Last updated: 2024-07-18
Checks: 6 1
Knit directory: PODFRIDGE/
This reproducible R Markdown analysis was created with workflowr (version 1.7.1). The Checks tab describes the reproducibility checks that were applied when the results were created. The Past versions tab lists the development history.
The R Markdown file has unstaged changes. To know which version of
the R Markdown file created these results, you’ll want to first commit
it to the Git repo. If you’re still working on the analysis, you can
ignore this warning. When you’re finished, you can run
wflow_publish to commit the R Markdown file and build the
HTML.
Great job! The global environment was empty. Objects defined in the global environment can affect the analysis in your R Markdown file in unknown ways. For reproduciblity it’s best to always run the code in an empty environment.
The command set.seed(20230302) was run prior to running
the code in the R Markdown file. Setting a seed ensures that any results
that rely on randomness, e.g. subsampling or permutations, are
reproducible.
Great job! Recording the operating system, R version, and package versions is critical for reproducibility.
Nice! There were no cached chunks for this analysis, so you can be confident that you successfully produced the results during this run.
Great job! Using relative paths to the files within your workflowr project makes it easier to run your code on other machines.
Great! You are using Git for version control. Tracking code development and connecting the code version to the results is critical for reproducibility.
The results in this page were generated with repository version 24bd647. See the Past versions tab to see a history of the changes made to the R Markdown and HTML files.
Note that you need to be careful to ensure that all relevant files for
the analysis have been committed to Git prior to generating the results
(you can use wflow_publish or
wflow_git_commit). workflowr only checks the R Markdown
file, but you know if there are other scripts or data files that it
depends on. Below is the status of the Git repository when the results
were generated:
Ignored files:
Ignored: .DS_Store
Ignored: .Rhistory
Ignored: .Rproj.user/
Unstaged changes:
Modified: analysis/siblings_analysis.Rmd
Note that any generated files, e.g. HTML, png, CSS, etc., are not included in this status report because it is ok for generated content to have uncommitted changes.
These are the previous versions of the repository in which changes were
made to the R Markdown (analysis/siblings_analysis.Rmd) and
HTML (docs/siblings_analysis.html) files. If you’ve
configured a remote Git repository (see ?wflow_git_remote),
click on the hyperlinks in the table below to view the files as they
were in that past version.
| File | Version | Author | Date | Message |
|---|---|---|---|---|
| Rmd | 24bd647 | linmatch | 2024-07-18 | update |
| Rmd | d2e1c17 | linmatch | 2024-07-18 | Merge branch ‘main’ of https://github.com/lasisilab/PODFRIDGE |
| Rmd | e64bcde | linmatch | 2024-07-18 | com |
| html | 635de08 | Tina Lasisi | 2024-07-18 | Updating html for sibling analysis and STR simulations |
| Rmd | 52f208e | Stella-Joy | 2024-07-12 | Merge branch ‘main’ of https://github.com/lasisilab/PODFRIDGE |
| Rmd | c0debe3 | Stella-Joy | 2024-07-12 | Update siblings_analysis.Rmd |
| Rmd | 99618c9 | linmatch | 2024-07-12 | new com |
| html | 99618c9 | linmatch | 2024-07-12 | new com |
| html | 5284e15 | linmatch | 2024-07-03 | new com |
| Rmd | 73a6b6a | linmatch | 2024-07-03 | new com |
| Rmd | 2c460cf | linmatch | 2024-07-03 | new com |
| html | 2c460cf | linmatch | 2024-07-03 | new com |
| Rmd | b71e11f | linmatch | 2024-07-03 | new com |
| html | 7e507f5 | linmatch | 2024-07-02 | new com |
| Rmd | f67a1db | linmatch | 2024-06-28 | Update siblings_analysis.Rmd |
| Rmd | 0dd5aca | linmatch | 2024-06-27 | Update siblings_analysis.Rmd |
| Rmd | a7125e6 | Tina Lasisi | 2024-06-27 | Update siblings_analysis.Rmd |
| Rmd | 5136c40 | Tina Lasisi | 2024-06-27 | Update siblings_analysis.Rmd |
| Rmd | 58d549c | Tina Lasisi | 2024-06-27 | Update text |
| Rmd | b021a16 | linmatch | 2024-06-27 | fert ana |
| Rmd | 19aab99 | linmatch | 2024-06-26 | fert dis7 |
| html | 19aab99 | linmatch | 2024-06-26 | fert dis7 |
| html | cc5fc63 | linmatch | 2024-06-26 | fert_dis6 |
| Rmd | cdc3bd0 | linmatch | 2024-06-26 | fer_dis |
| Rmd | 326ad11 | linmatch | 2024-06-26 | fert distribution |
| Rmd | 892720f | linmatch | 2024-06-23 | fert dis3 |
| Rmd | c865baa | linmatch | 2024-06-23 | fertility dis2 |
| Rmd | f2c131d | linmatch | 2024-06-23 | fertility distribution |
| html | bce5e2e | hcvw | 2024-05-27 | Build site. |
| Rmd | 332d5a2 | hcvw | 2024-05-27 | wflow_publish(c("analysis/CODIS_DB_composition.Rmd", "analysis/final_equation.Rmd", |
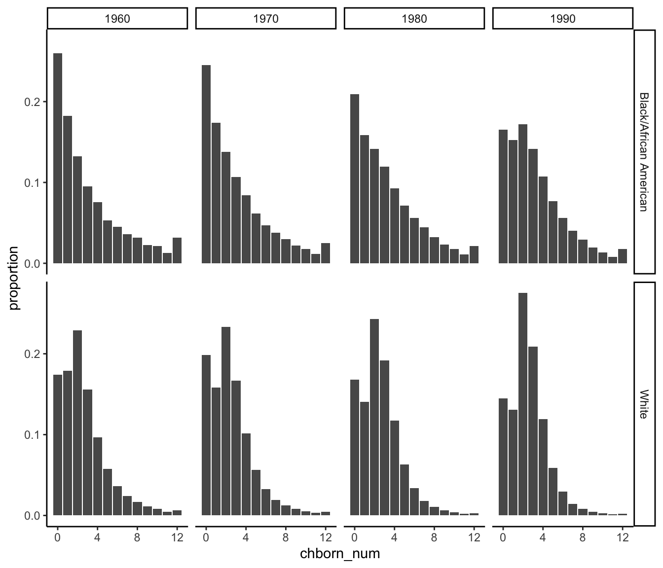
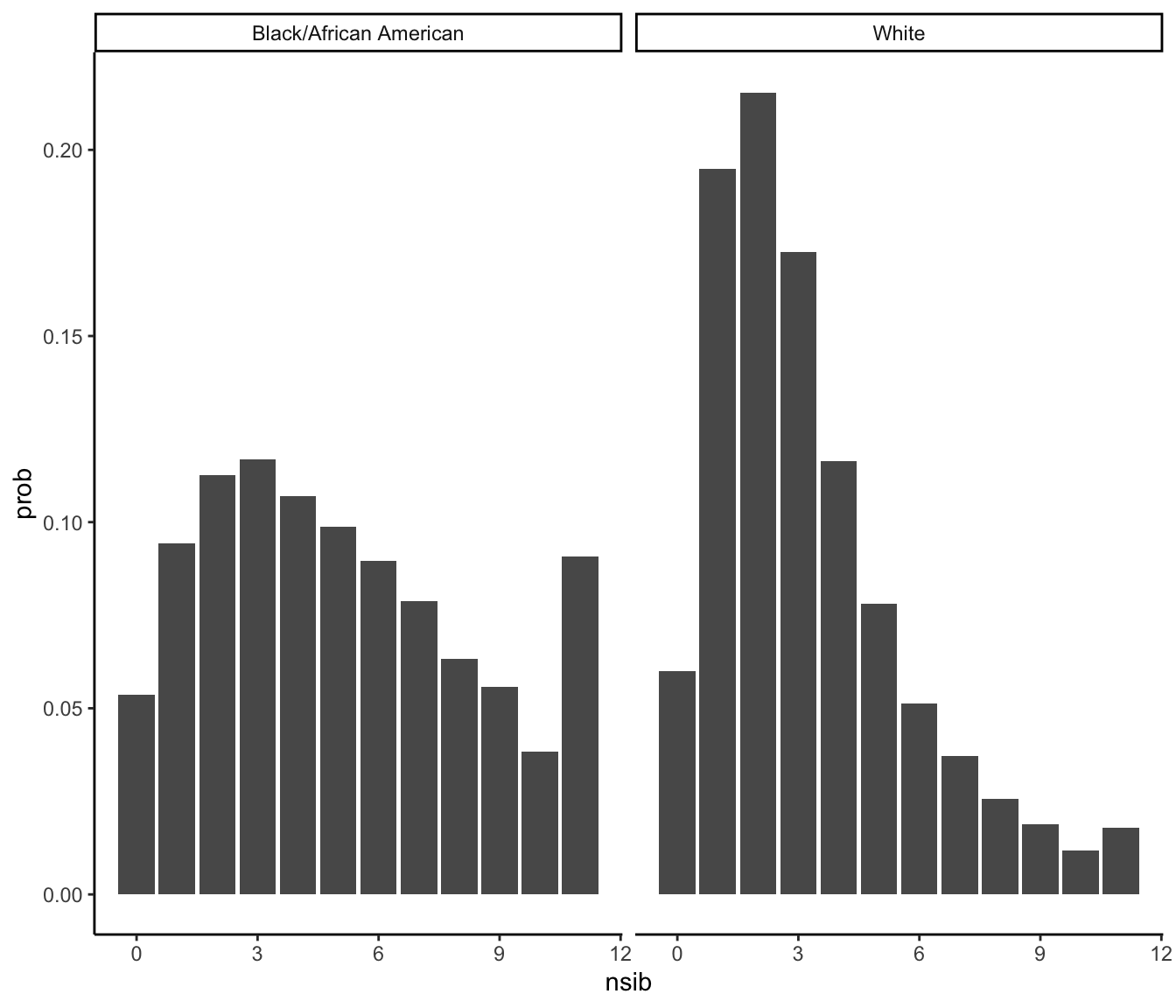
The sibling analysis aims to provide an overview of pattern about family size. By examining the number of children a mother has and its relationship with the number of sibling each individual has, we know the number of first degree relatives each individual has. Therefore, it is helpful to predict the probability of individual to be detected in the forensic database.
Here, we are trying to create a frequency table for each race to show the number of children born, the number of mother who has “chborn_num” children, the number of sibling, and the number of individuals who has “n_sib” siblings. \[ n_{sib} = chborn_{num} - 1 \]
\[ \text{freq}_{n_{\text{sib}}} = \text{freq}_{\text{mother}} \cdot \text{chborn}_{\text{num}} \]
For example: Suppose 10 mothers (generation 0) has 7 children, then there will be 70 children (generation 1) in total who has 6 siblings.
Table 1 | |||||
|---|---|---|---|---|---|
Frequency of each Number of Children & Sibling of Black/African American | |||||
RACE | YEAR | chborn_num | freq_mother | n_sib | freq_n_sib |
Black/African American | 1,960 | 0 | 6,697 | 0 | 0 |
Black/African American | 1,960 | 1 | 4,698 | 0 | 4,698 |
Black/African American | 1,960 | 2 | 3,411 | 1 | 6,822 |
Black/African American | 1,960 | 3 | 2,445 | 2 | 7,335 |
Black/African American | 1,960 | 4 | 1,949 | 3 | 7,796 |
Black/African American | 1,960 | 5 | 1,361 | 4 | 6,805 |
Black/African American | 1,960 | 6 | 1,162 | 5 | 6,972 |
Black/African American | 1,960 | 7 | 932 | 6 | 6,524 |
Black/African American | 1,960 | 8 | 810 | 7 | 6,480 |
Black/African American | 1,960 | 9 | 588 | 8 | 5,292 |
Black/African American | 1,960 | 10 | 549 | 9 | 5,490 |
Black/African American | 1,960 | 11 | 326 | 10 | 3,586 |
Black/African American | 1,960 | 12 | 821 | 11 | 9,852 |
Black/African American | 1,970 | 0 | 16,490 | 0 | 0 |
Black/African American | 1,970 | 1 | 11,686 | 0 | 11,686 |
Black/African American | 1,970 | 2 | 9,275 | 1 | 18,550 |
Black/African American | 1,970 | 3 | 7,161 | 2 | 21,483 |
Black/African American | 1,970 | 4 | 5,659 | 3 | 22,636 |
Black/African American | 1,970 | 5 | 4,147 | 4 | 20,735 |
Black/African American | 1,970 | 6 | 3,147 | 5 | 18,882 |
Black/African American | 1,970 | 7 | 2,542 | 6 | 17,794 |
Black/African American | 1,970 | 8 | 2,012 | 7 | 16,096 |
Black/African American | 1,970 | 9 | 1,473 | 8 | 13,257 |
Black/African American | 1,970 | 10 | 1,194 | 9 | 11,940 |
Black/African American | 1,970 | 11 | 784 | 10 | 8,624 |
Black/African American | 1,970 | 12 | 1,682 | 11 | 20,184 |
Black/African American | 1,980 | 0 | 8,417 | 0 | 0 |
Black/African American | 1,980 | 1 | 6,383 | 0 | 6,383 |
Black/African American | 1,980 | 2 | 5,681 | 1 | 11,362 |
Black/African American | 1,980 | 3 | 4,797 | 2 | 14,391 |
Black/African American | 1,980 | 4 | 3,732 | 3 | 14,928 |
Black/African American | 1,980 | 5 | 2,870 | 4 | 14,350 |
Black/African American | 1,980 | 6 | 2,264 | 5 | 13,584 |
Black/African American | 1,980 | 7 | 1,782 | 6 | 12,474 |
Black/African American | 1,980 | 8 | 1,310 | 7 | 10,480 |
Black/African American | 1,980 | 9 | 943 | 8 | 8,487 |
Black/African American | 1,980 | 10 | 717 | 9 | 7,170 |
Black/African American | 1,980 | 11 | 452 | 10 | 4,972 |
Black/African American | 1,980 | 12 | 870 | 11 | 10,440 |
Black/African American | 1,990 | 0 | 7,193 | 0 | 0 |
Black/African American | 1,990 | 1 | 6,635 | 0 | 6,635 |
Black/African American | 1,990 | 2 | 7,485 | 1 | 14,970 |
Black/African American | 1,990 | 3 | 6,161 | 2 | 18,483 |
Black/African American | 1,990 | 4 | 4,673 | 3 | 18,692 |
Black/African American | 1,990 | 5 | 3,333 | 4 | 16,665 |
Black/African American | 1,990 | 6 | 2,445 | 5 | 14,670 |
Black/African American | 1,990 | 7 | 1,752 | 6 | 12,264 |
Black/African American | 1,990 | 8 | 1,263 | 7 | 10,104 |
Black/African American | 1,990 | 9 | 853 | 8 | 7,677 |
Black/African American | 1,990 | 10 | 590 | 9 | 5,900 |
Black/African American | 1,990 | 11 | 348 | 10 | 3,828 |
Black/African American | 1,990 | 12 | 772 | 11 | 9,264 |
Table 2 | |||||
|---|---|---|---|---|---|
Frequency of each Number of Children & Sibling of White | |||||
RACE | YEAR | chborn_num | freq_mother | n_sib | freq_n_sib |
White | 1,960 | 0 | 46,202 | 0 | 0 |
White | 1,960 | 1 | 47,433 | 0 | 47,433 |
White | 1,960 | 2 | 60,732 | 1 | 121,464 |
White | 1,960 | 3 | 41,272 | 2 | 123,816 |
White | 1,960 | 4 | 25,666 | 3 | 102,664 |
White | 1,960 | 5 | 15,327 | 4 | 76,635 |
White | 1,960 | 6 | 9,697 | 5 | 58,182 |
White | 1,960 | 7 | 6,347 | 6 | 44,429 |
White | 1,960 | 8 | 4,518 | 7 | 36,144 |
White | 1,960 | 9 | 2,990 | 8 | 26,910 |
White | 1,960 | 10 | 2,148 | 9 | 21,480 |
White | 1,960 | 11 | 1,280 | 10 | 14,080 |
White | 1,960 | 12 | 1,747 | 11 | 20,964 |
White | 1,970 | 0 | 133,940 | 0 | 0 |
White | 1,970 | 1 | 106,663 | 0 | 106,663 |
White | 1,970 | 2 | 157,405 | 1 | 314,810 |
White | 1,970 | 3 | 112,397 | 2 | 337,191 |
White | 1,970 | 4 | 68,603 | 3 | 274,412 |
White | 1,970 | 5 | 38,000 | 4 | 190,000 |
White | 1,970 | 6 | 22,023 | 5 | 132,138 |
White | 1,970 | 7 | 12,927 | 6 | 90,489 |
White | 1,970 | 8 | 8,534 | 7 | 68,272 |
White | 1,970 | 9 | 5,342 | 8 | 48,078 |
White | 1,970 | 10 | 3,593 | 9 | 35,930 |
White | 1,970 | 11 | 2,082 | 10 | 22,902 |
White | 1,970 | 12 | 2,858 | 11 | 34,296 |
White | 1,980 | 0 | 61,909 | 0 | 0 |
White | 1,980 | 1 | 51,856 | 0 | 51,856 |
White | 1,980 | 2 | 89,551 | 1 | 179,102 |
White | 1,980 | 3 | 70,716 | 2 | 212,148 |
White | 1,980 | 4 | 43,190 | 3 | 172,760 |
White | 1,980 | 5 | 23,170 | 4 | 115,850 |
White | 1,980 | 6 | 12,556 | 5 | 75,336 |
White | 1,980 | 7 | 6,589 | 6 | 46,123 |
White | 1,980 | 8 | 3,874 | 7 | 30,992 |
White | 1,980 | 9 | 2,254 | 8 | 20,286 |
White | 1,980 | 10 | 1,368 | 9 | 13,680 |
White | 1,980 | 11 | 757 | 10 | 8,327 |
White | 1,980 | 12 | 1,073 | 11 | 12,876 |
White | 1,990 | 0 | 62,471 | 0 | 0 |
White | 1,990 | 1 | 56,647 | 0 | 56,647 |
White | 1,990 | 2 | 119,054 | 1 | 238,108 |
White | 1,990 | 3 | 90,170 | 2 | 270,510 |
White | 1,990 | 4 | 51,511 | 3 | 206,044 |
White | 1,990 | 5 | 25,385 | 4 | 126,925 |
White | 1,990 | 6 | 12,698 | 5 | 76,188 |
White | 1,990 | 7 | 6,292 | 6 | 44,044 |
White | 1,990 | 8 | 3,479 | 7 | 27,832 |
White | 1,990 | 9 | 1,876 | 8 | 16,884 |
White | 1,990 | 10 | 1,132 | 9 | 11,320 |
White | 1,990 | 11 | 623 | 10 | 6,853 |
White | 1,990 | 12 | 828 | 11 | 9,936 |
`summarise()` has grouped output by 'RACE'. You can override using the
`.groups` argument.
Table 3 | ||||
|---|---|---|---|---|
Summary Statistics of each Number of Sibling of Black/African American | ||||
RACE | YEAR | Mean | Variance | Std_Dev |
Black/African American | 1,960 | 3.02 | 9.69 | 3.11 |
Black/African American | 1,970 | 3.00 | 8.86 | 2.98 |
Black/African American | 1,980 | 3.21 | 8.66 | 2.94 |
Black/African American | 1,990 | 3.20 | 7.62 | 2.76 |
Table 4 | ||||
|---|---|---|---|---|
Summary Statistics of each Number of Sibling of White | ||||
RACE | YEAR | Mean | Variance | Std_Dev |
White | 1,960 | 2.62 | 5.39 | 2.32 |
White | 1,970 | 2.45 | 4.51 | 2.12 |
White | 1,980 | 2.55 | 4.08 | 2.02 |
White | 1,990 | 2.53 | 3.59 | 1.89 |

`summarise()` has grouped output by 'RACE'. You can override using the
`.groups` argument.

RACE YEAR chborn_num freq_mother n_sib freq_n_sib color
1 Black/African American 1960 0 6697 -1 0 #8A9A5B
2 Black/African American 1960 1 4698 0 4698 #355E3B
3 Black/African American 1960 2 3411 1 6822 #5F8575
4 Black/African American 1960 3 2445 2 7335 #66C2A5
5 Black/African American 1960 4 1949 3 7796 #088F8F
6 Black/African American 1960 5 1361 4 6805 #b2d8d8
7 Black/African American 1960 6 1162 5 6972 #93C572
8 Black/African American 1960 7 932 6 6524 #454B1B
9 Black/African American 1960 8 810 7 6480 #5F9EA0
10 Black/African American 1960 9 588 8 5292 #00A36C
11 Black/African American 1960 10 549 9 5490 #9FE2BF
12 Black/African American 1960 11 326 10 3586 #2E8B57
13 Black/African American 1960 12 821 11 9852 #40B5AD
14 Black/African American 1970 0 16490 -1 0 #8A9A5B
15 Black/African American 1970 1 11686 0 11686 #355E3B
16 Black/African American 1970 2 9275 1 18550 #5F8575
17 Black/African American 1970 3 7161 2 21483 #66C2A5
18 Black/African American 1970 4 5659 3 22636 #088F8F
19 Black/African American 1970 5 4147 4 20735 #b2d8d8
20 Black/African American 1970 6 3147 5 18882 #93C572
21 Black/African American 1970 7 2542 6 17794 #454B1B
22 Black/African American 1970 8 2012 7 16096 #5F9EA0
23 Black/African American 1970 9 1473 8 13257 #00A36C
24 Black/African American 1970 10 1194 9 11940 #9FE2BF
25 Black/African American 1970 11 784 10 8624 #2E8B57
26 Black/African American 1970 12 1682 11 20184 #40B5AD
27 Black/African American 1980 0 8417 -1 0 #8A9A5B
28 Black/African American 1980 1 6383 0 6383 #355E3B
29 Black/African American 1980 2 5681 1 11362 #5F8575
30 Black/African American 1980 3 4797 2 14391 #66C2A5
31 Black/African American 1980 4 3732 3 14928 #088F8F
32 Black/African American 1980 5 2870 4 14350 #b2d8d8
33 Black/African American 1980 6 2264 5 13584 #93C572
34 Black/African American 1980 7 1782 6 12474 #454B1B
35 Black/African American 1980 8 1310 7 10480 #5F9EA0
36 Black/African American 1980 9 943 8 8487 #00A36C
37 Black/African American 1980 10 717 9 7170 #9FE2BF
38 Black/African American 1980 11 452 10 4972 #2E8B57
39 Black/African American 1980 12 870 11 10440 #40B5AD
40 Black/African American 1990 0 7193 -1 0 #8A9A5B
41 Black/African American 1990 1 6635 0 6635 #355E3B
42 Black/African American 1990 2 7485 1 14970 #5F8575
43 Black/African American 1990 3 6161 2 18483 #66C2A5
44 Black/African American 1990 4 4673 3 18692 #088F8F
45 Black/African American 1990 5 3333 4 16665 #b2d8d8
46 Black/African American 1990 6 2445 5 14670 #93C572
47 Black/African American 1990 7 1752 6 12264 #454B1B
48 Black/African American 1990 8 1263 7 10104 #5F9EA0
49 Black/African American 1990 9 853 8 7677 #00A36C
50 Black/African American 1990 10 590 9 5900 #9FE2BF
51 Black/African American 1990 11 348 10 3828 #2E8B57
52 Black/African American 1990 12 772 11 9264 #40B5AD
53 White 1960 0 46202 -1 0 #8A9A5B
54 White 1960 1 47433 0 47433 #355E3B
55 White 1960 2 60732 1 121464 #5F8575
56 White 1960 3 41272 2 123816 #66C2A5
57 White 1960 4 25666 3 102664 #088F8F
58 White 1960 5 15327 4 76635 #b2d8d8
59 White 1960 6 9697 5 58182 #93C572
60 White 1960 7 6347 6 44429 #454B1B
61 White 1960 8 4518 7 36144 #5F9EA0
62 White 1960 9 2990 8 26910 #00A36C
63 White 1960 10 2148 9 21480 #9FE2BF
64 White 1960 11 1280 10 14080 #2E8B57
65 White 1960 12 1747 11 20964 #40B5AD
66 White 1970 0 133940 -1 0 #8A9A5B
67 White 1970 1 106663 0 106663 #355E3B
68 White 1970 2 157405 1 314810 #5F8575
69 White 1970 3 112397 2 337191 #66C2A5
70 White 1970 4 68603 3 274412 #088F8F
71 White 1970 5 38000 4 190000 #b2d8d8
72 White 1970 6 22023 5 132138 #93C572
73 White 1970 7 12927 6 90489 #454B1B
74 White 1970 8 8534 7 68272 #5F9EA0
75 White 1970 9 5342 8 48078 #00A36C
76 White 1970 10 3593 9 35930 #9FE2BF
77 White 1970 11 2082 10 22902 #2E8B57
78 White 1970 12 2858 11 34296 #40B5AD
79 White 1980 0 61909 -1 0 #8A9A5B
80 White 1980 1 51856 0 51856 #355E3B
81 White 1980 2 89551 1 179102 #5F8575
82 White 1980 3 70716 2 212148 #66C2A5
83 White 1980 4 43190 3 172760 #088F8F
84 White 1980 5 23170 4 115850 #b2d8d8
85 White 1980 6 12556 5 75336 #93C572
86 White 1980 7 6589 6 46123 #454B1B
87 White 1980 8 3874 7 30992 #5F9EA0
88 White 1980 9 2254 8 20286 #00A36C
89 White 1980 10 1368 9 13680 #9FE2BF
90 White 1980 11 757 10 8327 #2E8B57
91 White 1980 12 1073 11 12876 #40B5AD
92 White 1990 0 62471 -1 0 #8A9A5B
93 White 1990 1 56647 0 56647 #355E3B
94 White 1990 2 119054 1 238108 #5F8575
95 White 1990 3 90170 2 270510 #66C2A5
96 White 1990 4 51511 3 206044 #088F8F
97 White 1990 5 25385 4 126925 #b2d8d8
98 White 1990 6 12698 5 76188 #93C572
99 White 1990 7 6292 6 44044 #454B1B
100 White 1990 8 3479 7 27832 #5F9EA0
101 White 1990 9 1876 8 16884 #00A36C
102 White 1990 10 1132 9 11320 #9FE2BF
103 White 1990 11 623 10 6853 #2E8B57
104 White 1990 12 828 11 9936 #40B5AD

| Version | Author | Date |
|---|---|---|
| 7e507f5 | linmatch | 2024-07-02 |

RACE chborn_num Age_bin freq_mother n_sib freq_n_sib
1 Black/African American 0 40-50 9469 -1 0
2 Black/African American 0 50-60 10846 -1 0
3 Black/African American 0 60-70 9907 -1 0
4 Black/African American 0 70-80 5991 -1 0
5 Black/African American 0 80 2584 -1 0
6 Black/African American 1 40-50 8690 0 8690
7 Black/African American 1 50-60 8309 0 8309
8 Black/African American 1 60-70 6786 0 6786
9 Black/African American 1 70-80 3953 0 3953
10 Black/African American 1 80 1664 0 1664
11 Black/African American 2 40-50 9174 1 18348
12 Black/African American 2 50-60 7133 1 14266
13 Black/African American 2 60-70 5420 1 10840
14 Black/African American 2 70-80 2911 1 5822
15 Black/African American 2 80 1214 1 2428
16 Black/African American 3 40-50 7678 2 23034
17 Black/African American 3 50-60 5777 2 17331
18 Black/African American 3 60-70 4001 2 12003
19 Black/African American 3 70-80 2192 2 6576
20 Black/African American 3 80 916 2 2748
21 Black/African American 4 40-50 5863 3 23452
22 Black/African American 4 50-60 4653 3 18612
23 Black/African American 4 60-70 3054 3 12216
24 Black/African American 4 70-80 1661 3 6644
25 Black/African American 4 80 782 3 3128
26 Black/African American 5 40-50 4259 4 21295
27 Black/African American 5 50-60 3323 4 16615
28 Black/African American 5 60-70 2391 4 11955
29 Black/African American 5 70-80 1222 4 6110
30 Black/African American 5 80 516 4 2580
31 Black/African American 6 40-50 3095 5 18570
32 Black/African American 6 50-60 2687 5 16122
33 Black/African American 6 60-70 1803 5 10818
34 Black/African American 6 70-80 996 5 5976
35 Black/African American 6 80 437 5 2622
36 Black/African American 7 40-50 2332 6 16324
37 Black/African American 7 50-60 2023 6 14161
38 Black/African American 7 60-70 1451 6 10157
39 Black/African American 7 70-80 825 6 5775
40 Black/African American 7 80 377 6 2639
41 Black/African American 8 40-50 1669 7 13352
42 Black/African American 8 50-60 1636 7 13088
43 Black/African American 8 60-70 1149 7 9192
44 Black/African American 8 70-80 643 7 5144
45 Black/African American 8 80 298 7 2384
46 Black/African American 9 40-50 1085 8 9765
47 Black/African American 9 50-60 1170 8 10530
48 Black/African American 9 60-70 861 8 7749
49 Black/African American 9 70-80 509 8 4581
50 Black/African American 9 80 232 8 2088
51 Black/African American 10 40-50 844 9 8440
52 Black/African American 10 50-60 841 9 8410
53 Black/African American 10 60-70 735 9 7350
54 Black/African American 10 70-80 425 9 4250
55 Black/African American 10 80 205 9 2050
56 Black/African American 11 40-50 516 10 5676
57 Black/African American 11 50-60 538 10 5918
58 Black/African American 11 60-70 464 10 5104
59 Black/African American 11 70-80 274 10 3014
60 Black/African American 11 80 118 10 1298
61 Black/African American 12 40-50 968 11 11616
62 Black/African American 12 50-60 1112 11 13344
63 Black/African American 12 60-70 1061 11 12732
64 Black/African American 12 70-80 668 11 8016
65 Black/African American 12 80 336 11 4032
66 White 0 40-50 63463 -1 0
67 White 0 50-60 76528 -1 0
68 White 0 60-70 77238 -1 0
69 White 0 70-80 58261 -1 0
70 White 0 80 29032 -1 0
71 White 1 40-50 63238 0 63238
72 White 1 50-60 68858 0 68858
73 White 1 60-70 64498 0 64498
74 White 1 70-80 45087 0 45087
75 White 1 80 20918 0 20918
76 White 2 40-50 131141 1 262282
77 White 2 50-60 116440 1 232880
78 White 2 60-70 93330 1 186660
79 White 2 70-80 59718 1 119436
80 White 2 80 26113 1 52226
81 White 3 40-50 99738 2 299214
82 White 3 50-60 88944 2 266832
83 White 3 60-70 66651 2 199953
84 White 3 70-80 41169 2 123507
85 White 3 80 18053 2 54159
86 White 4 40-50 57565 3 230260
87 White 4 50-60 53793 3 215172
88 White 4 60-70 40166 3 160664
89 White 4 70-80 25589 3 102356
90 White 4 80 11857 3 47428
91 White 5 40-50 28227 4 141135
92 White 5 50-60 28366 4 141830
93 White 5 60-70 22377 4 111885
94 White 5 70-80 15367 4 76835
95 White 5 80 7545 4 37725
96 White 6 40-50 14389 5 86334
97 White 6 50-60 14849 5 89094
98 White 6 60-70 13114 5 78684
99 White 6 70-80 9537 5 57222
100 White 6 80 5085 5 30510
101 White 7 40-50 7101 6 49707
102 White 7 50-60 8218 6 57526
103 White 7 60-70 7425 6 51975
104 White 7 70-80 5990 6 41930
105 White 7 80 3421 6 23947
106 White 8 40-50 3803 7 30424
107 White 8 50-60 4786 7 38288
108 White 8 60-70 4859 7 38872
109 White 8 70-80 4359 7 34872
110 White 8 80 2598 7 20784
111 White 9 40-50 2128 8 19152
112 White 9 50-60 2698 8 24282
113 White 9 60-70 3078 8 27702
114 White 9 70-80 2875 8 25875
115 White 9 80 1683 8 15147
116 White 10 40-50 1214 9 12140
117 White 10 50-60 1728 9 17280
118 White 10 60-70 2103 9 21030
119 White 10 70-80 1935 9 19350
120 White 10 80 1261 9 12610
121 White 11 40-50 665 10 7315
122 White 11 50-60 974 10 10714
123 White 11 60-70 1145 10 12595
124 White 11 70-80 1242 10 13662
125 White 11 80 716 10 7876
126 White 12 40-50 846 11 10152
127 White 12 50-60 1390 11 16680
128 White 12 60-70 1762 11 21144
129 White 12 70-80 1579 11 18948
130 White 12 80 929 11 11148
color
1 #8A9A5B
2 #8A9A5B
3 #8A9A5B
4 #8A9A5B
5 #8A9A5B
6 #355E3B
7 #355E3B
8 #355E3B
9 #355E3B
10 #355E3B
11 #5F8575
12 #5F8575
13 #5F8575
14 #5F8575
15 #5F8575
16 #66C2A5
17 #66C2A5
18 #66C2A5
19 #66C2A5
20 #66C2A5
21 #088F8F
22 #088F8F
23 #088F8F
24 #088F8F
25 #088F8F
26 #b2d8d8
27 #b2d8d8
28 #b2d8d8
29 #b2d8d8
30 #b2d8d8
31 #93C572
32 #93C572
33 #93C572
34 #93C572
35 #93C572
36 #454B1B
37 #454B1B
38 #454B1B
39 #454B1B
40 #454B1B
41 #5F9EA0
42 #5F9EA0
43 #5F9EA0
44 #5F9EA0
45 #5F9EA0
46 #00A36C
47 #00A36C
48 #00A36C
49 #00A36C
50 #00A36C
51 #9FE2BF
52 #9FE2BF
53 #9FE2BF
54 #9FE2BF
55 #9FE2BF
56 #2E8B57
57 #2E8B57
58 #2E8B57
59 #2E8B57
60 #2E8B57
61 #40B5AD
62 #40B5AD
63 #40B5AD
64 #40B5AD
65 #40B5AD
66 #8A9A5B
67 #8A9A5B
68 #8A9A5B
69 #8A9A5B
70 #8A9A5B
71 #355E3B
72 #355E3B
73 #355E3B
74 #355E3B
75 #355E3B
76 #5F8575
77 #5F8575
78 #5F8575
79 #5F8575
80 #5F8575
81 #66C2A5
82 #66C2A5
83 #66C2A5
84 #66C2A5
85 #66C2A5
86 #088F8F
87 #088F8F
88 #088F8F
89 #088F8F
90 #088F8F
91 #b2d8d8
92 #b2d8d8
93 #b2d8d8
94 #b2d8d8
95 #b2d8d8
96 #93C572
97 #93C572
98 #93C572
99 #93C572
100 #93C572
101 #454B1B
102 #454B1B
103 #454B1B
104 #454B1B
105 #454B1B
106 #5F9EA0
107 #5F9EA0
108 #5F9EA0
109 #5F9EA0
110 #5F9EA0
111 #00A36C
112 #00A36C
113 #00A36C
114 #00A36C
115 #00A36C
116 #9FE2BF
117 #9FE2BF
118 #9FE2BF
119 #9FE2BF
120 #9FE2BF
121 #2E8B57
122 #2E8B57
123 #2E8B57
124 #2E8B57
125 #2E8B57
126 #40B5AD
127 #40B5AD
128 #40B5AD
129 #40B5AD
130 #40B5AD


R version 4.3.2 (2023-10-31)
Platform: x86_64-apple-darwin20 (64-bit)
Running under: macOS Monterey 12.7.4
Matrix products: default
BLAS: /Library/Frameworks/R.framework/Versions/4.3-x86_64/Resources/lib/libRblas.0.dylib
LAPACK: /Library/Frameworks/R.framework/Versions/4.3-x86_64/Resources/lib/libRlapack.dylib; LAPACK version 3.11.0
locale:
[1] en_US.UTF-8/en_US.UTF-8/en_US.UTF-8/C/en_US.UTF-8/en_US.UTF-8
time zone: America/New_York
tzcode source: internal
attached base packages:
[1] stats graphics grDevices utils datasets methods base
other attached packages:
[1] rempsyc_0.1.8 scales_1.3.0 knitr_1.45 viridis_0.6.5
[5] viridisLite_0.4.2 lubridate_1.9.3 forcats_1.0.0 stringr_1.5.1
[9] dplyr_1.1.4 purrr_1.0.2 tidyr_1.3.1 tibble_3.2.1
[13] ggplot2_3.4.4 tidyverse_2.0.0 readr_2.1.5 workflowr_1.7.1
loaded via a namespace (and not attached):
[1] tidyselect_1.2.1 farver_2.1.1 fastmap_1.1.1
[4] fontquiver_0.2.1 promises_1.2.1 digest_0.6.34
[7] timechange_0.3.0 mime_0.12 lifecycle_1.0.4
[10] gfonts_0.2.0 ellipsis_0.3.2 processx_3.8.3
[13] magrittr_2.0.3 compiler_4.3.2 rlang_1.1.3
[16] sass_0.4.8 tools_4.3.2 utf8_1.2.4
[19] yaml_2.3.8 data.table_1.15.0 askpass_1.2.0
[22] labeling_0.4.3 curl_5.2.0 xml2_1.3.6
[25] httpcode_0.3.0 withr_3.0.0 grid_4.3.2
[28] fansi_1.0.6 git2r_0.33.0 gdtools_0.3.7
[31] xtable_1.8-4 colorspace_2.1-0 crul_1.4.2
[34] cli_3.6.2 rmarkdown_2.25 crayon_1.5.2
[37] ragg_1.2.7 generics_0.1.3 rstudioapi_0.15.0
[40] httr_1.4.7 tzdb_0.4.0 cachem_1.0.8
[43] vctrs_0.6.5 jsonlite_1.8.8 fontBitstreamVera_0.1.1
[46] callr_3.7.3 hms_1.1.3 systemfonts_1.0.5
[49] jquerylib_0.1.4 glue_1.7.0 ps_1.7.6
[52] stringi_1.8.3 flextable_0.9.6 gtable_0.3.4
[55] later_1.3.2 munsell_0.5.0 pillar_1.9.0
[58] htmltools_0.5.7 openssl_2.1.1 R6_2.5.1
[61] textshaping_0.3.7 rprojroot_2.0.4 evaluate_0.23
[64] shiny_1.8.0 highr_0.10 httpuv_1.6.14
[67] fontLiberation_0.1.0 bslib_0.6.1 Rcpp_1.0.12
[70] zip_2.3.1 uuid_1.2-0 gridExtra_2.3
[73] officer_0.6.6 whisker_0.4.1 xfun_0.41
[76] fs_1.6.3 getPass_0.2-4 pkgconfig_2.0.3