Last updated: 2018-07-14

Code version: cec3828

GTEx data

data = readRDS('../data/MatrixEQTLSumStats.Portable.Z.rds')
Z = data$test.z

Flash:

flash.data = flash_set_data(Z)
f_greedy = flash_add_greedy(flash.data, K=30)
f_b = flash_backfit(flash.data, f_greedy)

saveRDS(list(backfit = f_b, greedy = f_greedy), '../output/GTExVarCol.rds')

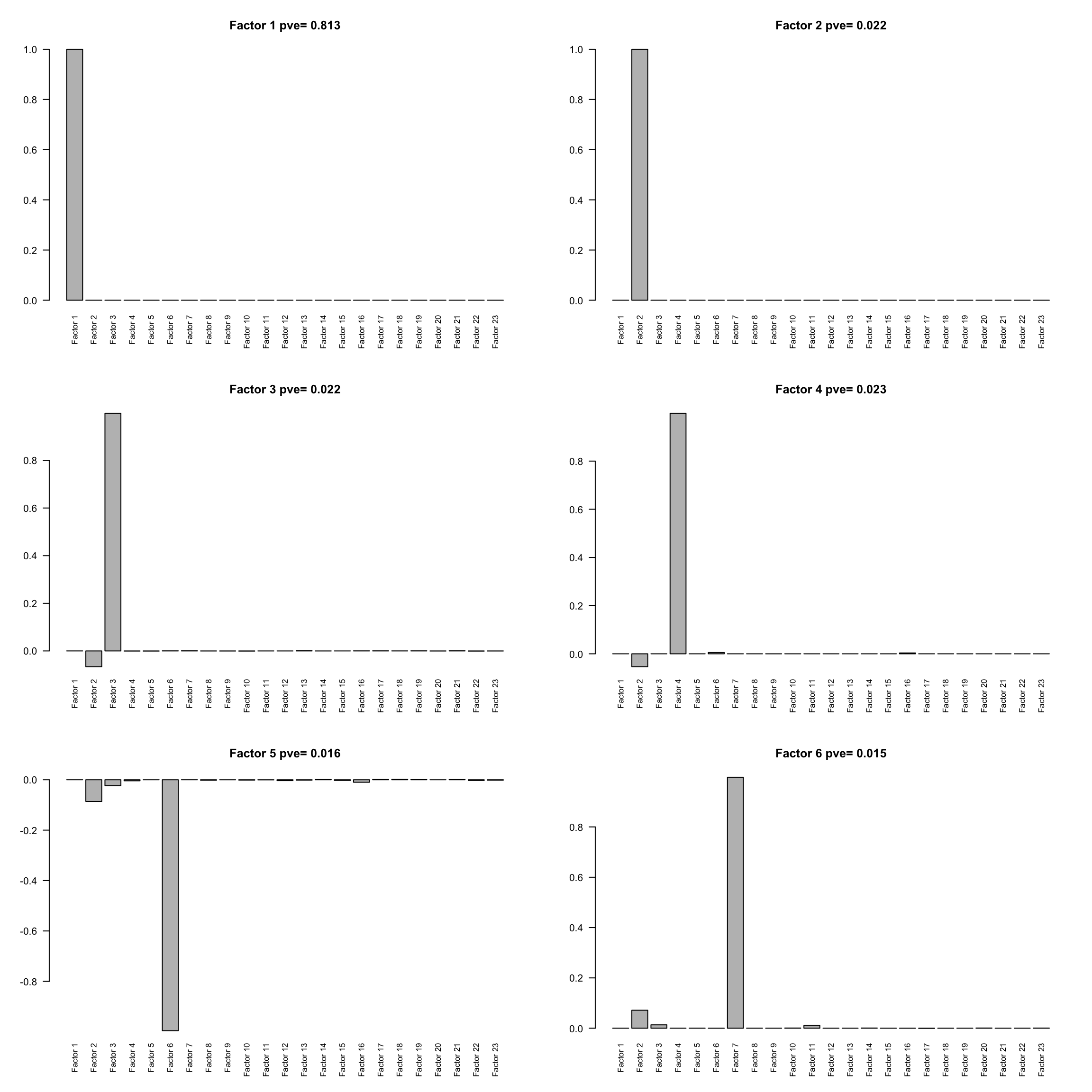
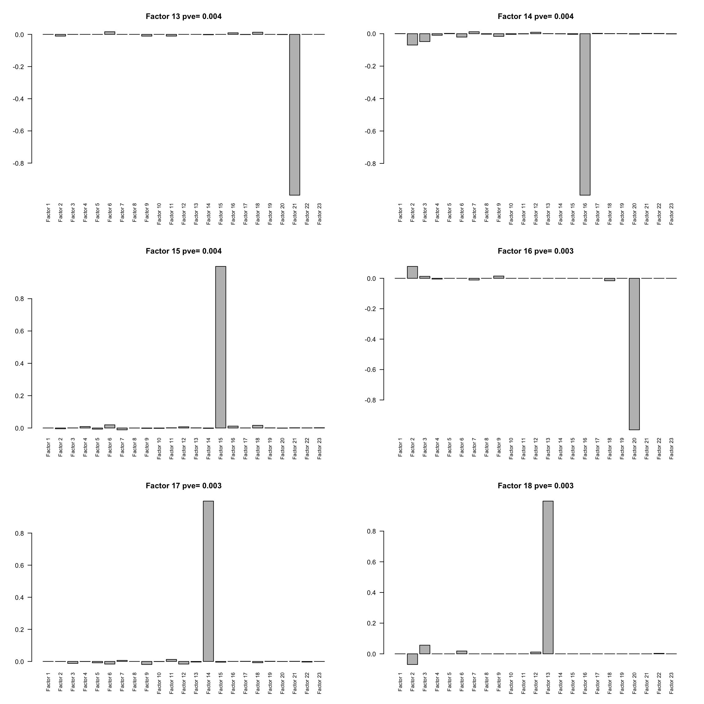
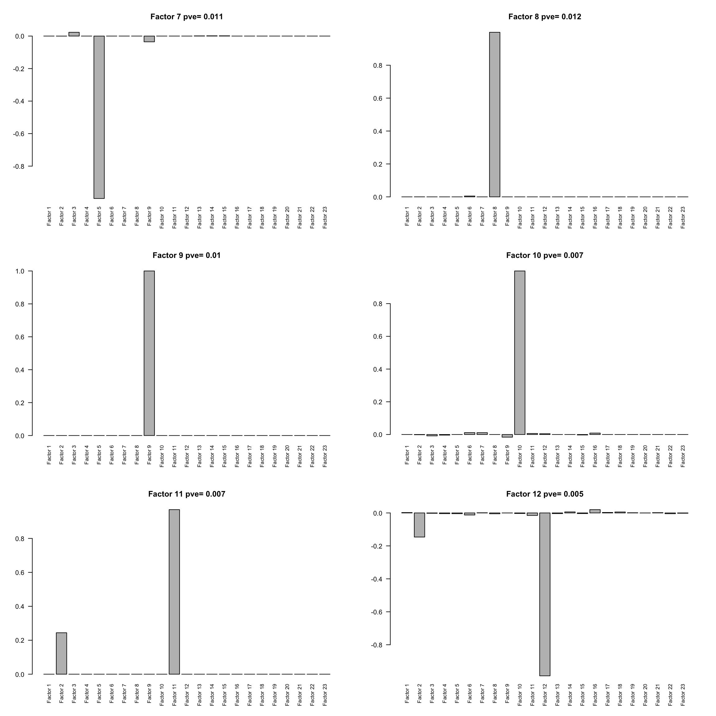
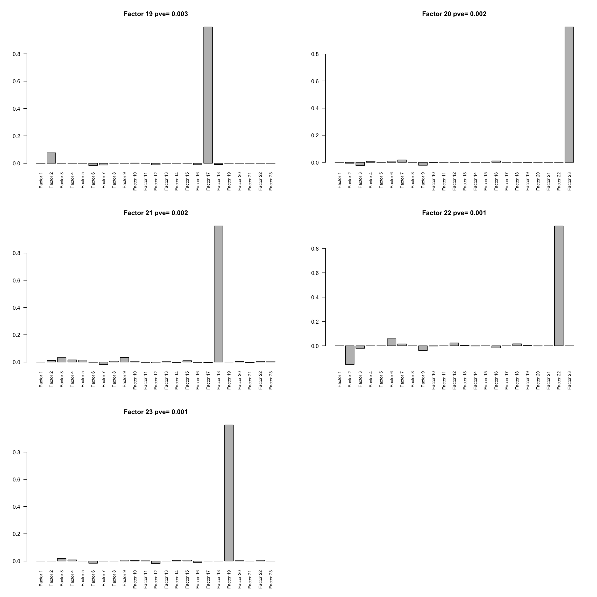
Flash again on the loading matrix

flash.loading = flash_set_data(flash_get_ldf(f_b)$l[,1:23])
fl_greedy = flash_add_greedy(flash.loading, K=30)
fl_b = flash_backfit(flash.loading, fl_greedy)
saveRDS(list(backfit = fl_b, greedy = fl_greedy), '../output/GTExVarColLoaing_Flash.rds')

Session information

sessionInfo()
R version 3.4.4 (2018-03-15)
Platform: x86_64-apple-darwin15.6.0 (64-bit)
Running under: macOS High Sierra 10.13.5

Matrix products: default
BLAS: /Library/Frameworks/R.framework/Versions/3.4/Resources/lib/libRblas.0.dylib
LAPACK: /Library/Frameworks/R.framework/Versions/3.4/Resources/lib/libRlapack.dylib

locale:
[1] en_US.UTF-8/en_US.UTF-8/en_US.UTF-8/C/en_US.UTF-8/en_US.UTF-8

attached base packages:
[1] stats     graphics  grDevices utils     datasets  methods   base     

other attached packages:
[1] flashr_0.5-12

loaded via a namespace (and not attached):
 [1] Rcpp_0.12.17      bindr_0.1.1       compiler_3.4.4   
 [4] pillar_1.2.2      git2r_0.21.0      plyr_1.8.4       
 [7] iterators_1.0.9   tools_3.4.4       digest_0.6.15    
[10] evaluate_0.10.1   tibble_1.4.2      gtable_0.2.0     
[13] lattice_0.20-35   pkgconfig_2.0.1   rlang_0.2.1      
[16] Matrix_1.2-14     foreach_1.4.4     yaml_2.1.19      
[19] parallel_3.4.4    bindrcpp_0.2.2    stringr_1.3.0    
[22] dplyr_0.7.4       knitr_1.20        rprojroot_1.3-2  
[25] grid_3.4.4        glue_1.2.0        R6_2.2.2         
[28] rmarkdown_1.9     ggplot2_3.0.0     ashr_2.2-7       
[31] magrittr_1.5      backports_1.1.2   scales_0.5.0     
[34] codetools_0.2-15  htmltools_0.3.6   MASS_7.3-50      
[37] assertthat_0.2.0  softImpute_1.4    colorspace_1.3-2 
[40] stringi_1.2.2     lazyeval_0.2.1    pscl_1.5.2       
[43] doParallel_1.0.11 munsell_0.4.3     truncnorm_1.0-8  
[46] SQUAREM_2017.10-1

This R Markdown site was created with workflowr