline(v=beta_plus)

sum(d>beta_plus)
[1] 10
This is a small subset of some single cell data: I extracted counts from a subset of 500 genes at 1000 cytotoxic and 10000 naive cytotoxic T cells from 10x genomics. Note that because I have fewer genes than cells I make those the rows (\(m<n\)) by transposing the data
df = read.csv("../data/cell_data.csv",sep=",")
dim(df)
[1] 2000 501
Y = t(as.matrix(df[,-1]))
Y.svd = svd(Y)
hist(Y.svd$d[Y.svd$d<100], xlim = c(0,100), breaks = seq(0,100,by=1))

Now try the normalization (note that I did not try to estimate the scaling factor they use)
Ynorm = sinkhorn(Y)$Xnorm
m= nrow(Ynorm)
n= ncol(Ynorm)
Ynorm.eigen = eigen((1/n) * Ynorm %*% t(Ynorm))
d = Ynorm.eigen$values
v= Ynorm.eigen$vectors
hist(d[d<4],nclass=100)
beta_plus = (1+sqrt(m/n))^2
abline(v=beta_plus)

sum(d>beta_plus)
[1] 23
sub = (d>beta_plus)
Ytrunc = v[,sub] %*% diag(d[sub]) %*% t(v[,sub])
All the stuff below here is a bit underdeveloped.
Try running flashr on the covariance matrix
library(flashr)
S = (1/n) * Ynorm %*% t(Ynorm)
diag(S) <- NA
S.flash = flash(S,K=50)
ebnm package not installed. ebnm_ash will be used instead of ebnm_pn.
Fitting factor/loading 1 (stop when difference in obj. is < 1.00e-02):
Iteration Objective Obj Diff
1 418224.63 Inf
2 418508.06 2.83e+02
3 418645.68 1.38e+02
4 418722.38 7.67e+01
5 418764.86 4.25e+01
6 418788.17 2.33e+01
7 418800.86 1.27e+01
8 418807.74 6.88e+00
9 418811.45 3.71e+00
10 418813.45 1.99e+00
11 418814.52 1.07e+00
12 418815.09 5.72e-01
13 418815.39 3.05e-01
14 418815.56 1.63e-01
15 418815.64 8.69e-02
16 418815.69 4.63e-02
17 418815.71 2.47e-02
18 418815.73 1.31e-02
19 418815.73 6.99e-03
Performing nullcheck...
Deleting factor 1 decreases objective by 8.85e+05. Factor retained.
Nullcheck complete. Objective: 418815.73
Fitting factor/loading 2 (stop when difference in obj. is < 1.00e-02):
Iteration Objective Obj Diff
1 513503.14 Inf
2 513953.19 4.50e+02
3 513989.44 3.63e+01
4 513992.54 3.10e+00
5 513992.82 2.71e-01
6 513992.84 2.40e-02
7 513992.84 2.16e-03
Performing nullcheck...
Deleting factor 2 decreases objective by 9.52e+04. Factor retained.
Nullcheck complete. Objective: 513992.84
Fitting factor/loading 3 (stop when difference in obj. is < 1.00e-02):
Iteration Objective Obj Diff
1 527620.32 Inf
2 527666.76 4.64e+01
3 527680.32 1.36e+01
4 527684.98 4.66e+00
5 527686.59 1.61e+00
6 527687.15 5.59e-01
7 527687.35 1.94e-01
8 527687.41 6.74e-02
9 527687.44 2.37e-02
10 527687.45 8.47e-03
Performing nullcheck...
Deleting factor 3 decreases objective by 1.37e+04. Factor retained.
Nullcheck complete. Objective: 527687.45
Fitting factor/loading 4 (stop when difference in obj. is < 1.00e-02):
Iteration Objective Obj Diff
1 533718.04 Inf
2 533781.57 6.35e+01
3 533788.41 6.84e+00
4 533789.43 1.02e+00
5 533789.61 1.82e-01
6 533789.66 4.15e-02
7 533789.67 1.43e-02
8 533789.68 7.34e-03
Performing nullcheck...
Deleting factor 4 decreases objective by 6.10e+03. Factor retained.
Nullcheck complete. Objective: 533789.68
Fitting factor/loading 5 (stop when difference in obj. is < 1.00e-02):
Iteration Objective Obj Diff
1 539219.83 Inf
2 539251.04 3.12e+01
3 539265.63 1.46e+01
4 539275.74 1.01e+01
5 539282.67 6.94e+00
6 539287.30 4.63e+00
7 539290.30 2.99e+00
8 539292.18 1.89e+00
9 539293.35 1.16e+00
10 539294.06 7.09e-01
11 539294.49 4.31e-01
12 539294.74 2.57e-01
13 539294.90 1.52e-01
14 539294.99 8.90e-02
15 539295.04 5.20e-02
16 539295.07 3.02e-02
17 539295.09 1.75e-02
18 539295.10 1.01e-02
19 539295.10 5.78e-03
Performing nullcheck...
Deleting factor 5 decreases objective by 5.51e+03. Factor retained.
Nullcheck complete. Objective: 539295.1
Fitting factor/loading 6 (stop when difference in obj. is < 1.00e-02):
Iteration Objective Obj Diff
1 543209.94 Inf
2 543222.65 1.27e+01
3 543226.24 3.59e+00
4 543227.75 1.51e+00
5 543228.40 6.44e-01
6 543228.67 2.75e-01
7 543228.79 1.17e-01
8 543228.84 4.88e-02
9 543228.86 2.00e-02
10 543228.87 7.91e-03
Performing nullcheck...
Deleting factor 6 decreases objective by 3.93e+03. Factor retained.
Nullcheck complete. Objective: 543228.87
Fitting factor/loading 7 (stop when difference in obj. is < 1.00e-02):
Iteration Objective Obj Diff
1 544599.26 Inf
2 544658.49 5.92e+01
3 544682.03 2.35e+01
4 544702.07 2.00e+01
5 544721.54 1.95e+01
6 544742.02 2.05e+01
7 544764.07 2.20e+01
8 544786.96 2.29e+01
9 544810.73 2.38e+01
10 544835.06 2.43e+01
11 544858.69 2.36e+01
12 544881.13 2.24e+01
13 544902.26 2.11e+01
14 544920.80 1.85e+01
15 544936.56 1.58e+01
16 544949.60 1.30e+01
17 544960.13 1.05e+01
18 544968.49 8.36e+00
19 544975.08 6.59e+00
20 544980.28 5.20e+00
21 544984.40 4.12e+00
22 544987.67 3.27e+00
23 544990.26 2.59e+00
24 544992.32 2.06e+00
25 544993.96 1.64e+00
26 544995.28 1.32e+00
27 544996.34 1.06e+00
28 544997.20 8.58e-01
29 544997.89 6.94e-01
30 544998.45 5.62e-01
31 544998.91 4.56e-01
32 544999.28 3.70e-01
33 544999.58 3.01e-01
34 544999.82 2.45e-01
35 545000.02 1.99e-01
36 545000.19 1.62e-01
37 545000.32 1.33e-01
38 545000.43 1.08e-01
39 545000.52 8.88e-02
40 545000.59 7.27e-02
41 545000.65 5.97e-02
42 545000.70 4.90e-02
43 545000.74 4.03e-02
44 545000.77 3.32e-02
45 545000.80 2.73e-02
46 545000.82 2.25e-02
47 545000.84 1.86e-02
48 545000.85 1.54e-02
49 545000.87 1.27e-02
50 545000.88 1.06e-02
51 545000.89 8.78e-03
Performing nullcheck...
Deleting factor 7 decreases objective by 1.77e+03. Factor retained.
Nullcheck complete. Objective: 545000.89
Fitting factor/loading 8 (stop when difference in obj. is < 1.00e-02):
Iteration Objective Obj Diff
1 546398.34 Inf
2 546466.26 6.79e+01
3 546486.63 2.04e+01
4 546499.12 1.25e+01
5 546507.37 8.25e+00
6 546512.73 5.36e+00
7 546516.13 3.40e+00
8 546518.35 2.22e+00
9 546519.80 1.45e+00
10 546520.73 9.32e-01
11 546521.38 6.49e-01
12 546521.79 4.17e-01
13 546522.07 2.76e-01
14 546522.25 1.84e-01
15 546522.37 1.20e-01
16 546522.45 7.54e-02
17 546522.50 4.85e-02
18 546522.53 3.15e-02
19 546522.55 2.05e-02
20 546522.56 1.33e-02
21 546522.57 8.65e-03
Performing nullcheck...
Deleting factor 8 decreases objective by 1.52e+03. Factor retained.
Nullcheck complete. Objective: 546522.57
Fitting factor/loading 9 (stop when difference in obj. is < 1.00e-02):
Iteration Objective Obj Diff
1 547249.79 Inf
2 547303.15 5.34e+01
3 547308.73 5.59e+00
4 547310.70 1.97e+00
5 547311.50 8.01e-01
6 547311.85 3.47e-01
7 547312.01 1.59e-01
8 547312.09 7.72e-02
9 547312.13 3.85e-02
10 547312.15 1.94e-02
11 547312.16 9.88e-03
Performing nullcheck...
Deleting factor 9 decreases objective by 7.90e+02. Factor retained.
Nullcheck complete. Objective: 547312.16
Fitting factor/loading 10 (stop when difference in obj. is < 1.00e-02):
Iteration Objective Obj Diff
1 547596.08 Inf
2 547683.56 8.75e+01
3 547709.30 2.57e+01
4 547725.91 1.66e+01
5 547741.00 1.51e+01
6 547756.19 1.52e+01
7 547772.31 1.61e+01
8 547789.43 1.71e+01
9 547806.49 1.71e+01
10 547822.27 1.58e+01
11 547835.76 1.35e+01
12 547846.82 1.11e+01
13 547855.67 8.85e+00
14 547862.56 6.89e+00
15 547867.65 5.08e+00
16 547871.26 3.61e+00
17 547873.70 2.44e+00
18 547875.25 1.55e+00
19 547876.21 9.59e-01
20 547876.80 5.94e-01
21 547877.17 3.70e-01
22 547877.40 2.31e-01
23 547877.55 1.43e-01
24 547877.64 8.80e-02
25 547877.69 5.36e-02
26 547877.72 3.20e-02
27 547877.74 1.85e-02
28 547877.75 1.01e-02
29 547877.75 4.92e-03
Performing nullcheck...
Deleting factor 10 decreases objective by 5.66e+02. Factor retained.
Nullcheck complete. Objective: 547877.75
Fitting factor/loading 11 (stop when difference in obj. is < 1.00e-02):
Iteration Objective Obj Diff
1 547821.30 Inf
2 547958.87 1.38e+02
3 547985.29 2.64e+01
4 547999.97 1.47e+01
5 548010.59 1.06e+01
6 548013.52 2.93e+00
7 548013.94 4.17e-01
8 548014.02 8.32e-02
9 548014.04 2.58e-02
10 548014.05 1.02e-02
11 548014.06 4.58e-03
Performing nullcheck...
Deleting factor 11 decreases objective by 1.36e+02. Factor retained.
Nullcheck complete. Objective: 548014.06
Fitting factor/loading 12 (stop when difference in obj. is < 1.00e-02):
Iteration Objective Obj Diff
1 548241.94 Inf
2 548353.30 1.11e+02
3 548372.76 1.95e+01
4 548379.87 7.11e+00
5 548383.65 3.78e+00
6 548386.10 2.45e+00
7 548387.80 1.70e+00
8 548388.99 1.19e+00
9 548389.86 8.69e-01
10 548390.51 6.49e-01
11 548391.00 4.90e-01
12 548391.37 3.70e-01
13 548391.65 2.77e-01
14 548391.85 2.05e-01
15 548392.00 1.50e-01
16 548392.11 1.09e-01
17 548392.19 7.60e-02
18 548392.25 5.84e-02
19 548392.29 4.26e-02
20 548392.32 3.10e-02
21 548392.34 2.25e-02
22 548392.36 1.63e-02
23 548392.37 1.17e-02
24 548392.38 8.32e-03
Performing nullcheck...
Deleting factor 12 decreases objective by 3.78e+02. Factor retained.
Nullcheck complete. Objective: 548392.38
Fitting factor/loading 13 (stop when difference in obj. is < 1.00e-02):
Iteration Objective Obj Diff
1 548165.58 Inf
2 548308.76 1.43e+02
3 548348.41 3.97e+01
4 548373.11 2.47e+01
5 548380.11 7.00e+00
6 548389.59 9.48e+00
7 548390.56 9.77e-01
Warning in verbose_obj_decrease_warning(): An iteration decreased the objective.
This happens occasionally, perhaps due to numeric reasons. You could ignore this
warning, but you might like to check out https://github.com/stephenslab/flashr/
issues/26 for more details.
8 548390.42 -1.40e-01
Performing nullcheck...
Deleting factor 13 increases objective by 1.95e+00. Factor zeroed out.
Nullcheck complete. Objective: 548392.38
And on the truncated covariance
Strunc = (1/n) * Ytrunc %*% t(Ytrunc)
diag(Strunc) <- NA
Strunc.flash = flash(Strunc,K=50)
ebnm package not installed. ebnm_ash will be used instead of ebnm_pn.
Fitting factor/loading 1 (stop when difference in obj. is < 1.00e-02):
Iteration Objective Obj Diff
1 1550386.07 Inf
2 1550901.88 5.16e+02
3 1551502.31 6.00e+02
4 1552405.98 9.04e+02
5 1553705.27 1.30e+03
6 1555240.57 1.54e+03
7 1556625.03 1.38e+03
8 1557635.92 1.01e+03
9 1558259.01 6.23e+02
10 1558598.55 3.40e+02
11 1558780.30 1.82e+02
12 1558889.01 1.09e+02
13 1558964.98 7.60e+01
14 1559025.01 6.00e+01
15 1559076.77 5.18e+01
16 1559124.44 4.77e+01
17 1559170.69 4.62e+01
18 1559217.51 4.68e+01
19 1559266.67 4.92e+01
20 1559319.97 5.33e+01
21 1559379.40 5.94e+01
22 1559447.42 6.80e+01
23 1559527.12 7.97e+01
24 1559622.54 9.54e+01
25 1559738.91 1.16e+02
26 1559882.76 1.44e+02
27 1560061.41 1.79e+02
28 1560280.45 2.19e+02
29 1560537.17 2.57e+02
30 1560811.92 2.75e+02
31 1561076.75 2.65e+02
32 1561330.43 2.54e+02
33 1561600.26 2.70e+02
34 1561906.17 3.06e+02
35 1562246.39 3.40e+02
36 1562600.08 3.54e+02
37 1562936.68 3.37e+02
38 1563233.47 2.97e+02
39 1563487.37 2.54e+02
40 1563703.96 2.17e+02
41 1563885.24 1.81e+02
42 1564031.37 1.46e+02
43 1564144.59 1.13e+02
44 1564229.46 8.49e+01
45 1564291.23 6.18e+01
46 1564334.79 4.36e+01
47 1564364.44 2.97e+01
48 1564383.90 1.95e+01
49 1564396.19 1.23e+01
50 1564403.70 7.51e+00
51 1564408.14 4.45e+00
52 1564410.71 2.57e+00
53 1564412.17 1.45e+00
54 1564412.98 8.10e-01
55 1564413.42 4.45e-01
56 1564413.66 2.43e-01
57 1564413.80 1.31e-01
58 1564413.87 7.06e-02
59 1564413.90 3.76e-02
60 1564413.92 2.00e-02
61 1564413.93 1.12e-02
62 1564413.94 5.38e-03
Performing nullcheck...
Deleting factor 1 decreases objective by 1.92e+06. Factor retained.
Nullcheck complete. Objective: 1564413.94
Fitting factor/loading 2 (stop when difference in obj. is < 1.00e-02):
Iteration Objective Obj Diff
1 2006696.92 Inf
2 2007716.33 1.02e+03
3 2007876.14 1.60e+02
4 2007906.17 3.00e+01
5 2007912.08 5.91e+00
6 2007913.26 1.18e+00
7 2007913.49 2.35e-01
8 2007913.54 4.71e-02
9 2007913.55 9.44e-03
Performing nullcheck...
Deleting factor 2 decreases objective by 4.43e+05. Factor retained.
Nullcheck complete. Objective: 2007913.55
Fitting factor/loading 3 (stop when difference in obj. is < 1.00e-02):
Iteration Objective Obj Diff
1 2068754.00 Inf
2 2069098.88 3.45e+02
3 2069171.52 7.26e+01
4 2069195.02 2.35e+01
5 2069203.05 8.03e+00
6 2069205.87 2.82e+00
7 2069206.87 1.00e+00
8 2069207.23 3.59e-01
9 2069207.36 1.29e-01
10 2069207.41 4.61e-02
11 2069207.42 1.65e-02
12 2069207.43 5.86e-03
Performing nullcheck...
Deleting factor 3 decreases objective by 6.13e+04. Factor retained.
Nullcheck complete. Objective: 2069207.43
Fitting factor/loading 4 (stop when difference in obj. is < 1.00e-02):
Iteration Objective Obj Diff
1 2099600.29 Inf
2 2099809.20 2.09e+02
3 2099856.21 4.70e+01
4 2099879.39 2.32e+01
5 2099890.89 1.15e+01
6 2099896.56 5.67e+00
7 2099899.34 2.78e+00
8 2099900.69 1.35e+00
9 2099901.35 6.60e-01
10 2099901.67 3.22e-01
11 2099901.83 1.57e-01
12 2099901.91 7.64e-02
13 2099901.94 3.74e-02
14 2099901.96 1.84e-02
15 2099901.97 9.13e-03
Performing nullcheck...
Deleting factor 4 decreases objective by 3.07e+04. Factor retained.
Nullcheck complete. Objective: 2099901.97
Fitting factor/loading 5 (stop when difference in obj. is < 1.00e-02):
Iteration Objective Obj Diff
1 2123450.05 Inf
2 2123608.04 1.58e+02
3 2123642.37 3.43e+01
4 2123654.56 1.22e+01
5 2123658.95 4.39e+00
6 2123660.51 1.57e+00
7 2123661.07 5.57e-01
8 2123661.27 1.97e-01
9 2123661.34 6.98e-02
10 2123661.36 2.46e-02
11 2123661.37 8.71e-03
Performing nullcheck...
Deleting factor 5 decreases objective by 2.38e+04. Factor retained.
Nullcheck complete. Objective: 2123661.37
Fitting factor/loading 6 (stop when difference in obj. is < 1.00e-02):
Iteration Objective Obj Diff
1 2136563.53 Inf
2 2137002.74 4.39e+02
3 2137013.78 1.10e+01
4 2137015.72 1.94e+00
5 2137016.49 7.77e-01
6 2137016.91 4.13e-01
7 2137017.14 2.31e-01
8 2137017.27 1.31e-01
9 2137017.34 7.42e-02
10 2137017.39 4.23e-02
11 2137017.41 2.42e-02
12 2137017.42 1.39e-02
13 2137017.43 8.01e-03
Performing nullcheck...
Deleting factor 6 decreases objective by 1.34e+04. Factor retained.
Nullcheck complete. Objective: 2137017.43
Fitting factor/loading 7 (stop when difference in obj. is < 1.00e-02):
Iteration Objective Obj Diff
1 2139739.49 Inf
2 2141706.13 1.97e+03
3 2143362.84 1.66e+03
4 2144244.41 8.82e+02
5 2144557.41 3.13e+02
6 2144658.18 1.01e+02
7 2144690.16 3.20e+01
8 2144700.37 1.02e+01
9 2144703.64 3.28e+00
10 2144704.73 1.09e+00
11 2144705.12 3.92e-01
12 2144705.29 1.68e-01
13 2144705.39 9.41e-02
14 2144705.45 6.80e-02
15 2144705.51 5.74e-02
16 2144705.56 5.20e-02
17 2144705.61 4.83e-02
18 2144705.66 4.55e-02
19 2144705.70 4.32e-02
20 2144705.74 4.13e-02
21 2144705.78 3.94e-02
22 2144705.82 3.78e-02
23 2144705.86 3.64e-02
24 2144705.89 3.51e-02
25 2144705.92 3.39e-02
26 2144705.96 3.27e-02
27 2144705.99 3.16e-02
28 2144706.02 3.05e-02
29 2144706.05 2.95e-02
30 2144706.08 2.86e-02
31 2144706.11 2.78e-02
32 2144706.13 2.71e-02
33 2144706.16 2.66e-02
34 2144706.19 2.59e-02
35 2144706.21 2.52e-02
36 2144706.24 2.45e-02
37 2144706.26 2.39e-02
38 2144706.28 2.33e-02
39 2144706.30 2.27e-02
40 2144706.33 2.21e-02
41 2144706.35 2.15e-02
42 2144706.37 2.10e-02
43 2144706.39 2.04e-02
44 2144706.41 1.99e-02
45 2144706.43 1.94e-02
46 2144706.45 1.89e-02
47 2144706.47 1.84e-02
48 2144706.48 1.79e-02
49 2144706.50 1.75e-02
50 2144706.52 1.70e-02
51 2144706.54 1.66e-02
52 2144706.55 1.61e-02
53 2144706.57 1.57e-02
54 2144706.58 1.53e-02
55 2144706.60 1.50e-02
56 2144706.61 1.48e-02
57 2144706.63 1.44e-02
58 2144706.64 1.40e-02
59 2144706.65 1.36e-02
60 2144706.67 1.32e-02
61 2144706.68 1.28e-02
62 2144706.69 1.24e-02
63 2144706.71 1.20e-02
64 2144706.72 1.17e-02
65 2144706.73 1.13e-02
66 2144706.74 1.09e-02
67 2144706.75 1.06e-02
68 2144706.76 1.03e-02
69 2144706.77 9.93e-03
Performing nullcheck...
Deleting factor 7 decreases objective by 7.69e+03. Factor retained.
Nullcheck complete. Objective: 2144706.77
Fitting factor/loading 8 (stop when difference in obj. is < 1.00e-02):
Iteration Objective Obj Diff
1 2147171.15 Inf
2 2148021.85 8.51e+02
3 2148290.88 2.69e+02
4 2148666.34 3.75e+02
5 2149391.94 7.26e+02
6 2150530.39 1.14e+03
7 2151688.18 1.16e+03
8 2152429.49 7.41e+02
9 2152762.01 3.33e+02
10 2152886.34 1.24e+02
11 2152929.56 4.32e+01
12 2152944.16 1.46e+01
13 2152949.04 4.88e+00
14 2152950.67 1.63e+00
15 2152951.21 5.41e-01
16 2152951.39 1.80e-01
17 2152951.45 6.00e-02
18 2152951.47 2.00e-02
19 2152951.47 6.69e-03
Performing nullcheck...
Deleting factor 8 decreases objective by 8.24e+03. Factor retained.
Nullcheck complete. Objective: 2152951.47
Fitting factor/loading 9 (stop when difference in obj. is < 1.00e-02):
Iteration Objective Obj Diff
1 2155815.70 Inf
2 2156719.39 9.04e+02
3 2156902.81 1.83e+02
4 2156994.95 9.21e+01
5 2157046.25 5.13e+01
6 2157074.92 2.87e+01
7 2157091.31 1.64e+01
8 2157101.17 9.87e+00
9 2157107.49 6.31e+00
10 2157111.50 4.02e+00
11 2157114.11 2.61e+00
12 2157115.84 1.73e+00
13 2157117.00 1.16e+00
14 2157117.80 7.93e-01
15 2157118.34 5.40e-01
16 2157118.71 3.72e-01
17 2157118.97 2.60e-01
18 2157119.15 1.83e-01
19 2157119.28 1.31e-01
20 2157119.37 9.40e-02
21 2157119.44 6.81e-02
22 2157119.49 4.97e-02
23 2157119.53 3.64e-02
24 2157119.56 2.68e-02
25 2157119.58 1.98e-02
26 2157119.59 1.47e-02
27 2157119.60 1.09e-02
28 2157119.61 8.14e-03
Performing nullcheck...
Deleting factor 9 decreases objective by 4.17e+03. Factor retained.
Nullcheck complete. Objective: 2157119.61
Fitting factor/loading 10 (stop when difference in obj. is < 1.00e-02):
Iteration Objective Obj Diff
1 2158902.46 Inf
2 2159814.06 9.12e+02
3 2160050.54 2.36e+02
4 2160222.44 1.72e+02
5 2160366.95 1.45e+02
6 2160482.71 1.16e+02
7 2160572.98 9.03e+01
8 2160640.95 6.80e+01
9 2160690.84 4.99e+01
10 2160730.70 3.99e+01
11 2160759.61 2.89e+01
12 2160784.17 2.46e+01
13 2160803.53 1.94e+01
14 2160819.08 1.55e+01
15 2160831.74 1.27e+01
16 2160842.13 1.04e+01
17 2160850.65 8.53e+00
18 2160857.67 7.01e+00
19 2160863.44 5.77e+00
20 2160868.20 4.76e+00
21 2160872.14 3.95e+00
22 2160875.45 3.30e+00
23 2160878.23 2.78e+00
24 2160880.58 2.35e+00
25 2160882.60 2.02e+00
26 2160884.32 1.73e+00
27 2160885.80 1.48e+00
28 2160887.05 1.25e+00
29 2160888.09 1.04e+00
30 2160888.96 8.69e-01
31 2160889.69 7.27e-01
32 2160890.30 6.14e-01
33 2160890.82 5.18e-01
34 2160891.25 4.33e-01
35 2160891.62 3.61e-01
36 2160891.92 3.01e-01
37 2160892.17 2.51e-01
38 2160892.38 2.10e-01
39 2160892.56 1.77e-01
40 2160892.70 1.48e-01
41 2160892.83 1.23e-01
42 2160892.93 1.05e-01
43 2160893.02 9.42e-02
44 2160893.14 1.18e-01
45 2160893.24 1.02e-01
46 2160893.33 8.89e-02
47 2160893.41 7.73e-02
48 2160893.48 6.73e-02
49 2160893.54 5.87e-02
50 2160893.59 5.11e-02
51 2160893.63 4.46e-02
52 2160893.67 3.89e-02
53 2160893.71 3.40e-02
54 2160893.74 2.98e-02
55 2160893.76 2.61e-02
56 2160893.78 2.29e-02
57 2160893.80 2.01e-02
58 2160893.82 1.76e-02
59 2160893.84 1.55e-02
60 2160893.85 1.36e-02
61 2160893.86 1.20e-02
62 2160893.87 1.06e-02
63 2160893.88 9.35e-03
Performing nullcheck...
Deleting factor 10 decreases objective by 3.77e+03. Factor retained.
Nullcheck complete. Objective: 2160893.88
Fitting factor/loading 11 (stop when difference in obj. is < 1.00e-02):
Iteration Objective Obj Diff
1 2162788.91 Inf
2 2163743.92 9.55e+02
3 2163943.05 1.99e+02
4 2164059.15 1.16e+02
5 2164142.26 8.31e+01
6 2164205.27 6.30e+01
7 2164255.13 4.99e+01
8 2164295.05 3.99e+01
9 2164327.40 3.23e+01
10 2164352.20 2.48e+01
11 2164370.91 1.87e+01
12 2164385.14 1.42e+01
13 2164396.10 1.10e+01
14 2164404.76 8.66e+00
15 2164411.75 6.99e+00
16 2164417.35 5.60e+00
17 2164421.86 4.51e+00
18 2164425.44 3.58e+00
19 2164428.30 2.85e+00
20 2164430.62 2.32e+00
21 2164432.55 1.93e+00
22 2164434.17 1.62e+00
23 2164435.56 1.39e+00
24 2164436.77 1.21e+00
25 2164437.89 1.12e+00
26 2164438.92 1.03e+00
27 2164439.85 9.30e-01
28 2164440.69 8.37e-01
29 2164441.42 7.34e-01
30 2164442.05 6.25e-01
31 2164442.58 5.33e-01
32 2164443.03 4.55e-01
33 2164443.42 3.89e-01
34 2164443.76 3.33e-01
35 2164444.04 2.83e-01
36 2164444.27 2.30e-01
37 2164444.46 1.86e-01
38 2164444.60 1.44e-01
39 2164444.71 1.08e-01
40 2164444.79 7.99e-02
41 2164444.85 6.03e-02
42 2164444.89 4.68e-02
43 2164444.93 3.57e-02
44 2164444.96 2.67e-02
45 2164444.98 1.95e-02
46 2164444.99 1.35e-02
47 2164445.00 8.42e-03
Performing nullcheck...
Deleting factor 11 decreases objective by 3.55e+03. Factor retained.
Nullcheck complete. Objective: 2164445
Fitting factor/loading 12 (stop when difference in obj. is < 1.00e-02):
Iteration Objective Obj Diff
1 2166318.03 Inf
2 2167329.97 1.01e+03
3 2167503.18 1.73e+02
4 2167591.60 8.84e+01
5 2167646.46 5.49e+01
6 2167682.24 3.58e+01
7 2167707.10 2.49e+01
8 2167725.64 1.85e+01
9 2167740.12 1.45e+01
10 2167752.02 1.19e+01
11 2167762.21 1.02e+01
12 2167771.02 8.81e+00
13 2167778.68 7.66e+00
14 2167785.53 6.85e+00
15 2167791.72 6.19e+00
16 2167797.35 5.63e+00
17 2167802.48 5.13e+00
18 2167807.15 4.67e+00
19 2167811.37 4.22e+00
20 2167815.16 3.79e+00
21 2167818.59 3.42e+00
22 2167821.73 3.15e+00
23 2167824.66 2.92e+00
24 2167827.38 2.73e+00
25 2167829.93 2.55e+00
26 2167832.32 2.39e+00
27 2167834.55 2.22e+00
28 2167836.61 2.06e+00
29 2167838.52 1.91e+00
30 2167840.29 1.77e+00
31 2167841.93 1.64e+00
32 2167843.46 1.52e+00
33 2167844.86 1.41e+00
34 2167846.15 1.29e+00
35 2167847.34 1.19e+00
36 2167848.44 1.09e+00
37 2167849.44 1.01e+00
38 2167850.37 9.25e-01
39 2167851.22 8.51e-01
40 2167852.01 7.84e-01
41 2167852.73 7.23e-01
42 2167853.40 6.70e-01
43 2167854.02 6.22e-01
44 2167854.60 5.78e-01
45 2167855.14 5.39e-01
46 2167855.64 5.03e-01
47 2167856.11 4.70e-01
48 2167856.55 4.42e-01
49 2167856.97 4.16e-01
50 2167857.36 3.92e-01
51 2167857.73 3.69e-01
52 2167858.08 3.46e-01
53 2167858.40 3.27e-01
54 2167858.71 3.10e-01
55 2167859.01 2.94e-01
56 2167859.28 2.78e-01
57 2167859.55 2.64e-01
58 2167859.80 2.51e-01
59 2167860.04 2.39e-01
60 2167860.26 2.28e-01
61 2167860.48 2.18e-01
62 2167860.69 2.09e-01
63 2167860.89 2.01e-01
64 2167861.09 1.93e-01
65 2167861.27 1.86e-01
66 2167861.45 1.80e-01
67 2167861.63 1.73e-01
68 2167861.79 1.67e-01
69 2167861.95 1.62e-01
70 2167862.11 1.56e-01
71 2167862.26 1.50e-01
72 2167862.40 1.44e-01
73 2167862.54 1.38e-01
74 2167862.67 1.33e-01
75 2167862.80 1.27e-01
76 2167862.92 1.22e-01
77 2167863.04 1.17e-01
78 2167863.15 1.13e-01
79 2167863.26 1.08e-01
80 2167863.37 1.04e-01
81 2167863.47 9.93e-02
82 2167863.56 9.51e-02
83 2167863.65 9.11e-02
84 2167863.74 8.73e-02
85 2167863.82 8.37e-02
86 2167863.90 8.03e-02
87 2167863.98 7.70e-02
88 2167864.05 7.38e-02
89 2167864.12 7.09e-02
90 2167864.19 6.80e-02
91 2167864.26 6.53e-02
92 2167864.32 6.26e-02
93 2167864.38 6.02e-02
94 2167864.44 5.78e-02
95 2167864.49 5.55e-02
96 2167864.55 5.33e-02
97 2167864.60 5.12e-02
98 2167864.65 4.92e-02
99 2167864.69 4.73e-02
100 2167864.74 4.55e-02
101 2167864.78 4.37e-02
102 2167864.83 4.20e-02
103 2167864.87 4.04e-02
104 2167864.91 3.88e-02
105 2167864.94 3.73e-02
106 2167864.98 3.59e-02
107 2167865.01 3.45e-02
108 2167865.05 3.32e-02
109 2167865.08 3.19e-02
110 2167865.11 3.07e-02
111 2167865.14 2.96e-02
112 2167865.17 2.84e-02
113 2167865.19 2.73e-02
114 2167865.22 2.63e-02
115 2167865.25 2.53e-02
116 2167865.27 2.43e-02
117 2167865.29 2.34e-02
118 2167865.32 2.25e-02
119 2167865.34 2.16e-02
120 2167865.36 2.08e-02
121 2167865.38 2.00e-02
122 2167865.40 1.93e-02
123 2167865.42 1.85e-02
124 2167865.43 1.78e-02
125 2167865.45 1.71e-02
126 2167865.47 1.65e-02
127 2167865.48 1.59e-02
128 2167865.50 1.52e-02
129 2167865.51 1.47e-02
130 2167865.53 1.41e-02
131 2167865.54 1.36e-02
132 2167865.55 1.31e-02
133 2167865.57 1.26e-02
134 2167865.58 1.21e-02
135 2167865.59 1.17e-02
136 2167865.60 1.12e-02
137 2167865.61 1.08e-02
138 2167865.62 1.04e-02
139 2167865.63 1.00e-02
140 2167865.64 9.67e-03
Performing nullcheck...
Deleting factor 12 decreases objective by 3.42e+03. Factor retained.
Nullcheck complete. Objective: 2167865.64
Fitting factor/loading 13 (stop when difference in obj. is < 1.00e-02):
Iteration Objective Obj Diff
1 2169746.12 Inf
2 2170792.66 1.05e+03
3 2170952.95 1.60e+02
4 2171040.72 8.78e+01
5 2171100.45 5.97e+01
6 2171142.30 4.18e+01
7 2171171.76 2.95e+01
8 2171192.44 2.07e+01
9 2171207.65 1.52e+01
10 2171219.14 1.15e+01
11 2171228.14 8.99e+00
12 2171235.42 7.29e+00
13 2171241.43 6.01e+00
14 2171246.62 5.19e+00
15 2171251.31 4.69e+00
16 2171255.70 4.38e+00
17 2171259.89 4.19e+00
18 2171263.97 4.08e+00
19 2171267.97 4.00e+00
20 2171271.92 3.95e+00
21 2171275.84 3.92e+00
22 2171279.73 3.89e+00
23 2171283.61 3.88e+00
24 2171287.50 3.89e+00
25 2171291.44 3.94e+00
26 2171295.48 4.04e+00
27 2171299.69 4.21e+00
28 2171304.11 4.41e+00
29 2171308.69 4.59e+00
30 2171313.46 4.77e+00
31 2171318.42 4.96e+00
32 2171323.60 5.18e+00
33 2171329.01 5.41e+00
34 2171334.64 5.64e+00
35 2171340.45 5.81e+00
36 2171346.35 5.90e+00
37 2171352.26 5.91e+00
38 2171357.93 5.67e+00
39 2171363.34 5.42e+00
40 2171369.33 5.98e+00
41 2171375.22 5.90e+00
42 2171380.99 5.77e+00
43 2171386.91 5.91e+00
44 2171393.12 6.21e+00
45 2171399.49 6.37e+00
46 2171405.97 6.48e+00
47 2171412.51 6.54e+00
48 2171419.09 6.59e+00
49 2171425.67 6.58e+00
50 2171431.84 6.17e+00
51 2171437.83 5.99e+00
52 2171443.70 5.88e+00
53 2171449.59 5.88e+00
54 2171455.53 5.94e+00
55 2171461.34 5.81e+00
56 2171466.88 5.53e+00
57 2171472.10 5.22e+00
58 2171477.05 4.96e+00
59 2171481.86 4.81e+00
60 2171486.55 4.69e+00
61 2171491.12 4.57e+00
62 2171495.56 4.44e+00
63 2171499.87 4.30e+00
64 2171504.01 4.15e+00
65 2171507.98 3.97e+00
66 2171511.75 3.77e+00
67 2171515.30 3.55e+00
68 2171518.63 3.32e+00
69 2171521.72 3.10e+00
70 2171524.60 2.88e+00
71 2171527.26 2.66e+00
72 2171529.71 2.44e+00
73 2171531.93 2.23e+00
74 2171533.95 2.02e+00
75 2171535.77 1.82e+00
76 2171537.42 1.65e+00
77 2171538.92 1.50e+00
78 2171540.29 1.37e+00
79 2171541.53 1.24e+00
80 2171542.66 1.13e+00
81 2171543.68 1.02e+00
82 2171544.61 9.29e-01
83 2171545.45 8.41e-01
84 2171546.22 7.62e-01
85 2171546.91 6.90e-01
86 2171547.53 6.24e-01
87 2171548.09 5.65e-01
88 2171548.61 5.13e-01
89 2171549.07 4.66e-01
90 2171549.50 4.24e-01
91 2171549.88 3.87e-01
92 2171550.24 3.54e-01
93 2171550.56 3.25e-01
94 2171550.86 3.00e-01
95 2171551.14 2.78e-01
96 2171551.40 2.59e-01
97 2171551.64 2.43e-01
98 2171551.87 2.29e-01
99 2171552.09 2.17e-01
100 2171552.30 2.07e-01
101 2171552.49 1.99e-01
102 2171552.69 1.91e-01
103 2171552.87 1.85e-01
104 2171553.05 1.80e-01
105 2171553.23 1.76e-01
106 2171553.40 1.72e-01
107 2171553.57 1.70e-01
108 2171553.74 1.68e-01
109 2171553.90 1.67e-01
110 2171554.07 1.66e-01
111 2171554.24 1.66e-01
112 2171554.40 1.66e-01
113 2171554.57 1.66e-01
114 2171554.73 1.67e-01
115 2171554.90 1.67e-01
116 2171555.07 1.68e-01
117 2171555.24 1.70e-01
118 2171555.41 1.75e-01
119 2171555.59 1.76e-01
120 2171555.77 1.77e-01
121 2171555.95 1.79e-01
122 2171556.13 1.80e-01
123 2171556.31 1.82e-01
124 2171556.49 1.83e-01
125 2171556.68 1.85e-01
126 2171556.86 1.86e-01
127 2171557.05 1.88e-01
128 2171557.24 1.89e-01
129 2171557.43 1.91e-01
130 2171557.62 1.92e-01
131 2171557.82 1.93e-01
132 2171558.01 1.94e-01
133 2171558.20 1.95e-01
134 2171558.40 1.95e-01
135 2171558.59 1.96e-01
136 2171558.79 1.96e-01
137 2171558.99 1.96e-01
138 2171559.18 1.96e-01
139 2171559.38 1.95e-01
140 2171559.57 1.95e-01
141 2171559.77 1.94e-01
142 2171559.96 1.92e-01
143 2171560.15 1.91e-01
144 2171560.34 1.89e-01
145 2171560.52 1.87e-01
146 2171560.71 1.85e-01
147 2171560.89 1.82e-01
148 2171561.07 1.78e-01
149 2171561.24 1.75e-01
150 2171561.42 1.72e-01
151 2171561.58 1.68e-01
152 2171561.75 1.64e-01
153 2171561.91 1.60e-01
154 2171562.06 1.55e-01
155 2171562.21 1.50e-01
156 2171562.36 1.45e-01
157 2171562.50 1.40e-01
158 2171562.63 1.35e-01
159 2171562.76 1.29e-01
160 2171562.89 1.24e-01
161 2171563.00 1.18e-01
162 2171563.12 1.13e-01
163 2171563.22 1.07e-01
164 2171563.33 1.01e-01
165 2171563.42 9.57e-02
166 2171563.51 9.02e-02
167 2171563.60 8.48e-02
168 2171563.68 7.96e-02
169 2171563.75 7.45e-02
170 2171563.82 6.96e-02
171 2171563.88 6.49e-02
172 2171563.95 6.04e-02
173 2171564.00 5.60e-02
174 2171564.05 5.20e-02
175 2171564.10 4.83e-02
176 2171564.15 4.48e-02
177 2171564.19 4.15e-02
178 2171564.23 3.83e-02
179 2171564.26 3.53e-02
180 2171564.29 3.25e-02
181 2171564.32 2.99e-02
182 2171564.35 2.74e-02
183 2171564.38 2.50e-02
184 2171564.40 2.29e-02
185 2171564.42 2.10e-02
186 2171564.44 1.92e-02
187 2171564.46 1.75e-02
188 2171564.47 1.59e-02
189 2171564.49 1.45e-02
190 2171564.50 1.32e-02
191 2171564.51 1.20e-02
192 2171564.52 1.08e-02
193 2171564.53 9.81e-03
Performing nullcheck...
Deleting factor 13 decreases objective by 3.70e+03. Factor retained.
Nullcheck complete. Objective: 2171564.53
Fitting factor/loading 14 (stop when difference in obj. is < 1.00e-02):
Iteration Objective Obj Diff
1 2173677.10 Inf
2 2174755.53 1.08e+03
3 2174916.04 1.61e+02
4 2175000.48 8.44e+01
5 2175057.78 5.73e+01
6 2175097.65 3.99e+01
7 2175125.82 2.82e+01
8 2175146.00 2.02e+01
9 2175160.88 1.49e+01
10 2175172.02 1.11e+01
11 2175180.63 8.60e+00
12 2175187.17 6.54e+00
13 2175192.27 5.10e+00
14 2175196.55 4.28e+00
15 2175200.24 3.69e+00
16 2175203.43 3.19e+00
17 2175206.23 2.80e+00
18 2175208.73 2.50e+00
19 2175210.99 2.26e+00
20 2175213.06 2.07e+00
21 2175214.98 1.92e+00
22 2175216.78 1.80e+00
23 2175218.48 1.70e+00
24 2175220.08 1.61e+00
25 2175221.61 1.53e+00
26 2175223.06 1.45e+00
27 2175224.45 1.39e+00
28 2175225.78 1.33e+00
29 2175227.05 1.27e+00
30 2175228.27 1.22e+00
31 2175229.44 1.17e+00
32 2175230.56 1.12e+00
33 2175231.63 1.07e+00
34 2175232.65 1.02e+00
35 2175233.64 9.96e-01
36 2175234.62 9.78e-01
37 2175235.56 9.40e-01
38 2175236.46 8.98e-01
39 2175237.31 8.56e-01
40 2175238.13 8.14e-01
41 2175238.90 7.72e-01
42 2175239.63 7.30e-01
43 2175240.32 6.90e-01
44 2175240.97 6.51e-01
45 2175241.60 6.28e-01
46 2175242.21 6.10e-01
47 2175242.79 5.85e-01
48 2175243.34 5.49e-01
49 2175243.86 5.12e-01
50 2175244.34 4.79e-01
51 2175244.79 4.51e-01
52 2175245.21 4.21e-01
53 2175245.60 3.91e-01
54 2175245.96 3.61e-01
55 2175246.29 3.34e-01
56 2175246.60 3.08e-01
57 2175246.89 2.84e-01
58 2175247.15 2.61e-01
59 2175247.39 2.40e-01
60 2175247.61 2.21e-01
61 2175247.81 2.03e-01
62 2175248.00 1.86e-01
63 2175248.17 1.71e-01
64 2175248.33 1.60e-01
65 2175248.48 1.52e-01
66 2175248.62 1.44e-01
67 2175248.76 1.36e-01
68 2175248.89 1.26e-01
69 2175249.00 1.15e-01
70 2175249.11 1.05e-01
71 2175249.20 9.59e-02
72 2175249.29 8.78e-02
73 2175249.37 8.04e-02
74 2175249.44 7.37e-02
75 2175249.51 6.75e-02
76 2175249.57 6.18e-02
77 2175249.63 5.66e-02
78 2175249.68 5.19e-02
79 2175249.73 4.75e-02
80 2175249.77 4.35e-02
81 2175249.81 3.98e-02
82 2175249.85 3.64e-02
83 2175249.88 3.33e-02
84 2175249.91 3.05e-02
85 2175249.94 2.80e-02
86 2175249.97 2.56e-02
87 2175249.99 2.34e-02
88 2175250.01 2.15e-02
89 2175250.03 1.97e-02
90 2175250.05 1.80e-02
91 2175250.07 1.65e-02
92 2175250.08 1.52e-02
93 2175250.09 1.39e-02
94 2175250.11 1.27e-02
95 2175250.12 1.17e-02
96 2175250.13 1.07e-02
97 2175250.14 9.86e-03
Performing nullcheck...
Deleting factor 14 decreases objective by 3.69e+03. Factor retained.
Nullcheck complete. Objective: 2175250.14
Fitting factor/loading 15 (stop when difference in obj. is < 1.00e-02):
Iteration Objective Obj Diff
1 2177020.28 Inf
2 2178329.71 1.31e+03
3 2178564.73 2.35e+02
4 2178691.32 1.27e+02
5 2178783.40 9.21e+01
6 2178853.38 7.00e+01
7 2178909.20 5.58e+01
8 2178954.61 4.54e+01
9 2178991.73 3.71e+01
10 2179022.23 3.05e+01
11 2179047.36 2.51e+01
12 2179068.04 2.07e+01
13 2179085.07 1.70e+01
14 2179099.24 1.42e+01
15 2179111.18 1.19e+01
16 2179121.41 1.02e+01
17 2179130.28 8.87e+00
18 2179138.07 7.79e+00
19 2179144.97 6.90e+00
20 2179151.12 6.15e+00
21 2179156.62 5.50e+00
22 2179161.56 4.94e+00
23 2179165.99 4.43e+00
24 2179169.95 3.96e+00
25 2179173.45 3.50e+00
26 2179176.58 3.13e+00
27 2179179.36 2.78e+00
28 2179181.84 2.47e+00
29 2179184.03 2.20e+00
30 2179185.98 1.94e+00
31 2179187.69 1.72e+00
32 2179189.21 1.51e+00
33 2179190.54 1.33e+00
34 2179191.71 1.17e+00
35 2179192.74 1.03e+00
36 2179193.65 9.05e-01
37 2179194.44 7.98e-01
38 2179195.15 7.03e-01
39 2179195.76 6.18e-01
40 2179196.31 5.42e-01
41 2179196.78 4.74e-01
42 2179197.20 4.14e-01
43 2179197.56 3.61e-01
44 2179197.87 3.15e-01
45 2179198.15 2.74e-01
46 2179198.38 2.38e-01
47 2179198.59 2.06e-01
48 2179198.77 1.78e-01
49 2179198.92 1.54e-01
50 2179199.06 1.34e-01
51 2179199.17 1.15e-01
52 2179199.27 9.97e-02
53 2179199.36 8.61e-02
54 2179199.43 7.44e-02
55 2179199.50 6.42e-02
56 2179199.55 5.55e-02
57 2179199.60 4.79e-02
58 2179199.64 4.14e-02
59 2179199.68 3.58e-02
60 2179199.71 3.10e-02
61 2179199.73 2.67e-02
62 2179199.76 2.28e-02
63 2179199.78 1.95e-02
64 2179199.79 1.68e-02
65 2179199.81 1.44e-02
66 2179199.82 1.24e-02
67 2179199.83 1.07e-02
68 2179199.84 9.26e-03
Performing nullcheck...
Deleting factor 15 decreases objective by 3.95e+03. Factor retained.
Nullcheck complete. Objective: 2179199.84
Fitting factor/loading 16 (stop when difference in obj. is < 1.00e-02):
Iteration Objective Obj Diff
1 2180952.26 Inf
2 2182339.40 1.39e+03
3 2182576.51 2.37e+02
4 2182682.10 1.06e+02
5 2182746.41 6.43e+01
6 2182788.05 4.16e+01
7 2182817.51 2.95e+01
8 2182840.89 2.34e+01
9 2182861.50 2.06e+01
10 2182880.71 1.92e+01
11 2182899.02 1.83e+01
12 2182916.88 1.79e+01
13 2182934.13 1.73e+01
14 2182950.43 1.63e+01
15 2182965.47 1.50e+01
16 2182979.06 1.36e+01
17 2182991.17 1.21e+01
18 2183001.82 1.07e+01
19 2183011.11 9.29e+00
20 2183019.15 8.04e+00
21 2183026.08 6.93e+00
22 2183032.04 5.96e+00
23 2183037.26 5.22e+00
24 2183041.90 4.64e+00
25 2183046.05 4.15e+00
26 2183049.79 3.74e+00
27 2183053.14 3.35e+00
28 2183056.10 2.96e+00
29 2183058.79 2.69e+00
30 2183061.27 2.48e+00
31 2183063.58 2.31e+00
32 2183065.73 2.16e+00
33 2183067.76 2.02e+00
34 2183069.67 1.91e+00
35 2183071.48 1.81e+00
36 2183073.20 1.72e+00
37 2183074.84 1.64e+00
38 2183076.42 1.58e+00
39 2183077.95 1.53e+00
40 2183079.44 1.48e+00
41 2183080.88 1.44e+00
42 2183082.29 1.41e+00
43 2183083.67 1.38e+00
44 2183085.02 1.35e+00
45 2183086.35 1.33e+00
46 2183087.67 1.32e+00
47 2183088.98 1.31e+00
48 2183090.27 1.29e+00
49 2183091.56 1.29e+00
50 2183092.84 1.28e+00
51 2183094.10 1.27e+00
52 2183095.36 1.26e+00
53 2183096.60 1.24e+00
54 2183097.83 1.23e+00
55 2183099.03 1.20e+00
56 2183100.21 1.18e+00
57 2183101.37 1.15e+00
58 2183102.49 1.13e+00
59 2183103.59 1.10e+00
60 2183104.66 1.07e+00
61 2183105.71 1.05e+00
62 2183106.73 1.02e+00
63 2183107.73 9.99e-01
64 2183108.70 9.74e-01
65 2183109.65 9.48e-01
66 2183110.57 9.18e-01
67 2183111.45 8.77e-01
68 2183112.28 8.32e-01
69 2183113.06 7.85e-01
70 2183113.79 7.26e-01
71 2183114.43 6.34e-01
72 2183115.02 5.97e-01
73 2183115.58 5.59e-01
74 2183116.10 5.23e-01
75 2183116.59 4.87e-01
76 2183117.04 4.52e-01
77 2183117.46 4.19e-01
78 2183117.85 3.87e-01
79 2183118.21 3.57e-01
80 2183118.53 3.28e-01
81 2183118.79 2.57e-01
82 2183118.98 1.87e-01
83 2183119.15 1.70e-01
84 2183119.30 1.55e-01
85 2183119.44 1.41e-01
86 2183119.57 1.29e-01
87 2183119.69 1.17e-01
88 2183119.80 1.06e-01
89 2183119.89 9.68e-02
90 2183119.98 8.80e-02
91 2183120.06 8.00e-02
92 2183120.13 7.27e-02
93 2183120.20 6.60e-02
94 2183120.26 5.99e-02
95 2183120.31 5.43e-02
96 2183120.36 4.92e-02
97 2183120.41 4.46e-02
98 2183120.45 4.04e-02
99 2183120.48 3.65e-02
100 2183120.52 3.30e-02
101 2183120.55 2.99e-02
102 2183120.57 2.70e-02
103 2183120.60 2.43e-02
104 2183120.62 2.19e-02
105 2183120.64 1.98e-02
106 2183120.66 1.78e-02
107 2183120.67 1.60e-02
108 2183120.69 1.44e-02
109 2183120.70 1.29e-02
110 2183120.71 1.16e-02
111 2183120.72 1.04e-02
112 2183120.73 9.31e-03
Performing nullcheck...
Deleting factor 16 decreases objective by 3.92e+03. Factor retained.
Nullcheck complete. Objective: 2183120.73
Fitting factor/loading 17 (stop when difference in obj. is < 1.00e-02):
Iteration Objective Obj Diff
1 2184901.57 Inf
2 2186315.53 1.41e+03
3 2186587.70 2.72e+02
4 2186740.16 1.52e+02
5 2186844.91 1.05e+02
6 2186913.75 6.88e+01
7 2186959.78 4.60e+01
8 2186992.81 3.30e+01
9 2187018.54 2.57e+01
10 2187039.90 2.14e+01
11 2187058.32 1.84e+01
12 2187074.44 1.61e+01
13 2187088.57 1.41e+01
14 2187100.91 1.23e+01
15 2187111.62 1.07e+01
16 2187120.74 9.12e+00
17 2187128.39 7.64e+00
18 2187134.71 6.32e+00
19 2187139.89 5.18e+00
20 2187144.10 4.21e+00
21 2187147.52 3.41e+00
22 2187150.28 2.76e+00
23 2187152.51 2.23e+00
24 2187154.33 1.82e+00
25 2187155.83 1.50e+00
26 2187157.07 1.25e+00
27 2187158.12 1.04e+00
28 2187159.00 8.83e-01
29 2187159.76 7.62e-01
30 2187160.43 6.67e-01
31 2187161.02 5.94e-01
32 2187161.56 5.37e-01
33 2187162.05 4.92e-01
34 2187162.51 4.56e-01
35 2187162.93 4.27e-01
36 2187163.34 4.04e-01
37 2187163.72 3.85e-01
38 2187164.09 3.67e-01
39 2187164.44 3.53e-01
40 2187164.78 3.41e-01
41 2187165.11 3.30e-01
42 2187165.44 3.22e-01
43 2187165.75 3.14e-01
44 2187166.06 3.07e-01
45 2187166.36 3.02e-01
46 2187166.65 2.97e-01
47 2187166.95 2.93e-01
48 2187167.24 2.89e-01
49 2187167.52 2.86e-01
50 2187167.81 2.84e-01
51 2187168.09 2.82e-01
52 2187168.37 2.81e-01
53 2187168.65 2.80e-01
54 2187168.93 2.79e-01
55 2187169.21 2.79e-01
56 2187169.49 2.80e-01
57 2187169.77 2.80e-01
58 2187170.05 2.81e-01
59 2187170.33 2.83e-01
60 2187170.62 2.89e-01
61 2187170.92 2.98e-01
62 2187171.22 3.00e-01
63 2187171.52 3.03e-01
64 2187171.83 3.06e-01
65 2187172.14 3.10e-01
66 2187172.45 3.14e-01
67 2187172.77 3.19e-01
68 2187173.10 3.24e-01
69 2187173.43 3.29e-01
70 2187173.76 3.35e-01
71 2187174.10 3.41e-01
72 2187174.45 3.47e-01
73 2187174.80 3.53e-01
74 2187175.16 3.60e-01
75 2187175.53 3.67e-01
76 2187175.92 3.88e-01
77 2187176.32 4.00e-01
78 2187176.72 4.07e-01
79 2187177.14 4.13e-01
80 2187177.56 4.20e-01
81 2187177.98 4.26e-01
82 2187178.41 4.32e-01
83 2187178.85 4.38e-01
84 2187179.30 4.44e-01
85 2187179.75 4.49e-01
86 2187180.20 4.54e-01
87 2187180.66 4.59e-01
88 2187181.13 4.67e-01
89 2187181.60 4.77e-01
90 2187182.09 4.85e-01
91 2187182.58 4.93e-01
92 2187183.08 5.01e-01
93 2187183.59 5.09e-01
94 2187184.11 5.18e-01
95 2187184.64 5.25e-01
96 2187185.17 5.32e-01
97 2187185.71 5.39e-01
98 2187186.25 5.44e-01
99 2187186.80 5.49e-01
100 2187187.35 5.52e-01
101 2187187.91 5.55e-01
102 2187188.46 5.56e-01
103 2187189.02 5.56e-01
104 2187189.57 5.55e-01
105 2187190.13 5.53e-01
106 2187190.68 5.50e-01
107 2187191.22 5.46e-01
108 2187191.77 5.43e-01
109 2187192.30 5.39e-01
110 2187192.84 5.34e-01
111 2187193.37 5.29e-01
112 2187193.89 5.23e-01
113 2187194.41 5.16e-01
114 2187194.91 5.09e-01
115 2187195.42 5.01e-01
116 2187195.91 4.93e-01
117 2187196.39 4.84e-01
118 2187196.87 4.74e-01
119 2187197.33 4.64e-01
120 2187197.78 4.53e-01
121 2187198.23 4.42e-01
122 2187198.66 4.31e-01
123 2187199.07 4.18e-01
124 2187199.48 4.06e-01
125 2187199.87 3.93e-01
126 2187200.25 3.80e-01
127 2187200.62 3.67e-01
128 2187200.97 3.53e-01
129 2187201.31 3.40e-01
130 2187201.64 3.26e-01
131 2187201.95 3.13e-01
132 2187202.25 3.00e-01
133 2187202.54 2.87e-01
134 2187202.81 2.74e-01
135 2187203.07 2.61e-01
136 2187203.32 2.49e-01
137 2187203.56 2.36e-01
138 2187203.78 2.25e-01
139 2187204.00 2.14e-01
140 2187204.20 2.03e-01
141 2187204.39 1.92e-01
142 2187204.58 1.82e-01
143 2187204.75 1.73e-01
144 2187204.91 1.63e-01
145 2187205.07 1.55e-01
146 2187205.21 1.47e-01
147 2187205.35 1.39e-01
148 2187205.48 1.31e-01
149 2187205.61 1.24e-01
150 2187205.72 1.17e-01
151 2187205.83 1.11e-01
152 2187205.94 1.05e-01
153 2187206.04 9.91e-02
154 2187206.13 9.36e-02
155 2187206.22 8.84e-02
156 2187206.30 8.34e-02
157 2187206.38 7.88e-02
158 2187206.46 7.43e-02
159 2187206.53 7.02e-02
160 2187206.59 6.62e-02
161 2187206.66 6.25e-02
162 2187206.72 5.89e-02
163 2187206.77 5.56e-02
164 2187206.82 5.24e-02
165 2187206.87 4.94e-02
166 2187206.92 4.66e-02
167 2187206.96 4.39e-02
168 2187207.00 4.14e-02
169 2187207.04 3.91e-02
170 2187207.08 3.68e-02
171 2187207.12 3.47e-02
172 2187207.15 3.27e-02
173 2187207.18 3.08e-02
174 2187207.21 2.90e-02
175 2187207.23 2.73e-02
176 2187207.26 2.57e-02
177 2187207.28 2.42e-02
178 2187207.31 2.27e-02
179 2187207.33 2.14e-02
180 2187207.35 2.01e-02
181 2187207.37 1.89e-02
182 2187207.39 1.77e-02
183 2187207.40 1.67e-02
184 2187207.42 1.57e-02
185 2187207.43 1.47e-02
186 2187207.45 1.38e-02
187 2187207.46 1.30e-02
188 2187207.47 1.22e-02
189 2187207.48 1.14e-02
190 2187207.49 1.07e-02
191 2187207.50 1.00e-02
192 2187207.51 9.40e-03
Performing nullcheck...
Deleting factor 17 decreases objective by 4.09e+03. Factor retained.
Nullcheck complete. Objective: 2187207.51
Fitting factor/loading 18 (stop when difference in obj. is < 1.00e-02):
Iteration Objective Obj Diff
1 2189248.70 Inf
2 2190712.61 1.46e+03
3 2190947.13 2.35e+02
4 2191072.34 1.25e+02
5 2191158.19 8.59e+01
6 2191215.66 5.75e+01
7 2191253.46 3.78e+01
8 2191278.94 2.55e+01
9 2191297.26 1.83e+01
10 2191311.46 1.42e+01
11 2191323.31 1.19e+01
12 2191333.68 1.04e+01
13 2191343.17 9.49e+00
14 2191352.24 9.07e+00
15 2191360.95 8.71e+00
16 2191369.29 8.34e+00
17 2191377.28 7.99e+00
18 2191384.92 7.64e+00
19 2191392.19 7.27e+00
20 2191399.11 6.92e+00
21 2191405.64 6.53e+00
22 2191411.73 6.09e+00
23 2191417.39 5.66e+00
24 2191422.63 5.24e+00
25 2191427.45 4.82e+00
26 2191431.88 4.43e+00
27 2191435.90 4.02e+00
28 2191439.50 3.60e+00
29 2191442.69 3.19e+00
30 2191445.51 2.82e+00
31 2191448.00 2.49e+00
32 2191450.20 2.20e+00
33 2191452.15 1.95e+00
34 2191453.87 1.72e+00
35 2191455.40 1.53e+00
36 2191456.75 1.35e+00
37 2191457.95 1.20e+00
38 2191459.01 1.07e+00
39 2191459.96 9.45e-01
40 2191460.80 8.39e-01
41 2191461.55 7.48e-01
42 2191462.22 6.70e-01
43 2191462.82 6.03e-01
44 2191463.37 5.46e-01
45 2191463.86 4.98e-01
46 2191464.32 4.56e-01
47 2191464.74 4.20e-01
48 2191465.13 3.89e-01
49 2191465.49 3.62e-01
50 2191465.83 3.39e-01
51 2191466.15 3.19e-01
52 2191466.45 3.01e-01
53 2191466.73 2.86e-01
54 2191467.01 2.72e-01
55 2191467.27 2.60e-01
56 2191467.52 2.50e-01
57 2191467.76 2.40e-01
58 2191467.99 2.32e-01
59 2191468.21 2.25e-01
60 2191468.43 2.18e-01
61 2191468.64 2.12e-01
62 2191468.85 2.06e-01
63 2191469.05 2.01e-01
64 2191469.25 1.97e-01
65 2191469.44 1.93e-01
66 2191469.63 1.89e-01
67 2191469.81 1.86e-01
68 2191470.00 1.83e-01
69 2191470.18 1.80e-01
70 2191470.35 1.78e-01
71 2191470.53 1.75e-01
72 2191470.70 1.74e-01
73 2191470.88 1.72e-01
74 2191471.05 1.70e-01
75 2191471.22 1.69e-01
76 2191471.38 1.68e-01
77 2191471.55 1.67e-01
78 2191471.72 1.67e-01
79 2191471.88 1.66e-01
80 2191472.05 1.66e-01
81 2191472.22 1.66e-01
82 2191472.38 1.67e-01
83 2191472.55 1.67e-01
84 2191472.72 1.68e-01
85 2191472.89 1.68e-01
86 2191473.06 1.69e-01
87 2191473.23 1.71e-01
88 2191473.40 1.72e-01
89 2191473.57 1.74e-01
90 2191473.75 1.76e-01
91 2191473.93 1.78e-01
92 2191474.11 1.81e-01
93 2191474.29 1.84e-01
94 2191474.48 1.87e-01
95 2191474.67 1.90e-01
96 2191474.86 1.94e-01
97 2191475.06 1.98e-01
98 2191475.26 2.02e-01
99 2191475.47 2.07e-01
100 2191475.68 2.13e-01
101 2191475.90 2.19e-01
102 2191476.13 2.25e-01
103 2191476.36 2.32e-01
104 2191476.60 2.40e-01
105 2191476.85 2.48e-01
106 2191477.10 2.57e-01
107 2191477.37 2.67e-01
108 2191477.65 2.77e-01
109 2191477.93 2.89e-01
110 2191478.24 3.02e-01
111 2191478.55 3.15e-01
112 2191478.88 3.30e-01
113 2191479.23 3.47e-01
114 2191479.59 3.65e-01
115 2191479.98 3.84e-01
116 2191480.38 4.05e-01
117 2191480.81 4.28e-01
118 2191481.27 4.53e-01
119 2191481.75 4.80e-01
120 2191482.26 5.10e-01
121 2191482.80 5.41e-01
122 2191483.37 5.75e-01
123 2191483.98 6.11e-01
124 2191484.63 6.49e-01
125 2191485.32 6.89e-01
126 2191486.05 7.31e-01
127 2191486.83 7.76e-01
128 2191487.65 8.22e-01
129 2191488.52 8.70e-01
130 2191489.44 9.19e-01
131 2191490.41 9.70e-01
132 2191491.43 1.02e+00
133 2191492.50 1.07e+00
134 2191493.62 1.12e+00
135 2191494.79 1.17e+00
136 2191496.01 1.22e+00
137 2191497.28 1.27e+00
138 2191498.59 1.31e+00
139 2191499.93 1.35e+00
140 2191501.31 1.38e+00
141 2191502.72 1.41e+00
142 2191504.15 1.43e+00
143 2191505.60 1.45e+00
144 2191507.06 1.46e+00
145 2191508.52 1.47e+00
146 2191510.00 1.48e+00
147 2191511.49 1.49e+00
148 2191512.96 1.47e+00
149 2191514.35 1.39e+00
150 2191515.85 1.50e+00
151 2191517.28 1.43e+00
152 2191518.68 1.39e+00
153 2191520.02 1.34e+00
154 2191521.29 1.28e+00
155 2191522.50 1.21e+00
156 2191523.63 1.13e+00
157 2191524.67 1.04e+00
158 2191525.62 9.51e-01
159 2191526.45 8.33e-01
160 2191527.21 7.56e-01
161 2191527.89 6.83e-01
162 2191528.51 6.18e-01
163 2191529.07 5.66e-01
164 2191529.59 5.17e-01
165 2191530.06 4.69e-01
166 2191530.48 4.23e-01
167 2191530.86 3.79e-01
168 2191531.20 3.38e-01
169 2191531.50 3.01e-01
170 2191531.77 2.70e-01
171 2191532.01 2.41e-01
172 2191532.22 2.12e-01
173 2191532.41 1.87e-01
174 2191532.57 1.64e-01
175 2191532.72 1.44e-01
176 2191532.84 1.26e-01
177 2191532.96 1.13e-01
178 2191533.06 1.03e-01
179 2191533.15 9.00e-02
180 2191533.23 7.86e-02
181 2191533.30 6.85e-02
182 2191533.36 5.97e-02
183 2191533.41 5.21e-02
184 2191533.45 4.61e-02
185 2191533.50 4.11e-02
186 2191533.53 3.66e-02
187 2191533.57 3.30e-02
188 2191533.60 2.96e-02
189 2191533.62 2.65e-02
190 2191533.65 2.38e-02
191 2191533.67 2.16e-02
192 2191533.69 1.96e-02
193 2191533.70 1.73e-02
194 2191533.72 1.50e-02
195 2191533.73 1.31e-02
196 2191533.74 1.17e-02
197 2191533.75 1.05e-02
198 2191533.76 9.40e-03
Performing nullcheck...
Deleting factor 18 decreases objective by 4.33e+03. Factor retained.
Nullcheck complete. Objective: 2191533.76
Fitting factor/loading 19 (stop when difference in obj. is < 1.00e-02):
Iteration Objective Obj Diff
1 2193763.53 Inf
2 2195293.69 1.53e+03
3 2195505.30 2.12e+02
4 2195616.76 1.11e+02
5 2195695.07 7.83e+01
6 2195748.76 5.37e+01
7 2195785.50 3.67e+01
8 2195810.91 2.54e+01
9 2195829.37 1.85e+01
10 2195843.87 1.45e+01
11 2195856.12 1.23e+01
12 2195867.24 1.11e+01
13 2195877.90 1.07e+01
14 2195888.37 1.05e+01
15 2195898.84 1.05e+01
16 2195909.45 1.06e+01
17 2195920.20 1.08e+01
18 2195930.94 1.07e+01
19 2195941.43 1.05e+01
20 2195951.64 1.02e+01
21 2195961.59 9.95e+00
22 2195971.13 9.54e+00
23 2195980.16 9.03e+00
24 2195988.61 8.45e+00
25 2195996.44 7.82e+00
26 2196003.55 7.12e+00
27 2196009.95 6.40e+00
28 2196015.73 5.77e+00
29 2196020.90 5.18e+00
30 2196025.53 4.62e+00
31 2196029.63 4.11e+00
32 2196033.26 3.63e+00
33 2196036.46 3.20e+00
34 2196039.26 2.81e+00
35 2196041.72 2.45e+00
36 2196043.86 2.14e+00
37 2196045.73 1.87e+00
38 2196047.34 1.61e+00
39 2196048.74 1.40e+00
40 2196049.95 1.21e+00
41 2196051.00 1.05e+00
42 2196051.90 9.06e-01
43 2196052.68 7.82e-01
44 2196053.36 6.76e-01
45 2196053.94 5.83e-01
46 2196054.45 5.03e-01
47 2196054.88 4.35e-01
48 2196055.26 3.79e-01
49 2196055.59 3.29e-01
50 2196055.87 2.84e-01
51 2196056.12 2.44e-01
52 2196056.33 2.10e-01
53 2196056.51 1.81e-01
54 2196056.66 1.55e-01
55 2196056.80 1.33e-01
56 2196056.91 1.14e-01
57 2196057.01 9.79e-02
58 2196057.09 8.38e-02
59 2196057.17 7.17e-02
60 2196057.23 6.13e-02
61 2196057.28 5.23e-02
62 2196057.32 4.47e-02
63 2196057.36 3.82e-02
64 2196057.39 3.26e-02
65 2196057.42 2.78e-02
66 2196057.45 2.37e-02
67 2196057.47 2.03e-02
68 2196057.48 1.73e-02
69 2196057.50 1.48e-02
70 2196057.51 1.26e-02
71 2196057.52 1.08e-02
72 2196057.53 9.18e-03
Performing nullcheck...
Deleting factor 19 decreases objective by 4.52e+03. Factor retained.
Nullcheck complete. Objective: 2196057.53
Fitting factor/loading 20 (stop when difference in obj. is < 1.00e-02):
Iteration Objective Obj Diff
1 2198284.40 Inf
2 2199950.68 1.67e+03
3 2200150.90 2.00e+02
4 2200248.82 9.79e+01
5 2200328.97 8.01e+01
6 2200390.57 6.16e+01
7 2200435.53 4.50e+01
8 2200468.12 3.26e+01
9 2200491.96 2.38e+01
10 2200509.72 1.78e+01
11 2200522.84 1.31e+01
12 2200532.55 9.71e+00
13 2200539.81 7.26e+00
14 2200545.27 5.46e+00
15 2200549.41 4.14e+00
16 2200552.67 3.26e+00
17 2200555.39 2.72e+00
18 2200557.71 2.32e+00
19 2200559.70 1.99e+00
20 2200561.40 1.71e+00
21 2200562.88 1.47e+00
22 2200564.15 1.27e+00
23 2200565.25 1.10e+00
24 2200566.20 9.50e-01
25 2200567.01 8.09e-01
26 2200567.71 6.99e-01
27 2200568.31 6.02e-01
28 2200568.83 5.14e-01
29 2200569.26 4.30e-01
30 2200569.61 3.56e-01
31 2200569.91 2.97e-01
32 2200570.17 2.62e-01
33 2200570.41 2.42e-01
34 2200570.64 2.23e-01
35 2200570.84 2.06e-01
36 2200571.04 1.91e-01
37 2200571.21 1.75e-01
38 2200571.37 1.61e-01
39 2200571.52 1.45e-01
40 2200571.65 1.30e-01
41 2200571.75 1.06e-01
42 2200571.84 8.58e-02
43 2200571.91 7.63e-02
44 2200571.98 6.79e-02
45 2200572.04 6.05e-02
46 2200572.10 5.40e-02
47 2200572.15 4.82e-02
48 2200572.19 4.31e-02
49 2200572.23 3.85e-02
50 2200572.24 1.36e-02
51 2200572.29 5.23e-02
52 2200572.32 2.78e-02
53 2200572.35 2.49e-02
54 2200572.37 2.24e-02
55 2200572.39 2.02e-02
56 2200572.41 1.82e-02
57 2200572.42 1.64e-02
58 2200572.44 1.45e-02
59 2200572.45 1.38e-02
60 2200572.46 1.21e-02
61 2200572.47 1.10e-02
62 2200572.48 9.97e-03
Performing nullcheck...
Deleting factor 20 decreases objective by 4.51e+03. Factor retained.
Nullcheck complete. Objective: 2200572.48
Fitting factor/loading 21 (stop when difference in obj. is < 1.00e-02):
Iteration Objective Obj Diff
1 2202565.23 Inf
2 2204447.69 1.88e+03
3 2204587.17 1.39e+02
4 2204616.01 2.88e+01
5 2204642.95 2.69e+01
6 2204667.94 2.50e+01
7 2204690.81 2.29e+01
8 2204711.73 2.09e+01
9 2204730.83 1.91e+01
10 2204748.16 1.73e+01
11 2204763.74 1.56e+01
12 2204777.49 1.37e+01
13 2204789.47 1.20e+01
14 2204800.31 1.08e+01
15 2204809.97 9.66e+00
16 2204818.54 8.57e+00
17 2204826.18 7.63e+00
18 2204833.01 6.83e+00
19 2204839.18 6.17e+00
20 2204844.83 5.64e+00
21 2204850.08 5.25e+00
22 2204855.08 5.00e+00
23 2204859.94 4.87e+00
24 2204864.81 4.87e+00
25 2204869.81 5.00e+00
26 2204875.09 5.28e+00
27 2204880.69 5.60e+00
28 2204886.64 5.95e+00
29 2204892.93 6.29e+00
30 2204899.64 6.71e+00
31 2204906.80 7.16e+00
32 2204914.42 7.62e+00
33 2204922.49 8.07e+00
34 2204931.05 8.56e+00
35 2204939.99 8.94e+00
36 2204949.26 9.27e+00
37 2204958.77 9.51e+00
38 2204968.45 9.68e+00
39 2204978.13 9.68e+00
40 2204987.77 9.64e+00
41 2204997.19 9.42e+00
42 2205006.29 9.10e+00
43 2205015.02 8.73e+00
44 2205023.32 8.30e+00
45 2205031.16 7.84e+00
46 2205038.52 7.36e+00
47 2205045.40 6.88e+00
48 2205051.81 6.41e+00
49 2205057.75 5.94e+00
50 2205063.22 5.47e+00
51 2205068.25 5.03e+00
52 2205072.86 4.61e+00
53 2205077.07 4.21e+00
54 2205080.91 3.84e+00
55 2205084.41 3.50e+00
56 2205087.61 3.20e+00
57 2205090.53 2.92e+00
58 2205093.18 2.65e+00
59 2205095.59 2.40e+00
60 2205097.76 2.17e+00
61 2205099.72 1.96e+00
62 2205101.49 1.77e+00
63 2205103.10 1.62e+00
64 2205104.57 1.47e+00
65 2205105.90 1.33e+00
66 2205107.09 1.19e+00
67 2205108.16 1.07e+00
68 2205109.12 9.57e-01
69 2205109.97 8.55e-01
70 2205110.73 7.64e-01
71 2205111.42 6.81e-01
72 2205112.02 6.08e-01
73 2205112.57 5.42e-01
74 2205113.05 4.83e-01
75 2205113.48 4.30e-01
76 2205113.86 3.84e-01
77 2205114.21 3.43e-01
78 2205114.51 3.06e-01
79 2205114.78 2.73e-01
80 2205115.03 2.44e-01
81 2205115.25 2.18e-01
82 2205115.44 1.94e-01
83 2205115.61 1.74e-01
84 2205115.77 1.55e-01
85 2205115.91 1.38e-01
86 2205116.03 1.23e-01
87 2205116.14 1.10e-01
88 2205116.24 9.81e-02
89 2205116.33 8.76e-02
90 2205116.40 7.81e-02
91 2205116.47 6.97e-02
92 2205116.54 6.22e-02
93 2205116.59 5.55e-02
94 2205116.64 4.95e-02
95 2205116.69 4.42e-02
96 2205116.72 3.94e-02
97 2205116.76 3.52e-02
98 2205116.79 3.14e-02
99 2205116.82 2.81e-02
100 2205116.84 2.51e-02
101 2205116.87 2.24e-02
102 2205116.89 2.00e-02
103 2205116.90 1.79e-02
104 2205116.92 1.59e-02
105 2205116.94 1.42e-02
106 2205116.95 1.27e-02
107 2205116.96 1.14e-02
108 2205116.97 1.02e-02
109 2205116.98 9.09e-03
Performing nullcheck...
Deleting factor 21 decreases objective by 4.54e+03. Factor retained.
Nullcheck complete. Objective: 2205116.98
Fitting factor/loading 22 (stop when difference in obj. is < 1.00e-02):
Iteration Objective Obj Diff
1 2207197.34 Inf
2 2209337.33 2.14e+03
3 2209515.17 1.78e+02
4 2209548.19 3.30e+01
5 2209580.95 3.28e+01
6 2209613.18 3.22e+01
7 2209644.23 3.10e+01
8 2209673.46 2.92e+01
9 2209700.45 2.70e+01
10 2209724.64 2.42e+01
11 2209745.80 2.12e+01
12 2209764.49 1.87e+01
13 2209780.76 1.63e+01
14 2209794.83 1.41e+01
15 2209806.83 1.20e+01
16 2209816.85 1.00e+01
17 2209825.14 8.28e+00
18 2209831.91 6.77e+00
19 2209837.40 5.49e+00
20 2209841.81 4.41e+00
21 2209845.33 3.52e+00
22 2209848.12 2.79e+00
23 2209850.31 2.19e+00
24 2209852.03 1.72e+00
25 2209853.38 1.35e+00
26 2209854.44 1.05e+00
27 2209855.26 8.18e-01
28 2209855.89 6.35e-01
29 2209856.38 4.91e-01
30 2209856.76 3.80e-01
31 2209857.05 2.93e-01
32 2209857.28 2.28e-01
33 2209857.46 1.78e-01
34 2209857.60 1.39e-01
35 2209857.71 1.07e-01
36 2209857.79 8.24e-02
37 2209857.85 6.33e-02
38 2209857.90 4.86e-02
39 2209857.94 3.73e-02
40 2209857.97 2.86e-02
41 2209857.99 2.19e-02
42 2209858.01 1.68e-02
43 2209858.02 1.29e-02
44 2209858.03 9.91e-03
Performing nullcheck...
Deleting factor 22 decreases objective by 4.74e+03. Factor retained.
Nullcheck complete. Objective: 2209858.03
Fitting factor/loading 23 (stop when difference in obj. is < 1.00e-02):
Iteration Objective Obj Diff
1 2211282.51 Inf
2 2213955.24 2.67e+03
3 2214230.16 2.75e+02
4 2214230.72 5.57e-01
5 2214230.72 7.16e-04
Performing nullcheck...
Deleting factor 23 decreases objective by 4.37e+03. Factor retained.
Nullcheck complete. Objective: 2214230.72
Fitting factor/loading 24 (stop when difference in obj. is < 1.00e-02):
Iteration Objective Obj Diff
1 2214147.35 Inf
2 2214201.75 5.44e+01
3 2214223.89 2.21e+01
4 2214233.89 9.99e+00
5 2214234.03 1.42e-01
6 2214240.35 6.33e+00
7 2214242.94 2.59e+00
8 2214242.96 1.76e-02
9 2214242.96 4.71e-05
Performing nullcheck...
Deleting factor 24 decreases objective by 1.22e+01. Factor retained.
Nullcheck complete. Objective: 2214242.97
Fitting factor/loading 25 (stop when difference in obj. is < 1.00e-02):
Iteration Objective Obj Diff
1 2214132.90 Inf
2 2214202.37 6.95e+01
3 2214220.19 1.78e+01
4 2214231.36 1.12e+01
5 2214233.89 2.53e+00
6 2214241.58 7.69e+00
Warning in verbose_obj_decrease_warning(): An iteration decreased the objective.
This happens occasionally, perhaps due to numeric reasons. You could ignore this
warning, but you might like to check out https://github.com/stephenslab/flashr/
issues/26 for more details.
7 2214241.43 -1.41e-01
Performing nullcheck...
Deleting factor 25 increases objective by 1.53e+00. Factor zeroed out.
Nullcheck complete. Objective: 2214242.97
Plot the factors from flash
par(mfrow=c(3,4))
par(mai=rep(0.1,4))
for(i in 1:12){
plot(S.flash$ldf$l[,i],main=paste0(i))
}

Compare factors from flash and truncated:
par(mfrow=c(3,4))
par(mai=rep(0.1,4))
for(i in 1:12){
plot(S.flash$ldf$l[,i],Strunc.flash$ldf$l[,i])
}

image(cor(S.flash$ldf$l[,1:12],Strunc.flash$ldf$l[,1:12]))

plot(S.flash$ldf$l[,7],Strunc.flash$ldf$l[,6])

gene_names =colnames(df)[-1]
gene_names[order(S.flash$ldf$l[,2])]
[1] "RPS5" "RPL13" "RPL32" "RPS3A"
[5] "RPS12" "RPS6" "RPL11" "RPS2"
[9] "RPL18A" "RPS13" "RPL10A" "RPL31"
[13] "RPL5" "RPS23" "RPS8" "RPL12"
[17] "RPL18" "RPLP2" "RPS14" "RPL4"
[21] "RPL19" "RPLP1" "RPS25" "RPL9"
[25] "RPS16" "RPS9" "RPS4X" "RPS18"
[29] "RPL10" "RPL29" "RPL3" "RPL7"
[33] "EEF1B2" "RPS15" "RPL22" "RPS28"
[37] "RPL36" "RPS19" "EEF1A1" "RPL21"
[41] "RP11.291B21.2" "RPL15" "RPL8" "NACA"
[45] "S100B" "NPM1" "GNB2L1" "RPL30"
[49] "RPL13A" "LDHB" "RPSA" "TPT1"
[53] "RPS20" "CCR7" "RPS15A" "RPS3"
[57] "RPL6" "RPL28" "RPS10" "RPL35A"
[61] "RPL34" "NOSIP" "RPL7A" "AIF1"
[65] "RPL37A" "SELL" "C6orf48" "PABPC1"
[69] "LEF1" "RPL23" "RPLP0" "PIK3IP1"
[73] "PRKCQ.AS1" "EIF3L" "RGS10" "EIF3E"
[77] "ST13" "NDFIP1" "RPL14" "RPS7"
[81] "UBA52" "CD8B" "RPL24" "RPL27"
[85] "COX4I1" "RPL37" "RPL38" "GLTSCR2"
[89] "TMEM66" "RPL27A" "RPS11" "RPS27"
[93] "SNHG7" "RPL17" "RSL1D1" "RPS21"
[97] "FBL" "RPS27A" "TMSB10" "HSPB1"
[101] "RASGRP2" "COMMD6" "TMEM123" "RPL35"
[105] "RPL36A" "SNHG8" "MT.ND4" "NAP1L1"
[109] "EEF1D" "MT.CO3" "LEPROTL1" "NBEAL1"
[113] "ATP5O" "EIF3H" "SMDT1" "FLT3LG"
[117] "GPX1" "LIMD2" "C11orf31" "C1QBP"
[121] "PFDN5" "CD27" "RPS24" "ANP32B"
[125] "ATP6V1G1" "RPS29" "BTF3" "PPA1"
[129] "UBE2D2" "EEF2" "TRAF3IP3" "ZFAS1"
[133] "RPL26" "SLC25A6" "ATP5A1" "GIMAP7"
[137] "HNRNPA1" "JUNB" "RPL41" "UXT"
[141] "CHCHD10" "COX7C" "ALKBH7" "RPSAP58"
[145] "GYPC" "OCIAD2" "FAU" "C12orf57"
[149] "CALM3" "NHP2" "HMGN1" "NUCB2"
[153] "RPL23A" "ANAPC16" "SERP1" "FYB"
[157] "HSP90AB1" "UQCRH" "CMPK1" "RPL39"
[161] "PNISR" "DDT" "MT.ND3" "TOMM7"
[165] "C9orf78" "SERBP1" "ISG20" "FIS1"
[169] "MT.CO2" "PRMT2" "SLC25A5" "COX6C"
[173] "PRDX2" "EIF3D" "EDF1" "MT.CYB"
[177] "TXNIP" "MZT2B" "LTB" "MZT2A"
[181] "EIF3M" "HINT1" "PRDX6" "COX7A2L"
[185] "C19orf70" "MRPL23" "LSM7" "CD48"
[189] "EIF3G" "C19orf53" "CCNI" "CCDC109B"
[193] "LBH" "GPX4" "AES" "PCBP2"
[197] "SEPT9" "UBXN1" "UCP2" "TUFM"
[201] "ACAP1" "PA2G4" "EIF4A2" "TBCA"
[205] "CUTA" "PSMC5" "MIF" "RNASET2"
[209] "ATP5H" "EIF3F" "PCBP1" "KRT10"
[213] "DAD1" "MT.ATP6" "STK17A" "ERGIC3"
[217] "ATP6V1F" "MINOS1" "KLF2" "UFC1"
[221] "MORF4L1" "ARPC5" "UQCRQ" "VAMP2"
[225] "TSTD1" "RPS26" "ATP5D" "ATP5L"
[229] "EIF3K" "SSU72" "SNRPD2" "VPS28"
[233] "CCND3" "GPSM3" "HLA.F" "NDUFA11"
[237] "PTGES3" "LAMTOR4" "SKP1" "SEPT1"
[241] "MRPS21" "CD7" "NDUFB8" "RAN"
[245] "WDR83OS" "SOD1" "UQCR10" "DDIT4"
[249] "BTG2" "HIGD2A" "HNRNPM" "ISCU"
[253] "MT.ND1" "C4orf3" "CCDC85B" "AURKAIP1"
[257] "MT.ND2" "NDUFS5" "COX7A2" "PGK1"
[261] "CIRBP" "POLD4" "TMEM230" "LITAF"
[265] "SLC25A3" "CD37" "SEC62" "NHP2L1"
[269] "NDUFB11" "C9orf16" "RPS19BP1" "SRSF5"
[273] "UBE2D3" "PEBP1" "SPCS1" "PARK7"
[277] "ARL6IP4" "LAPTM5" "HSPA8" "SYF2"
[281] "C19orf60" "IER2" "HNRNPA0" "PAIP2"
[285] "CAP1" "ATP5J" "IFITM1" "TBC1D10C"
[289] "C11orf58" "TRAPPC1" "LSM4" "EVL"
[293] "MYEOV2" "ALDOA" "CNN2" "APRT"
[297] "GMFG" "ATP6V0E1" "COX5B" "ATP5G2"
[301] "VAMP8" "LCK" "EIF4A1" "NDUFA4"
[305] "CD3E" "RBM3" "SEPW1" "PRDX5"
[309] "TRMT112" "GADD45GIP1" "CALM2" "ATP5B"
[313] "SON" "U2AF1" "ERP29" "DRAP1"
[317] "YBX1" "HNRNPA2B1" "MPHOSPH8" "SSR4"
[321] "HNRNPC" "POLR2L" "HNRNPK" "OST4"
[325] "YWHAB" "SCAND1" "NDUFA1" "FXYD5"
[329] "PKM" "PSMB8" "GTF3A" "CAPZB"
[333] "LAT" "COX6A1" "NDUFB9" "COX6B1"
[337] "ATP5G3" "TMEM258" "ECH1" "RHOA"
[341] "FKBP8" "TUBA1A" "BRK1" "CSTB"
[345] "COTL1" "COX8A" "ATP5J2" "RWDD1"
[349] "SSR2" "NDUFB2" "PRELID1" "IL7R"
[353] "SUN2" "PSMB1" "ATP5F1" "CIB1"
[357] "CD44" "SUMO2" "GSTK1" "H2AFZ"
[361] "TMA7" "BIN1" "COPE" "UBL5"
[365] "TPI1" "TPM3" "BIN2" "FTL"
[369] "ATPIF1" "NEDD8" "KRTCAP2" "RABAC1"
[373] "ENO1" "CNBP" "ICAM3" "UQCR11"
[377] "C19orf43" "DNAJB1" "TCEB2" "GLRX"
[381] "SNRPB" "CXCR4" "C9orf142" "ZFP36L2"
[385] "ITM2B" "MT.ND5" "JTB" "RBM39"
[389] "HNRNPDL" "NDUFA13" "TUBA1B" "ARHGDIB"
[393] "LDHA" "CD3G" "NDUFB10" "PNRC1"
[397] "TMBIM6" "PRR13" "CHCHD2" "PSME2"
[401] "SF3B5" "CORO1A" "SAP18" "LY6E"
[405] "LSP1" "CD8A" "TSPO" "BTG1"
[409] "COX5A" "ATP5E" "SRSF3" "TSC22D3"
[413] "PPDPF" "ARPC3" "PTMA" "PPIA"
[417] "SRP14" "PSME1" "DDX5" "ARPC1B"
[421] "RPL36AL" "SERF2" "PSMA7" "EID1"
[425] "MT.CO1" "TMEM59" "SRSF7" "VIM"
[429] "SEPT7" "CD53" "GSTP1" "RAC2"
[433] "RARRES3" "GUK1" "PTPRC" "HMGB1"
[437] "ID2" "GZMM" "CD3D" "PPP1CA"
[441] "HSP90AA1" "ACTG1" "TAGLN2" "MYL12B"
[445] "OAZ1" "ARPC2" "IL2RG" "PSMB9"
[449] "PPIB" "ITGB2" "FTH1" "UBB"
[453] "IFITM2" "CD2" "MYL6" "HLA.E"
[457] "CD69" "CRIP1" "S100A10" "DUSP2"
[461] "PPP1R15A" "CFL1" "ZFP36" "MYL12A"
[465] "NFKBIA" "HCST" "H3F3B" "CALM1"
[469] "EMP3" "CD52" "GAPDH" "PTPRCAP"
[473] "CTSW" "UBC" "FOS" "EIF1"
[477] "CD74" "JUN" "S100A6" "CYBA"
[481] "CD99" "CLIC1" "HLA.C" "DUSP1"
[485] "PFN1" "HLA.A" "SH3BGRL3" "ACTB"
[489] "IL32" "HLA.B" "GZMK" "TMSB4X"
[493] "CST7" "GZMA" "S100A4" "B2M"
[497] "MALAT1" "GNLY" "NKG7" "CCL5"
To cluster cells (rather than genes) we need to run flash on the larger covariance (cell-cell).
Scell = (1/p) * t(Ynorm) %*% Ynorm
diag(Scell) <- NA
Scell.flash = flash(Scell,K=50)
ebnm package not installed. ebnm_ash will be used instead of ebnm_pn.
Fitting factor/loading 1 (stop when difference in obj. is < 1.00e-02):
Iteration Objective Obj Diff
1 1167221.34 Inf
2 1238847.89 7.16e+04
3 1243129.26 4.28e+03
4 1243394.12 2.65e+02
5 1243410.36 1.62e+01
6 1243411.35 9.92e-01
7 1243411.41 6.07e-02
8 1243411.42 3.76e-03
Performing nullcheck...
Deleting factor 1 decreases objective by 1.43e+07. Factor retained.
Nullcheck complete. Objective: 1243411.42
Fitting factor/loading 2 (stop when difference in obj. is < 1.00e-02):
Iteration Objective Obj Diff
1 2144145.09 Inf
2 2146443.89 2.30e+03
3 2147085.62 6.42e+02
4 2147268.47 1.83e+02
5 2147320.05 5.16e+01
6 2147334.49 1.44e+01
7 2147338.52 4.03e+00
8 2147339.65 1.13e+00
9 2147339.97 3.16e-01
10 2147340.05 8.94e-02
11 2147340.08 2.57e-02
12 2147340.09 7.64e-03
Performing nullcheck...
Deleting factor 2 decreases objective by 9.04e+05. Factor retained.
Nullcheck complete. Objective: 2147340.09
Fitting factor/loading 3 (stop when difference in obj. is < 1.00e-02):
Iteration Objective Obj Diff
1 2318281.31 Inf
2 2321212.80 2.93e+03
3 2323346.65 2.13e+03
4 2324924.30 1.58e+03
5 2326049.84 1.13e+03
6 2326825.96 7.76e+02
7 2327345.67 5.20e+02
8 2327684.22 3.39e+02
9 2327899.20 2.15e+02
10 2328028.97 1.30e+02
11 2328111.45 8.25e+01
12 2328160.89 4.94e+01
13 2328190.24 2.93e+01
14 2328207.53 1.73e+01
15 2328217.65 1.01e+01
16 2328223.52 5.87e+00
17 2328226.90 3.38e+00
18 2328228.85 1.94e+00
19 2328229.96 1.12e+00
20 2328230.60 6.40e-01
21 2328230.97 3.68e-01
22 2328231.18 2.11e-01
23 2328231.30 1.22e-01
24 2328231.38 7.03e-02
25 2328231.42 4.08e-02
26 2328231.44 2.38e-02
27 2328231.45 1.40e-02
28 2328231.46 8.29e-03
Performing nullcheck...
Deleting factor 3 decreases objective by 1.81e+05. Factor retained.
Nullcheck complete. Objective: 2328231.46
Fitting factor/loading 4 (stop when difference in obj. is < 1.00e-02):
Iteration Objective Obj Diff
1 2456250.70 Inf
2 2456460.88 2.10e+02
3 2456520.87 6.00e+01
4 2456543.23 2.24e+01
5 2456552.40 9.17e+00
6 2456556.35 3.95e+00
7 2456558.10 1.75e+00
8 2456558.89 7.87e-01
9 2456559.24 3.57e-01
10 2456559.41 1.64e-01
11 2456559.48 7.59e-02
12 2456559.52 3.56e-02
13 2456559.54 1.70e-02
14 2456559.55 8.25e-03
Performing nullcheck...
Deleting factor 4 decreases objective by 1.28e+05. Factor retained.
Nullcheck complete. Objective: 2456559.55
Fitting factor/loading 5 (stop when difference in obj. is < 1.00e-02):
Iteration Objective Obj Diff
1 2544204.78 Inf
2 2544286.87 8.21e+01
3 2544313.38 2.65e+01
4 2544324.07 1.07e+01
5 2544328.88 4.81e+00
6 2544331.17 2.30e+00
7 2544332.30 1.13e+00
8 2544332.86 5.61e-01
9 2544333.14 2.79e-01
10 2544333.28 1.38e-01
11 2544333.35 6.79e-02
12 2544333.38 3.29e-02
13 2544333.40 1.55e-02
14 2544333.40 7.05e-03
Performing nullcheck...
Deleting factor 5 decreases objective by 8.78e+04. Factor retained.
Nullcheck complete. Objective: 2544333.4
Fitting factor/loading 6 (stop when difference in obj. is < 1.00e-02):
Iteration Objective Obj Diff
1 2606639.03 Inf
2 2606795.78 1.57e+02
3 2606859.07 6.33e+01
4 2606885.51 2.64e+01
5 2606896.62 1.11e+01
6 2606901.31 4.69e+00
7 2606903.31 2.00e+00
8 2606904.17 8.64e-01
9 2606904.55 3.81e-01
10 2606904.73 1.73e-01
11 2606904.81 8.15e-02
12 2606904.85 4.01e-02
13 2606904.87 2.07e-02
14 2606904.88 1.13e-02
15 2606904.89 6.37e-03
Performing nullcheck...
Deleting factor 6 decreases objective by 6.26e+04. Factor retained.
Nullcheck complete. Objective: 2606904.89
Fitting factor/loading 7 (stop when difference in obj. is < 1.00e-02):
Iteration Objective Obj Diff
1 2647656.74 Inf
2 2647671.68 1.49e+01
3 2647674.14 2.46e+00
4 2647674.90 7.56e-01
5 2647675.14 2.45e-01
6 2647675.23 8.28e-02
7 2647675.26 2.94e-02
8 2647675.27 1.10e-02
9 2647675.27 4.39e-03
Performing nullcheck...
Deleting factor 7 decreases objective by 4.08e+04. Factor retained.
Nullcheck complete. Objective: 2647675.27
Fitting factor/loading 8 (stop when difference in obj. is < 1.00e-02):
Iteration Objective Obj Diff
1 2674491.75 Inf
2 2674507.37 1.56e+01
3 2674512.63 5.26e+00
4 2674514.93 2.30e+00
5 2674516.00 1.07e+00
6 2674516.52 5.24e-01
7 2674516.79 2.65e-01
8 2674516.93 1.38e-01
9 2674517.00 7.42e-02
10 2674517.04 4.08e-02
11 2674517.07 2.30e-02
12 2674517.08 1.34e-02
13 2674517.09 7.95e-03
Performing nullcheck...
Deleting factor 8 decreases objective by 2.68e+04. Factor retained.
Nullcheck complete. Objective: 2674517.09
Fitting factor/loading 9 (stop when difference in obj. is < 1.00e-02):
Iteration Objective Obj Diff
1 2693603.97 Inf
2 2693650.17 4.62e+01
3 2693675.60 2.54e+01
4 2693692.97 1.74e+01
5 2693705.06 1.21e+01
6 2693713.58 8.52e+00
7 2693719.65 6.07e+00
8 2693724.01 4.36e+00
9 2693727.17 3.16e+00
10 2693729.48 2.31e+00
11 2693731.17 1.69e+00
12 2693732.42 1.25e+00
13 2693733.34 9.26e-01
14 2693734.03 6.90e-01
15 2693734.55 5.15e-01
16 2693734.94 3.87e-01
17 2693735.23 2.91e-01
18 2693735.45 2.20e-01
19 2693735.61 1.66e-01
20 2693735.74 1.26e-01
21 2693735.83 9.58e-02
22 2693735.91 7.30e-02
23 2693735.96 5.57e-02
24 2693736.01 4.26e-02
25 2693736.04 3.27e-02
26 2693736.06 2.51e-02
27 2693736.08 1.93e-02
28 2693736.10 1.49e-02
29 2693736.11 1.16e-02
30 2693736.12 8.97e-03
Performing nullcheck...
Deleting factor 9 decreases objective by 1.92e+04. Factor retained.
Nullcheck complete. Objective: 2693736.12
Fitting factor/loading 10 (stop when difference in obj. is < 1.00e-02):
Iteration Objective Obj Diff
1 2709189.57 Inf
2 2709275.29 8.57e+01
3 2709348.56 7.33e+01
4 2709415.05 6.65e+01
5 2709475.48 6.04e+01
6 2709529.92 5.44e+01
7 2709578.93 4.90e+01
8 2709623.02 4.41e+01
9 2709662.62 3.96e+01
10 2709698.12 3.55e+01
11 2709729.91 3.18e+01
12 2709758.35 2.84e+01
13 2709783.75 2.54e+01
14 2709806.40 2.26e+01
15 2709826.55 2.02e+01
16 2709844.49 1.79e+01
17 2709860.46 1.60e+01
18 2709874.67 1.42e+01
19 2709887.31 1.26e+01
20 2709898.56 1.12e+01
21 2709908.60 1.00e+01
22 2709917.54 8.94e+00
23 2709925.48 7.94e+00
24 2709932.50 7.02e+00
25 2709938.67 6.17e+00
26 2709944.08 5.41e+00
27 2709948.82 4.74e+00
28 2709952.97 4.15e+00
29 2709956.60 3.64e+00
30 2709959.80 3.19e+00
31 2709962.61 2.81e+00
32 2709965.09 2.48e+00
33 2709967.29 2.20e+00
34 2709969.24 1.95e+00
35 2709970.97 1.73e+00
36 2709972.51 1.54e+00
37 2709973.89 1.38e+00
38 2709975.12 1.23e+00
39 2709976.22 1.10e+00
40 2709977.20 9.85e-01
41 2709978.09 8.84e-01
42 2709978.88 7.91e-01
43 2709979.58 7.06e-01
44 2709980.21 6.31e-01
45 2709980.78 5.64e-01
46 2709981.28 5.04e-01
47 2709981.73 4.51e-01
48 2709982.13 4.03e-01
49 2709982.50 3.61e-01
50 2709982.82 3.23e-01
51 2709983.11 2.90e-01
52 2709983.37 2.60e-01
53 2709983.60 2.33e-01
54 2709983.81 2.08e-01
55 2709983.99 1.85e-01
56 2709984.16 1.65e-01
57 2709984.31 1.47e-01
58 2709984.44 1.31e-01
59 2709984.55 1.17e-01
60 2709984.66 1.04e-01
61 2709984.75 9.27e-02
62 2709984.83 8.27e-02
63 2709984.91 7.37e-02
64 2709984.97 6.58e-02
65 2709985.03 5.87e-02
66 2709985.08 5.23e-02
67 2709985.13 4.67e-02
68 2709985.17 4.17e-02
69 2709985.21 3.72e-02
70 2709985.24 3.32e-02
71 2709985.27 2.96e-02
72 2709985.30 2.65e-02
73 2709985.32 2.36e-02
74 2709985.34 2.11e-02
75 2709985.36 1.89e-02
76 2709985.38 1.69e-02
77 2709985.39 1.51e-02
78 2709985.41 1.35e-02
79 2709985.42 1.20e-02
80 2709985.43 1.08e-02
81 2709985.44 9.62e-03
Performing nullcheck...
Deleting factor 10 decreases objective by 1.62e+04. Factor retained.
Nullcheck complete. Objective: 2709985.44
Fitting factor/loading 11 (stop when difference in obj. is < 1.00e-02):
Iteration Objective Obj Diff
1 2725052.25 Inf
2 2725073.96 2.17e+01
3 2725087.08 1.31e+01
4 2725098.20 1.11e+01
5 2725107.87 9.67e+00
6 2725116.34 8.47e+00
7 2725123.73 7.39e+00
8 2725130.24 6.52e+00
9 2725136.02 5.78e+00
10 2725141.16 5.14e+00
11 2725145.74 4.58e+00
12 2725149.83 4.09e+00
13 2725153.49 3.66e+00
14 2725156.74 3.25e+00
15 2725159.61 2.87e+00
16 2725162.16 2.54e+00
17 2725164.43 2.28e+00
18 2725166.48 2.05e+00
19 2725168.32 1.85e+00
20 2725169.99 1.67e+00
21 2725171.50 1.51e+00
22 2725172.87 1.37e+00
23 2725174.11 1.24e+00
24 2725175.23 1.13e+00
25 2725176.26 1.03e+00
26 2725177.19 9.34e-01
27 2725178.04 8.52e-01
28 2725178.82 7.78e-01
29 2725179.53 7.11e-01
30 2725180.18 6.51e-01
31 2725180.78 5.96e-01
32 2725181.33 5.46e-01
33 2725181.83 5.01e-01
34 2725182.29 4.60e-01
35 2725182.71 4.23e-01
36 2725183.10 3.89e-01
37 2725183.46 3.58e-01
38 2725183.79 3.29e-01
39 2725184.09 3.03e-01
40 2725184.37 2.80e-01
41 2725184.63 2.58e-01
42 2725184.87 2.38e-01
43 2725185.09 2.19e-01
44 2725185.29 2.03e-01
45 2725185.47 1.87e-01
46 2725185.65 1.73e-01
47 2725185.81 1.60e-01
48 2725185.95 1.48e-01
49 2725186.09 1.37e-01
50 2725186.22 1.26e-01
51 2725186.33 1.17e-01
52 2725186.44 1.08e-01
53 2725186.54 1.00e-01
54 2725186.64 9.28e-02
55 2725186.72 8.59e-02
56 2725186.80 7.96e-02
57 2725186.88 7.38e-02
58 2725186.94 6.84e-02
59 2725187.01 6.34e-02
60 2725187.07 5.88e-02
61 2725187.12 5.46e-02
62 2725187.17 5.06e-02
63 2725187.22 4.70e-02
64 2725187.26 4.36e-02
65 2725187.30 4.05e-02
66 2725187.34 3.76e-02
67 2725187.37 3.49e-02
68 2725187.41 3.25e-02
69 2725187.44 3.02e-02
70 2725187.47 2.80e-02
71 2725187.49 2.61e-02
72 2725187.52 2.42e-02
73 2725187.54 2.26e-02
74 2725187.56 2.10e-02
75 2725187.58 1.95e-02
76 2725187.60 1.82e-02
77 2725187.61 1.69e-02
78 2725187.63 1.57e-02
79 2725187.64 1.47e-02
80 2725187.66 1.37e-02
81 2725187.67 1.27e-02
82 2725187.68 1.19e-02
83 2725187.69 1.11e-02
84 2725187.70 1.03e-02
85 2725187.71 9.62e-03
Performing nullcheck...
Deleting factor 11 decreases objective by 1.52e+04. Factor retained.
Nullcheck complete. Objective: 2725187.71
Fitting factor/loading 12 (stop when difference in obj. is < 1.00e-02):
Iteration Objective Obj Diff
1 2739918.96 Inf
2 2739942.71 2.38e+01
3 2739959.48 1.68e+01
4 2739974.05 1.46e+01
5 2739987.15 1.31e+01
6 2739999.15 1.20e+01
7 2740010.28 1.11e+01
8 2740020.70 1.04e+01
9 2740030.50 9.80e+00
10 2740039.75 9.24e+00
11 2740048.49 8.74e+00
12 2740056.74 8.26e+00
13 2740064.52 7.78e+00
14 2740071.83 7.30e+00
15 2740078.66 6.84e+00
16 2740085.03 6.37e+00
17 2740090.95 5.91e+00
18 2740096.41 5.47e+00
19 2740101.44 5.03e+00
20 2740106.05 4.61e+00
21 2740110.26 4.21e+00
22 2740114.08 3.82e+00
23 2740117.54 3.46e+00
24 2740120.66 3.12e+00
25 2740123.46 2.80e+00
26 2740125.97 2.51e+00
27 2740128.21 2.24e+00
28 2740130.19 1.99e+00
29 2740131.96 1.76e+00
30 2740133.51 1.56e+00
31 2740134.88 1.37e+00
32 2740136.09 1.20e+00
33 2740137.14 1.05e+00
34 2740138.06 9.22e-01
35 2740138.87 8.04e-01
36 2740139.57 7.00e-01
37 2740140.18 6.08e-01
38 2740140.70 5.27e-01
39 2740141.16 4.57e-01
40 2740141.55 3.95e-01
41 2740141.89 3.41e-01
42 2740142.19 2.94e-01
43 2740142.44 2.53e-01
44 2740142.66 2.18e-01
45 2740142.85 1.87e-01
46 2740143.01 1.61e-01
47 2740143.15 1.38e-01
48 2740143.26 1.18e-01
49 2740143.36 1.01e-01
50 2740143.45 8.69e-02
51 2740143.53 7.45e-02
52 2740143.59 6.38e-02
53 2740143.64 5.46e-02
54 2740143.69 4.68e-02
55 2740143.73 4.01e-02
56 2740143.77 3.43e-02
57 2740143.80 2.94e-02
58 2740143.82 2.52e-02
59 2740143.84 2.16e-02
60 2740143.86 1.85e-02
61 2740143.88 1.59e-02
62 2740143.89 1.36e-02
63 2740143.90 1.17e-02
64 2740143.91 1.01e-02
65 2740143.92 8.67e-03
Performing nullcheck...
Deleting factor 12 decreases objective by 1.50e+04. Factor retained.
Nullcheck complete. Objective: 2740143.92
Fitting factor/loading 13 (stop when difference in obj. is < 1.00e-02):
Iteration Objective Obj Diff
1 2754064.22 Inf
2 2754077.73 1.35e+01
3 2754084.19 6.46e+00
4 2754088.95 4.76e+00
5 2754092.69 3.74e+00
6 2754095.71 3.01e+00
7 2754098.17 2.46e+00
8 2754100.20 2.03e+00
9 2754101.88 1.68e+00
10 2754103.27 1.39e+00
11 2754104.43 1.16e+00
12 2754105.39 9.63e-01
13 2754106.20 8.02e-01
14 2754106.87 6.68e-01
15 2754107.42 5.57e-01
16 2754107.89 4.64e-01
17 2754108.27 3.87e-01
18 2754108.60 3.23e-01
19 2754108.86 2.69e-01
20 2754109.09 2.24e-01
21 2754109.28 1.87e-01
22 2754109.43 1.56e-01
23 2754109.56 1.30e-01
24 2754109.67 1.09e-01
25 2754109.76 9.06e-02
26 2754109.84 7.55e-02
27 2754109.90 6.30e-02
28 2754109.95 5.25e-02
29 2754110.00 4.38e-02
30 2754110.03 3.65e-02
31 2754110.06 3.05e-02
32 2754110.09 2.54e-02
33 2754110.11 2.12e-02
34 2754110.13 1.77e-02
35 2754110.14 1.47e-02
36 2754110.15 1.23e-02
37 2754110.16 1.02e-02
38 2754110.17 8.53e-03
Performing nullcheck...
Deleting factor 13 decreases objective by 1.40e+04. Factor retained.
Nullcheck complete. Objective: 2754110.17
Fitting factor/loading 14 (stop when difference in obj. is < 1.00e-02):
Iteration Objective Obj Diff
1 2766621.92 Inf
2 2766630.95 9.03e+00
3 2766632.58 1.63e+00
4 2766633.39 8.06e-01
5 2766633.87 4.77e-01
6 2766634.18 3.14e-01
7 2766634.40 2.22e-01
8 2766634.57 1.64e-01
9 2766634.69 1.25e-01
10 2766634.79 9.73e-02
11 2766634.87 7.72e-02
12 2766634.93 6.20e-02
13 2766634.98 5.04e-02
14 2766635.02 4.13e-02
15 2766635.05 3.41e-02
16 2766635.08 2.84e-02
17 2766635.11 2.37e-02
18 2766635.13 1.99e-02
19 2766635.14 1.68e-02
20 2766635.16 1.42e-02
21 2766635.17 1.20e-02
22 2766635.18 1.02e-02
23 2766635.19 8.66e-03
Performing nullcheck...
Deleting factor 14 decreases objective by 1.25e+04. Factor retained.
Nullcheck complete. Objective: 2766635.19
Fitting factor/loading 15 (stop when difference in obj. is < 1.00e-02):
Iteration Objective Obj Diff
1 2778172.72 Inf
2 2778181.56 8.84e+00
3 2778183.67 2.12e+00
4 2778184.62 9.46e-01
5 2778185.09 4.67e-01
6 2778185.34 2.48e-01
7 2778185.48 1.40e-01
8 2778185.56 8.33e-02
9 2778185.61 5.21e-02
10 2778185.65 3.40e-02
11 2778185.67 2.31e-02
12 2778185.69 1.62e-02
13 2778185.70 1.17e-02
14 2778185.71 8.67e-03
Performing nullcheck...
Deleting factor 15 decreases objective by 1.16e+04. Factor retained.
Nullcheck complete. Objective: 2778185.71
Fitting factor/loading 16 (stop when difference in obj. is < 1.00e-02):
Iteration Objective Obj Diff
1 2788811.37 Inf
2 2788819.35 7.98e+00
3 2788819.59 2.34e-01
4 2788821.01 1.43e+00
5 2788822.12 1.11e+00
6 2788823.01 8.88e-01
7 2788823.74 7.32e-01
Warning in verbose_obj_decrease_warning(): An iteration decreased the objective.
This happens occasionally, perhaps due to numeric reasons. You could ignore this
warning, but you might like to check out https://github.com/stephenslab/flashr/
issues/26 for more details.
8 2788821.81 -1.93e+00
Performing nullcheck...
Deleting factor 16 decreases objective by 1.06e+04. Factor retained.
Nullcheck complete. Objective: 2788821.81
Fitting factor/loading 17 (stop when difference in obj. is < 1.00e-02):
Iteration Objective Obj Diff
1 2798610.39 Inf
2 2798618.89 8.51e+00
3 2798621.07 2.17e+00
4 2798622.27 1.20e+00
5 2798623.02 7.47e-01
6 2798623.52 5.00e-01
7 2798623.88 3.55e-01
8 2798624.14 2.65e-01
9 2798624.34 2.05e-01
10 2798624.51 1.63e-01
11 2798624.64 1.33e-01
12 2798624.75 1.10e-01
13 2798624.84 9.30e-02
14 2798624.92 7.92e-02
15 2798624.99 6.80e-02
16 2798625.05 5.89e-02
17 2798625.10 5.12e-02
18 2798625.15 4.48e-02
19 2798625.19 3.93e-02
20 2798625.22 3.46e-02
21 2798625.25 3.05e-02
22 2798625.28 2.69e-02
23 2798625.30 2.38e-02
24 2798625.32 2.11e-02
25 2798625.34 1.88e-02
26 2798625.36 1.67e-02
27 2798625.37 1.49e-02
28 2798625.39 1.32e-02
29 2798625.40 1.18e-02
30 2798625.41 1.05e-02
31 2798625.42 9.38e-03
Performing nullcheck...
Deleting factor 17 decreases objective by 9.80e+03. Factor retained.
Nullcheck complete. Objective: 2798625.42
Fitting factor/loading 18 (stop when difference in obj. is < 1.00e-02):
Iteration Objective Obj Diff
1 2808325.75 Inf
2 2808335.63 9.88e+00
3 2808338.64 3.01e+00
4 2808340.32 1.68e+00
5 2808341.35 1.03e+00
6 2808342.01 6.63e-01
7 2808342.46 4.47e-01
8 2808342.77 3.13e-01
9 2808343.00 2.26e-01
10 2808343.16 1.67e-01
11 2808343.29 1.26e-01
12 2808343.39 9.76e-02
13 2808343.46 7.65e-02
14 2808343.53 6.08e-02
15 2808343.57 4.89e-02
16 2808343.61 3.97e-02
17 2808343.65 3.26e-02
18 2808343.67 2.69e-02
19 2808343.70 2.24e-02
20 2808343.71 1.88e-02
21 2808343.73 1.58e-02
22 2808343.74 1.34e-02
23 2808343.76 1.14e-02
24 2808343.77 9.78e-03
Performing nullcheck...
Deleting factor 18 decreases objective by 9.72e+03. Factor retained.
Nullcheck complete. Objective: 2808343.77
Fitting factor/loading 19 (stop when difference in obj. is < 1.00e-02):
Iteration Objective Obj Diff
1 2817590.12 Inf
2 2817599.06 8.93e+00
3 2817601.60 2.54e+00
4 2817603.15 1.55e+00
5 2817604.21 1.07e+00
6 2817605.00 7.86e-01
7 2817605.60 6.07e-01
8 2817606.09 4.83e-01
9 2817606.48 3.94e-01
10 2817606.81 3.25e-01
11 2817607.08 2.72e-01
12 2817607.31 2.29e-01
13 2817607.50 1.94e-01
14 2817607.67 1.66e-01
15 2817607.81 1.42e-01
16 2817607.93 1.22e-01
17 2817608.04 1.05e-01
18 2817608.13 9.10e-02
19 2817608.21 7.90e-02
20 2817608.28 6.88e-02
21 2817608.34 6.01e-02
22 2817608.39 5.26e-02
23 2817608.43 4.62e-02
24 2817608.48 4.07e-02
25 2817608.51 3.60e-02
26 2817608.54 3.19e-02
27 2817608.57 2.84e-02
28 2817608.60 2.53e-02
29 2817608.62 2.26e-02
30 2817608.64 2.02e-02
31 2817608.66 1.82e-02
32 2817608.67 1.64e-02
33 2817608.69 1.48e-02
34 2817608.70 1.34e-02
35 2817608.71 1.21e-02
36 2817608.73 1.10e-02
37 2817608.74 1.01e-02
38 2817608.74 9.20e-03
Performing nullcheck...
Deleting factor 19 decreases objective by 9.26e+03. Factor retained.
Nullcheck complete. Objective: 2817608.74
Fitting factor/loading 20 (stop when difference in obj. is < 1.00e-02):
Iteration Objective Obj Diff
1 2826277.58 Inf
2 2826297.68 2.01e+01
3 2826303.98 6.31e+00
4 2826308.22 4.23e+00
5 2826311.24 3.03e+00
6 2826313.48 2.24e+00
7 2826315.19 1.70e+00
8 2826316.51 1.32e+00
9 2826317.56 1.05e+00
10 2826318.40 8.43e-01
11 2826319.09 6.91e-01
12 2826319.67 5.76e-01
13 2826320.15 4.88e-01
14 2826320.57 4.19e-01
15 2826320.94 3.65e-01
16 2826321.26 3.22e-01
17 2826321.55 2.88e-01
18 2826321.81 2.60e-01
19 2826322.04 2.37e-01
20 2826322.26 2.17e-01
21 2826322.46 2.01e-01
22 2826322.65 1.87e-01
23 2826322.82 1.74e-01
24 2826322.99 1.64e-01
25 2826323.14 1.54e-01
26 2826323.29 1.46e-01
27 2826323.42 1.38e-01
28 2826323.56 1.31e-01
29 2826323.68 1.25e-01
30 2826323.80 1.19e-01
31 2826323.91 1.14e-01
32 2826324.02 1.09e-01
33 2826324.13 1.04e-01
34 2826324.22 9.94e-02
35 2826324.32 9.51e-02
36 2826324.41 9.08e-02
37 2826324.50 8.71e-02
38 2826324.58 8.35e-02
39 2826324.66 8.00e-02
40 2826324.74 7.66e-02
41 2826324.81 7.34e-02
42 2826324.88 7.04e-02
43 2826324.95 6.75e-02
44 2826325.01 6.47e-02
45 2826325.08 6.20e-02
46 2826325.14 5.95e-02
47 2826325.19 5.71e-02
48 2826325.25 5.47e-02
49 2826325.30 5.25e-02
50 2826325.35 5.03e-02
51 2826325.40 4.83e-02
52 2826325.44 4.63e-02
53 2826325.49 4.44e-02
54 2826325.53 4.26e-02
55 2826325.57 4.10e-02
56 2826325.61 3.93e-02
57 2826325.65 3.76e-02
58 2826325.69 3.61e-02
59 2826325.72 3.46e-02
60 2826325.75 3.32e-02
61 2826325.79 3.18e-02
62 2826325.82 3.05e-02
63 2826325.85 2.93e-02
64 2826325.87 2.81e-02
65 2826325.90 2.69e-02
66 2826325.93 2.58e-02
67 2826325.95 2.48e-02
68 2826325.97 2.38e-02
69 2826326.00 2.28e-02
70 2826326.02 2.19e-02
71 2826326.04 2.10e-02
72 2826326.06 2.01e-02
73 2826326.08 1.93e-02
74 2826326.10 1.85e-02
75 2826326.12 1.78e-02
76 2826326.13 1.70e-02
77 2826326.15 1.64e-02
78 2826326.17 1.57e-02
79 2826326.18 1.51e-02
80 2826326.19 1.44e-02
81 2826326.21 1.39e-02
82 2826326.22 1.33e-02
83 2826326.23 1.28e-02
84 2826326.25 1.22e-02
85 2826326.26 1.17e-02
86 2826326.27 1.13e-02
87 2826326.28 1.08e-02
88 2826326.29 1.04e-02
89 2826326.30 9.95e-03
Performing nullcheck...
Deleting factor 20 decreases objective by 8.72e+03. Factor retained.
Nullcheck complete. Objective: 2826326.3
Fitting factor/loading 21 (stop when difference in obj. is < 1.00e-02):
Iteration Objective Obj Diff
1 2834736.15 Inf
2 2834751.24 1.51e+01
3 2834758.89 7.64e+00
4 2834765.00 6.12e+00
5 2834770.20 5.19e+00
6 2834774.73 4.54e+00
7 2834778.77 4.04e+00
8 2834782.40 3.63e+00
9 2834785.70 3.30e+00
10 2834788.71 3.01e+00
11 2834791.48 2.77e+00
12 2834794.03 2.55e+00
13 2834796.38 2.36e+00
14 2834798.57 2.19e+00
15 2834800.60 2.03e+00
16 2834802.49 1.89e+00
17 2834804.24 1.76e+00
18 2834805.88 1.64e+00
19 2834807.41 1.53e+00
20 2834808.84 1.43e+00
21 2834810.18 1.34e+00
22 2834811.43 1.25e+00
23 2834812.60 1.17e+00
24 2834813.69 1.10e+00
25 2834814.72 1.03e+00
26 2834815.68 9.60e-01
27 2834816.58 8.98e-01
28 2834817.42 8.41e-01
29 2834818.21 7.87e-01
30 2834818.94 7.37e-01
31 2834819.63 6.90e-01
32 2834820.28 6.46e-01
33 2834820.88 6.05e-01
34 2834821.45 5.69e-01
35 2834821.99 5.35e-01
36 2834822.49 5.03e-01
37 2834822.97 4.73e-01
38 2834823.41 4.45e-01
39 2834823.83 4.20e-01
40 2834824.23 3.96e-01
41 2834824.60 3.73e-01
42 2834824.95 3.51e-01
43 2834825.28 3.31e-01
44 2834825.59 3.11e-01
45 2834825.89 2.93e-01
46 2834826.16 2.75e-01
47 2834826.42 2.58e-01
48 2834826.66 2.42e-01
49 2834826.89 2.27e-01
50 2834827.10 2.13e-01
51 2834827.30 2.00e-01
52 2834827.49 1.87e-01
53 2834827.66 1.75e-01
54 2834827.83 1.64e-01
55 2834827.98 1.53e-01
56 2834828.12 1.43e-01
57 2834828.26 1.34e-01
58 2834828.38 1.25e-01
59 2834828.50 1.17e-01
60 2834828.61 1.09e-01
61 2834828.71 1.02e-01
62 2834828.81 9.49e-02
63 2834828.89 8.85e-02
64 2834828.98 8.25e-02
65 2834829.05 7.68e-02
66 2834829.12 7.15e-02
67 2834829.19 6.66e-02
68 2834829.25 6.20e-02
69 2834829.31 5.77e-02
70 2834829.36 5.38e-02
71 2834829.41 5.00e-02
72 2834829.46 4.66e-02
73 2834829.50 4.33e-02
74 2834829.54 4.03e-02
75 2834829.58 3.75e-02
76 2834829.62 3.49e-02
77 2834829.65 3.24e-02
78 2834829.68 3.02e-02
79 2834829.71 2.81e-02
80 2834829.73 2.61e-02
81 2834829.76 2.42e-02
82 2834829.78 2.25e-02
83 2834829.80 2.09e-02
84 2834829.82 1.95e-02
85 2834829.84 1.81e-02
86 2834829.86 1.68e-02
87 2834829.87 1.56e-02
88 2834829.89 1.45e-02
89 2834829.90 1.35e-02
90 2834829.91 1.25e-02
91 2834829.92 1.16e-02
92 2834829.93 1.08e-02
93 2834829.94 9.99e-03
Performing nullcheck...
Deleting factor 21 decreases objective by 8.50e+03. Factor retained.
Nullcheck complete. Objective: 2834829.94
Fitting factor/loading 22 (stop when difference in obj. is < 1.00e-02):
Iteration Objective Obj Diff
1 2842941.68 Inf
2 2842951.39 9.71e+00
3 2842954.62 3.23e+00
4 2842956.91 2.29e+00
5 2842958.68 1.77e+00
6 2842960.12 1.44e+00
7 2842961.33 1.21e+00
8 2842962.37 1.04e+00
9 2842963.28 9.09e-01
10 2842964.09 8.07e-01
11 2842964.81 7.26e-01
12 2842965.47 6.60e-01
13 2842966.08 6.05e-01
14 2842966.64 5.59e-01
15 2842967.16 5.20e-01
16 2842967.64 4.84e-01
17 2842968.10 4.54e-01
18 2842968.53 4.28e-01
19 2842968.93 4.05e-01
20 2842969.31 3.85e-01
21 2842969.68 3.66e-01
22 2842970.03 3.50e-01
23 2842970.37 3.35e-01
24 2842970.69 3.21e-01
25 2842970.99 3.09e-01
26 2842971.29 2.97e-01
27 2842971.58 2.86e-01
28 2842971.86 2.77e-01
29 2842972.12 2.67e-01
30 2842972.38 2.59e-01
31 2842972.63 2.51e-01
32 2842972.88 2.43e-01
33 2842973.11 2.36e-01
34 2842973.34 2.30e-01
35 2842973.56 2.23e-01
36 2842973.78 2.17e-01
37 2842973.99 2.11e-01
38 2842974.20 2.06e-01
39 2842974.40 2.01e-01
40 2842974.60 1.96e-01
41 2842974.79 1.91e-01
42 2842974.97 1.86e-01
43 2842975.16 1.82e-01
44 2842975.33 1.78e-01
45 2842975.51 1.74e-01
46 2842975.68 1.70e-01
47 2842975.84 1.66e-01
48 2842976.01 1.62e-01
49 2842976.16 1.59e-01
50 2842976.32 1.55e-01
51 2842976.47 1.52e-01
52 2842976.62 1.49e-01
53 2842976.77 1.46e-01
54 2842976.91 1.43e-01
55 2842977.05 1.40e-01
56 2842977.18 1.37e-01
57 2842977.32 1.34e-01
58 2842977.45 1.31e-01
59 2842977.58 1.29e-01
60 2842977.70 1.26e-01
61 2842977.83 1.23e-01
62 2842977.95 1.21e-01
63 2842978.07 1.19e-01
64 2842978.18 1.16e-01
65 2842978.30 1.14e-01
66 2842978.41 1.12e-01
67 2842978.52 1.10e-01
68 2842978.63 1.07e-01
69 2842978.73 1.05e-01
70 2842978.83 1.03e-01
71 2842978.94 1.01e-01
72 2842979.04 9.94e-02
73 2842979.13 9.75e-02
74 2842979.23 9.56e-02
75 2842979.32 9.38e-02
76 2842979.41 9.20e-02
77 2842979.50 9.03e-02
78 2842979.59 8.86e-02
79 2842979.68 8.69e-02
80 2842979.77 8.53e-02
81 2842979.85 8.37e-02
82 2842979.93 8.21e-02
83 2842980.01 8.06e-02
84 2842980.09 7.91e-02
85 2842980.17 7.76e-02
86 2842980.24 7.62e-02
87 2842980.32 7.47e-02
88 2842980.39 7.33e-02
89 2842980.46 7.20e-02
90 2842980.54 7.07e-02
91 2842980.60 6.93e-02
92 2842980.67 6.81e-02
93 2842980.74 6.68e-02
94 2842980.81 6.56e-02
95 2842980.87 6.44e-02
96 2842980.93 6.32e-02
97 2842980.99 6.20e-02
98 2842981.06 6.09e-02
99 2842981.12 5.98e-02
100 2842981.17 5.87e-02
101 2842981.23 5.76e-02
102 2842981.29 5.65e-02
103 2842981.34 5.55e-02
104 2842981.40 5.45e-02
105 2842981.45 5.35e-02
106 2842981.50 5.25e-02
107 2842981.56 5.16e-02
108 2842981.61 5.06e-02
109 2842981.66 4.97e-02
110 2842981.70 4.88e-02
111 2842981.75 4.79e-02
112 2842981.80 4.70e-02
113 2842981.85 4.62e-02
114 2842981.89 4.54e-02
115 2842981.94 4.45e-02
116 2842981.98 4.37e-02
117 2842982.02 4.29e-02
118 2842982.06 4.22e-02
119 2842982.11 4.14e-02
120 2842982.15 4.06e-02
121 2842982.19 3.99e-02
122 2842982.23 3.92e-02
123 2842982.26 3.85e-02
124 2842982.30 3.78e-02
125 2842982.34 3.71e-02
126 2842982.38 3.64e-02
127 2842982.41 3.58e-02
128 2842982.45 3.51e-02
129 2842982.48 3.45e-02
130 2842982.51 3.39e-02
131 2842982.55 3.33e-02
132 2842982.58 3.27e-02
133 2842982.61 3.21e-02
134 2842982.64 3.15e-02
135 2842982.68 3.10e-02
136 2842982.71 3.04e-02
137 2842982.74 2.99e-02
138 2842982.77 2.93e-02
139 2842982.79 2.88e-02
140 2842982.82 2.83e-02
141 2842982.85 2.78e-02
142 2842982.88 2.73e-02
143 2842982.90 2.68e-02
144 2842982.93 2.63e-02
145 2842982.96 2.59e-02
146 2842982.98 2.54e-02
147 2842983.01 2.50e-02
148 2842983.03 2.45e-02
149 2842983.06 2.41e-02
150 2842983.08 2.37e-02
151 2842983.10 2.32e-02
152 2842983.13 2.28e-02
153 2842983.15 2.24e-02
154 2842983.17 2.20e-02
155 2842983.19 2.17e-02
156 2842983.21 2.13e-02
157 2842983.23 2.09e-02
158 2842983.25 2.05e-02
159 2842983.27 2.02e-02
160 2842983.29 1.98e-02
161 2842983.31 1.95e-02
162 2842983.33 1.91e-02
163 2842983.35 1.88e-02
164 2842983.37 1.85e-02
165 2842983.39 1.82e-02
166 2842983.41 1.78e-02
167 2842983.42 1.75e-02
168 2842983.44 1.72e-02
169 2842983.46 1.69e-02
170 2842983.47 1.66e-02
171 2842983.49 1.63e-02
172 2842983.51 1.61e-02
173 2842983.52 1.58e-02
174 2842983.54 1.55e-02
175 2842983.55 1.52e-02
176 2842983.57 1.50e-02
177 2842983.58 1.47e-02
178 2842983.60 1.45e-02
179 2842983.61 1.42e-02
180 2842983.63 1.40e-02
181 2842983.64 1.37e-02
182 2842983.65 1.35e-02
183 2842983.67 1.33e-02
184 2842983.68 1.31e-02
185 2842983.69 1.28e-02
186 2842983.70 1.26e-02
187 2842983.72 1.24e-02
188 2842983.73 1.22e-02
189 2842983.74 1.20e-02
190 2842983.75 1.18e-02
191 2842983.76 1.16e-02
192 2842983.78 1.14e-02
193 2842983.79 1.12e-02
194 2842983.80 1.10e-02
195 2842983.81 1.08e-02
196 2842983.82 1.06e-02
197 2842983.83 1.05e-02
198 2842983.84 1.03e-02
199 2842983.85 1.01e-02
200 2842983.86 9.95e-03
Performing nullcheck...
Deleting factor 22 decreases objective by 8.15e+03. Factor retained.
Nullcheck complete. Objective: 2842983.86
Fitting factor/loading 23 (stop when difference in obj. is < 1.00e-02):
Iteration Objective Obj Diff
1 2851025.08 Inf
2 2851038.27 1.32e+01
3 2851044.62 6.35e+00
4 2851049.77 5.15e+00
5 2851054.21 4.44e+00
6 2851058.18 3.96e+00
7 2851061.78 3.61e+00
8 2851065.11 3.33e+00
9 2851068.23 3.11e+00
10 2851071.15 2.93e+00
11 2851073.92 2.77e+00
12 2851076.56 2.63e+00
13 2851079.04 2.48e+00
14 2851081.42 2.38e+00
15 2851083.70 2.29e+00
16 2851085.88 2.18e+00
17 2851087.98 2.10e+00
18 2851090.01 2.03e+00
19 2851091.97 1.96e+00
20 2851093.86 1.89e+00
21 2851095.69 1.83e+00
22 2851097.45 1.76e+00
23 2851099.14 1.69e+00
24 2851100.77 1.63e+00
25 2851102.33 1.57e+00
26 2851103.84 1.51e+00
27 2851105.29 1.45e+00
28 2851106.68 1.39e+00
29 2851107.96 1.28e+00
30 2851109.19 1.22e+00
31 2851110.36 1.18e+00
32 2851111.50 1.13e+00
33 2851112.53 1.03e+00
34 2851113.51 9.85e-01
35 2851114.46 9.46e-01
36 2851115.37 9.08e-01
37 2851116.24 8.72e-01
38 2851117.07 8.37e-01
39 2851117.88 8.03e-01
40 2851118.65 7.70e-01
41 2851119.38 7.38e-01
42 2851120.09 7.08e-01
43 2851120.77 6.78e-01
44 2851121.42 6.50e-01
45 2851122.04 6.22e-01
46 2851122.64 5.96e-01
47 2851123.21 5.71e-01
48 2851123.76 5.46e-01
49 2851124.28 5.23e-01
50 2851124.78 5.00e-01
51 2851125.26 4.79e-01
52 2851125.72 4.58e-01
53 2851126.15 4.38e-01
54 2851126.57 4.19e-01
55 2851126.97 4.00e-01
56 2851127.35 3.83e-01
57 2851127.72 3.66e-01
58 2851128.07 3.50e-01
59 2851128.40 3.34e-01
60 2851128.72 3.19e-01
61 2851129.03 3.05e-01
62 2851129.32 2.91e-01
63 2851129.60 2.78e-01
64 2851129.86 2.66e-01
65 2851130.12 2.54e-01
66 2851130.36 2.42e-01
67 2851130.59 2.31e-01
68 2851130.81 2.21e-01
69 2851131.02 2.11e-01
70 2851131.22 2.01e-01
71 2851131.41 1.92e-01
72 2851131.60 1.83e-01
73 2851131.77 1.75e-01
74 2851131.94 1.67e-01
75 2851132.10 1.59e-01
76 2851132.25 1.52e-01
77 2851132.40 1.45e-01
78 2851132.53 1.38e-01
79 2851132.67 1.32e-01
80 2851132.79 1.26e-01
81 2851132.91 1.20e-01
82 2851133.03 1.15e-01
83 2851133.14 1.09e-01
84 2851133.24 1.04e-01
85 2851133.34 9.98e-02
86 2851133.44 9.55e-02
87 2851133.53 9.14e-02
88 2851133.61 8.74e-02
89 2851133.70 8.35e-02
90 2851133.78 7.99e-02
91 2851133.85 7.63e-02
92 2851133.93 7.30e-02
93 2851134.00 6.98e-02
94 2851134.06 6.67e-02
95 2851134.13 6.37e-02
96 2851134.19 6.09e-02
97 2851134.25 5.82e-02
98 2851134.30 5.56e-02
99 2851134.36 5.32e-02
100 2851134.41 5.09e-02
101 2851134.45 4.89e-02
102 2851134.50 4.69e-02
103 2851134.55 4.50e-02
104 2851134.59 4.31e-02
105 2851134.63 4.13e-02
106 2851134.67 3.96e-02
107 2851134.71 3.79e-02
108 2851134.74 3.63e-02
109 2851134.78 3.48e-02
110 2851134.81 3.33e-02
111 2851134.84 3.19e-02
112 2851134.88 3.06e-02
113 2851134.90 2.93e-02
114 2851134.93 2.81e-02
115 2851134.96 2.69e-02
116 2851134.99 2.58e-02
117 2851135.01 2.47e-02
118 2851135.03 2.37e-02
119 2851135.06 2.27e-02
120 2851135.08 2.17e-02
121 2851135.10 2.08e-02
122 2851135.12 1.99e-02
123 2851135.14 1.91e-02
124 2851135.16 1.83e-02
125 2851135.17 1.75e-02
126 2851135.19 1.68e-02
127 2851135.21 1.61e-02
128 2851135.22 1.54e-02
129 2851135.24 1.48e-02
130 2851135.25 1.42e-02
131 2851135.27 1.36e-02
132 2851135.28 1.30e-02
133 2851135.29 1.25e-02
134 2851135.30 1.19e-02
135 2851135.31 1.14e-02
136 2851135.32 1.10e-02
137 2851135.34 1.05e-02
138 2851135.35 1.01e-02
139 2851135.36 9.65e-03
Performing nullcheck...
Deleting factor 23 decreases objective by 8.15e+03. Factor retained.
Nullcheck complete. Objective: 2851135.36
Fitting factor/loading 24 (stop when difference in obj. is < 1.00e-02):
Iteration Objective Obj Diff
1 2859006.85 Inf
2 2859020.45 1.36e+01
3 2859028.18 7.73e+00
4 2859032.27 4.09e+00
Warning in verbose_obj_decrease_warning(): An iteration decreased the objective.
This happens occasionally, perhaps due to numeric reasons. You could ignore this
warning, but you might like to check out https://github.com/stephenslab/flashr/
issues/26 for more details.
5 2859029.95 -2.32e+00
Performing nullcheck...
Deleting factor 24 decreases objective by 7.89e+03. Factor retained.
Nullcheck complete. Objective: 2859029.95
Fitting factor/loading 25 (stop when difference in obj. is < 1.00e-02):
Iteration Objective Obj Diff
1 2866462.23 Inf
2 2866475.07 1.28e+01
3 2866480.08 5.01e+00
4 2866483.65 3.57e+00
5 2866486.43 2.78e+00
6 2866488.71 2.28e+00
7 2866490.66 1.95e+00
8 2866492.37 1.71e+00
9 2866493.89 1.53e+00
10 2866495.29 1.39e+00
11 2866496.58 1.29e+00
12 2866497.79 1.21e+00
13 2866498.93 1.14e+00
14 2866500.02 1.09e+00
15 2866501.07 1.05e+00
16 2866502.08 1.01e+00
17 2866503.06 9.80e-01
18 2866504.01 9.54e-01
19 2866504.95 9.32e-01
20 2866505.86 9.13e-01
21 2866506.76 8.97e-01
22 2866507.64 8.83e-01
23 2866508.51 8.70e-01
24 2866509.37 8.59e-01
25 2866510.22 8.48e-01
26 2866511.05 8.38e-01
27 2866511.88 8.28e-01
28 2866512.70 8.19e-01
29 2866513.51 8.11e-01
30 2866514.32 8.04e-01
31 2866515.11 7.96e-01
32 2866515.90 7.89e-01
33 2866516.68 7.82e-01
34 2866517.46 7.75e-01
35 2866518.23 7.69e-01
36 2866518.99 7.62e-01
37 2866519.75 7.56e-01
38 2866520.50 7.49e-01
39 2866521.24 7.43e-01
40 2866521.98 7.37e-01
41 2866522.71 7.30e-01
42 2866523.43 7.24e-01
43 2866524.15 7.17e-01
44 2866524.86 7.10e-01
45 2866525.56 7.03e-01
46 2866526.26 6.96e-01
47 2866526.95 6.89e-01
48 2866527.63 6.83e-01
49 2866528.31 6.77e-01
50 2866528.98 6.70e-01
51 2866529.64 6.64e-01
52 2866530.30 6.57e-01
53 2866530.95 6.50e-01
54 2866531.59 6.43e-01
55 2866532.22 6.35e-01
56 2866532.85 6.29e-01
57 2866533.48 6.23e-01
58 2866534.09 6.17e-01
59 2866534.70 6.11e-01
60 2866535.31 6.05e-01
61 2866535.90 5.93e-01
62 2866536.48 5.77e-01
63 2866537.04 5.60e-01
64 2866537.58 5.43e-01
65 2866538.11 5.28e-01
66 2866538.63 5.16e-01
67 2866539.13 5.05e-01
68 2866539.62 4.91e-01
69 2866540.09 4.72e-01
70 2866540.55 4.53e-01
71 2866540.98 4.35e-01
72 2866541.40 4.19e-01
73 2866541.80 4.02e-01
74 2866542.19 3.86e-01
75 2866542.56 3.74e-01
76 2866542.93 3.64e-01
77 2866543.28 3.57e-01
78 2866543.63 3.49e-01
79 2866543.97 3.41e-01
Warning in verbose_obj_decrease_warning(): An iteration decreased the objective.
This happens occasionally, perhaps due to numeric reasons. You could ignore this
warning, but you might like to check out https://github.com/stephenslab/flashr/
issues/26 for more details.
80 2866543.37 -6.00e-01
Performing nullcheck...
Deleting factor 25 decreases objective by 7.51e+03. Factor retained.
Nullcheck complete. Objective: 2866543.37
Fitting factor/loading 26 (stop when difference in obj. is < 1.00e-02):
Iteration Objective Obj Diff
1 2874156.52 Inf
2 2874166.95 1.04e+01
3 2874170.43 3.48e+00
4 2874172.80 2.37e+00
5 2874174.55 1.75e+00
6 2874175.91 1.36e+00
7 2874176.99 1.08e+00
8 2874177.87 8.85e-01
9 2874178.61 7.37e-01
10 2874179.23 6.22e-01
11 2874179.77 5.33e-01
12 2874180.23 4.61e-01
13 2874180.63 4.02e-01
14 2874180.98 3.54e-01
15 2874181.30 3.14e-01
16 2874181.58 2.80e-01
17 2874181.83 2.52e-01
18 2874182.06 2.28e-01
19 2874182.26 2.07e-01
20 2874182.45 1.89e-01
21 2874182.62 1.73e-01
22 2874182.78 1.59e-01
23 2874182.93 1.46e-01
24 2874183.06 1.35e-01
25 2874183.19 1.26e-01
26 2874183.31 1.18e-01
27 2874183.42 1.11e-01
28 2874183.52 1.04e-01
29 2874183.62 9.80e-02
30 2874183.71 9.24e-02
31 2874183.80 8.74e-02
32 2874183.88 8.28e-02
33 2874183.96 7.86e-02
34 2874184.04 7.49e-02
35 2874184.11 7.16e-02
36 2874184.18 6.88e-02
37 2874184.25 6.63e-02
38 2874184.31 6.40e-02
39 2874184.37 6.17e-02
40 2874184.43 5.96e-02
41 2874184.49 5.76e-02
42 2874184.54 5.58e-02
43 2874184.60 5.41e-02
44 2874184.65 5.25e-02
45 2874184.70 5.09e-02
46 2874184.75 4.86e-02
47 2874184.80 4.59e-02
48 2874184.84 4.35e-02
49 2874184.88 4.11e-02
50 2874184.92 3.81e-02
51 2874184.95 3.15e-02
52 2874184.98 2.97e-02
53 2874185.01 2.83e-02
Warning in verbose_obj_decrease_warning(): An iteration decreased the objective.
This happens occasionally, perhaps due to numeric reasons. You could ignore this
warning, but you might like to check out https://github.com/stephenslab/flashr/
issues/26 for more details.
54 2874184.82 -1.85e-01
Performing nullcheck...
Deleting factor 26 decreases objective by 7.64e+03. Factor retained.
Nullcheck complete. Objective: 2874184.82
Fitting factor/loading 27 (stop when difference in obj. is < 1.00e-02):
Iteration Objective Obj Diff
1 2881625.81 Inf
2 2881639.03 1.32e+01
3 2881645.20 6.18e+00
4 2881650.27 5.06e+00
5 2881654.70 4.43e+00
6 2881658.73 4.03e+00
7 2881662.48 3.75e+00
8 2881666.02 3.54e+00
9 2881669.40 3.38e+00
10 2881672.65 3.25e+00
11 2881675.80 3.15e+00
12 2881678.86 3.06e+00
13 2881681.83 2.97e+00
14 2881684.73 2.90e+00
15 2881687.56 2.83e+00
16 2881690.33 2.77e+00
17 2881693.04 2.71e+00
18 2881695.69 2.66e+00
19 2881698.30 2.61e+00
20 2881700.84 2.55e+00
21 2881703.32 2.47e+00
22 2881705.74 2.42e+00
23 2881708.10 2.36e+00
24 2881710.41 2.31e+00
25 2881712.66 2.25e+00
26 2881714.85 2.19e+00
27 2881716.97 2.13e+00
28 2881719.04 2.06e+00
29 2881721.06 2.02e+00
30 2881723.03 1.97e+00
31 2881724.96 1.93e+00
32 2881726.85 1.89e+00
33 2881728.69 1.84e+00
34 2881730.49 1.80e+00
35 2881732.24 1.76e+00
36 2881733.95 1.71e+00
37 2881735.62 1.67e+00
38 2881737.25 1.63e+00
39 2881738.83 1.58e+00
40 2881740.37 1.54e+00
41 2881741.87 1.50e+00
42 2881743.33 1.46e+00
43 2881744.75 1.42e+00
44 2881746.12 1.37e+00
45 2881747.46 1.33e+00
46 2881748.75 1.29e+00
47 2881750.00 1.25e+00
48 2881751.22 1.21e+00
49 2881752.39 1.17e+00
50 2881753.53 1.14e+00
Warning in verbose_obj_decrease_warning(): An iteration decreased the objective.
This happens occasionally, perhaps due to numeric reasons. You could ignore this
warning, but you might like to check out https://github.com/stephenslab/flashr/
issues/26 for more details.
51 2881752.39 -1.14e+00
Performing nullcheck...
Deleting factor 27 decreases objective by 7.57e+03. Factor retained.
Nullcheck complete. Objective: 2881752.39
Fitting factor/loading 28 (stop when difference in obj. is < 1.00e-02):
Iteration Objective Obj Diff
1 2889153.62 Inf
2 2889162.54 8.92e+00
3 2889165.06 2.52e+00
4 2889166.91 1.86e+00
5 2889168.44 1.53e+00
6 2889169.77 1.33e+00
7 2889170.97 1.19e+00
8 2889172.05 1.09e+00
9 2889173.06 1.00e+00
10 2889173.99 9.34e-01
11 2889174.87 8.72e-01
12 2889175.68 8.18e-01
13 2889176.45 7.65e-01
14 2889177.16 7.15e-01
15 2889177.84 6.74e-01
16 2889178.47 6.37e-01
17 2889179.08 6.02e-01
18 2889179.65 5.69e-01
19 2889180.18 5.39e-01
20 2889180.70 5.10e-01
21 2889181.18 4.84e-01
22 2889181.64 4.59e-01
23 2889182.07 4.35e-01
24 2889182.48 4.08e-01
25 2889182.87 3.87e-01
26 2889183.23 3.67e-01
27 2889183.58 3.49e-01
28 2889183.92 3.32e-01
29 2889184.23 3.16e-01
30 2889184.53 3.00e-01
31 2889184.82 2.86e-01
32 2889185.09 2.72e-01
33 2889185.35 2.59e-01
34 2889185.59 2.47e-01
35 2889185.83 2.35e-01
36 2889186.05 2.24e-01
37 2889186.27 2.13e-01
38 2889186.47 2.04e-01
39 2889186.66 1.94e-01
40 2889186.85 1.85e-01
41 2889187.03 1.77e-01
42 2889187.19 1.69e-01
43 2889187.36 1.61e-01
44 2889187.51 1.54e-01
45 2889187.66 1.47e-01
46 2889187.80 1.41e-01
47 2889187.93 1.34e-01
48 2889188.06 1.29e-01
49 2889188.18 1.23e-01
50 2889188.30 1.18e-01
51 2889188.41 1.12e-01
52 2889188.52 1.08e-01
53 2889188.62 1.03e-01
54 2889188.72 9.86e-02
55 2889188.82 9.44e-02
56 2889188.91 9.04e-02
57 2889188.99 8.66e-02
58 2889189.08 8.30e-02
59 2889189.16 7.95e-02
60 2889189.23 7.62e-02
61 2889189.31 7.30e-02
62 2889189.38 7.00e-02
63 2889189.44 6.71e-02
64 2889189.51 6.43e-02
65 2889189.57 6.17e-02
66 2889189.63 5.92e-02
67 2889189.68 5.68e-02
68 2889189.74 5.44e-02
69 2889189.79 5.22e-02
70 2889189.84 5.01e-02
71 2889189.89 4.81e-02
72 2889189.94 4.62e-02
73 2889189.98 4.43e-02
74 2889190.02 4.25e-02
75 2889190.06 4.08e-02
76 2889190.10 3.92e-02
77 2889190.14 3.76e-02
78 2889190.18 3.61e-02
79 2889190.21 3.47e-02
80 2889190.24 3.33e-02
81 2889190.28 3.20e-02
82 2889190.31 3.07e-02
83 2889190.34 2.95e-02
84 2889190.37 2.84e-02
85 2889190.39 2.72e-02
86 2889190.42 2.62e-02
87 2889190.44 2.51e-02
88 2889190.47 2.42e-02
89 2889190.49 2.32e-02
90 2889190.51 2.23e-02
91 2889190.53 2.14e-02
92 2889190.56 2.06e-02
93 2889190.58 1.98e-02
94 2889190.59 1.90e-02
95 2889190.61 1.83e-02
96 2889190.63 1.76e-02
97 2889190.65 1.69e-02
98 2889190.66 1.62e-02
99 2889190.68 1.56e-02
100 2889190.69 1.50e-02
101 2889190.71 1.44e-02
102 2889190.72 1.39e-02
103 2889190.74 1.33e-02
104 2889190.75 1.28e-02
105 2889190.76 1.23e-02
106 2889190.77 1.19e-02
107 2889190.78 1.14e-02
108 2889190.79 1.10e-02
109 2889190.81 1.06e-02
110 2889190.82 1.01e-02
111 2889190.83 9.76e-03
Performing nullcheck...
Deleting factor 28 decreases objective by 7.44e+03. Factor retained.
Nullcheck complete. Objective: 2889190.83
Fitting factor/loading 29 (stop when difference in obj. is < 1.00e-02):
Iteration Objective Obj Diff
1 2896318.07 Inf
2 2896328.93 1.09e+01
3 2896332.88 3.95e+00
4 2896335.94 3.06e+00
5 2896338.53 2.59e+00
6 2896340.82 2.29e+00
7 2896342.91 2.09e+00
8 2896344.85 1.94e+00
9 2896346.69 1.83e+00
10 2896348.44 1.75e+00
11 2896350.11 1.68e+00
12 2896351.74 1.62e+00
13 2896353.31 1.58e+00
14 2896354.85 1.54e+00
15 2896356.36 1.50e+00
16 2896357.83 1.48e+00
17 2896359.28 1.45e+00
18 2896360.71 1.43e+00
19 2896362.12 1.41e+00
20 2896363.51 1.39e+00
21 2896364.88 1.38e+00
22 2896366.24 1.36e+00
23 2896367.59 1.35e+00
24 2896368.93 1.34e+00
25 2896370.25 1.32e+00
26 2896371.56 1.31e+00
27 2896372.86 1.30e+00
28 2896374.16 1.29e+00
29 2896375.44 1.28e+00
30 2896376.71 1.27e+00
31 2896377.98 1.26e+00
32 2896379.23 1.25e+00
33 2896380.48 1.25e+00
34 2896381.71 1.24e+00
35 2896382.94 1.23e+00
36 2896384.17 1.22e+00
37 2896385.38 1.21e+00
38 2896386.58 1.20e+00
39 2896387.78 1.20e+00
40 2896388.97 1.19e+00
41 2896390.14 1.18e+00
42 2896391.31 1.17e+00
43 2896392.47 1.16e+00
44 2896393.62 1.15e+00
45 2896394.76 1.14e+00
46 2896395.89 1.13e+00
47 2896397.01 1.12e+00
48 2896398.11 1.11e+00
49 2896399.21 1.10e+00
50 2896400.30 1.08e+00
51 2896401.37 1.07e+00
52 2896402.43 1.06e+00
53 2896403.48 1.05e+00
54 2896404.52 1.04e+00
55 2896405.54 1.02e+00
56 2896406.55 1.01e+00
57 2896407.55 9.99e-01
58 2896408.54 9.86e-01
59 2896409.51 9.73e-01
60 2896410.47 9.60e-01
61 2896411.42 9.46e-01
62 2896412.35 9.33e-01
63 2896413.27 9.19e-01
64 2896414.17 9.06e-01
65 2896415.07 8.92e-01
66 2896415.94 8.78e-01
67 2896416.81 8.65e-01
68 2896417.66 8.51e-01
69 2896418.50 8.38e-01
70 2896419.32 8.24e-01
71 2896420.13 8.11e-01
72 2896420.93 7.97e-01
73 2896421.71 7.84e-01
74 2896422.49 7.71e-01
75 2896423.24 7.58e-01
76 2896423.99 7.46e-01
77 2896424.72 7.33e-01
78 2896425.44 7.21e-01
79 2896426.15 7.09e-01
80 2896426.85 6.97e-01
81 2896427.53 6.86e-01
82 2896428.21 6.74e-01
83 2896428.87 6.63e-01
84 2896429.52 6.53e-01
85 2896430.17 6.42e-01
86 2896430.80 6.32e-01
87 2896431.42 6.22e-01
88 2896432.03 6.12e-01
89 2896432.64 6.03e-01
90 2896433.23 5.94e-01
91 2896433.82 5.85e-01
92 2896434.39 5.77e-01
93 2896434.96 5.68e-01
94 2896435.52 5.60e-01
95 2896436.07 5.51e-01
96 2896436.61 5.42e-01
97 2896437.15 5.32e-01
98 2896437.67 5.22e-01
99 2896438.18 5.13e-01
100 2896438.68 5.03e-01
101 2896439.18 4.94e-01
102 2896439.66 4.85e-01
103 2896440.14 4.76e-01
104 2896440.61 4.67e-01
105 2896441.06 4.58e-01
106 2896441.51 4.49e-01
107 2896441.96 4.41e-01
108 2896442.39 4.32e-01
109 2896442.81 4.24e-01
110 2896443.23 4.16e-01
111 2896443.64 4.08e-01
112 2896444.04 4.00e-01
113 2896444.43 3.92e-01
114 2896444.81 3.84e-01
115 2896445.19 3.77e-01
116 2896445.56 3.69e-01
117 2896445.92 3.62e-01
118 2896446.27 3.54e-01
119 2896446.62 3.47e-01
120 2896446.96 3.40e-01
121 2896447.29 3.33e-01
122 2896447.62 3.26e-01
123 2896447.94 3.19e-01
124 2896448.25 3.12e-01
125 2896448.55 3.06e-01
126 2896448.85 2.99e-01
127 2896449.15 2.93e-01
128 2896449.43 2.86e-01
129 2896449.71 2.80e-01
130 2896449.99 2.74e-01
131 2896450.26 2.68e-01
132 2896450.52 2.62e-01
133 2896450.77 2.56e-01
134 2896451.02 2.50e-01
135 2896451.25 2.30e-01
136 2896451.47 2.20e-01
137 2896451.69 2.15e-01
138 2896451.90 2.10e-01
139 2896452.10 2.05e-01
140 2896452.30 2.01e-01
141 2896452.50 1.94e-01
142 2896452.67 1.72e-01
143 2896452.84 1.68e-01
144 2896453.00 1.65e-01
145 2896453.16 1.61e-01
146 2896453.32 1.57e-01
147 2896453.47 1.54e-01
148 2896453.63 1.50e-01
149 2896453.77 1.47e-01
150 2896453.92 1.44e-01
151 2896454.06 1.40e-01
152 2896454.19 1.37e-01
153 2896454.33 1.34e-01
154 2896454.46 1.31e-01
155 2896454.58 1.28e-01
156 2896454.71 1.25e-01
157 2896454.83 1.22e-01
158 2896454.95 1.19e-01
159 2896455.07 1.16e-01
160 2896455.18 1.13e-01
161 2896455.29 1.10e-01
162 2896455.40 1.08e-01
163 2896455.50 1.05e-01
164 2896455.61 1.03e-01
165 2896455.71 1.00e-01
166 2896455.80 9.78e-02
167 2896455.90 9.54e-02
168 2896455.99 9.31e-02
169 2896456.08 9.08e-02
170 2896456.17 8.86e-02
171 2896456.26 8.65e-02
172 2896456.34 8.43e-02
173 2896456.42 8.23e-02
174 2896456.50 8.02e-02
175 2896456.58 7.82e-02
176 2896456.66 7.63e-02
177 2896456.73 7.44e-02
178 2896456.81 7.25e-02
179 2896456.88 7.07e-02
180 2896456.95 6.90e-02
181 2896457.01 6.72e-02
182 2896457.08 6.55e-02
183 2896457.14 6.39e-02
184 2896457.20 6.23e-02
185 2896457.27 6.07e-02
186 2896457.32 5.92e-02
187 2896457.38 5.77e-02
188 2896457.44 5.62e-02
189 2896457.49 5.48e-02
190 2896457.55 5.36e-02
191 2896457.60 5.24e-02
192 2896457.65 5.12e-02
193 2896457.70 4.99e-02
194 2896457.75 4.88e-02
195 2896457.80 4.76e-02
196 2896457.84 4.64e-02
197 2896457.89 4.53e-02
198 2896457.93 4.42e-02
199 2896457.98 4.31e-02
200 2896458.02 4.20e-02
201 2896458.06 4.10e-02
202 2896458.10 4.00e-02
203 2896458.14 3.90e-02
204 2896458.18 3.80e-02
205 2896458.21 3.72e-02
206 2896458.25 3.63e-02
207 2896458.28 3.55e-02
208 2896458.32 3.46e-02
209 2896458.35 3.38e-02
210 2896458.39 3.30e-02
211 2896458.42 3.22e-02
212 2896458.45 3.14e-02
213 2896458.48 3.06e-02
214 2896458.51 2.99e-02
215 2896458.54 2.92e-02
216 2896458.57 2.84e-02
217 2896458.60 2.77e-02
218 2896458.62 2.70e-02
219 2896458.65 2.62e-02
220 2896458.67 2.55e-02
221 2896458.70 2.48e-02
222 2896458.72 2.42e-02
223 2896458.75 2.35e-02
224 2896458.77 2.29e-02
225 2896458.79 2.23e-02
226 2896458.81 2.17e-02
227 2896458.83 2.11e-02
228 2896458.85 2.06e-02
229 2896458.87 2.00e-02
230 2896458.89 1.95e-02
231 2896458.91 1.90e-02
232 2896458.93 1.85e-02
233 2896458.95 1.80e-02
234 2896458.97 1.75e-02
235 2896458.98 1.70e-02
236 2896459.00 1.66e-02
237 2896459.02 1.61e-02
238 2896459.03 1.57e-02
239 2896459.05 1.53e-02
240 2896459.06 1.49e-02
241 2896459.08 1.45e-02
242 2896459.09 1.41e-02
243 2896459.11 1.37e-02
244 2896459.12 1.34e-02
245 2896459.13 1.30e-02
246 2896459.14 1.27e-02
247 2896459.16 1.23e-02
248 2896459.17 1.20e-02
249 2896459.18 1.17e-02
250 2896459.19 1.14e-02
251 2896459.20 1.10e-02
252 2896459.21 1.07e-02
253 2896459.22 1.04e-02
254 2896459.23 1.01e-02
255 2896459.24 9.84e-03
Performing nullcheck...
Deleting factor 29 decreases objective by 7.27e+03. Factor retained.
Nullcheck complete. Objective: 2896459.24
Fitting factor/loading 30 (stop when difference in obj. is < 1.00e-02):
Iteration Objective Obj Diff
1 2903588.92 Inf
2 2903601.38 1.25e+01
3 2903606.32 4.94e+00
4 2903609.98 3.66e+00
5 2903612.90 2.92e+00
6 2903615.34 2.44e+00
7 2903617.44 2.10e+00
8 2903619.29 1.85e+00
9 2903620.93 1.65e+00
10 2903622.43 1.49e+00
11 2903623.80 1.37e+00
12 2903625.06 1.26e+00
13 2903626.24 1.18e+00
14 2903627.34 1.10e+00
15 2903628.37 1.03e+00
16 2903629.35 9.76e-01
17 2903630.27 9.25e-01
18 2903631.15 8.78e-01
19 2903631.99 8.36e-01
20 2903632.79 7.98e-01
21 2903633.55 7.63e-01
22 2903634.28 7.30e-01
23 2903634.98 6.99e-01
24 2903635.65 6.70e-01
25 2903636.29 6.44e-01
26 2903636.91 6.20e-01
27 2903637.51 5.96e-01
28 2903638.08 5.74e-01
29 2903638.64 5.53e-01
30 2903639.17 5.33e-01
31 2903639.68 5.14e-01
32 2903640.18 4.95e-01
33 2903640.66 4.77e-01
34 2903641.12 4.61e-01
35 2903641.56 4.45e-01
36 2903641.99 4.29e-01
37 2903642.40 4.15e-01
38 2903642.81 4.01e-01
39 2903643.19 3.88e-01
40 2903643.57 3.75e-01
41 2903643.93 3.62e-01
42 2903644.28 3.50e-01
43 2903644.62 3.39e-01
44 2903644.95 3.28e-01
45 2903645.26 3.17e-01
46 2903645.57 3.06e-01
47 2903645.87 2.96e-01
48 2903646.15 2.87e-01
49 2903646.43 2.78e-01
50 2903646.70 2.69e-01
51 2903646.96 2.60e-01
52 2903647.21 2.51e-01
53 2903647.45 2.43e-01
54 2903647.69 2.36e-01
55 2903647.92 2.28e-01
56 2903648.14 2.21e-01
57 2903648.35 2.14e-01
58 2903648.56 2.07e-01
59 2903648.76 2.01e-01
60 2903648.96 1.95e-01
61 2903649.14 1.89e-01
62 2903649.33 1.83e-01
63 2903649.50 1.77e-01
64 2903649.68 1.71e-01
65 2903649.84 1.66e-01
66 2903650.00 1.60e-01
67 2903650.16 1.55e-01
68 2903650.31 1.50e-01
69 2903650.45 1.45e-01
70 2903650.59 1.41e-01
71 2903650.73 1.36e-01
72 2903650.86 1.32e-01
73 2903650.99 1.28e-01
74 2903651.11 1.24e-01
75 2903651.23 1.20e-01
76 2903651.35 1.16e-01
77 2903651.46 1.12e-01
78 2903651.57 1.09e-01
79 2903651.68 1.05e-01
80 2903651.78 1.02e-01
81 2903651.88 9.95e-02
82 2903651.97 9.63e-02
83 2903652.07 9.31e-02
84 2903652.16 9.01e-02
85 2903652.24 8.72e-02
86 2903652.33 8.45e-02
87 2903652.41 8.18e-02
88 2903652.49 7.92e-02
89 2903652.57 7.67e-02
90 2903652.64 7.43e-02
91 2903652.71 7.20e-02
92 2903652.78 6.98e-02
93 2903652.85 6.76e-02
94 2903652.92 6.55e-02
95 2903652.98 6.35e-02
96 2903653.04 6.15e-02
97 2903653.10 5.96e-02
98 2903653.16 5.77e-02
99 2903653.21 5.60e-02
100 2903653.27 5.42e-02
101 2903653.32 5.26e-02
102 2903653.37 5.09e-02
103 2903653.42 4.94e-02
104 2903653.47 4.79e-02
105 2903653.51 4.64e-02
106 2903653.56 4.50e-02
107 2903653.60 4.36e-02
108 2903653.65 4.23e-02
109 2903653.69 4.10e-02
110 2903653.73 3.97e-02
111 2903653.76 3.85e-02
112 2903653.80 3.73e-02
113 2903653.84 3.62e-02
114 2903653.87 3.51e-02
115 2903653.91 3.41e-02
116 2903653.94 3.30e-02
117 2903653.97 3.20e-02
118 2903654.00 3.11e-02
119 2903654.03 3.01e-02
120 2903654.06 2.92e-02
121 2903654.09 2.84e-02
122 2903654.12 2.75e-02
123 2903654.15 2.67e-02
124 2903654.17 2.59e-02
125 2903654.20 2.51e-02
126 2903654.22 2.44e-02
127 2903654.24 2.37e-02
128 2903654.27 2.30e-02
129 2903654.29 2.23e-02
130 2903654.31 2.16e-02
131 2903654.33 2.10e-02
132 2903654.35 2.04e-02
133 2903654.37 1.98e-02
134 2903654.39 1.92e-02
135 2903654.41 1.86e-02
136 2903654.43 1.81e-02
137 2903654.45 1.76e-02
138 2903654.46 1.71e-02
139 2903654.48 1.66e-02
140 2903654.50 1.61e-02
141 2903654.51 1.56e-02
142 2903654.53 1.52e-02
143 2903654.54 1.48e-02
144 2903654.56 1.43e-02
145 2903654.57 1.39e-02
146 2903654.58 1.35e-02
147 2903654.60 1.31e-02
148 2903654.61 1.28e-02
149 2903654.62 1.24e-02
150 2903654.63 1.21e-02
151 2903654.65 1.17e-02
152 2903654.66 1.14e-02
153 2903654.67 1.11e-02
154 2903654.68 1.08e-02
155 2903654.69 1.05e-02
156 2903654.70 1.02e-02
157 2903654.71 9.89e-03
Performing nullcheck...
Deleting factor 30 decreases objective by 7.20e+03. Factor retained.
Nullcheck complete. Objective: 2903654.71
Fitting factor/loading 31 (stop when difference in obj. is < 1.00e-02):
Iteration Objective Obj Diff
1 2910829.47 Inf
2 2910839.58 1.01e+01
3 2910842.73 3.15e+00
4 2910844.98 2.25e+00
5 2910846.75 1.77e+00
6 2910848.21 1.46e+00
7 2910849.46 1.25e+00
8 2910850.56 1.10e+00
9 2910851.53 9.74e-01
10 2910852.41 8.76e-01
11 2910853.20 7.94e-01
12 2910853.93 7.25e-01
13 2910854.59 6.64e-01
14 2910855.20 6.11e-01
15 2910855.77 5.64e-01
16 2910856.29 5.21e-01
17 2910856.77 4.83e-01
18 2910857.22 4.49e-01
19 2910857.64 4.17e-01
20 2910858.02 3.88e-01
21 2910858.39 3.62e-01
22 2910858.72 3.38e-01
23 2910859.04 3.16e-01
24 2910859.34 2.95e-01
25 2910859.61 2.76e-01
26 2910859.87 2.59e-01
27 2910860.11 2.43e-01
28 2910860.34 2.28e-01
29 2910860.55 2.14e-01
30 2910860.76 2.01e-01
31 2910860.95 1.89e-01
32 2910861.12 1.78e-01
33 2910861.29 1.68e-01
34 2910861.45 1.58e-01
35 2910861.60 1.49e-01
36 2910861.74 1.41e-01
37 2910861.87 1.33e-01
38 2910862.00 1.26e-01
39 2910862.12 1.19e-01
40 2910862.23 1.13e-01
41 2910862.34 1.07e-01
42 2910862.44 1.01e-01
43 2910862.53 9.58e-02
44 2910862.63 9.09e-02
45 2910862.71 8.62e-02
46 2910862.79 8.19e-02
47 2910862.87 7.78e-02
48 2910862.95 7.39e-02
49 2910863.02 7.03e-02
50 2910863.08 6.68e-02
51 2910863.15 6.36e-02
52 2910863.21 6.05e-02
53 2910863.26 5.76e-02
54 2910863.32 5.49e-02
55 2910863.37 5.23e-02
56 2910863.42 4.99e-02
57 2910863.47 4.76e-02
58 2910863.51 4.54e-02
59 2910863.56 4.33e-02
60 2910863.60 4.14e-02
61 2910863.64 3.95e-02
62 2910863.68 3.78e-02
63 2910863.71 3.61e-02
64 2910863.75 3.45e-02
65 2910863.78 3.30e-02
66 2910863.81 3.16e-02
67 2910863.84 3.02e-02
68 2910863.87 2.89e-02
69 2910863.90 2.77e-02
70 2910863.92 2.65e-02
71 2910863.95 2.54e-02
72 2910863.97 2.43e-02
73 2910864.00 2.33e-02
74 2910864.02 2.23e-02
75 2910864.04 2.14e-02
76 2910864.06 2.06e-02
77 2910864.08 1.97e-02
78 2910864.10 1.89e-02
79 2910864.12 1.82e-02
80 2910864.14 1.74e-02
81 2910864.15 1.67e-02
82 2910864.17 1.61e-02
83 2910864.18 1.54e-02
84 2910864.20 1.48e-02
85 2910864.21 1.43e-02
86 2910864.23 1.37e-02
87 2910864.24 1.32e-02
88 2910864.25 1.27e-02
89 2910864.27 1.22e-02
90 2910864.28 1.17e-02
91 2910864.29 1.13e-02
92 2910864.30 1.09e-02
93 2910864.31 1.05e-02
94 2910864.32 1.01e-02
95 2910864.33 9.69e-03
Performing nullcheck...
Deleting factor 31 decreases objective by 7.21e+03. Factor retained.
Nullcheck complete. Objective: 2910864.33
Fitting factor/loading 32 (stop when difference in obj. is < 1.00e-02):
Iteration Objective Obj Diff
1 2918001.16 Inf
2 2918010.83 9.68e+00
3 2918013.61 2.77e+00
4 2918015.42 1.82e+00
5 2918016.74 1.32e+00
6 2918017.75 1.01e+00
7 2918018.56 8.08e-01
8 2918019.23 6.68e-01
9 2918019.79 5.66e-01
10 2918020.28 4.89e-01
11 2918020.71 4.29e-01
12 2918021.09 3.81e-01
13 2918021.43 3.42e-01
14 2918021.74 3.09e-01
15 2918022.02 2.81e-01
16 2918022.28 2.57e-01
17 2918022.52 2.37e-01
18 2918022.74 2.19e-01
19 2918022.94 2.03e-01
20 2918023.13 1.88e-01
21 2918023.30 1.75e-01
22 2918023.47 1.64e-01
23 2918023.62 1.53e-01
24 2918023.76 1.43e-01
25 2918023.90 1.35e-01
26 2918024.02 1.27e-01
27 2918024.14 1.19e-01
28 2918024.25 1.12e-01
29 2918024.36 1.06e-01
30 2918024.46 9.81e-02
31 2918024.55 9.23e-02
32 2918024.64 8.71e-02
33 2918024.72 8.20e-02
34 2918024.79 7.44e-02
35 2918024.86 7.00e-02
36 2918024.93 6.59e-02
37 2918024.99 6.21e-02
38 2918025.05 5.85e-02
39 2918025.11 5.52e-02
40 2918025.16 5.21e-02
41 2918025.21 4.91e-02
42 2918025.25 4.64e-02
43 2918025.30 4.38e-02
44 2918025.34 4.14e-02
45 2918025.38 3.91e-02
46 2918025.42 3.69e-02
47 2918025.45 3.49e-02
48 2918025.48 3.30e-02
49 2918025.51 3.12e-02
50 2918025.54 2.95e-02
51 2918025.57 2.80e-02
52 2918025.60 2.65e-02
53 2918025.62 2.51e-02
54 2918025.65 2.37e-02
55 2918025.67 2.25e-02
56 2918025.69 2.13e-02
57 2918025.71 2.02e-02
58 2918025.73 1.91e-02
59 2918025.75 1.81e-02
60 2918025.77 1.72e-02
61 2918025.78 1.63e-02
62 2918025.80 1.55e-02
63 2918025.81 1.47e-02
64 2918025.83 1.40e-02
65 2918025.84 1.32e-02
66 2918025.85 1.26e-02
67 2918025.86 1.20e-02
68 2918025.88 1.14e-02
69 2918025.89 1.08e-02
70 2918025.90 1.03e-02
71 2918025.91 9.76e-03
Performing nullcheck...
Deleting factor 32 decreases objective by 7.16e+03. Factor retained.
Nullcheck complete. Objective: 2918025.91
Fitting factor/loading 33 (stop when difference in obj. is < 1.00e-02):
Iteration Objective Obj Diff
1 2924957.79 Inf
2 2924969.20 1.14e+01
3 2924974.21 5.01e+00
4 2924978.64 4.43e+00
5 2924982.79 4.15e+00
6 2924986.76 3.97e+00
7 2924990.62 3.86e+00
8 2924994.39 3.77e+00
9 2924998.10 3.70e+00
10 2925001.74 3.64e+00
11 2925005.32 3.58e+00
12 2925008.83 3.51e+00
13 2925012.27 3.44e+00
14 2925015.64 3.37e+00
15 2925018.93 3.29e+00
16 2925022.13 3.21e+00
17 2925025.26 3.12e+00
18 2925028.30 3.04e+00
19 2925031.26 2.96e+00
20 2925034.14 2.89e+00
21 2925036.96 2.82e+00
22 2925039.71 2.75e+00
23 2925042.40 2.69e+00
24 2925045.04 2.64e+00
25 2925047.63 2.59e+00
26 2925050.17 2.55e+00
27 2925052.68 2.50e+00
28 2925055.14 2.46e+00
29 2925057.57 2.43e+00
30 2925059.96 2.39e+00
31 2925062.31 2.35e+00
32 2925064.62 2.31e+00
33 2925066.90 2.27e+00
34 2925069.13 2.23e+00
35 2925071.32 2.19e+00
36 2925073.47 2.15e+00
37 2925075.57 2.10e+00
38 2925077.63 2.06e+00
39 2925079.64 2.01e+00
40 2925081.60 1.96e+00
41 2925083.52 1.92e+00
42 2925085.39 1.87e+00
43 2925087.21 1.82e+00
44 2925088.98 1.77e+00
45 2925090.75 1.77e+00
46 2925092.49 1.74e+00
47 2925094.18 1.69e+00
48 2925095.89 1.71e+00
49 2925097.55 1.66e+00
50 2925099.15 1.60e+00
51 2925100.70 1.55e+00
52 2925102.20 1.50e+00
53 2925103.64 1.44e+00
54 2925105.03 1.39e+00
55 2925106.37 1.34e+00
56 2925107.66 1.29e+00
57 2925108.90 1.24e+00
58 2925110.10 1.19e+00
59 2925111.24 1.15e+00
60 2925112.35 1.10e+00
61 2925113.40 1.06e+00
62 2925114.42 1.02e+00
63 2925115.40 9.78e-01
64 2925116.34 9.40e-01
65 2925117.24 9.03e-01
66 2925118.11 8.68e-01
67 2925118.94 8.34e-01
68 2925119.75 8.02e-01
69 2925120.52 7.71e-01
70 2925121.26 7.42e-01
71 2925121.97 7.14e-01
72 2925122.66 6.87e-01
73 2925123.32 6.62e-01
74 2925123.96 6.37e-01
75 2925124.57 6.14e-01
76 2925125.17 5.92e-01
77 2925125.74 5.71e-01
78 2925126.29 5.51e-01
79 2925126.82 5.32e-01
80 2925127.33 5.13e-01
81 2925127.83 4.96e-01
82 2925128.31 4.79e-01
83 2925128.77 4.63e-01
84 2925129.22 4.48e-01
85 2925129.65 4.33e-01
86 2925130.07 4.19e-01
87 2925130.47 4.05e-01
88 2925130.87 3.92e-01
89 2925131.25 3.79e-01
90 2925131.61 3.67e-01
91 2925131.97 3.55e-01
92 2925132.31 3.44e-01
93 2925132.64 3.33e-01
94 2925132.99 3.49e-01
95 2925133.34 3.45e-01
96 2925133.67 3.34e-01
97 2925134.00 3.24e-01
98 2925134.31 3.13e-01
99 2925134.61 3.03e-01
100 2925134.91 2.93e-01
101 2925135.19 2.84e-01
102 2925135.46 2.74e-01
103 2925135.73 2.65e-01
104 2925135.99 2.57e-01
105 2925136.24 2.48e-01
106 2925136.48 2.40e-01
107 2925136.71 2.32e-01
108 2925136.93 2.24e-01
109 2925137.15 2.17e-01
110 2925137.36 2.09e-01
111 2925137.56 2.02e-01
112 2925137.75 1.95e-01
113 2925137.94 1.89e-01
114 2925138.13 1.82e-01
115 2925138.30 1.76e-01
116 2925138.47 1.70e-01
117 2925138.64 1.64e-01
118 2925138.79 1.58e-01
119 2925138.95 1.53e-01
120 2925139.09 1.47e-01
121 2925139.24 1.42e-01
122 2925139.37 1.37e-01
123 2925139.50 1.32e-01
124 2925139.63 1.28e-01
125 2925139.75 1.23e-01
126 2925139.87 1.19e-01
127 2925139.99 1.14e-01
128 2925140.10 1.10e-01
129 2925140.20 1.06e-01
130 2925140.31 1.02e-01
131 2925140.41 9.88e-02
132 2925140.50 9.52e-02
133 2925140.59 9.18e-02
134 2925140.68 8.85e-02
135 2925140.77 8.53e-02
136 2925140.85 8.22e-02
137 2925140.93 7.92e-02
138 2925141.00 7.63e-02
139 2925141.08 7.35e-02
140 2925141.15 7.09e-02
141 2925141.22 6.83e-02
142 2925141.28 6.58e-02
143 2925141.35 6.34e-02
144 2925141.41 6.11e-02
145 2925141.47 5.89e-02
146 2925141.52 5.68e-02
147 2925141.58 5.47e-02
148 2925141.63 5.27e-02
149 2925141.68 5.08e-02
150 2925141.73 4.89e-02
151 2925141.78 4.72e-02
152 2925141.82 4.55e-02
153 2925141.87 4.38e-02
154 2925141.91 4.22e-02
155 2925141.95 4.07e-02
156 2925141.99 3.92e-02
157 2925142.03 3.78e-02
158 2925142.06 3.64e-02
159 2925142.10 3.51e-02
160 2925142.13 3.39e-02
161 2925142.16 3.26e-02
162 2925142.20 3.15e-02
163 2925142.23 3.03e-02
164 2925142.26 2.92e-02
165 2925142.28 2.82e-02
166 2925142.31 2.72e-02
167 2925142.34 2.62e-02
168 2925142.36 2.53e-02
169 2925142.39 2.44e-02
170 2925142.41 2.35e-02
171 2925142.43 2.27e-02
172 2925142.45 2.19e-02
173 2925142.48 2.11e-02
174 2925142.50 2.03e-02
175 2925142.52 1.96e-02
176 2925142.53 1.89e-02
177 2925142.55 1.83e-02
178 2925142.57 1.76e-02
179 2925142.59 1.68e-02
180 2925142.60 1.61e-02
181 2925142.62 1.55e-02
182 2925142.63 1.48e-02
183 2925142.65 1.43e-02
184 2925142.66 1.37e-02
185 2925142.67 1.32e-02
186 2925142.69 1.27e-02
187 2925142.70 1.22e-02
188 2925142.71 1.17e-02
189 2925142.72 1.12e-02
190 2925142.73 1.08e-02
191 2925142.74 1.04e-02
192 2925142.75 1.00e-02
Performing nullcheck...
Deleting factor 33 decreases objective by 7.12e+03. Factor retained.
Nullcheck complete. Objective: 2925142.75
Fitting factor/loading 34 (stop when difference in obj. is < 1.00e-02):
Iteration Objective Obj Diff
1 2932137.11 Inf
2 2932146.08 8.96e+00
3 2932148.40 2.32e+00
4 2932150.00 1.60e+00
5 2932151.25 1.25e+00
6 2932152.29 1.04e+00
7 2932153.19 9.05e-01
8 2932154.01 8.15e-01
9 2932154.76 7.52e-01
10 2932155.47 7.05e-01
11 2932156.14 6.70e-01
12 2932156.78 6.42e-01
13 2932157.40 6.20e-01
14 2932158.00 6.01e-01
15 2932158.58 5.85e-01
16 2932159.16 5.71e-01
17 2932159.71 5.59e-01
18 2932160.26 5.48e-01
19 2932160.80 5.38e-01
20 2932161.33 5.29e-01
21 2932161.85 5.20e-01
22 2932162.36 5.12e-01
23 2932162.87 5.05e-01
24 2932163.36 4.98e-01
25 2932163.86 4.91e-01
26 2932164.34 4.85e-01
27 2932164.82 4.78e-01
28 2932165.29 4.72e-01
29 2932165.76 4.67e-01
30 2932166.22 4.61e-01
31 2932166.67 4.56e-01
32 2932167.13 4.51e-01
33 2932167.57 4.46e-01
34 2932168.01 4.41e-01
35 2932168.45 4.36e-01
36 2932168.88 4.32e-01
37 2932169.31 4.28e-01
38 2932169.73 4.24e-01
39 2932170.15 4.20e-01
40 2932170.57 4.16e-01
41 2932170.98 4.12e-01
42 2932171.39 4.08e-01
43 2932171.79 4.04e-01
44 2932172.19 4.00e-01
45 2932172.59 3.96e-01
46 2932172.98 3.93e-01
47 2932173.37 3.89e-01
48 2932173.75 3.85e-01
49 2932174.13 3.81e-01
50 2932174.51 3.77e-01
51 2932174.88 3.73e-01
52 2932175.25 3.69e-01
53 2932175.62 3.65e-01
54 2932175.98 3.62e-01
55 2932176.34 3.58e-01
56 2932176.69 3.54e-01
57 2932177.04 3.50e-01
58 2932177.39 3.47e-01
59 2932177.73 3.43e-01
60 2932178.07 3.39e-01
61 2932178.41 3.36e-01
62 2932178.74 3.32e-01
63 2932179.07 3.28e-01
64 2932179.39 3.25e-01
65 2932179.71 3.21e-01
66 2932180.03 3.18e-01
67 2932180.34 3.14e-01
68 2932180.65 3.10e-01
69 2932180.96 3.07e-01
70 2932181.26 3.03e-01
71 2932181.56 3.00e-01
72 2932181.86 2.96e-01
73 2932182.15 2.93e-01
74 2932182.44 2.89e-01
75 2932182.73 2.86e-01
76 2932183.01 2.83e-01
77 2932183.29 2.79e-01
78 2932183.57 2.76e-01
79 2932183.84 2.72e-01
80 2932184.11 2.69e-01
81 2932184.37 2.66e-01
82 2932184.64 2.62e-01
83 2932184.89 2.59e-01
84 2932185.15 2.56e-01
85 2932185.40 2.53e-01
86 2932185.65 2.49e-01
87 2932185.90 2.46e-01
88 2932186.14 2.43e-01
89 2932186.38 2.40e-01
90 2932186.62 2.37e-01
91 2932186.85 2.34e-01
92 2932187.08 2.31e-01
93 2932187.31 2.28e-01
94 2932187.54 2.25e-01
95 2932187.76 2.22e-01
96 2932187.98 2.19e-01
97 2932188.19 2.16e-01
98 2932188.40 2.13e-01
99 2932188.61 2.10e-01
100 2932188.82 2.07e-01
101 2932189.03 2.04e-01
102 2932189.23 2.01e-01
103 2932189.43 1.99e-01
104 2932189.62 1.96e-01
105 2932189.81 1.93e-01
106 2932190.01 1.91e-01
107 2932190.19 1.88e-01
108 2932190.38 1.85e-01
109 2932190.56 1.83e-01
110 2932190.74 1.80e-01
111 2932190.92 1.77e-01
112 2932191.09 1.75e-01
113 2932191.27 1.72e-01
114 2932191.44 1.70e-01
115 2932191.60 1.68e-01
116 2932191.77 1.65e-01
117 2932191.93 1.63e-01
118 2932192.09 1.60e-01
119 2932192.25 1.58e-01
120 2932192.41 1.56e-01
121 2932192.56 1.53e-01
122 2932192.71 1.51e-01
123 2932192.86 1.49e-01
124 2932193.01 1.47e-01
125 2932193.15 1.45e-01
126 2932193.29 1.43e-01
127 2932193.43 1.40e-01
128 2932193.57 1.38e-01
129 2932193.71 1.36e-01
130 2932193.84 1.34e-01
131 2932193.98 1.32e-01
132 2932194.11 1.30e-01
133 2932194.23 1.28e-01
134 2932194.36 1.26e-01
135 2932194.48 1.24e-01
136 2932194.61 1.23e-01
137 2932194.73 1.21e-01
138 2932194.85 1.19e-01
139 2932194.96 1.17e-01
140 2932195.08 1.15e-01
141 2932195.19 1.14e-01
142 2932195.31 1.12e-01
143 2932195.42 1.10e-01
144 2932195.52 1.08e-01
145 2932195.63 1.07e-01
146 2932195.74 1.05e-01
147 2932195.84 1.04e-01
148 2932195.94 1.02e-01
149 2932196.04 1.00e-01
150 2932196.14 9.89e-02
151 2932196.24 9.74e-02
152 2932196.33 9.59e-02
153 2932196.43 9.44e-02
154 2932196.52 9.29e-02
155 2932196.61 9.15e-02
156 2932196.70 9.01e-02
157 2932196.79 8.87e-02
158 2932196.88 8.73e-02
159 2932196.96 8.59e-02
160 2932197.05 8.46e-02
161 2932197.13 8.33e-02
162 2932197.21 8.20e-02
163 2932197.30 8.07e-02
164 2932197.37 7.95e-02
165 2932197.45 7.82e-02
166 2932197.53 7.70e-02
167 2932197.61 7.58e-02
168 2932197.68 7.46e-02
169 2932197.75 7.34e-02
170 2932197.83 7.23e-02
171 2932197.90 7.12e-02
172 2932197.97 7.00e-02
173 2932198.04 6.90e-02
174 2932198.10 6.79e-02
175 2932198.17 6.68e-02
176 2932198.24 6.58e-02
177 2932198.30 6.47e-02
178 2932198.37 6.37e-02
179 2932198.43 6.27e-02
180 2932198.49 6.17e-02
181 2932198.55 6.08e-02
182 2932198.61 5.98e-02
183 2932198.67 5.89e-02
184 2932198.73 5.79e-02
185 2932198.78 5.70e-02
186 2932198.84 5.61e-02
187 2932198.90 5.52e-02
188 2932198.95 5.44e-02
189 2932199.00 5.35e-02
190 2932199.06 5.27e-02
191 2932199.11 5.19e-02
192 2932199.16 5.10e-02
193 2932199.21 5.02e-02
194 2932199.26 4.94e-02
195 2932199.31 4.87e-02
196 2932199.36 4.79e-02
197 2932199.40 4.71e-02
198 2932199.45 4.64e-02
199 2932199.49 4.57e-02
200 2932199.54 4.50e-02
201 2932199.58 4.43e-02
202 2932199.63 4.36e-02
203 2932199.67 4.29e-02
204 2932199.71 4.22e-02
205 2932199.75 4.15e-02
206 2932199.79 4.09e-02
207 2932199.83 4.03e-02
208 2932199.87 3.96e-02
209 2932199.91 3.90e-02
210 2932199.95 3.84e-02
211 2932199.99 3.78e-02
212 2932200.03 3.72e-02
213 2932200.06 3.66e-02
214 2932200.10 3.60e-02
215 2932200.13 3.55e-02
216 2932200.17 3.49e-02
217 2932200.20 3.44e-02
218 2932200.24 3.39e-02
219 2932200.27 3.33e-02
220 2932200.30 3.28e-02
221 2932200.34 3.23e-02
222 2932200.37 3.18e-02
223 2932200.40 3.13e-02
224 2932200.43 3.08e-02
225 2932200.46 3.03e-02
226 2932200.49 2.99e-02
227 2932200.52 2.94e-02
228 2932200.55 2.89e-02
229 2932200.58 2.85e-02
230 2932200.61 2.81e-02
231 2932200.63 2.76e-02
232 2932200.66 2.72e-02
233 2932200.69 2.68e-02
234 2932200.71 2.64e-02
235 2932200.74 2.60e-02
236 2932200.77 2.56e-02
237 2932200.79 2.52e-02
238 2932200.82 2.48e-02
239 2932200.84 2.44e-02
240 2932200.86 2.40e-02
241 2932200.89 2.37e-02
242 2932200.91 2.33e-02
243 2932200.93 2.30e-02
244 2932200.96 2.26e-02
245 2932200.98 2.23e-02
246 2932201.00 2.19e-02
247 2932201.02 2.16e-02
248 2932201.04 2.13e-02
249 2932201.06 2.09e-02
250 2932201.08 2.06e-02
251 2932201.10 2.03e-02
252 2932201.12 2.00e-02
253 2932201.14 1.97e-02
254 2932201.16 1.94e-02
255 2932201.18 1.91e-02
256 2932201.20 1.88e-02
257 2932201.22 1.85e-02
258 2932201.24 1.83e-02
259 2932201.26 1.80e-02
260 2932201.27 1.77e-02
261 2932201.29 1.75e-02
262 2932201.31 1.72e-02
263 2932201.33 1.69e-02
264 2932201.34 1.67e-02
265 2932201.36 1.64e-02
266 2932201.38 1.62e-02
267 2932201.39 1.59e-02
268 2932201.41 1.57e-02
269 2932201.42 1.55e-02
270 2932201.44 1.52e-02
271 2932201.45 1.50e-02
272 2932201.47 1.48e-02
273 2932201.48 1.46e-02
274 2932201.50 1.44e-02
275 2932201.51 1.42e-02
276 2932201.52 1.40e-02
277 2932201.54 1.37e-02
278 2932201.55 1.35e-02
279 2932201.57 1.33e-02
280 2932201.58 1.32e-02
281 2932201.59 1.30e-02
282 2932201.60 1.28e-02
283 2932201.62 1.26e-02
284 2932201.63 1.24e-02
285 2932201.64 1.22e-02
286 2932201.65 1.20e-02
287 2932201.67 1.19e-02
288 2932201.68 1.17e-02
289 2932201.69 1.15e-02
290 2932201.70 1.14e-02
291 2932201.71 1.12e-02
292 2932201.72 1.10e-02
293 2932201.73 1.09e-02
294 2932201.74 1.07e-02
295 2932201.75 1.06e-02
296 2932201.76 1.04e-02
297 2932201.77 1.03e-02
298 2932201.79 1.01e-02
299 2932201.80 9.98e-03
Performing nullcheck...
Deleting factor 34 decreases objective by 7.06e+03. Factor retained.
Nullcheck complete. Objective: 2932201.8
Fitting factor/loading 35 (stop when difference in obj. is < 1.00e-02):
Iteration Objective Obj Diff
1 2939150.90 Inf
2 2939162.63 1.17e+01
3 2939166.54 3.90e+00
4 2939169.20 2.66e+00
5 2939171.22 2.02e+00
6 2939172.87 1.66e+00
7 2939174.30 1.43e+00
8 2939175.59 1.29e+00
9 2939176.78 1.19e+00
10 2939177.91 1.13e+00
11 2939179.00 1.08e+00
12 2939180.05 1.05e+00
13 2939181.08 1.03e+00
14 2939182.09 1.01e+00
15 2939183.07 9.86e-01
16 2939184.04 9.70e-01
17 2939185.00 9.61e-01
18 2939185.96 9.53e-01
19 2939186.90 9.47e-01
20 2939187.85 9.42e-01
21 2939188.78 9.38e-01
22 2939189.72 9.35e-01
23 2939190.65 9.31e-01
24 2939191.58 9.29e-01
25 2939192.50 9.26e-01
26 2939193.43 9.23e-01
27 2939194.35 9.21e-01
28 2939195.27 9.19e-01
29 2939196.18 9.16e-01
30 2939197.10 9.14e-01
31 2939198.01 9.11e-01
32 2939198.92 9.09e-01
33 2939199.82 9.06e-01
34 2939200.73 9.03e-01
35 2939201.63 9.00e-01
36 2939202.52 8.97e-01
37 2939203.42 8.94e-01
38 2939204.31 8.91e-01
39 2939205.20 8.86e-01
40 2939206.06 8.65e-01
41 2939206.92 8.62e-01
42 2939207.78 8.58e-01
43 2939208.64 8.54e-01
44 2939209.49 8.51e-01
45 2939210.33 8.47e-01
46 2939211.17 8.42e-01
47 2939212.01 8.38e-01
48 2939212.84 8.25e-01
49 2939213.65 8.15e-01
50 2939214.46 8.11e-01
51 2939215.27 8.07e-01
52 2939216.07 8.02e-01
53 2939216.87 7.98e-01
54 2939217.67 7.93e-01
55 2939218.45 7.88e-01
56 2939219.24 7.84e-01
57 2939220.02 7.78e-01
58 2939220.79 7.73e-01
59 2939221.56 7.68e-01
60 2939222.32 7.62e-01
61 2939223.07 7.56e-01
62 2939223.83 7.51e-01
63 2939224.57 7.45e-01
64 2939225.31 7.38e-01
65 2939226.04 7.32e-01
66 2939226.77 7.26e-01
67 2939227.49 7.19e-01
68 2939228.20 7.12e-01
69 2939228.90 7.05e-01
70 2939229.60 6.98e-01
71 2939230.29 6.90e-01
72 2939230.97 6.83e-01
73 2939231.65 6.75e-01
74 2939232.32 6.68e-01
75 2939232.98 6.60e-01
76 2939233.63 6.52e-01
77 2939234.27 6.44e-01
78 2939234.91 6.36e-01
79 2939235.54 6.28e-01
80 2939236.16 6.20e-01
81 2939236.77 6.12e-01
82 2939237.37 6.03e-01
83 2939237.97 5.95e-01
84 2939238.55 5.87e-01
85 2939239.13 5.78e-01
86 2939239.70 5.70e-01
87 2939240.26 5.61e-01
88 2939240.81 5.53e-01
89 2939241.36 5.45e-01
90 2939241.90 5.36e-01
91 2939242.42 5.28e-01
92 2939242.94 5.19e-01
93 2939243.45 5.11e-01
94 2939243.96 5.03e-01
95 2939244.45 4.94e-01
96 2939244.94 4.86e-01
97 2939245.41 4.78e-01
98 2939245.88 4.70e-01
99 2939246.34 4.61e-01
100 2939246.80 4.53e-01
101 2939247.24 4.45e-01
102 2939247.68 4.37e-01
103 2939248.11 4.30e-01
104 2939248.53 4.22e-01
105 2939248.95 4.14e-01
106 2939249.35 4.07e-01
107 2939249.75 3.99e-01
108 2939250.14 3.92e-01
109 2939250.53 3.84e-01
110 2939250.91 3.77e-01
111 2939251.28 3.70e-01
112 2939251.64 3.63e-01
113 2939252.00 3.56e-01
114 2939252.34 3.49e-01
115 2939252.69 3.43e-01
116 2939253.02 3.36e-01
117 2939253.35 3.30e-01
118 2939253.68 3.23e-01
119 2939253.99 3.17e-01
120 2939254.30 3.11e-01
121 2939254.61 3.05e-01
122 2939254.91 2.99e-01
123 2939255.20 2.93e-01
124 2939255.49 2.87e-01
125 2939255.77 2.82e-01
126 2939256.05 2.76e-01
127 2939256.32 2.71e-01
128 2939256.58 2.66e-01
129 2939256.84 2.61e-01
130 2939257.10 2.56e-01
131 2939257.35 2.51e-01
132 2939257.60 2.46e-01
133 2939257.84 2.41e-01
134 2939258.07 2.37e-01
135 2939258.31 2.32e-01
136 2939258.53 2.28e-01
137 2939258.76 2.23e-01
138 2939258.98 2.19e-01
139 2939259.19 2.15e-01
140 2939259.40 2.11e-01
141 2939259.61 2.07e-01
142 2939259.81 2.03e-01
143 2939260.01 1.99e-01
144 2939260.21 1.96e-01
145 2939260.40 1.92e-01
146 2939260.59 1.88e-01
147 2939260.77 1.85e-01
148 2939260.95 1.81e-01
149 2939261.13 1.78e-01
150 2939261.31 1.75e-01
151 2939261.48 1.71e-01
152 2939261.64 1.67e-01
153 2939261.81 1.63e-01
154 2939261.97 1.60e-01
155 2939262.12 1.57e-01
156 2939262.28 1.54e-01
157 2939262.43 1.51e-01
158 2939262.58 1.48e-01
159 2939262.72 1.45e-01
160 2939262.86 1.42e-01
161 2939263.00 1.39e-01
162 2939263.14 1.36e-01
163 2939263.27 1.34e-01
164 2939263.40 1.31e-01
165 2939263.53 1.28e-01
166 2939263.66 1.26e-01
167 2939263.78 1.23e-01
168 2939263.90 1.21e-01
169 2939264.02 1.18e-01
170 2939264.14 1.16e-01
171 2939264.25 1.14e-01
172 2939264.36 1.11e-01
173 2939264.47 1.09e-01
174 2939264.58 1.07e-01
175 2939264.68 1.05e-01
176 2939264.78 1.03e-01
177 2939264.89 1.01e-01
178 2939264.98 9.87e-02
179 2939265.08 9.68e-02
180 2939265.18 9.48e-02
181 2939265.27 9.29e-02
182 2939265.36 9.11e-02
183 2939265.45 8.93e-02
184 2939265.54 8.75e-02
185 2939265.62 8.58e-02
186 2939265.71 8.41e-02
187 2939265.79 8.24e-02
188 2939265.87 8.08e-02
189 2939265.95 7.92e-02
190 2939266.03 7.76e-02
191 2939266.10 7.61e-02
192 2939266.18 7.46e-02
193 2939266.25 7.31e-02
194 2939266.32 7.16e-02
195 2939266.39 7.02e-02
196 2939266.46 6.89e-02
197 2939266.53 6.75e-02
198 2939266.59 6.62e-02
199 2939266.66 6.49e-02
200 2939266.72 6.36e-02
201 2939266.79 6.24e-02
202 2939266.85 6.12e-02
203 2939266.91 6.00e-02
204 2939266.97 5.88e-02
205 2939267.02 5.77e-02
206 2939267.08 5.66e-02
207 2939267.14 5.55e-02
208 2939267.19 5.44e-02
209 2939267.24 5.34e-02
210 2939267.30 5.23e-02
211 2939267.35 5.13e-02
212 2939267.40 5.04e-02
213 2939267.45 4.94e-02
214 2939267.49 4.85e-02
215 2939267.54 4.75e-02
216 2939267.59 4.66e-02
217 2939267.63 4.58e-02
218 2939267.68 4.49e-02
219 2939267.72 4.40e-02
220 2939267.77 4.32e-02
221 2939267.81 4.24e-02
222 2939267.85 4.16e-02
223 2939267.89 4.08e-02
224 2939267.93 4.01e-02
225 2939267.97 3.93e-02
226 2939268.01 3.86e-02
227 2939268.05 3.79e-02
228 2939268.09 3.72e-02
229 2939268.12 3.65e-02
230 2939268.16 3.58e-02
231 2939268.19 3.52e-02
232 2939268.23 3.45e-02
233 2939268.26 3.39e-02
234 2939268.29 3.33e-02
235 2939268.33 3.27e-02
236 2939268.36 3.21e-02
237 2939268.39 3.15e-02
238 2939268.42 3.10e-02
239 2939268.45 3.04e-02
240 2939268.48 2.99e-02
241 2939268.51 2.93e-02
242 2939268.54 2.88e-02
243 2939268.57 2.83e-02
244 2939268.60 2.78e-02
245 2939268.62 2.73e-02
246 2939268.65 2.68e-02
247 2939268.68 2.63e-02
248 2939268.70 2.59e-02
249 2939268.73 2.54e-02
250 2939268.75 2.50e-02
251 2939268.78 2.46e-02
252 2939268.80 2.41e-02
253 2939268.83 2.37e-02
254 2939268.85 2.33e-02
255 2939268.87 2.29e-02
256 2939268.89 2.25e-02
257 2939268.92 2.21e-02
258 2939268.94 2.17e-02
259 2939268.96 2.14e-02
260 2939268.98 2.10e-02
261 2939269.00 2.07e-02
262 2939269.02 2.03e-02
263 2939269.04 2.00e-02
264 2939269.06 1.96e-02
265 2939269.08 1.93e-02
266 2939269.10 1.90e-02
267 2939269.12 1.87e-02
268 2939269.14 1.83e-02
269 2939269.15 1.80e-02
270 2939269.17 1.77e-02
271 2939269.19 1.74e-02
272 2939269.21 1.72e-02
273 2939269.22 1.69e-02
274 2939269.24 1.66e-02
275 2939269.26 1.63e-02
276 2939269.27 1.61e-02
277 2939269.29 1.58e-02
278 2939269.30 1.55e-02
279 2939269.32 1.53e-02
280 2939269.33 1.50e-02
281 2939269.35 1.48e-02
282 2939269.36 1.46e-02
283 2939269.38 1.43e-02
284 2939269.39 1.41e-02
285 2939269.41 1.39e-02
286 2939269.42 1.37e-02
287 2939269.43 1.34e-02
288 2939269.45 1.32e-02
289 2939269.46 1.30e-02
290 2939269.47 1.28e-02
291 2939269.48 1.26e-02
292 2939269.50 1.24e-02
293 2939269.51 1.22e-02
294 2939269.52 1.20e-02
295 2939269.53 1.18e-02
296 2939269.54 1.17e-02
297 2939269.56 1.15e-02
298 2939269.57 1.13e-02
299 2939269.58 1.11e-02
300 2939269.59 1.10e-02
301 2939269.60 1.08e-02
302 2939269.61 1.06e-02
303 2939269.62 1.05e-02
304 2939269.63 1.03e-02
305 2939269.64 1.01e-02
306 2939269.65 9.99e-03
Performing nullcheck...
Deleting factor 35 decreases objective by 7.07e+03. Factor retained.
Nullcheck complete. Objective: 2939269.65
Fitting factor/loading 36 (stop when difference in obj. is < 1.00e-02):
Iteration Objective Obj Diff
1 2946257.38 Inf
2 2946268.49 1.11e+01
3 2946271.99 3.50e+00
4 2946274.30 2.31e+00
5 2946275.98 1.68e+00
6 2946277.28 1.30e+00
7 2946278.34 1.05e+00
8 2946279.22 8.81e-01
9 2946279.98 7.59e-01
10 2946280.64 6.69e-01
11 2946281.25 6.01e-01
12 2946281.79 5.48e-01
13 2946282.30 5.07e-01
14 2946282.77 4.73e-01
15 2946283.22 4.44e-01
16 2946283.64 4.20e-01
17 2946284.04 3.98e-01
18 2946284.41 3.77e-01
19 2946284.77 3.59e-01
20 2946285.12 3.43e-01
21 2946285.44 3.28e-01
22 2946285.76 3.14e-01
23 2946286.06 3.01e-01
24 2946286.35 2.89e-01
25 2946286.62 2.78e-01
26 2946286.89 2.67e-01
27 2946287.15 2.57e-01
28 2946287.40 2.48e-01
29 2946287.64 2.39e-01
30 2946287.87 2.31e-01
31 2946288.09 2.23e-01
32 2946288.30 2.15e-01
33 2946288.51 2.08e-01
34 2946288.71 2.01e-01
35 2946288.91 1.94e-01
36 2946289.10 1.88e-01
37 2946289.28 1.82e-01
38 2946289.45 1.76e-01
39 2946289.62 1.71e-01
40 2946289.79 1.66e-01
41 2946289.95 1.60e-01
42 2946290.11 1.56e-01
43 2946290.26 1.51e-01
44 2946290.40 1.47e-01
45 2946290.55 1.42e-01
46 2946290.68 1.38e-01
47 2946290.82 1.35e-01
48 2946290.95 1.31e-01
49 2946291.08 1.28e-01
50 2946291.20 1.25e-01
51 2946291.32 1.22e-01
52 2946291.44 1.19e-01
53 2946291.56 1.16e-01
54 2946291.67 1.13e-01
55 2946291.78 1.10e-01
56 2946291.89 1.08e-01
57 2946292.00 1.05e-01
58 2946292.10 1.03e-01
59 2946292.20 1.01e-01
60 2946292.30 9.84e-02
61 2946292.39 9.63e-02
62 2946292.49 9.41e-02
63 2946292.58 9.21e-02
64 2946292.67 9.00e-02
65 2946292.76 8.81e-02
66 2946292.84 8.61e-02
67 2946292.93 8.42e-02
68 2946293.01 8.23e-02
69 2946293.09 8.05e-02
70 2946293.17 7.87e-02
71 2946293.25 7.69e-02
72 2946293.32 7.52e-02
73 2946293.40 7.35e-02
74 2946293.47 7.18e-02
75 2946293.54 7.01e-02
76 2946293.61 6.85e-02
77 2946293.67 6.68e-02
78 2946293.74 6.52e-02
79 2946293.80 6.37e-02
80 2946293.86 6.21e-02
81 2946293.92 6.06e-02
82 2946293.98 5.91e-02
83 2946294.04 5.76e-02
84 2946294.10 5.61e-02
85 2946294.15 5.47e-02
86 2946294.20 5.33e-02
87 2946294.26 5.19e-02
88 2946294.31 5.05e-02
89 2946294.36 4.92e-02
90 2946294.40 4.79e-02
91 2946294.45 4.66e-02
92 2946294.50 4.54e-02
93 2946294.54 4.41e-02
94 2946294.58 4.29e-02
95 2946294.63 4.17e-02
96 2946294.67 4.06e-02
97 2946294.71 3.95e-02
98 2946294.74 3.84e-02
99 2946294.78 3.73e-02
100 2946294.82 3.62e-02
101 2946294.85 3.52e-02
102 2946294.89 3.42e-02
103 2946294.92 3.33e-02
104 2946294.95 3.23e-02
105 2946294.98 3.14e-02
106 2946295.01 3.05e-02
107 2946295.04 2.96e-02
108 2946295.07 2.88e-02
109 2946295.10 2.79e-02
110 2946295.13 2.71e-02
111 2946295.15 2.63e-02
112 2946295.18 2.56e-02
113 2946295.20 2.48e-02
114 2946295.23 2.41e-02
115 2946295.25 2.34e-02
116 2946295.27 2.27e-02
117 2946295.30 2.21e-02
118 2946295.32 2.14e-02
119 2946295.34 2.08e-02
120 2946295.36 2.02e-02
121 2946295.38 1.96e-02
122 2946295.40 1.91e-02
123 2946295.42 1.85e-02
124 2946295.43 1.80e-02
125 2946295.45 1.75e-02
126 2946295.47 1.70e-02
127 2946295.49 1.65e-02
128 2946295.50 1.60e-02
129 2946295.52 1.55e-02
130 2946295.53 1.51e-02
131 2946295.55 1.46e-02
132 2946295.56 1.42e-02
133 2946295.57 1.38e-02
134 2946295.59 1.34e-02
135 2946295.60 1.30e-02
136 2946295.61 1.27e-02
137 2946295.63 1.23e-02
138 2946295.64 1.19e-02
139 2946295.65 1.16e-02
140 2946295.66 1.13e-02
141 2946295.67 1.09e-02
142 2946295.68 1.06e-02
143 2946295.69 1.03e-02
144 2946295.70 1.00e-02
145 2946295.71 9.75e-03
Performing nullcheck...
Deleting factor 36 decreases objective by 7.03e+03. Factor retained.
Nullcheck complete. Objective: 2946295.71
Fitting factor/loading 37 (stop when difference in obj. is < 1.00e-02):
Iteration Objective Obj Diff
1 2953246.86 Inf
2 2953257.84 1.10e+01
3 2953261.28 3.44e+00
4 2953263.60 2.32e+00
5 2953265.31 1.71e+00
6 2953266.64 1.33e+00
7 2953267.71 1.07e+00
8 2953268.60 8.84e-01
9 2953269.35 7.48e-01
10 2953269.99 6.46e-01
11 2953270.56 5.67e-01
12 2953271.07 5.06e-01
13 2953271.52 4.57e-01
14 2953271.94 4.17e-01
15 2953272.32 3.85e-01
16 2953272.68 3.57e-01
17 2953273.02 3.34e-01
18 2953273.33 3.15e-01
19 2953273.63 2.98e-01
20 2953273.91 2.82e-01
21 2953274.18 2.69e-01
22 2953274.44 2.57e-01
23 2953274.68 2.46e-01
24 2953274.92 2.36e-01
25 2953275.15 2.27e-01
26 2953275.36 2.18e-01
27 2953275.57 2.10e-01
28 2953275.78 2.03e-01
29 2953275.97 1.96e-01
30 2953276.16 1.89e-01
31 2953276.34 1.83e-01
32 2953276.52 1.77e-01
33 2953276.69 1.72e-01
34 2953276.86 1.67e-01
35 2953277.02 1.63e-01
36 2953277.18 1.58e-01
37 2953277.34 1.54e-01
38 2953277.49 1.50e-01
39 2953277.63 1.46e-01
40 2953277.77 1.42e-01
41 2953277.91 1.39e-01
42 2953278.05 1.36e-01
43 2953278.18 1.32e-01
44 2953278.31 1.29e-01
45 2953278.44 1.26e-01
Warning in verbose_obj_decrease_warning(): An iteration decreased the objective.
This happens occasionally, perhaps due to numeric reasons. You could ignore this
warning, but you might like to check out https://github.com/stephenslab/flashr/
issues/26 for more details.
46 2953273.40 -5.04e+00
Performing nullcheck...
Deleting factor 37 decreases objective by 6.98e+03. Factor retained.
Nullcheck complete. Objective: 2953273.4
Fitting factor/loading 38 (stop when difference in obj. is < 1.00e-02):
Iteration Objective Obj Diff
1 2960018.90 Inf
2 2960030.60 1.17e+01
3 2960035.27 4.68e+00
4 2960038.95 3.68e+00
5 2960042.07 3.12e+00
6 2960044.83 2.76e+00
7 2960047.32 2.50e+00
8 2960049.62 2.30e+00
9 2960051.76 2.14e+00
10 2960053.78 2.01e+00
11 2960055.69 1.91e+00
12 2960057.51 1.82e+00
13 2960059.25 1.74e+00
14 2960060.92 1.67e+00
15 2960062.53 1.61e+00
16 2960064.08 1.56e+00
17 2960065.59 1.51e+00
18 2960067.05 1.46e+00
19 2960068.46 1.42e+00
20 2960069.84 1.38e+00
21 2960071.18 1.34e+00
22 2960072.48 1.30e+00
23 2960073.75 1.27e+00
24 2960074.98 1.24e+00
25 2960076.19 1.20e+00
26 2960077.36 1.17e+00
27 2960078.51 1.14e+00
28 2960079.62 1.12e+00
29 2960080.71 1.09e+00
30 2960081.77 1.06e+00
31 2960082.81 1.04e+00
32 2960083.82 1.01e+00
33 2960084.80 9.84e-01
34 2960085.76 9.59e-01
35 2960086.70 9.35e-01
36 2960087.61 9.11e-01
37 2960088.50 8.88e-01
38 2960089.36 8.65e-01
39 2960090.20 8.43e-01
40 2960091.02 8.21e-01
41 2960091.82 7.99e-01
42 2960092.60 7.78e-01
43 2960093.36 7.57e-01
44 2960094.10 7.39e-01
45 2960094.82 7.22e-01
46 2960095.53 7.06e-01
47 2960096.22 6.89e-01
48 2960096.89 6.74e-01
49 2960097.55 6.61e-01
50 2960098.20 6.49e-01
51 2960098.84 6.37e-01
52 2960099.46 6.25e-01
53 2960100.07 6.11e-01
54 2960100.67 5.93e-01
55 2960101.24 5.75e-01
56 2960101.80 5.58e-01
57 2960102.34 5.41e-01
58 2960102.86 5.24e-01
59 2960103.37 5.07e-01
60 2960103.86 4.88e-01
61 2960104.33 4.69e-01
62 2960104.78 4.49e-01
63 2960105.21 4.29e-01
64 2960105.62 4.12e-01
65 2960106.01 3.95e-01
66 2960106.39 3.75e-01
67 2960106.74 3.55e-01
68 2960107.08 3.36e-01
69 2960107.40 3.19e-01
70 2960107.70 3.02e-01
71 2960107.98 2.85e-01
72 2960108.26 2.71e-01
73 2960108.51 2.59e-01
74 2960108.76 2.46e-01
75 2960108.99 2.33e-01
76 2960109.21 2.20e-01
77 2960109.42 2.07e-01
78 2960109.62 1.96e-01
79 2960109.80 1.87e-01
80 2960109.98 1.80e-01
81 2960110.16 1.73e-01
82 2960110.32 1.66e-01
83 2960110.48 1.58e-01
84 2960110.63 1.51e-01
85 2960110.78 1.45e-01
86 2960110.91 1.38e-01
87 2960111.05 1.32e-01
88 2960111.17 1.26e-01
89 2960111.29 1.20e-01
90 2960111.41 1.14e-01
91 2960111.52 1.09e-01
92 2960111.62 1.04e-01
93 2960111.72 9.91e-02
94 2960111.81 9.44e-02
95 2960111.90 8.99e-02
96 2960111.99 8.55e-02
97 2960112.07 8.14e-02
98 2960112.15 7.74e-02
99 2960112.22 7.35e-02
100 2960112.29 6.99e-02
101 2960112.36 6.64e-02
102 2960112.42 6.30e-02
Warning in verbose_obj_decrease_warning(): An iteration decreased the objective.
This happens occasionally, perhaps due to numeric reasons. You could ignore this
warning, but you might like to check out https://github.com/stephenslab/flashr/
issues/26 for more details.
103 2960111.64 -7.83e-01
Performing nullcheck...
Deleting factor 38 decreases objective by 6.84e+03. Factor retained.
Nullcheck complete. Objective: 2960111.64
Fitting factor/loading 39 (stop when difference in obj. is < 1.00e-02):
Iteration Objective Obj Diff
1 2967113.54 Inf
2 2967124.32 1.08e+01
3 2967128.10 3.78e+00
4 2967130.88 2.78e+00
5 2967133.06 2.18e+00
6 2967134.81 1.75e+00
7 2967136.24 1.43e+00
8 2967137.43 1.19e+00
9 2967138.43 9.96e-01
10 2967139.27 8.38e-01
11 2967139.98 7.10e-01
Warning in verbose_obj_decrease_warning(): An iteration decreased the objective.
This happens occasionally, perhaps due to numeric reasons. You could ignore this
warning, but you might like to check out https://github.com/stephenslab/flashr/
issues/26 for more details.
12 2967137.89 -2.09e+00
Performing nullcheck...
Deleting factor 39 decreases objective by 7.03e+03. Factor retained.
Nullcheck complete. Objective: 2967137.89
Fitting factor/loading 40 (stop when difference in obj. is < 1.00e-02):
Iteration Objective Obj Diff
1 2973721.21 Inf
2 2973734.86 1.37e+01
3 2973740.65 5.78e+00
4 2973745.21 4.56e+00
5 2973749.10 3.89e+00
6 2973752.57 3.47e+00
7 2973755.76 3.19e+00
8 2973758.74 2.98e+00
9 2973761.58 2.84e+00
10 2973764.30 2.72e+00
11 2973766.94 2.64e+00
12 2973769.51 2.57e+00
13 2973772.03 2.52e+00
14 2973774.50 2.48e+00
15 2973776.94 2.44e+00
16 2973779.36 2.42e+00
17 2973781.75 2.39e+00
18 2973784.13 2.38e+00
19 2973786.49 2.36e+00
20 2973788.83 2.35e+00
21 2973791.17 2.34e+00
22 2973793.50 2.33e+00
23 2973795.81 2.32e+00
24 2973798.12 2.31e+00
25 2973800.42 2.30e+00
26 2973802.71 2.29e+00
27 2973805.00 2.28e+00
28 2973807.27 2.27e+00
29 2973809.54 2.27e+00
30 2973811.79 2.26e+00
31 2973814.04 2.25e+00
32 2973816.28 2.24e+00
33 2973818.50 2.22e+00
34 2973820.71 2.21e+00
35 2973822.92 2.20e+00
36 2973825.09 2.17e+00
37 2973827.25 2.16e+00
38 2973829.37 2.13e+00
39 2973831.48 2.11e+00
40 2973833.57 2.09e+00
41 2973835.64 2.07e+00
42 2973837.70 2.05e+00
43 2973839.73 2.03e+00
44 2973841.74 2.01e+00
45 2973843.74 1.99e+00
46 2973845.71 1.97e+00
47 2973847.66 1.95e+00
48 2973849.59 1.93e+00
49 2973851.50 1.91e+00
50 2973853.38 1.89e+00
51 2973855.25 1.86e+00
52 2973857.09 1.84e+00
53 2973858.91 1.82e+00
54 2973860.71 1.80e+00
55 2973862.49 1.78e+00
56 2973864.24 1.75e+00
57 2973865.97 1.73e+00
58 2973867.68 1.71e+00
59 2973869.37 1.69e+00
60 2973871.03 1.67e+00
61 2973872.68 1.64e+00
62 2973874.30 1.62e+00
63 2973875.90 1.60e+00
64 2973877.47 1.58e+00
65 2973879.03 1.56e+00
66 2973880.56 1.53e+00
67 2973882.08 1.51e+00
68 2973883.57 1.49e+00
69 2973885.03 1.47e+00
70 2973886.48 1.45e+00
71 2973887.91 1.43e+00
72 2973889.31 1.40e+00
73 2973890.70 1.38e+00
74 2973892.06 1.36e+00
75 2973893.40 1.34e+00
76 2973894.72 1.32e+00
77 2973896.02 1.30e+00
78 2973897.29 1.28e+00
79 2973898.55 1.26e+00
80 2973899.78 1.23e+00
81 2973900.99 1.21e+00
82 2973902.19 1.19e+00
83 2973903.35 1.17e+00
84 2973904.50 1.15e+00
85 2973905.63 1.13e+00
86 2973906.73 1.10e+00
87 2973907.81 1.08e+00
88 2973908.87 1.06e+00
89 2973909.88 1.01e+00
90 2973910.85 9.70e-01
91 2973911.65 7.94e-01
92 2973912.35 7.00e-01
93 2973913.08 7.35e-01
94 2973913.76 6.78e-01
95 2973914.39 6.31e-01
96 2973914.97 5.81e-01
97 2973915.50 5.28e-01
98 2973915.98 4.75e-01
99 2973916.40 4.22e-01
100 2973916.77 3.69e-01
101 2973917.08 3.16e-01
102 2973917.35 2.63e-01
103 2973917.56 2.11e-01
104 2973917.71 1.58e-01
105 2973917.82 1.07e-01
106 2973917.88 5.55e-02
107 2973919.76 1.88e+00
108 2973920.08 3.22e-01
109 2973922.76 2.68e+00
110 2973923.18 4.21e-01
111 2973923.55 3.73e-01
112 2973923.88 3.27e-01
113 2973924.17 2.98e-01
114 2973924.45 2.75e-01
115 2973924.71 2.57e-01
116 2973924.95 2.41e-01
117 2973925.17 2.26e-01
118 2973925.39 2.13e-01
119 2973925.59 2.01e-01
120 2973925.78 1.90e-01
121 2973925.96 1.79e-01
122 2973926.12 1.70e-01
123 2973926.29 1.61e-01
124 2973926.44 1.52e-01
125 2973926.58 1.45e-01
126 2973926.72 1.37e-01
127 2973926.85 1.31e-01
128 2973926.98 1.25e-01
129 2973927.09 1.19e-01
130 2973927.21 1.14e-01
131 2973927.32 1.09e-01
132 2973927.42 1.04e-01
133 2973927.52 9.98e-02
134 2973927.62 9.59e-02
135 2973927.71 9.23e-02
136 2973927.80 8.90e-02
137 2973927.88 8.59e-02
138 2973927.97 8.31e-02
139 2973928.05 8.04e-02
140 2973928.12 7.80e-02
141 2973928.20 7.58e-02
142 2973928.27 7.37e-02
143 2973928.35 7.19e-02
144 2973928.42 7.01e-02
145 2973928.48 6.85e-02
146 2973928.55 6.71e-02
147 2973928.62 6.57e-02
148 2973928.68 6.45e-02
149 2973928.75 6.34e-02
150 2973928.81 6.24e-02
151 2973928.87 6.14e-02
152 2973928.93 6.06e-02
153 2973928.99 5.98e-02
154 2973929.05 5.91e-02
155 2973929.11 5.84e-02
156 2973929.16 5.78e-02
157 2973929.22 5.73e-02
158 2973929.28 5.68e-02
159 2973929.33 5.63e-02
160 2973929.39 5.59e-02
161 2973929.45 5.55e-02
162 2973929.50 5.52e-02
163 2973929.56 5.49e-02
164 2973929.61 5.46e-02
165 2973929.67 5.43e-02
166 2973929.72 5.41e-02
167 2973929.77 5.39e-02
168 2973929.85 7.99e-02
169 2973929.96 1.02e-01
170 2973930.06 1.08e-01
171 2973930.17 1.07e-01
172 2973930.28 1.06e-01
173 2973930.38 1.05e-01
174 2973930.48 1.04e-01
175 2973930.59 1.04e-01
176 2973930.69 1.03e-01
177 2973930.79 1.02e-01
178 2973930.89 1.01e-01
179 2973930.99 1.00e-01
180 2973931.09 9.96e-02
181 2973931.19 9.89e-02
182 2973931.29 9.81e-02
183 2973931.39 9.74e-02
184 2973931.48 9.66e-02
185 2973931.58 9.59e-02
186 2973931.68 9.52e-02
187 2973931.77 9.44e-02
188 2973931.86 9.37e-02
189 2973931.96 9.30e-02
190 2973932.05 9.23e-02
191 2973932.14 9.16e-02
192 2973932.23 9.09e-02
193 2973932.32 9.02e-02
194 2973932.41 8.95e-02
195 2973932.50 8.88e-02
196 2973932.59 8.81e-02
197 2973932.68 8.74e-02
198 2973932.76 8.67e-02
199 2973932.85 8.60e-02
200 2973932.93 8.53e-02
201 2973933.02 8.46e-02
202 2973933.10 8.39e-02
203 2973933.19 8.32e-02
204 2973933.27 8.25e-02
205 2973933.35 8.18e-02
206 2973933.43 8.11e-02
207 2973933.51 8.05e-02
208 2973933.59 7.98e-02
209 2973933.67 7.91e-02
210 2973933.75 7.84e-02
211 2973933.83 7.77e-02
212 2973933.90 7.70e-02
213 2973933.98 7.63e-02
214 2973934.06 7.56e-02
215 2973934.13 7.50e-02
216 2973934.20 7.43e-02
217 2973934.28 7.36e-02
218 2973934.35 7.29e-02
219 2973934.42 7.22e-02
220 2973934.49 7.16e-02
221 2973934.57 7.09e-02
222 2973934.64 7.02e-02
223 2973934.71 6.95e-02
224 2973934.77 6.88e-02
225 2973934.84 6.82e-02
226 2973934.91 6.75e-02
227 2973934.98 6.68e-02
228 2973935.04 6.62e-02
229 2973935.11 6.55e-02
230 2973935.17 6.48e-02
231 2973935.24 6.42e-02
232 2973935.30 6.35e-02
233 2973935.36 6.29e-02
234 2973935.43 6.22e-02
235 2973935.49 6.15e-02
236 2973935.55 6.09e-02
237 2973935.61 6.03e-02
238 2973935.67 5.96e-02
239 2973935.73 5.90e-02
240 2973935.79 5.83e-02
241 2973935.84 5.77e-02
242 2973935.90 5.71e-02
243 2973935.96 5.64e-02
244 2973936.01 5.58e-02
245 2973936.07 5.52e-02
246 2973936.12 5.46e-02
247 2973936.18 5.39e-02
248 2973936.23 5.33e-02
249 2973936.28 5.27e-02
250 2973936.33 5.21e-02
251 2973936.39 5.15e-02
252 2973936.44 5.09e-02
253 2973936.49 5.03e-02
254 2973936.54 4.97e-02
255 2973936.59 4.92e-02
256 2973936.63 4.86e-02
257 2973936.68 4.80e-02
258 2973936.73 4.74e-02
259 2973936.78 4.69e-02
260 2973936.82 4.63e-02
261 2973936.87 4.57e-02
262 2973936.91 4.52e-02
263 2973936.96 4.46e-02
264 2973937.00 4.41e-02
265 2973937.05 4.36e-02
266 2973937.09 4.30e-02
267 2973937.13 4.25e-02
268 2973937.17 4.20e-02
269 2973937.22 4.14e-02
270 2973937.26 4.09e-02
271 2973937.30 4.04e-02
272 2973937.34 3.99e-02
273 2973937.38 3.94e-02
274 2973937.42 3.89e-02
275 2973937.45 3.84e-02
276 2973937.49 3.79e-02
277 2973937.53 3.74e-02
278 2973937.57 3.70e-02
279 2973937.60 3.65e-02
280 2973937.64 3.60e-02
281 2973937.67 3.56e-02
282 2973937.71 3.51e-02
283 2973937.74 3.46e-02
284 2973937.78 3.42e-02
285 2973937.81 3.37e-02
286 2973937.84 3.33e-02
287 2973937.88 3.29e-02
288 2973937.91 3.24e-02
289 2973937.94 3.20e-02
290 2973937.97 3.16e-02
291 2973938.01 3.12e-02
292 2973938.04 3.08e-02
293 2973938.07 3.04e-02
294 2973938.10 3.00e-02
295 2973938.13 2.96e-02
296 2973938.15 2.92e-02
297 2973938.18 2.88e-02
298 2973938.21 2.84e-02
299 2973938.24 2.80e-02
300 2973938.27 2.76e-02
301 2973938.29 2.73e-02
302 2973938.32 2.69e-02
303 2973938.35 2.65e-02
304 2973938.37 2.62e-02
305 2973938.40 2.58e-02
306 2973938.43 2.55e-02
307 2973938.45 2.51e-02
308 2973938.48 2.48e-02
309 2973938.50 2.44e-02
310 2973938.52 2.41e-02
311 2973938.55 2.38e-02
312 2973938.57 2.35e-02
313 2973938.59 2.31e-02
314 2973938.62 2.28e-02
315 2973938.64 2.25e-02
316 2973938.66 2.22e-02
317 2973938.68 2.19e-02
318 2973938.71 2.16e-02
319 2973938.73 2.13e-02
320 2973938.75 2.10e-02
321 2973938.77 2.07e-02
322 2973938.79 2.04e-02
323 2973938.81 2.02e-02
324 2973938.83 1.99e-02
325 2973938.85 1.96e-02
326 2973938.87 1.93e-02
327 2973938.89 1.91e-02
328 2973938.91 1.88e-02
329 2973938.92 1.86e-02
330 2973938.94 1.83e-02
331 2973938.96 1.80e-02
332 2973938.98 1.78e-02
333 2973939.00 1.76e-02
334 2973939.01 1.73e-02
335 2973939.03 1.71e-02
336 2973939.05 1.68e-02
337 2973939.06 1.66e-02
338 2973939.08 1.64e-02
339 2973939.10 1.61e-02
340 2973939.11 1.59e-02
341 2973939.13 1.57e-02
342 2973939.14 1.55e-02
343 2973939.16 1.53e-02
344 2973939.17 1.51e-02
345 2973939.19 1.49e-02
346 2973939.20 1.46e-02
347 2973939.22 1.44e-02
348 2973939.23 1.42e-02
349 2973939.25 1.40e-02
350 2973939.26 1.39e-02
351 2973939.27 1.37e-02
352 2973939.29 1.35e-02
353 2973939.30 1.33e-02
354 2973939.31 1.31e-02
355 2973939.33 1.29e-02
356 2973939.34 1.27e-02
357 2973939.35 1.26e-02
358 2973939.36 1.24e-02
359 2973939.38 1.22e-02
360 2973939.39 1.21e-02
361 2973939.40 1.19e-02
362 2973939.41 1.17e-02
363 2973939.42 1.16e-02
364 2973939.44 1.14e-02
365 2973939.45 1.12e-02
366 2973939.46 1.11e-02
367 2973939.47 1.09e-02
368 2973939.48 1.08e-02
369 2973939.49 1.06e-02
370 2973939.50 1.05e-02
371 2973939.51 1.03e-02
372 2973939.52 1.02e-02
373 2973939.53 1.01e-02
374 2973939.54 9.91e-03
Performing nullcheck...
Deleting factor 40 decreases objective by 6.80e+03. Factor retained.
Nullcheck complete. Objective: 2973939.54
Fitting factor/loading 41 (stop when difference in obj. is < 1.00e-02):
Iteration Objective Obj Diff
1 2980464.35 Inf
2 2980476.67 1.23e+01
3 2980479.25 2.58e+00
4 2980483.76 4.51e+00
5 2980484.69 9.33e-01
6 2980491.41 6.71e+00
7 2980494.76 3.36e+00
8 2980498.03 3.27e+00
9 2980501.13 3.10e+00
10 2980506.81 5.68e+00
11 2980509.93 3.12e+00
12 2980513.00 3.07e+00
13 2980516.04 3.04e+00
14 2980519.06 3.02e+00
15 2980522.07 3.00e+00
16 2980525.06 2.99e+00
17 2980528.05 2.99e+00
18 2980531.03 2.98e+00
19 2980534.00 2.98e+00
20 2980536.98 2.98e+00
21 2980539.95 2.97e+00
22 2980542.93 2.97e+00
23 2980545.90 2.97e+00
24 2980548.88 2.98e+00
25 2980551.85 2.98e+00
26 2980554.83 2.98e+00
27 2980557.82 2.98e+00
28 2980560.81 3.00e+00
29 2980563.83 3.01e+00
30 2980566.86 3.03e+00
31 2980569.92 3.06e+00
32 2980573.00 3.08e+00
33 2980576.10 3.10e+00
34 2980579.22 3.12e+00
35 2980582.30 3.09e+00
36 2980585.33 3.03e+00
37 2980588.32 2.99e+00
38 2980591.27 2.95e+00
39 2980594.16 2.89e+00
40 2980596.98 2.83e+00
41 2980599.74 2.76e+00
42 2980602.43 2.68e+00
43 2980605.03 2.61e+00
44 2980607.56 2.53e+00
45 2980610.01 2.45e+00
46 2980612.38 2.37e+00
47 2980614.67 2.29e+00
48 2980616.89 2.22e+00
49 2980619.04 2.15e+00
50 2980621.12 2.08e+00
51 2980623.13 2.01e+00
52 2980625.08 1.95e+00
53 2980626.96 1.88e+00
54 2980628.78 1.82e+00
55 2980630.54 1.76e+00
56 2980632.25 1.70e+00
57 2980633.89 1.64e+00
58 2980635.48 1.59e+00
59 2980637.01 1.53e+00
60 2980638.48 1.48e+00
61 2980639.90 1.42e+00
62 2980641.27 1.37e+00
63 2980642.59 1.31e+00
64 2980643.85 1.26e+00
65 2980645.06 1.21e+00
66 2980646.23 1.16e+00
67 2980647.34 1.12e+00
68 2980648.42 1.07e+00
69 2980649.45 1.03e+00
70 2980650.44 9.90e-01
71 2980651.39 9.51e-01
72 2980652.30 9.14e-01
73 2980653.18 8.79e-01
74 2980654.03 8.46e-01
75 2980654.84 8.15e-01
76 2980655.63 7.85e-01
77 2980656.39 7.57e-01
78 2980657.12 7.31e-01
79 2980657.83 7.09e-01
80 2980658.52 6.90e-01
81 2980659.19 6.71e-01
82 2980659.84 6.54e-01
83 2980660.48 6.37e-01
84 2980661.10 6.20e-01
85 2980661.70 6.04e-01
86 2980662.29 5.88e-01
87 2980662.86 5.72e-01
88 2980663.42 5.56e-01
89 2980663.96 5.40e-01
90 2980664.48 5.24e-01
91 2980664.99 5.05e-01
92 2980665.47 4.84e-01
93 2980665.93 4.63e-01
94 2980666.38 4.43e-01
95 2980666.80 4.24e-01
96 2980667.21 4.06e-01
97 2980667.60 3.89e-01
98 2980667.97 3.73e-01
99 2980668.33 3.57e-01
100 2980668.67 3.42e-01
101 2980669.00 3.28e-01
102 2980669.31 3.14e-01
103 2980669.61 3.01e-01
104 2980669.90 2.89e-01
105 2980670.18 2.77e-01
106 2980670.44 2.66e-01
107 2980670.70 2.55e-01
108 2980670.94 2.44e-01
109 2980671.18 2.34e-01
110 2980671.40 2.25e-01
111 2980671.62 2.16e-01
112 2980671.83 2.07e-01
113 2980672.02 1.99e-01
114 2980672.22 1.91e-01
115 2980672.40 1.83e-01
116 2980672.57 1.76e-01
117 2980672.74 1.69e-01
118 2980672.91 1.62e-01
119 2980673.06 1.56e-01
120 2980673.21 1.50e-01
121 2980673.36 1.44e-01
122 2980673.49 1.38e-01
123 2980673.63 1.33e-01
124 2980673.75 1.28e-01
125 2980673.88 1.23e-01
126 2980674.00 1.18e-01
127 2980674.11 1.14e-01
128 2980674.22 1.10e-01
129 2980674.33 1.06e-01
130 2980674.43 1.02e-01
131 2980674.53 9.79e-02
132 2980674.62 9.43e-02
133 2980674.71 9.08e-02
134 2980674.80 8.75e-02
135 2980674.88 8.43e-02
136 2980674.96 8.13e-02
137 2980675.04 7.84e-02
138 2980675.12 7.56e-02
139 2980675.19 7.29e-02
140 2980675.26 7.03e-02
141 2980675.33 6.78e-02
142 2980675.39 6.55e-02
143 2980675.46 6.32e-02
144 2980675.52 6.10e-02
145 2980675.58 5.90e-02
146 2980675.63 5.69e-02
147 2980675.69 5.50e-02
148 2980675.74 5.32e-02
149 2980675.79 5.14e-02
150 2980675.84 4.97e-02
151 2980675.89 4.81e-02
152 2980675.94 4.65e-02
153 2980675.98 4.50e-02
154 2980676.03 4.35e-02
155 2980676.07 4.21e-02
156 2980676.11 4.08e-02
157 2980676.15 3.95e-02
158 2980676.19 3.82e-02
159 2980676.22 3.70e-02
160 2980676.26 3.55e-02
161 2980676.29 3.41e-02
162 2980676.33 3.30e-02
163 2980676.36 3.20e-02
164 2980676.39 3.11e-02
165 2980676.42 3.02e-02
166 2980676.45 2.86e-02
167 2980676.48 2.73e-02
168 2980676.50 2.65e-02
169 2980676.53 2.57e-02
170 2980676.55 2.50e-02
171 2980676.58 2.43e-02
172 2980676.60 2.36e-02
173 2980676.62 2.29e-02
174 2980676.65 2.23e-02
175 2980676.67 2.16e-02
176 2980676.69 2.10e-02
177 2980676.71 2.05e-02
178 2980676.73 1.99e-02
179 2980676.75 1.93e-02
180 2980676.77 1.88e-02
181 2980676.79 1.83e-02
182 2980676.80 1.78e-02
183 2980676.82 1.73e-02
184 2980676.84 1.69e-02
185 2980676.85 1.65e-02
186 2980676.87 1.60e-02
187 2980676.89 1.56e-02
188 2980676.90 1.52e-02
189 2980676.92 1.48e-02
190 2980676.93 1.45e-02
191 2980676.94 1.41e-02
192 2980676.96 1.37e-02
193 2980676.97 1.34e-02
194 2980676.98 1.31e-02
195 2980677.00 1.28e-02
196 2980677.01 1.24e-02
197 2980677.02 1.21e-02
198 2980677.03 1.18e-02
199 2980677.05 1.16e-02
200 2980677.06 1.13e-02
201 2980677.07 1.10e-02
202 2980677.08 1.08e-02
203 2980677.09 1.05e-02
204 2980677.10 1.03e-02
205 2980677.11 1.00e-02
206 2980677.12 9.81e-03
Performing nullcheck...
Deleting factor 41 decreases objective by 6.74e+03. Factor retained.
Nullcheck complete. Objective: 2980677.12
Fitting factor/loading 42 (stop when difference in obj. is < 1.00e-02):
Iteration Objective Obj Diff
1 2987385.55 Inf
2 2987393.80 8.25e+00
3 2987400.00 6.20e+00
4 2987402.30 2.30e+00
5 2987403.99 1.69e+00
6 2987405.29 1.30e+00
7 2987406.34 1.04e+00
8 2987407.19 8.56e-01
9 2987407.91 7.14e-01
10 2987408.51 6.04e-01
11 2987409.03 5.15e-01
12 2987409.47 4.44e-01
13 2987409.86 3.84e-01
Warning in verbose_obj_decrease_warning(): An iteration decreased the objective.
This happens occasionally, perhaps due to numeric reasons. You could ignore this
warning, but you might like to check out https://github.com/stephenslab/flashr/
issues/26 for more details.
14 2987407.42 -2.43e+00
Performing nullcheck...
Deleting factor 42 decreases objective by 6.73e+03. Factor retained.
Nullcheck complete. Objective: 2987407.42
Fitting factor/loading 43 (stop when difference in obj. is < 1.00e-02):
Iteration Objective Obj Diff
1 2993970.18 Inf
2 2993981.58 1.14e+01
3 2993986.65 5.08e+00
4 2993991.07 4.42e+00
5 2993994.58 3.51e+00
6 2993997.44 2.85e+00
7 2993999.80 2.37e+00
8 2994001.80 1.99e+00
9 2994003.50 1.70e+00
10 2994004.97 1.47e+00
11 2994006.25 1.28e+00
12 2994007.38 1.12e+00
13 2994008.37 9.92e-01
14 2994009.26 8.89e-01
15 2994010.05 7.91e-01
16 2994010.75 7.04e-01
17 2994011.38 6.31e-01
18 2994011.95 5.69e-01
19 2994012.47 5.14e-01
20 2994012.93 4.67e-01
21 2994013.36 4.25e-01
22 2994013.74 3.87e-01
23 2994014.10 3.54e-01
24 2994014.42 3.23e-01
25 2994014.72 2.96e-01
26 2994014.99 2.72e-01
27 2994015.24 2.50e-01
28 2994015.47 2.30e-01
29 2994015.68 2.12e-01
30 2994015.88 1.95e-01
31 2994016.06 1.80e-01
32 2994016.22 1.67e-01
33 2994016.38 1.54e-01
34 2994016.52 1.43e-01
35 2994016.65 1.32e-01
36 2994016.77 1.23e-01
37 2994016.89 1.14e-01
38 2994016.99 1.06e-01
39 2994017.09 9.85e-02
40 2994017.18 9.16e-02
41 2994017.27 8.53e-02
42 2994017.35 7.95e-02
43 2994017.41 6.26e-02
44 2994017.44 3.30e-02
45 2994017.49 4.61e-02
46 2994017.53 4.06e-02
47 2994017.57 3.88e-02
48 2994017.61 3.59e-02
49 2994017.64 3.26e-02
50 2994017.67 2.92e-02
51 2994017.69 2.59e-02
52 2994017.72 2.26e-02
53 2994017.74 1.96e-02
54 2994017.75 1.66e-02
55 2994017.77 1.38e-02
56 2994017.78 1.12e-02
57 2994017.79 8.63e-03
Performing nullcheck...
Deleting factor 43 decreases objective by 6.61e+03. Factor retained.
Nullcheck complete. Objective: 2994017.79
Fitting factor/loading 44 (stop when difference in obj. is < 1.00e-02):
Iteration Objective Obj Diff
1 3000600.70 Inf
2 3000611.48 1.08e+01
3 3000615.16 3.68e+00
4 3000617.95 2.79e+00
5 3000620.26 2.31e+00
6 3000622.25 2.00e+00
7 3000624.03 1.77e+00
8 3000625.63 1.60e+00
9 3000627.10 1.47e+00
10 3000628.46 1.36e+00
11 3000629.73 1.26e+00
12 3000630.91 1.18e+00
13 3000632.02 1.11e+00
14 3000633.07 1.05e+00
15 3000634.07 9.97e-01
16 3000635.02 9.48e-01
17 3000635.92 9.05e-01
18 3000636.79 8.67e-01
19 3000637.62 8.32e-01
20 3000638.42 8.01e-01
21 3000639.20 7.73e-01
22 3000639.95 7.55e-01
23 3000640.69 7.38e-01
24 3000641.41 7.17e-01
25 3000642.10 6.98e-01
26 3000642.78 6.80e-01
27 3000643.45 6.63e-01
28 3000644.09 6.47e-01
29 3000644.73 6.32e-01
30 3000645.34 6.17e-01
31 3000645.95 6.02e-01
32 3000646.54 5.96e-01
33 3000647.13 5.87e-01
34 3000647.70 5.74e-01
35 3000648.26 5.60e-01
36 3000648.82 5.52e-01
37 3000649.35 5.34e-01
38 3000649.87 5.21e-01
39 3000650.38 5.08e-01
40 3000650.87 4.94e-01
41 3000651.35 4.81e-01
42 3000651.82 4.68e-01
43 3000652.28 4.55e-01
44 3000652.72 4.42e-01
45 3000653.15 4.29e-01
46 3000653.56 4.17e-01
47 3000653.97 4.04e-01
48 3000654.36 3.92e-01
49 3000654.74 3.80e-01
50 3000655.11 3.68e-01
51 3000655.47 3.56e-01
52 3000655.81 3.45e-01
53 3000656.14 3.34e-01
54 3000656.47 3.23e-01
55 3000656.78 3.12e-01
56 3000657.08 3.01e-01
57 3000657.37 2.91e-01
58 3000657.65 2.81e-01
59 3000657.92 2.71e-01
60 3000658.18 2.62e-01
61 3000658.44 2.52e-01
62 3000658.68 2.43e-01
63 3000658.91 2.35e-01
64 3000659.14 2.26e-01
65 3000659.36 2.18e-01
66 3000659.57 2.10e-01
67 3000659.78 2.08e-01
68 3000660.00 2.27e-01
69 3000660.22 2.21e-01
70 3000660.44 2.11e-01
71 3000660.64 2.02e-01
72 3000660.83 1.93e-01
73 3000661.02 1.85e-01
74 3000661.19 1.76e-01
75 3000661.36 1.68e-01
76 3000661.52 1.60e-01
77 3000661.67 1.53e-01
78 3000661.82 1.45e-01
79 3000661.96 1.38e-01
80 3000662.09 1.32e-01
81 3000662.21 1.25e-01
82 3000662.33 1.19e-01
83 3000662.44 1.13e-01
84 3000662.55 1.07e-01
85 3000662.65 1.01e-01
86 3000662.75 9.57e-02
87 3000662.84 9.05e-02
88 3000662.92 8.56e-02
89 3000663.00 8.09e-02
90 3000663.08 7.64e-02
91 3000663.15 7.21e-02
92 3000663.22 6.80e-02
93 3000663.29 6.41e-02
94 3000663.35 6.04e-02
95 3000663.40 5.69e-02
96 3000663.46 5.35e-02
97 3000663.51 5.03e-02
98 3000663.55 4.73e-02
99 3000663.60 4.44e-02
100 3000663.64 4.17e-02
101 3000663.68 3.91e-02
102 3000663.72 3.67e-02
103 3000663.75 3.43e-02
104 3000663.78 3.21e-02
105 3000663.81 3.01e-02
106 3000663.84 2.81e-02
107 3000663.87 2.63e-02
108 3000663.89 2.45e-02
109 3000663.91 2.28e-02
110 3000663.94 2.13e-02
111 3000663.96 1.98e-02
112 3000663.97 1.84e-02
113 3000663.99 1.71e-02
114 3000664.01 1.59e-02
115 3000664.02 1.47e-02
116 3000664.03 1.36e-02
117 3000664.05 1.26e-02
118 3000664.06 1.16e-02
119 3000664.07 1.07e-02
120 3000664.08 9.83e-03
Performing nullcheck...
Deleting factor 44 decreases objective by 6.65e+03. Factor retained.
Nullcheck complete. Objective: 3000664.08
Fitting factor/loading 45 (stop when difference in obj. is < 1.00e-02):
Iteration Objective Obj Diff
1 3007180.26 Inf
2 3007190.98 1.07e+01
3 3007195.01 4.03e+00
4 3007198.11 3.10e+00
5 3007200.66 2.55e+00
6 3007202.83 2.17e+00
7 3007204.73 1.90e+00
Warning in verbose_obj_decrease_warning(): An iteration decreased the objective.
This happens occasionally, perhaps due to numeric reasons. You could ignore this
warning, but you might like to check out https://github.com/stephenslab/flashr/
issues/26 for more details.
8 3007203.73 -1.00e+00
Performing nullcheck...
Deleting factor 45 decreases objective by 6.54e+03. Factor retained.
Nullcheck complete. Objective: 3007203.73
Fitting factor/loading 46 (stop when difference in obj. is < 1.00e-02):
Iteration Objective Obj Diff
1 3013716.16 Inf
2 3013727.54 1.14e+01
3 3013731.68 4.15e+00
4 3013734.83 3.14e+00
5 3013737.39 2.56e+00
6 3013739.57 2.18e+00
7 3013741.48 1.91e+00
8 3013743.17 1.70e+00
9 3013744.71 1.54e+00
10 3013746.12 1.41e+00
11 3013747.42 1.30e+00
12 3013748.63 1.21e+00
13 3013749.76 1.13e+00
14 3013750.82 1.06e+00
15 3013751.82 1.00e+00
16 3013752.77 9.47e-01
17 3013753.67 8.97e-01
18 3013754.52 8.52e-01
19 3013755.33 8.11e-01
20 3013756.10 7.72e-01
21 3013756.84 7.37e-01
22 3013757.54 7.05e-01
23 3013758.22 6.76e-01
24 3013758.87 6.48e-01
25 3013759.49 6.22e-01
26 3013760.09 5.97e-01
27 3013760.66 5.73e-01
28 3013761.21 5.51e-01
29 3013761.74 5.30e-01
30 3013762.25 5.09e-01
31 3013762.74 4.91e-01
32 3013763.21 4.73e-01
33 3013763.67 4.56e-01
34 3013764.11 4.40e-01
35 3013764.53 4.24e-01
36 3013764.94 4.10e-01
37 3013765.34 3.96e-01
38 3013765.72 3.82e-01
39 3013766.09 3.69e-01
40 3013766.45 3.56e-01
41 3013766.79 3.44e-01
42 3013767.12 3.32e-01
43 3013767.44 3.21e-01
44 3013767.75 3.10e-01
45 3013768.05 3.00e-01
46 3013768.34 2.90e-01
47 3013768.62 2.80e-01
48 3013768.90 2.71e-01
49 3013769.16 2.62e-01
50 3013769.41 2.54e-01
51 3013769.66 2.46e-01
52 3013769.89 2.38e-01
53 3013770.12 2.30e-01
54 3013770.35 2.23e-01
55 3013770.56 2.16e-01
56 3013770.77 2.09e-01
57 3013770.97 2.02e-01
58 3013771.17 1.96e-01
59 3013771.36 1.90e-01
60 3013771.54 1.84e-01
61 3013771.72 1.78e-01
62 3013771.90 1.73e-01
63 3013772.06 1.67e-01
64 3013772.23 1.62e-01
65 3013772.38 1.57e-01
66 3013772.54 1.52e-01
67 3013772.68 1.48e-01
68 3013772.83 1.43e-01
69 3013772.97 1.39e-01
70 3013773.10 1.35e-01
71 3013773.23 1.31e-01
72 3013773.36 1.27e-01
73 3013773.48 1.23e-01
74 3013773.60 1.19e-01
75 3013773.71 1.15e-01
76 3013773.83 1.12e-01
77 3013773.94 1.09e-01
78 3013774.04 1.05e-01
79 3013774.14 1.02e-01
80 3013774.24 9.90e-02
81 3013774.34 9.60e-02
82 3013774.43 9.31e-02
83 3013774.52 9.03e-02
84 3013774.61 8.76e-02
85 3013774.69 8.49e-02
86 3013774.78 8.24e-02
87 3013774.86 7.99e-02
88 3013774.93 7.75e-02
89 3013775.01 7.51e-02
90 3013775.08 7.29e-02
91 3013775.15 7.07e-02
92 3013775.22 6.85e-02
93 3013775.29 6.64e-02
94 3013775.35 6.44e-02
95 3013775.41 6.25e-02
96 3013775.47 6.06e-02
97 3013775.53 5.88e-02
98 3013775.59 5.70e-02
99 3013775.65 5.53e-02
100 3013775.70 5.36e-02
101 3013775.75 5.20e-02
102 3013775.80 5.04e-02
103 3013775.85 4.89e-02
104 3013775.90 4.74e-02
105 3013775.94 4.59e-02
106 3013775.99 4.45e-02
107 3013776.03 4.32e-02
108 3013776.07 4.19e-02
109 3013776.11 4.06e-02
110 3013776.15 3.94e-02
111 3013776.19 3.82e-02
112 3013776.23 3.70e-02
113 3013776.26 3.59e-02
114 3013776.30 3.48e-02
115 3013776.33 3.37e-02
116 3013776.36 3.27e-02
117 3013776.40 3.17e-02
118 3013776.43 3.07e-02
119 3013776.46 2.98e-02
120 3013776.49 2.88e-02
121 3013776.51 2.80e-02
122 3013776.54 2.71e-02
123 3013776.57 2.63e-02
124 3013776.59 2.55e-02
125 3013776.62 2.47e-02
126 3013776.64 2.39e-02
127 3013776.66 2.32e-02
128 3013776.69 2.25e-02
129 3013776.71 2.18e-02
130 3013776.73 2.11e-02
131 3013776.75 2.05e-02
132 3013776.77 1.98e-02
133 3013776.79 1.92e-02
134 3013776.81 1.86e-02
135 3013776.83 1.80e-02
136 3013776.84 1.75e-02
137 3013776.86 1.69e-02
138 3013776.88 1.64e-02
139 3013776.89 1.59e-02
140 3013776.91 1.54e-02
141 3013776.92 1.49e-02
142 3013776.94 1.45e-02
143 3013776.95 1.40e-02
144 3013776.97 1.36e-02
145 3013776.98 1.32e-02
146 3013776.99 1.27e-02
147 3013777.00 1.23e-02
148 3013777.02 1.20e-02
149 3013777.03 1.16e-02
150 3013777.04 1.12e-02
151 3013777.05 1.09e-02
152 3013777.06 1.05e-02
153 3013777.07 1.02e-02
154 3013777.08 9.88e-03
Performing nullcheck...
Deleting factor 46 decreases objective by 6.57e+03. Factor retained.
Nullcheck complete. Objective: 3013777.08
Fitting factor/loading 47 (stop when difference in obj. is < 1.00e-02):
Iteration Objective Obj Diff
1 3020197.09 Inf
2 3020210.20 1.31e+01
3 3020215.16 4.96e+00
4 3020218.62 3.46e+00
5 3020221.31 2.69e+00
6 3020223.49 2.18e+00
7 3020225.32 1.83e+00
8 3020226.87 1.56e+00
9 3020228.24 1.36e+00
10 3020229.45 1.21e+00
11 3020230.52 1.08e+00
12 3020231.50 9.75e-01
13 3020232.39 8.89e-01
14 3020233.20 8.17e-01
15 3020233.96 7.55e-01
16 3020234.66 7.02e-01
17 3020235.32 6.56e-01
18 3020235.93 6.15e-01
19 3020236.51 5.79e-01
20 3020237.06 5.46e-01
21 3020237.57 5.16e-01
22 3020238.06 4.89e-01
23 3020238.53 4.64e-01
24 3020238.97 4.41e-01
25 3020239.39 4.20e-01
26 3020239.79 4.00e-01
27 3020240.17 3.82e-01
28 3020240.54 3.65e-01
29 3020240.88 3.48e-01
30 3020241.22 3.33e-01
31 3020241.54 3.19e-01
32 3020241.84 3.05e-01
33 3020242.13 2.92e-01
34 3020242.41 2.80e-01
35 3020242.68 2.68e-01
36 3020242.94 2.57e-01
37 3020243.19 2.47e-01
38 3020243.42 2.37e-01
39 3020243.65 2.27e-01
40 3020243.87 2.18e-01
41 3020244.08 2.10e-01
42 3020244.28 2.01e-01
43 3020244.47 1.93e-01
44 3020244.66 1.85e-01
45 3020244.84 1.78e-01
46 3020245.01 1.71e-01
47 3020245.17 1.64e-01
48 3020245.33 1.57e-01
49 3020245.48 1.51e-01
50 3020245.62 1.45e-01
51 3020245.76 1.39e-01
52 3020245.90 1.33e-01
53 3020246.02 1.28e-01
54 3020246.15 1.23e-01
55 3020246.26 1.18e-01
56 3020246.38 1.13e-01
57 3020246.49 1.08e-01
58 3020246.59 1.04e-01
59 3020246.69 9.95e-02
60 3020246.78 9.53e-02
61 3020246.88 9.14e-02
62 3020246.96 8.76e-02
63 3020247.05 8.39e-02
64 3020247.13 8.04e-02
65 3020247.20 7.72e-02
66 3020247.28 7.42e-02
67 3020247.35 7.13e-02
68 3020247.42 6.86e-02
69 3020247.48 6.60e-02
70 3020247.55 6.34e-02
71 3020247.61 6.10e-02
72 3020247.67 5.87e-02
73 3020247.72 5.61e-02
74 3020247.78 5.37e-02
75 3020247.83 5.15e-02
76 3020247.88 4.96e-02
77 3020247.93 4.77e-02
78 3020247.97 4.59e-02
79 3020248.02 4.41e-02
80 3020248.06 4.25e-02
81 3020248.10 4.09e-02
82 3020248.14 3.93e-02
83 3020248.18 3.78e-02
84 3020248.21 3.63e-02
85 3020248.25 3.46e-02
86 3020248.28 3.31e-02
87 3020248.31 3.17e-02
88 3020248.34 3.03e-02
89 3020248.37 2.90e-02
90 3020248.40 2.77e-02
91 3020248.43 2.65e-02
92 3020248.45 2.53e-02
93 3020248.48 2.42e-02
94 3020248.50 2.31e-02
95 3020248.52 2.20e-02
96 3020248.54 2.10e-02
97 3020248.56 2.00e-02
98 3020248.58 1.91e-02
99 3020248.60 1.83e-02
100 3020248.62 1.74e-02
101 3020248.63 1.66e-02
102 3020248.65 1.58e-02
103 3020248.66 1.51e-02
104 3020248.68 1.44e-02
105 3020248.69 1.35e-02
106 3020248.70 1.28e-02
107 3020248.72 1.21e-02
108 3020248.73 1.15e-02
109 3020248.74 1.09e-02
110 3020248.75 1.04e-02
111 3020248.76 9.87e-03
Performing nullcheck...
Deleting factor 47 decreases objective by 6.47e+03. Factor retained.
Nullcheck complete. Objective: 3020248.76
Fitting factor/loading 48 (stop when difference in obj. is < 1.00e-02):
Iteration Objective Obj Diff
1 3026644.80 Inf
2 3026657.23 1.24e+01
3 3026661.73 4.50e+00
4 3026665.02 3.29e+00
5 3026667.66 2.63e+00
6 3026669.88 2.22e+00
7 3026671.81 1.93e+00
8 3026673.53 1.72e+00
9 3026675.09 1.56e+00
10 3026676.52 1.43e+00
11 3026677.85 1.32e+00
12 3026679.08 1.24e+00
13 3026680.24 1.16e+00
14 3026681.34 1.09e+00
15 3026682.37 1.04e+00
16 3026683.36 9.86e-01
17 3026684.30 9.41e-01
18 3026685.20 9.01e-01
19 3026686.07 8.65e-01
20 3026686.90 8.32e-01
21 3026687.70 8.02e-01
22 3026688.47 7.74e-01
23 3026689.22 7.49e-01
24 3026689.95 7.25e-01
25 3026690.65 7.02e-01
26 3026691.33 6.81e-01
27 3026691.99 6.61e-01
28 3026692.63 6.42e-01
29 3026693.26 6.24e-01
30 3026693.86 6.06e-01
31 3026694.45 5.90e-01
32 3026695.03 5.74e-01
33 3026695.58 5.58e-01
34 3026696.13 5.44e-01
35 3026696.66 5.29e-01
36 3026697.17 5.12e-01
37 3026697.66 4.95e-01
38 3026698.14 4.79e-01
39 3026698.60 4.63e-01
40 3026699.05 4.50e-01
41 3026699.49 4.36e-01
42 3026699.91 4.24e-01
43 3026700.33 4.13e-01
44 3026700.73 4.00e-01
45 3026701.11 3.86e-01
46 3026701.49 3.73e-01
47 3026701.85 3.62e-01
48 3026702.20 3.48e-01
49 3026702.53 3.35e-01
50 3026702.85 3.20e-01
51 3026703.16 3.06e-01
52 3026703.45 2.93e-01
53 3026703.73 2.81e-01
54 3026704.00 2.69e-01
55 3026704.26 2.59e-01
56 3026704.51 2.49e-01
57 3026704.75 2.40e-01
58 3026704.98 2.32e-01
59 3026705.21 2.25e-01
60 3026705.43 2.19e-01
61 3026705.64 2.13e-01
62 3026705.85 2.08e-01
63 3026706.05 2.03e-01
64 3026706.25 1.99e-01
65 3026706.44 1.95e-01
66 3026706.63 1.90e-01
67 3026706.82 1.87e-01
68 3026707.00 1.83e-01
69 3026707.18 1.80e-01
70 3026707.36 1.77e-01
71 3026707.53 1.74e-01
72 3026707.71 1.72e-01
73 3026707.88 1.69e-01
74 3026708.04 1.67e-01
75 3026708.21 1.65e-01
76 3026708.37 1.65e-01
77 3026708.54 1.70e-01
78 3026708.71 1.67e-01
79 3026708.87 1.65e-01
80 3026709.04 1.64e-01
81 3026709.20 1.65e-01
82 3026709.37 1.62e-01
83 3026709.52 1.59e-01
84 3026709.68 1.56e-01
85 3026709.83 1.53e-01
86 3026709.98 1.50e-01
87 3026710.13 1.48e-01
88 3026710.28 1.45e-01
89 3026710.42 1.43e-01
90 3026710.56 1.40e-01
91 3026710.70 1.38e-01
92 3026710.83 1.36e-01
93 3026710.97 1.33e-01
94 3026711.10 1.31e-01
95 3026711.23 1.29e-01
96 3026711.35 1.26e-01
97 3026711.48 1.24e-01
98 3026711.60 1.22e-01
99 3026711.72 1.20e-01
100 3026711.84 1.18e-01
101 3026711.95 1.16e-01
102 3026712.07 1.14e-01
103 3026712.18 1.12e-01
104 3026712.29 1.10e-01
105 3026712.40 1.08e-01
106 3026712.50 1.07e-01
107 3026712.61 1.05e-01
108 3026712.71 1.03e-01
109 3026712.81 1.01e-01
110 3026712.91 9.97e-02
111 3026713.01 9.80e-02
112 3026713.11 9.64e-02
113 3026713.20 9.48e-02
114 3026713.30 9.32e-02
115 3026713.39 9.17e-02
116 3026713.48 9.02e-02
117 3026713.57 8.87e-02
118 3026713.65 8.73e-02
119 3026713.74 8.58e-02
120 3026713.82 8.44e-02
121 3026713.91 8.30e-02
122 3026713.99 8.17e-02
123 3026714.07 8.03e-02
124 3026714.15 7.90e-02
125 3026714.23 7.78e-02
126 3026714.30 7.65e-02
127 3026714.38 7.52e-02
128 3026714.45 7.40e-02
129 3026714.52 7.28e-02
130 3026714.60 7.16e-02
131 3026714.67 7.05e-02
132 3026714.74 6.93e-02
133 3026714.80 6.82e-02
134 3026714.87 6.71e-02
135 3026714.94 6.60e-02
136 3026715.00 6.49e-02
137 3026715.07 6.39e-02
138 3026715.13 6.29e-02
139 3026715.19 6.18e-02
140 3026715.25 6.08e-02
141 3026715.31 5.99e-02
142 3026715.37 5.89e-02
143 3026715.43 5.79e-02
144 3026715.49 5.70e-02
145 3026715.54 5.61e-02
146 3026715.60 5.52e-02
147 3026715.65 5.43e-02
148 3026715.70 5.34e-02
149 3026715.76 5.25e-02
150 3026715.81 5.17e-02
151 3026715.86 5.09e-02
152 3026715.91 5.00e-02
153 3026715.96 4.92e-02
154 3026716.01 4.84e-02
155 3026716.05 4.76e-02
156 3026716.10 4.69e-02
157 3026716.15 4.61e-02
158 3026716.19 4.54e-02
159 3026716.24 4.46e-02
160 3026716.28 4.39e-02
161 3026716.32 4.32e-02
162 3026716.37 4.25e-02
163 3026716.41 4.18e-02
164 3026716.45 4.11e-02
165 3026716.49 4.05e-02
166 3026716.53 3.98e-02
167 3026716.57 3.92e-02
168 3026716.61 3.85e-02
169 3026716.65 3.79e-02
170 3026716.68 3.73e-02
171 3026716.72 3.67e-02
172 3026716.76 3.61e-02
173 3026716.79 3.55e-02
174 3026716.83 3.49e-02
175 3026716.86 3.43e-02
176 3026716.89 3.38e-02
177 3026716.93 3.32e-02
178 3026716.96 3.26e-02
179 3026716.99 3.21e-02
180 3026717.02 3.16e-02
181 3026717.06 3.10e-02
182 3026717.09 3.05e-02
183 3026717.12 3.00e-02
184 3026717.15 2.95e-02
185 3026717.17 2.90e-02
186 3026717.20 2.85e-02
187 3026717.23 2.81e-02
188 3026717.26 2.76e-02
189 3026717.29 2.71e-02
190 3026717.31 2.67e-02
191 3026717.34 2.62e-02
192 3026717.36 2.58e-02
193 3026717.39 2.53e-02
194 3026717.41 2.49e-02
195 3026717.44 2.45e-02
196 3026717.46 2.41e-02
197 3026717.49 2.37e-02
198 3026717.51 2.33e-02
199 3026717.53 2.29e-02
200 3026717.56 2.25e-02
201 3026717.58 2.21e-02
202 3026717.60 2.17e-02
203 3026717.62 2.14e-02
204 3026717.64 2.10e-02
205 3026717.66 2.07e-02
206 3026717.68 2.03e-02
207 3026717.70 2.00e-02
208 3026717.72 1.96e-02
209 3026717.74 1.93e-02
210 3026717.76 1.90e-02
211 3026717.78 1.86e-02
212 3026717.80 1.83e-02
213 3026717.82 1.80e-02
214 3026717.83 1.77e-02
215 3026717.85 1.74e-02
216 3026717.87 1.71e-02
217 3026717.88 1.68e-02
218 3026717.90 1.65e-02
219 3026717.92 1.62e-02
220 3026717.93 1.60e-02
221 3026717.95 1.57e-02
222 3026717.96 1.54e-02
223 3026717.98 1.51e-02
224 3026717.99 1.49e-02
225 3026718.01 1.46e-02
226 3026718.02 1.44e-02
227 3026718.04 1.41e-02
228 3026718.05 1.39e-02
229 3026718.06 1.36e-02
230 3026718.08 1.34e-02
231 3026718.09 1.32e-02
232 3026718.10 1.29e-02
233 3026718.12 1.27e-02
234 3026718.13 1.25e-02
235 3026718.14 1.23e-02
236 3026718.15 1.21e-02
237 3026718.17 1.19e-02
238 3026718.18 1.16e-02
239 3026718.19 1.14e-02
240 3026718.20 1.12e-02
241 3026718.21 1.10e-02
242 3026718.22 1.09e-02
243 3026718.23 1.07e-02
244 3026718.24 1.05e-02
245 3026718.25 1.03e-02
246 3026718.26 1.01e-02
247 3026718.27 9.93e-03
Performing nullcheck...
Deleting factor 48 decreases objective by 6.47e+03. Factor retained.
Nullcheck complete. Objective: 3026718.27
Fitting factor/loading 49 (stop when difference in obj. is < 1.00e-02):
Iteration Objective Obj Diff
1 3033096.10 Inf
2 3033108.72 1.26e+01
3 3033113.99 5.28e+00
4 3033118.21 4.22e+00
5 3033121.78 3.57e+00
6 3033127.65 5.88e+00
7 3033130.14 2.49e+00
8 3033132.39 2.25e+00
9 3033134.47 2.08e+00
10 3033136.41 1.94e+00
11 3033138.23 1.82e+00
12 3033139.94 1.71e+00
13 3033141.56 1.61e+00
14 3033143.08 1.53e+00
15 3033144.53 1.45e+00
16 3033145.90 1.37e+00
17 3033147.21 1.30e+00
18 3033148.45 1.24e+00
19 3033149.63 1.18e+00
20 3033150.75 1.12e+00
21 3033151.82 1.07e+00
22 3033152.84 1.02e+00
23 3033153.81 9.71e-01
24 3033154.74 9.26e-01
25 3033155.62 8.82e-01
26 3033156.46 8.41e-01
27 3033157.26 8.01e-01
28 3033158.03 7.64e-01
29 3033158.75 7.28e-01
30 3033159.45 6.93e-01
31 3033160.11 6.61e-01
32 3033160.74 6.30e-01
33 3033161.34 6.00e-01
34 3033161.91 5.71e-01
35 3033162.45 5.44e-01
36 3033162.97 5.18e-01
37 3033163.47 4.94e-01
38 3033163.94 4.70e-01
39 3033164.38 4.48e-01
40 3033164.81 4.26e-01
41 3033165.22 4.06e-01
42 3033165.60 3.86e-01
43 3033165.97 3.68e-01
44 3033166.32 3.50e-01
45 3033166.65 3.34e-01
46 3033166.97 3.18e-01
47 3033167.27 3.02e-01
48 3033167.56 2.88e-01
49 3033167.84 2.74e-01
50 3033168.10 2.61e-01
51 3033168.34 2.49e-01
52 3033168.58 2.37e-01
53 3033168.81 2.25e-01
54 3033169.02 2.15e-01
55 3033169.23 2.05e-01
56 3033169.42 1.95e-01
57 3033169.61 1.86e-01
58 3033169.78 1.77e-01
59 3033169.95 1.69e-01
60 3033170.11 1.61e-01
61 3033170.27 1.53e-01
62 3033170.41 1.46e-01
63 3033170.55 1.40e-01
64 3033170.69 1.33e-01
65 3033170.81 1.27e-01
66 3033170.93 1.21e-01
67 3033171.05 1.16e-01
68 3033171.16 1.11e-01
69 3033171.27 1.06e-01
70 3033171.37 1.01e-01
71 3033171.46 9.64e-02
72 3033171.56 9.22e-02
73 3033171.64 8.81e-02
74 3033171.73 8.43e-02
75 3033171.81 8.07e-02
76 3033171.89 7.72e-02
77 3033171.96 7.39e-02
78 3033172.03 7.08e-02
79 3033172.10 6.78e-02
80 3033172.16 6.50e-02
81 3033172.23 6.23e-02
82 3033172.29 5.97e-02
83 3033172.34 5.73e-02
84 3033172.40 5.50e-02
85 3033172.45 5.28e-02
86 3033172.50 5.07e-02
87 3033172.55 4.87e-02
88 3033172.60 4.68e-02
89 3033172.64 4.49e-02
90 3033172.68 4.32e-02
91 3033172.73 4.16e-02
92 3033172.77 4.00e-02
93 3033172.80 3.85e-02
94 3033172.84 3.71e-02
95 3033172.88 3.57e-02
96 3033172.91 3.44e-02
97 3033172.95 3.32e-02
98 3033172.98 3.20e-02
99 3033173.01 3.08e-02
100 3033173.04 2.97e-02
101 3033173.07 2.87e-02
102 3033173.09 2.77e-02
103 3033173.12 2.68e-02
104 3033173.15 2.59e-02
105 3033173.17 2.50e-02
106 3033173.20 2.42e-02
107 3033173.22 2.34e-02
108 3033173.24 2.26e-02
109 3033173.26 2.19e-02
110 3033173.28 2.12e-02
111 3033173.31 2.05e-02
112 3033173.33 1.98e-02
113 3033173.34 1.92e-02
114 3033173.36 1.86e-02
115 3033173.38 1.80e-02
116 3033173.40 1.75e-02
117 3033173.42 1.70e-02
118 3033173.43 1.65e-02
119 3033173.45 1.60e-02
120 3033173.46 1.55e-02
121 3033173.48 1.50e-02
122 3033173.49 1.46e-02
123 3033173.51 1.42e-02
124 3033173.52 1.38e-02
125 3033173.53 1.34e-02
126 3033173.55 1.30e-02
127 3033173.56 1.27e-02
128 3033173.57 1.23e-02
129 3033173.58 1.20e-02
130 3033173.60 1.16e-02
131 3033173.61 1.13e-02
132 3033173.62 1.10e-02
133 3033173.63 1.07e-02
134 3033173.64 1.04e-02
135 3033173.65 1.02e-02
136 3033173.66 9.90e-03
Performing nullcheck...
Deleting factor 49 decreases objective by 6.46e+03. Factor retained.
Nullcheck complete. Objective: 3033173.66
Fitting factor/loading 50 (stop when difference in obj. is < 1.00e-02):
Iteration Objective Obj Diff
1 3039530.35 Inf
2 3039539.98 9.63e+00
3 3039542.25 2.27e+00
4 3039543.66 1.41e+00
5 3039544.66 9.96e-01
6 3039545.41 7.54e-01
7 3039546.01 5.99e-01
8 3039546.51 4.93e-01
9 3039546.92 4.16e-01
10 3039547.28 3.59e-01
11 3039547.59 3.14e-01
12 3039547.87 2.78e-01
13 3039548.12 2.49e-01
14 3039548.35 2.25e-01
15 3039548.55 2.04e-01
16 3039548.74 1.87e-01
17 3039548.91 1.72e-01
18 3039549.07 1.58e-01
19 3039549.21 1.47e-01
20 3039549.35 1.36e-01
21 3039549.48 1.27e-01
22 3039549.59 1.18e-01
23 3039549.70 1.10e-01
24 3039549.81 1.03e-01
25 3039549.90 9.64e-02
26 3039549.99 9.04e-02
27 3039550.08 8.48e-02
28 3039550.16 7.96e-02
29 3039550.23 7.48e-02
30 3039550.30 7.04e-02
31 3039550.37 6.62e-02
32 3039550.43 6.24e-02
33 3039550.49 5.88e-02
34 3039550.55 5.54e-02
35 3039550.60 5.23e-02
36 3039550.65 4.93e-02
37 3039550.70 4.65e-02
38 3039550.74 4.40e-02
39 3039550.78 4.15e-02
40 3039550.82 3.92e-02
41 3039550.86 3.71e-02
42 3039550.89 3.51e-02
43 3039550.93 3.32e-02
44 3039550.96 3.14e-02
45 3039550.99 2.97e-02
46 3039551.01 2.82e-02
47 3039551.04 2.67e-02
48 3039551.07 2.53e-02
49 3039551.09 2.40e-02
50 3039551.11 2.27e-02
51 3039551.14 2.16e-02
52 3039551.16 2.05e-02
53 3039551.17 1.94e-02
54 3039551.19 1.84e-02
55 3039551.21 1.75e-02
56 3039551.23 1.66e-02
57 3039551.24 1.58e-02
58 3039551.26 1.50e-02
59 3039551.27 1.42e-02
60 3039551.29 1.35e-02
61 3039551.30 1.29e-02
62 3039551.31 1.22e-02
63 3039551.32 1.17e-02
64 3039551.33 1.11e-02
65 3039551.34 1.05e-02
66 3039551.35 1.00e-02
67 3039551.36 9.56e-03
Performing nullcheck...
Deleting factor 50 decreases objective by 6.38e+03. Factor retained.
Nullcheck complete. Objective: 3039551.36
par(mfrow=c(4,4))
par(mai=rep(0.1,4))
for(i in 1:16){
plot(Scell.flash$ldf$l[,i],main=paste0(i))
}

sessionInfo()
R version 4.1.0 Patched (2021-07-20 r80657)
Platform: aarch64-apple-darwin20 (64-bit)
Running under: macOS Big Sur 11.5
Matrix products: default
BLAS: /Library/Frameworks/R.framework/Versions/4.1-arm64/Resources/lib/libRblas.0.dylib
LAPACK: /Library/Frameworks/R.framework/Versions/4.1-arm64/Resources/lib/libRlapack.dylib
locale:
[1] en_US.UTF-8/en_US.UTF-8/en_US.UTF-8/C/en_US.UTF-8/en_US.UTF-8
attached base packages:
[1] stats graphics grDevices utils datasets methods base
other attached packages:
[1] flashr_0.6-8
loaded via a namespace (and not attached):
[1] Rcpp_1.0.7 plyr_1.8.6 pillar_1.6.2 compiler_4.1.0
[5] later_1.2.0 git2r_0.28.0 highr_0.9 workflowr_1.6.2
[9] tools_4.1.0 digest_0.6.27 gtable_0.3.0 evaluate_0.14
[13] lifecycle_1.0.0 tibble_3.1.3 lattice_0.20-44 pkgconfig_2.0.3
[17] rlang_0.4.11 Matrix_1.3-4 yaml_2.2.1 xfun_0.24
[21] invgamma_1.1 dplyr_1.0.7 stringr_1.4.0 knitr_1.33
[25] generics_0.1.0 fs_1.5.0 vctrs_0.3.8 tidyselect_1.1.1
[29] rprojroot_2.0.2 grid_4.1.0 glue_1.4.2 R6_2.5.0
[33] fansi_0.5.0 rmarkdown_2.9 mixsqp_0.3-43 irlba_2.3.3
[37] reshape2_1.4.4 purrr_0.3.4 ggplot2_3.3.5 ashr_2.2-51
[41] magrittr_2.0.1 whisker_0.4 scales_1.1.1 promises_1.2.0.1
[45] ellipsis_0.3.2 htmltools_0.5.1.1 softImpute_1.4-1 colorspace_2.0-2
[49] httpuv_1.6.1 utf8_1.2.2 stringi_1.7.3 munsell_0.5.0
[53] truncnorm_1.0-8 SQUAREM_2021.1 crayon_1.4.1