Last updated: 2019-04-30
Checks: 6 0
Knit directory: dsc-susie-z/
This reproducible R Markdown analysis was created with workflowr (version 1.3.0). The Checks tab describes the reproducibility checks that were applied when the results were created. The Past versions tab lists the development history.
Great! Since the R Markdown file has been committed to the Git repository, you know the exact version of the code that produced these results.
Great job! The global environment was empty. Objects defined in the global environment can affect the analysis in your R Markdown file in unknown ways. For reproduciblity it’s best to always run the code in an empty environment.
The command set.seed(20190115) was run prior to running the code in the R Markdown file. Setting a seed ensures that any results that rely on randomness, e.g. subsampling or permutations, are reproducible.
Great job! Recording the operating system, R version, and package versions is critical for reproducibility.
Nice! There were no cached chunks for this analysis, so you can be confident that you successfully produced the results during this run.
Great! You are using Git for version control. Tracking code development and connecting the code version to the results is critical for reproducibility. The version displayed above was the version of the Git repository at the time these results were generated.
Note that you need to be careful to ensure that all relevant files for the analysis have been committed to Git prior to generating the results (you can use wflow_publish or wflow_git_commit). workflowr only checks the R Markdown file, but you know if there are other scripts or data files that it depends on. Below is the status of the Git repository when the results were generated:
Ignored files:
Ignored: .DS_Store
Ignored: .Rhistory
Ignored: .Rproj.user/
Ignored: .sos/
Ignored: analysis/.DS_Store
Ignored: data/.DS_Store
Ignored: output/.DS_Store
Untracked files:
Untracked: analysis/r_compare_add_z_ROC.Rmd
Untracked: data/random_data_31.rds
Untracked: data/random_data_31_sim_gaussian_35.rds
Untracked: data/random_data_31_sim_gaussian_35_get_sumstats_1.rds
Untracked: data/small_data_1.ld_in_file.in.ld
Untracked: data/small_data_1.ld_out_file.out.ld
Untracked: data/small_data_132.ld_in_file.in.ld
Untracked: data/small_data_132.ld_out_file.out.ld
Untracked: data/small_data_132_sim_gaussian_12.rds
Untracked: data/small_data_132_sim_gaussian_12_get_sumstats_1.rds
Untracked: data/small_data_1_sim_gaussian_2.rds
Untracked: data/small_data_1_sim_gaussian_2_get_sumstats_1.rds
Untracked: data/small_data_46.rds
Untracked: data/small_data_46_sim_gaussian_10.rds
Untracked: data/small_data_46_sim_gaussian_10_get_sumstats_2.rds
Untracked: data/small_data_69.ld_in_file.in.ld
Untracked: data/small_data_69.ld_out_file.out.ld
Untracked: data/small_data_69.rds
Untracked: data/small_data_69_sim_gaussian_3.rds
Untracked: data/small_data_69_sim_gaussian_3_get_sumstats_1.rds
Untracked: data/small_data_69_sim_gaussian_3_get_sumstats_1_susie_z_1.rds
Untracked: data/small_data_69_sim_gaussian_3_get_sumstats_1_susie_z_2.rds
Untracked: figure/
Untracked: output/dscoutProblem475.rds
Untracked: output/dscoutProblem75.rds
Untracked: output/finemap_compare_random_data_null_dscout.rds
Untracked: output/finemap_compare_random_data_signal_dscout.rds
Untracked: output/finemap_compare_small_data_signal_dscout.rds
Untracked: output/finemap_compare_small_data_signal_dscout_RE8.rds
Untracked: output/r_compare_FINEMAP_PIP_ROC.rds
Untracked: output/r_compare_add_z_FINEMAP_PIP_ROC.rds
Untracked: output/r_compare_add_z_FINEMAP_ROC.rds
Untracked: output/r_compare_add_z_SuSiEb_ROC.rds
Untracked: output/r_compare_add_z_SuSiErss_ROC.rds
Untracked: output/r_compare_add_z_dscout_susie_finemap_tibble.rds
Untracked: output/r_compare_dscout_susie_finemappip_tibble.rds
Untracked: output/r_compare_dscout_susie_finemappip_truth_tibble.rds
Untracked: output/r_compare_susieb_PIP_ROC.rds
Untracked: output/r_compare_susiepip_tibble.rds
Untracked: output/r_compare_susierss_PIP_ROC.rds
Untracked: output/random_data_100_sim_gaussian_null_1_get_sumstats_1_finemap_1.rds
Untracked: output/random_data_31_35_fit_em.rds
Untracked: output/random_data_76.rds
Untracked: output/random_data_76_sim_gaussian_8.rds
Untracked: output/random_data_76_sim_gaussian_8_get_sumstats_1.rds
Untracked: output/small_data_42_sim_gaussian_36_get_sumstats_2_susie_z_2.rds
Untracked: output/small_data_92_sim_gaussian_30_get_sumstats_2_susie_z_2.rds
Unstaged changes:
Modified: analysis/SuSiErssNotConverge.Rmd
Modified: analysis/SusieZPerformance.Rmd
Modified: analysis/SusieZPerformanceRE3.Rmd
Modified: output/dsc_susie_z_v_output.rds
Note that any generated files, e.g. HTML, png, CSS, etc., are not included in this status report because it is ok for generated content to have uncommitted changes.
These are the previous versions of the R Markdown and HTML files. If you’ve configured a remote Git repository (see ?wflow_git_remote), click on the hyperlinks in the table below to view them.
| File | Version | Author | Date | Message |
|---|---|---|---|---|
| Rmd | c5d67d7 | zouyuxin | 2019-04-30 | wflow_publish(c(“analysis/r_compare_add_z_susie.Rmd”, |
| html | ee47894 | zouyuxin | 2019-04-25 | Build site. |
| Rmd | c3b6e8b | zouyuxin | 2019-04-25 | wflow_publish(c(“analysis/r_compare_susie_ROC.Rmd”, “analysis/r_compare_add_z_finemap.Rmd”, “analysis/r_compare_add_z_susieb_ROC.Rmd”, |
| html | d78233d | zouyuxin | 2019-04-24 | Build site. |
| Rmd | 5b02591 | zouyuxin | 2019-04-24 | wflow_publish(c(“analysis/r_compare_add_z_susie.Rmd”, “analysis/r_compare_add_z_finemap.Rmd”, |
library(ggplot2)
library(cowplot)
Warning: package 'cowplot' was built under R version 3.5.2
Attaching package: 'cowplot'
The following object is masked from 'package:ggplot2':
ggsave
library(gridExtra)
dscout = readRDS('output/r_compare_add_z_dscout_susie_finemap_tibble.rds')
dscout$method = rep(NA, nrow(dscout))
dscout$method[!is.na(dscout$susie.maxL)] = 'susie'
dscout$method[!is.na(dscout$susie_bhat.L)] = 'susie_b'
dscout$method[!is.na(dscout$susie_bhat_add_z.L)] = 'susie_b'
dscout$method[!is.na(dscout$susie_rss.L)] = 'susie_rss'
dscout$method[!is.na(dscout$susie_rss_add_z.L)] = 'susie_rss'
dscout$method[!is.na(dscout$finemap.ld_method)] = 'finemap'
dscout$method[!is.na(dscout$finemap_add_z.ld_method)] = 'finemap'
dscout$add_z = rep(FALSE, nrow(dscout))
dscout$add_z[!is.na(dscout$susie_bhat_add_z.L)] = TRUE
dscout$add_z[!is.na(dscout$susie_rss_add_z.L)] = TRUE
dscout$add_z[!is.na(dscout$finemap_add_z.ld_method)] = TRUE
dscout$ld_method = dscout$susie_bhat.ld_method
dscout$ld_method[!is.na(dscout$susie_bhat_add_z.ld_method)] = dscout$susie_bhat_add_z.ld_method[!is.na(dscout$susie_bhat_add_z.ld_method)]
dscout$ld_method[!is.na(dscout$susie_rss.ld_method)] = dscout$susie_rss.ld_method[!is.na(dscout$susie_rss.ld_method)]
dscout$ld_method[!is.na(dscout$susie_rss_add_z.ld_method)] = dscout$susie_rss_add_z.ld_method[!is.na(dscout$susie_rss_add_z.ld_method)]
dscout$ld_method[!is.na(dscout$finemap.ld_method)] = dscout$finemap.ld_method[!is.na(dscout$finemap.ld_method)]
dscout$ld_method[!is.na(dscout$finemap_add_z.ld_method)] = dscout$finemap_add_z.ld_method[!is.na(dscout$finemap_add_z.ld_method)]
dscout$L = dscout$susie.maxL
dscout$L[!is.na(dscout$susie_bhat.L)] = dscout$susie_bhat.L[!is.na(dscout$susie_bhat.L)]
dscout$L[!is.na(dscout$susie_bhat_add_z.L)] = dscout$susie_bhat_add_z.L[!is.na(dscout$susie_bhat_add_z.L)]
dscout$L[!is.na(dscout$susie_rss.L)] = dscout$susie_rss.L[!is.na(dscout$susie_rss.L)]
dscout$L[!is.na(dscout$susie_rss_add_z.L)] = dscout$susie_rss_add_z.L[!is.na(dscout$susie_rss_add_z.L)]
dscout = dscout[,-c(2,6,8:23,26)]
colnames(dscout) = c('DSC', 'pve', 'n_signal', 'meta','N_in','converged','susie.pip', 'method', 'add_z', 'ld_method', 'L')
dscout.susierss = dscout[dscout$method == 'susie_rss',]
dscout.susierss = dscout.susierss[dscout.susierss$L==5,]
dscout.susierss = dscout.susierss[dscout.susierss$converged==TRUE,]
dscout.susierss.list = list('in_sample' = dscout.susierss[dscout.susierss$ld_method == 'in_sample',],
'out_sample' = dscout.susierss[as.logical((dscout.susierss$ld_method == 'out_sample')*(dscout.susierss$add_z == FALSE)),],
'out_sample.addz' = dscout.susierss[as.logical((dscout.susierss$ld_method == 'out_sample')*(dscout.susierss$add_z == TRUE)),],
'all' = dscout.susierss[as.logical((dscout.susierss$ld_method == 'all')*(dscout.susierss$add_z == FALSE)),],
'all.addz' = dscout.susierss[as.logical((dscout.susierss$ld_method == 'all')*(dscout.susierss$add_z == TRUE)),])
dat = list('in_sample'=matrix(NA, 0, 2), 'out_sample'=matrix(NA, 0, 2), 'out_sample.addz'=matrix(NA, 0, 2), 'all'=matrix(NA, 0, 2), 'all.addz'=matrix(NA, 0, 2))
for(Rtype in names(dat)){
for(j in 1:nrow(dscout.susierss.list[[Rtype]])){
datj = cbind(dscout.susierss.list[[Rtype]]$susie.pip[[j]], as.integer(dscout.susierss.list[[Rtype]]$meta[[j]]$true_coef!=0))
dat[[Rtype]] = rbind(dat[[Rtype]], datj)
}
colnames(dat[[Rtype]]) = c('pip', 'truth')
}
dat = dat[-c(4,5)]
bin_size = 20
bins = cbind(seq(1:bin_size)/bin_size-1/bin_size, seq(1:bin_size)/bin_size)
pip_cali = list('in_sample'=matrix(NA, nrow(bins), 3), 'out_sample'=matrix(NA, nrow(bins), 3), 'out_sample.addz'=matrix(NA, nrow(bins), 3))#, 'all'=matrix(NA, nrow(bins), 3), 'all.addz'=matrix(NA, nrow(bins), 3))
for(Rtype in names(pip_cali)){
for (i in 1:nrow(bins)) {
data_in_bin = dat[[Rtype]][which(dat[[Rtype]][,1] > bins[i,1] & dat[[Rtype]][,1] < bins[i,2]),, drop=FALSE]
pip_cali[[Rtype]][i,1] = sum(data_in_bin[,'pip'])
pip_cali[[Rtype]][i,2] = sum(data_in_bin[,'truth'])
pip_cali[[Rtype]][i,3] = nrow(data_in_bin)
}
}
for(Rtype in names(pip_cali)){
pip_cali[[Rtype]][,c(1,2)] = pip_cali[[Rtype]][,c(1,2)] / pip_cali[[Rtype]][,3]
}
dot_plot = function(dataframe) {
ggplot(dataframe, aes(x=mean_pip, y=observed_freq)) +
geom_errorbar(aes(ymin=observed_freq-se, ymax=observed_freq+se), colour="gray", size = 0.2, width=.01) +
geom_point(size=1.5, shape=21, fill="#002b36") + # 21 is filled circle
xlab("Mean PIP") +
ylab("Observed frequency") +
coord_cartesian(ylim=c(0,1), xlim=c(0,1)) +
geom_abline(slope=1,intercept=0,colour='red', size=0.2) +
expand_limits(y=0) + # Expand y range
theme_cowplot()
}
pip_cutoff = 0.05
roc_data = function(d1, cutoff = c(pip_cutoff, 0.999), connect_org = T) {
grid = 500
ttv = seq(1:grid)/grid
ttv = ttv[which(ttv>=cutoff[1] & ttv<=cutoff[2])]
rst1 = t(sapply(ttv, function(x) c(sum(d1[,2][d1[,1]>=x]), length(d1[,2][d1[,1]>=x]))))
rst1 = cbind(rst1, sum(d1[,2]))
rst1 = as.data.frame(rst1)
colnames(rst1) = c('true_positive', 'total_positive', 'total_signal')
rst2 = as.data.frame(cbind(rst1$true_positive / rst1$total_positive, rst1$true_positive / rst1$total_signal, ttv))
if (connect_org) {
# make a stair to origin
rst2 = rbind(rst2, c(max(0.995, rst2[nrow(rst2),1]), max(rst2[nrow(rst2),2]-0.01, 0), rst2[nrow(rst2),3]))
rst2 = rbind(rst2, c(1, 0, 1))
}
colnames(rst2) = c('Precision', 'Recall', 'Threshold')
return(list(counts = rst1, rates = rst2))
}
print("Computing ROC data ...")
[1] "Computing ROC data ..."
roc = list()
for (method in names(dat)) {
roc[[method]] = roc_data(dat[[method]])
}
chunks = 0
smooth = FALSE
colors = c('#A60628', '#7A68A6', '#348ABD', '#467821', '#FF0000', '#188487', '#E2A233','#A9A9A9', '#000000', '#FF00FF', '#FFD700', '#ADFF2F', '#00FFFF')
library(scam)
Loading required package: mgcv
Loading required package: nlme
This is mgcv 1.8-26. For overview type 'help("mgcv-package")'.
This is scam 1.2-3.
create_chunks = function(item, n) {
splitted = suppressWarnings(split(item, 1:n))
return(c(splitted[[1]], splitted[[length(splitted)]][length(splitted[[length(splitted)]])]))
}
make_smooth = function(x,y,subset=chunks, smooth = FALSE){
if (smooth) {
if (subset < length(x) && subset > 0) {
x = create_chunks(x, subset)
y = create_chunks(y, subset)
}
dat = data.frame(cbind(x,y))
colnames(dat) = c('x','y')
y=predict(scam(y ~ s(x, bs = "mpi"), data = dat))
}
return(list(x=x,y=y))
}
add_text = function(thresholds,x,y,threshold,color,delta = -0.06) {
idx = which(thresholds == threshold)
text(x[idx] - delta,y[idx],labels = threshold,col = color,cex = 0.8)
points(x[idx], y[idx])
}
labels = vector()
i = 1
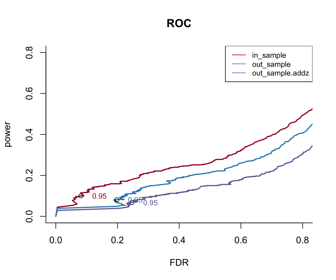
for (method in names(roc)) {
yy = make_smooth(1 - roc[[method]]$rates$Precision, roc[[method]]$rates$Recall)
if (i == 1) {
plot(yy$x, yy$y, t="l", col=colors[i], ylab = "power", xlab ="FDR", main = 'ROC', bty='l', lwd = 2, xlim = c(0,0.8), ylim = c(0,0.8))
} else {
lines(yy$x, yy$y, col=colors[i], lwd = 2, xlim = c(0,0.8), ylim = c(0,0.8))
}
#add_text(dat[[method]]$rates$Threshold, yy$x, yy$y, 0.9, colors[i])
add_text(roc[[method]]$rates$Threshold, yy$x, yy$y, 0.95, colors[i])
labels[i] = method
i = i + 1
}
legend("topright", legend=labels, col=colors[1:i], lty=c(1,1,1), cex=0.8)

dscout.susierss = dscout[dscout$method == 'susie_rss',]
dscout.susierss = dscout.susierss[dscout.susierss$L==5,]
dscout.susierss.suc = dscout.susierss[dscout.susierss$converged==TRUE,]
dscout.susierss.suc = dscout.susierss.suc[dscout.susierss.suc$n_signal == 1,]
dscout.susierss.suc.list = list('in_sample' = dscout.susierss.suc[dscout.susierss.suc$ld_method == 'in_sample',],
'out_sample' = dscout.susierss.suc[as.logical((dscout.susierss.suc$ld_method == 'out_sample')*(dscout.susierss.suc$add_z == FALSE)),],
'out_sample.addz' = dscout.susierss.suc[as.logical((dscout.susierss.suc$ld_method == 'out_sample')*(dscout.susierss.suc$add_z == TRUE)),],
'all' = dscout.susierss.suc[as.logical((dscout.susierss.suc$ld_method == 'all')*(dscout.susierss.suc$add_z == FALSE)),],
'all.addz' = dscout.susierss.suc[as.logical((dscout.susierss.suc$ld_method == 'all')*(dscout.susierss.suc$add_z == TRUE)),])
dat = list('in_sample'=matrix(NA, 0, 2), 'out_sample'=matrix(NA, 0, 2), 'out_sample.addz'=matrix(NA, 0, 2), 'all'=matrix(NA, 0, 2), 'all.addz'=matrix(NA, 0, 2))
for(method in names(dat)){
for(j in 1:nrow(dscout.susierss.suc.list[[method]])){
datj = cbind(dscout.susierss.suc.list[[method]]$susie.pip[[j]], as.integer(dscout.susierss.suc.list[[method]]$meta[[j]]$true_coef!=0))
dat[[method]] = rbind(dat[[method]], datj)
}
colnames(dat[[method]]) = c('pip', 'truth')
}
bin_size = 20
bins = cbind(seq(1:bin_size)/bin_size-1/bin_size, seq(1:bin_size)/bin_size)
pip_cali = list('in_sample'=matrix(NA, nrow(bins), 3), 'out_sample'=matrix(NA, nrow(bins), 3), 'out_sample.addz'=matrix(NA, nrow(bins), 3), 'all'=matrix(NA, nrow(bins), 3), 'all.addz'=matrix(NA, nrow(bins), 3))
for(Rtype in names(pip_cali)){
for (i in 1:nrow(bins)) {
data_in_bin = dat[[Rtype]][which(dat[[Rtype]][,1] > bins[i,1] & dat[[Rtype]][,1] < bins[i,2]),, drop=FALSE]
pip_cali[[Rtype]][i,1] = sum(data_in_bin[,'pip'])
pip_cali[[Rtype]][i,2] = sum(data_in_bin[,'truth'])
pip_cali[[Rtype]][i,3] = nrow(data_in_bin)
}
}
for(Rtype in names(pip_cali)){
pip_cali[[Rtype]][,c(1,2)] = pip_cali[[Rtype]][,c(1,2)] / pip_cali[[Rtype]][,3]
}
g = list()
idx = 0
for(Rtype in names(pip_cali)){
idx = idx + 1
pip_cali[[Rtype]][,3] = sqrt(pip_cali[[Rtype]][,2] * (1 - pip_cali[[Rtype]][,2]) / pip_cali[[Rtype]][,3]) * 2
pip_cali[[Rtype]] = as.data.frame(pip_cali[[Rtype]])
colnames(pip_cali[[Rtype]]) = c("mean_pip", "observed_freq", "se")
g[[Rtype]] = dot_plot(pip_cali[[Rtype]]) + ggtitle(Rtype)
}
grid.arrange(g[[1]], g[[2]], g[[3]], g[[4]], g[[5]],nrow = 2)

print("Computing ROC data ...")
[1] "Computing ROC data ..."
roc = list()
for (method in names(dat)) {
roc[[method]] = roc_data(dat[[method]])
}
labels = vector()
i = 1
for (method in names(roc)) {
yy = make_smooth(1 - roc[[method]]$rates$Precision, roc[[method]]$rates$Recall)
if (i == 1) {
plot(yy$x, yy$y, t="l", col=colors[i], ylab = "power", xlab ="FDR", main = 'ROC', bty='l', lwd = 2, xlim = c(0,0.8), ylim = c(0,0.8))
} else {
lines(yy$x, yy$y, col=colors[i], lwd = 2, xlim = c(0,0.8), ylim = c(0,0.8))
}
#add_text(dat[[method]]$rates$Threshold, yy$x, yy$y, 0.9, colors[i])
add_text(roc[[method]]$rates$Threshold, yy$x, yy$y, 0.95, colors[i])
labels[i] = method
i = i + 1
}
legend("topright", legend=labels, col=colors[1:i], lty=c(1,1,1), cex=0.8)

sessionInfo()
R version 3.5.1 (2018-07-02)
Platform: x86_64-apple-darwin15.6.0 (64-bit)
Running under: macOS 10.14.4
Matrix products: default
BLAS: /Library/Frameworks/R.framework/Versions/3.5/Resources/lib/libRblas.0.dylib
LAPACK: /Library/Frameworks/R.framework/Versions/3.5/Resources/lib/libRlapack.dylib
locale:
[1] en_US.UTF-8/en_US.UTF-8/en_US.UTF-8/C/en_US.UTF-8/en_US.UTF-8
attached base packages:
[1] stats graphics grDevices utils datasets methods base
other attached packages:
[1] scam_1.2-3 mgcv_1.8-26 nlme_3.1-137 gridExtra_2.3 cowplot_0.9.4
[6] ggplot2_3.1.0
loaded via a namespace (and not attached):
[1] Rcpp_1.0.0 compiler_3.5.1 pillar_1.3.1 git2r_0.24.0
[5] plyr_1.8.4 workflowr_1.3.0 bindr_0.1.1 tools_3.5.1
[9] digest_0.6.18 lattice_0.20-38 evaluate_0.12 tibble_2.0.1
[13] gtable_0.2.0 pkgconfig_2.0.2 rlang_0.3.1 Matrix_1.2-15
[17] yaml_2.2.0 bindrcpp_0.2.2 withr_2.1.2 stringr_1.3.1
[21] dplyr_0.7.8 knitr_1.20 fs_1.2.6 rprojroot_1.3-2
[25] grid_3.5.1 tidyselect_0.2.5 glue_1.3.0 R6_2.3.0
[29] rmarkdown_1.11 purrr_0.2.5 magrittr_1.5 whisker_0.3-2
[33] splines_3.5.1 backports_1.1.3 scales_1.0.0 htmltools_0.3.6
[37] assertthat_0.2.0 colorspace_1.4-0 labeling_0.3 stringi_1.2.4
[41] lazyeval_0.2.1 munsell_0.5.0 crayon_1.3.4