Last updated: 2024-07-03
Checks: 7 0
Knit directory: PODFRIDGE/
This reproducible R Markdown analysis was created with workflowr (version 1.7.1). The Checks tab describes the reproducibility checks that were applied when the results were created. The Past versions tab lists the development history.
Great! Since the R Markdown file has been committed to the Git repository, you know the exact version of the code that produced these results.
Great job! The global environment was empty. Objects defined in the global environment can affect the analysis in your R Markdown file in unknown ways. For reproduciblity it’s best to always run the code in an empty environment.
The command set.seed(20230302) was run prior to running
the code in the R Markdown file. Setting a seed ensures that any results
that rely on randomness, e.g. subsampling or permutations, are
reproducible.
Great job! Recording the operating system, R version, and package versions is critical for reproducibility.
Nice! There were no cached chunks for this analysis, so you can be confident that you successfully produced the results during this run.
Great job! Using relative paths to the files within your workflowr project makes it easier to run your code on other machines.
Great! You are using Git for version control. Tracking code development and connecting the code version to the results is critical for reproducibility.
The results in this page were generated with repository version 73a6b6a. See the Past versions tab to see a history of the changes made to the R Markdown and HTML files.
Note that you need to be careful to ensure that all relevant files for
the analysis have been committed to Git prior to generating the results
(you can use wflow_publish or
wflow_git_commit). workflowr only checks the R Markdown
file, but you know if there are other scripts or data files that it
depends on. Below is the status of the Git repository when the results
were generated:
Ignored files:
Ignored: .DS_Store
Ignored: .Rhistory
Ignored: .Rproj.user/
Note that any generated files, e.g. HTML, png, CSS, etc., are not included in this status report because it is ok for generated content to have uncommitted changes.
These are the previous versions of the repository in which changes were
made to the R Markdown (analysis/siblings_analysis.Rmd) and
HTML (docs/siblings_analysis.html) files. If you’ve
configured a remote Git repository (see ?wflow_git_remote),
click on the hyperlinks in the table below to view the files as they
were in that past version.
| File | Version | Author | Date | Message |
|---|---|---|---|---|
| Rmd | 73a6b6a | linmatch | 2024-07-03 | new com |
| Rmd | 2c460cf | linmatch | 2024-07-03 | new com |
| html | 2c460cf | linmatch | 2024-07-03 | new com |
| Rmd | b71e11f | linmatch | 2024-07-03 | new com |
| html | 7e507f5 | linmatch | 2024-07-02 | new com |
| Rmd | f67a1db | linmatch | 2024-06-28 | Update siblings_analysis.Rmd |
| Rmd | 0dd5aca | linmatch | 2024-06-27 | Update siblings_analysis.Rmd |
| Rmd | a7125e6 | Tina Lasisi | 2024-06-27 | Update siblings_analysis.Rmd |
| Rmd | 5136c40 | Tina Lasisi | 2024-06-27 | Update siblings_analysis.Rmd |
| Rmd | 58d549c | Tina Lasisi | 2024-06-27 | Update text |
| Rmd | b021a16 | linmatch | 2024-06-27 | fert ana |
| Rmd | 19aab99 | linmatch | 2024-06-26 | fert dis7 |
| html | 19aab99 | linmatch | 2024-06-26 | fert dis7 |
| html | cc5fc63 | linmatch | 2024-06-26 | fert_dis6 |
| Rmd | cdc3bd0 | linmatch | 2024-06-26 | fer_dis |
| Rmd | 326ad11 | linmatch | 2024-06-26 | fert distribution |
| Rmd | 892720f | linmatch | 2024-06-23 | fert dis3 |
| Rmd | c865baa | linmatch | 2024-06-23 | fertility dis2 |
| Rmd | f2c131d | linmatch | 2024-06-23 | fertility distribution |
| html | bce5e2e | hcvw | 2024-05-27 | Build site. |
| Rmd | 332d5a2 | hcvw | 2024-05-27 | wflow_publish(c("analysis/CODIS_DB_composition.Rmd", "analysis/final_equation.Rmd", |

`summarise()` has grouped output by 'RACE'. You can override using the
`.groups` argument.

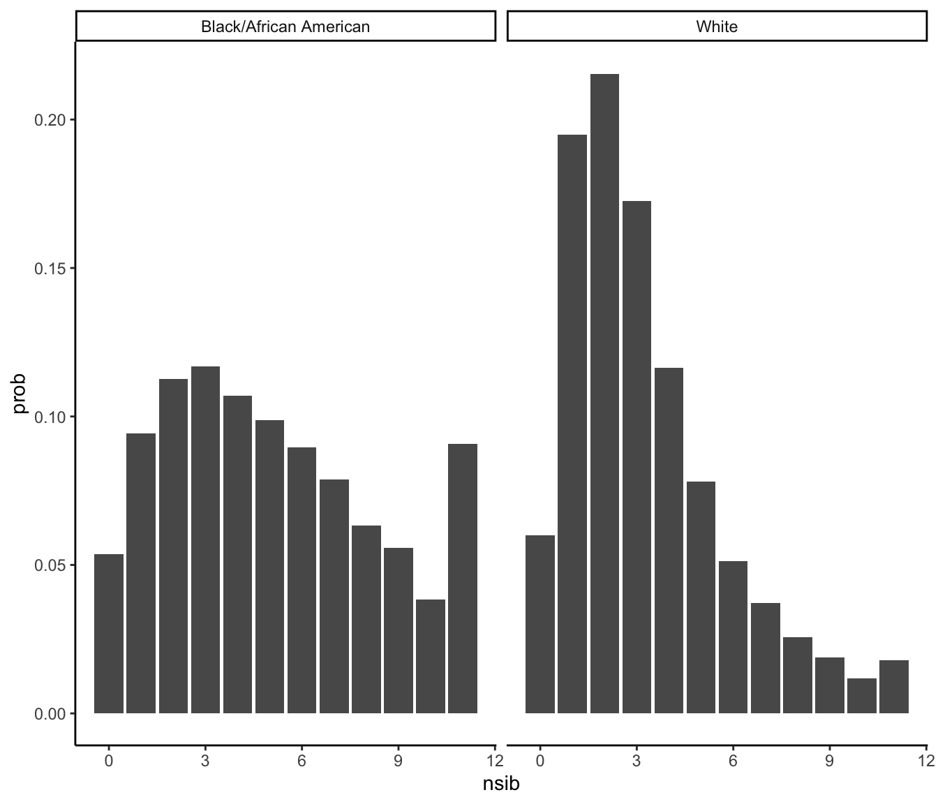
| Race | Number of Siblings | Probability |
|---|---|---|
| Black/African American | 0 | 0.0536835 |
| Black/African American | 1 | 0.0944034 |
| Black/African American | 2 | 0.1126400 |
| Black/African American | 3 | 0.1169489 |
| Black/African American | 4 | 0.1069123 |
| Black/African American | 5 | 0.0987928 |
| Black/African American | 6 | 0.0895686 |
| Black/African American | 7 | 0.0788034 |
| Black/African American | 8 | 0.0633805 |
| Black/African American | 9 | 0.0556882 |
| Black/African American | 10 | 0.0383610 |
| Black/African American | 11 | 0.0908175 |
| White | 0 | 0.0599540 |
| White | 1 | 0.1948590 |
| White | 2 | 0.2154482 |
| White | 3 | 0.1725750 |
| White | 4 | 0.1163034 |
| White | 5 | 0.0780464 |
| White | 6 | 0.0513892 |
| White | 7 | 0.0372693 |
| White | 8 | 0.0256068 |
| White | 9 | 0.0188150 |
| White | 10 | 0.0119091 |
| White | 11 | 0.0178246 |
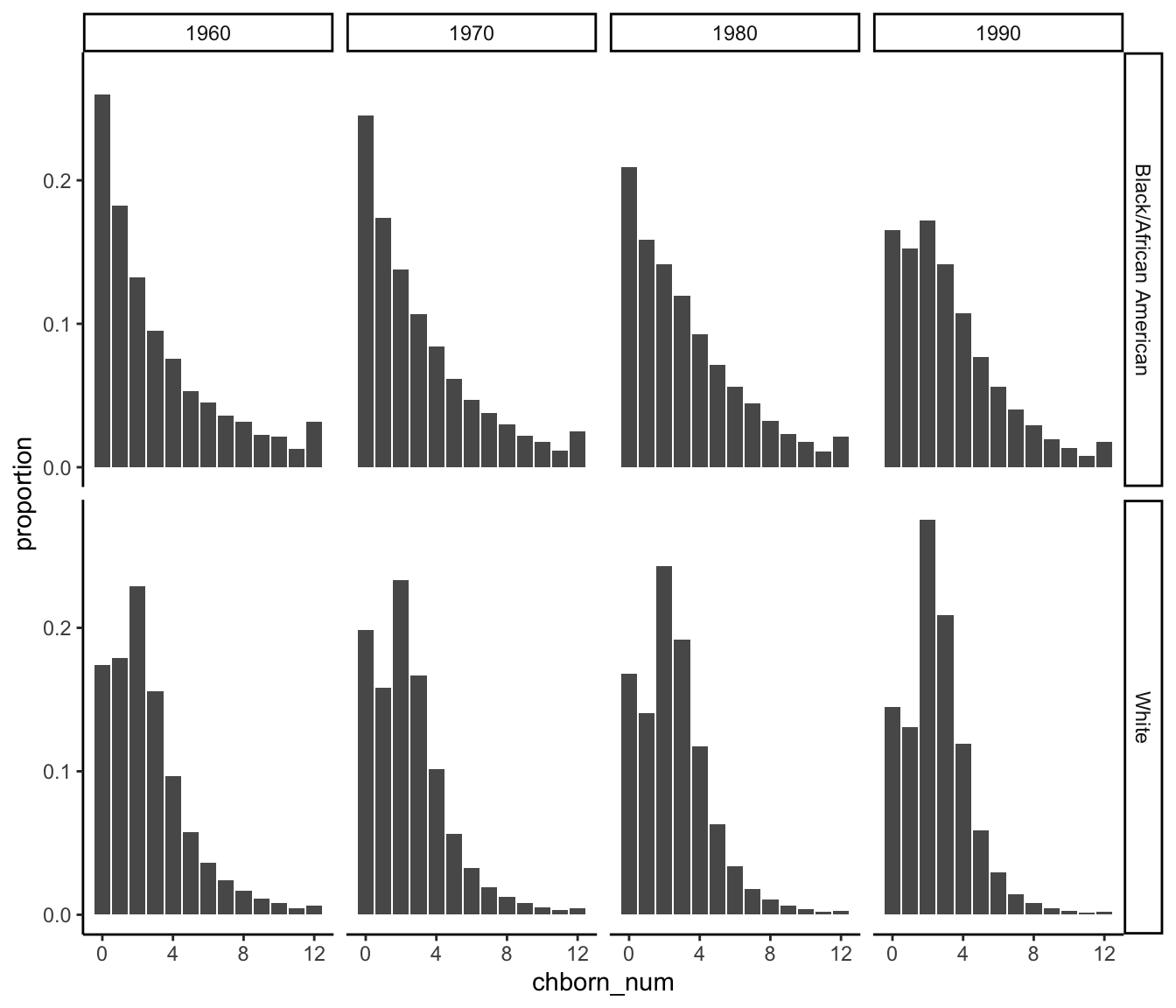
Here, we are trying to create a frequency table to show the number of children born, the number of mother who has “chborn_num” children, the number of sibling, and the number of individuals who has “n_sib” siblings.
\[ n_{sib} = chborn_{num} - 1 \]
\[ \text{freq}_{n_{\text{sib}}} = \text{freq}_{\text{mother}} \cdot \text{chborn}_{\text{num}} \]
eg.Suppose 10 mothers (generation 0) has 7 children, then there will be 70 children (generation 1) in total who has 6 siblings.
RACE YEAR chborn_num freq_mother n_sib freq_n_sib color
1 Black/African American 1960 0 6697 -1 0 #E41A1C
2 Black/African American 1960 1 4698 0 4698 #377EB8
3 Black/African American 1960 2 3411 1 6822 #4DAF4A
4 Black/African American 1960 3 2445 2 7335 #984EA3
5 Black/African American 1960 4 1949 3 7796 #FF7F00
6 Black/African American 1960 5 1361 4 6805 #FFFF33
7 Black/African American 1960 6 1162 5 6972 #A65628
8 Black/African American 1960 7 932 6 6524 #F781BF
9 Black/African American 1960 8 810 7 6480 #999999
10 Black/African American 1960 9 588 8 5292 #66C2A5
11 Black/African American 1960 10 549 9 5490 #FC8D62
12 Black/African American 1960 11 326 10 3586 #8DA0CB
13 Black/African American 1960 12 821 11 9852 #E78AC3
14 Black/African American 1970 0 16490 -1 0 #E41A1C
15 Black/African American 1970 1 11686 0 11686 #377EB8
16 Black/African American 1970 2 9275 1 18550 #4DAF4A
17 Black/African American 1970 3 7161 2 21483 #984EA3
18 Black/African American 1970 4 5659 3 22636 #FF7F00
19 Black/African American 1970 5 4147 4 20735 #FFFF33
20 Black/African American 1970 6 3147 5 18882 #A65628
21 Black/African American 1970 7 2542 6 17794 #F781BF
22 Black/African American 1970 8 2012 7 16096 #999999
23 Black/African American 1970 9 1473 8 13257 #66C2A5
24 Black/African American 1970 10 1194 9 11940 #FC8D62
25 Black/African American 1970 11 784 10 8624 #8DA0CB
26 Black/African American 1970 12 1682 11 20184 #E78AC3
27 Black/African American 1980 0 8417 -1 0 #E41A1C
28 Black/African American 1980 1 6383 0 6383 #377EB8
29 Black/African American 1980 2 5681 1 11362 #4DAF4A
30 Black/African American 1980 3 4797 2 14391 #984EA3
31 Black/African American 1980 4 3732 3 14928 #FF7F00
32 Black/African American 1980 5 2870 4 14350 #FFFF33
33 Black/African American 1980 6 2264 5 13584 #A65628
34 Black/African American 1980 7 1782 6 12474 #F781BF
35 Black/African American 1980 8 1310 7 10480 #999999
36 Black/African American 1980 9 943 8 8487 #66C2A5
37 Black/African American 1980 10 717 9 7170 #FC8D62
38 Black/African American 1980 11 452 10 4972 #8DA0CB
39 Black/African American 1980 12 870 11 10440 #E78AC3
40 Black/African American 1990 0 7193 -1 0 #E41A1C
41 Black/African American 1990 1 6635 0 6635 #377EB8
42 Black/African American 1990 2 7485 1 14970 #4DAF4A
43 Black/African American 1990 3 6161 2 18483 #984EA3
44 Black/African American 1990 4 4673 3 18692 #FF7F00
45 Black/African American 1990 5 3333 4 16665 #FFFF33
46 Black/African American 1990 6 2445 5 14670 #A65628
47 Black/African American 1990 7 1752 6 12264 #F781BF
48 Black/African American 1990 8 1263 7 10104 #999999
49 Black/African American 1990 9 853 8 7677 #66C2A5
50 Black/African American 1990 10 590 9 5900 #FC8D62
51 Black/African American 1990 11 348 10 3828 #8DA0CB
52 Black/African American 1990 12 772 11 9264 #E78AC3
53 White 1960 0 46202 -1 0 #E41A1C
54 White 1960 1 47433 0 47433 #377EB8
55 White 1960 2 60732 1 121464 #4DAF4A
56 White 1960 3 41272 2 123816 #984EA3
57 White 1960 4 25666 3 102664 #FF7F00
58 White 1960 5 15327 4 76635 #FFFF33
59 White 1960 6 9697 5 58182 #A65628
60 White 1960 7 6347 6 44429 #F781BF
61 White 1960 8 4518 7 36144 #999999
62 White 1960 9 2990 8 26910 #66C2A5
63 White 1960 10 2148 9 21480 #FC8D62
64 White 1960 11 1280 10 14080 #8DA0CB
65 White 1960 12 1747 11 20964 #E78AC3
66 White 1970 0 133940 -1 0 #E41A1C
67 White 1970 1 106663 0 106663 #377EB8
68 White 1970 2 157405 1 314810 #4DAF4A
69 White 1970 3 112397 2 337191 #984EA3
70 White 1970 4 68603 3 274412 #FF7F00
71 White 1970 5 38000 4 190000 #FFFF33
72 White 1970 6 22023 5 132138 #A65628
73 White 1970 7 12927 6 90489 #F781BF
74 White 1970 8 8534 7 68272 #999999
75 White 1970 9 5342 8 48078 #66C2A5
76 White 1970 10 3593 9 35930 #FC8D62
77 White 1970 11 2082 10 22902 #8DA0CB
78 White 1970 12 2858 11 34296 #E78AC3
79 White 1980 0 61909 -1 0 #E41A1C
80 White 1980 1 51856 0 51856 #377EB8
81 White 1980 2 89551 1 179102 #4DAF4A
82 White 1980 3 70716 2 212148 #984EA3
83 White 1980 4 43190 3 172760 #FF7F00
84 White 1980 5 23170 4 115850 #FFFF33
85 White 1980 6 12556 5 75336 #A65628
86 White 1980 7 6589 6 46123 #F781BF
87 White 1980 8 3874 7 30992 #999999
88 White 1980 9 2254 8 20286 #66C2A5
89 White 1980 10 1368 9 13680 #FC8D62
90 White 1980 11 757 10 8327 #8DA0CB
91 White 1980 12 1073 11 12876 #E78AC3
92 White 1990 0 62471 -1 0 #E41A1C
93 White 1990 1 56647 0 56647 #377EB8
94 White 1990 2 119054 1 238108 #4DAF4A
95 White 1990 3 90170 2 270510 #984EA3
96 White 1990 4 51511 3 206044 #FF7F00
97 White 1990 5 25385 4 126925 #FFFF33
98 White 1990 6 12698 5 76188 #A65628
99 White 1990 7 6292 6 44044 #F781BF
100 White 1990 8 3479 7 27832 #999999
101 White 1990 9 1876 8 16884 #66C2A5
102 White 1990 10 1132 9 11320 #FC8D62
103 White 1990 11 623 10 6853 #8DA0CB
104 White 1990 12 828 11 9936 #E78AC3


R version 4.3.2 (2023-10-31)
Platform: x86_64-apple-darwin20 (64-bit)
Running under: macOS Monterey 12.7.4
Matrix products: default
BLAS: /Library/Frameworks/R.framework/Versions/4.3-x86_64/Resources/lib/libRblas.0.dylib
LAPACK: /Library/Frameworks/R.framework/Versions/4.3-x86_64/Resources/lib/libRlapack.dylib; LAPACK version 3.11.0
locale:
[1] en_US.UTF-8/en_US.UTF-8/en_US.UTF-8/C/en_US.UTF-8/en_US.UTF-8
time zone: America/New_York
tzcode source: internal
attached base packages:
[1] stats graphics grDevices utils datasets methods base
other attached packages:
[1] scales_1.3.0 knitr_1.45 viridis_0.6.5 viridisLite_0.4.2
[5] lubridate_1.9.3 forcats_1.0.0 stringr_1.5.1 dplyr_1.1.4
[9] purrr_1.0.2 tidyr_1.3.1 tibble_3.2.1 ggplot2_3.4.4
[13] tidyverse_2.0.0 readr_2.1.5 workflowr_1.7.1
loaded via a namespace (and not attached):
[1] sass_0.4.8 utf8_1.2.4 generics_0.1.3 stringi_1.8.3
[5] hms_1.1.3 digest_0.6.34 magrittr_2.0.3 timechange_0.3.0
[9] evaluate_0.23 grid_4.3.2 fastmap_1.1.1 rprojroot_2.0.4
[13] jsonlite_1.8.8 processx_3.8.3 whisker_0.4.1 gridExtra_2.3
[17] ps_1.7.6 promises_1.2.1 httr_1.4.7 fansi_1.0.6
[21] jquerylib_0.1.4 cli_3.6.2 rlang_1.1.3 munsell_0.5.0
[25] withr_3.0.0 cachem_1.0.8 yaml_2.3.8 tools_4.3.2
[29] tzdb_0.4.0 colorspace_2.1-0 httpuv_1.6.14 vctrs_0.6.5
[33] R6_2.5.1 lifecycle_1.0.4 git2r_0.33.0 fs_1.6.3
[37] pkgconfig_2.0.3 callr_3.7.3 pillar_1.9.0 bslib_0.6.1
[41] later_1.3.2 gtable_0.3.4 glue_1.7.0 Rcpp_1.0.12
[45] highr_0.10 xfun_0.41 tidyselect_1.2.1 rstudioapi_0.15.0
[49] farver_2.1.1 htmltools_0.5.7 labeling_0.4.3 rmarkdown_2.25
[53] compiler_4.3.2 getPass_0.2-4