Last updated: 2025-06-10

Checks: 7 0

Knit directory: symmetric_covariance_decomposition/

This reproducible R Markdown analysis was created with workflowr (version 1.7.1). The Checks tab describes the reproducibility checks that were applied when the results were created. The Past versions tab lists the development history.


Great! Since the R Markdown file has been committed to the Git repository, you know the exact version of the code that produced these results.

Great job! The global environment was empty. Objects defined in the global environment can affect the analysis in your R Markdown file in unknown ways. For reproduciblity it’s best to always run the code in an empty environment.

The command set.seed(20250408) was run prior to running the code in the R Markdown file. Setting a seed ensures that any results that rely on randomness, e.g. subsampling or permutations, are reproducible.

Great job! Recording the operating system, R version, and package versions is critical for reproducibility.

Nice! There were no cached chunks for this analysis, so you can be confident that you successfully produced the results during this run.

Great job! Using relative paths to the files within your workflowr project makes it easier to run your code on other machines.

Great! You are using Git for version control. Tracking code development and connecting the code version to the results is critical for reproducibility.

The results in this page were generated with repository version c9e74f5. See the Past versions tab to see a history of the changes made to the R Markdown and HTML files.

Note that you need to be careful to ensure that all relevant files for the analysis have been committed to Git prior to generating the results (you can use wflow_publish or wflow_git_commit). workflowr only checks the R Markdown file, but you know if there are other scripts or data files that it depends on. Below is the status of the Git repository when the results were generated:


Ignored files:
    Ignored:    .DS_Store
    Ignored:    .Rhistory

Untracked files:
    Untracked:  analysis/symebcovmf_laplace_exploration.Rmd

Note that any generated files, e.g. HTML, png, CSS, etc., are not included in this status report because it is ok for generated content to have uncommitted changes.


These are the previous versions of the repository in which changes were made to the R Markdown (analysis/symebcovmf_laplace_split_init_tree.Rmd) and HTML (docs/symebcovmf_laplace_split_init_tree.html) files. If you’ve configured a remote Git repository (see ?wflow_git_remote), click on the hyperlinks in the table below to view the files as they were in that past version.

File Version Author Date Message
Rmd c9e74f5 Annie Xie 2025-06-10 Add comments to point laplace analysis
html f885e97 Annie Xie 2025-06-06 Build site.
Rmd 7f4f0cf Annie Xie 2025-06-06 Add to point laplace split analysis
html e557427 Annie Xie 2025-06-03 Build site.
Rmd 14cbb81 Annie Xie 2025-06-03 Add analysis of laplace split initialization

Introduction

In this analysis, we explore symEBcovMF with the GBCD initialization procedure – fitting with point-Laplace prior and then splitting the matrices into the negative and non-negative parts – in the tree setting.

Motivation

We are interested in this procedure because it is the initialization procedure for GBCD, and it seems to work well empirically. We are interested in whether this procedure also works well for symEBcovMF. There isn’t much justification for this procedure beyond Jason’s work with divergence factorizations in the tree setting.

Packages and Functions

library(ebnm)
library(pheatmap)
library(ggplot2)
source('code/visualization_functions.R')
source('code/symebcovmf_functions.R')

Backfit Functions

optimize_factor <- function(R, ebnm_fn, maxiter, tol, v_init, lambda_k, R2k, n, KL){
  R2 <- R2k - lambda_k^2
  resid_s2 <- estimate_resid_s2(n = n, R2 = R2)
  rank_one_KL <- 0
  curr_elbo <- -Inf
  obj_diff <- Inf
  fitted_g_k <- NULL
  iter <- 1
  vec_elbo_full <- NULL
  v <- v_init
  
  while((iter <= maxiter) && (obj_diff > tol)){
    # update l; power iteration step
    v.old <- v
    x <- R %*% v
    e <- ebnm_fn(x = x, s = sqrt(resid_s2), g_init = fitted_g_k)
    scaling_factor <- sqrt(sum(e$posterior$mean^2) + sum(e$posterior$sd^2))
    if (scaling_factor == 0){ # check if scaling factor is zero
      scaling_factor <- Inf
      v <- e$posterior$mean/scaling_factor
      print('Warning: scaling factor is zero')
      break
    }
    v <- e$posterior$mean/scaling_factor
    
    # update lambda and R2
    lambda_k.old <- lambda_k
    lambda_k <- max(as.numeric(t(v) %*% R %*% v), 0)
    R2 <- R2k - lambda_k^2
    
    #store estimate for g
    fitted_g_k.old <- fitted_g_k
    fitted_g_k <- e$fitted_g
    
    # store KL
    rank_one_KL.old <- rank_one_KL
    rank_one_KL <- as.numeric(e$log_likelihood) +
      - normal_means_loglik(x, sqrt(resid_s2), e$posterior$mean, e$posterior$mean^2 + e$posterior$sd^2)
    
    # update resid_s2
    resid_s2.old <- resid_s2
    resid_s2 <- estimate_resid_s2(n = n, R2 = R2) # this goes negative?????
    
    # check convergence - maybe change to rank-one obj function
    curr_elbo.old <- curr_elbo
    curr_elbo <- compute_elbo(resid_s2 = resid_s2,
                              n = n,
                              KL = c(KL, rank_one_KL),
                              R2 = R2)
    if (iter > 1){
      obj_diff <- curr_elbo - curr_elbo.old
    }
    if (obj_diff < 0){ # check if convergence_val < 0
      v <- v.old
      resid_s2 <- resid_s2.old
      rank_one_KL <- rank_one_KL.old
      lambda_k <- lambda_k.old
      curr_elbo <- curr_elbo.old
      fitted_g_k <- fitted_g_k.old
      print(paste('elbo decreased by', abs(obj_diff)))
      break
    }
    vec_elbo_full <- c(vec_elbo_full, curr_elbo)
    iter <- iter + 1
  }
  return(list(v = v, lambda_k = lambda_k, resid_s2 = resid_s2, curr_elbo = curr_elbo, vec_elbo_full = vec_elbo_full, fitted_g_k = fitted_g_k, rank_one_KL = rank_one_KL))
}
#nullcheck function
nullcheck_factors <- function(sym_ebcovmf_obj, L2_tol = 10^(-8)){
  null_lambda_idx <- which(sym_ebcovmf_obj$lambda == 0)
  factor_L2_norms <- apply(sym_ebcovmf_obj$L_pm, 2, function(v){sqrt(sum(v^2))})
  null_factor_idx <- which(factor_L2_norms < L2_tol)
  null_idx <- unique(c(null_lambda_idx, null_factor_idx))
  
  keep_idx <- setdiff(c(1:length(sym_ebcovmf_obj$lambda)), null_idx)
  
  if (length(keep_idx) < length(sym_ebcovmf_obj$lambda)){
    #remove factors
    sym_ebcovmf_obj$L_pm <- sym_ebcovmf_obj$L_pm[,keep_idx]
    sym_ebcovmf_obj$lambda <- sym_ebcovmf_obj$lambda[keep_idx]
    sym_ebcovmf_obj$KL <- sym_ebcovmf_obj$KL[keep_idx]
    sym_ebcovmf_obj$fitted_gs <- sym_ebcovmf_obj$fitted_gs[keep_idx]
  }
  
  #shouldn't need to recompute objective function or other things
  return(sym_ebcovmf_obj)
}
sym_ebcovmf_backfit <- function(S, sym_ebcovmf_obj, ebnm_fn, backfit_maxiter = 100, backfit_tol = 10^(-8), optim_maxiter= 500, optim_tol = 10^(-8)){
  K <- length(sym_ebcovmf_obj$lambda)
  iter <- 1
  obj_diff <- Inf
  sym_ebcovmf_obj$backfit_vec_elbo_full <- NULL
  
  # refit lambda
  sym_ebcovmf_obj <- refit_lambda(S, sym_ebcovmf_obj, maxiter = 25)
  
  while((iter <= backfit_maxiter) && (obj_diff > backfit_tol)){
    # print(iter)
    obj_old <- sym_ebcovmf_obj$elbo
    # loop through each factor
    for (k in 1:K){
      # print(k)
      # compute residual matrix
      R <- S - tcrossprod(sym_ebcovmf_obj$L_pm[,-k] %*% diag(sqrt(sym_ebcovmf_obj$lambda[-k]), ncol = (K-1)))
      R2k <- compute_R2(S, sym_ebcovmf_obj$L_pm[,-k], sym_ebcovmf_obj$lambda[-k], (K-1)) #this is right but I have one instance where the values don't match what I expect
      
      # optimize factor
      factor_proposed <- optimize_factor(R, ebnm_fn, optim_maxiter, optim_tol, sym_ebcovmf_obj$L_pm[,k], sym_ebcovmf_obj$lambda[k], R2k, sym_ebcovmf_obj$n, sym_ebcovmf_obj$KL[-k])
      
      # update object
      sym_ebcovmf_obj$L_pm[,k] <- factor_proposed$v
      sym_ebcovmf_obj$KL[k] <- factor_proposed$rank_one_KL
      sym_ebcovmf_obj$lambda[k] <- factor_proposed$lambda_k
      sym_ebcovmf_obj$resid_s2 <- factor_proposed$resid_s2
      sym_ebcovmf_obj$fitted_gs[[k]] <- factor_proposed$fitted_g_k
      sym_ebcovmf_obj$elbo <- factor_proposed$curr_elbo
      sym_ebcovmf_obj$backfit_vec_elbo_full <- c(sym_ebcovmf_obj$backfit_vec_elbo_full, factor_proposed$vec_elbo_full)
      
      #print(sym_ebcovmf_obj$elbo)
      sym_ebcovmf_obj <- refit_lambda(S, sym_ebcovmf_obj) # add refitting step?
      #print(sym_ebcovmf_obj$elbo)
    }
    
    iter <- iter + 1
    obj_diff <- abs(sym_ebcovmf_obj$elbo - obj_old)
    # need to add check if it is negative?
  }
  # nullcheck
  sym_ebcovmf_obj <- nullcheck_factors(sym_ebcovmf_obj)
  return(sym_ebcovmf_obj)
}

Data Generation

To test this procedure, I will apply it to the tree-structured dataset.

sim_4pops <- function(args) {
  set.seed(args$seed)
  
  n <- sum(args$pop_sizes)
  p <- args$n_genes
  
  FF <- matrix(rnorm(7 * p, sd = rep(args$branch_sds, each = p)), ncol = 7)
  # if (args$constrain_F) {
  #   FF_svd <- svd(FF)
  #   FF <- FF_svd$u
  #   FF <- t(t(FF) * branch_sds * sqrt(p))
  # }
  
  LL <- matrix(0, nrow = n, ncol = 7)
  LL[, 1] <- 1
  LL[, 2] <- rep(c(1, 1, 0, 0), times = args$pop_sizes)
  LL[, 3] <- rep(c(0, 0, 1, 1), times = args$pop_sizes)
  LL[, 4] <- rep(c(1, 0, 0, 0), times = args$pop_sizes)
  LL[, 5] <- rep(c(0, 1, 0, 0), times = args$pop_sizes)
  LL[, 6] <- rep(c(0, 0, 1, 0), times = args$pop_sizes)
  LL[, 7] <- rep(c(0, 0, 0, 1), times = args$pop_sizes)
  
  E <- matrix(rnorm(n * p, sd = args$indiv_sd), nrow = n)
  Y <- LL %*% t(FF) + E
  YYt <- (1/p)*tcrossprod(Y)
  return(list(Y = Y, YYt = YYt, LL = LL, FF = FF, K = ncol(LL)))
}
sim_args = list(pop_sizes = rep(40, 4), n_genes = 1000, branch_sds = rep(2,7), indiv_sd = 1, seed = 1)
sim_data <- sim_4pops(sim_args)

This is a heatmap of the scaled Gram matrix:

plot_heatmap(sim_data$YYt, colors_range = c('blue','gray96','red'), brks = seq(-max(abs(sim_data$YYt)), max(abs(sim_data$YYt)), length.out = 50))

Version Author Date
e557427 Annie Xie 2025-06-03

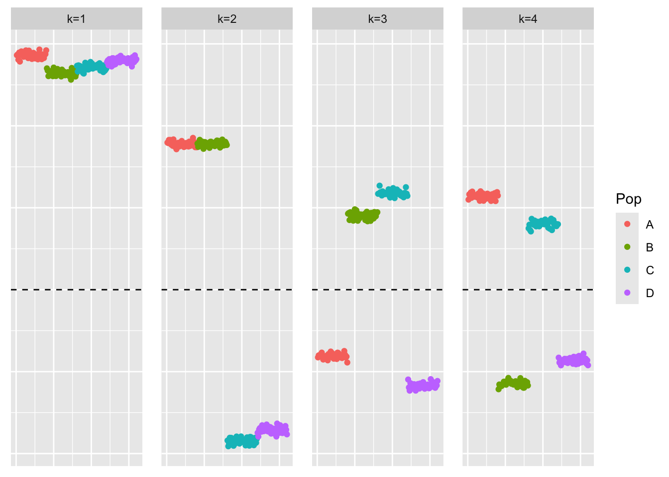
This is a scatter plot of the true loadings matrix:

pop_vec <- c(rep('A', 40), rep('B', 40), rep('C', 40), rep('D', 40))
plot_loadings(sim_data$LL, pop_vec)

Version Author Date
e557427 Annie Xie 2025-06-03

This is a plot of the eigenvalues of the Gram matrix:

S_eigen <- eigen(sim_data$YYt)
plot(S_eigen$values) + abline(a = 0, b = 0, col = 'red')

Version Author Date
e557427 Annie Xie 2025-06-03
integer(0)

This is the minimum eigenvalue:

min(S_eigen$values)
[1] 0.3724341

symEBcovMF with point-Laplace

First, we run greedy symEBcovMF with the point-Laplace prior.

symebcovmf_fit <- sym_ebcovmf_fit(S = sim_data$YYt, ebnm_fn = ebnm::ebnm_point_laplace, K = 7, maxiter = 500, rank_one_tol = 10^(-8), tol = 10^(-8), sign_constraint = NULL, refit_lam = TRUE)
[1] "Warning: scaling factor is zero"
[1] "Adding factor 5 does not improve the objective function"

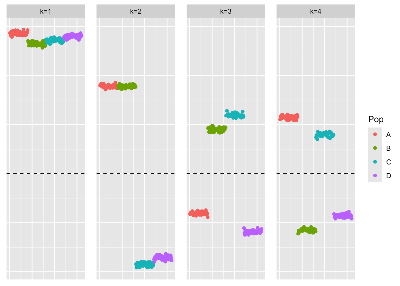
This is a scatter plot of \(\hat{L}_{pt-laplace}\), the estimate from symEBcovMF:

bal_pops <- c(rep('A', 40), rep('B', 40), rep('C', 40), rep('D', 40))
plot_loadings(symebcovmf_fit$L_pm %*% diag(sqrt(symebcovmf_fit$lambda)), bal_pops)

Version Author Date
e557427 Annie Xie 2025-06-03

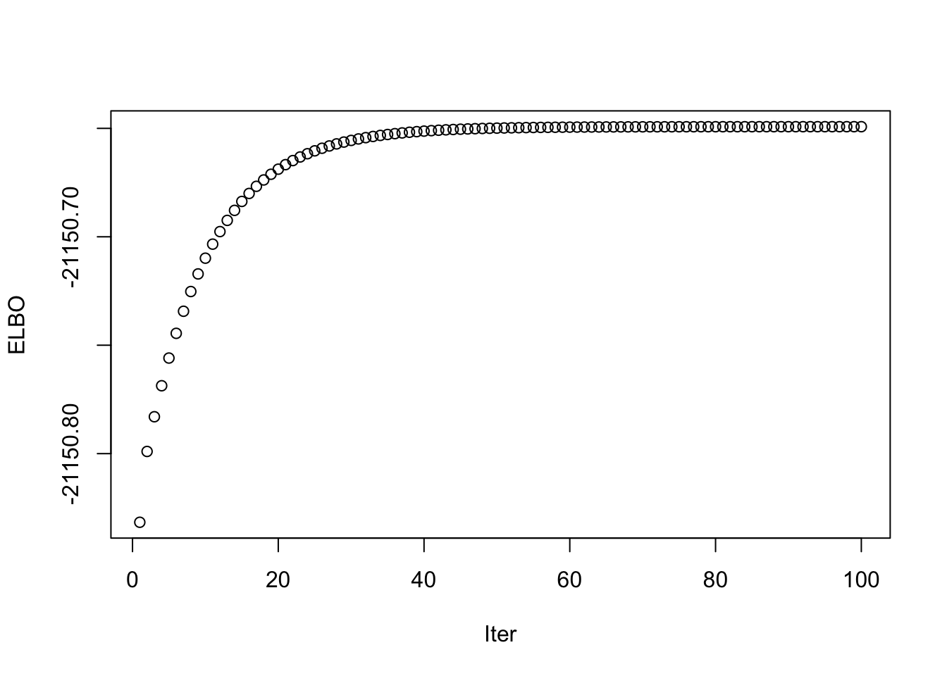
This is the objective function value attained:

symebcovmf_fit$elbo
[1] -10362.6

Additional Backfit

GBCD does additional backfitting on the point-Laplace fit, so I want to test how additional backfitting performs.

symebcovmf_fit_backfit <- sym_ebcovmf_backfit(sim_data$YYt, symebcovmf_fit, ebnm_fn = ebnm_point_laplace, backfit_maxiter = 500)
[1] "elbo decreased by 5.05997377331369e-09"
[1] "elbo decreased by 6.04813976678997e-10"
[1] "elbo decreased by 5.76492311665788e-08"
[1] "elbo decreased by 7.83620635047555e-09"
[1] "elbo decreased by 7.88713805377483e-09"
[1] "elbo decreased by 4.15639078710228e-08"
[1] "elbo decreased by 4.54019755125046e-09"
[1] "elbo decreased by 9.96806193143129e-10"
[1] "elbo decreased by 3.70764610124752e-08"
[1] "elbo decreased by 4.66388883069158e-09"
[1] "elbo decreased by 7.89077603258193e-09"
[1] "elbo decreased by 2.75940692517906e-09"
[1] "elbo decreased by 7.89441401138902e-09"
[1] "elbo decreased by 1.45839294418693e-07"
[1] "elbo decreased by 7.89077603258193e-09"
[1] "elbo decreased by 5.22049958817661e-09"
[1] "elbo decreased by 7.89441401138902e-09"
[1] "elbo decreased by 1.85536919161677e-10"
[1] "elbo decreased by 4.02269506594166e-08"
[1] "elbo decreased by 1.2969394447282e-09"
[1] "elbo decreased by 1.22599885798991e-09"
[1] "elbo decreased by 7.89441401138902e-09"
[1] "elbo decreased by 2.43690010393038e-08"
[1] "elbo decreased by 9.48966771829873e-09"
[1] "elbo decreased by 5.59030013391748e-08"
[1] "elbo decreased by 2.23408278543502e-08"
[1] "elbo decreased by 7.73070496506989e-10"
[1] "elbo decreased by 2.99041857942939e-09"
[1] "elbo decreased by 5.15556166647002e-08"
[1] "elbo decreased by 3.69618646800518e-09"
[1] "elbo decreased by 7.89441401138902e-09"
[1] "elbo decreased by 6.91215973347425e-11"
[1] "elbo decreased by 5.28216332895681e-08"
[1] "elbo decreased by 1.66164682013914e-08"
[1] "elbo decreased by 7.89077603258193e-09"
[1] "elbo decreased by 3.94666130887344e-08"
[1] "elbo decreased by 1.65673554874957e-08"
[1] "elbo decreased by 4.54747350886464e-10"
[1] "elbo decreased by 4.45252226199955e-08"
[1] "elbo decreased by 8.65111360326409e-09"
[1] "elbo decreased by 3.55139491148293e-08"
[1] "elbo decreased by 7.89441401138902e-09"
[1] "elbo decreased by 7.6397554948926e-10"
[1] "elbo decreased by 7.89077603258193e-09"
[1] "elbo decreased by 5.69780240766704e-08"
[1] "elbo decreased by 1.74259184859693e-09"
[1] "elbo decreased by 1.08673702925444e-07"
[1] "elbo decreased by 3.49609763361514e-09"
[1] "elbo decreased by 6.17128534941003e-08"
[1] "elbo decreased by 9.91531123872846e-09"
[1] "elbo decreased by 7.09405867382884e-10"
[1] "elbo decreased by 1.03318598121405e-09"
[1] "elbo decreased by 8.59799911268055e-08"
[1] "elbo decreased by 3.99995769839734e-09"
[1] "elbo decreased by 1.81898940354586e-10"
[1] "elbo decreased by 1.6025296645239e-09"
[1] "elbo decreased by 7.89441401138902e-09"
[1] "elbo decreased by 1.67874532053247e-08"
[1] "elbo decreased by 1.5788828022778e-08"
[1] "elbo decreased by 2.97568476526067e-08"
[1] "elbo decreased by 7.33416527509689e-09"
[1] "elbo decreased by 7.89441401138902e-09"
[1] "elbo decreased by 9.57625161390752e-08"
[1] "elbo decreased by 9.08949004951864e-09"
[1] "elbo decreased by 7.89077603258193e-09"
[1] "elbo decreased by 4.07453626394272e-10"
[1] "elbo decreased by 2.56823113886639e-08"
[1] "elbo decreased by 7.89441401138902e-09"
[1] "elbo decreased by 8.57107806950808e-09"
[1] "elbo decreased by 1.00044417195022e-10"
[1] "elbo decreased by 9.73668647930026e-08"
[1] "elbo decreased by 7.89077603258193e-09"
[1] "elbo decreased by 6.239497452043e-08"
[1] "elbo decreased by 1.81171344593167e-08"
[1] "elbo decreased by 4.48962964583188e-08"
[1] "elbo decreased by 1.63345248438418e-09"
[1] "elbo decreased by 6.71207089908421e-10"
[1] "elbo decreased by 6.93671609042212e-08"
[1] "elbo decreased by 7.89441401138902e-09"
[1] "elbo decreased by 1.57851900439709e-08"
[1] "elbo decreased by 5.8646037359722e-08"
[1] "elbo decreased by 7.89441401138902e-09"
[1] "elbo decreased by 6.85577106196433e-09"
[1] "elbo decreased by 1.35514710564166e-09"
[1] "elbo decreased by 3.8655343814753e-08"
[1] "elbo decreased by 9.35688149183989e-09"
[1] "elbo decreased by 2.29392753681168e-08"
[1] "elbo decreased by 7.89077603258193e-09"
[1] "elbo decreased by 1.48938852362335e-08"
[1] "elbo decreased by 7.89077603258193e-09"
[1] "elbo decreased by 8.73114913702011e-11"
[1] "elbo decreased by 1.13421265268698e-07"
[1] "elbo decreased by 8.13088263384998e-09"
[1] "elbo decreased by 9.58407326834276e-08"
[1] "elbo decreased by 7.89441401138902e-09"
[1] "elbo decreased by 1.06592779047787e-09"
[1] "elbo decreased by 7.89441401138902e-09"
[1] "elbo decreased by 7.02457327861339e-08"
[1] "elbo decreased by 9.40781319513917e-09"
[1] "elbo decreased by 1.5788828022778e-08"
[1] "elbo decreased by 4.18367562815547e-10"
[1] "elbo decreased by 1.58415787154809e-08"
[1] "elbo decreased by 7.89441401138902e-09"
[1] "elbo decreased by 2.18278728425503e-10"
[1] "elbo decreased by 4.77411958854645e-08"
[1] "elbo decreased by 7.89441401138902e-09"
[1] "elbo decreased by 3.30692273564637e-09"
[1] "elbo decreased by 1.87537807505578e-09"
[1] "elbo decreased by 7.89077603258193e-09"
[1] "elbo decreased by 8.11269273981452e-10"
[1] "elbo decreased by 7.88822944741696e-08"
[1] "elbo decreased by 7.89441401138902e-09"
[1] "elbo decreased by 7.46695150155574e-09"
[1] "elbo decreased by 3.60178091796115e-08"
[1] "elbo decreased by 1.26601662486792e-08"
[1] "elbo decreased by 6.16637407802045e-10"
[1] "elbo decreased by 7.89441401138902e-09"
[1] "elbo decreased by 1.00953911896795e-09"
[1] "elbo decreased by 4.47216734755784e-08"
[1] "elbo decreased by 6.40284270048141e-09"
[1] "elbo decreased by 7.89441401138902e-09"
[1] "elbo decreased by 9.11422830540687e-08"
[1] "elbo decreased by 7.89441401138902e-09"
[1] "elbo decreased by 4.74756234325469e-10"
[1] "elbo decreased by 7.89441401138902e-09"
[1] "elbo decreased by 3.96757968701422e-08"
[1] "elbo decreased by 1.36533344630152e-08"
[1] "elbo decreased by 7.12243490852416e-08"
[1] "elbo decreased by 2.47382558882236e-10"
[1] "elbo decreased by 3.80514393327758e-08"
[1] "elbo decreased by 7.89077603258193e-09"
[1] "elbo decreased by 1.68929545907304e-08"
[1] "elbo decreased by 1.57851900439709e-08"
[1] "elbo decreased by 9.58607415668666e-10"
[1] "elbo decreased by 7.89441401138902e-09"
[1] "elbo decreased by 3.75566742150113e-08"
[1] "elbo decreased by 6.0372258303687e-09"
[1] "elbo decreased by 7.89077603258193e-09"
[1] "elbo decreased by 1.72622094396502e-09"
[1] "elbo decreased by 7.89441401138902e-09"
[1] "elbo decreased by 3.77931428374723e-08"
[1] "elbo decreased by 1.28966348711401e-08"
[1] "elbo decreased by 7.89441401138902e-09"
[1] "elbo decreased by 6.18456397205591e-10"
[1] "elbo decreased by 7.89441401138902e-09"
[1] "elbo decreased by 1.13515852717683e-07"
[1] "elbo decreased by 2.3483153199777e-08"
[1] "elbo decreased by 1.19034666568041e-08"
[1] "elbo decreased by 7.89441401138902e-09"
[1] "elbo decreased by 2.49565346166492e-09"
[1] "elbo decreased by 1.6898411558941e-09"
[1] "elbo decreased by 7.89077603258193e-09"
[1] "elbo decreased by 1.54759618453681e-08"
[1] "elbo decreased by 1.37821189127862e-07"
[1] "elbo decreased by 1.98633642867208e-09"
[1] "elbo decreased by 5.40730979992077e-08"
[1] "elbo decreased by 7.89441401138902e-09"
[1] "elbo decreased by 3.24507709592581e-09"
[1] "elbo decreased by 7.89077603258193e-09"
[1] "elbo decreased by 7.89441401138902e-09"
[1] "elbo decreased by 1.20417098514736e-09"
[1] "elbo decreased by 9.69903339864686e-08"
[1] "elbo decreased by 6.94853952154517e-10"
[1] "elbo decreased by 7.89441401138902e-09"
[1] "elbo decreased by 7.95644155004993e-08"
[1] "elbo decreased by 1.02318153949454e-08"
[1] "elbo decreased by 1.97360350284725e-09"
[1] "elbo decreased by 1.97360350284725e-09"
[1] "elbo decreased by 7.89441401138902e-09"
[1] "elbo decreased by 5.58848114451393e-08"
[1] "elbo decreased by 2.0010702428408e-08"
[1] "elbo decreased by 1.302996679442e-07"
[1] "elbo decreased by 5.45878720004112e-09"
[1] "elbo decreased by 1.9754224922508e-09"
[1] "elbo decreased by 8.19109118310735e-08"
[1] "elbo decreased by 7.89441401138902e-09"
[1] "elbo decreased by 1.67419784702361e-08"
[1] "elbo decreased by 7.89077603258193e-09"
[1] "elbo decreased by 5.12227416038513e-09"
[1] "elbo decreased by 7.89441401138902e-09"
[1] "elbo decreased by 4.66134224552661e-08"
[1] "elbo decreased by 7.89077603258193e-09"
[1] "elbo decreased by 1.1315023584757e-07"
[1] "elbo decreased by 2.54112819675356e-09"
[1] "elbo decreased by 7.88713805377483e-09"
[1] "elbo decreased by 9.92095010587946e-08"
[1] "elbo decreased by 1.25146470963955e-09"
[1] "elbo decreased by 5.60576154384762e-08"
[1] "elbo decreased by 7.89441401138902e-09"
[1] "elbo decreased by 1.62799551617354e-09"
[1] "elbo decreased by 8.64019966684282e-10"
[1] "elbo decreased by 8.62200977280736e-10"
[1] "elbo decreased by 7.89077603258193e-09"
[1] "elbo decreased by 7.08314473740757e-09"
[1] "elbo decreased by 1.24728103401139e-08"
[1] "elbo decreased by 7.89441401138902e-09"
[1] "elbo decreased by 6.54836185276508e-11"
[1] "elbo decreased by 6.7057044361718e-08"
[1] "elbo decreased by 7.89441401138902e-09"
[1] "elbo decreased by 5.47515810467303e-09"
[1] "elbo decreased by 1.78697519004345e-08"
[1] "elbo decreased by 1.23691279441118e-10"
[1] "elbo decreased by 1.03009369922802e-07"
[1] "elbo decreased by 7.89441401138902e-09"
[1] "elbo decreased by 3.49245965480804e-10"
[1] "elbo decreased by 2.58296495303512e-08"
[1] "elbo decreased by 1.10376277007163e-08"
[1] "elbo decreased by 1.15142029244453e-09"
[1] "elbo decreased by 9.33141564019024e-10"
[1] "elbo decreased by 9.04783519217744e-08"
[1] "elbo decreased by 1.34241417981684e-09"
[1] "elbo decreased by 1.21872290037572e-10"
[1] "elbo decreased by 1.92630977835506e-09"
[1] "elbo decreased by 7.89441401138902e-09"
[1] "elbo decreased by 6.87577994540334e-10"
[1] "elbo decreased by 9.38962330110371e-09"
[1] "elbo decreased by 3.23780113831162e-10"
[1] "elbo decreased by 7.89077603258193e-09"
[1] "elbo decreased by 1.28966348711401e-09"
[1] "elbo decreased by 6.39738573227078e-09"
[1] "elbo decreased by 7.89441401138902e-09"
[1] "elbo decreased by 2.94130586553365e-09"
[1] "elbo decreased by 7.89441401138902e-09"
[1] "elbo decreased by 1.10958353616297e-10"
[1] "elbo decreased by 5.20321918884292e-08"
[1] "elbo decreased by 1.17706804303452e-08"
[1] "elbo decreased by 7.88713805377483e-09"
[1] "elbo decreased by 3.01224645227194e-09"
[1] "elbo decreased by 3.93447407986969e-09"
[1] "elbo decreased by 9.45874489843845e-10"
[1] "elbo decreased by 7.89441401138902e-09"
[1] "elbo decreased by 1.2427699402906e-07"
[1] "elbo decreased by 7.89441401138902e-09"
[1] "elbo decreased by 1.83354131877422e-08"
[1] "elbo decreased by 7.89441401138902e-09"
[1] "elbo decreased by 1.20962795335799e-09"
[1] "elbo decreased by 6.16655597696081e-08"
[1] "elbo decreased by 7.36763468012214e-08"
[1] "elbo decreased by 1.45319063449278e-08"
[1] "elbo decreased by 7.89441401138902e-09"
[1] "elbo decreased by 1.36788003146648e-09"
[1] "elbo decreased by 4.69299266114831e-10"
[1] "elbo decreased by 1.17142917588353e-08"
[1] "elbo decreased by 2.05545802600682e-10"
[1] "elbo decreased by 9.68011590884998e-08"
[1] "elbo decreased by 2.59933585766703e-09"
[1] "elbo decreased by 7.89441401138902e-09"
[1] "elbo decreased by 1.21090124594048e-08"
[1] "elbo decreased by 7.89077603258193e-09"
[1] "elbo decreased by 6.30425347480923e-08"
[1] "elbo decreased by 7.89441401138902e-09"
[1] "elbo decreased by 1.07265805127099e-08"
[1] "elbo decreased by 1.02227204479277e-09"
[1] "elbo decreased by 2.00452632270753e-09"
[1] "elbo decreased by 7.89077603258193e-09"
[1] "elbo decreased by 4.24370227847248e-09"
[1] "elbo decreased by 9.98988980427384e-09"
[1] "elbo decreased by 7.89441401138902e-09"
[1] "elbo decreased by 6.16637407802045e-10"
[1] "elbo decreased by 2.18278728425503e-10"
[1] "elbo decreased by 2.4912878870964e-08"
[1] "elbo decreased by 3.18577804137021e-08"
[1] "elbo decreased by 7.89077603258193e-09"
[1] "elbo decreased by 7.89441401138902e-09"
[1] "elbo decreased by 1.16924638859928e-08"
[1] "elbo decreased by 5.45696821063757e-12"
[1] "elbo decreased by 6.12835719948635e-08"
[1] "elbo decreased by 7.48150341678411e-09"
[1] "elbo decreased by 5.8389559853822e-10"
[1] "elbo decreased by 7.89441401138902e-09"
[1] "elbo decreased by 7.89441401138902e-09"
[1] "elbo decreased by 6.93271431373432e-08"
[1] "elbo decreased by 7.89441401138902e-09"
[1] "elbo decreased by 2.00525391846895e-08"
[1] "elbo decreased by 7.89441401138902e-09"
[1] "elbo decreased by 2.56495695794001e-08"
[1] "elbo decreased by 8.52742232382298e-09"
[1] "elbo decreased by 7.89441401138902e-09"
[1] "elbo decreased by 5.27616066392511e-08"
[1] "elbo decreased by 7.89441401138902e-09"
[1] "elbo decreased by 7.23557604942471e-08"
[1] "elbo decreased by 1.43954821396619e-08"
[1] "elbo decreased by 9.07257344806567e-08"
[1] "elbo decreased by 1.81826180778444e-08"
[1] "elbo decreased by 7.89441401138902e-09"
[1] "elbo decreased by 2.05545802600682e-09"
[1] "elbo decreased by 2.35486368183047e-08"
[1] "elbo decreased by 1.57851900439709e-08"
[1] "elbo decreased by 7.87622411735356e-09"
[1] "elbo decreased by 7.89441401138902e-09"
[1] "elbo decreased by 7.89441401138902e-09"
[1] "elbo decreased by 3.28509486280382e-09"
[1] "elbo decreased by 9.20408638194203e-09"
[1] "elbo decreased by 1.5788828022778e-08"
[1] "elbo decreased by 7.89805199019611e-09"
[1] "elbo decreased by 1.0590156307444e-08"
[1] "elbo decreased by 2.17787601286545e-08"
[1] "elbo decreased by 7.89441401138902e-09"
[1] "elbo decreased by 7.95243977336213e-08"
[1] "elbo decreased by 2.54112819675356e-09"
[1] "elbo decreased by 8.58562998473644e-10"
[1] "elbo decreased by 1.12122506834567e-08"
[1] "elbo decreased by 4.74756234325469e-10"
[1] "elbo decreased by 1.81898940354586e-12"
[1] "elbo decreased by 1.00590114016086e-08"
[1] "elbo decreased by 7.2868715506047e-09"
[1] "elbo decreased by 2.14640749618411e-10"
[1] "elbo decreased by 6.7910150391981e-08"
[1] "elbo decreased by 1.82299118023366e-08"
[1] "elbo decreased by 1.45882950164378e-09"
[1] "elbo decreased by 2.87764123640954e-09"
[1] "elbo decreased by 9.1076799435541e-09"
[1] "elbo decreased by 6.82121026329696e-10"
[1] "elbo decreased by 2.89346644422039e-08"
[1] "elbo decreased by 1.57851900439709e-08"
[1] "elbo decreased by 2.65208655036986e-09"
[1] "elbo decreased by 7.89077603258193e-09"
[1] "elbo decreased by 7.89077603258193e-09"
[1] "elbo decreased by 7.69105099607259e-08"
[1] "elbo decreased by 1.57851900439709e-08"
[1] "elbo decreased by 1.09139364212751e-11"
[1] "elbo decreased by 3.97158146370202e-08"
[1] "elbo decreased by 7.45785655453801e-11"
[1] "elbo decreased by 1.94631866179407e-10"
[1] "elbo decreased by 7.89441401138902e-09"
[1] "elbo decreased by 8.49304342409596e-08"
[1] "elbo decreased by 6.83940015733242e-10"
[1] "elbo decreased by 8.58744897413999e-09"
[1] "elbo decreased by 1.71530700754374e-08"
[1] "elbo decreased by 7.89077603258193e-09"
[1] "elbo decreased by 1.8664650269784e-08"
[1] "elbo decreased by 1.37697497848421e-09"
[1] "elbo decreased by 7.89077603258193e-09"
[1] "elbo decreased by 1.666194293648e-09"
[1] "elbo decreased by 2.5209374143742e-08"
[1] "elbo decreased by 6.21239450993016e-08"
[1] "elbo decreased by 6.60293153487146e-10"
[1] "elbo decreased by 8.33242665976286e-08"
[1] "elbo decreased by 7.89441401138902e-09"
[1] "elbo decreased by 8.34370439406484e-09"
[1] "elbo decreased by 4.91127138957381e-10"
[1] "elbo decreased by 5.50862750969827e-08"
[1] "elbo decreased by 2.95949575956911e-09"
[1] "elbo decreased by 1.73167791217566e-09"
[1] "elbo decreased by 8.9130480773747e-10"
[1] "elbo decreased by 1.58415787154809e-08"
[1] "elbo decreased by 1.0550138540566e-10"
[1] "elbo decreased by 3.97667463403195e-08"
[1] "elbo decreased by 1.07411324279383e-08"
[1] "elbo decreased by 2.09729478228837e-09"
[1] "elbo decreased by 8.20000423118472e-09"
[1] "elbo decreased by 7.89077603258193e-09"
[1] "elbo decreased by 1.81898940354586e-08"
[1] "elbo decreased by 7.89441401138902e-09"
[1] "elbo decreased by 5.71890268474817e-09"
[1] "elbo decreased by 7.89441401138902e-09"
[1] "elbo decreased by 7.61065166443586e-09"
[1] "elbo decreased by 1.75441527971998e-08"
[1] "elbo decreased by 7.89441401138902e-09"
[1] "elbo decreased by 5.38420863449574e-10"
[1] "elbo decreased by 5.55610313313082e-08"
[1] "elbo decreased by 7.89077603258193e-09"
[1] "elbo decreased by 3.31419869326055e-09"
[1] "elbo decreased by 7.89077603258193e-09"
[1] "elbo decreased by 1.98087946046144e-09"
[1] "elbo decreased by 7.07495928509161e-08"
[1] "elbo decreased by 1.24055077321827e-08"
[1] "elbo decreased by 2.65572452917695e-10"
[1] "elbo decreased by 7.89441401138902e-09"
[1] "elbo decreased by 4.61986928712577e-08"
[1] "elbo decreased by 1.53650034917518e-08"
[1] "elbo decreased by 7.89441401138902e-09"
[1] "elbo decreased by 7.89077603258193e-09"
[1] "elbo decreased by 5.0058588385582e-09"
[1] "elbo decreased by 7.89441401138902e-09"
[1] "elbo decreased by 4.61113813798875e-09"
[1] "elbo decreased by 7.89077603258193e-09"
[1] "elbo decreased by 7.89077603258193e-09"
[1] "elbo decreased by 1.57851900439709e-08"
[1] "elbo decreased by 1.86353645403869e-07"
[1] "elbo decreased by 1.75004970515147e-08"
[1] "elbo decreased by 7.89077603258193e-09"
[1] "elbo decreased by 7.89077603258193e-09"
[1] "elbo decreased by 7.89077603258193e-09"
[1] "elbo decreased by 1.08098902273923e-07"
[1] "elbo decreased by 4.38740244135261e-09"
[1] "elbo decreased by 7.89441401138902e-09"
[1] "elbo decreased by 4.88380464958027e-08"
[1] "elbo decreased by 3.20142135024071e-09"
[1] "elbo decreased by 2.97222868539393e-09"
[1] "elbo decreased by 1.10769178718328e-07"
[1] "elbo decreased by 3.63797880709171e-10"
[1] "elbo decreased by 2.02799128601328e-08"
[1] "elbo decreased by 1.72934960573912e-07"
[1] "elbo decreased by 7.89077603258193e-09"
[1] "elbo decreased by 1.13828718895093e-07"
[1] "elbo decreased by 1.65800884133205e-08"
[1] "elbo decreased by 1.22599885798991e-09"
[1] "elbo decreased by 6.91215973347425e-10"
[1] "elbo decreased by 2.48455762630329e-08"
[1] "elbo decreased by 1.57851900439709e-08"
[1] "elbo decreased by 6.63931132294238e-10"
[1] "elbo decreased by 1.72258296515793e-09"
[1] "elbo decreased by 7.89441401138902e-09"
[1] "elbo decreased by 2.05254764296114e-08"
[1] "elbo decreased by 7.89077603258193e-09"
[1] "elbo decreased by 5.44205249752849e-08"
[1] "elbo decreased by 1.65346136782318e-09"
[1] "elbo decreased by 5.05679054185748e-10"
[1] "elbo decreased by 7.89441401138902e-09"
[1] "elbo decreased by 7.88713805377483e-09"
[1] "elbo decreased by 1.62617652677e-08"
[1] "elbo decreased by 3.80459823645651e-08"
[1] "elbo decreased by 9.41508915275335e-09"
[1] "elbo decreased by 7.89077603258193e-09"
[1] "elbo decreased by 8.54925019666553e-10"
[1] "elbo decreased by 2.49747245106846e-08"
[1] "elbo decreased by 9.27684595808387e-10"
[1] "elbo decreased by 7.89441401138902e-09"
[1] "elbo decreased by 5.54609869141132e-08"
[1] "elbo decreased by 1.9774233805947e-08"
[1] "elbo decreased by 7.89441401138902e-09"
[1] "elbo decreased by 1.60616764333099e-09"
[1] "elbo decreased by 7.89441401138902e-09"
[1] "elbo decreased by 7.89077603258193e-09"
[1] "elbo decreased by 8.96161509444937e-08"
[1] "elbo decreased by 4.71118255518377e-09"
[1] "elbo decreased by 1.14810973173007e-07"
[1] "elbo decreased by 9.2186382971704e-09"
[1] "elbo decreased by 1.57851900439709e-08"
[1] "elbo decreased by 4.72937244921923e-11"
[1] "elbo decreased by 4.20186552219093e-10"
[1] "elbo decreased by 7.89441401138902e-09"
[1] "elbo decreased by 1.31276465253904e-07"
[1] "elbo decreased by 1.229636836797e-09"
[1] "elbo decreased by 1.64836819749326e-08"
[1] "elbo decreased by 7.89077603258193e-09"
[1] "elbo decreased by 1.77169567905366e-09"
[1] "elbo decreased by 7.89441401138902e-09"
[1] "elbo decreased by 1.28420651890337e-08"
[1] "elbo decreased by 5.12773112859577e-09"
[1] "elbo decreased by 9.15715645533055e-08"
[1] "elbo decreased by 7.89805199019611e-09"
[1] "elbo decreased by 1.42372300615534e-08"
[1] "elbo decreased by 1.81898940354586e-09"
[1] "elbo decreased by 7.89441401138902e-09"
[1] "elbo decreased by 3.91082721762359e-10"
[1] "elbo decreased by 7.37491063773632e-08"
[1] "elbo decreased by 8.69295035954565e-09"
[1] "elbo decreased by 5.40385372005403e-08"
[1] "elbo decreased by 1.51467247633263e-08"
[1] "elbo decreased by 4.07453626394272e-10"
[1] "elbo decreased by 7.89805199019611e-09"
[1] "elbo decreased by 2.31630110647529e-08"
[1] "elbo decreased by 1.30421540234238e-09"
[1] "elbo decreased by 7.88713805377483e-09"
[1] "elbo decreased by 2.33303580898792e-08"
[1] "elbo decreased by 2.07128323381767e-08"
[1] "elbo decreased by 3.60341800842434e-09"
[1] "elbo decreased by 7.89077603258193e-09"
[1] "elbo decreased by 2.58296495303512e-09"
[1] "elbo decreased by 7.89077603258193e-09"
[1] "elbo decreased by 2.12676241062582e-08"
[1] "elbo decreased by 7.63338903198019e-08"
[1] "elbo decreased by 1.70966814039275e-08"
[1] "elbo decreased by 1.62737705977634e-07"
[1] "elbo decreased by 7.88713805377483e-09"
[1] "elbo decreased by 3.99813870899379e-09"
[1] "elbo decreased by 7.89441401138902e-09"
[1] "elbo decreased by 7.74889485910535e-10"
[1] "elbo decreased by 4.69426595373079e-08"
[1] "elbo decreased by 7.43693817639723e-08"
[1] "elbo decreased by 2.00088834390044e-09"
[1] "elbo decreased by 3.0107912607491e-08"
[1] "elbo decreased by 2.99787643598393e-08"
[1] "elbo decreased by 3.61978891305625e-10"
[1] "elbo decreased by 1.38697942020372e-08"
[1] "elbo decreased by 7.89077603258193e-09"
[1] "elbo decreased by 9.12768882699311e-09"
[1] "elbo decreased by 9.67338564805686e-09"
[1] "elbo decreased by 7.89441401138902e-09"
[1] "elbo decreased by 4.43833414465189e-10"
[1] "elbo decreased by 1.5352270565927e-09"
[1] "elbo decreased by 2.8005160856992e-08"
[1] "elbo decreased by 5.84077497478575e-09"
[1] "elbo decreased by 2.37923813983798e-09"
[1] "elbo decreased by 7.47277226764709e-08"
[1] "elbo decreased by 7.89077603258193e-09"
[1] "elbo decreased by 7.8580342233181e-10"
[1] "elbo decreased by 1.82444637175649e-08"
[1] "elbo decreased by 3.07336449623108e-08"
[1] "elbo decreased by 1.90084392670542e-09"
[1] "elbo decreased by 7.89441401138902e-09"
[1] "elbo decreased by 1.23145582620054e-09"
[1] "elbo decreased by 6.85759005136788e-09"
[1] "elbo decreased by 7.89441401138902e-09"
[1] "elbo decreased by 4.64387994725257e-09"
[1] "elbo decreased by 7.89441401138902e-09"
[1] "elbo decreased by 3.25053406413645e-09"
[1] "elbo decreased by 7.89805199019611e-09"
[1] "elbo decreased by 7.89441401138902e-09"
[1] "elbo decreased by 4.25279722549021e-09"
[1] "elbo decreased by 5.24960341863334e-09"
[1] "elbo decreased by 7.89077603258193e-09"
[1] "elbo decreased by 9.56370058702305e-08"
[1] "elbo decreased by 1.70148268807679e-08"
[1] "elbo decreased by 7.89441401138902e-09"
[1] "elbo decreased by 1.38243194669485e-09"
[1] "elbo decreased by 9.82254277914762e-10"
[1] "elbo decreased by 5.89679984841496e-08"
[1] "elbo decreased by 1.61235220730305e-08"
[1] "elbo decreased by 7.89441401138902e-09"
[1] "elbo decreased by 1.60980562213808e-09"
[1] "elbo decreased by 5.54791768081486e-10"
[1] "elbo decreased by 4.18367562815547e-10"
[1] "elbo decreased by 4.0081431507133e-08"
[1] "elbo decreased by 3.85080056730658e-08"
[1] "elbo decreased by 7.89441401138902e-09"
[1] "elbo decreased by 7.89441401138902e-09"
[1] "elbo decreased by 7.71433406043798e-09"
[1] "elbo decreased by 7.89441401138902e-09"
[1] "elbo decreased by 1.48611434269696e-09"
[1] "elbo decreased by 8.46739567350596e-09"
[1] "elbo decreased by 1.75277818925679e-08"
[1] "elbo decreased by 2.67209543380886e-09"
[1] "elbo decreased by 1.57851900439709e-08"
[1] "elbo decreased by 7.60846887715161e-08"
[1] "elbo decreased by 2.60970409726724e-08"
[1] "elbo decreased by 6.12999428994954e-10"
[1] "elbo decreased by 2.23808456212282e-08"
[1] "elbo decreased by 1.72803993336856e-08"
[1] "elbo decreased by 1.51158019434661e-09"
[1] "elbo decreased by 7.834387361072e-08"
[1] "elbo decreased by 7.89805199019611e-09"
[1] "elbo decreased by 1.4022589311935e-08"
[1] "elbo decreased by 7.07223080098629e-09"
[1] "elbo decreased by 7.89077603258193e-09"
[1] "elbo decreased by 7.73070496506989e-10"
[1] "elbo decreased by 7.89077603258193e-09"
[1] "elbo decreased by 8.30114004202187e-08"
[1] "elbo decreased by 1.13213900476694e-08"
[1] "elbo decreased by 1.57851900439709e-08"
[1] "elbo decreased by 3.41970007866621e-10"
[1] "elbo decreased by 7.89441401138902e-09"
[1] "elbo decreased by 1.59707269631326e-09"
[1] "elbo decreased by 1.54614099301398e-10"
[1] "elbo decreased by 1.15687726065516e-09"
[1] "elbo decreased by 7.89441401138902e-09"
[1] "elbo decreased by 5.33455022377893e-08"
[1] "elbo decreased by 7.89077603258193e-09"
[1] "elbo decreased by 1.5788828022778e-08"
[1] "elbo decreased by 5.8209479902871e-08"
[1] "elbo decreased by 2.45090632233769e-08"
[1] "elbo decreased by 1.78988557308912e-09"
[1] "elbo decreased by 7.89441401138902e-09"
[1] "elbo decreased by 1.52083885041066e-07"
[1] "elbo decreased by 7.89441401138902e-09"
[1] "elbo decreased by 5.67160896025598e-09"
[1] "elbo decreased by 2.88328010356054e-08"
[1] "elbo decreased by 7.89077603258193e-09"
[1] "elbo decreased by 1.65164237841964e-09"
[1] "elbo decreased by 9.7265001386404e-08"
[1] "elbo decreased by 1.64254743140191e-09"
[1] "elbo decreased by 3.75584932044148e-08"
[1] "elbo decreased by 7.40728864911944e-08"
[1] "elbo decreased by 7.89441401138902e-09"
[1] "elbo decreased by 2.27737473323941e-09"
[1] "elbo decreased by 3.25599103234708e-10"
[1] "elbo decreased by 7.89077603258193e-09"
[1] "elbo decreased by 7.89077603258193e-09"
[1] "elbo decreased by 1.12777343019843e-09"
[1] "elbo decreased by 6.53853930998594e-08"
[1] "elbo decreased by 3.27418092638254e-11"
[1] "elbo decreased by 7.89441401138902e-09"
[1] "elbo decreased by 9.38307493925095e-08"
[1] "elbo decreased by 7.89077603258193e-09"
[1] "elbo decreased by 9.84982762020081e-09"
[1] "elbo decreased by 1.21144694276154e-09"
[1] "elbo decreased by 6.01376086706296e-08"
[1] "elbo decreased by 7.89441401138902e-09"
[1] "elbo decreased by 5.71162672713399e-10"
[1] "elbo decreased by 7.89441401138902e-09"
[1] "elbo decreased by 3.59486875822768e-08"
[1] "elbo decreased by 7.31233740225434e-10"
[1] "elbo decreased by 7.89805199019611e-09"
[1] "elbo decreased by 3.02497937809676e-08"
[1] "elbo decreased by 8.96761775948107e-10"
[1] "elbo decreased by 3.23125277645886e-08"
[1] "elbo decreased by 7.89441401138902e-09"
[1] "elbo decreased by 9.91349224932492e-10"
[1] "elbo decreased by 1.15687726065516e-09"
[1] "elbo decreased by 7.89077603258193e-09"
[1] "elbo decreased by 1.33459252538159e-08"
[1] "elbo decreased by 2.03181116376072e-09"
[1] "elbo decreased by 6.3664629124105e-11"
[1] "elbo decreased by 7.89077603258193e-09"
[1] "elbo decreased by 3.79859557142481e-08"
[1] "elbo decreased by 1.31003616843373e-08"
[1] "elbo decreased by 7.89441401138902e-09"
[1] "elbo decreased by 2.4296241463162e-08"
[1] "elbo decreased by 1.41189957503229e-08"
[1] "elbo decreased by 2.96495272777975e-10"
[1] "elbo decreased by 5.75928424950689e-08"
[1] "elbo decreased by 5.74618752580136e-09"
[1] "elbo decreased by 6.83940015733242e-10"
[1] "elbo decreased by 1.50139385368675e-08"
[1] "elbo decreased by 1.96632754523307e-08"
[1] "elbo decreased by 7.54698703531176e-09"
[1] "elbo decreased by 9.60426405072212e-10"
[1] "elbo decreased by 7.89441401138902e-09"
[1] "elbo decreased by 3.44280124409124e-08"
[1] "elbo decreased by 7.89441401138902e-09"
[1] "elbo decreased by 1.05519575299695e-08"
[1] "elbo decreased by 1.98997440747917e-09"
[1] "elbo decreased by 1.57815520651639e-08"
[1] "elbo decreased by 3.14830685965717e-08"
[1] "elbo decreased by 7.89441401138902e-09"
[1] "elbo decreased by 2.43744580075145e-09"
[1] "elbo decreased by 7.89077603258193e-09"
[1] "elbo decreased by 6.49888534098864e-08"
[1] "elbo decreased by 1.67747202794999e-08"
[1] "elbo decreased by 3.59032128471881e-08"
[1] "elbo decreased by 9.71158442553133e-09"
[1] "elbo decreased by 2.67391442321241e-09"
[1] "elbo decreased by 7.89077603258193e-09"
[1] "elbo decreased by 1.16961018647999e-09"
[1] "elbo decreased by 7.89441401138902e-09"
[1] "elbo decreased by 1.19325704872608e-09"
[1] "elbo decreased by 1.5788828022778e-08"
[1] "elbo decreased by 2.062733983621e-09"
[1] "elbo decreased by 7.89077603258193e-09"
[1] "elbo decreased by 1.39176336233504e-07"
[1] "elbo decreased by 4.83305484522134e-09"
[1] "elbo decreased by 7.7907316153869e-08"
[1] "elbo decreased by 1.7571437638253e-09"
[1] "elbo decreased by 9.70612745732069e-08"
[1] "elbo decreased by 1.36806193040684e-08"
[1] "elbo decreased by 7.89077603258193e-09"
[1] "elbo decreased by 8.58199200592935e-09"
[1] "elbo decreased by 7.89077603258193e-09"
[1] "elbo decreased by 1.5788828022778e-08"
[1] "elbo decreased by 1.37151801027358e-09"
[1] "elbo decreased by 1.34257788886316e-07"
[1] "elbo decreased by 7.89441401138902e-09"
[1] "elbo decreased by 1.5788828022778e-08"
[1] "elbo decreased by 4.85815689899027e-08"
[1] "elbo decreased by 7.89441401138902e-09"
[1] "elbo decreased by 3.78349795937538e-10"
[1] "elbo decreased by 8.31751094665378e-08"
[1] "elbo decreased by 1.53395376401022e-08"
[1] "elbo decreased by 7.89441401138902e-09"
[1] "elbo decreased by 8.02174326963723e-10"
[1] "elbo decreased by 1.86992110684514e-09"
[1] "elbo decreased by 5.60685293748975e-08"
[1] "elbo decreased by 1.50976120494306e-10"
[1] "elbo decreased by 8.70713847689331e-08"
[1] "elbo decreased by 7.88713805377483e-09"
[1] "elbo decreased by 1.23836798593402e-08"
[1] "elbo decreased by 7.89441401138902e-09"
[1] "elbo decreased by 2.09183781407773e-10"
[1] "elbo decreased by 7.89077603258193e-09"
[1] "elbo decreased by 1.31547494675033e-07"
[1] "elbo decreased by 1.12177076516673e-08"
[1] "elbo decreased by 1.9477738533169e-08"
[1] "elbo decreased by 7.89441401138902e-09"
[1] "elbo decreased by 2.97950464300811e-09"
[1] "elbo decreased by 7.31524778530002e-08"
[1] "elbo decreased by 6.74845068715513e-10"
[1] "elbo decreased by 7.89441401138902e-09"
[1] "elbo decreased by 1.19325704872608e-08"
[1] "elbo decreased by 7.89441401138902e-09"
[1] "elbo decreased by 1.87355908565223e-10"
[1] "elbo decreased by 1.1249358067289e-07"
[1] "elbo decreased by 3.85625753551722e-10"
[1] "elbo decreased by 8.96761775948107e-10"
[1] "elbo decreased by 1.63527147378772e-09"
[1] "elbo decreased by 7.89441401138902e-09"
[1] "elbo decreased by 1.09386746771634e-07"
[1] "elbo decreased by 3.8198777474463e-10"
[1] "elbo decreased by 2.0190782379359e-10"
[1] "elbo decreased by 8.83246684679762e-08"
[1] "elbo decreased by 1.83172232937068e-09"
[1] "elbo decreased by 9.33141564019024e-10"
[1] "elbo decreased by 7.89441401138902e-09"
[1] "elbo decreased by 1.02609192254022e-08"
[1] "elbo decreased by 7.89441401138902e-09"
[1] "elbo decreased by 1.67347025126219e-09"
[1] "elbo decreased by 5.64850779483095e-08"
[1] "elbo decreased by 7.89441401138902e-09"
[1] "elbo decreased by 2.69210431724787e-10"
[1] "elbo decreased by 6.28097041044384e-09"
[1] "elbo decreased by 7.89077603258193e-09"
[1] "elbo decreased by 1.18256139103323e-07"
[1] "elbo decreased by 7.39601091481745e-09"
[1] "elbo decreased by 7.89077603258193e-09"
[1] "elbo decreased by 6.584741640836e-10"
[1] "elbo decreased by 6.04941305937245e-08"
[1] "elbo decreased by 7.89441401138902e-09"
[1] "elbo decreased by 1.12686393549666e-08"
[1] "elbo decreased by 7.48696038499475e-09"
[1] "elbo decreased by 1.0113581083715e-09"
[1] "elbo decreased by 1.11069311969914e-07"
[1] "elbo decreased by 7.89077603258193e-09"
[1] "elbo decreased by 1.4042598195374e-09"
[1] "elbo decreased by 3.07027221424505e-08"
[1] "elbo decreased by 2.78305378742516e-09"
[1] "elbo decreased by 3.2250682124868e-09"
[1] "elbo decreased by 7.89441401138902e-09"
[1] "elbo decreased by 3.14139469992369e-09"
[1] "elbo decreased by 3.09228198602796e-10"
[1] "elbo decreased by 7.89441401138902e-09"
[1] "elbo decreased by 4.7839421313256e-10"
[1] "elbo decreased by 6.00139173911884e-08"
[1] "elbo decreased by 2.94676283374429e-10"
[1] "elbo decreased by 1.9117578631267e-09"
[1] "elbo decreased by 1.26710801851004e-08"
[1] "elbo decreased by 7.89441401138902e-09"
[1] "elbo decreased by 8.51287040859461e-10"
[1] "elbo decreased by 1.09139364212751e-10"
[1] "elbo decreased by 1.67747202794999e-08"
[1] "elbo decreased by 7.89441401138902e-09"
[1] "elbo decreased by 7.89441401138902e-09"
[1] "elbo decreased by 7.89441401138902e-09"
[1] "elbo decreased by 3.80896381102502e-09"
[1] "elbo decreased by 7.89077603258193e-09"
[1] "elbo decreased by 5.45696821063757e-10"
[1] "elbo decreased by 7.89077603258193e-09"
[1] "elbo decreased by 4.41286829300225e-09"
[1] "elbo decreased by 5.79166226089001e-08"
[1] "elbo decreased by 1.41699274536222e-09"
[1] "elbo decreased by 7.89441401138902e-09"
[1] "elbo decreased by 6.06141838943586e-08"
[1] "elbo decreased by 7.89077603258193e-09"
[1] "elbo decreased by 2.46618583332747e-08"
[1] "elbo decreased by 7.89441401138902e-09"
[1] "elbo decreased by 3.04971763398498e-08"
[1] "elbo decreased by 7.44876160752028e-09"
[1] "elbo decreased by 2.24645191337913e-09"
[1] "elbo decreased by 7.89441401138902e-09"
[1] "elbo decreased by 8.54124664328992e-08"
[1] "elbo decreased by 7.58154783397913e-09"
[1] "elbo decreased by 1.58797774929553e-09"
[1] "elbo decreased by 1.57851900439709e-08"
[1] "elbo decreased by 7.45858415029943e-08"
[1] "elbo decreased by 1.19161995826289e-08"
[1] "elbo decreased by 8.91177478479221e-08"
[1] "elbo decreased by 1.80334609467536e-08"
[1] "elbo decreased by 9.45874489843845e-08"
[1] "elbo decreased by 7.89441401138902e-09"
[1] "elbo decreased by 4.33792592957616e-08"
[1] "elbo decreased by 6.76482159178704e-09"
[1] "elbo decreased by 4.58021531812847e-09"
[1] "elbo decreased by 1.5788828022778e-08"
[1] "elbo decreased by 9.27684595808387e-11"
[1] "elbo decreased by 1.5232217265293e-08"
[1] "elbo decreased by 7.89441401138902e-09"
[1] "elbo decreased by 1.69942723005079e-07"
[1] "elbo decreased by 7.89077603258193e-09"
[1] "elbo decreased by 2.0350853446871e-08"
[1] "elbo decreased by 1.63345248438418e-09"
[1] "elbo decreased by 3.85625753551722e-10"
[1] "elbo decreased by 1.14934664452448e-07"
[1] "elbo decreased by 8.7347871158272e-09"
[1] "elbo decreased by 1.70985003933311e-10"
[1] "elbo decreased by 3.87917680200189e-08"
[1] "elbo decreased by 7.89077603258193e-09"
[1] "elbo decreased by 9.09494701772928e-11"
[1] "elbo decreased by 7.89441401138902e-09"
[1] "elbo decreased by 7.89441401138902e-09"
[1] "elbo decreased by 7.89441401138902e-09"
[1] "elbo decreased by 7.75326043367386e-08"
[1] "elbo decreased by 9.99170879367739e-09"
[1] "elbo decreased by 9.54260030994192e-08"
[1] "elbo decreased by 7.89805199019611e-09"
[1] "elbo decreased by 3.02497937809676e-09"
[1] "elbo decreased by 7.89441401138902e-09"
[1] "elbo decreased by 7.89077603258193e-09"
[1] "elbo decreased by 6.87577994540334e-10"
[1] "elbo decreased by 7.89441401138902e-09"
[1] "elbo decreased by 3.81442077923566e-08"
[1] "elbo decreased by 2.1600499167107e-08"
[1] "elbo decreased by 7.89441401138902e-09"
[1] "elbo decreased by 7.89441401138902e-09"
[1] "elbo decreased by 5.51863195141777e-08"
[1] "elbo decreased by 7.87622411735356e-10"
[1] "elbo decreased by 7.89077603258193e-09"
[1] "elbo decreased by 1.09139364212751e-11"
[1] "elbo decreased by 2.17733031604439e-09"
[1] "elbo decreased by 1.58433977048844e-08"
[1] "elbo decreased by 1.57851900439709e-08"
[1] "elbo decreased by 7.89441401138902e-09"
[1] "elbo decreased by 3.10392351821065e-08"
[1] "elbo decreased by 7.89077603258193e-09"
[1] "elbo decreased by 1.66510290000588e-08"
[1] "elbo decreased by 1.08775566332042e-09"
[1] "elbo decreased by 5.42058842256665e-08"
[1] "elbo decreased by 7.89077603258193e-09"
[1] "elbo decreased by 1.57851900439709e-08"
[1] "elbo decreased by 2.61461536865681e-08"
[1] "elbo decreased by 8.79481376614422e-09"
[1] "elbo decreased by 7.89441401138902e-09"
[1] "elbo decreased by 1.27969542518258e-07"
[1] "elbo decreased by 1.28238752949983e-09"
[1] "elbo decreased by 7.89441401138902e-09"
[1] "elbo decreased by 2.83762346953154e-10"
[1] "elbo decreased by 7.89441401138902e-09"
[1] "elbo decreased by 2.42289388552308e-08"
[1] "elbo decreased by 4.74756234325469e-10"
[1] "elbo decreased by 6.50234142085537e-08"
[1] "elbo decreased by 5.59521140530705e-09"
[1] "elbo decreased by 7.89077603258193e-09"
[1] "elbo decreased by 7.89441401138902e-09"
[1] "elbo decreased by 3.97612893721089e-08"
[1] "elbo decreased by 7.89441401138902e-09"
[1] "elbo decreased by 7.96608219388872e-08"
[1] "elbo decreased by 2.41379893850535e-09"
[1] "elbo decreased by 1.8929858924821e-07"
[1] "elbo decreased by 2.00088834390044e-11"
[1] "elbo decreased by 7.51642801333219e-08"
[1] "elbo decreased by 4.22005541622639e-09"
[1] "elbo decreased by 1.06683728517964e-08"
[1] "elbo decreased by 7.89441401138902e-09"
[1] "elbo decreased by 9.96806193143129e-10"
[1] "elbo decreased by 3.0740920919925e-10"
[1] "elbo decreased by 7.89441401138902e-09"
[1] "elbo decreased by 7.89441401138902e-09"
[1] "elbo decreased by 7.0172973209992e-08"
[1] "elbo decreased by 4.67844074591994e-09"
[1] "elbo decreased by 7.89441401138902e-09"
[1] "elbo decreased by 5.02041075378656e-10"
[1] "elbo decreased by 7.89077603258193e-09"
[1] "elbo decreased by 2.04090611077845e-09"
[1] "elbo decreased by 2.33612809097394e-08"
[1] "elbo decreased by 2.06637196242809e-09"
[1] "elbo decreased by 8.20364220999181e-10"
[1] "elbo decreased by 1.57851900439709e-08"
[1] "elbo decreased by 4.03924786951393e-08"
[1] "elbo decreased by 7.89077603258193e-09"
[1] "elbo decreased by 4.88107616547495e-08"
[1] "elbo decreased by 1.28820829559118e-08"
[1] "elbo decreased by 7.89805199019611e-09"
[1] "elbo decreased by 1.6025296645239e-09"
[1] "elbo decreased by 4.0181475924328e-09"
[1] "elbo decreased by 7.89441401138902e-09"
[1] "elbo decreased by 5.45696821063757e-12"
[1] "elbo decreased by 1.57851900439709e-08"
[1] "elbo decreased by 1.33471985463984e-07"
[1] "elbo decreased by 2.56168277701363e-08"
[1] "elbo decreased by 6.00266503170133e-11"
[1] "elbo decreased by 1.19689502753317e-09"
[1] "elbo decreased by 6.17728801444173e-09"
[1] "elbo decreased by 7.62156560085714e-10"
[1] "elbo decreased by 5.12955011799932e-10"
[1] "elbo decreased by 1.31092747324146e-07"
[1] "elbo decreased by 7.13462213752791e-08"
[1] "elbo decreased by 7.89441401138902e-09"
[1] "elbo decreased by 7.89077603258193e-09"
[1] "elbo decreased by 1.52067514136434e-09"
[1] "elbo decreased by 3.62633727490902e-08"
[1] "elbo decreased by 7.88713805377483e-09"
[1] "elbo decreased by 2.36468622460961e-10"
[1] "elbo decreased by 3.32147465087473e-09"
[1] "elbo decreased by 7.89441401138902e-09"
[1] "elbo decreased by 5.43150235898793e-09"
[1] "elbo decreased by 7.89441401138902e-09"
[1] "elbo decreased by 1.08047970570624e-09"
[1] "elbo decreased by 3.37331584887579e-08"
[1] "elbo decreased by 5.05679054185748e-09"
[1] "elbo decreased by 2.72848410531878e-11"
[1] "elbo decreased by 7.73252395447344e-08"
[1] "elbo decreased by 7.89077603258193e-09"
[1] "elbo decreased by 1.71894498635083e-09"
[1] "elbo decreased by 1.13534042611718e-07"
[1] "elbo decreased by 1.39334588311613e-09"
[1] "elbo decreased by 7.3541741585359e-09"
[1] "elbo decreased by 7.89441401138902e-09"
[1] "elbo decreased by 2.25827534450218e-08"
[1] "elbo decreased by 2.20279616769403e-09"
[1] "elbo decreased by 2.62243702309206e-08"
[1] "elbo decreased by 6.78119249641895e-09"
[1] "elbo decreased by 1.62981450557709e-09"
[1] "elbo decreased by 3.32875060848892e-10"
[1] "elbo decreased by 1.83990778168663e-08"
[1] "elbo decreased by 5.8389559853822e-10"
[1] "elbo decreased by 5.54791768081486e-10"
[1] "elbo decreased by 7.89077603258193e-09"
[1] "elbo decreased by 1.55941961565986e-08"
[1] "elbo decreased by 7.89077603258193e-09"
[1] "elbo decreased by 2.30447767535225e-08"
[1] "elbo decreased by 7.89077603258193e-09"
[1] "elbo decreased by 5.4940755944699e-08"
[1] "elbo decreased by 7.89441401138902e-09"
[1] "elbo decreased by 7.89441401138902e-09"
[1] "elbo decreased by 1.89720594789833e-09"
[1] "elbo decreased by 1.34532456286252e-08"
[1] "elbo decreased by 5.11499820277095e-09"
[1] "elbo decreased by 2.43198883254081e-09"
[1] "elbo decreased by 5.8389559853822e-10"
[1] "elbo decreased by 1.0810254025273e-08"
[1] "elbo decreased by 1.57851900439709e-08"
[1] "elbo decreased by 4.93291736347601e-08"
[1] "elbo decreased by 7.89077603258193e-09"
[1] "elbo decreased by 3.04135028272867e-09"
[1] "elbo decreased by 7.89441401138902e-09"
[1] "elbo decreased by 1.22236087918282e-09"
[1] "elbo decreased by 2.96149664791301e-08"
[1] "elbo decreased by 1.0590156307444e-08"
[1] "elbo decreased by 7.89441401138902e-09"
[1] "elbo decreased by 2.24827090278268e-09"
[1] "elbo decreased by 1.77860783878714e-08"
[1] "elbo decreased by 1.57851900439709e-08"
[1] "elbo decreased by 6.13908923696727e-09"
[1] "elbo decreased by 1.57851900439709e-08"
[1] "elbo decreased by 7.80346454121172e-10"
[1] "elbo decreased by 9.11441020434722e-08"
[1] "elbo decreased by 8.62200977280736e-09"
[1] "elbo decreased by 8.09450284577906e-10"
[1] "elbo decreased by 2.22407834371552e-08"
[1] "elbo decreased by 7.89441401138902e-09"
[1] "elbo decreased by 6.56655174680054e-10"
[1] "elbo decreased by 7.89441401138902e-09"
[1] "elbo decreased by 7.69032340031117e-08"
[1] "elbo decreased by 1.57924660015851e-08"
[1] "elbo decreased by 1.5052137314342e-08"
[1] "elbo decreased by 1.5788828022778e-08"
[1] "elbo decreased by 2.29192664846778e-09"
[1] "elbo decreased by 1.72803993336856e-10"
[1] "elbo decreased by 6.15564204053953e-08"
[1] "elbo decreased by 1.48793333210051e-09"
[1] "elbo decreased by 6.1245373217389e-09"
[1] "elbo decreased by 1.71445208252408e-07"
[1] "elbo decreased by 3.0941009754315e-09"
[1] "elbo decreased by 1.1255542631261e-07"
[1] "elbo decreased by 7.89441401138902e-09"
[1] "elbo decreased by 6.73571776133031e-09"
[1] "elbo decreased by 1.61708157975227e-08"
[1] "elbo decreased by 1.90448190551251e-09"
[1] "elbo decreased by 6.8166627897881e-08"
[1] "elbo decreased by 7.89441401138902e-09"
[1] "elbo decreased by 2.80124368146062e-09"
[1] "elbo decreased by 4.15602698922157e-08"
[1] "elbo decreased by 7.89077603258193e-09"
[1] "elbo decreased by 1.40607880894095e-09"
[1] "elbo decreased by 7.89077603258193e-09"
[1] "elbo decreased by 7.06750142853707e-08"
[1] "elbo decreased by 1.28020474221557e-08"
[1] "elbo decreased by 1.11140252556652e-09"
[1] "elbo decreased by 8.89667717274278e-09"
[1] "elbo decreased by 7.89441401138902e-09"
[1] "elbo decreased by 9.49694367591292e-09"
[1] "elbo decreased by 7.89077603258193e-09"
[1] "elbo decreased by 5.94809534959495e-10"
[1] "elbo decreased by 5.14937710249797e-08"
[1] "elbo decreased by 6.1918399296701e-09"
[1] "elbo decreased by 2.56477505899966e-10"
[1] "elbo decreased by 6.005575414747e-08"
[1] "elbo decreased by 7.89077603258193e-09"
[1] "elbo decreased by 4.8748916015029e-10"
[1] "elbo decreased by 3.84770828532055e-08"
[1] "elbo decreased by 3.29055183101445e-09"
[1] "elbo decreased by 1.57851900439709e-08"
[1] "elbo decreased by 1.5788828022778e-08"
[1] "elbo decreased by 1.49593688547611e-07"
[1] "elbo decreased by 6.44467945676297e-09"
[1] "elbo decreased by 1.78260961547494e-09"
[1] "elbo decreased by 2.98532540909946e-08"
[1] "elbo decreased by 4.25279722549021e-09"
[1] "elbo decreased by 5.34782884642482e-10"
[1] "elbo decreased by 7.89441401138902e-09"
[1] "elbo decreased by 1.03847924037836e-07"
[1] "elbo decreased by 1.29984982777387e-08"
[1] "elbo decreased by 1.76623871084303e-09"
[1] "elbo decreased by 1.6898411558941e-08"
[1] "elbo decreased by 7.89441401138902e-09"
[1] "elbo decreased by 1.07138475868851e-09"
[1] "elbo decreased by 7.89441401138902e-09"
[1] "elbo decreased by 7.74889485910535e-10"
[1] "elbo decreased by 1.52958818944171e-08"
[1] "elbo decreased by 1.22781784739345e-09"
[1] "elbo decreased by 1.74259184859693e-09"
[1] "elbo decreased by 2.43508111452684e-08"
[1] "elbo decreased by 2.63753463514149e-10"
[1] "elbo decreased by 3.90973582398146e-08"
[1] "elbo decreased by 7.89077603258193e-09"
[1] "elbo decreased by 1.28238752949983e-08"
[1] "elbo decreased by 1.64072844199836e-09"
[1] "elbo decreased by 7.89077603258193e-09"
[1] "elbo decreased by 7.48150341678411e-09"
[1] "elbo decreased by 1.5788828022778e-08"
[1] "elbo decreased by 7.89441401138902e-09"
[1] "elbo decreased by 8.62783053889871e-08"
[1] "elbo decreased by 3.90900822822005e-09"
[1] "elbo decreased by 7.89441401138902e-09"
[1] "elbo decreased by 2.31812009587884e-08"
[1] "elbo decreased by 1.16360752144828e-08"
[1] "elbo decreased by 1.11504050437361e-09"
[1] "elbo decreased by 1.67892721947283e-08"
[1] "elbo decreased by 1.89793354365975e-08"
[1] "elbo decreased by 7.89441401138902e-09"
[1] "elbo decreased by 8.36735125631094e-10"
[1] "elbo decreased by 7.89441401138902e-09"
[1] "elbo decreased by 5.69143594475463e-08"
[1] "elbo decreased by 3.78167896997184e-09"
[1] "elbo decreased by 5.59866748517379e-08"
[1] "elbo decreased by 7.89441401138902e-09"
[1] "elbo decreased by 1.50430423673242e-09"
[1] "elbo decreased by 7.89077603258193e-09"
[1] "elbo decreased by 2.24918039748445e-08"
[1] "elbo decreased by 1.23018253361806e-08"
[1] "elbo decreased by 7.89441401138902e-09"
[1] "elbo decreased by 2.1143932826817e-08"
[1] "elbo decreased by 7.89077603258193e-09"
[1] "elbo decreased by 9.45874489843845e-09"
[1] "elbo decreased by 1.17506715469062e-09"
[1] "elbo decreased by 4.00177668780088e-10"
[1] "elbo decreased by 1.60522176884115e-07"
[1] "elbo decreased by 7.89805199019611e-09"
[1] "elbo decreased by 5.92990545555949e-09"
[1] "elbo decreased by 1.60798663273454e-09"
[1] "elbo decreased by 7.89441401138902e-09"
[1] "elbo decreased by 1.23145582620054e-09"
[1] "elbo decreased by 6.38738129055128e-08"
[1] "elbo decreased by 1.23800418805331e-08"
[1] "elbo decreased by 5.36601874046028e-10"
[1] "elbo decreased by 1.99361238628626e-08"
[1] "elbo decreased by 6.25186657998711e-09"
[1] "elbo decreased by 9.05856722965837e-10"
[1] "elbo decreased by 7.89441401138902e-09"
[1] "elbo decreased by 7.89441401138902e-09"
[1] "elbo decreased by 6.91234163241461e-08"
[1] "elbo decreased by 1.05028448160738e-08"
[1] "elbo decreased by 5.54791768081486e-10"
[1] "elbo decreased by 7.89441401138902e-09"
[1] "elbo decreased by 7.07914296071976e-08"
[1] "elbo decreased by 1.74295564647764e-08"
[1] "elbo decreased by 7.89441401138902e-09"
[1] "elbo decreased by 1.11504050437361e-09"
[1] "elbo decreased by 5.87533577345312e-10"
[1] "elbo decreased by 9.29812813410535e-08"
[1] "elbo decreased by 2.7648638933897e-09"
[1] "elbo decreased by 1.78260961547494e-10"
[1] "elbo decreased by 2.81033862847835e-09"
[1] "elbo decreased by 5.63213689019904e-08"
[1] "elbo decreased by 7.89077603258193e-09"
[1] "elbo decreased by 8.6947693489492e-10"
[1] "elbo decreased by 7.89441401138902e-09"
[1] "elbo decreased by 7.89441401138902e-09"
[1] "elbo decreased by 1.4022589311935e-08"
[1] "elbo decreased by 1.5788828022778e-08"
[1] "elbo decreased by 7.89441401138902e-09"
[1] "elbo decreased by 9.58607415668666e-10"
[1] "elbo decreased by 7.89441401138902e-09"
[1] "elbo decreased by 9.98297764454037e-08"
[1] "elbo decreased by 2.79032974503934e-09"
[1] "elbo decreased by 2.30102159548551e-09"
[1] "elbo decreased by 3.61178535968065e-08"
[1] "elbo decreased by 3.06499714497477e-09"
[1] "elbo decreased by 7.89441401138902e-09"
[1] "elbo decreased by 3.46572051057592e-08"
[1] "elbo decreased by 7.89441401138902e-09"
[1] "elbo decreased by 1.83754309546202e-08"
[1] "elbo decreased by 3.26817826135084e-08"
[1] "elbo decreased by 1.10885594040155e-08"
[1] "elbo decreased by 1.72803993336856e-10"
[1] "elbo decreased by 7.89077603258193e-09"
[1] "elbo decreased by 1.5078330761753e-07"
[1] "elbo decreased by 2.32648744713515e-09"
[1] "elbo decreased by 1.68256519827992e-09"
[1] "elbo decreased by 1.56755049829371e-07"
[1] "elbo decreased by 7.89441401138902e-09"
[1] "elbo decreased by 7.89441401138902e-09"
[1] "elbo decreased by 1.85173121280968e-09"
[1] "elbo decreased by 1.40898919198662e-08"
[1] "elbo decreased by 1.57851900439709e-08"
[1] "elbo decreased by 6.24604581389576e-08"
[1] "elbo decreased by 1.88647391041741e-08"
[1] "elbo decreased by 8.94942786544561e-10"
[1] "elbo decreased by 6.42103259451687e-10"
[1] "elbo decreased by 3.60068952431902e-08"
[1] "elbo decreased by 8.11269273981452e-10"
[1] "elbo decreased by 3.23780113831162e-10"
[1] "elbo decreased by 1.47301761899143e-08"
[1] "elbo decreased by 7.89441401138902e-09"
[1] "elbo decreased by 7.89077603258193e-09"
[1] "elbo decreased by 1.65164237841964e-09"
[1] "elbo decreased by 8.02174326963723e-10"
[1] "elbo decreased by 7.89441401138902e-09"
[1] "elbo decreased by 1.45573721965775e-08"
[1] "elbo decreased by 7.89441401138902e-09"
[1] "elbo decreased by 1.28420651890337e-09"
[1] "elbo decreased by 1.3309545465745e-08"
[1] "elbo decreased by 1.47229002323002e-08"
[1] "elbo decreased by 7.89441401138902e-09"
[1] "elbo decreased by 1.85536919161677e-10"
[1] "elbo decreased by 7.89441401138902e-09"
[1] "elbo decreased by 5.77892933506519e-09"
[1] "elbo decreased by 1.74441083800048e-08"
[1] "elbo decreased by 4.52928361482918e-10"
[1] "elbo decreased by 4.0261511458084e-08"
[1] "elbo decreased by 7.89441401138902e-09"
[1] "elbo decreased by 8.45648173708469e-09"
[1] "elbo decreased by 2.00634531211108e-09"
[1] "elbo decreased by 1.47992977872491e-08"
[1] "elbo decreased by 7.89441401138902e-09"
[1] "elbo decreased by 4.36375557910651e-09"
[1] "elbo decreased by 5.0931703299284e-11"
[1] "elbo decreased by 7.89441401138902e-09"
[1] "elbo decreased by 3.14503267873079e-08"
[1] "elbo decreased by 1.57815520651639e-08"
[1] "elbo decreased by 8.8457454694435e-09"
[1] "elbo decreased by 7.89077603258193e-09"
[1] "elbo decreased by 4.27462509833276e-09"
[1] "elbo decreased by 4.42014425061643e-10"
[1] "elbo decreased by 1.57851900439709e-08"
[1] "elbo decreased by 1.00764736998826e-07"
[1] "elbo decreased by 2.05709511647001e-08"
[1] "elbo decreased by 7.89441401138902e-09"
[1] "elbo decreased by 1.30967237055302e-10"
[1] "elbo decreased by 7.89077603258193e-09"
[1] "elbo decreased by 1.84936652658507e-08"
[1] "elbo decreased by 1.00317265605554e-08"
[1] "elbo decreased by 7.89077603258193e-09"
[1] "elbo decreased by 3.92901711165905e-10"
[1] "elbo decreased by 3.32875060848892e-09"
[1] "elbo decreased by 9.73159330897033e-10"
[1] "elbo decreased by 7.89441401138902e-09"
[1] "elbo decreased by 3.70182533515617e-08"
[1] "elbo decreased by 2.45436240220442e-08"
[1] "elbo decreased by 1.07866071630269e-09"
[1] "elbo decreased by 2.69028532784432e-09"
[1] "elbo decreased by 7.89441401138902e-09"
[1] "elbo decreased by 3.20051185553893e-08"
[1] "elbo decreased by 7.89077603258193e-09"
[1] "elbo decreased by 7.89441401138902e-09"
[1] "elbo decreased by 2.3283064365387e-09"
[1] "elbo decreased by 5.54700818611309e-08"
[1] "elbo decreased by 7.89441401138902e-09"
[1] "elbo decreased by 8.13088263384998e-10"
[1] "elbo decreased by 2.65572452917695e-10"
[1] "elbo decreased by 1.5457953850273e-07"
[1] "elbo decreased by 6.34827301837504e-10"
[1] "elbo decreased by 1.51831045513973e-08"
[1] "elbo decreased by 2.63753463514149e-10"
[1] "elbo decreased by 1.29675754578784e-07"
[1] "elbo decreased by 7.89077603258193e-09"
[1] "elbo decreased by 4.65479388367385e-09"
[1] "elbo decreased by 7.89441401138902e-09"
[1] "elbo decreased by 6.94853952154517e-10"
[1] "elbo decreased by 6.69260771246627e-08"
[1] "elbo decreased by 7.89441401138902e-09"
[1] "elbo decreased by 3.63797880709171e-10"
[1] "elbo decreased by 7.89441401138902e-09"
[1] "elbo decreased by 8.34115780889988e-08"
[1] "elbo decreased by 2.57732608588412e-08"
[1] "elbo decreased by 5.02368493471295e-08"
[1] "elbo decreased by 7.89441401138902e-09"
[1] "elbo decreased by 1.38970790430903e-09"
[1] "elbo decreased by 1.6758349374868e-08"
[1] "elbo decreased by 5.97356120124459e-09"
[1] "elbo decreased by 5.71162672713399e-10"
[1] "elbo decreased by 7.89077603258193e-09"
[1] "elbo decreased by 4.0658051148057e-08"
[1] "elbo decreased by 7.89441401138902e-09"
[1] "elbo decreased by 7.89441401138902e-09"
[1] "elbo decreased by 7.89077603258193e-09"
[1] "elbo decreased by 1.71530700754374e-08"
[1] "elbo decreased by 7.89077603258193e-09"
[1] "elbo decreased by 9.20954335015267e-09"
[1] "elbo decreased by 1.57815520651639e-08"
[1] "elbo decreased by 1.05865183286369e-09"
[1] "elbo decreased by 6.91688910592347e-08"
[1] "elbo decreased by 1.26965460367501e-08"
[1] "elbo decreased by 9.47184162214398e-08"
[1] "elbo decreased by 3.03407432511449e-09"
[1] "elbo decreased by 1.57851900439709e-08"
[1] "elbo decreased by 9.42236511036754e-10"
[1] "elbo decreased by 1.5788828022778e-08"
[1] "elbo decreased by 2.67827999778092e-08"
[1] "elbo decreased by 3.45607986673713e-09"
[1] "elbo decreased by 7.89441401138902e-09"
[1] "elbo decreased by 3.87444742955267e-10"
[1] "elbo decreased by 7.8580342233181e-10"
[1] "elbo decreased by 7.89441401138902e-09"
[1] "elbo decreased by 4.9882146413438e-08"
[1] "elbo decreased by 1.05683284346014e-09"
[1] "elbo decreased by 3.19778337143362e-09"
[1] "elbo decreased by 7.89077603258193e-09"
[1] "elbo decreased by 6.148184183985e-10"
[1] "elbo decreased by 1.5788828022778e-08"
[1] "elbo decreased by 9.82254277914762e-11"
[1] "elbo decreased by 5.85841917200014e-08"
[1] "elbo decreased by 7.89441401138902e-09"
[1] "elbo decreased by 3.68709152098745e-08"
[1] "elbo decreased by 7.89441401138902e-09"
[1] "elbo decreased by 3.69982444681227e-09"
[1] "elbo decreased by 1.76078174263239e-09"
[1] "elbo decreased by 3.65980667993426e-09"
[1] "elbo decreased by 2.27537384489551e-08"
[1] "elbo decreased by 2.52657628152519e-09"
[1] "elbo decreased by 7.89441401138902e-09"
[1] "elbo decreased by 1.39363692142069e-07"
[1] "elbo decreased by 7.89077603258193e-09"
[1] "elbo decreased by 1.57851900439709e-08"
[1] "elbo decreased by 1.62926880875602e-08"
[1] "elbo decreased by 7.89077603258193e-09"
[1] "elbo decreased by 1.02227204479277e-09"
[1] "elbo decreased by 7.89077603258193e-09"
[1] "elbo decreased by 3.00296960631385e-08"
[1] "elbo decreased by 7.89805199019611e-09"
[1] "elbo decreased by 3.21597326546907e-09"
[1] "elbo decreased by 1.5788828022778e-08"
[1] "elbo decreased by 7.0845999289304e-08"
[1] "elbo decreased by 7.6597643783316e-09"
[1] "elbo decreased by 1.57851900439709e-08"
[1] "elbo decreased by 1.00044417195022e-09"
[1] "elbo decreased by 9.20172169571742e-08"
[1] "elbo decreased by 2.46109266299754e-09"
[1] "elbo decreased by 1.00408215075731e-09"
[1] "elbo decreased by 7.89077603258193e-09"
[1] "elbo decreased by 5.17866283189505e-09"
[1] "elbo decreased by 1.5788828022778e-08"
[1] "elbo decreased by 9.62791091296822e-09"
[1] "elbo decreased by 6.75754563417286e-09"
[1] "elbo decreased by 8.3418854046613e-09"
[1] "elbo decreased by 7.89441401138902e-09"
[1] "elbo decreased by 7.7747245086357e-08"
[1] "elbo decreased by 6.92853063810617e-09"
[1] "elbo decreased by 1.28196916193701e-07"
[1] "elbo decreased by 3.98358679376543e-10"
[1] "elbo decreased by 7.89441401138902e-09"
[1] "elbo decreased by 1.14847352961078e-07"
[1] "elbo decreased by 7.89077603258193e-09"
[1] "elbo decreased by 7.89441401138902e-09"
[1] "elbo decreased by 4.27280610892922e-08"
[1] "elbo decreased by 1.95723259821534e-09"
[1] "elbo decreased by 1.23691279441118e-10"
[1] "elbo decreased by 3.45280568581074e-08"
[1] "elbo decreased by 3.35603544954211e-09"
[1] "elbo decreased by 4.11091605201364e-10"
[1] "elbo decreased by 4.10236680181697e-08"
[1] "elbo decreased by 3.85807652492076e-09"
[1] "elbo decreased by 7.89441401138902e-09"
[1] "elbo decreased by 1.12049747258425e-09"
[1] "elbo decreased by 4.73719410365447e-08"
[1] "elbo decreased by 7.89077603258193e-09"
[1] "elbo decreased by 1.05395884020254e-07"
[1] "elbo decreased by 1.54650479089469e-08"
[1] "elbo decreased by 1.5788828022778e-08"
[1] "elbo decreased by 1.10776454675943e-09"
[1] "elbo decreased by 1.56433088704944e-10"
[1] "elbo decreased by 4.82068571727723e-08"
[1] "elbo decreased by 1.57815520651639e-08"
[1] "elbo decreased by 6.73971953801811e-08"
[1] "elbo decreased by 7.89441401138902e-09"
[1] "elbo decreased by 7.89441401138902e-09"
[1] "elbo decreased by 9.71340341493487e-10"
[1] "elbo decreased by 9.31322574615479e-10"
[1] "elbo decreased by 7.89077603258193e-09"
[1] "elbo decreased by 1.57851900439709e-08"
[1] "elbo decreased by 7.89077603258193e-09"
[1] "elbo decreased by 1.08282620203681e-07"
[1] "elbo decreased by 5.81167114432901e-09"
[1] "elbo decreased by 7.89441401138902e-09"
[1] "elbo decreased by 2.39742803387344e-09"
[1] "elbo decreased by 1.57548129209317e-07"
[1] "elbo decreased by 7.14862835593522e-09"
[1] "elbo decreased by 1.85173121280968e-09"
[1] "elbo decreased by 7.89077603258193e-09"
[1] "elbo decreased by 7.89441401138902e-09"
[1] "elbo decreased by 1.0077201295644e-09"
[1] "elbo decreased by 8.01210262579843e-08"
[1] "elbo decreased by 1.77533365786076e-09"
[1] "elbo decreased by 1.45519152283669e-10"
[1] "elbo decreased by 8.03993316367269e-10"
[1] "elbo decreased by 1.40953488880768e-08"
[1] "elbo decreased by 1.5788828022778e-08"
[1] "elbo decreased by 7.89441401138902e-09"
[1] "elbo decreased by 1.39152689371258e-09"
[1] "elbo decreased by 1.42008502734825e-08"
[1] "elbo decreased by 1.11576810013503e-08"
[1] "elbo decreased by 7.89441401138902e-09"
[1] "elbo decreased by 2.79869709629565e-08"
[1] "elbo decreased by 1.70857674675062e-08"
[1] "elbo decreased by 1.89174897968769e-10"
[1] "elbo decreased by 1.49266270454973e-08"
[1] "elbo decreased by 5.05679054185748e-10"
[1] "elbo decreased by 4.86088538309559e-08"
[1] "elbo decreased by 7.29050952941179e-09"
[1] "elbo decreased by 3.91810317523777e-09"
[1] "elbo decreased by 3.92901711165905e-10"
[1] "elbo decreased by 7.89441401138902e-09"
[1] "elbo decreased by 1.29968611872755e-07"
[1] "elbo decreased by 7.89077603258193e-09"
[1] "elbo decreased by 6.12271833233535e-09"
[1] "elbo decreased by 7.89441401138902e-09"
[1] "elbo decreased by 7.57809175411239e-08"
[1] "elbo decreased by 6.17546902503818e-09"
[1] "elbo decreased by 2.84671841654927e-09"
[1] "elbo decreased by 7.89441401138902e-09"
[1] "elbo decreased by 7.89441401138902e-09"
[1] "elbo decreased by 2.60115484707057e-10"
[1] "elbo decreased by 2.45418050326407e-08"
[1] "elbo decreased by 1.23691279441118e-09"
[1] "elbo decreased by 1.96887413039804e-08"
[1] "elbo decreased by 7.89077603258193e-09"
[1] "elbo decreased by 6.16455508861691e-09"
[1] "elbo decreased by 3.47172317560762e-08"
[1] "elbo decreased by 7.89441401138902e-09"
[1] "elbo decreased by 3.74529918190092e-09"
[1] "elbo decreased by 1.88265403266996e-09"
[1] "elbo decreased by 3.22324922308326e-09"
[1] "elbo decreased by 7.89441401138902e-09"
[1] "elbo decreased by 1.07520463643596e-08"
[1] "elbo decreased by 7.89441401138902e-09"
[1] "elbo decreased by 2.05254764296114e-08"
[1] "elbo decreased by 7.89441401138902e-09"
[1] "elbo decreased by 4.06907929573208e-09"
[1] "elbo decreased by 2.3683242034167e-08"
[1] "elbo decreased by 1.84063537744805e-08"
[1] "elbo decreased by 2.40834197029471e-09"
[1] "elbo decreased by 7.89077603258193e-09"
[1] "elbo decreased by 5.57956809643656e-08"
[1] "elbo decreased by 7.89441401138902e-09"
[1] "elbo decreased by 1.5788828022778e-08"
[1] "elbo decreased by 6.42467057332397e-09"
[1] "elbo decreased by 1.75532477442175e-08"
[1] "elbo decreased by 9.80435288511217e-10"
[1] "elbo decreased by 7.31233740225434e-10"
[1] "elbo decreased by 7.89077603258193e-09"
[1] "elbo decreased by 1.26874510897323e-08"
[1] "elbo decreased by 7.89441401138902e-09"
[1] "elbo decreased by 3.64416337106377e-08"
[1] "elbo decreased by 7.89441401138902e-09"
[1] "elbo decreased by 2.77577782981098e-09"
[1] "elbo decreased by 9.51331458054483e-10"
[1] "elbo decreased by 7.40328687243164e-10"
[1] "elbo decreased by 4.08363121096045e-09"
[1] "elbo decreased by 7.89077603258193e-09"
[1] "elbo decreased by 8.00355337560177e-11"
[1] "elbo decreased by 1.0087933333125e-07"
[1] "elbo decreased by 1.71276042237878e-08"
[1] "elbo decreased by 7.89441401138902e-09"
[1] "elbo decreased by 7.89077603258193e-09"
[1] "elbo decreased by 4.2047759052366e-08"
[1] "elbo decreased by 1.23345671454445e-08"
[1] "elbo decreased by 7.89441401138902e-09"
[1] "elbo decreased by 2.58514774031937e-08"
[1] "elbo decreased by 7.89077603258193e-09"
[1] "elbo decreased by 7.89077603258193e-09"
[1] "elbo decreased by 6.20439095655456e-08"
[1] "elbo decreased by 9.99534677248448e-09"
[1] "elbo decreased by 2.04508978640661e-08"
[1] "elbo decreased by 1.16742739919573e-08"
[1] "elbo decreased by 1.16779119707644e-09"
[1] "elbo decreased by 7.89805199019611e-09"
[1] "elbo decreased by 1.14307113108225e-07"
[1] "elbo decreased by 7.89441401138902e-09"
[1] "elbo decreased by 8.7584339780733e-09"
[1] "elbo decreased by 1.53340806718916e-09"
[1] "elbo decreased by 1.04228092823178e-09"
[1] "elbo decreased by 3.69909685105085e-08"
[1] "elbo decreased by 4.7839421313256e-10"
[1] "elbo decreased by 5.61140041099861e-08"
[1] "elbo decreased by 1.67947291629389e-08"
[1] "elbo decreased by 7.89077603258193e-09"
[1] "elbo decreased by 5.5453710956499e-08"
[1] "elbo decreased by 9.66974766924977e-09"
[1] "elbo decreased by 1.5788828022778e-08"
[1] "elbo decreased by 9.64064383879304e-11"
[1] "elbo decreased by 1.98815541807562e-09"
[1] "elbo decreased by 7.89077603258193e-09"
[1] "elbo decreased by 1.42299541039392e-08"
[1] "elbo decreased by 2.40106601268053e-08"
[1] "elbo decreased by 1.62435753736645e-09"
[1] "elbo decreased by 1.39880285132676e-09"
[1] "elbo decreased by 9.47966327657923e-08"
[1] "elbo decreased by 1.18252501124516e-08"
[1] "elbo decreased by 1.41153577715158e-09"
[1] "elbo decreased by 7.89077603258193e-09"
[1] "elbo decreased by 1.20049662655219e-07"
[1] "elbo decreased by 4.66388883069158e-09"
[1] "elbo decreased by 2.91038304567337e-10"
[1] "elbo decreased by 7.89077603258193e-09"
[1] "elbo decreased by 7.89805199019611e-09"
[1] "elbo decreased by 2.90674506686628e-09"
[1] "elbo decreased by 7.89441401138902e-09"
[1] "elbo decreased by 1.45519152283669e-09"
[1] "elbo decreased by 2.69210431724787e-10"
[1] "elbo decreased by 7.89077603258193e-09"
[1] "elbo decreased by 5.48770913155749e-08"
[1] "elbo decreased by 7.89077603258193e-09"
[1] "elbo decreased by 2.37923813983798e-09"
[1] "elbo decreased by 1.26601662486792e-09"
[1] "elbo decreased by 7.89077603258193e-09"
[1] "elbo decreased by 1.99179339688271e-08"
[1] "elbo decreased by 7.89441401138902e-09"
[1] "elbo decreased by 6.31189323030412e-09"
[1] "elbo decreased by 7.89441401138902e-09"
[1] "elbo decreased by 1.76441972143948e-10"
[1] "elbo decreased by 3.69618646800518e-09"
[1] "elbo decreased by 1.5788828022778e-08"
[1] "elbo decreased by 7.89441401138902e-09"
[1] "elbo decreased by 2.25008989218622e-09"
[1] "elbo decreased by 1.48065737448633e-09"
[1] "elbo decreased by 1.72003637999296e-08"
[1] "elbo decreased by 7.89441401138902e-09"
[1] "elbo decreased by 4.11091605201364e-10"
[1] "elbo decreased by 1.38945324579254e-07"
[1] "elbo decreased by 3.43970896210521e-09"
[1] "elbo decreased by 3.67435859516263e-10"
[1] "elbo decreased by 7.89441401138902e-09"
[1] "elbo decreased by 6.2755134422332e-10"
[1] "elbo decreased by 5.1488314056769e-08"
[1] "elbo decreased by 1.57851900439709e-08"
[1] "elbo decreased by 6.95945345796645e-09"
[1] "elbo decreased by 3.94793460145593e-08"
[1] "elbo decreased by 8.80390871316195e-10"
[1] "elbo decreased by 7.89441401138902e-09"
[1] "elbo decreased by 1.0438816389069e-07"
[1] "elbo decreased by 2.02435330720618e-08"
[1] "elbo decreased by 7.89441401138902e-09"
[1] "elbo decreased by 3.78349795937538e-10"
[1] "elbo decreased by 7.96680978965014e-08"
[1] "elbo decreased by 5.77711034566164e-09"
[1] "elbo decreased by 3.28873284161091e-09"
[1] "elbo decreased by 3.97267285734415e-09"
[1] "elbo decreased by 7.89441401138902e-09"
[1] "elbo decreased by 1.1198062566109e-07"
[1] "elbo decreased by 1.808803062886e-08"
[1] "elbo decreased by 7.89441401138902e-09"
[1] "elbo decreased by 2.69756128545851e-09"
[1] "elbo decreased by 1.73109583556652e-07"
[1] "elbo decreased by 1.5788828022778e-08"
[1] "elbo decreased by 2.70301825366914e-09"
[1] "elbo decreased by 1.48611434269696e-09"
[1] "elbo decreased by 7.89441401138902e-09"
[1] "elbo decreased by 2.91220203507692e-09"
[1] "elbo decreased by 3.66799213225022e-08"
[1] "elbo decreased by 7.12316250428557e-09"
[1] "elbo decreased by 1.5788828022778e-08"
[1] "elbo decreased by 2.10820871870965e-09"
[1] "elbo decreased by 9.32341208681464e-08"
[1] "elbo decreased by 7.89441401138902e-09"
[1] "elbo decreased by 7.80346454121172e-10"
[1] "elbo decreased by 1.18841853691265e-07"
[1] "elbo decreased by 1.57851900439709e-08"
[1] "elbo decreased by 1.37386450660415e-07"
[1] "elbo decreased by 7.71251507103443e-09"
[1] "elbo decreased by 7.89441401138902e-09"
[1] "elbo decreased by 3.77949618268758e-08"
[1] "elbo decreased by 3.23780113831162e-10"
[1] "elbo decreased by 7.89441401138902e-09"
[1] "elbo decreased by 3.79168341169134e-08"
[1] "elbo decreased by 8.56744009070098e-09"
[1] "elbo decreased by 4.39431460108608e-08"
[1] "elbo decreased by 2.76904756901786e-08"
[1] "elbo decreased by 7.89441401138902e-09"
[1] "elbo decreased by 3.65434971172363e-09"
[1] "elbo decreased by 1.8007995095104e-10"
[1] "elbo decreased by 7.89441401138902e-09"
[1] "elbo decreased by 2.38014763453975e-08"
[1] "elbo decreased by 1.57851900439709e-08"
[1] "elbo decreased by 3.99268174078315e-09"
[1] "elbo decreased by 7.89077603258193e-09"
[1] "elbo decreased by 1.60434865392745e-09"
[1] "elbo decreased by 7.89441401138902e-09"
[1] "elbo decreased by 9.74978320300579e-10"
[1] "elbo decreased by 5.11136022396386e-09"
[1] "elbo decreased by 1.57851900439709e-08"
[1] "elbo decreased by 8.67657945491374e-10"
[1] "elbo decreased by 3.84261511499062e-08"
[1] "elbo decreased by 7.89441401138902e-09"
[1] "elbo decreased by 8.09632183518261e-09"
[1] "elbo decreased by 1.54159351950511e-08"
[1] "elbo decreased by 7.89441401138902e-09"
[1] "elbo decreased by 4.0381564758718e-10"
[1] "elbo decreased by 6.18456397205591e-10"
[1] "elbo decreased by 9.71340341493487e-09"
[1] "elbo decreased by 7.89441401138902e-09"
[1] "elbo decreased by 3.40914994012564e-08"
[1] "elbo decreased by 7.89441401138902e-09"
[1] "elbo decreased by 3.43788997270167e-10"
[1] "elbo decreased by 2.32284946832806e-09"
[1] "elbo decreased by 7.89441401138902e-09"
[1] "elbo decreased by 2.367960405536e-08"
[1] "elbo decreased by 9.76797309704125e-10"
[1] "elbo decreased by 3.01115505862981e-08"
[1] "elbo decreased by 3.99631971959025e-09"
[1] "elbo decreased by 7.89441401138902e-09"
[1] "elbo decreased by 2.30593286687508e-08"
[1] "elbo decreased by 1.57851900439709e-08"
[1] "elbo decreased by 2.59897205978632e-08"
[1] "elbo decreased by 6.35718606645241e-08"
[1] "elbo decreased by 7.89077603258193e-09"
[1] "elbo decreased by 1.82626536116004e-09"
[1] "elbo decreased by 7.89441401138902e-09"
[1] "elbo decreased by 4.65061020804569e-08"
[1] "elbo decreased by 1.99179339688271e-09"
[1] "elbo decreased by 7.89441401138902e-09"
[1] "elbo decreased by 6.27824192633852e-08"
[1] "elbo decreased by 1.5788828022778e-08"
[1] "elbo decreased by 8.22183210402727e-10"
[1] "elbo decreased by 3.34875949192792e-09"
[1] "elbo decreased by 3.57667886419222e-08"
[1] "elbo decreased by 7.89441401138902e-09"
[1] "elbo decreased by 3.60705598723143e-09"
[1] "elbo decreased by 7.89077603258193e-09"
[1] "elbo decreased by 3.33238858729601e-09"
[1] "elbo decreased by 3.95757524529472e-08"
[1] "elbo decreased by 1.99179339688271e-09"
[1] "elbo decreased by 2.00634531211108e-09"
[1] "elbo decreased by 4.82978066429496e-08"
[1] "elbo decreased by 1.32604327518493e-09"
[1] "elbo decreased by 3.43425199389458e-08"
[1] "elbo decreased by 2.51802703132853e-08"
[1] "elbo decreased by 7.89441401138902e-09"
[1] "elbo decreased by 1.21326593216509e-09"
[1] "elbo decreased by 3.31056071445346e-09"
[1] "elbo decreased by 1.36969902087003e-09"
[1] "elbo decreased by 2.52839527092874e-10"
[1] "elbo decreased by 7.89441401138902e-09"
[1] "elbo decreased by 7.7747245086357e-08"
[1] "elbo decreased by 7.88713805377483e-09"
[1] "elbo decreased by 7.89441401138902e-09"
[1] "elbo decreased by 1.53340806718916e-09"
[1] "elbo decreased by 4.98403096571565e-09"
[1] "elbo decreased by 1.73513399204239e-08"
[1] "elbo decreased by 7.89441401138902e-09"
[1] "elbo decreased by 7.03003024682403e-08"
[1] "elbo decreased by 6.64113031234592e-09"
[1] "elbo decreased by 1.73895386978984e-09"
[1] "elbo decreased by 6.25586835667491e-08"
[1] "elbo decreased by 8.13633960206062e-09"
[1] "elbo decreased by 7.89441401138902e-09"
[1] "elbo decreased by 3.90937202610075e-08"
[1] "elbo decreased by 1.31876731757075e-09"
[1] "elbo decreased by 3.91082721762359e-10"
[1] "elbo decreased by 6.59292709315196e-08"
[1] "elbo decreased by 4.35175024904311e-08"
[1] "elbo decreased by 1.04773789644241e-09"
[1] "elbo decreased by 7.89077603258193e-09"
[1] "elbo decreased by 4.92946128360927e-10"
[1] "elbo decreased by 1.39389157993719e-08"
[1] "elbo decreased by 4.47471393272281e-10"
[1] "elbo decreased by 4.56548150395975e-08"
[1] "elbo decreased by 1.81898940354586e-12"
[1] "elbo decreased by 4.18003764934838e-09"
[1] "elbo decreased by 7.89441401138902e-09"
[1] "elbo decreased by 9.22227627597749e-10"
[1] "elbo decreased by 1.94795575225726e-08"
[1] "elbo decreased by 7.78527464717627e-10"
[1] "elbo decreased by 9.33723640628159e-08"
[1] "elbo decreased by 7.89441401138902e-09"
[1] "elbo decreased by 4.45652403868735e-10"
[1] "elbo decreased by 3.69200279237702e-08"
[1] "elbo decreased by 7.89077603258193e-09"
[1] "elbo decreased by 1.07866071630269e-09"
[1] "elbo decreased by 1.41881173476577e-09"
[1] "elbo decreased by 1.5788828022778e-08"
[1] "elbo decreased by 9.48239176068455e-09"
[1] "elbo decreased by 7.89441401138902e-09"
[1] "elbo decreased by 1.36424205265939e-09"
[1] "elbo decreased by 7.89077603258193e-09"
[1] "elbo decreased by 7.89441401138902e-09"
[1] "elbo decreased by 3.77931428374723e-08"
[1] "elbo decreased by 7.89441401138902e-09"
[1] "elbo decreased by 2.37560016103089e-09"
[1] "elbo decreased by 7.89441401138902e-09"
[1] "elbo decreased by 3.77385731553659e-08"
[1] "elbo decreased by 7.89077603258193e-09"
[1] "elbo decreased by 1.06974766822532e-08"
[1] "elbo decreased by 7.89441401138902e-09"
[1] "elbo decreased by 4.53364918939769e-08"
[1] "elbo decreased by 4.97311702929437e-09"
[1] "elbo decreased by 9.60426405072212e-10"
[1] "elbo decreased by 6.96672941558063e-10"
[1] "elbo decreased by 8.46521288622171e-08"
[1] "elbo decreased by 7.88895704317838e-09"
[1] "elbo decreased by 7.89441401138902e-09"
[1] "elbo decreased by 9.93168214336038e-10"
[1] "elbo decreased by 7.89441401138902e-09"
[1] "elbo decreased by 1.35283698909916e-07"
[1] "elbo decreased by 2.06819095183164e-09"
[1] "elbo decreased by 4.14729584008455e-10"
[1] "elbo decreased by 7.89077603258193e-09"
[1] "elbo decreased by 1.64582161232829e-08"
[1] "elbo decreased by 8.95488483365625e-09"
[1] "elbo decreased by 1.5825207810849e-09"
[1] "elbo decreased by 1.0113581083715e-09"
[1] "elbo decreased by 4.68789949081838e-08"
[1] "elbo decreased by 3.19050741381943e-09"
[1] "elbo decreased by 7.89441401138902e-09"
[1] "elbo decreased by 7.25776772014797e-10"
[1] "elbo decreased by 9.22445906326175e-08"
[1] "elbo decreased by 7.89441401138902e-09"
[1] "elbo decreased by 6.56618794891983e-08"
[1] "elbo decreased by 7.89441401138902e-09"
[1] "elbo decreased by 3.96175892092288e-09"
[1] "elbo decreased by 7.89441401138902e-09"
[1] "elbo decreased by 5.77711034566164e-09"
[1] "elbo decreased by 1.57851900439709e-08"
[1] "elbo decreased by 3.21779225487262e-09"
[1] "elbo decreased by 7.89077603258193e-09"
[1] "elbo decreased by 7.89077603258193e-09"
[1] "elbo decreased by 7.89441401138902e-09"
[1] "elbo decreased by 7.23230186849833e-09"
[1] "elbo decreased by 2.2373569663614e-10"
[1] "elbo decreased by 1.63709046319127e-11"
[1] "elbo decreased by 7.89441401138902e-09"
[1] "elbo decreased by 6.67023414280266e-09"
[1] "elbo decreased by 7.34544300939888e-08"
[1] "elbo decreased by 2.69938027486205e-08"
[1] "elbo decreased by 1.32840796140954e-08"
[1] "elbo decreased by 7.89441401138902e-09"
[1] "elbo decreased by 7.89077603258193e-09"
[1] "elbo decreased by 2.47382558882236e-10"
[1] "elbo decreased by 1.1799784260802e-08"
[1] "elbo decreased by 1.5788828022778e-08"
[1] "elbo decreased by 8.49468051455915e-10"
[1] "elbo decreased by 1.37069946504198e-07"
[1] "elbo decreased by 2.6539055397734e-09"
[1] "elbo decreased by 7.89077603258193e-09"
[1] "elbo decreased by 8.72023520059884e-09"
[1] "elbo decreased by 7.89077603258193e-09"
[1] "elbo decreased by 1.09503162093461e-09"

This is a scatter plot of \(\hat{L}_{pt-laplace-backfit}\), the estimate from symEBcovMF with backfit:

bal_pops <- c(rep('A', 40), rep('B', 40), rep('C', 40), rep('D', 40))
plot_loadings(symebcovmf_fit_backfit$L_pm %*% diag(sqrt(symebcovmf_fit_backfit$lambda)), bal_pops)

Version Author Date
e557427 Annie Xie 2025-06-03

This is the objective function value attained:

symebcovmf_fit_backfit$elbo
[1] 9399.49

The estimate from the backfit attains a higher objective function, but is not characteristically very different from the greedy procedure estimate.

Split

Now, we split the estimate into its positive and negative parts.

LL_split_init <- cbind(pmax(symebcovmf_fit$L_pm, 0), pmax(-symebcovmf_fit$L_pm, 0))

This is a heatmap of the estimate with its positive and negative parts split into different factors, \(\hat{L}_{split}\).

plot_heatmap(LL_split_init)

Version Author Date
e557427 Annie Xie 2025-06-03

Backfit with Split Initialization

Now, we backfit from the split initialization (this is what GBCD does). The backfit is run with the point-exponential prior.

First, we initialize a symEBcovMF object using \(\hat{L}_{split}\).

symebcovmf_laplace_split_init_obj <- sym_ebcovmf_init(sim_data$YYt)

split_L_norms <- apply(LL_split_init, 2, function(x){sqrt(sum(x^2))})
idx.keep <- which(split_L_norms > 0)
split_L_normalized <- apply(LL_split_init[,idx.keep], 2, function(x){x/sqrt(sum(x^2))})
symebcovmf_laplace_split_init_obj$L_pm <- split_L_normalized

symebcovmf_laplace_split_init_obj$lambda <- rep(symebcovmf_fit$lambda, times = 2)[idx.keep]

symebcovmf_laplace_split_init_obj$resid_s2 <- estimate_resid_s2(S = sim_data$YYt, 
  L = symebcovmf_laplace_split_init_obj$L_pm, 
  lambda = symebcovmf_laplace_split_init_obj$lambda, 
  n = nrow(sim_data$Y), 
  K = length(symebcovmf_laplace_split_init_obj$lambda))

symebcovmf_laplace_split_init_obj$elbo <- compute_elbo(S = sim_data$YYt, 
  L = symebcovmf_laplace_split_init_obj$L_pm, 
  lambda = symebcovmf_laplace_split_init_obj$lambda, 
  resid_s2 = symebcovmf_laplace_split_init_obj$resid_s2, 
  n = nrow(sim_data$Y), 
  K = length(symebcovmf_laplace_split_init_obj$lambda), 
  KL = rep(0, length(symebcovmf_laplace_split_init_obj$lambda)))

I refit the lambda values keeping the factors fixed.

# need to check this
symebcovmf_laplace_split_obj <- refit_lambda(S = sim_data$YYt, symebcovmf_laplace_split_init_obj, maxiter = 500)

Now, we run the backfit with point-exponential prior.

symebcovmf_laplace_split_init_backfit <- sym_ebcovmf_backfit(sim_data$YYt, symebcovmf_laplace_split_init_obj, ebnm_fn = ebnm::ebnm_point_exponential, backfit_maxiter = 500)
[1] "elbo decreased by 2.00816430151463e-09"
[1] "elbo decreased by 8.13270162325352e-09"
[1] "elbo decreased by 1.3706085155718e-08"
[1] "elbo decreased by 1.39334588311613e-09"
[1] "elbo decreased by 1.60434865392745e-09"
[1] "elbo decreased by 1.06228981167078e-09"
[1] "elbo decreased by 8.44192982185632e-09"
[1] "elbo decreased by 1.38206814881414e-08"
[1] "elbo decreased by 9.05311026144773e-09"
[1] "elbo decreased by 1.38297764351591e-08"
[1] "elbo decreased by 5.25687937624753e-10"
[1] "elbo decreased by 7.33234628569335e-09"
[1] "elbo decreased by 3.21597326546907e-09"
[1] "elbo decreased by 1.67492544278502e-08"
[1] "elbo decreased by 2.29010765906423e-09"
[1] "elbo decreased by 8.11269273981452e-10"
[1] "elbo decreased by 2.53567122854292e-09"
[1] "elbo decreased by 2.01944203581661e-08"
[1] "elbo decreased by 8.36735125631094e-11"
[1] "elbo decreased by 5.12591213919222e-09"
[1] "elbo decreased by 1.3169483281672e-09"
[1] "elbo decreased by 1.2852979125455e-08"
[1] "elbo decreased by 2.72848410531878e-10"
[1] "elbo decreased by 9.64064383879304e-09"
[1] "elbo decreased by 1.60616764333099e-09"
[1] "elbo decreased by 1.04046193882823e-09"
[1] "elbo decreased by 8.34552338346839e-09"
[1] "elbo decreased by 1.57433532876894e-08"
[1] "elbo decreased by 4.43833414465189e-10"
[1] "elbo decreased by 1.61926436703652e-08"
[1] "elbo decreased by 4.65661287307739e-10"
[1] "elbo decreased by 2.14640749618411e-10"
[1] "elbo decreased by 8.20364220999181e-10"
[1] "elbo decreased by 4.33828972745687e-09"
[1] "elbo decreased by 6.00994098931551e-09"
[1] "elbo decreased by 1.87355908565223e-10"
[1] "elbo decreased by 8.19818524178118e-09"
[1] "elbo decreased by 1.05137587524951e-09"
[1] "elbo decreased by 3.10501491185278e-09"
[1] "elbo decreased by 5.0695234676823e-09"
[1] "elbo decreased by 3.71073838323355e-10"
[1] "elbo decreased by 6.59565557725728e-09"
[1] "elbo decreased by 6.47560227662325e-10"
[1] "elbo decreased by 4.19913703808561e-08"
[1] "elbo decreased by 1.86810211744159e-09"
[1] "elbo decreased by 1.31585693452507e-08"
[1] "elbo decreased by 2.7011992642656e-09"
[1] "elbo decreased by 3.39605321642011e-09"
[1] "elbo decreased by 4.18367562815547e-10"
[1] "elbo decreased by 6.03904481977224e-10"
[1] "elbo decreased by 3.37240635417402e-09"
[1] "elbo decreased by 2.72848410531878e-10"
[1] "elbo decreased by 5.12773112859577e-09"
[1] "elbo decreased by 3.89263732358813e-10"
[1] "elbo decreased by 1.30967237055302e-10"
[1] "elbo decreased by 2.9831426218152e-10"
[1] "elbo decreased by 2.20097717829049e-09"
[1] "elbo decreased by 8.8657543528825e-09"
[1] "elbo decreased by 6.67569111101329e-10"
[1] "elbo decreased by 4.25279722549021e-09"
[1] "elbo decreased by 1.41881173476577e-09"
[1] "elbo decreased by 2.43744580075145e-09"
[1] "elbo decreased by 1.11631379695609e-08"
[1] "elbo decreased by 1.44427758641541e-09"
[1] "elbo decreased by 1.35878508444875e-09"
[1] "elbo decreased by 1.74441083800048e-09"
[1] "elbo decreased by 7.09405867382884e-11"
[1] "elbo decreased by 3.0740920919925e-10"
[1] "elbo decreased by 1.28056854009628e-09"
[1] "elbo decreased by 1.64072844199836e-09"
[1] "elbo decreased by 3.18323145620525e-10"
[1] "elbo decreased by 8.90577211976051e-09"
[1] "elbo decreased by 1.23400241136551e-08"
[1] "elbo decreased by 1.68438418768346e-09"
[1] "elbo decreased by 2.7648638933897e-10"
[1] "elbo decreased by 2.05909600481391e-09"
[1] "elbo decreased by 2.09911377169192e-09"
[1] "elbo decreased by 6.30825525149703e-09"
[1] "elbo decreased by 3.69618646800518e-09"
[1] "elbo decreased by 9.62245394475758e-09"
[1] "elbo decreased by 2.04363459488377e-08"
[1] "elbo decreased by 4.26189217250794e-09"
[1] "elbo decreased by 8.24365997686982e-09"
[1] "elbo decreased by 7.22138793207705e-10"
[1] "elbo decreased by 1.9517756300047e-09"
[1] "elbo decreased by 2.94858182314783e-09"
[1] "elbo decreased by 1.24236976262182e-09"
[1] "elbo decreased by 3.23780113831162e-09"
[1] "elbo decreased by 1.12831912701949e-08"
[1] "elbo decreased by 1.76260073203593e-09"
[1] "elbo decreased by 8.49468051455915e-10"
[1] "elbo decreased by 6.07542460784316e-10"
[1] "elbo decreased by 6.94853952154517e-10"
[1] "elbo decreased by 1.65582605404779e-08"
[1] "elbo decreased by 2.58296495303512e-10"
[1] "elbo decreased by 1.02591002359986e-09"
[1] "elbo decreased by 8.05812305770814e-10"
[1] "elbo decreased by 1.44500518217683e-08"
[1] "elbo decreased by 3.41970007866621e-09"
[1] "elbo decreased by 3.45607986673713e-10"
[1] "elbo decreased by 3.23052518069744e-09"
[1] "elbo decreased by 1.35696609504521e-09"
[1] "elbo decreased by 1.36424205265939e-10"
[1] "elbo decreased by 5.29325916431844e-10"
[1] "elbo decreased by 9.45874489843845e-11"
[1] "elbo decreased by 3.20324033964425e-09"
[1] "elbo decreased by 8.00355337560177e-11"
[1] "elbo decreased by 5.13864506501704e-09"
[1] "elbo decreased by 1.30421540234238e-09"
[1] "elbo decreased by 4.22005541622639e-10"
[1] "elbo decreased by 5.1368260756135e-09"
[1] "elbo decreased by 1.10085238702595e-08"
[1] "elbo decreased by 1.13941496238112e-08"
[1] "elbo decreased by 8.49468051455915e-10"
[1] "elbo decreased by 1.78570189746097e-08"
[1] "elbo decreased by 3.40151018463075e-10"
[1] "elbo decreased by 1.05865183286369e-09"
[1] "elbo decreased by 2.27373675443232e-10"
[1] "elbo decreased by 7.13043846189976e-10"
[1] "elbo decreased by 1.45519152283669e-10"
[1] "elbo decreased by 8.84756445884705e-09"
[1] "elbo decreased by 6.40284270048141e-10"
[1] "elbo decreased by 1.63163349498063e-09"
[1] "elbo decreased by 1.2732925824821e-10"
[1] "elbo decreased by 5.58247847948223e-09"
[1] "elbo decreased by 6.94853952154517e-10"
[1] "elbo decreased by 1.63709046319127e-10"
[1] "elbo decreased by 4.72937244921923e-11"
[1] "elbo decreased by 1.62272044690326e-08"
[1] "elbo decreased by 2.41925590671599e-10"
[1] "elbo decreased by 4.8075889935717e-09"
[1] "elbo decreased by 2.31793819693848e-08"
[1] "elbo decreased by 2.43744580075145e-10"
[1] "elbo decreased by 7.6161086326465e-09"
[1] "elbo decreased by 1.86992110684514e-09"
[1] "elbo decreased by 5.50062395632267e-09"
[1] "elbo decreased by 2.94676283374429e-10"
[1] "elbo decreased by 2.36832420341671e-09"
[1] "elbo decreased by 1.61344360094517e-08"
[1] "elbo decreased by 6.56655174680054e-10"
[1] "elbo decreased by 7.27595761418343e-10"
[1] "elbo decreased by 9.08039510250092e-09"
[1] "elbo decreased by 9.31322574615479e-10"
[1] "elbo decreased by 1.12413545139134e-09"
[1] "elbo decreased by 1.14960130304098e-09"
[1] "elbo decreased by 2.81579559668899e-09"
[1] "elbo decreased by 6.72844180371612e-09"
[1] "elbo decreased by 6.42103259451687e-10"
[1] "elbo decreased by 5.34419086761773e-09"
[1] "elbo decreased by 1.00717443274334e-08"
[1] "elbo decreased by 8.06358002591878e-09"
[1] "elbo decreased by 1.58979673869908e-09"
[1] "elbo decreased by 1.02954800240695e-09"
[1] "elbo decreased by 2.92857293970883e-10"
[1] "elbo decreased by 6.24095264356583e-09"
[1] "elbo decreased by 3.09228198602796e-11"
[1] "elbo decreased by 2.57750798482448e-09"
[1] "elbo decreased by 8.87666828930378e-09"
[1] "elbo decreased by 3.76530806533992e-10"
[1] "elbo decreased by 7.34871719032526e-10"
[1] "elbo decreased by 8.01446731202304e-09"
[1] "elbo decreased by 6.15182216279209e-09"
[1] "elbo decreased by 9.877112461254e-10"
[1] "elbo decreased by 1.06210791273043e-08"
[1] "elbo decreased by 4.36557456851006e-10"
[1] "elbo decreased by 1.68074620887637e-09"
[1] "elbo decreased by 1.46428646985441e-09"
[1] "elbo decreased by 9.02218744158745e-10"
[1] "elbo decreased by 2.23371898755431e-09"
[1] "elbo decreased by 6.04632077738643e-09"
[1] "elbo decreased by 1.14778231363744e-09"
[1] "elbo decreased by 8.21273715700954e-09"
[1] "elbo decreased by 3.96539689972997e-10"
[1] "elbo decreased by 4.51109372079372e-10"
[1] "elbo decreased by 6.00994098931551e-09"
[1] "elbo decreased by 4.01996658183634e-10"
[1] "elbo decreased by 3.21961124427617e-10"
[1] "elbo decreased by 3.56521923094988e-10"
[1] "elbo decreased by 9.20408638194203e-10"
[1] "elbo decreased by 2.29010765906423e-09"
[1] "elbo decreased by 9.27684595808387e-10"
[1] "elbo decreased by 1.63709046319127e-11"
[1] "elbo decreased by 1.19580363389105e-08"
[1] "elbo decreased by 1.19689502753317e-09"
[1] "elbo decreased by 2.99405655823648e-09"
[1] "elbo decreased by 4.35102265328169e-09"
[1] "elbo decreased by 6.19002094026655e-09"
[1] "elbo decreased by 6.22094376012683e-10"
[1] "elbo decreased by 2.16459739021957e-09"
[1] "elbo decreased by 8.71295924298465e-10"
[1] "elbo decreased by 1.82262738235295e-09"
[1] "elbo decreased by 6.1008904594928e-09"
[1] "elbo decreased by 2.60115484707057e-10"
[1] "elbo decreased by 2.45563569478691e-09"
[1] "elbo decreased by 1.82626536116004e-09"
[1] "elbo decreased by 3.95812094211578e-09"
[1] "elbo decreased by 1.17688614409417e-09"
[1] "elbo decreased by 1.38243194669485e-09"
[1] "elbo decreased by 1.31876731757075e-09"
[1] "elbo decreased by 7.47240846976638e-09"
[1] "elbo decreased by 8.41464498080313e-09"
[1] "elbo decreased by 7.62156560085714e-10"
[1] "elbo decreased by 2.72848410531878e-11"
[1] "elbo decreased by 5.12955011799932e-10"
[1] "elbo decreased by 3.19414539262652e-09"
[1] "elbo decreased by 2.5465851649642e-11"
[1] "elbo decreased by 1.60071067512035e-10"
[1] "elbo decreased by 5.20776666235179e-09"
[1] "elbo decreased by 1.16669980343431e-08"
[1] "elbo decreased by 7.45967554394156e-09"
[1] "elbo decreased by 1.53340806718916e-09"
[1] "elbo decreased by 1.58979673869908e-09"
[1] "elbo decreased by 1.14596332423389e-10"
[1] "elbo decreased by 1.71730789588764e-08"
[1] "elbo decreased by 7.5488060247153e-10"
[1] "elbo decreased by 3.29055183101445e-09"
[1] "elbo decreased by 8.33097146824002e-10"
[1] "elbo decreased by 9.51877154875547e-09"
[1] "elbo decreased by 6.85759005136788e-10"
[1] "elbo decreased by 5.5297277867794e-10"
[1] "elbo decreased by 7.93079379945993e-10"
[1] "elbo decreased by 1.9117578631267e-09"
[1] "elbo decreased by 4.14729584008455e-10"
[1] "elbo decreased by 2.39379005506635e-09"
[1] "elbo decreased by 5.67524693906307e-10"
[1] "elbo decreased by 4.02360456064343e-09"
[1] "elbo decreased by 4.8748916015029e-10"
[1] "elbo decreased by 5.14774001203477e-10"
[1] "elbo decreased by 8.0763129517436e-10"
[1] "elbo decreased by 7.95989762991667e-09"
[1] "elbo decreased by 1.47247192217037e-08"
[1] "elbo decreased by 9.24046617001295e-10"
[1] "elbo decreased by 7.78891262598336e-09"
[1] "elbo decreased by 6.2755134422332e-10"
[1] "elbo decreased by 6.78483047522604e-10"
[1] "elbo decreased by 5.3114490583539e-10"
[1] "elbo decreased by 5.09135134052485e-09"
[1] "elbo decreased by 9.22227627597749e-10"
[1] "elbo decreased by 1.70930434251204e-08"
[1] "elbo decreased by 5.45696821063757e-11"
[1] "elbo decreased by 1.22672645375133e-08"
[1] "elbo decreased by 2.07000994123518e-09"
[1] "elbo decreased by 1.7134880181402e-09"
[1] "elbo decreased by 9.58425516728312e-09"
[1] "elbo decreased by 4.32919478043914e-10"
[1] "elbo decreased by 8.64019966684282e-10"
[1] "elbo decreased by 1.94268068298697e-09"
[1] "elbo decreased by 3.85261955671012e-09"
[1] "elbo decreased by 5.18411980010569e-10"
[1] "elbo decreased by 2.18278728425503e-08"
[1] "elbo decreased by 5.82076609134674e-11"
[1] "elbo decreased by 1.16051523946226e-09"
[1] "elbo decreased by 6.94853952154517e-10"
[1] "elbo decreased by 8.9130480773747e-11"
[1] "elbo decreased by 8.18545231595635e-11"
[1] "elbo decreased by 2.25918483920395e-09"
[1] "elbo decreased by 3.50337359122932e-09"
[1] "elbo decreased by 2.83762346953154e-10"
[1] "elbo decreased by 4.22915036324412e-09"
[1] "elbo decreased by 9.02218744158745e-10"
[1] "elbo decreased by 1.01863406598568e-09"
[1] "elbo decreased by 7.91260390542448e-10"
[1] "elbo decreased by 9.53150447458029e-09"
[1] "elbo decreased by 2.83762346953154e-10"
[1] "elbo decreased by 1.45519152283669e-10"
[1] "elbo decreased by 1.23309291666374e-08"
[1] "elbo decreased by 1.21672201203182e-08"
[1] "elbo decreased by 7.83984432928264e-10"
[1] "elbo decreased by 2.5465851649642e-10"
[1] "elbo decreased by 1.01008481578901e-08"
[1] "elbo decreased by 1.52795109897852e-10"
[1] "elbo decreased by 7.25776772014797e-10"
[1] "elbo decreased by 5.53700374439359e-09"
[1] "elbo decreased by 2.855813363567e-10"
[1] "elbo decreased by 1.97906047105789e-09"
[1] "elbo decreased by 4.18367562815547e-10"
[1] "elbo decreased by 7.89987097959965e-09"
[1] "elbo decreased by 9.82618075795472e-09"
[1] "elbo decreased by 8.29277269076556e-09"
[1] "elbo decreased by 9.49512468650937e-10"
[1] "elbo decreased by 6.76664058119059e-10"
[1] "elbo decreased by 1.2136297300458e-08"
[1] "elbo decreased by 7.9016899690032e-09"
[1] "elbo decreased by 1.12049747258425e-09"
[1] "elbo decreased by 3.58704710379243e-09"
[1] "elbo decreased by 1.78260961547494e-09"
[1] "elbo decreased by 3.65616870112717e-09"
[1] "elbo decreased by 1.90993887372315e-10"
[1] "elbo decreased by 6.07542460784316e-10"
[1] "elbo decreased by 5.87715476285666e-09"
[1] "elbo decreased by 4.50927473139018e-09"
[1] "elbo decreased by 5.06770447827876e-09"
[1] "elbo decreased by 2.00088834390044e-11"
[1] "elbo decreased by 7.14862835593522e-10"
[1] "elbo decreased by 1.30457920022309e-08"
[1] "elbo decreased by 7.397829904221e-09"
[1] "elbo decreased by 1.78624759428203e-09"
[1] "elbo decreased by 1.18416210170835e-09"
[1] "elbo decreased by 1.16961018647999e-09"
[1] "elbo decreased by 9.1986294137314e-09"
[1] "elbo decreased by 1.88265403266996e-09"
[1] "elbo decreased by 3.01952240988612e-10"
[1] "elbo decreased by 2.68482835963368e-09"
[1] "elbo decreased by 2.05182004719973e-09"
[1] "elbo decreased by 4.65661287307739e-09"
[1] "elbo decreased by 4.67116478830576e-09"
[1] "elbo decreased by 6.17728801444173e-09"
[1] "elbo decreased by 1.05137587524951e-09"
[1] "elbo decreased by 6.99219526723027e-09"
[1] "elbo decreased by 1.50976120494306e-09"
[1] "elbo decreased by 5.07498043589294e-10"
[1] "elbo decreased by 6.83940015733242e-10"
[1] "elbo decreased by 5.63886715099216e-11"
[1] "elbo decreased by 1.6698322724551e-09"
[1] "elbo decreased by 8.18909029476345e-09"
[1] "elbo decreased by 1.45519152283669e-09"
[1] "elbo decreased by 2.29374563787133e-09"
[1] "elbo decreased by 1.81353243533522e-09"
[1] "elbo decreased by 1.61162461154163e-09"
[1] "elbo decreased by 6.33917807135731e-09"
[1] "elbo decreased by 1.94631866179407e-10"
[1] "elbo decreased by 8.09450284577906e-10"
[1] "elbo decreased by 1.0077201295644e-09"
[1] "elbo decreased by 4.50563675258309e-09"
[1] "elbo decreased by 5.51153789274395e-10"
[1] "elbo decreased by 8.00355337560177e-10"
[1] "elbo decreased by 2.18278728425503e-11"
[1] "elbo decreased by 2.34103936236352e-09"
[1] "elbo decreased by 5.52790879737586e-09"
[1] "elbo decreased by 5.8389559853822e-10"
[1] "elbo decreased by 9.04037733562291e-10"
[1] "elbo decreased by 9.84073267318308e-10"
[1] "elbo decreased by 5.25324139744043e-09"
[1] "elbo decreased by 1.09139364212751e-11"
[1] "elbo decreased by 1.28420651890337e-09"
[1] "elbo decreased by 8.23638401925564e-09"
[1] "elbo decreased by 1.04428181657568e-08"
[1] "elbo decreased by 6.87577994540334e-10"
[1] "elbo decreased by 2.58114596363157e-09"
[1] "elbo decreased by 5.02404873259366e-09"
[1] "elbo decreased by 1.82262738235295e-09"
[1] "elbo decreased by 2.9394868761301e-09"
[1] "elbo decreased by 5.76619640924037e-10"
[1] "elbo decreased by 3.00133251585066e-10"
[1] "elbo decreased by 8.41464498080313e-09"
[1] "elbo decreased by 1.85409589903429e-08"
[1] "elbo decreased by 1.73895386978984e-09"
[1] "elbo decreased by 2.81579559668899e-09"
[1] "elbo decreased by 1.0113581083715e-09"
[1] "elbo decreased by 4.00177668780088e-09"
[1] "elbo decreased by 4.52928361482918e-10"
[1] "elbo decreased by 1.64709490491077e-08"
[1] "elbo decreased by 1.78079062607139e-09"
[1] "elbo decreased by 1.85718818102032e-09"
[1] "elbo decreased by 1.10030669020489e-08"
[1] "elbo decreased by 9.31322574615479e-10"
[1] "elbo decreased by 3.09228198602796e-10"
[1] "elbo decreased by 8.33824742585421e-09"
[1] "elbo decreased by 3.54702933691442e-10"
[1] "elbo decreased by 1.63709046319127e-10"
[1] "elbo decreased by 1.88447302207351e-09"
[1] "elbo decreased by 1.19325704872608e-09"
[1] "elbo decreased by 7.01038516126573e-09"
[1] "elbo decreased by 4.47471393272281e-10"
[1] "elbo decreased by 1.16779119707644e-09"
[1] "elbo decreased by 3.72892827726901e-10"
[1] "elbo decreased by 1.11940607894212e-08"
[1] "elbo decreased by 4.18003764934838e-09"
[1] "elbo decreased by 3.98358679376543e-10"
[1] "elbo decreased by 5.71162672713399e-10"
[1] "elbo decreased by 8.67294147610664e-09"
[1] "elbo decreased by 8.21455614641309e-09"
[1] "elbo decreased by 3.49245965480804e-10"
[1] "elbo decreased by 4.67844074591994e-09"
[1] "elbo decreased by 6.11180439591408e-10"
[1] "elbo decreased by 1.63890945259482e-09"
[1] "elbo decreased by 2.43744580075145e-10"
[1] "elbo decreased by 1.56978785526007e-09"
[1] "elbo decreased by 6.35554897598922e-09"
[1] "elbo decreased by 7.02129909768701e-10"
[1] "elbo decreased by 1.17870513349771e-09"
[1] "elbo decreased by 1.22236087918282e-09"
[1] "elbo decreased by 2.459273673594e-09"
[1] "elbo decreased by 2.39379005506635e-09"
[1] "elbo decreased by 8.24729795567691e-09"
[1] "elbo decreased by 9.02218744158745e-10"
[1] "elbo decreased by 2.53749021794647e-09"
[1] "elbo decreased by 3.89627530239522e-09"
[1] "elbo decreased by 6.67751010041684e-09"
[1] "elbo decreased by 1.39662006404251e-08"
[1] "elbo decreased by 9.93168214336038e-10"
[1] "elbo decreased by 1.24055077321827e-09"
[1] "elbo decreased by 5.36965671926737e-09"
[1] "elbo decreased by 2.46473064180464e-09"
[1] "elbo decreased by 5.12955011799932e-10"
[1] "elbo decreased by 1.21872290037572e-10"
[1] "elbo decreased by 4.58385329693556e-10"
[1] "elbo decreased by 8.69658833835274e-09"
[1] "elbo decreased by 1.23873178381473e-08"
[1] "elbo decreased by 1.99106580112129e-08"
[1] "elbo decreased by 6.42103259451687e-10"
[1] "elbo decreased by 7.21411197446287e-09"
[1] "elbo decreased by 2.51020537689328e-10"
[1] "elbo decreased by 3.20687831845134e-09"
[1] "elbo decreased by 1.83936208486557e-08"
[1] "elbo decreased by 1.47338141687214e-09"
[1] "elbo decreased by 1.80625647772104e-09"
[1] "elbo decreased by 3.5106495488435e-10"
[1] "elbo decreased by 4.46379999630153e-09"
[1] "elbo decreased by 3.40514816343784e-09"
[1] "elbo decreased by 7.73070496506989e-10"
[1] "elbo decreased by 1.78260961547494e-09"
[1] "elbo decreased by 1.51703716255724e-09"
[1] "elbo decreased by 7.71979102864861e-09"
[1] "elbo decreased by 1.65291567100212e-08"
[1] "elbo decreased by 1.54250301420689e-09"
[1] "elbo decreased by 2.2409949451685e-09"
[1] "elbo decreased by 8.62200977280736e-10"
[1] "elbo decreased by 2.56477505899966e-09"
[1] "elbo decreased by 2.40106601268053e-10"
[1] "elbo decreased by 5.12045517098159e-09"
[1] "elbo decreased by 1.16051523946226e-09"
[1] "elbo decreased by 9.93713911157101e-09"
[1] "elbo decreased by 4.54747350886464e-10"
[1] "elbo decreased by 1.03482307167724e-08"
[1] "elbo decreased by 3.27418092638254e-11"
[1] "elbo decreased by 5.80257619731128e-10"
[1] "elbo decreased by 8.14907252788544e-10"
[1] "elbo decreased by 5.56974555365741e-09"
[1] "elbo decreased by 3.55066731572151e-09"
[1] "elbo decreased by 9.40417521633208e-10"
[1] "elbo decreased by 1.80625647772104e-09"
[1] "elbo decreased by 5.2677933126688e-09"
[1] "elbo decreased by 8.17999534774572e-09"
[1] "elbo decreased by 1.78260961547494e-10"
[1] "elbo decreased by 2.25554686039686e-10"
[1] "elbo decreased by 1.50430423673242e-08"
[1] "elbo decreased by 4.43105818703771e-09"
[1] "elbo decreased by 2.45017872657627e-08"
[1] "elbo decreased by 2.1063897293061e-09"
[1] "elbo decreased by 1.98997440747917e-09"
[1] "elbo decreased by 3.00133251585066e-10"
[1] "elbo decreased by 2.12094164453447e-09"
[1] "elbo decreased by 1.49320840137079e-08"
[1] "elbo decreased by 4.0381564758718e-10"
[1] "elbo decreased by 3.36513039655983e-10"
[1] "elbo decreased by 3.94902599509805e-09"
[1] "elbo decreased by 1.81898940354586e-12"
[1] "elbo decreased by 1.77169567905366e-09"
[1] "elbo decreased by 8.73114913702011e-10"
[1] "elbo decreased by 1.69166014529765e-10"
[1] "elbo decreased by 1.00608303910121e-08"
[1] "elbo decreased by 3.09228198602796e-11"
[1] "elbo decreased by 8.73114913702011e-11"
[1] "elbo decreased by 9.87347448244691e-09"
[1] "elbo decreased by 2.11002770811319e-10"
[1] "elbo decreased by 4.18367562815547e-10"
[1] "elbo decreased by 6.82484824210405e-09"
[1] "elbo decreased by 9.1313268058002e-10"
[1] "elbo decreased by 3.81623976863921e-09"
[1] "elbo decreased by 9.36233846005052e-09"
[1] "elbo decreased by 3.45607986673713e-10"
[1] "elbo decreased by 8.09450284577906e-10"
[1] "elbo decreased by 1.47701939567924e-09"
[1] "elbo decreased by 2.44108377955854e-09"
[1] "elbo decreased by 6.77391653880477e-09"
[1] "elbo decreased by 1.13504938781261e-09"
[1] "elbo decreased by 4.29463398177177e-09"
[1] "elbo decreased by 2.23917595576495e-09"
[1] "elbo decreased by 3.63797880709171e-12"
[1] "elbo decreased by 3.86171450372785e-09"
[1] "elbo decreased by 4.48198989033699e-09"
[1] "elbo decreased by 6.11180439591408e-10"
[1] "elbo decreased by 7.31779437046498e-09"
[1] "elbo decreased by 4.2564352042973e-10"
[1] "elbo decreased by 1.15869625005871e-09"
[1] "elbo decreased by 1.12522684503347e-08"
[1] "elbo decreased by 4.67844074591994e-09"
[1] "elbo decreased by 1.04191713035107e-08"
[1] "elbo decreased by 3.93629306927323e-09"
[1] "elbo decreased by 5.02041075378656e-10"
[1] "elbo decreased by 2.14640749618411e-09"
[1] "elbo decreased by 6.58837961964309e-09"
[1] "elbo decreased by 9.40417521633208e-10"
[1] "elbo decreased by 2.9867806006223e-09"
[1] "elbo decreased by 2.78305378742516e-10"
[1] "elbo decreased by 1.3606040738523e-09"
[1] "elbo decreased by 1.0550138540566e-10"
[1] "elbo decreased by 7.71251507103443e-10"
[1] "elbo decreased by 3.95266397390515e-09"
[1] "elbo decreased by 1.90993887372315e-10"
[1] "elbo decreased by 7.45785655453801e-10"
[1] "elbo decreased by 1.03500497061759e-09"
[1] "elbo decreased by 4.30918589700013e-09"
[1] "elbo decreased by 2.855813363567e-09"
[1] "elbo decreased by 1.36424205265939e-10"
[1] "elbo decreased by 6.80483935866505e-09"
[1] "elbo decreased by 5.43877831660211e-10"
[1] "elbo decreased by 3.76530806533992e-10"
[1] "elbo decreased by 1.38243194669485e-10"
[1] "elbo decreased by 1.91903382074088e-09"
[1] "elbo decreased by 1.13504938781261e-09"
[1] "elbo decreased by 1.19307514978573e-08"
[1] "elbo decreased by 5.22049958817661e-10"
[1] "elbo decreased by 2.7648638933897e-10"
[1] "elbo decreased by 7.47604644857347e-10"
[1] "elbo decreased by 4.92946128360927e-10"
[1] "elbo decreased by 2.67391442321241e-10"
[1] "elbo decreased by 4.59112925454974e-09"
[1] "elbo decreased by 5.76619640924037e-10"
[1] "elbo decreased by 6.00266503170133e-10"
[1] "elbo decreased by 1.04409991763532e-09"
[1] "elbo decreased by 5.10772224515676e-09"
[1] "elbo decreased by 1.75350578501821e-09"
[1] "elbo decreased by 2.27373675443232e-10"
[1] "elbo decreased by 8.67657945491374e-09"
[1] "elbo decreased by 6.99583324603736e-09"
[1] "elbo decreased by 1.38988980324939e-08"
[1] "elbo decreased by 4.05634636990726e-10"
[1] "elbo decreased by 1.36424205265939e-09"
[1] "elbo decreased by 7.20319803804159e-10"
[1] "elbo decreased by 1.63709046319127e-11"
[1] "elbo decreased by 1.35696609504521e-09"
[1] "elbo decreased by 1.92449078895152e-09"
[1] "elbo decreased by 3.97994881495833e-09"
[1] "elbo decreased by 9.9207682069391e-09"
[1] "elbo decreased by 1.23436620924622e-08"
[1] "elbo decreased by 1.51339918375015e-09"
[1] "elbo decreased by 2.15550244320184e-09"
[1] "elbo decreased by 1.03500497061759e-09"
[1] "elbo decreased by 6.62112142890692e-10"
[1] "elbo decreased by 1.37551978696138e-08"
[1] "elbo decreased by 3.45607986673713e-10"
[1] "elbo decreased by 1.51485437527299e-08"
[1] "elbo decreased by 1.75896275322884e-08"
[1] "elbo decreased by 1.01499608717859e-09"
[1] "elbo decreased by 5.73163561057299e-09"
[1] "elbo decreased by 8.00355337560177e-10"
[1] "elbo decreased by 8.68749339133501e-09"
[1] "elbo decreased by 2.61570676229894e-09"
[1] "elbo decreased by 5.42058842256665e-10"
[1] "elbo decreased by 6.8503140937537e-09"
[1] "elbo decreased by 6.54836185276508e-11"
[1] "elbo decreased by 1.43700162880123e-10"
[1] "elbo decreased by 9.45874489843845e-09"
[1] "elbo decreased by 1.6698322724551e-08"
[1] "elbo decreased by 1.01499608717859e-09"
[1] "elbo decreased by 1.2732925824821e-11"
[1] "elbo decreased by 1.81898940354586e-10"
[1] "elbo decreased by 1.54614099301398e-10"
[1] "elbo decreased by 2.41925590671599e-10"
[1] "elbo decreased by 2.20152287511155e-08"
[1] "elbo decreased by 1.22599885798991e-08"
[1] "elbo decreased by 6.94853952154517e-10"
[1] "elbo decreased by 1.13504938781261e-09"
[1] "elbo decreased by 4.40195435658097e-10"
[1] "elbo decreased by 6.00266503170133e-10"
[1] "elbo decreased by 1.00444594863802e-08"
[1] "elbo decreased by 5.63886715099216e-11"
[1] "elbo decreased by 6.0572347138077e-10"
[1] "elbo decreased by 1.41517375595868e-09"
[1] "elbo decreased by 2.2373569663614e-10"
[1] "elbo decreased by 6.63931132294238e-10"
[1] "elbo decreased by 5.83349901717156e-09"
[1] "elbo decreased by 5.72254066355526e-09"
[1] "elbo decreased by 7.73434294387698e-09"
[1] "elbo decreased by 1.08047970570624e-09"
[1] "elbo decreased by 9.30413079913706e-09"
[1] "elbo decreased by 1.0550138540566e-08"
[1] "elbo decreased by 1.6225385479629e-09"
[1] "elbo decreased by 1.666194293648e-09"
[1] "elbo decreased by 1.15069269668311e-08"
[1] "elbo decreased by 8.67657945491374e-10"
[1] "elbo decreased by 3.25599103234708e-10"
[1] "elbo decreased by 1.21890479931608e-08"
[1] "elbo decreased by 1.36606104206294e-09"
[1] "elbo decreased by 1.81898940354586e-11"
[1] "elbo decreased by 9.4842107500881e-09"
[1] "elbo decreased by 8.6947693489492e-10"
[1] "elbo decreased by 3.91446519643068e-09"
[1] "elbo decreased by 8.22365109343082e-09"
[1] "elbo decreased by 3.31056071445346e-10"
[1] "elbo decreased by 1.77878973772749e-08"
[1] "elbo decreased by 4.8748916015029e-10"
[1] "elbo decreased by 3.34512151312083e-09"
[1] "elbo decreased by 4.47107595391572e-09"
[1] "elbo decreased by 9.09494701772928e-11"
[1] "elbo decreased by 8.67657945491374e-10"
[1] "elbo decreased by 4.03088051825762e-09"
[1] "elbo decreased by 7.45785655453801e-11"
[1] "elbo decreased by 7.76162778493017e-09"
[1] "elbo decreased by 1.67347025126219e-10"
[1] "elbo decreased by 1.12413545139134e-09"
[1] "elbo decreased by 2.29192664846778e-10"
[1] "elbo decreased by 6.31189323030412e-10"
[1] "elbo decreased by 2.18096829485148e-09"
[1] "elbo decreased by 3.71073838323355e-10"
[1] "elbo decreased by 8.00355337560177e-11"
[1] "elbo decreased by 2.74667399935424e-10"
[1] "elbo decreased by 1.77824404090643e-08"
[1] "elbo decreased by 2.56477505899966e-10"
[1] "elbo decreased by 4.78758011013269e-09"
[1] "elbo decreased by 1.09139364212751e-10"
[1] "elbo decreased by 1.69893610291183e-09"
[1] "elbo decreased by 2.91038304567337e-09"
[1] "elbo decreased by 4.27826307713985e-09"
[1] "elbo decreased by 6.3664629124105e-10"
[1] "elbo decreased by 1.05683284346014e-09"
[1] "elbo decreased by 1.64873199537396e-08"
[1] "elbo decreased by 2.34649633057415e-10"
[1] "elbo decreased by 1.30603439174592e-09"
[1] "elbo decreased by 8.6947693489492e-10"
[1] "elbo decreased by 6.93034962750971e-10"
[1] "elbo decreased by 8.07449396234006e-09"
[1] "elbo decreased by 2.16459739021957e-10"
[1] "elbo decreased by 8.67476046551019e-09"
[1] "elbo decreased by 2.57568899542093e-09"
[1] "elbo decreased by 6.42285158392042e-09"
[1] "elbo decreased by 8.96761775948107e-10"
[1] "elbo decreased by 1.21508492156863e-09"
[1] "elbo decreased by 9.10586095415056e-09"
[1] "elbo decreased by 5.99720806349069e-09"
[1] "elbo decreased by 1.54432200361043e-09"
[1] "elbo decreased by 2.07546690944582e-09"
[1] "elbo decreased by 4.16548573412001e-10"
[1] "elbo decreased by 2.22098606172949e-09"
[1] "elbo decreased by 1.70803104992956e-09"
[1] "elbo decreased by 1.67528924066573e-09"
[1] "elbo decreased by 3.97631083615124e-09"
[1] "elbo decreased by 2.99951352644712e-09"
[1] "elbo decreased by 7.36690708436072e-10"
[1] "elbo decreased by 7.14862835593522e-10"
[1] "elbo decreased by 5.12955011799932e-10"
[1] "elbo decreased by 7.68886820878834e-09"
[1] "elbo decreased by 9.62245394475758e-10"
[1] "elbo decreased by 6.41739461570978e-09"
[1] "elbo decreased by 1.64436642080545e-09"
[1] "elbo decreased by 1.34605215862393e-09"
[1] "elbo decreased by 4.08363121096045e-09"
[1] "elbo decreased by 1.83717929758132e-10"
[1] "elbo decreased by 5.6643330026418e-09"
[1] "elbo decreased by 7.41056283004582e-09"
[1] "elbo decreased by 3.0740920919925e-10"
[1] "elbo decreased by 6.45013642497361e-09"
[1] "elbo decreased by 8.76752892509103e-10"
[1] "elbo decreased by 2.67391442321241e-10"
[1] "elbo decreased by 2.92857293970883e-09"
[1] "elbo decreased by 1.65528035722673e-10"
[1] "elbo decreased by 5.85714587941766e-10"
[1] "elbo decreased by 1.64982338901609e-09"
[1] "elbo decreased by 1.80625647772104e-09"
[1] "elbo decreased by 1.3169483281672e-09"
[1] "elbo decreased by 3.96903487853706e-09"
[1] "elbo decreased by 7.95625965110958e-09"
[1] "elbo decreased by 6.33008312433958e-10"
[1] "elbo decreased by 3.87444742955267e-10"
[1] "elbo decreased by 2.61934474110603e-10"
[1] "elbo decreased by 1.10758264781907e-08"
[1] "elbo decreased by 4.52928361482918e-10"
[1] "elbo decreased by 1.05683284346014e-09"
[1] "elbo decreased by 1.94995664060116e-09"
[1] "elbo decreased by 6.148184183985e-10"
[1] "elbo decreased by 1.40971678774804e-09"
[1] "elbo decreased by 1.30967237055302e-09"
[1] "elbo decreased by 4.42014425061643e-10"
[1] "elbo decreased by 6.34827301837504e-10"
[1] "elbo decreased by 2.95767677016556e-09"
[1] "elbo decreased by 3.1177478376776e-09"
[1] "elbo decreased by 1.06047082226723e-09"
[1] "elbo decreased by 1.00462784757838e-08"
[1] "elbo decreased by 7.89077603258193e-09"
[1] "elbo decreased by 1.00044417195022e-10"
[1] "elbo decreased by 5.56974555365741e-09"
[1] "elbo decreased by 1.70985003933311e-10"
[1] "elbo decreased by 8.9130480773747e-11"
[1] "elbo decreased by 1.07684172689915e-09"
[1] "elbo decreased by 1.24400685308501e-08"
[1] "elbo decreased by 3.34330252371728e-09"
[1] "elbo decreased by 1.74259184859693e-09"
[1] "elbo decreased by 1.11322151497006e-09"
[1] "elbo decreased by 4.0381564758718e-09"
[1] "elbo decreased by 8.22183210402727e-10"
[1] "elbo decreased by 3.45607986673713e-11"
[1] "elbo decreased by 1.54723238665611e-08"
[1] "elbo decreased by 7.18500814400613e-10"
[1] "elbo decreased by 1.98997440747917e-09"
[1] "elbo decreased by 1.54177541844547e-08"
[1] "elbo decreased by 1.07756932266057e-08"
[1] "elbo decreased by 6.16637407802045e-10"
[1] "elbo decreased by 7.78527464717627e-10"
[1] "elbo decreased by 5.83349901717156e-09"
[1] "elbo decreased by 2.37014319282025e-09"
[1] "elbo decreased by 1.20053300634027e-10"
[1] "elbo decreased by 2.16550688492134e-08"
[1] "elbo decreased by 1.86264514923096e-09"
[1] "elbo decreased by 1.19871401693672e-09"
[1] "elbo decreased by 7.34689820092171e-09"
[1] "elbo decreased by 4.2600731831044e-09"
[1] "elbo decreased by 3.25417204294354e-09"
[1] "elbo decreased by 1.13141140900552e-09"
[1] "elbo decreased by 3.92901711165905e-09"
[1] "elbo decreased by 2.05545802600682e-10"
[1] "elbo decreased by 1.11122062662616e-08"
[1] "elbo decreased by 3.44152795150876e-09"
[1] "elbo decreased by 1.03682396002114e-10"
[1] "elbo decreased by 9.82254277914762e-11"
[1] "elbo decreased by 1.04773789644241e-09"
[1] "elbo decreased by 1.06410880107433e-09"
[1] "elbo decreased by 5.40057953912765e-09"
[1] "elbo decreased by 7.87622411735356e-10"
[1] "elbo decreased by 5.4897100199014e-09"
[1] "elbo decreased by 5.72981662116945e-09"
[1] "elbo decreased by 1.12777343019843e-10"
[1] "elbo decreased by 3.97631083615124e-09"
[1] "elbo decreased by 3.15594661515206e-09"
[1] "elbo decreased by 1.16160663310438e-08"
[1] "elbo decreased by 4.89671947434545e-09"
[1] "elbo decreased by 1.02227204479277e-09"
[1] "elbo decreased by 1.12413545139134e-09"
[1] "elbo decreased by 1.74786691786721e-08"
[1] "elbo decreased by 7.31597538106143e-09"
[1] "elbo decreased by 1.24036887427792e-08"
[1] "elbo decreased by 1.11431290861219e-08"
[1] "elbo decreased by 1.00317265605554e-08"
[1] "elbo decreased by 6.29370333626866e-10"
[1] "elbo decreased by 4.3473846744746e-09"
[1] "elbo decreased by 7.36326910555363e-09"
[1] "elbo decreased by 6.54836185276508e-10"
[1] "elbo decreased by 1.80443748831749e-09"
[1] "elbo decreased by 5.45696821063757e-10"
[1] "elbo decreased by 1.34532456286252e-08"
[1] "elbo decreased by 7.31233740225434e-10"
[1] "elbo decreased by 4.29463398177177e-09"
[1] "elbo decreased by 2.18278728425503e-11"
[1] "elbo decreased by 7.57790985517204e-09"
[1] "elbo decreased by 6.51198206469417e-10"
[1] "elbo decreased by 1.86082615982741e-08"
[1] "elbo decreased by 9.09494701772928e-11"
[1] "elbo decreased by 1.41881173476577e-10"
[1] "elbo decreased by 3.97812982555479e-09"
[1] "elbo decreased by 7.78527464717627e-10"
[1] "elbo decreased by 4.6966306399554e-09"
[1] "elbo decreased by 1.03500497061759e-09"
[1] "elbo decreased by 8.58562998473644e-10"
[1] "elbo decreased by 8.89485818333924e-10"
[1] "elbo decreased by 9.45692590903491e-09"
[1] "elbo decreased by 1.97906047105789e-09"
[1] "elbo decreased by 3.97631083615124e-09"
[1] "elbo decreased by 3.48154571838677e-09"
[1] "elbo decreased by 3.03771230392158e-09"
[1] "elbo decreased by 1.28784449771047e-09"
[1] "elbo decreased by 1.22290657600388e-08"
[1] "elbo decreased by 9.23319021239877e-09"
[1] "elbo decreased by 1.13686837721616e-09"
[1] "elbo decreased by 2.29192664846778e-09"
[1] "elbo decreased by 1.02591002359986e-09"
[1] "elbo decreased by 5.00403984915465e-09"
[1] "elbo decreased by 1.58615875989199e-09"
[1] "elbo decreased by 1.26601662486792e-09"
[1] "elbo decreased by 3.49245965480804e-09"
[1] "elbo decreased by 6.82121026329696e-10"
[1] "elbo decreased by 3.27418092638254e-09"
[1] "elbo decreased by 2.94676283374429e-10"
[1] "elbo decreased by 7.91078491602093e-09"
[1] "elbo decreased by 3.12866177409887e-10"
[1] "elbo decreased by 8.83846951182932e-09"
[1] "elbo decreased by 4.30190993938595e-09"
[1] "elbo decreased by 1.19689502753317e-09"
[1] "elbo decreased by 2.00088834390044e-11"
[1] "elbo decreased by 7.001290214248e-09"
[1] "elbo decreased by 7.78527464717627e-10"
[1] "elbo decreased by 8.78935679793358e-09"
[1] "elbo decreased by 4.82941686641425e-09"
[1] "elbo decreased by 7.3305272962898e-10"
[1] "elbo decreased by 1.22581695904955e-08"
[1] "elbo decreased by 8.45830072648823e-10"
[1] "elbo decreased by 4.20186552219093e-10"
[1] "elbo decreased by 4.22005541622639e-10"
[1] "elbo decreased by 1.1623342288658e-09"
[1] "elbo decreased by 1.07029336504638e-08"
[1] "elbo decreased by 1.02954800240695e-09"
[1] "elbo decreased by 1.70985003933311e-10"
[1] "elbo decreased by 2.7648638933897e-10"
[1] "elbo decreased by 2.00998329091817e-09"
[1] "elbo decreased by 8.8693923316896e-09"
[1] "elbo decreased by 8.61473381519318e-09"
[1] "elbo decreased by 1.74622982740402e-10"
[1] "elbo decreased by 9.27684595808387e-11"
[1] "elbo decreased by 9.1313268058002e-10"
[1] "elbo decreased by 1.77533365786076e-09"
[1] "elbo decreased by 2.37014319282025e-09"
[1] "elbo decreased by 6.49379217065871e-10"
[1] "elbo decreased by 5.60248736292124e-10"
[1] "elbo decreased by 1.63527147378772e-09"
[1] "elbo decreased by 3.56521923094988e-10"
[1] "elbo decreased by 9.91894921753556e-09"
[1] "elbo decreased by 1.02954800240695e-09"
[1] "elbo decreased by 1.32949935505167e-08"
[1] "elbo decreased by 8.44011083245277e-10"
[1] "elbo decreased by 1.80443748831749e-09"
[1] "elbo decreased by 4.1691237129271e-09"
[1] "elbo decreased by 1.00044417195022e-09"
[1] "elbo decreased by 9.20408638194203e-10"
[1] "elbo decreased by 1.78260961547494e-10"
[1] "elbo decreased by 7.57790985517204e-09"
[1] "elbo decreased by 1.0550138540566e-10"
[1] "elbo decreased by 6.78483047522604e-10"
[1] "elbo decreased by 3.94356902688742e-09"
[1] "elbo decreased by 6.40284270048141e-10"
[1] "elbo decreased by 8.25821189209819e-10"
[1] "elbo decreased by 2.94676283374429e-10"
[1] "elbo decreased by 5.20230969414115e-10"
[1] "elbo decreased by 2.2373569663614e-10"
[1] "elbo decreased by 1.76842149812728e-08"
[1] "elbo decreased by 4.14001988247037e-09"
[1] "elbo decreased by 7.95625965110958e-09"
[1] "elbo decreased by 3.09228198602796e-11"
[1] "elbo decreased by 5.20230969414115e-09"
[1] "elbo decreased by 1.45519152283669e-11"
[1] "elbo decreased by 1.56796886585653e-09"
[1] "elbo decreased by 1.05774233816192e-08"
[1] "elbo decreased by 9.54969436861575e-10"
[1] "elbo decreased by 1.17870513349771e-09"
[1] "elbo decreased by 1.08775566332042e-09"
[1] "elbo decreased by 7.02857505530119e-09"
[1] "elbo decreased by 1.1186784831807e-09"
[1] "elbo decreased by 8.18545231595635e-10"
[1] "elbo decreased by 2.02635419555008e-09"
[1] "elbo decreased by 4.16730472352356e-09"
[1] "elbo decreased by 2.02271621674299e-09"
[1] "elbo decreased by 9.76797309704125e-10"
[1] "elbo decreased by 3.45062289852649e-09"
[1] "elbo decreased by 2.895831130445e-09"
[1] "elbo decreased by 1.53340806718916e-09"
[1] "elbo decreased by 6.54836185276508e-11"
[1] "elbo decreased by 1.26965460367501e-09"
[1] "elbo decreased by 1.02591002359986e-09"
[1] "elbo decreased by 1.40062184073031e-09"
[1] "elbo decreased by 5.2241375669837e-09"
[1] "elbo decreased by 8.64019966684282e-10"
[1] "elbo decreased by 1.24236976262182e-09"
[1] "elbo decreased by 1.37315510073677e-08"
[1] "elbo decreased by 5.0931703299284e-09"
[1] "elbo decreased by 7.65794538892806e-10"
[1] "elbo decreased by 3.52883944287896e-10"
[1] "elbo decreased by 5.57520252186805e-09"
[1] "elbo decreased by 5.92990545555949e-10"
[1] "elbo decreased by 9.98443283606321e-09"
[1] "elbo decreased by 4.20186552219093e-10"
[1] "elbo decreased by 7.43966666050255e-10"
[1] "elbo decreased by 7.9016899690032e-09"
[1] "elbo decreased by 1.24782673083246e-09"
[1] "elbo decreased by 1.36424205265939e-10"
[1] "elbo decreased by 1.09685061033815e-09"
[1] "elbo decreased by 9.80799086391926e-09"
[1] "elbo decreased by 3.74711817130446e-10"
[1] "elbo decreased by 1.76805770024657e-09"
[1] "elbo decreased by 3.1177478376776e-09"
[1] "elbo decreased by 5.92990545555949e-10"
[1] "elbo decreased by 1.35696609504521e-09"
[1] "elbo decreased by 4.60204319097102e-10"
[1] "elbo decreased by 1.54795998241752e-09"
[1] "elbo decreased by 5.38420863449574e-10"
[1] "elbo decreased by 1.36788003146648e-09"
[1] "elbo decreased by 7.65612639952451e-09"
[1] "elbo decreased by 1.04409991763532e-09"
[1] "elbo decreased by 2.24463292397559e-09"
[1] "elbo decreased by 2.92857293970883e-10"
[1] "elbo decreased by 2.08092387765646e-09"
[1] "elbo decreased by 1.73713488038629e-09"
[1] "elbo decreased by 1.13868736661971e-09"
[1] "elbo decreased by 8.58562998473644e-10"
[1] "elbo decreased by 2.64481059275568e-09"
[1] "elbo decreased by 9.69521352089942e-10"
[1] "elbo decreased by 7.794369594194e-09"
[1] "elbo decreased by 1.67474354384467e-08"
[1] "elbo decreased by 1.10958353616297e-09"
[1] "elbo decreased by 1.21326593216509e-09"
[1] "elbo decreased by 4.09272615797818e-10"
[1] "elbo decreased by 9.33141564019024e-10"
[1] "elbo decreased by 6.0135789681226e-09"
[1] "elbo decreased by 1.11340341391042e-08"
[1] "elbo decreased by 1.43882061820477e-09"
[1] "elbo decreased by 1.17506715469062e-09"
[1] "elbo decreased by 3.71073838323355e-09"
[1] "elbo decreased by 1.83717929758132e-10"
[1] "elbo decreased by 1.19689502753317e-09"
[1] "elbo decreased by 1.4279066817835e-09"
[1] "elbo decreased by 6.11180439591408e-10"
[1] "elbo decreased by 8.9130480773747e-10"
[1] "elbo decreased by 7.6397554948926e-11"
[1] "elbo decreased by 1.13323039840907e-09"
[1] "elbo decreased by 5.5770215112716e-09"
[1] "elbo decreased by 2.27373675443232e-10"
[1] "elbo decreased by 1.33877620100975e-09"
[1] "elbo decreased by 8.36371327750385e-09"
[1] "elbo decreased by 7.95625965110958e-09"
[1] "elbo decreased by 1.01117620943114e-08"
[1] "elbo decreased by 7.96353560872376e-09"
[1] "elbo decreased by 1.45155354402959e-09"
[1] "elbo decreased by 8.22183210402727e-10"
[1] "elbo decreased by 3.52883944287896e-09"
[1] "elbo decreased by 6.78483047522604e-10"
[1] "elbo decreased by 1.21872290037572e-09"
[1] "elbo decreased by 2.41925590671599e-09"
[1] "elbo decreased by 1.13868736661971e-09"
[1] "elbo decreased by 4.09454514738172e-09"
[1] "elbo decreased by 1.33331923279911e-09"
[1] "elbo decreased by 6.03176886215806e-09"
[1] "elbo decreased by 9.71340341493487e-10"
[1] "elbo decreased by 1.13759597297758e-08"
[1] "elbo decreased by 1.01317709777504e-09"
[1] "elbo decreased by 5.98447513766587e-10"
[1] "elbo decreased by 3.92901711165905e-10"
[1] "elbo decreased by 6.8903318606317e-09"
[1] "elbo decreased by 8.36735125631094e-10"
[1] "elbo decreased by 9.62245394475758e-10"
[1] "elbo decreased by 9.85528458841145e-09"
[1] "elbo decreased by 7.18500814400613e-10"
[1] "elbo decreased by 7.58518581278622e-10"
[1] "elbo decreased by 7.01220415066928e-09"
[1] "elbo decreased by 1.00480974651873e-08"
[1] "elbo decreased by 4.72937244921923e-10"
[1] "elbo decreased by 3.17231751978397e-09"
[1] "elbo decreased by 3.76530806533992e-09"
[1] "elbo decreased by 1.5392288332805e-08"
[1] "elbo decreased by 4.66388883069158e-09"
[1] "elbo decreased by 4.43833414465189e-10"
[1] "elbo decreased by 4.63842297904193e-10"
[1] "elbo decreased by 6.168193067424e-09"
[1] "elbo decreased by 8.9130480773747e-11"
[1] "elbo decreased by 1.11504050437361e-09"
[1] "elbo decreased by 5.32054400537163e-09"
[1] "elbo decreased by 5.56610757485032e-10"
[1] "elbo decreased by 1.06047082226723e-09"
[1] "elbo decreased by 2.30647856369615e-09"
[1] "elbo decreased by 2.36468622460961e-10"
[1] "elbo decreased by 1.26601662486792e-09"
[1] "elbo decreased by 7.45785655453801e-10"
[1] "elbo decreased by 1.38243194669485e-08"
[1] "elbo decreased by 2.81943357549608e-10"
[1] "elbo decreased by 5.51881385035813e-09"
[1] "elbo decreased by 1.18052412290126e-09"
[1] "elbo decreased by 3.67799657396972e-09"
[1] "elbo decreased by 9.24046617001295e-10"
[1] "elbo decreased by 7.42875272408128e-09"
[1] "elbo decreased by 1.13650457933545e-08"
[1] "elbo decreased by 7.89987097959965e-09"
[1] "elbo decreased by 1.58433977048844e-09"
[1] "elbo decreased by 1.30239641293883e-09"
[1] "elbo decreased by 2.33012542594224e-09"
[1] "elbo decreased by 5.27506927028298e-11"
[1] "elbo decreased by 8.31278157420456e-10"
[1] "elbo decreased by 2.08092387765646e-09"
[1] "elbo decreased by 1.59161572810262e-09"
[1] "elbo decreased by 7.43966666050255e-10"
[1] "elbo decreased by 1.02918420452625e-08"
[1] "elbo decreased by 1.06774677988142e-09"
[1] "elbo decreased by 6.22458173893392e-09"
[1] "elbo decreased by 1.24528014566749e-08"
[1] "elbo decreased by 1.32040440803394e-08"
[1] "elbo decreased by 5.5297277867794e-10"
[1] "elbo decreased by 3.12866177409887e-10"
[1] "elbo decreased by 3.54339135810733e-09"
[1] "elbo decreased by 8.99854057934135e-09"
[1] "elbo decreased by 3.85625753551722e-10"
[1] "elbo decreased by 1.32058630697429e-09"
[1] "elbo decreased by 2.12457962334156e-09"
[1] "elbo decreased by 1.66728568729013e-08"
[1] "elbo decreased by 1.20053300634027e-09"
[1] "elbo decreased by 4.92946128360927e-10"
[1] "elbo decreased by 7.47604644857347e-10"
[1] "elbo decreased by 3.22688720189035e-09"
[1] "elbo decreased by 6.25732354819775e-09"
[1] "elbo decreased by 1.15505827125162e-09"
[1] "elbo decreased by 6.47560227662325e-10"
[1] "elbo decreased by 5.05679054185748e-10"
[1] "elbo decreased by 8.98762664292008e-09"
[1] "elbo decreased by 1.34423316922039e-09"
[1] "elbo decreased by 4.85488271806389e-09"
[1] "elbo decreased by 7.04676494933665e-09"
[1] "elbo decreased by 1.20289769256487e-08"
[1] "elbo decreased by 7.43966666050255e-10"
[1] "elbo decreased by 9.12586983758956e-09"
[1] "elbo decreased by 7.53061613067985e-10"
[1] "elbo decreased by 5.33145794179291e-09"
[1] "elbo decreased by 1.54250301420689e-09"
[1] "elbo decreased by 5.96628524363041e-10"
[1] "elbo decreased by 1.16415321826935e-09"
[1] "elbo decreased by 1.2156306183897e-08"
[1] "elbo decreased by 2.71575117949396e-09"
[1] "elbo decreased by 7.001290214248e-09"
[1] "elbo decreased by 1.88083504326642e-09"
[1] "elbo decreased by 2.21007212530822e-09"
[1] "elbo decreased by 5.54791768081486e-10"
[1] "elbo decreased by 1.62308424478397e-08"
[1] "elbo decreased by 3.63797880709171e-12"
[1] "elbo decreased by 9.24046617001295e-10"
[1] "elbo decreased by 5.51153789274395e-10"
[1] "elbo decreased by 4.26916813012213e-09"
[1] "elbo decreased by 6.29006535746157e-09"
[1] "elbo decreased by 2.32648744713515e-09"
[1] "elbo decreased by 1.63581717060879e-08"
[1] "elbo decreased by 9.24046617001295e-10"
[1] "elbo decreased by 3.65253072232008e-09"
[1] "elbo decreased by 3.76712705474347e-09"
[1] "elbo decreased by 5.3114490583539e-10"
[1] "elbo decreased by 7.19410309102386e-09"
[1] "elbo decreased by 1.76987668965012e-09"
[1] "elbo decreased by 9.91349224932492e-10"
[1] "elbo decreased by 8.73114913702011e-11"
[1] "elbo decreased by 1.08484528027475e-08"
[1] "elbo decreased by 1.41881173476577e-10"
[1] "elbo decreased by 2.38833308685571e-09"
[1] "elbo decreased by 7.27595761418343e-12"
[1] "elbo decreased by 4.29463398177177e-09"
[1] "elbo decreased by 2.11002770811319e-10"
[1] "elbo decreased by 7.27595761418343e-11"
[1] "elbo decreased by 1.73531589098275e-09"
[1] "elbo decreased by 2.42653186433017e-09"
[1] "elbo decreased by 9.82254277914762e-11"
[1] "elbo decreased by 1.15451257443056e-08"
[1] "elbo decreased by 9.51149559114128e-09"
[1] "elbo decreased by 8.9130480773747e-10"
[1] "elbo decreased by 5.69343683309853e-10"
[1] "elbo decreased by 1.13923306344077e-08"
[1] "elbo decreased by 3.32329364027828e-09"
[1] "elbo decreased by 6.54836185276508e-11"
[1] "elbo decreased by 5.43877831660211e-10"
[1] "elbo decreased by 1.65709934663028e-09"
[1] "elbo decreased by 4.98403096571565e-10"
[1] "elbo decreased by 8.14907252788544e-10"
[1] "elbo decreased by 2.05545802600682e-09"
[1] "elbo decreased by 4.23824531026185e-10"
[1] "elbo decreased by 5.36601874046028e-09"
[1] "elbo decreased by 1.9117578631267e-09"
[1] "elbo decreased by 1.2732925824821e-10"
[1] "elbo decreased by 1.18689058581367e-08"
[1] "elbo decreased by 4.36557456851006e-11"
[1] "elbo decreased by 8.90395313035697e-09"
[1] "elbo decreased by 6.03904481977224e-09"
[1] "elbo decreased by 2.00088834390044e-10"
[1] "elbo decreased by 5.95900928601623e-09"
[1] "elbo decreased by 1.11504050437361e-09"
[1] "elbo decreased by 3.97631083615124e-09"
[1] "elbo decreased by 4.55474946647882e-09"
[1] "elbo decreased by 2.43380782194436e-09"
[1] "elbo decreased by 1.8007995095104e-10"
[1] "elbo decreased by 6.98491930961609e-10"
[1] "elbo decreased by 2.53203324973583e-09"
[1] "elbo decreased by 3.97994881495833e-09"
[1] "elbo decreased by 7.03948899172246e-10"
[1] "elbo decreased by 2.10457073990256e-09"
[1] "elbo decreased by 4.34010871686041e-09"
[1] "elbo decreased by 1.65164237841964e-09"
[1] "elbo decreased by 9.5278664957732e-09"
[1] "elbo decreased by 1.30057742353529e-09"
[1] "elbo decreased by 2.64844857156277e-09"
[1] "elbo decreased by 1.18488969746977e-08"
[1] "elbo decreased by 4.85670170746744e-10"
[1] "elbo decreased by 1.44427758641541e-08"
[1] "elbo decreased by 6.35554897598922e-09"
[1] "elbo decreased by 6.1008904594928e-09"
[1] "elbo decreased by 5.28234522789717e-09"
[1] "elbo decreased by 8.69476934894919e-09"
[1] "elbo decreased by 7.75253283791244e-09"
[1] "elbo decreased by 1.74986780621111e-09"
[1] "elbo decreased by 7.94898369349539e-10"
[1] "elbo decreased by 1.52067514136434e-09"
[1] "elbo decreased by 4.73301042802632e-09"
[1] "elbo decreased by 7.46877049095929e-09"
[1] "elbo decreased by 1.63709046319127e-11"
[1] "elbo decreased by 2.55240593105555e-08"
[1] "elbo decreased by 7.96353560872376e-09"
[1] "elbo decreased by 1.81717041414231e-09"
[1] "elbo decreased by 2.89765011984855e-09"
[1] "elbo decreased by 6.0572347138077e-10"
[1] "elbo decreased by 1.13686837721616e-08"
[1] "elbo decreased by 1.69893610291183e-09"
[1] "elbo decreased by 9.27684595808387e-10"
[1] "elbo decreased by 1.01517798611894e-08"
[1] "elbo decreased by 1.57615431817248e-08"
[1] "elbo decreased by 1.00044417195022e-09"
[1] "elbo decreased by 5.99538907408714e-09"
[1] "elbo decreased by 1.23691279441118e-09"
[1] "elbo decreased by 9.3496055342257e-10"
[1] "elbo decreased by 6.23913365416229e-10"
[1] "elbo decreased by 5.14774001203477e-10"
[1] "elbo decreased by 6.31007424090058e-09"
[1] "elbo decreased by 8.39827407617122e-09"
[1] "elbo decreased by 7.96717358753085e-10"
[1] "elbo decreased by 8.56198312249035e-09"
[1] "elbo decreased by 6.69206201564521e-09"
[1] "elbo decreased by 1.21872290037572e-09"
[1] "elbo decreased by 6.48833520244807e-09"
[1] "elbo decreased by 3.64343577530235e-09"
[1] "elbo decreased by 1.02718331618235e-08"
[1] "elbo decreased by 1.47883838508278e-09"
[1] "elbo decreased by 1.41335476655513e-09"
[1] "elbo decreased by 8.64201865624636e-09"
[1] "elbo decreased by 1.19707692647353e-08"
[1] "elbo decreased by 8.00355337560177e-10"
[1] "elbo decreased by 1.12959241960198e-09"
[1] "elbo decreased by 8.80390871316195e-10"
[1] "elbo decreased by 1.49339030031115e-09"
[1] "elbo decreased by 2.71211320068687e-09"
[1] "elbo decreased by 7.29414750821888e-10"
[1] "elbo decreased by 3.09955794364214e-09"
[1] "elbo decreased by 1.56433088704944e-10"
[1] "elbo decreased by 1.30676198750734e-08"
[1] "elbo decreased by 2.31011654250324e-10"
[1] "elbo decreased by 6.76664058119059e-10"
[1] "elbo decreased by 1.38243194669485e-10"
[1] "elbo decreased by 1.68438418768346e-09"
[1] "elbo decreased by 1.72803993336856e-10"
[1] "elbo decreased by 1.54632289195433e-08"
[1] "elbo decreased by 3.99813870899379e-09"
[1] "elbo decreased by 2.63935362454504e-09"
[1] "elbo decreased by 1.72803993336856e-10"
[1] "elbo decreased by 6.69388100504875e-10"
[1] "elbo decreased by 1.3369572116062e-09"
[1] "elbo decreased by 8.21455614641309e-09"
[1] "elbo decreased by 5.98447513766587e-10"
[1] "elbo decreased by 1.82644726010039e-08"
[1] "elbo decreased by 9.09494701772928e-10"
[1] "elbo decreased by 1.47301761899143e-08"
[1] "elbo decreased by 1.40789779834449e-09"
[1] "elbo decreased by 7.65612639952451e-09"
[1] "elbo decreased by 1.08775566332042e-09"
[1] "elbo decreased by 3.30692273564637e-09"
[1] "elbo decreased by 3.27418092638254e-10"
[1] "elbo decreased by 4.56202542409301e-09"
[1] "elbo decreased by 1.68438418768346e-09"
[1] "elbo decreased by 7.05767888575792e-10"
[1] "elbo decreased by 5.03860064782202e-10"
[1] "elbo decreased by 7.49423634260893e-10"
[1] "elbo decreased by 7.79800757300109e-09"
[1] "elbo decreased by 1.32604327518493e-09"
[1] "elbo decreased by 2.33376340474933e-09"
[1] "elbo decreased by 7.9890014603734e-09"
[1] "elbo decreased by 4.7839421313256e-09"
[1] "elbo decreased by 7.38509697839618e-10"
[1] "elbo decreased by 1.05865183286369e-09"
[1] "elbo decreased by 8.76752892509103e-10"
[1] "elbo decreased by 4.52382664661855e-09"
[1] "elbo decreased by 9.94987203739583e-10"
[1] "elbo decreased by 3.33056959789246e-09"
[1] "elbo decreased by 4.48562786914408e-09"
[1] "elbo decreased by 1.6938429325819e-08"
[1] "elbo decreased by 6.23913365416229e-10"
[1] "elbo decreased by 7.98536348156631e-10"
[1] "elbo decreased by 1.08593667391688e-09"
[1] "elbo decreased by 9.17134457267821e-09"
[1] "elbo decreased by 2.1937012206763e-09"
[1] "elbo decreased by 1.23691279441118e-10"
[1] "elbo decreased by 1.0113581083715e-09"
[1] "elbo decreased by 2.31193553190678e-09"
[1] "elbo decreased by 1.60434865392745e-09"
[1] "elbo decreased by 3.71073838323355e-10"
[1] "elbo decreased by 8.25821189209819e-10"
[1] "elbo decreased by 3.80168785341084e-10"
[1] "elbo decreased by 1.31331034936011e-09"
[1] "elbo decreased by 2.36468622460961e-10"
[1] "elbo decreased by 6.73026079311967e-11"
[1] "elbo decreased by 8.89485818333924e-10"
[1] "elbo decreased by 4.81668394058943e-09"
[1] "elbo decreased by 7.27595761418343e-12"
[1] "elbo decreased by 6.73026079311967e-11"
[1] "elbo decreased by 7.13043846189976e-10"
[1] "elbo decreased by 6.67569111101329e-10"
[1] "elbo decreased by 1.49520928971469e-09"
[1] "elbo decreased by 8.87666828930378e-10"
[1] "elbo decreased by 3.0504452297464e-09"
[1] "elbo decreased by 2.14640749618411e-10"
[1] "elbo decreased by 5.92444848734885e-09"
[1] "elbo decreased by 8.65838956087828e-10"
[1] "elbo decreased by 3.25599103234708e-10"
[1] "elbo decreased by 6.89215085003525e-09"
[1] "elbo decreased by 1.28511601360515e-08"
[1] "elbo decreased by 1.10630935523659e-08"
[1] "elbo decreased by 1.90993887372315e-10"
[1] "elbo decreased by 1.30603439174592e-09"
[1] "elbo decreased by 3.97994881495833e-09"
[1] "elbo decreased by 4.43833414465189e-09"
[1] "elbo decreased by 1.03682396002114e-10"
[1] "elbo decreased by 2.09183781407773e-10"
[1] "elbo decreased by 4.16548573412001e-10"
[1] "elbo decreased by 4.14547685068101e-09"
[1] "elbo decreased by 6.52835296932608e-09"
[1] "elbo decreased by 8.24002199806273e-10"
[1] "elbo decreased by 7.65794538892806e-10"
[1] "elbo decreased by 7.83620635047555e-09"
[1] "elbo decreased by 1.55159796122462e-08"
[1] "elbo decreased by 1.88083504326642e-09"
[1] "elbo decreased by 2.65572452917695e-10"
[1] "elbo decreased by 3.97631083615124e-09"
[1] "elbo decreased by 8.29459168016911e-10"
[1] "elbo decreased by 7.03948899172246e-10"
[1] "elbo decreased by 2.78305378742516e-10"
[1] "elbo decreased by 7.67613528296351e-09"
[1] "elbo decreased by 3.06499714497477e-09"
[1] "elbo decreased by 2.27737473323941e-09"
[1] "elbo decreased by 7.4214767664671e-10"
[1] "elbo decreased by 1.68256519827992e-09"
[1] "elbo decreased by 1.48720573633909e-08"
[1] "elbo decreased by 1.98269844986498e-10"
[1] "elbo decreased by 5.72981662116945e-10"
[1] "elbo decreased by 1.14596332423389e-09"
[1] "elbo decreased by 6.03904481977224e-10"
[1] "elbo decreased by 6.65750121697783e-10"
[1] "elbo decreased by 6.71207089908421e-09"
[1] "elbo decreased by 8.87303031049669e-09"
[1] "elbo decreased by 2.03726813197136e-10"
[1] "elbo decreased by 4.94765117764473e-10"
[1] "elbo decreased by 5.58429746888578e-10"
[1] "elbo decreased by 2.12094164453447e-09"
[1] "elbo decreased by 9.80435288511217e-10"
[1] "elbo decreased by 4.94401319883764e-09"
[1] "elbo decreased by 1.64473021868616e-08"
[1] "elbo decreased by 7.27595761418343e-11"
[1] "elbo decreased by 4.69481165055186e-09"
[1] "elbo decreased by 1.3369572116062e-09"
[1] "elbo decreased by 2.9631337383762e-09"
[1] "elbo decreased by 4.18367562815547e-10"
[1] "elbo decreased by 6.0135789681226e-09"
[1] "elbo decreased by 1.89174897968769e-10"
[1] "elbo decreased by 1.50430423673242e-09"
[1] "elbo decreased by 8.55834514368325e-09"
[1] "elbo decreased by 2.72848410531878e-10"
[1] "elbo decreased by 2.9831426218152e-10"
[1] "elbo decreased by 1.10958353616297e-09"
[1] "elbo decreased by 4.50927473139018e-09"
[1] "elbo decreased by 1.06228981167078e-09"
[1] "elbo decreased by 6.96491042617708e-09"
[1] "elbo decreased by 5.6206772569567e-10"
[1] "elbo decreased by 1.44773366628215e-08"
[1] "elbo decreased by 2.29920260608196e-09"
[1] "elbo decreased by 1.76423782249913e-08"
[1] "elbo decreased by 1.29148247651756e-10"
[1] "elbo decreased by 1.54795998241752e-09"
[1] "elbo decreased by 1.49884726852179e-09"
[1] "elbo decreased by 3.97631083615124e-09"
[1] "elbo decreased by 1.99415808310732e-08"
[1] "elbo decreased by 1.08229869510978e-09"
[1] "elbo decreased by 7.13407644070685e-09"
[1] "elbo decreased by 7.99627741798759e-09"
[1] "elbo decreased by 2.71029421128333e-10"
[1] "elbo decreased by 1.59616320161149e-08"
[1] "elbo decreased by 7.25776772014797e-10"
[1] "elbo decreased by 3.16322257276624e-09"
[1] "elbo decreased by 2.65572452917695e-10"
[1] "elbo decreased by 9.61154000833631e-09"
[1] "elbo decreased by 2.74667399935424e-10"
[1] "elbo decreased by 2.02635419555008e-09"
[1] "elbo decreased by 3.37422534357756e-09"
[1] "elbo decreased by 4.13820089306682e-09"
[1] "elbo decreased by 2.64662958215922e-09"
[1] "elbo decreased by 2.86308932118118e-09"
[1] "elbo decreased by 2.78305378742516e-10"
[1] "elbo decreased by 1.27874955069274e-09"
[1] "elbo decreased by 1.12122506834567e-08"
[1] "elbo decreased by 1.89174897968769e-10"
[1] "elbo decreased by 9.33141564019024e-10"
[1] "elbo decreased by 1.57415342982858e-08"
[1] "elbo decreased by 1.56796886585653e-09"
[1] "elbo decreased by 3.92537913285196e-09"
[1] "elbo decreased by 1.12777343019843e-10"
[1] "elbo decreased by 9.27866494748741e-09"
[1] "elbo decreased by 1.15323928184807e-09"
[1] "elbo decreased by 5.22049958817661e-09"
[1] "elbo decreased by 1.86264514923096e-09"
[1] "elbo decreased by 2.46473064180464e-09"
[1] "elbo decreased by 3.85443854611367e-09"
[1] "elbo decreased by 1.14414433483034e-09"
[1] "elbo decreased by 6.16273609921336e-09"
[1] "elbo decreased by 5.71890268474817e-09"
[1] "elbo decreased by 6.82848622091115e-09"
[1] "elbo decreased by 2.13731254916638e-09"
[1] "elbo decreased by 6.91943569108844e-09"
[1] "elbo decreased by 5.91171556152403e-10"
[1] "elbo decreased by 8.0763129517436e-10"
[1] "elbo decreased by 3.94720700569451e-10"
[1] "elbo decreased by 1.67710823006928e-09"
[1] "elbo decreased by 2.22098606172949e-09"
[1] "elbo decreased by 4.00177668780088e-11"
[1] "elbo decreased by 2.14640749618411e-10"
[1] "elbo decreased by 1.42081262310967e-08"
[1] "elbo decreased by 5.67160896025598e-09"
[1] "elbo decreased by 3.67435859516263e-10"
[1] "elbo decreased by 2.83762346953154e-10"
[1] "elbo decreased by 5.45696821063757e-12"
[1] "elbo decreased by 1.03209458757192e-08"
[1] "elbo decreased by 5.67524693906307e-10"
[1] "elbo decreased by 7.12316250428557e-09"
[1] "elbo decreased by 1.65709934663028e-08"
[1] "elbo decreased by 9.47693479247391e-10"
[1] "elbo decreased by 1.37515598908067e-09"
[1] "elbo decreased by 3.36694938596338e-09"
[1] "elbo decreased by 1.21508492156863e-09"
[1] "elbo decreased by 1.08775566332042e-09"
[1] "elbo decreased by 5.85350790061057e-09"
[1] "elbo decreased by 5.11499820277095e-09"
[1] "elbo decreased by 8.62200977280736e-10"
[1] "elbo decreased by 1.6085323295556e-08"
[1] "elbo decreased by 1.41517375595868e-09"
[1] "elbo decreased by 7.27959559299052e-09"
[1] "elbo decreased by 5.23868948221207e-10"
[1] "elbo decreased by 3.6452547647059e-09"
[1] "elbo decreased by 1.26601662486792e-09"
[1] "elbo decreased by 1.72803993336856e-10"
[1] "elbo decreased by 5.98083715885878e-09"
[1] "elbo decreased by 1.12777343019843e-10"
[1] "elbo decreased by 4.34556568507105e-09"
[1] "elbo decreased by 2.20188667299226e-08"
[1] "elbo decreased by 9.05129127204418e-09"
[1] "elbo decreased by 5.21686160936952e-09"
[1] "elbo decreased by 7.87622411735356e-10"
[1] "elbo decreased by 9.09494701772928e-11"
[1] "elbo decreased by 7.4214767664671e-10"
[1] "elbo decreased by 1.36187736643478e-08"
[1] "elbo decreased by 1.16069713840261e-08"
[1] "elbo decreased by 5.45696821063757e-12"
[1] "elbo decreased by 1.22490746434778e-08"
[1] "elbo decreased by 1.55450834427029e-08"
[1] "elbo decreased by 8.11451172921807e-09"
[1] "elbo decreased by 1.06592779047787e-09"
[1] "elbo decreased by 7.08678271621466e-09"
[1] "elbo decreased by 7.13043846189976e-10"
[1] "elbo decreased by 1.02918420452625e-08"
[1] "elbo decreased by 1.09139364212751e-10"
[1] "elbo decreased by 1.17979652713984e-08"
[1] "elbo decreased by 1.06647348729894e-08"
[1] "elbo decreased by 4.0381564758718e-10"
[1] "elbo decreased by 1.21726770885289e-08"
[1] "elbo decreased by 6.83940015733242e-10"
[1] "elbo decreased by 7.85439624451101e-09"
[1] "elbo decreased by 2.00088834390044e-11"
[1] "elbo decreased by 6.19729689788073e-09"
[1] "elbo decreased by 5.12955011799932e-10"
[1] "elbo decreased by 8.6947693489492e-10"
[1] "elbo decreased by 9.60426405072212e-10"
[1] "elbo decreased by 9.51877154875547e-09"
[1] "elbo decreased by 3.83624865207821e-09"
[1] "elbo decreased by 2.80124368146062e-10"
[1] "elbo decreased by 1.29584805108607e-08"
[1] "elbo decreased by 6.2991603044793e-09"
[1] "elbo decreased by 4.82941686641425e-09"
[1] "elbo decreased by 3.12866177409887e-10"
[1] "elbo decreased by 1.18234311230481e-09"
[1] "elbo decreased by 8.74206307344139e-09"
[1] "elbo decreased by 1.05774233816192e-08"
[1] "elbo decreased by 8.3182385424152e-09"
[1] "elbo decreased by 1.21144694276154e-09"
[1] "elbo decreased by 1.23691279441118e-10"
[1] "elbo decreased by 4.23824531026185e-10"
[1] "elbo decreased by 1.43700162880123e-10"
[1] "elbo decreased by 1.46428646985441e-08"
[1] "elbo decreased by 2.20825313590467e-09"
[1] "elbo decreased by 4.38740244135261e-09"
[1] "elbo decreased by 2.85945134237409e-09"
[1] "elbo decreased by 4.83851181343198e-10"
[1] "elbo decreased by 1.47047103382647e-08"
[1] "elbo decreased by 1.69529812410474e-09"
[1] "elbo decreased by 9.33141564019024e-10"
[1] "elbo decreased by 6.50470610707998e-09"
[1] "elbo decreased by 6.87396095599979e-09"
[1] "elbo decreased by 1.96450855582952e-10"
[1] "elbo decreased by 3.72892827726901e-10"
[1] "elbo decreased by 3.97994881495833e-09"
[1] "elbo decreased by 5.24232746101916e-09"
[1] "elbo decreased by 1.07684172689915e-09"
[1] "elbo decreased by 9.21681930776685e-09"
[1] "elbo decreased by 1.49375409819186e-08"
[1] "elbo decreased by 2.83762346953154e-10"
[1] "elbo decreased by 7.23593984730542e-09"
[1] "elbo decreased by 1.41153577715158e-09"
[1] "elbo decreased by 1.09321263153106e-08"
[1] "elbo decreased by 7.34689820092171e-09"
[1] "elbo decreased by 8.51287040859461e-10"
[1] "elbo decreased by 1.13086571218446e-08"
[1] "elbo decreased by 1.71894498635083e-09"
[1] "elbo decreased by 4.00177668780088e-09"
[1] "elbo decreased by 9.90257831290364e-09"
[1] "elbo decreased by 7.86531018093228e-09"
[1] "elbo decreased by 5.69343683309853e-10"
[1] "elbo decreased by 7.36508809495717e-09"
[1] "elbo decreased by 1.48065737448633e-09"
[1] "elbo decreased by 5.81349013373256e-09"
[1] "elbo decreased by 1.16597220767289e-09"
[1] "elbo decreased by 3.94720700569451e-09"
[1] "elbo decreased by 1.06956576928496e-09"
[1] "elbo decreased by 2.80124368146062e-10"
[1] "elbo decreased by 1.71894498635083e-09"
[1] "elbo decreased by 1.56433088704944e-10"
[1] "elbo decreased by 2.1043888409622e-08"
[1] "elbo decreased by 1.43336364999413e-09"
[1] "elbo decreased by 1.61089701578021e-08"
[1] "elbo decreased by 8.54925019666553e-11"
[1] "elbo decreased by 3.61615093424916e-09"
[1] "elbo decreased by 4.68207872472703e-09"
[1] "elbo decreased by 6.83940015733242e-10"
[1] "elbo decreased by 4.1691237129271e-09"
[1] "elbo decreased by 8.37462721392512e-09"
[1] "elbo decreased by 2.89219315163791e-10"
[1] "elbo decreased by 7.75617081671953e-09"
[1] "elbo decreased by 6.46105036139488e-09"
[1] "elbo decreased by 5.56246959604323e-09"
[1] "elbo decreased by 9.09494701772928e-11"
[1] "elbo decreased by 2.69028532784432e-09"
[1] "elbo decreased by 6.67387212160975e-09"
[1] "elbo decreased by 4.65661287307739e-10"
[1] "elbo decreased by 9.62245394475758e-10"
[1] "elbo decreased by 1.28602550830692e-09"
[1] "elbo decreased by 1.15687726065516e-09"
[1] "elbo decreased by 1.75587047124282e-08"
[1] "elbo decreased by 3.11047188006341e-10"
[1] "elbo decreased by 5.80257619731128e-10"
[1] "elbo decreased by 7.27595761418343e-10"
[1] "elbo decreased by 4.16184775531292e-09"
[1] "elbo decreased by 9.85892256721854e-10"
[1] "elbo decreased by 9.20408638194203e-10"
[1] "elbo decreased by 2.35013430938125e-09"
[1] "elbo decreased by 1.36642483994365e-08"
[1] "elbo decreased by 3.63797880709171e-12"
[1] "elbo decreased by 5.45878720004112e-09"
[1] "elbo decreased by 6.79210643284023e-09"
[1] "elbo decreased by 2.07182893063873e-09"
[1] "elbo decreased by 1.09612301457673e-08"
[1] "elbo decreased by 4.07453626394272e-10"
[1] "elbo decreased by 5.58429746888578e-10"
[1] "elbo decreased by 6.62112142890692e-10"
[1] "elbo decreased by 1.14596332423389e-10"
[1] "elbo decreased by 4.23824531026185e-10"
[1] "elbo decreased by 2.76304490398616e-09"
[1] "elbo decreased by 1.39552867040038e-08"
[1] "elbo decreased by 1.09321263153106e-09"
[1] "elbo decreased by 6.22094376012683e-10"
[1] "elbo decreased by 7.23593984730542e-09"
[1] "elbo decreased by 4.54747350886464e-11"
[1] "elbo decreased by 1.54432200361043e-09"
[1] "elbo decreased by 1.26310624182224e-08"
[1] "elbo decreased by 1.57524482347071e-09"
[1] "elbo decreased by 6.51562004350126e-09"
[1] "elbo decreased by 1.50739651871845e-08"
[1] "elbo decreased by 2.30647856369615e-09"
[1] "elbo decreased by 8.18363332655281e-09"
[1] "elbo decreased by 1.71694409800693e-08"
[1] "elbo decreased by 7.82165443524718e-11"
[1] "elbo decreased by 4.39649738837034e-09"
[1] "elbo decreased by 1.20562617667019e-08"
[1] "elbo decreased by 2.05909600481391e-09"
[1] "elbo decreased by 3.12866177409887e-10"
[1] "elbo decreased by 1.4655597624369e-08"
[1] "elbo decreased by 1.48429535329342e-09"
[1] "elbo decreased by 2.44835973717272e-09"
[1] "elbo decreased by 1.1819793144241e-08"
[1] "elbo decreased by 1.12777343019843e-09"
[1] "elbo decreased by 3.71073838323355e-10"
[1] "elbo decreased by 1.666194293648e-08"
[1] "elbo decreased by 5.65705704502761e-10"
[1] "elbo decreased by 2.2409949451685e-09"
[1] "elbo decreased by 1.01063051261008e-08"
[1] "elbo decreased by 7.05767888575792e-10"
[1] "elbo decreased by 3.36513039655983e-10"
[1] "elbo decreased by 1.09321263153106e-09"
[1] "elbo decreased by 6.65750121697783e-10"
[1] "elbo decreased by 5.89352566748857e-09"
[1] "elbo decreased by 5.45696821063757e-10"
[1] "elbo decreased by 8.34552338346839e-09"
[1] "elbo decreased by 9.93168214336038e-10"
[1] "elbo decreased by 4.13638190366328e-09"
[1] "elbo decreased by 1.98997440747917e-09"
[1] "elbo decreased by 9.40781319513917e-09"
[1] "elbo decreased by 1.35878508444875e-08"
[1] "elbo decreased by 9.46783984545618e-09"
[1] "elbo decreased by 1.70257408171892e-09"
[1] "elbo decreased by 3.12138581648469e-09"
[1] "elbo decreased by 7.1122485678643e-10"
[1] "elbo decreased by 9.18589648790658e-10"
[1] "elbo decreased by 1.72803993336856e-09"
[1] "elbo decreased by 1.54977897182107e-09"
[1] "elbo decreased by 1.56978785526007e-09"
[1] "elbo decreased by 2.3283064365387e-10"
[1] "elbo decreased by 1.98087946046144e-09"
[1] "elbo decreased by 5.16592990607023e-10"
[1] "elbo decreased by 1.08957465272397e-09"
[1] "elbo decreased by 3.34694050252438e-10"
[1] "elbo decreased by 2.50656739808619e-09"
[1] "elbo decreased by 1.77351466845721e-09"
[1] "elbo decreased by 2.43926479015499e-08"
[1] "elbo decreased by 1.06047082226723e-09"
[1] "elbo decreased by 8.00355337560177e-10"
[1] "elbo decreased by 1.3169483281672e-09"
[1] "elbo decreased by 2.06637196242809e-09"
[1] "elbo decreased by 2.87400325760245e-10"
[1] "elbo decreased by 1.61162461154163e-09"
[1] "elbo decreased by 1.26437953440472e-08"
[1] "elbo decreased by 1.31149135995656e-09"
[1] "elbo decreased by 2.06637196242809e-09"
[1] "elbo decreased by 5.58429746888578e-10"
[1] "elbo decreased by 1.22890924103558e-08"
[1] "elbo decreased by 2.89765011984855e-09"
[1] "elbo decreased by 3.43788997270167e-09"
[1] "elbo decreased by 1.79716153070331e-09"
[1] "elbo decreased by 1.72440195456147e-09"
[1] "elbo decreased by 2.18460627365857e-09"
[1] "elbo decreased by 3.04498826153576e-09"
[1] "elbo decreased by 9.09494701772928e-11"
[1] "elbo decreased by 2.71029421128333e-10"
[1] "elbo decreased by 7.43239070288837e-09"
[1] "elbo decreased by 1.39880285132676e-09"
[1] "elbo decreased by 4.11091605201364e-10"
[1] "elbo decreased by 2.19188223127276e-09"
[1] "elbo decreased by 6.86668499838561e-09"
[1] "elbo decreased by 6.76664058119059e-10"
[1] "elbo decreased by 2.04454408958554e-09"
[1] "elbo decreased by 8.36007529869676e-09"
[1] "elbo decreased by 2.17914930544794e-09"
[1] "elbo decreased by 7.12498149368912e-09"
[1] "elbo decreased by 2.24281393457204e-09"
[1] "elbo decreased by 9.07130015548319e-09"
[1] "elbo decreased by 6.75390765536577e-09"
[1] "elbo decreased by 7.49423634260893e-10"
[1] "elbo decreased by 6.25732354819775e-10"
[1] "elbo decreased by 1.38734321808442e-08"
[1] "elbo decreased by 1.08466338133439e-08"
[1] "elbo decreased by 1.89356796909124e-09"
[1] "elbo decreased by 1.81535142473876e-09"
[1] "elbo decreased by 1.29512045532465e-09"
[1] "elbo decreased by 3.6216079024598e-09"
[1] "elbo decreased by 3.30692273564637e-09"
[1] "elbo decreased by 4.29281499236822e-10"
[1] "elbo decreased by 4.11091605201364e-09"
[1] "elbo decreased by 1.60616764333099e-09"
[1] "elbo decreased by 1.12959241960198e-09"
[1] "elbo decreased by 8.36371327750385e-09"
[1] "elbo decreased by 9.6151779871434e-09"
[1] "elbo decreased by 1.21508492156863e-09"
[1] "elbo decreased by 9.14951669983566e-10"
[1] "elbo decreased by 6.05359673500061e-09"
[1] "elbo decreased by 1.33877620100975e-09"
[1] "elbo decreased by 8.72933014761657e-09"
[1] "elbo decreased by 1.77533365786076e-09"
[1] "elbo decreased by 6.43740349914879e-09"
[1] "elbo decreased by 1.34605215862393e-09"
[1] "elbo decreased by 1.96632754523307e-09"
[1] "elbo decreased by 1.68438418768346e-09"
[1] "elbo decreased by 2.43744580075145e-09"
[1] "elbo decreased by 7.29414750821888e-10"
[1] "elbo decreased by 5.3114490583539e-10"
[1] "elbo decreased by 1.06774677988142e-09"
[1] "elbo decreased by 2.49565346166492e-09"
[1] "elbo decreased by 1.35332811623812e-09"
[1] "elbo decreased by 1.62890501087531e-08"
[1] "elbo decreased by 6.62112142890692e-10"
[1] "elbo decreased by 3.17595549859107e-09"
[1] "elbo decreased by 1.29148247651756e-10"
[1] "elbo decreased by 9.36779542826116e-10"
[1] "elbo decreased by 2.00088834390044e-11"
[1] "elbo decreased by 1.36205926537514e-08"
[1] "elbo decreased by 1.15269358502701e-08"
[1] "elbo decreased by 3.67435859516263e-10"
[1] "elbo decreased by 1.72985892277211e-09"
[1] "elbo decreased by 8.96761775948107e-10"
[1] "elbo decreased by 8.41828295961022e-09"
[1] "elbo decreased by 5.17684384249151e-09"
[1] "elbo decreased by 2.11002770811319e-10"
[1] "elbo decreased by 1.78260961547494e-10"
[1] "elbo decreased by 2.8321665013209e-09"
[1] "elbo decreased by 8.08904587756842e-09"
[1] "elbo decreased by 1.47338141687214e-10"
[1] "elbo decreased by 6.28278939984739e-09"
[1] "elbo decreased by 2.03526724362746e-08"
[1] "elbo decreased by 1.80443748831749e-09"
[1] "elbo decreased by 1.76441972143948e-10"
[1] "elbo decreased by 5.82076609134674e-09"
[1] "elbo decreased by 6.41375663690269e-09"
[1] "elbo decreased by 2.54840415436774e-09"
[1] "elbo decreased by 3.83261067327112e-09"
[1] "elbo decreased by 4.05634636990726e-10"
[1] "elbo decreased by 8.32733348943293e-09"
[1] "elbo decreased by 2.51930032391101e-09"
[1] "elbo decreased by 2.3283064365387e-10"
[1] "elbo decreased by 1.31403794512153e-08"
[1] "elbo decreased by 2.44472175836563e-09"
[1] "elbo decreased by 9.6588337328285e-10"
[1] "elbo decreased by 1.13523128675297e-08"
[1] "elbo decreased by 1.8007995095104e-10"
[1] "elbo decreased by 8.24002199806273e-10"
[1] "elbo decreased by 1.04028003988788e-08"
[1] "elbo decreased by 8.64565663505346e-09"
[1] "elbo decreased by 8.53106030263007e-10"
[1] "elbo decreased by 3.52338247466832e-09"
[1] "elbo decreased by 3.41606209985912e-09"
[1] "elbo decreased by 1.43336364999413e-09"
[1] "elbo decreased by 4.91127138957381e-10"
[1] "elbo decreased by 9.38598532229662e-09"
[1] "elbo decreased by 1.00153556559235e-08"
[1] "elbo decreased by 2.60115484707057e-10"
[1] "elbo decreased by 9.94987203739583e-09"
[1] "elbo decreased by 1.74622982740402e-10"
[1] "elbo decreased by 2.7648638933897e-10"
[1] "elbo decreased by 2.44835973717272e-09"
[1] "elbo decreased by 4.22005541622639e-10"

This is a plot of the estimate from the backfit initialized with the split estimate, \(\hat{L}_{split-backfit}\).

bal_pops <- c(rep('A', 40), rep('B', 40), rep('C', 40), rep('D', 40))
plot_loadings(symebcovmf_laplace_split_init_backfit$L_pm %*% diag(sqrt(symebcovmf_laplace_split_init_backfit$lambda)), bal_pops)

Version Author Date
e557427 Annie Xie 2025-06-03

This is a heatmap of the estimated Gram matrix, \(\hat{L}_{split-backfit}\hat{\Lambda}\hat{L}_{split-backfit}'\).

gram_est <- tcrossprod(symebcovmf_laplace_split_init_backfit$L_pm %*% diag(sqrt(symebcovmf_laplace_split_init_backfit$lambda)))
plot_heatmap(gram_est, brks = seq(0, max(abs(gram_est)), length.out = 50))

Version Author Date
e557427 Annie Xie 2025-06-03

This is the L2 norm of the difference, excluding diagonal entries.

compute_L2_fit <- function(est, dat){
  score <- sum((dat - est)^2) - sum((diag(dat) - diag(est))^2)
  return(score)
}

compute_L2_fit(gram_est, sim_data$YYt)
[1] 28.63477

This is a plot of fitted vs. observed values:

ggplot(data = NULL, aes(x = as.vector(sim_data$YYt), y = as.vector(gram_est))) + geom_point() + geom_abline(slope = 1, intercept = 0, color = 'red') + xlab('Observed Values') + ylab('Fitted Values')

Version Author Date
e557427 Annie Xie 2025-06-03

Observations

We see that this procedure does not yield a tree-structured estimate. Instead of four single population effect factors, we have four factors each containing two population effects. The estimated Gram matrix looks close to the observed Gram matrix, suggesting an identifiability issue. This is a well-known issue with the tree setting. Given that the point-Laplace initialization did not recover the divergence factorization, it is not surprising to me that the method did not recover a tree. For the GBCD method, the point-Laplace fit after backfitting is able to recover the divergence factorization (the greedy point-Laplace fit alone does not recover the factorization).

Further Exploration

point-Laplace backfit initialized from true values

To test if there is a convergence issue in the point-Laplace fit, I try running symEBcovMF backfit with point-Laplace prior initialized with the true factorization.

n <- nrow(sim_data$YYt)
L_divergence_true <- cbind(rep(1, n), 
                           rep(c(1,-1), times = c(n/2, n/2)),
                           rep(c(1, -1, 0), times = c(n/4, n/4, n/2)),
                           rep(c(0, 1, -1), times = c(n/2, n/4, n/4)))

First, we initialize a symEBcovMF object using \(\hat{L}_{split}\).

symebcovmf_true_init_obj <- sym_ebcovmf_init(sim_data$YYt)

true_L_normalized <- apply(L_divergence_true, 2, function(x){x/sqrt(sum(x^2))})
symebcovmf_true_init_obj$L_pm <- true_L_normalized

symebcovmf_true_init_obj$lambda <- rep(1, ncol(L_divergence_true))

symebcovmf_true_init_obj$resid_s2 <- estimate_resid_s2(S = sim_data$YYt, 
  L = symebcovmf_true_init_obj$L_pm, 
  lambda = symebcovmf_true_init_obj$lambda, 
  n = nrow(sim_data$Y), 
  K = length(symebcovmf_true_init_obj$lambda))

symebcovmf_true_init_obj$elbo <- compute_elbo(S = sim_data$YYt, 
  L = symebcovmf_true_init_obj$L_pm, 
  lambda = symebcovmf_true_init_obj$lambda, 
  resid_s2 = symebcovmf_true_init_obj$resid_s2, 
  n = nrow(sim_data$Y), 
  K = length(symebcovmf_true_init_obj$lambda), 
  KL = rep(0, length(symebcovmf_true_init_obj$lambda)))

I refit the lambda values keeping the factors fixed.

# need to check this
symebcovmf_true_init_obj <- refit_lambda(S = sim_data$YYt, symebcovmf_true_init_obj, maxiter = 500)

Now, we run the backfit with point-Laplace prior.

symebcovmf_true_init_backfit <- sym_ebcovmf_backfit(sim_data$YYt, symebcovmf_true_init_obj, ebnm_fn = ebnm::ebnm_point_laplace, backfit_maxiter = 100)
[1] "elbo decreased by 7.83984432928264e-10"
[1] "elbo decreased by 1.98378984350711e-08"
[1] "elbo decreased by 7.74161890149117e-09"
[1] "elbo decreased by 4.11091605201364e-10"
[1] "elbo decreased by 2.16641637962312e-09"
[1] "elbo decreased by 7.8580342233181e-09"
[1] "elbo decreased by 1.52795109897852e-10"
[1] "elbo decreased by 3.23088897857815e-08"
[1] "elbo decreased by 2.66445567831397e-08"
[1] "elbo decreased by 6.8266672315076e-09"
[1] "elbo decreased by 5.26233634445816e-09"
[1] "elbo decreased by 6.18456397205591e-11"
[1] "elbo decreased by 1.09572283690795e-07"
[1] "elbo decreased by 2.36068444792181e-08"
[1] "elbo decreased by 2.41743691731244e-09"
[1] "elbo decreased by 1.2250711733941e-07"
[1] "elbo decreased by 6.24277163296938e-09"
[1] "elbo decreased by 7.86894815973938e-09"
[1] "elbo decreased by 2.69938027486205e-09"
[1] "elbo decreased by 1.07113010017201e-07"
[1] "elbo decreased by 6.42103259451687e-10"
[1] "elbo decreased by 7.87258613854647e-09"
[1] "elbo decreased by 5.03860064782202e-10"
[1] "elbo decreased by 8.165261533577e-08"
[1] "elbo decreased by 4.31100488640368e-09"
[1] "elbo decreased by 7.86894815973938e-09"
[1] "elbo decreased by 3.74711817130446e-10"
[1] "elbo decreased by 1.19689502753317e-09"
[1] "elbo decreased by 7.87258613854647e-09"
[1] "elbo decreased by 8.56452970765531e-08"
[1] "elbo decreased by 5.92262949794531e-09"
[1] "elbo decreased by 2.05909600481391e-09"
[1] "elbo decreased by 2.03726813197136e-10"
[1] "elbo decreased by 1.29120962810703e-07"
[1] "elbo decreased by 2.45890987571329e-08"
[1] "elbo decreased by 1.00590114016086e-09"
[1] "elbo decreased by 7.86894815973938e-09"
[1] "elbo decreased by 8.88649083208293e-08"
[1] "elbo decreased by 3.05226421914995e-09"
[1] "elbo decreased by 3.02788976114243e-08"
[1] "elbo decreased by 1.76805770024657e-08"
[1] "elbo decreased by 1.57342583406717e-08"
[1] "elbo decreased by 6.8030203692615e-10"
[1] "elbo decreased by 6.44595274934545e-08"
[1] "elbo decreased by 7.87258613854647e-09"
[1] "elbo decreased by 4.42560121882707e-08"
[1] "elbo decreased by 1.69620761880651e-08"
[1] "elbo decreased by 1.89902493730187e-09"
[1] "elbo decreased by 5.0022208597511e-08"
[1] "elbo decreased by 2.855813363567e-10"
[1] "elbo decreased by 1.57342583406717e-08"
[1] "elbo decreased by 4.85670170746744e-10"
[1] "elbo decreased by 4.43087628809735e-08"
[1] "elbo decreased by 1.50175765156746e-08"
[1] "elbo decreased by 1.57378963194788e-08"
[1] "elbo decreased by 7.86894815973938e-09"
[1] "elbo decreased by 5.45842340216041e-08"
[1] "elbo decreased by 3.43770807376131e-08"
[1] "elbo decreased by 2.51930032391101e-09"
[1] "elbo decreased by 4.28190105594695e-08"
[1] "elbo decreased by 7.86894815973938e-09"
[1] "elbo decreased by 2.59333319263533e-08"
[1] "elbo decreased by 1.57342583406717e-08"
[1] "elbo decreased by 7.86894815973938e-09"
[1] "elbo decreased by 9.36379365157336e-08"
[1] "elbo decreased by 1.03282218333334e-08"
[1] "elbo decreased by 7.86531018093228e-09"
[1] "elbo decreased by 3.16504156216979e-10"
[1] "elbo decreased by 7.86531018093228e-09"
[1] "elbo decreased by 7.37782102078199e-09"
[1] "elbo decreased by 2.95403879135847e-09"
[1] "elbo decreased by 7.86531018093228e-09"
[1] "elbo decreased by 7.86531018093228e-09"
[1] "elbo decreased by 2.19697540160269e-08"
[1] "elbo decreased by 6.63203536532819e-09"
[1] "elbo decreased by 7.86531018093228e-09"
[1] "elbo decreased by 1.19131073006429e-07"
[1] "elbo decreased by 5.33145794179291e-09"
[1] "elbo decreased by 6.65750121697783e-10"
[1] "elbo decreased by 7.40328687243164e-10"
[1] "elbo decreased by 4.38012648373842e-09"
[1] "elbo decreased by 7.8580342233181e-09"
[1] "elbo decreased by 2.64662958215922e-08"
[1] "elbo decreased by 7.86531018093228e-09"
[1] "elbo decreased by 6.52289600111544e-09"
[1] "elbo decreased by 1.57233444042504e-08"
[1] "elbo decreased by 1.86946635949425e-07"
[1] "elbo decreased by 9.03310137800872e-09"
[1] "elbo decreased by 6.83394318912178e-09"
[1] "elbo decreased by 5.95719029661268e-09"
[1] "elbo decreased by 2.35850166063756e-08"
[1] "elbo decreased by 7.86167220212519e-09"
[1] "elbo decreased by 5.34128048457205e-08"
[1] "elbo decreased by 1.66110112331808e-08"
[1] "elbo decreased by 7.86167220212519e-09"
[1] "elbo decreased by 7.86167220212519e-09"
[1] "elbo decreased by 5.60430635232478e-09"
[1] "elbo decreased by 7.8580342233181e-09"
[1] "elbo decreased by 1.57160684466362e-08"
[1] "elbo decreased by 3.03334672935307e-08"
[1] "elbo decreased by 7.8580342233181e-09"
[1] "elbo decreased by 2.35868355957791e-08"
[1] "elbo decreased by 1.57233444042504e-08"
[1] "elbo decreased by 1.3089447747916e-08"
[1] "elbo decreased by 7.8580342233181e-09"
[1] "elbo decreased by 1.75677996594459e-08"
[1] "elbo decreased by 7.85439624451101e-09"
[1] "elbo decreased by 1.38572431751527e-07"
[1] "elbo decreased by 1.57160684466362e-08"
[1] "elbo decreased by 7.8580342233181e-09"
[1] "elbo decreased by 7.85439624451101e-09"
[1] "elbo decreased by 2.24554241867736e-08"
[1] "elbo decreased by 7.8580342233181e-09"
[1] "elbo decreased by 7.8580342233181e-09"
[1] "elbo decreased by 7.85439624451101e-09"
[1] "elbo decreased by 1.47338141687214e-10"
[1] "elbo decreased by 1.10230757854879e-08"
[1] "elbo decreased by 7.8580342233181e-09"
[1] "elbo decreased by 5.28598320670426e-09"
[1] "elbo decreased by 1.27165549201891e-08"
[1] "elbo decreased by 1.5708792489022e-08"
[1] "elbo decreased by 8.6314685177058e-08"
[1] "elbo decreased by 1.49646439240314e-07"
[1] "elbo decreased by 1.57124304678291e-08"
[1] "elbo decreased by 5.40239852853119e-10"
[1] "elbo decreased by 3.434979589656e-08"
[1] "elbo decreased by 2.40106601268053e-09"
[1] "elbo decreased by 1.09914253698662e-07"
[1] "elbo decreased by 9.96988092083484e-09"
[1] "elbo decreased by 7.85439624451101e-09"
[1] "elbo decreased by 1.59343471750617e-09"
[1] "elbo decreased by 1.87355908565223e-10"
[1] "elbo decreased by 7.45858415029943e-08"
[1] "elbo decreased by 1.57197064254433e-08"
[1] "elbo decreased by 7.8580342233181e-09"
[1] "elbo decreased by 7.85439624451101e-09"
[1] "elbo decreased by 1.97687768377364e-08"
[1] "elbo decreased by 9.08039510250092e-09"
[1] "elbo decreased by 7.8580342233181e-09"
[1] "elbo decreased by 1.47920218296349e-08"
[1] "elbo decreased by 7.86167220212519e-09"
[1] "elbo decreased by 8.36917024571449e-09"
[1] "elbo decreased by 7.86167220212519e-09"
[1] "elbo decreased by 7.86531018093228e-09"
[1] "elbo decreased by 6.50579750072211e-08"
[1] "elbo decreased by 7.86167220212519e-09"
[1] "elbo decreased by 3.56521923094988e-10"
[1] "elbo decreased by 1.57233444042504e-08"
[1] "elbo decreased by 1.10941982711665e-07"
[1] "elbo decreased by 7.86167220212519e-09"
[1] "elbo decreased by 9.25774656934664e-08"
[1] "elbo decreased by 7.86531018093228e-09"
[1] "elbo decreased by 1.85173121280968e-09"
[1] "elbo decreased by 4.49290382675827e-10"
[1] "elbo decreased by 1.82244548341259e-08"
[1] "elbo decreased by 1.57233444042504e-08"
[1] "elbo decreased by 1.98269844986498e-10"
[1] "elbo decreased by 2.35922925639898e-08"
[1] "elbo decreased by 1.30004991660826e-07"
[1] "elbo decreased by 1.57233444042504e-08"
[1] "elbo decreased by 3.35276126861572e-08"
[1] "elbo decreased by 1.11103872768581e-08"
[1] "elbo decreased by 5.94809534959495e-10"
[1] "elbo decreased by 7.86167220212519e-09"
[1] "elbo decreased by 4.3437466956675e-08"
[1] "elbo decreased by 7.86531018093228e-09"
[1] "elbo decreased by 7.86531018093228e-09"
[1] "elbo decreased by 1.89902493730187e-09"
[1] "elbo decreased by 1.57306203618646e-08"
[1] "elbo decreased by 1.81862560566515e-08"
[1] "elbo decreased by 7.86167220212519e-09"
[1] "elbo decreased by 1.57269823830575e-08"
[1] "elbo decreased by 2.59642547462136e-08"
[1] "elbo decreased by 1.05173967313021e-08"
[1] "elbo decreased by 1.57269823830575e-08"
[1] "elbo decreased by 8.98580765351653e-10"
[1] "elbo decreased by 2.58878571912646e-08"
[1] "elbo decreased by 3.44516593031585e-09"
[1] "elbo decreased by 7.86531018093228e-09"
[1] "elbo decreased by 4.77230059914291e-08"
[1] "elbo decreased by 7.86894815973938e-09"
[1] "elbo decreased by 1.72713043866679e-08"
[1] "elbo decreased by 7.86531018093228e-09"
[1] "elbo decreased by 1.50654159369878e-07"
[1] "elbo decreased by 1.37151801027358e-08"
[1] "elbo decreased by 7.86167220212519e-09"
[1] "elbo decreased by 7.86894815973938e-09"
[1] "elbo decreased by 2.31011654250324e-10"
[1] "elbo decreased by 7.86531018093228e-09"
[1] "elbo decreased by 6.3388142734766e-08"
[1] "elbo decreased by 7.86531018093228e-09"
[1] "elbo decreased by 9.84728103503585e-08"
[1] "elbo decreased by 5.02041075378656e-09"
[1] "elbo decreased by 7.86531018093228e-09"
[1] "elbo decreased by 7.86894815973938e-09"
[1] "elbo decreased by 3.1814124668017e-09"
[1] "elbo decreased by 5.07316144648939e-09"
[1] "elbo decreased by 7.86894815973938e-09"
[1] "elbo decreased by 1.63709046319127e-10"
[1] "elbo decreased by 7.86167220212519e-09"
[1] "elbo decreased by 1.60398485604674e-08"
[1] "elbo decreased by 7.86167220212519e-09"
[1] "elbo decreased by 1.3923090591561e-07"
[1] "elbo decreased by 9.4369170255959e-09"
[1] "elbo decreased by 3.65362211596221e-08"
[1] "elbo decreased by 3.16867954097688e-09"
[1] "elbo decreased by 1.57269823830575e-08"
[1] "elbo decreased by 3.63797880709171e-11"
[1] "elbo decreased by 1.10581822809763e-07"
[1] "elbo decreased by 3.30146576743573e-09"
[1] "elbo decreased by 7.86167220212519e-09"
[1] "elbo decreased by 2.15550244320184e-09"
[1] "elbo decreased by 7.86894815973938e-09"
[1] "elbo decreased by 8.44484020490199e-08"
[1] "elbo decreased by 1.57306203618646e-08"
[1] "elbo decreased by 2.73757905233651e-09"
[1] "elbo decreased by 2.36468622460961e-11"
[1] "elbo decreased by 1.07684172689915e-09"
[1] "elbo decreased by 7.86531018093228e-09"
[1] "elbo decreased by 3.53975337930024e-09"
[1] "elbo decreased by 1.57342583406717e-08"
[1] "elbo decreased by 8.74933903105557e-10"
[1] "elbo decreased by 1.07374944491312e-07"
[1] "elbo decreased by 2.29592842515558e-08"
[1] "elbo decreased by 5.60794433113188e-09"
[1] "elbo decreased by 7.86894815973938e-09"
[1] "elbo decreased by 1.55341695062816e-09"
[1] "elbo decreased by 9.13678377401084e-08"
[1] "elbo decreased by 7.86894815973938e-09"
[1] "elbo decreased by 7.86531018093228e-09"
[1] "elbo decreased by 7.86531018093228e-09"
[1] "elbo decreased by 8.00355337560177e-11"
[1] "elbo decreased by 7.86167220212519e-09"
[1] "elbo decreased by 3.26326698996127e-09"
[1] "elbo decreased by 1.57269823830575e-08"
[1] "elbo decreased by 6.96672941558063e-10"
[1] "elbo decreased by 8.37644620332867e-08"
[1] "elbo decreased by 1.43154466059059e-09"
[1] "elbo decreased by 7.86531018093228e-09"
[1] "elbo decreased by 1.7871570889838e-08"
[1] "elbo decreased by 7.86531018093228e-09"
[1] "elbo decreased by 7.86531018093228e-09"
[1] "elbo decreased by 3.33748175762594e-08"
[1] "elbo decreased by 1.26601662486792e-09"
[1] "elbo decreased by 7.86531018093228e-09"
[1] "elbo decreased by 6.74845068715513e-10"
[1] "elbo decreased by 7.86531018093228e-09"
[1] "elbo decreased by 8.76389094628394e-09"
[1] "elbo decreased by 2.56477505899966e-09"
[1] "elbo decreased by 1.57269823830575e-08"
[1] "elbo decreased by 6.47560227662325e-10"
[1] "elbo decreased by 5.20230969414115e-10"
[1] "elbo decreased by 1.03565980680287e-07"
[1] "elbo decreased by 4.64206095784903e-09"
[1] "elbo decreased by 9.41599864745513e-08"
[1] "elbo decreased by 1.97305780602619e-08"
[1] "elbo decreased by 7.86531018093228e-09"
[1] "elbo decreased by 1.62799551617354e-09"
[1] "elbo decreased by 1.67134203366004e-07"
[1] "elbo decreased by 1.58615875989199e-08"
[1] "elbo decreased by 4.93419065605849e-08"
[1] "elbo decreased by 1.79952621692792e-08"
[1] "elbo decreased by 2.16459739021957e-09"
[1] "elbo decreased by 6.29370333626866e-10"
[1] "elbo decreased by 1.57306203618646e-08"
[1] "elbo decreased by 8.06103344075382e-08"
[1] "elbo decreased by 1.35878508444875e-09"
[1] "elbo decreased by 7.86531018093228e-09"
[1] "elbo decreased by 8.46666807774454e-08"
[1] "elbo decreased by 7.86531018093228e-09"
[1] "elbo decreased by 3.04626155411825e-08"
[1] "elbo decreased by 7.86167220212519e-09"
[1] "elbo decreased by 2.82798282569274e-08"
[1] "elbo decreased by 1.57306203618646e-08"
[1] "elbo decreased by 3.58868419425562e-08"
[1] "elbo decreased by 1.19962351163849e-08"
[1] "elbo decreased by 1.18157913675532e-07"
[1] "elbo decreased by 1.57306203618646e-08"
[1] "elbo decreased by 2.00270733330399e-08"
[1] "elbo decreased by 1.03427737485617e-08"
[1] "elbo decreased by 7.86531018093228e-09"
[1] "elbo decreased by 8.73696990311146e-08"
[1] "elbo decreased by 7.86167220212519e-09"
[1] "elbo decreased by 9.73523128777742e-09"
[1] "elbo decreased by 5.80384948989376e-08"
[1] "elbo decreased by 2.35922925639898e-08"
[1] "elbo decreased by 7.06131686456501e-09"
[1] "elbo decreased by 2.18278728425503e-11"
[1] "elbo decreased by 4.36848495155573e-08"
[1] "elbo decreased by 3.96539689972997e-10"
[1] "elbo decreased by 9.75342118181288e-08"
[1] "elbo decreased by 3.91410139854997e-08"
[1] "elbo decreased by 7.86531018093228e-09"
[1] "elbo decreased by 1.63126969709992e-08"
[1] "elbo decreased by 1.76441972143948e-09"
[1] "elbo decreased by 9.20408638194203e-10"
[1] "elbo decreased by 1.4915713109076e-10"
[1] "elbo decreased by 7.86167220212519e-09"
[1] "elbo decreased by 2.07213815883733e-07"
[1] "elbo decreased by 7.86531018093228e-09"
[1] "elbo decreased by 1.00280885817483e-08"
[1] "elbo decreased by 7.86894815973938e-09"
[1] "elbo decreased by 7.86531018093228e-09"
[1] "elbo decreased by 7.86531018093228e-09"
[1] "elbo decreased by 8.93487595021725e-09"
[1] "elbo decreased by 9.27684595808387e-11"
[1] "elbo decreased by 4.96438588015735e-08"
[1] "elbo decreased by 1.15142029244453e-09"
[1] "elbo decreased by 7.86167220212519e-09"
[1] "elbo decreased by 1.99033820535988e-08"
[1] "elbo decreased by 1.57306203618646e-08"
[1] "elbo decreased by 1.07229425339028e-08"
[1] "elbo decreased by 7.86531018093228e-09"
[1] "elbo decreased by 7.8580342233181e-09"
[1] "elbo decreased by 1.25000951811671e-07"
[1] "elbo decreased by 4.89108060719445e-08"
[1] "elbo decreased by 1.57306203618646e-08"
[1] "elbo decreased by 7.86531018093228e-09"
[1] "elbo decreased by 1.11973349703476e-07"
[1] "elbo decreased by 1.68220140039921e-08"
[1] "elbo decreased by 1.97906047105789e-09"
[1] "elbo decreased by 5.51117409486324e-08"
[1] "elbo decreased by 7.86531018093228e-09"
[1] "elbo decreased by 1.20962795335799e-08"
[1] "elbo decreased by 7.86167220212519e-09"
[1] "elbo decreased by 1.57269823830575e-08"
[1] "elbo decreased by 6.18456397205591e-10"
[1] "elbo decreased by 7.86531018093228e-09"
[1] "elbo decreased by 5.00094756716862e-08"
[1] "elbo decreased by 3.38695826940238e-09"
[1] "elbo decreased by 4.8748916015029e-10"
[1] "elbo decreased by 5.14646671945229e-08"
[1] "elbo decreased by 1.57233444042504e-08"
[1] "elbo decreased by 1.23636709759012e-08"
[1] "elbo decreased by 7.86167220212519e-09"
[1] "elbo decreased by 1.8208083929494e-09"

This is a plot of the loadings estimate.

bal_pops <- c(rep('A', 40), rep('B', 40), rep('C', 40), rep('D', 40))
plot_loadings(symebcovmf_true_init_backfit$L_pm %*% diag(sqrt(symebcovmf_true_init_backfit$lambda)), bal_pops)

Version Author Date
e557427 Annie Xie 2025-06-03

This is the objective function value:

symebcovmf_true_init_backfit$elbo
[1] 9567.258

This is a heatmap of the estimate of the Gram matrix:

true_init_gram_est <- tcrossprod(symebcovmf_true_init_backfit$L_pm %*% diag(sqrt(symebcovmf_true_init_backfit$lambda)))
plot_heatmap(true_init_gram_est, brks = seq(0, max(abs(true_init_gram_est)), length.out = 50))

Version Author Date
e557427 Annie Xie 2025-06-03

This is the L2 norm of the difference, excluding diagonal entries.

compute_L2_fit(true_init_gram_est, sim_data$YYt)
[1] 28.65337

This is a plot of fitted vs. observed values:

ggplot(data = NULL, aes(x = as.vector(sim_data$YYt), y = as.vector(true_init_gram_est))) + geom_point() + geom_abline(slope = 1, intercept = 0, color = 'red') + xlab('Observed Values') + ylab('Fitted Values')

Version Author Date
e557427 Annie Xie 2025-06-03

Observations

This obtains a higher objective function value than the fit found by greedy symEBcovMF with backfit. So perhaps this is a convergence issue? Is GBCD/EBcovMF better at finding sparse solutions?

Greedy fit of third factor

Here, I investigate the greedy fit of the third factor.

First, we apply symEBcovMF with Kmax = 2 and compute the residual matrix.

symebcovmf_rank2_fit <- sym_ebcovmf_fit(S = sim_data$YYt, ebnm_fn = ebnm::ebnm_point_laplace, K = 2, maxiter = 500, rank_one_tol = 10^(-8), tol = 10^(-8), sign_constraint = NULL, refit_lam = TRUE)
rank2_resid_matrix <- sim_data$YYt - tcrossprod(symebcovmf_rank2_fit$L_pm %*% diag(sqrt(symebcovmf_rank2_fit$lambda)))

This is a plot of the loadings estimate.

plot_loadings(symebcovmf_rank2_fit$L_pm %*% diag(sqrt(symebcovmf_rank2_fit$lambda)), pop_vec)

Version Author Date
f885e97 Annie Xie 2025-06-06

This is a heatmap of the residual matrix.

plot_heatmap(rank2_resid_matrix, colors_range = c('blue','gray96','red'), brks = seq(-max(abs(rank2_resid_matrix)), max(abs(rank2_resid_matrix)), length.out = 50))

Version Author Date
f885e97 Annie Xie 2025-06-06

This is a plot of the first eigenvector of the residual matrix.

resid_eigen <- eigen(rank2_resid_matrix)
resid_eigen$values
  [1] 171.5817410 161.0477430   3.2516791   1.8914179   1.8892252   1.8445382
  [7]   1.7989350   1.7817983   1.7653639   1.7587534   1.7116793   1.6904454
 [13]   1.6853211   1.6682292   1.6511509   1.6306350   1.6131266   1.6032930
 [19]   1.5799509   1.5677465   1.5631696   1.5452447   1.5376858   1.5294380
 [25]   1.5239760   1.4991336   1.4761502   1.4681943   1.4508299   1.4481685
 [31]   1.4340859   1.4155236   1.4059527   1.3925235   1.3872993   1.3689563
 [37]   1.3677734   1.3442793   1.3372803   1.3295967   1.3204132   1.3079759
 [43]   1.3010454   1.2937344   1.2813388   1.2599870   1.2528666   1.2473444
 [49]   1.2358413   1.2265607   1.2170689   1.2119752   1.1937849   1.1835297
 [55]   1.1793317   1.1738489   1.1687484   1.1580997   1.1449292   1.1294945
 [61]   1.1229274   1.1211860   1.1027313   1.0976771   1.0885924   1.0783609
 [67]   1.0742387   1.0646267   1.0567169   1.0497815   1.0446594   1.0352619
 [73]   1.0231551   1.0202241   1.0127963   1.0091184   0.9910066   0.9843088
 [79]   0.9824849   0.9744871   0.9693053   0.9586122   0.9474930   0.9424152
 [85]   0.9349859   0.9319622   0.9264306   0.9183672   0.9032314   0.8925687
 [91]   0.8853594   0.8813229   0.8652179   0.8612146   0.8576021   0.8417088
 [97]   0.8408568   0.8329830   0.8309242   0.8209424   0.8044145   0.7974273
[103]   0.7959607   0.7913412   0.7840256   0.7729424   0.7702311   0.7618305
[109]   0.7554943   0.7452685   0.7425875   0.7385187   0.7309928   0.7292538
[115]   0.7216865   0.7141806   0.7042383   0.6922948   0.6839510   0.6763172
[121]   0.6661686   0.6635065   0.6561362   0.6534873   0.6487729   0.6412373
[127]   0.6348292   0.6310051   0.6238070   0.6168831   0.6124098   0.5966013
[133]   0.5923681   0.5841064   0.5769160   0.5728452   0.5665683   0.5601079
[139]   0.5524242   0.5421155   0.5399952   0.5348951   0.5261593   0.5101013
[145]   0.5069525   0.5009029   0.4931631   0.4838358   0.4802523   0.4745828
[151]   0.4707797   0.4656760   0.4555177   0.4502973   0.4331107   0.4239040
[157]   0.4142222   0.4019326   0.3781879   0.3724339
plot(resid_eigen$vectors[,1])

This is a heatmap of the component that corresponds to the first eigenvector.

plot_heatmap(tcrossprod(resid_eigen$vectors[,1]), colors_range = c('blue','gray96','red'), brks = seq(-max(abs(tcrossprod(resid_eigen$vectors[,1]))), max(abs(tcrossprod(resid_eigen$vectors[,1]))), length.out = 50))

Version Author Date
f885e97 Annie Xie 2025-06-06

Initialize fit with true factor

Now, we try greedily fitting the third factor initialized with the true factor.

n <- ncol(sim_data$YYt)
true_fac3 <- rep(c(0, 1, -1), times = c(n/2, n/4, n/4))
symebcovmf_fac3_fit <- sym_ebcovmf_r1_fit(sim_data$YYt, symebcovmf_rank2_fit, ebnm_fn = ebnm_point_laplace, maxiter = 100, tol = 10^(-8), v_init = true_fac3, sign_constraint = NULL)

This is a plot of the third factor estimate.

plot(symebcovmf_fac3_fit$L_pm[,3], ylab = 'Third Factor')

This is a plot of the ELBO when optimizing the fourth factor.

fac3_idx <- which(symebcovmf_fac3_fit$vec_elbo_full == 3)
plot(symebcovmf_fac3_fit$vec_elbo_full[(fac3_idx+1): length(symebcovmf_fac3_fit$vec_elbo_full)], xlab = 'Iter', ylab = 'ELBO')

This is the objective function value:

symebcovmf_fac3_fit$elbo
[1] -21295.69

Initialize fit with default initialization

This is the fit of the third factor if the default initialization procedure is used.

symebcovmf_fac3_default_init_fit <- sym_ebcovmf_r1_fit(sim_data$YYt, symebcovmf_rank2_fit, ebnm_fn = ebnm_point_laplace, maxiter = 100, tol = 10^(-8), sign_constraint = NULL)

This is a plot of the third factor estimate.

plot(symebcovmf_fac3_default_init_fit$L_pm[,3], ylab = 'Third Factor')

This is a plot of the ELBO when optimizing the third factor.

fac3_idx <- which(symebcovmf_fac3_default_init_fit$vec_elbo_full == 3)
plot(symebcovmf_fac3_default_init_fit$vec_elbo_full[(fac3_idx+1): length(symebcovmf_fac3_default_init_fit$vec_elbo_full)], xlab = 'Iter', ylab = 'ELBO')

This is the objective function value:

symebcovmf_fac3_default_init_fit$elbo
[1] -21150.65

This has a higher objective function value. This suggests that the greedy procedure prefers the estimate from the default initialization. However, the previous section suggests that for overall fit, the objective function prefers the sparser representation. So the greedy method may not be the way to attain the sparser representation?


sessionInfo()
R version 4.3.2 (2023-10-31)
Platform: aarch64-apple-darwin20 (64-bit)
Running under: macOS 15.4.1

Matrix products: default
BLAS:   /Library/Frameworks/R.framework/Versions/4.3-arm64/Resources/lib/libRblas.0.dylib 
LAPACK: /Library/Frameworks/R.framework/Versions/4.3-arm64/Resources/lib/libRlapack.dylib;  LAPACK version 3.11.0

locale:
[1] en_US.UTF-8/en_US.UTF-8/en_US.UTF-8/C/en_US.UTF-8/en_US.UTF-8

time zone: America/Chicago
tzcode source: internal

attached base packages:
[1] stats     graphics  grDevices utils     datasets  methods   base     

other attached packages:
[1] ggplot2_3.5.1   pheatmap_1.0.12 ebnm_1.1-34     workflowr_1.7.1

loaded via a namespace (and not attached):
 [1] gtable_0.3.5       xfun_0.48          bslib_0.8.0        processx_3.8.4    
 [5] lattice_0.22-6     callr_3.7.6        vctrs_0.6.5        tools_4.3.2       
 [9] ps_1.7.7           generics_0.1.3     tibble_3.2.1       fansi_1.0.6       
[13] highr_0.11         pkgconfig_2.0.3    Matrix_1.6-5       SQUAREM_2021.1    
[17] RColorBrewer_1.1-3 lifecycle_1.0.4    truncnorm_1.0-9    farver_2.1.2      
[21] compiler_4.3.2     stringr_1.5.1      git2r_0.33.0       munsell_0.5.1     
[25] getPass_0.2-4      httpuv_1.6.15      htmltools_0.5.8.1  sass_0.4.9        
[29] yaml_2.3.10        later_1.3.2        pillar_1.9.0       jquerylib_0.1.4   
[33] whisker_0.4.1      cachem_1.1.0       trust_0.1-8        RSpectra_0.16-2   
[37] tidyselect_1.2.1   digest_0.6.37      stringi_1.8.4      dplyr_1.1.4       
[41] ashr_2.2-66        labeling_0.4.3     splines_4.3.2      rprojroot_2.0.4   
[45] fastmap_1.2.0      grid_4.3.2         colorspace_2.1-1   cli_3.6.3         
[49] invgamma_1.1       magrittr_2.0.3     utf8_1.2.4         withr_3.0.1       
[53] scales_1.3.0       promises_1.3.0     horseshoe_0.2.0    rmarkdown_2.28    
[57] httr_1.4.7         deconvolveR_1.2-1  evaluate_1.0.0     knitr_1.48        
[61] irlba_2.3.5.1      rlang_1.1.4        Rcpp_1.0.13        mixsqp_0.3-54     
[65] glue_1.8.0         rstudioapi_0.16.0  jsonlite_1.8.9     R6_2.5.1          
[69] fs_1.6.4