Last updated: 2019-05-01

Checks: 6 0

Knit directory: dsc-susie-z/

This reproducible R Markdown analysis was created with workflowr (version 1.3.0). The Checks tab describes the reproducibility checks that were applied when the results were created. The Past versions tab lists the development history.


Great! Since the R Markdown file has been committed to the Git repository, you know the exact version of the code that produced these results.

Great job! The global environment was empty. Objects defined in the global environment can affect the analysis in your R Markdown file in unknown ways. For reproduciblity it’s best to always run the code in an empty environment.

The command set.seed(20190115) was run prior to running the code in the R Markdown file. Setting a seed ensures that any results that rely on randomness, e.g. subsampling or permutations, are reproducible.

Great job! Recording the operating system, R version, and package versions is critical for reproducibility.

Nice! There were no cached chunks for this analysis, so you can be confident that you successfully produced the results during this run.

Great! You are using Git for version control. Tracking code development and connecting the code version to the results is critical for reproducibility. The version displayed above was the version of the Git repository at the time these results were generated.

Note that you need to be careful to ensure that all relevant files for the analysis have been committed to Git prior to generating the results (you can use wflow_publish or wflow_git_commit). workflowr only checks the R Markdown file, but you know if there are other scripts or data files that it depends on. Below is the status of the Git repository when the results were generated:


Ignored files:
    Ignored:    .DS_Store
    Ignored:    .Rhistory
    Ignored:    .Rproj.user/
    Ignored:    .sos/
    Ignored:    analysis/.DS_Store
    Ignored:    data/.DS_Store
    Ignored:    output/.DS_Store

Untracked files:
    Untracked:  data/random_data_31.rds
    Untracked:  data/random_data_31_sim_gaussian_35.rds
    Untracked:  data/random_data_31_sim_gaussian_35_get_sumstats_1.rds
    Untracked:  data/small_data_1.ld_in_file.in.ld
    Untracked:  data/small_data_1.ld_out_file.out.ld
    Untracked:  data/small_data_132.ld_in_file.in.ld
    Untracked:  data/small_data_132.ld_out_file.out.ld
    Untracked:  data/small_data_132_sim_gaussian_12.rds
    Untracked:  data/small_data_132_sim_gaussian_12_get_sumstats_1.rds
    Untracked:  data/small_data_1_sim_gaussian_2.rds
    Untracked:  data/small_data_1_sim_gaussian_2_get_sumstats_1.rds
    Untracked:  data/small_data_46.rds
    Untracked:  data/small_data_46_sim_gaussian_10.rds
    Untracked:  data/small_data_46_sim_gaussian_10_get_sumstats_2.rds
    Untracked:  data/small_data_69.ld_in_file.in.ld
    Untracked:  data/small_data_69.ld_out_file.out.ld
    Untracked:  data/small_data_69.rds
    Untracked:  data/small_data_69_sim_gaussian_3.rds
    Untracked:  data/small_data_69_sim_gaussian_3_get_sumstats_1.rds
    Untracked:  data/small_data_69_sim_gaussian_3_get_sumstats_1_susie_z_1.rds
    Untracked:  data/small_data_69_sim_gaussian_3_get_sumstats_1_susie_z_2.rds
    Untracked:  docs/figure/r_compare_add_z_lambda_finemap.Rmd/
    Untracked:  docs/figure/r_compare_add_z_lambda_susieb_ROC.Rmd/
    Untracked:  figure/
    Untracked:  output/dscoutProblem475.rds
    Untracked:  output/dscoutProblem75.rds
    Untracked:  output/finemap_compare_random_data_null_dscout.rds
    Untracked:  output/finemap_compare_random_data_signal_dscout.rds
    Untracked:  output/finemap_compare_small_data_signal_dscout.rds
    Untracked:  output/finemap_compare_small_data_signal_dscout_RE8.rds
    Untracked:  output/r_compare_FINEMAP_PIP_ROC.rds
    Untracked:  output/r_compare_add_z_FINEMAP_PIP_ROC.rds
    Untracked:  output/r_compare_add_z_FINEMAP_ROC.rds
    Untracked:  output/r_compare_add_z_SuSiEb_ROC.rds
    Untracked:  output/r_compare_add_z_SuSiErss_ROC.rds
    Untracked:  output/r_compare_add_z_dscout_susie_finemap_tibble.rds
    Untracked:  output/r_compare_add_z_lambda_FINEMAP_ROC.rds
    Untracked:  output/r_compare_add_z_lambda_SuSiEb_ROC.rds
    Untracked:  output/r_compare_add_z_lambda_SuSiErss_ROC.rds
    Untracked:  output/r_compare_add_z_lambda_dscout_susie_finemap_tibble.rds
    Untracked:  output/r_compare_dscout_susie_finemappip_tibble.rds
    Untracked:  output/r_compare_dscout_susie_finemappip_truth_tibble.rds
    Untracked:  output/r_compare_susieb_PIP_ROC.rds
    Untracked:  output/r_compare_susiepip_tibble.rds
    Untracked:  output/r_compare_susierss_PIP_ROC.rds
    Untracked:  output/random_data_100_sim_gaussian_null_1_get_sumstats_1_finemap_1.rds
    Untracked:  output/random_data_31_35_fit_em.rds
    Untracked:  output/random_data_76.rds
    Untracked:  output/random_data_76_sim_gaussian_8.rds
    Untracked:  output/random_data_76_sim_gaussian_8_get_sumstats_1.rds
    Untracked:  output/small_data_42_sim_gaussian_36_get_sumstats_2_susie_z_2.rds
    Untracked:  output/small_data_92_sim_gaussian_30_get_sumstats_2_susie_z_2.rds

Unstaged changes:
    Modified:   analysis/SuSiErssNotConverge.Rmd
    Modified:   analysis/SusieZPerformance.Rmd
    Modified:   analysis/SusieZPerformanceRE3.Rmd
    Modified:   output/dsc_susie_z_v_output.rds

Note that any generated files, e.g. HTML, png, CSS, etc., are not included in this status report because it is ok for generated content to have uncommitted changes.


These are the previous versions of the R Markdown and HTML files. If you’ve configured a remote Git repository (see ?wflow_git_remote), click on the hyperlinks in the table below to view them.

File Version Author Date Message
Rmd 87cc5d7 zouyuxin 2019-05-01 wflow_publish(c(“analysis/r_compare_add_z_lambda_susie.Rmd”, “analysis/r_compare_add_z_lambda_finemap.Rmd”,

library(ggplot2)
library(cowplot)
Warning: package 'cowplot' was built under R version 3.5.2

Attaching package: 'cowplot'
The following object is masked from 'package:ggplot2':

    ggsave
library(gridExtra)
library(dplyr)

Attaching package: 'dplyr'
The following object is masked from 'package:gridExtra':

    combine
The following objects are masked from 'package:stats':

    filter, lag
The following objects are masked from 'package:base':

    intersect, setdiff, setequal, union
dscout = readRDS('output/r_compare_add_z_lambda_dscout_susie_finemap_tibble.rds')
dscout$add_z = rep(FALSE, nrow(dscout))
dscout$add_z[dscout$method == 'finemap_add_z'] = TRUE
dscout$add_z[dscout$method == 'susie_bhat_add_z'] = TRUE
dscout$add_z[dscout$method == 'susie_rss_add_z'] = TRUE

dscout = dscout[,-c(2,6,12:16,19)]
colnames(dscout) = c('DSC', 'pve', 'n_signal', 'meta','N_in','method','ld_method','lambda','estimate_residual_variance','converged','susie.pip', 'add_z')
# only success cases
dscout = dscout[!is.na(dscout$converged), ]
dscout = dscout[dscout$converged == 1,]

SuSiE RSS

dscout.susierss.est = dscout %>% filter(method == 'susie_rss') %>% filter(estimate_residual_variance==TRUE) %>% filter(lambda == 0)
dscout.susierss.est.lambda = dscout %>% filter(method == 'susie_rss') %>% filter(estimate_residual_variance==TRUE) %>% filter(lambda == 1e-6)

dscout.susierss.notest = dscout %>% filter(method == 'susie_rss') %>% filter(estimate_residual_variance==FALSE) %>% filter(lambda == 0)
dscout.susierss.notest.lambda = dscout %>% filter(method == 'susie_rss') %>% filter(estimate_residual_variance==FALSE) %>% filter(lambda == 1e-6)

dscout.susierss.addz.est = dscout %>% filter(method == 'susie_rss_add_z') %>% filter(estimate_residual_variance==TRUE) %>% filter(lambda == 0)
dscout.susierss.addz.est.lambda = dscout %>% filter(method == 'susie_rss_add_z') %>% filter(estimate_residual_variance==TRUE) %>% filter(lambda == 1e-6)

dscout.susierss.addz.notest = dscout %>% filter(method == 'susie_rss_add_z') %>% filter(estimate_residual_variance==FALSE) %>% filter(lambda == 0)
dscout.susierss.addz.notest.lambda = dscout %>% filter(method == 'susie_rss_add_z') %>% filter(estimate_residual_variance==FALSE) %>% filter(lambda == 1e-6)

dscout.susierss.list = list('in_sample.est' = dscout.susierss.est %>% filter(ld_method == 'in_sample'),
                            'in_sample.est.lambda' = dscout.susierss.est.lambda %>% filter(ld_method == 'in_sample'),
                            'in_sample.notest' = dscout.susierss.notest %>% filter(ld_method == 'in_sample'),
                            'in_sample.notest.lambda' = dscout.susierss.notest.lambda %>% filter(ld_method == 'in_sample'),
                            'out_sample.est' = dscout.susierss.est %>% filter(ld_method == 'out_sample'),
                            'out_sample.est.lambda' = dscout.susierss.est.lambda %>% filter(ld_method == 'out_sample'),
                            'out_sample.notest' = dscout.susierss.notest %>% filter(ld_method == 'out_sample'),
                            'out_sample.notest.lambda' = dscout.susierss.notest.lambda %>% filter(ld_method == 'out_sample'),
                            'out_sample.addz.est' = dscout.susierss.addz.est,
                            'out_sample.addz.est.lambda' = dscout.susierss.addz.est.lambda,
                            'out_sample.addz.notest' = dscout.susierss.addz.notest,
                            'out_sample.addz.notest.lambda' = dscout.susierss.addz.notest.lambda)

dat = list()
for(name in names(dscout.susierss.list)){
  dat[[name]] = matrix(NA, 0, 2)
}

for(Rtype in names(dat)){
  for(j in 1:nrow(dscout.susierss.list[[Rtype]])){
    datj = cbind(dscout.susierss.list[[Rtype]]$susie.pip[[j]], as.integer(dscout.susierss.list[[Rtype]]$meta[[j]]$true_coef!=0))
    dat[[Rtype]] = rbind(dat[[Rtype]], datj)
  }
  colnames(dat[[Rtype]]) = c('pip', 'truth')
}
bin_size = 20
bins = cbind(seq(1:bin_size)/bin_size-1/bin_size, seq(1:bin_size)/bin_size)

pip_cali = list()
for(name in names(dscout.susierss.list)){
  pip_cali[[name]] = matrix(NA, nrow(bins), 3)
}

for(Rtype in names(pip_cali)){
  for (i in 1:nrow(bins)) {
    data_in_bin = dat[[Rtype]][which(dat[[Rtype]][,1] > bins[i,1] & dat[[Rtype]][,1] < bins[i,2]),, drop=FALSE]
    pip_cali[[Rtype]][i,1] = sum(data_in_bin[,'pip'])
    pip_cali[[Rtype]][i,2] = sum(data_in_bin[,'truth'])
    pip_cali[[Rtype]][i,3] = nrow(data_in_bin)
  }
}

for(Rtype in names(pip_cali)){
  pip_cali[[Rtype]][,c(1,2)] = pip_cali[[Rtype]][,c(1,2)] / pip_cali[[Rtype]][,3]
}
dot_plot = function(dataframe) {
  ggplot(dataframe, aes(x=mean_pip, y=observed_freq)) + 
    geom_errorbar(aes(ymin=observed_freq-se, ymax=observed_freq+se), colour="gray", size = 0.2, width=.01) + 
    geom_point(size=1.5, shape=21, fill="#002b36") + # 21 is filled circle 
    xlab("Mean PIP") +
    ylab("Observed frequency") +
    coord_cartesian(ylim=c(0,1), xlim=c(0,1)) +
    geom_abline(slope=1,intercept=0,colour='red', size=0.2) +
    expand_limits(y=0) +                        # Expand y range
    theme_cowplot()
}

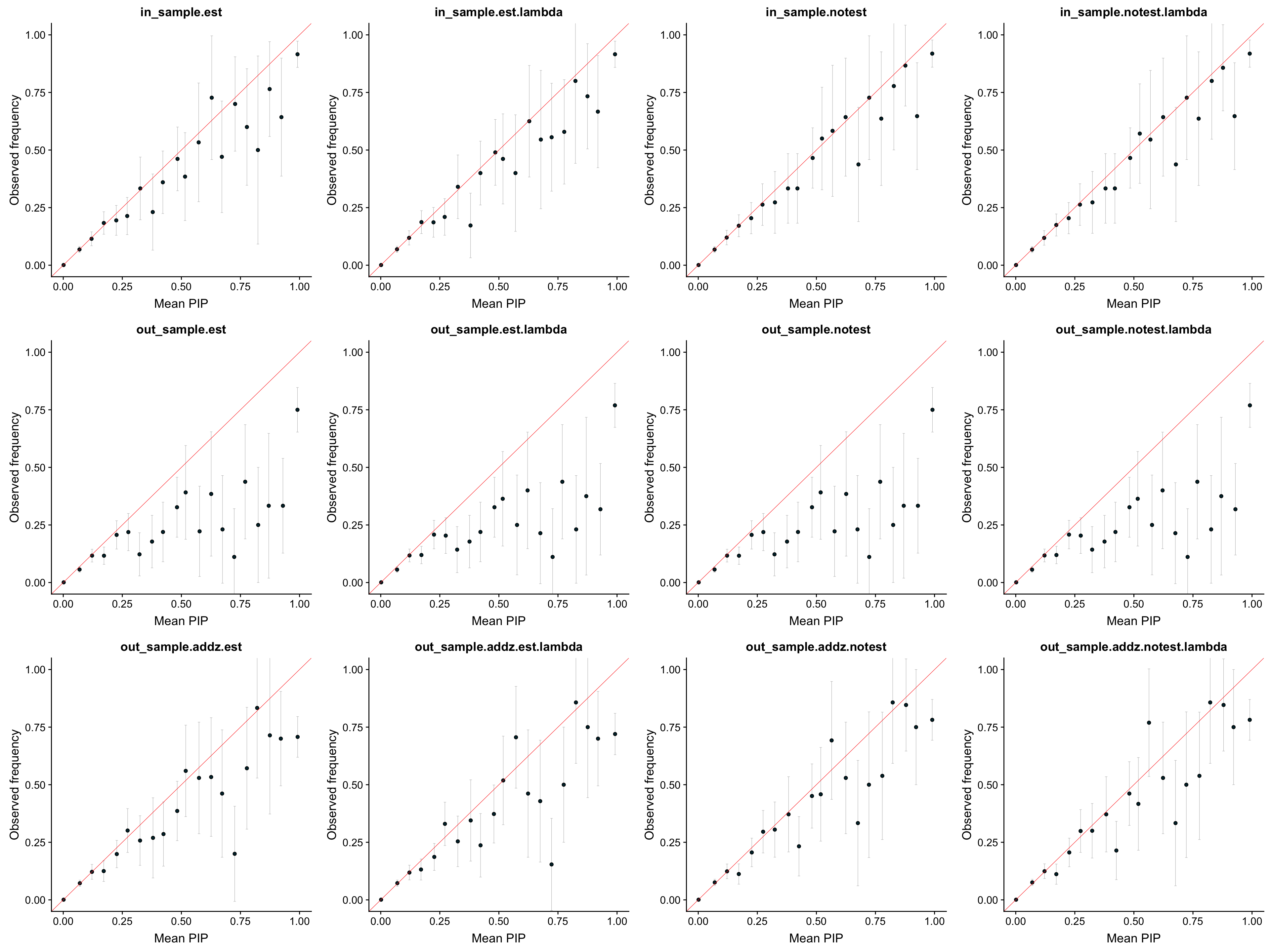
Calibrated PIP

Power vs FDR

pip_cutoff = 0.05

roc_data = function(d1, cutoff = c(pip_cutoff, 0.999), connect_org = F) {
  grid = 500
  ttv = seq(1:grid)/grid
  ttv = ttv[which(ttv>=cutoff[1] & ttv<=cutoff[2])]
  rst1 = t(sapply(ttv, function(x) c(sum(d1[,2][d1[,1]>=x]), length(d1[,2][d1[,1]>=x]), sum(d1[,2][d1[,1]>=x]==0))))
  rst1 = cbind(rst1, sum(d1[,2]), sum(1-d1[,2]))
  rst1 = as.data.frame(rst1)
  colnames(rst1) = c('true_positive', 'total_positive', 'false_positive', 'total_signal','total_null')
  rst2 = as.data.frame(cbind(rst1$true_positive / rst1$total_positive, rst1$true_positive / rst1$total_signal,  ttv))
  if (connect_org) {
    # make a stair to origin
    rst2 = rbind(rst2, c(max(0.995, rst2[nrow(rst2),1]), max(rst2[nrow(rst2),2]-0.01, 0), rst2[nrow(rst2),3]))
    rst2 = rbind(rst2, c(1, 0, 1))
  }
  colnames(rst2) = c('Precision', 'Recall', 'Threshold')
  return(list(counts = rst1, rates = rst2))
}

print("Computing ROC data ...")
[1] "Computing ROC data ..."
roc = list()
for (method in names(dat)) {
  roc[[method]] = roc_data(dat[[method]])
}
saveRDS(roc, 'output/r_compare_add_z_lambda_SuSiErss_ROC.rds')
roc = readRDS('output/r_compare_add_z_lambda_SuSiErss_ROC.rds')
chunks = 0
smooth = FALSE
colors = c('#A60628', '#7A68A6', '#348ABD', '#467821', '#FF0000', '#188487', '#E2A233','#A9A9A9', '#000000', '#FF00FF', '#FFD700', '#ADFF2F', '#00FFFF')
library(scam)
Loading required package: mgcv
Loading required package: nlme

Attaching package: 'nlme'
The following object is masked from 'package:dplyr':

    collapse
This is mgcv 1.8-26. For overview type 'help("mgcv-package")'.
This is scam 1.2-3.
create_chunks = function(item, n) {
  splitted = suppressWarnings(split(item, 1:n))
  return(c(splitted[[1]], splitted[[length(splitted)]][length(splitted[[length(splitted)]])]))
}
make_smooth = function(x,y,subset=chunks, smooth = FALSE){
  if (smooth) {
    if (subset < length(x) && subset > 0) {
      x = create_chunks(x, subset)
      y = create_chunks(y, subset)
    }
    dat = data.frame(cbind(x,y))
    colnames(dat) = c('x','y')
    y=predict(scam(y ~ s(x, bs = "mpi"), data = dat))
    }
  return(list(x=x,y=y))
}
add_text = function(thresholds,x,y,threshold,color,delta = -0.06) {
  idx = which(thresholds == threshold)
  text(x[idx] - delta,y[idx],labels = threshold,col = color,cex = 0.8)
  points(x[idx], y[idx])
}
labels = vector()
i = 1
for (method in names(roc)) {
  yy = make_smooth(1 - roc[[method]]$rates$Precision, roc[[method]]$rates$Recall)
  if (i == 1) {
    plot(yy$x, yy$y, t="l", col=colors[i], ylab = "power", xlab ="FDR", main = 'Power vs FDR', bty='l', lwd = 2, xlim = c(0,0.8), ylim = c(0,0.8))
  } else {
    lines(yy$x, yy$y, col=colors[i], lwd = 2, xlim = c(0,0.8), ylim = c(0,0.8))
  }
  #add_text(dat[[method]]$rates$Threshold, yy$x, yy$y, 0.9, colors[i])
  add_text(roc[[method]]$rates$Threshold, yy$x, yy$y, 0.95, colors[i])
  labels[i] = method
  i = i + 1
}
legend("topright", legend=labels, col=colors[1:i], lty=c(1,1,1), cex=0.8)

ROC

tmp = list()
for (method in names(roc)) {
  TPR = roc[[method]]$counts$true_positive/roc[[method]]$counts$total_signal
  FPR = roc[[method]]$counts$false_positive/roc[[method]]$counts$total_null
  threshold = roc[[method]]$rates$Threshold
  tmp[[method]] = list(TPR = TPR, FPR = FPR, threshold = threshold)
}
roc = tmp
labels = vector()
i = 1
for (method in names(roc)) {
  yy = make_smooth(roc[[method]]$FPR, roc[[method]]$TPR)
  if (i == 1) {
    plot(yy$x, yy$y, t="l", col=colors[i], ylab = "True Positive Rate", xlab ="False Positive Rate", main = 'ROC', bty='l', lwd = 3, xlim = c(0,0.005), ylim = c(0,0.6))
  } else {
    lines(yy$x, yy$y, col=colors[i], lwd = 2, xlim = c(0,0.005), ylim = c(0,0.6))
  }
  #add_text(dat[[method]]$rates$Threshold, yy$x, yy$y, 0.9, colors[i])
  add_text(roc[[method]]$threshold, yy$x, yy$y, 0.95, colors[i])
  labels[i] = method
  i = i + 1
}
legend("bottomright", legend=labels, col=colors[1:i], lty=rep(1, i), cex=0.8, lwd=rep(3, i))


sessionInfo()
R version 3.5.1 (2018-07-02)
Platform: x86_64-apple-darwin15.6.0 (64-bit)
Running under: macOS  10.14.4

Matrix products: default
BLAS: /Library/Frameworks/R.framework/Versions/3.5/Resources/lib/libRblas.0.dylib
LAPACK: /Library/Frameworks/R.framework/Versions/3.5/Resources/lib/libRlapack.dylib

locale:
[1] en_US.UTF-8/en_US.UTF-8/en_US.UTF-8/C/en_US.UTF-8/en_US.UTF-8

attached base packages:
[1] stats     graphics  grDevices utils     datasets  methods   base     

other attached packages:
[1] scam_1.2-3     mgcv_1.8-26    nlme_3.1-137   bindrcpp_0.2.2
[5] dplyr_0.7.8    gridExtra_2.3  cowplot_0.9.4  ggplot2_3.1.0 

loaded via a namespace (and not attached):
 [1] Rcpp_1.0.0       compiler_3.5.1   pillar_1.3.1     git2r_0.24.0    
 [5] plyr_1.8.4       workflowr_1.3.0  bindr_0.1.1      tools_3.5.1     
 [9] digest_0.6.18    lattice_0.20-38  evaluate_0.12    tibble_2.0.1    
[13] gtable_0.2.0     pkgconfig_2.0.2  rlang_0.3.1      Matrix_1.2-15   
[17] yaml_2.2.0       withr_2.1.2      stringr_1.3.1    knitr_1.20      
[21] fs_1.2.6         rprojroot_1.3-2  grid_3.5.1       tidyselect_0.2.5
[25] glue_1.3.0       R6_2.3.0         rmarkdown_1.11   purrr_0.2.5     
[29] magrittr_1.5     whisker_0.3-2    splines_3.5.1    backports_1.1.3 
[33] scales_1.0.0     htmltools_0.3.6  assertthat_0.2.0 colorspace_1.4-0
[37] labeling_0.3     stringi_1.2.4    lazyeval_0.2.1   munsell_0.5.0   
[41] crayon_1.3.4