Last updated: 2023-10-20
Checks: 7 0
Knit directory: bgc_argo_r_argodata/
This reproducible R Markdown analysis was created with workflowr (version 1.7.0). The Checks tab describes the reproducibility checks that were applied when the results were created. The Past versions tab lists the development history.
Great! Since the R Markdown file has been committed to the Git repository, you know the exact version of the code that produced these results.
Great job! The global environment was empty. Objects defined in the global environment can affect the analysis in your R Markdown file in unknown ways. For reproduciblity it’s best to always run the code in an empty environment.
The command set.seed(20211008) was run prior to running
the code in the R Markdown file. Setting a seed ensures that any results
that rely on randomness, e.g. subsampling or permutations, are
reproducible.
Great job! Recording the operating system, R version, and package versions is critical for reproducibility.
Nice! There were no cached chunks for this analysis, so you can be confident that you successfully produced the results during this run.
Great job! Using relative paths to the files within your workflowr project makes it easier to run your code on other machines.
Great! You are using Git for version control. Tracking code development and connecting the code version to the results is critical for reproducibility.
The results in this page were generated with repository version e9ee0ad. See the Past versions tab to see a history of the changes made to the R Markdown and HTML files.
Note that you need to be careful to ensure that all relevant files for
the analysis have been committed to Git prior to generating the results
(you can use wflow_publish or
wflow_git_commit). workflowr only checks the R Markdown
file, but you know if there are other scripts or data files that it
depends on. Below is the status of the Git repository when the results
were generated:
Ignored files:
Ignored: .Rhistory
Ignored: .Rproj.user/
Ignored: output/
Unstaged changes:
Modified: code/start_background_job.R
Note that any generated files, e.g. HTML, png, CSS, etc., are not included in this status report because it is ok for generated content to have uncommitted changes.
These are the previous versions of the repository in which changes were
made to the R Markdown (analysis/extreme_temp.Rmd) and HTML
(docs/extreme_temp.html) files. If you’ve configured a
remote Git repository (see ?wflow_git_remote), click on the
hyperlinks in the table below to view the files as they were in that
past version.
| File | Version | Author | Date | Message |
|---|---|---|---|---|
| html | 1cd9ec1 | ds2n19 | 2023-10-19 | Build site. |
| html | 15c1d68 | ds2n19 | 2023-10-19 | Build site. |
| Rmd | 81b3d3c | ds2n19 | 2023-10-19 | moved from month by month regression to annual with monthly |
| html | 2f4ea7e | ds2n19 | 2023-10-19 | Build site. |
| Rmd | fbd34e7 | ds2n19 | 2023-10-19 | moved from month by month regression to annual with monthly |
| html | 879821d | ds2n19 | 2023-10-18 | Build site. |
| Rmd | dba28d5 | ds2n19 | 2023-10-18 | Clean up BGC load and re-run coverage and extreme packages. |
| html | 93b4545 | ds2n19 | 2023-10-18 | Build site. |
| html | 7004f76 | ds2n19 | 2023-10-17 | Build site. |
| Rmd | 86e3764 | ds2n19 | 2023-10-17 | standard range v climatology, season order resolved and count labels to |
| html | 4b55c43 | ds2n19 | 2023-10-12 | Build site. |
| Rmd | ce19a66 | ds2n19 | 2023-10-04 | Revised version of OceanSODA product -v2023 |
| html | 7b3d8c5 | pasqualina-vonlanthendinenna | 2022-08-29 | Build site. |
| Rmd | 8e81570 | pasqualina-vonlanthendinenna | 2022-08-29 | load and add in core-argo data (1 month) |
| html | bdd516d | pasqualina-vonlanthendinenna | 2022-05-23 | Build site. |
| Rmd | b41e65f | pasqualina-vonlanthendinenna | 2022-05-23 | recreate data in bgc_argo_preprocessed_data |
| html | 71e58d6 | jens-daniel-mueller | 2022-05-12 | Build site. |
| Rmd | 944e0a2 | jens-daniel-mueller | 2022-05-12 | revised color scale for argo location map |
| Rmd | 1bdcd6e | jens-daniel-mueller | 2022-05-12 | revised color scale for argo location map |
| html | 4173c20 | jens-daniel-mueller | 2022-05-12 | Build site. |
| Rmd | 78acca9 | jens-daniel-mueller | 2022-05-12 | run with DIC clim scaled to 2016 |
| html | dfe89d7 | jens-daniel-mueller | 2022-05-12 | Build site. |
| html | 710edd4 | jens-daniel-mueller | 2022-05-11 | Build site. |
| Rmd | 2f20a76 | jens-daniel-mueller | 2022-05-11 | rebuild all after subsetting AB profiles and code cleaning |
| html | b917bd0 | jens-daniel-mueller | 2022-05-11 | Build site. |
| Rmd | 86144c6 | jens-daniel-mueller | 2022-05-11 | rerun with flag A and B subset |
| html | ca30beb | pasqualina-vonlanthendinenna | 2022-05-05 | Build site. |
| Rmd | bb146f4 | pasqualina-vonlanthendinenna | 2022-05-05 | updated map colors and plotting |
| html | 4cf88e4 | pasqualina-vonlanthendinenna | 2022-05-05 | Build site. |
| Rmd | 3bde57b | pasqualina-vonlanthendinenna | 2022-05-05 | added argo profile locations |
| html | 2751f13 | pasqualina-vonlanthendinenna | 2022-05-05 | Build site. |
| Rmd | 8e115be | pasqualina-vonlanthendinenna | 2022-05-05 | added argo profile locations |
| html | f46b9da | pasqualina-vonlanthendinenna | 2022-05-05 | Build site. |
| Rmd | ebcc576 | pasqualina-vonlanthendinenna | 2022-05-05 | added argo profile locations |
| html | 6572988 | pasqualina-vonlanthendinenna | 2022-05-04 | Build site. |
| Rmd | 8d56775 | pasqualina-vonlanthendinenna | 2022-05-04 | updated plot labels |
| html | 708f923 | pasqualina-vonlanthendinenna | 2022-05-04 | Build site. |
| Rmd | d569024 | pasqualina-vonlanthendinenna | 2022-05-04 | added number of profiles to plot |
| html | 6a6e874 | pasqualina-vonlanthendinenna | 2022-04-29 | Build site. |
| html | 2d44f8a | pasqualina-vonlanthendinenna | 2022-04-29 | Build site. |
| Rmd | 8b582f0 | pasqualina-vonlanthendinenna | 2022-04-29 | added broullon climatology page, argo locations |
| html | e61c08e | pasqualina-vonlanthendinenna | 2022-04-27 | Build site. |
| Rmd | 9664e0e | pasqualina-vonlanthendinenna | 2022-04-27 | added temp data page, changed double extremes |
| html | 10036ed | pasqualina-vonlanthendinenna | 2022-04-26 | Build site. |
| html | c03dd24 | pasqualina-vonlanthendinenna | 2022-04-20 | Build site. |
| html | f5f6b3f | pasqualina-vonlanthendinenna | 2022-04-14 | Build site. |
| Rmd | c2fa269 | pasqualina-vonlanthendinenna | 2022-04-14 | added full temperature climatology |
| html | 8805f99 | pasqualina-vonlanthendinenna | 2022-04-11 | Build site. |
| Rmd | d21c526 | pasqualina-vonlanthendinenna | 2022-04-11 | cleaned up code |
| Rmd | f3ca885 | pasqualina-vonlanthendinenna | 2022-04-07 | added OceanSODA-Argo SST comparison |
| html | c541171 | pasqualina-vonlanthendinenna | 2022-04-07 | Build site. |
| Rmd | 9437f81 | pasqualina-vonlanthendinenna | 2022-04-07 | cleaned loading data page |
| html | 9875dd0 | pasqualina-vonlanthendinenna | 2022-04-05 | Build site. |
| Rmd | 72a65a7 | pasqualina-vonlanthendinenna | 2022-04-05 | added new biomes to extreme pH |
| html | 48573c4 | pasqualina-vonlanthendinenna | 2022-03-31 | Build site. |
| Rmd | 11915d8 | pasqualina-vonlanthendinenna | 2022-03-31 | loaded in Mayot biomes and Roemmich temp climatology |
| html | eb8e3be | pasqualina-vonlanthendinenna | 2022-03-31 | Build site. |
| Rmd | c4d4031 | pasqualina-vonlanthendinenna | 2022-03-31 | extended OceanSODA to 1995 for extreme detection |
| html | a2271df | pasqualina-vonlanthendinenna | 2022-03-30 | Build site. |
| Rmd | 25d5eed | pasqualina-vonlanthendinenna | 2022-03-30 | updated figure aspects |
| html | dfd75e9 | pasqualina-vonlanthendinenna | 2022-03-29 | Build site. |
| Rmd | b9a42f9 | pasqualina-vonlanthendinenna | 2022-03-29 | added january plots and changed pH anomaly detection to mean |
| html | 65e609a | pasqualina-vonlanthendinenna | 2022-03-28 | Build site. |
| Rmd | a22e2f4 | pasqualina-vonlanthendinenna | 2022-03-28 | re-build extreme temp page |
| html | cbb2360 | jens-daniel-mueller | 2022-03-28 | Build site. |
| Rmd | c07ce42 | jens-daniel-mueller | 2022-03-28 | rerun with mean instead of lm anomaly detection |
| html | fa1b6de | jens-daniel-mueller | 2022-03-28 | Build site. |
| Rmd | c53aa88 | jens-daniel-mueller | 2022-03-28 | rerun with lm instead of mean anomaly detection |
| html | 749e005 | jens-daniel-mueller | 2022-03-28 | Build site. |
| Rmd | 9ed3727 | jens-daniel-mueller | 2022-03-28 | cleaned code |
| html | 8173cdb | jens-daniel-mueller | 2022-03-28 | Build site. |
| Rmd | d7e3599 | jens-daniel-mueller | 2022-03-28 | reviewed depth binning for profile averaging |
| html | f27d454 | pasqualina-vonlanthendinenna | 2022-03-25 | Build site. |
| Rmd | b9c4426 | pasqualina-vonlanthendinenna | 2022-03-25 | read in temp climatology in loading data |
| html | 7f5c5c6 | pasqualina-vonlanthendinenna | 2022-03-25 | Build site. |
| Rmd | becbfe0 | pasqualina-vonlanthendinenna | 2022-03-25 | corrected anomaly profile calculation |
| html | 27a52f8 | pasqualina-vonlanthendinenna | 2022-03-25 | Build site. |
| Rmd | a6aad60 | pasqualina-vonlanthendinenna | 2022-03-25 | added january anomaly profiles for each year |
| html | 6dd0945 | pasqualina-vonlanthendinenna | 2022-03-25 | Build site. |
| html | d9caaae | pasqualina-vonlanthendinenna | 2022-03-22 | Build site. |
| Rmd | 9daebcf | pasqualina-vonlanthendinenna | 2022-03-22 | removed climatology from temperature profiles (anomaly profiles section) |
| html | 5e36bb4 | pasqualina-vonlanthendinenna | 2022-03-18 | Build site. |
| Rmd | 44a9ba6 | pasqualina-vonlanthendinenna | 2022-03-18 | removed eval false from anomaly maps |
| html | 650ef68 | pasqualina-vonlanthendinenna | 2022-03-18 | Build site. |
| Rmd | 792f3f0 | pasqualina-vonlanthendinenna | 2022-03-18 | removed climatology from oceansoda temperature |
| html | e12a216 | pasqualina-vonlanthendinenna | 2022-03-15 | Build site. |
| Rmd | e4d1d1e | pasqualina-vonlanthendinenna | 2022-03-15 | updated to new only flag A data |
| html | c8451b9 | pasqualina-vonlanthendinenna | 2022-03-14 | Build site. |
| html | 1ffe07f | pasqualina-vonlanthendinenna | 2022-03-11 | Build site. |
| Rmd | f0fde29 | pasqualina-vonlanthendinenna | 2022-03-11 | changed anomaly detection to 1x1 grid with old data |
| html | 7540ae4 | pasqualina-vonlanthendinenna | 2022-03-08 | Build site. |
| Rmd | 18dff1b | pasqualina-vonlanthendinenna | 2022-03-08 | subsetted profiles with flag A only for extremes |
| html | 9d97f25 | pasqualina-vonlanthendinenna | 2022-03-02 | Build site. |
| Rmd | 9ccabc6 | pasqualina-vonlanthendinenna | 2022-03-02 | removed facet wrap |
| html | e4188d2 | pasqualina-vonlanthendinenna | 2022-03-01 | Build site. |
| Rmd | 6ca535c | pasqualina-vonlanthendinenna | 2022-03-01 | updated profiles |
| html | da665ab | pasqualina-vonlanthendinenna | 2022-03-01 | Build site. |
| Rmd | 57ada58 | pasqualina-vonlanthendinenna | 2022-03-01 | updated figure aspects |
| html | 5ef4df2 | pasqualina-vonlanthendinenna | 2022-03-01 | Build site. |
| Rmd | 8ef1277 | pasqualina-vonlanthendinenna | 2022-03-01 | plotted Atlantic mean seasonal profiles |
| Rmd | 73463cc | pasqualina-vonlanthendinenna | 2022-03-01 | changed line thickness for H and L raw profiles |
| html | c4362e5 | pasqualina-vonlanthendinenna | 2022-02-28 | Build site. |
| Rmd | 5b0901d | pasqualina-vonlanthendinenna | 2022-02-28 | corrected dates and titles |
| html | d299359 | pasqualina-vonlanthendinenna | 2022-02-28 | Build site. |
| Rmd | aad1df4 | pasqualina-vonlanthendinenna | 2022-02-28 | plotted specific profiles |
| html | fd521d1 | pasqualina-vonlanthendinenna | 2022-02-25 | Build site. |
| Rmd | 64c2c71 | pasqualina-vonlanthendinenna | 2022-02-25 | plotted line profiles and changed HNL colors |
| html | 7d7874c | pasqualina-vonlanthendinenna | 2022-02-24 | Build site. |
| Rmd | 58d2846 | pasqualina-vonlanthendinenna | 2022-02-24 | added st dev for temp profiles |
| html | c68163a | pasqualina-vonlanthendinenna | 2022-02-22 | Build site. |
| Rmd | 818ac54 | pasqualina-vonlanthendinenna | 2022-02-22 | updated regression and merging for extreme_temp |
| html | f98c744 | pasqualina-vonlanthendinenna | 2022-02-18 | Build site. |
| Rmd | 8b99ab3 | pasqualina-vonlanthendinenna | 2022-02-18 | updates |
| html | 19aa73d | pasqualina-vonlanthendinenna | 2022-02-16 | Build site. |
| Rmd | d955d28 | pasqualina-vonlanthendinenna | 2022-02-16 | updated extreme temperature |
| html | 905d82f | pasqualina-vonlanthendinenna | 2022-02-15 | Build site. |
| Rmd | 01ae9da | pasqualina-vonlanthendinenna | 2022-02-15 | added OceanSODA-Argo SST comparison |
| html | 54ea512 | pasqualina-vonlanthendinenna | 2022-02-10 | Build site. |
| html | f2fa56a | pasqualina-vonlanthendinenna | 2022-02-10 | Build site. |
| Rmd | eda8ca8 | pasqualina-vonlanthendinenna | 2022-02-10 | code review |
Compare depth profiles of normal temperature and of extreme temperature, as identified in the surface OceanSODA data product
theme_set(theme_bw())
HNL_colors <- c("H" = "#b2182b",
"N" = "#636363",
"L" = "#2166ac")
HNL_colors_map <- c('H' = 'red3',
'N' = 'transparent',
'L' = 'blue3')
path_argo <- '/nfs/kryo/work/updata/bgc_argo_r_argodata'
path_argo_preprocessed <- paste0(path_argo, "/preprocessed_bgc_data")
path_emlr_utilities <- "/nfs/kryo/work/jenmueller/emlr_cant/utilities/files/"
path_updata <- '/nfs/kryo/work/updata'
path_argo_clim_temp <- paste0(path_updata, "/argo_climatology/temperature")
path_argo <- '/nfs/kryo/work/datasets/ungridded/3d/ocean/floats/bgc_argo'
# /nfs/kryo/work/datasets/ungridded/3d/ocean/floats/bgc_argo/preprocessed_bgc_data
path_argo_preprocessed <- paste0(path_argo, "/preprocessed_bgc_data")
# RECCAP2-ocean region mask
# region_masks_all_2x2 <- read_rds(file = paste0(path_argo_preprocessed,
# "/region_masks_all_2x2.rds"))
# #
# region_masks_all_2x2 <- region_masks_all_2x2 %>%
# rename(biome = value) %>%
# mutate(coast = as.character(coast))
# updated biomes of Nicolas Mayot
nm_biomes <- read_rds(file = paste0(path_argo_preprocessed, "/nm_biomes.rds"))
# WOA 18 basin mask
basinmask <-
read_csv(
paste(path_emlr_utilities,
"basin_mask_WOA18.csv",
sep = ""),
col_types = cols("MLR_basins" = col_character())
)
basinmask <- basinmask %>%
filter(MLR_basins == unique(basinmask$MLR_basins)[1]) %>%
select(-c(MLR_basins, basin))
# OceanSODA temperature (from 1995 to 2020)
OceanSODA_temp <- read_rds(file = paste0(path_argo_preprocessed, "/OceanSODA_temp.rds"))
OceanSODA_temp <- OceanSODA_temp %>%
mutate(month = month(date))
# Argo flag A profiles
full_argo <-
read_rds(file = paste0(path_argo_preprocessed, "/bgc_merge_flag_AB.rds"))
full_argo <- full_argo %>%
select(-c(ph_in_situ_total_adjusted:ph_in_situ_total_adjusted_error,
profile_ph_in_situ_total_qc))
# change the date format for compatibility with OceanSODA data
full_argo <- full_argo %>%
mutate(year = year(date),
month = month(date)) %>%
mutate(date = ymd(format(date, "%Y-%m-15")))
# load in bgc-temperature data with profile QC flags of A and B, irrespective of whether a corresponding pH measurement exists
argo_temp <- read_rds(file = paste0(path_argo_preprocessed, "/bgc_merge_temp_AB.rds"))
argo_temp <- argo_temp %>%
mutate(year = year(date),
month = month(date)) %>%
mutate(date = ymd(format(date, '%Y-%m-15')))
# base map for plotting
map <-
read_rds(paste(path_emlr_utilities,
"map_landmask_WOA18.rds",
sep = ""))
# restrict base map to Southern Ocean
map <- map +
lims(y = c(-85, -30))
map+
geom_tile(data = nm_biomes,
aes(x = lon,
y = lat,
fill = biome_name))+
scale_fill_brewer(palette = 'Dark2')+
labs(title = 'Mayot biomes (pre-grid reduction)')

basemap(limits = -30)+
geom_spatial_tile(data = nm_biomes,
aes(x = lon,
y = lat,
fill = biome_name),
col = NA)+
scale_fill_brewer(palette = 'Dark2')+
labs(title = 'Mayot biomes (pre-grid reduction)')
# Commented
# nm_biomes_2x2 <- nm_biomes %>%
# mutate(lon = cut(lon, seq(20, 380, 2), seq(21, 379, 2)),
# lon = as.numeric(as.character(lon)),
# lat = cut(lat, seq(-90, 90, 2), seq(-89, 89, 2)),
# lat = as.numeric(as.character(lat)))
#
# nm_biomes_2x2 <- nm_biomes_2x2 %>%
# count(lon, lat, biome_name) %>%
# group_by(lon, lat) %>%
# slice_max(n, with_ties = FALSE) %>%
# ungroup()
# New
nm_biomes <- nm_biomes %>%
count(lon, lat, biome_name) %>%
group_by(lon, lat) %>%
slice_max(n, with_ties = FALSE) %>%
ungroup()
# Commented
#rm(nm_biomes)
# map+
# geom_tile(data = nm_biomes_2x2,
# aes(x = lon,
# y = lat,
# fill = biome_name))+
# scale_fill_brewer(palette = 'Dark2')+
# labs('Mayot biomes post-grid reduction')
# basemap(limits = -30)+
# geom_spatial_tile(data = nm_biomes_2x2,
# aes(x = lon,
# y = lat,
# fill = biome_name),
# col = NA)+
# scale_fill_brewer(palette = 'Dark2')+
# labs(title = 'Mayot biomes (post-grid reduction)')
basinmask <- basinmask %>%
filter(lat < -30)
map +
geom_tile(data = basinmask,
aes(x = lon,
y = lat,
fill = basin_AIP))+
scale_fill_brewer(palette = 'Dark2')

# Commented
# basinmask_2x2 <- basinmask %>%
# mutate(
# lat = cut(lat, seq(-90, 90, 2), seq(-89, 89, 2)),
# lat = as.numeric(as.character(lat)),
# lon = cut(lon, seq(20, 380, 2), seq(21, 379, 2)),
# lon = as.numeric(as.character(lon))
# )
#
# # assign basins from each pixel to to each 2 Lon x Lat pixel, based on the majority of basins in each 2x2 grid
#
# basinmask_2x2 <- basinmask_2x2 %>%
# count(lon, lat, basin_AIP) %>%
# group_by(lon, lat) %>%
# slice_max(n, with_ties = FALSE) %>%
# ungroup() %>%
# select(-n)
# Added
basinmask <- basinmask %>%
count(lon, lat, basin_AIP) %>%
group_by(lon, lat) %>%
slice_max(n, with_ties = FALSE) %>%
ungroup() %>%
select(-n)
# commented
#rm(basinmask)
# map+
# geom_tile(data = basinmask_2x2 %>% filter(lat < -30),
# aes(x = lon,
# y = lat,
# fill = basin_AIP))+
# scale_fill_brewer(palette = 'Dark2')
# basemap(limits = -32)+
# geom_spatial_tile(data = basinmask_2x2 %>% filter(lat < -32),
# aes(x = lon,
# y = lat,
# fill = basin_AIP),
# col = NA)+
# scale_fill_brewer(palette = 'Dark2')
OceanSODA_temp <- OceanSODA_temp %>%
group_by(lon, lat, month) %>%
mutate(clim_temp = mean(temperature, na.rm = TRUE),
clim_diff = temperature - clim_temp,
.after = temperature) %>%
ungroup()
# Note: While reducing lon x lat grid,
# we keep the original number of observations
# Commented
# OceanSODA_temp_2x2 <- OceanSODA_temp %>%
# mutate(
# lat_raw = lat,
# lon_raw = lon,
# lat = cut(lat, seq(-90, 90, 2), seq(-89, 89, 2)),
# lat = as.numeric(as.character(lat)),
# lon = cut(lon, seq(20, 380, 2), seq(21, 379, 2)),
# lon = as.numeric(as.character(lon))) # regrid into 2x2º grid
# Added
OceanSODA_temp <- OceanSODA_temp %>%
mutate(
lat_raw = lat,
lon_raw = lon)
# commented
#rm(OceanSODA_temp)
# keep only Southern Ocean data
# OceanSODA_temp_2x2_SO <- inner_join(OceanSODA_temp_2x2, nm_biomes_2x2 %>%
# select(-n))
#
# rm(OceanSODA_temp_2x2)
# # add in basin separations
# OceanSODA_temp_2x2_SO <- inner_join(OceanSODA_temp_2x2_SO, basinmask_2x2)
# # expected number of rows from -30 to -70º latitude, 360º longitude, for 12 months, 8 years:
# # 40 lat x 360 lon x 12 months x 8 years = 1 382 400 rows
# # actual number of rows: 925 260 (in line with expectations)
#
# OceanSODA_temp_2x2_SO <- OceanSODA_temp_2x2_SO %>%
# filter(!is.na(temperature))
# # no NA clim_diff values
OceanSODA_temp_SO <- inner_join(OceanSODA_temp, nm_biomes %>%
select(-n))
# add in basin separations
OceanSODA_temp_SO <- inner_join(OceanSODA_temp_SO, basinmask)
OceanSODA_temp_SO <- OceanSODA_temp_SO %>%
filter(!is.na(temperature))
OceanSODA_temp_SO %>%
filter(year == 2020) %>%
ggplot(aes(lon_raw, lat_raw, fill = clim_temp)) +
geom_tile() +
scale_fill_viridis_c() +
facet_wrap(~ month, ncol = 2) +
coord_quickmap(expand = 0)

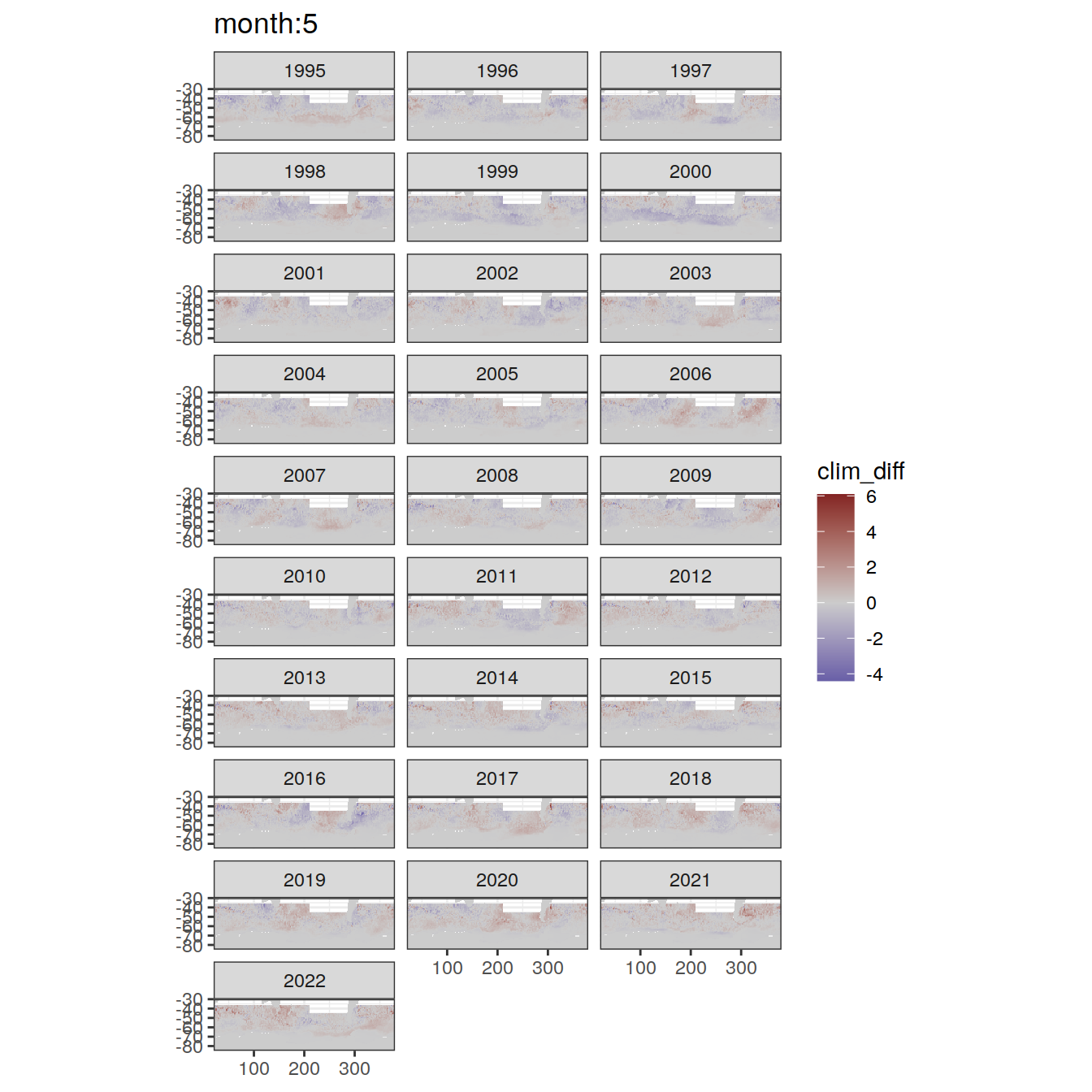
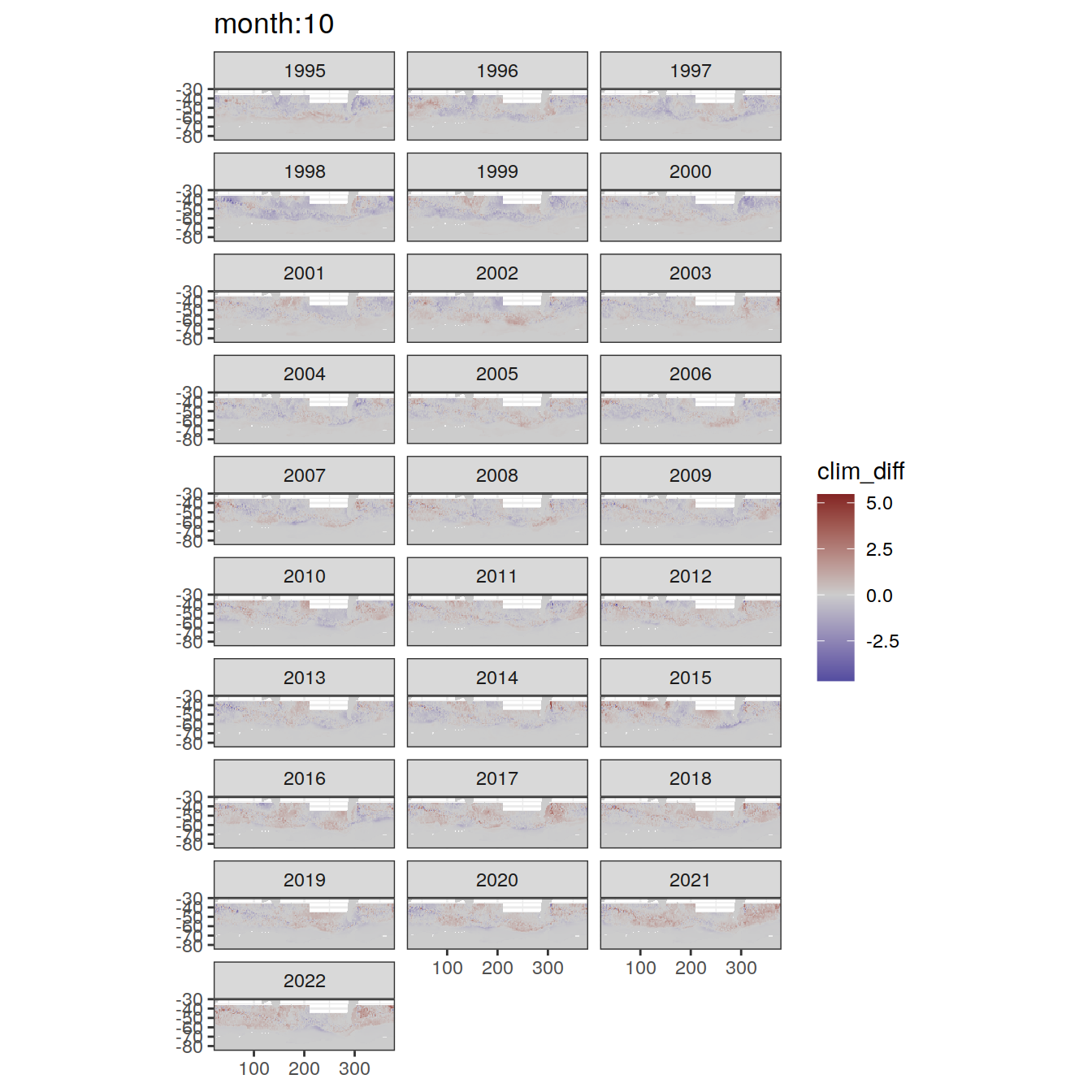
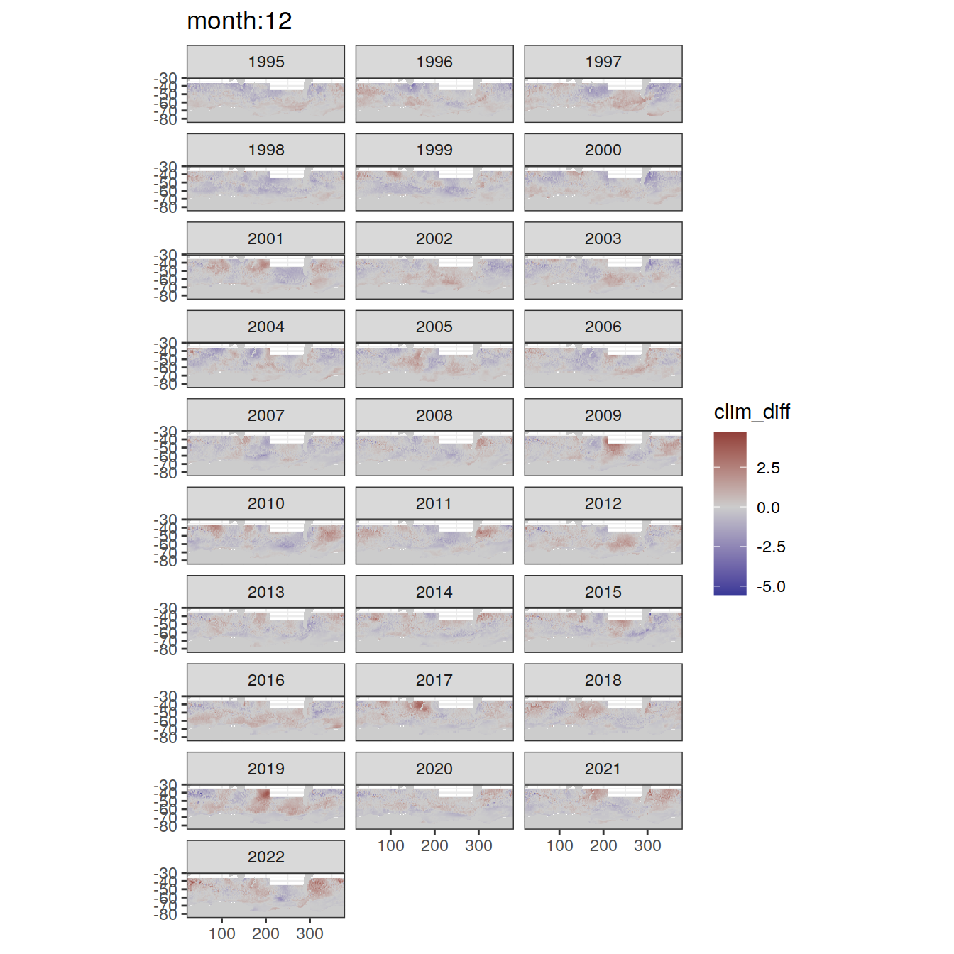
OceanSODA_temp_SO %>%
group_split(month) %>%
#head(1) %>%
map(
~map +
geom_tile(data = .x,
aes(x = lon_raw,
y = lat_raw,
fill = clim_temp))+
scale_fill_viridis_c()+
labs(title = paste0('month:', unique(.x$month)))+
theme(legend.position = 'right')
)
[[1]]

| Version | Author | Date |
|---|---|---|
| 2f4ea7e | ds2n19 | 2023-10-19 |
| 4b55c43 | ds2n19 | 2023-10-12 |
| 1ae81b3 | ds2n19 | 2023-10-11 |
| 44f5720 | ds2n19 | 2023-10-09 |
| c541171 | pasqualina-vonlanthendinenna | 2022-04-07 |
| 9875dd0 | pasqualina-vonlanthendinenna | 2022-04-05 |
| 48573c4 | pasqualina-vonlanthendinenna | 2022-03-31 |
| eb8e3be | pasqualina-vonlanthendinenna | 2022-03-31 |
| dfd75e9 | pasqualina-vonlanthendinenna | 2022-03-29 |
[[2]]

| Version | Author | Date |
|---|---|---|
| 2f4ea7e | ds2n19 | 2023-10-19 |
| 4b55c43 | ds2n19 | 2023-10-12 |
| 1ae81b3 | ds2n19 | 2023-10-11 |
| 44f5720 | ds2n19 | 2023-10-09 |
| c541171 | pasqualina-vonlanthendinenna | 2022-04-07 |
| 9875dd0 | pasqualina-vonlanthendinenna | 2022-04-05 |
| 48573c4 | pasqualina-vonlanthendinenna | 2022-03-31 |
| eb8e3be | pasqualina-vonlanthendinenna | 2022-03-31 |
| dfd75e9 | pasqualina-vonlanthendinenna | 2022-03-29 |
[[3]]

| Version | Author | Date |
|---|---|---|
| 2f4ea7e | ds2n19 | 2023-10-19 |
| 4b55c43 | ds2n19 | 2023-10-12 |
| 1ae81b3 | ds2n19 | 2023-10-11 |
| 44f5720 | ds2n19 | 2023-10-09 |
| c541171 | pasqualina-vonlanthendinenna | 2022-04-07 |
| 9875dd0 | pasqualina-vonlanthendinenna | 2022-04-05 |
| 48573c4 | pasqualina-vonlanthendinenna | 2022-03-31 |
| eb8e3be | pasqualina-vonlanthendinenna | 2022-03-31 |
| dfd75e9 | pasqualina-vonlanthendinenna | 2022-03-29 |
[[4]]

| Version | Author | Date |
|---|---|---|
| 2f4ea7e | ds2n19 | 2023-10-19 |
| 4b55c43 | ds2n19 | 2023-10-12 |
| 1ae81b3 | ds2n19 | 2023-10-11 |
| 44f5720 | ds2n19 | 2023-10-09 |
| c541171 | pasqualina-vonlanthendinenna | 2022-04-07 |
| 9875dd0 | pasqualina-vonlanthendinenna | 2022-04-05 |
| 48573c4 | pasqualina-vonlanthendinenna | 2022-03-31 |
| eb8e3be | pasqualina-vonlanthendinenna | 2022-03-31 |
| dfd75e9 | pasqualina-vonlanthendinenna | 2022-03-29 |
[[5]]

| Version | Author | Date |
|---|---|---|
| 2f4ea7e | ds2n19 | 2023-10-19 |
| 4b55c43 | ds2n19 | 2023-10-12 |
| 1ae81b3 | ds2n19 | 2023-10-11 |
| 44f5720 | ds2n19 | 2023-10-09 |
| c541171 | pasqualina-vonlanthendinenna | 2022-04-07 |
| 9875dd0 | pasqualina-vonlanthendinenna | 2022-04-05 |
| 48573c4 | pasqualina-vonlanthendinenna | 2022-03-31 |
| eb8e3be | pasqualina-vonlanthendinenna | 2022-03-31 |
| dfd75e9 | pasqualina-vonlanthendinenna | 2022-03-29 |
[[6]]

| Version | Author | Date |
|---|---|---|
| 2f4ea7e | ds2n19 | 2023-10-19 |
| 4b55c43 | ds2n19 | 2023-10-12 |
| 1ae81b3 | ds2n19 | 2023-10-11 |
| 44f5720 | ds2n19 | 2023-10-09 |
| c541171 | pasqualina-vonlanthendinenna | 2022-04-07 |
| 9875dd0 | pasqualina-vonlanthendinenna | 2022-04-05 |
| 48573c4 | pasqualina-vonlanthendinenna | 2022-03-31 |
| eb8e3be | pasqualina-vonlanthendinenna | 2022-03-31 |
| dfd75e9 | pasqualina-vonlanthendinenna | 2022-03-29 |
[[7]]

| Version | Author | Date |
|---|---|---|
| 2f4ea7e | ds2n19 | 2023-10-19 |
| 4b55c43 | ds2n19 | 2023-10-12 |
| 1ae81b3 | ds2n19 | 2023-10-11 |
| 44f5720 | ds2n19 | 2023-10-09 |
| c541171 | pasqualina-vonlanthendinenna | 2022-04-07 |
| 9875dd0 | pasqualina-vonlanthendinenna | 2022-04-05 |
| 48573c4 | pasqualina-vonlanthendinenna | 2022-03-31 |
| eb8e3be | pasqualina-vonlanthendinenna | 2022-03-31 |
| dfd75e9 | pasqualina-vonlanthendinenna | 2022-03-29 |
[[8]]

| Version | Author | Date |
|---|---|---|
| 2f4ea7e | ds2n19 | 2023-10-19 |
| 4b55c43 | ds2n19 | 2023-10-12 |
| 1ae81b3 | ds2n19 | 2023-10-11 |
| 44f5720 | ds2n19 | 2023-10-09 |
| c541171 | pasqualina-vonlanthendinenna | 2022-04-07 |
| 9875dd0 | pasqualina-vonlanthendinenna | 2022-04-05 |
| 48573c4 | pasqualina-vonlanthendinenna | 2022-03-31 |
| eb8e3be | pasqualina-vonlanthendinenna | 2022-03-31 |
| dfd75e9 | pasqualina-vonlanthendinenna | 2022-03-29 |
[[9]]

| Version | Author | Date |
|---|---|---|
| 2f4ea7e | ds2n19 | 2023-10-19 |
| 4b55c43 | ds2n19 | 2023-10-12 |
| 1ae81b3 | ds2n19 | 2023-10-11 |
| 44f5720 | ds2n19 | 2023-10-09 |
| c541171 | pasqualina-vonlanthendinenna | 2022-04-07 |
| 9875dd0 | pasqualina-vonlanthendinenna | 2022-04-05 |
| 48573c4 | pasqualina-vonlanthendinenna | 2022-03-31 |
| eb8e3be | pasqualina-vonlanthendinenna | 2022-03-31 |
| dfd75e9 | pasqualina-vonlanthendinenna | 2022-03-29 |
[[10]]

| Version | Author | Date |
|---|---|---|
| 2f4ea7e | ds2n19 | 2023-10-19 |
| 4b55c43 | ds2n19 | 2023-10-12 |
| 1ae81b3 | ds2n19 | 2023-10-11 |
| 44f5720 | ds2n19 | 2023-10-09 |
| c541171 | pasqualina-vonlanthendinenna | 2022-04-07 |
| 9875dd0 | pasqualina-vonlanthendinenna | 2022-04-05 |
| 48573c4 | pasqualina-vonlanthendinenna | 2022-03-31 |
| eb8e3be | pasqualina-vonlanthendinenna | 2022-03-31 |
| dfd75e9 | pasqualina-vonlanthendinenna | 2022-03-29 |
[[11]]

| Version | Author | Date |
|---|---|---|
| 2f4ea7e | ds2n19 | 2023-10-19 |
| 4b55c43 | ds2n19 | 2023-10-12 |
| 1ae81b3 | ds2n19 | 2023-10-11 |
| 44f5720 | ds2n19 | 2023-10-09 |
| c541171 | pasqualina-vonlanthendinenna | 2022-04-07 |
| 9875dd0 | pasqualina-vonlanthendinenna | 2022-04-05 |
| 48573c4 | pasqualina-vonlanthendinenna | 2022-03-31 |
| eb8e3be | pasqualina-vonlanthendinenna | 2022-03-31 |
| dfd75e9 | pasqualina-vonlanthendinenna | 2022-03-29 |
[[12]]

| Version | Author | Date |
|---|---|---|
| 2f4ea7e | ds2n19 | 2023-10-19 |
| 4b55c43 | ds2n19 | 2023-10-12 |
| 1ae81b3 | ds2n19 | 2023-10-11 |
| 44f5720 | ds2n19 | 2023-10-09 |
| c541171 | pasqualina-vonlanthendinenna | 2022-04-07 |
| 9875dd0 | pasqualina-vonlanthendinenna | 2022-04-05 |
| 48573c4 | pasqualina-vonlanthendinenna | 2022-03-31 |
| eb8e3be | pasqualina-vonlanthendinenna | 2022-03-31 |
| dfd75e9 | pasqualina-vonlanthendinenna | 2022-03-29 |
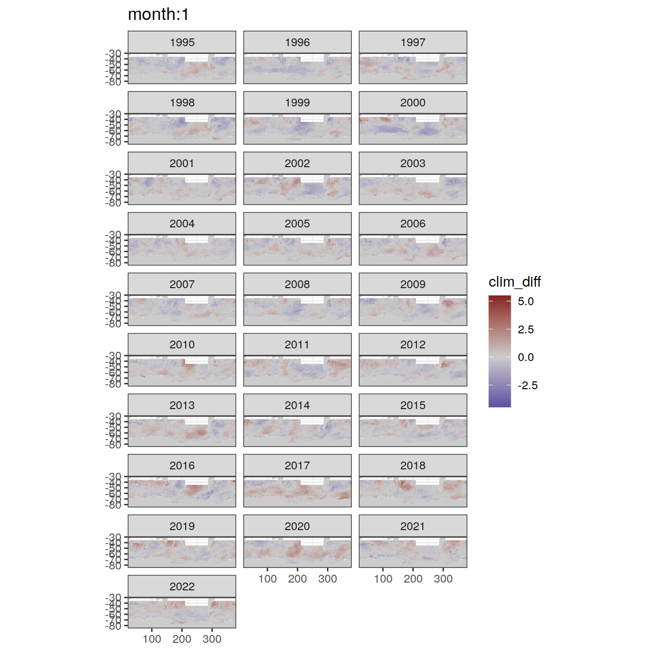
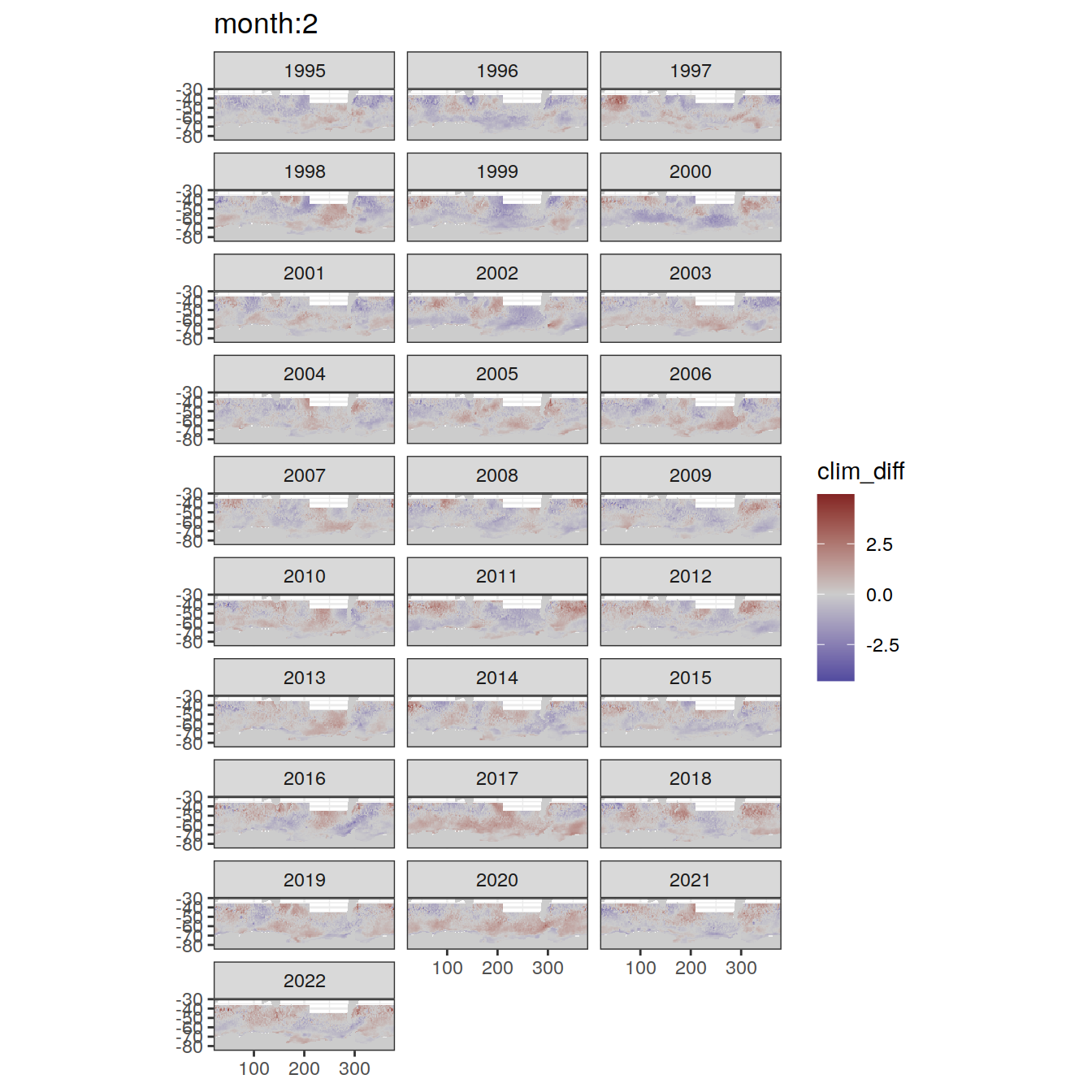
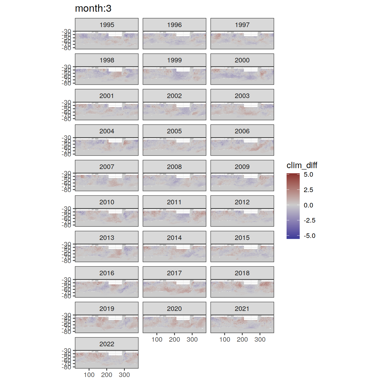
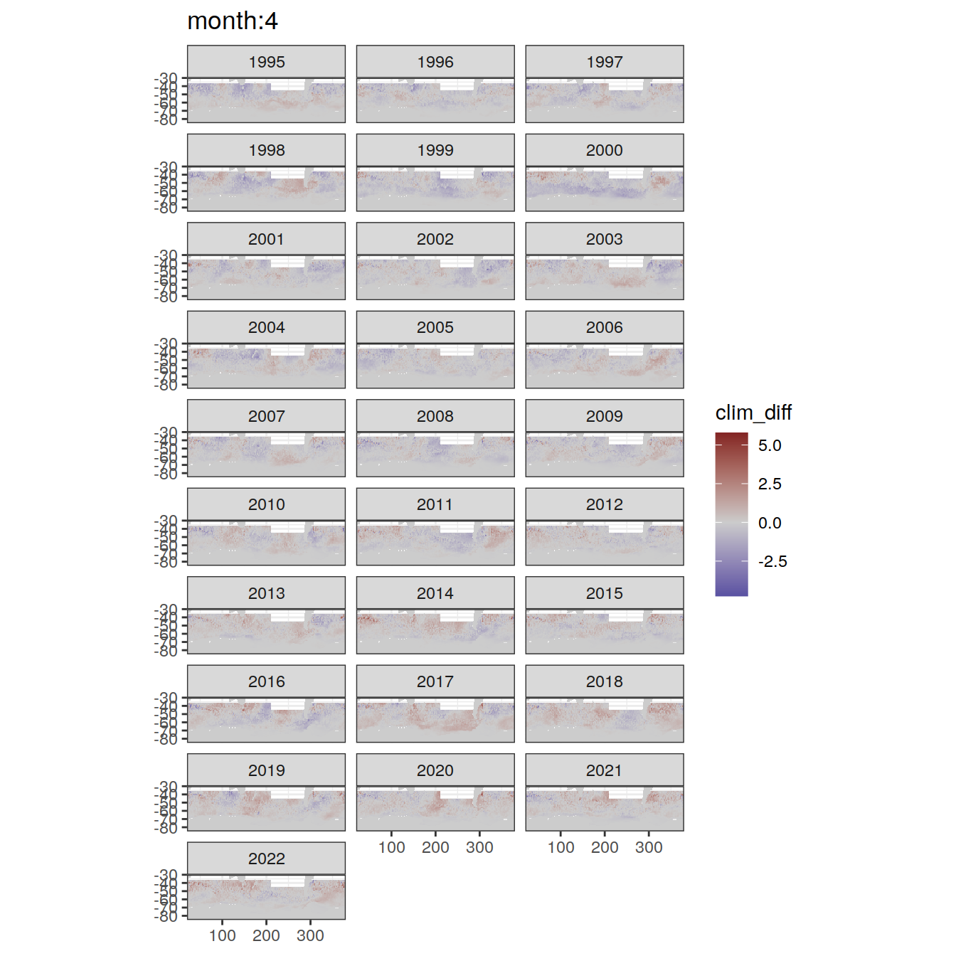
OceanSODA_temp_SO %>%
group_split(month) %>%
#head(1) %>%
map(
~map +
geom_tile(data = .x,
aes(x = lon_raw,
y = lat_raw,
fill = clim_diff))+
scale_fill_divergent(mid = 'grey80')+
facet_wrap(~year, ncol = 3)+
labs(title = paste0('month:', unique(.x$month)))+
theme(legend.position = 'right')
)
[[1]]

| Version | Author | Date |
|---|---|---|
| 2f4ea7e | ds2n19 | 2023-10-19 |
| 4b55c43 | ds2n19 | 2023-10-12 |
| 1ae81b3 | ds2n19 | 2023-10-11 |
| 44f5720 | ds2n19 | 2023-10-09 |
| 710edd4 | jens-daniel-mueller | 2022-05-11 |
| c541171 | pasqualina-vonlanthendinenna | 2022-04-07 |
| 9875dd0 | pasqualina-vonlanthendinenna | 2022-04-05 |
| 48573c4 | pasqualina-vonlanthendinenna | 2022-03-31 |
| eb8e3be | pasqualina-vonlanthendinenna | 2022-03-31 |
| dfd75e9 | pasqualina-vonlanthendinenna | 2022-03-29 |
[[2]]

| Version | Author | Date |
|---|---|---|
| 2f4ea7e | ds2n19 | 2023-10-19 |
| 4b55c43 | ds2n19 | 2023-10-12 |
| 1ae81b3 | ds2n19 | 2023-10-11 |
| 44f5720 | ds2n19 | 2023-10-09 |
| 710edd4 | jens-daniel-mueller | 2022-05-11 |
| c541171 | pasqualina-vonlanthendinenna | 2022-04-07 |
| 9875dd0 | pasqualina-vonlanthendinenna | 2022-04-05 |
| 48573c4 | pasqualina-vonlanthendinenna | 2022-03-31 |
| eb8e3be | pasqualina-vonlanthendinenna | 2022-03-31 |
| dfd75e9 | pasqualina-vonlanthendinenna | 2022-03-29 |
[[3]]

| Version | Author | Date |
|---|---|---|
| 2f4ea7e | ds2n19 | 2023-10-19 |
| 4b55c43 | ds2n19 | 2023-10-12 |
| 1ae81b3 | ds2n19 | 2023-10-11 |
| 44f5720 | ds2n19 | 2023-10-09 |
| 710edd4 | jens-daniel-mueller | 2022-05-11 |
| c541171 | pasqualina-vonlanthendinenna | 2022-04-07 |
| 9875dd0 | pasqualina-vonlanthendinenna | 2022-04-05 |
| 48573c4 | pasqualina-vonlanthendinenna | 2022-03-31 |
| eb8e3be | pasqualina-vonlanthendinenna | 2022-03-31 |
| dfd75e9 | pasqualina-vonlanthendinenna | 2022-03-29 |
[[4]]

| Version | Author | Date |
|---|---|---|
| 2f4ea7e | ds2n19 | 2023-10-19 |
| 4b55c43 | ds2n19 | 2023-10-12 |
| 1ae81b3 | ds2n19 | 2023-10-11 |
| 44f5720 | ds2n19 | 2023-10-09 |
| 710edd4 | jens-daniel-mueller | 2022-05-11 |
| c541171 | pasqualina-vonlanthendinenna | 2022-04-07 |
| 9875dd0 | pasqualina-vonlanthendinenna | 2022-04-05 |
| 48573c4 | pasqualina-vonlanthendinenna | 2022-03-31 |
| eb8e3be | pasqualina-vonlanthendinenna | 2022-03-31 |
| dfd75e9 | pasqualina-vonlanthendinenna | 2022-03-29 |
[[5]]

| Version | Author | Date |
|---|---|---|
| 2f4ea7e | ds2n19 | 2023-10-19 |
| 4b55c43 | ds2n19 | 2023-10-12 |
| 1ae81b3 | ds2n19 | 2023-10-11 |
| 44f5720 | ds2n19 | 2023-10-09 |
| 710edd4 | jens-daniel-mueller | 2022-05-11 |
| c541171 | pasqualina-vonlanthendinenna | 2022-04-07 |
| 9875dd0 | pasqualina-vonlanthendinenna | 2022-04-05 |
| 48573c4 | pasqualina-vonlanthendinenna | 2022-03-31 |
| eb8e3be | pasqualina-vonlanthendinenna | 2022-03-31 |
| dfd75e9 | pasqualina-vonlanthendinenna | 2022-03-29 |
[[6]]

| Version | Author | Date |
|---|---|---|
| 2f4ea7e | ds2n19 | 2023-10-19 |
| 4b55c43 | ds2n19 | 2023-10-12 |
| 1ae81b3 | ds2n19 | 2023-10-11 |
| 44f5720 | ds2n19 | 2023-10-09 |
| 710edd4 | jens-daniel-mueller | 2022-05-11 |
| c541171 | pasqualina-vonlanthendinenna | 2022-04-07 |
| 9875dd0 | pasqualina-vonlanthendinenna | 2022-04-05 |
| 48573c4 | pasqualina-vonlanthendinenna | 2022-03-31 |
| eb8e3be | pasqualina-vonlanthendinenna | 2022-03-31 |
| dfd75e9 | pasqualina-vonlanthendinenna | 2022-03-29 |
[[7]]

| Version | Author | Date |
|---|---|---|
| 2f4ea7e | ds2n19 | 2023-10-19 |
| 4b55c43 | ds2n19 | 2023-10-12 |
| 1ae81b3 | ds2n19 | 2023-10-11 |
| 44f5720 | ds2n19 | 2023-10-09 |
| 710edd4 | jens-daniel-mueller | 2022-05-11 |
| c541171 | pasqualina-vonlanthendinenna | 2022-04-07 |
| 9875dd0 | pasqualina-vonlanthendinenna | 2022-04-05 |
| 48573c4 | pasqualina-vonlanthendinenna | 2022-03-31 |
| eb8e3be | pasqualina-vonlanthendinenna | 2022-03-31 |
| dfd75e9 | pasqualina-vonlanthendinenna | 2022-03-29 |
[[8]]

| Version | Author | Date |
|---|---|---|
| 2f4ea7e | ds2n19 | 2023-10-19 |
| 4b55c43 | ds2n19 | 2023-10-12 |
| 1ae81b3 | ds2n19 | 2023-10-11 |
| 44f5720 | ds2n19 | 2023-10-09 |
| 710edd4 | jens-daniel-mueller | 2022-05-11 |
| c541171 | pasqualina-vonlanthendinenna | 2022-04-07 |
| 9875dd0 | pasqualina-vonlanthendinenna | 2022-04-05 |
| 48573c4 | pasqualina-vonlanthendinenna | 2022-03-31 |
| eb8e3be | pasqualina-vonlanthendinenna | 2022-03-31 |
| dfd75e9 | pasqualina-vonlanthendinenna | 2022-03-29 |
[[9]]

| Version | Author | Date |
|---|---|---|
| 2f4ea7e | ds2n19 | 2023-10-19 |
| 4b55c43 | ds2n19 | 2023-10-12 |
| 1ae81b3 | ds2n19 | 2023-10-11 |
| 44f5720 | ds2n19 | 2023-10-09 |
| 710edd4 | jens-daniel-mueller | 2022-05-11 |
| c541171 | pasqualina-vonlanthendinenna | 2022-04-07 |
| 9875dd0 | pasqualina-vonlanthendinenna | 2022-04-05 |
| 48573c4 | pasqualina-vonlanthendinenna | 2022-03-31 |
| eb8e3be | pasqualina-vonlanthendinenna | 2022-03-31 |
| dfd75e9 | pasqualina-vonlanthendinenna | 2022-03-29 |
[[10]]

| Version | Author | Date |
|---|---|---|
| 2f4ea7e | ds2n19 | 2023-10-19 |
| 4b55c43 | ds2n19 | 2023-10-12 |
| 1ae81b3 | ds2n19 | 2023-10-11 |
| 44f5720 | ds2n19 | 2023-10-09 |
| 710edd4 | jens-daniel-mueller | 2022-05-11 |
| c541171 | pasqualina-vonlanthendinenna | 2022-04-07 |
| 9875dd0 | pasqualina-vonlanthendinenna | 2022-04-05 |
| 48573c4 | pasqualina-vonlanthendinenna | 2022-03-31 |
| eb8e3be | pasqualina-vonlanthendinenna | 2022-03-31 |
| dfd75e9 | pasqualina-vonlanthendinenna | 2022-03-29 |
[[11]]

| Version | Author | Date |
|---|---|---|
| 2f4ea7e | ds2n19 | 2023-10-19 |
| 4b55c43 | ds2n19 | 2023-10-12 |
| 1ae81b3 | ds2n19 | 2023-10-11 |
| 44f5720 | ds2n19 | 2023-10-09 |
| 710edd4 | jens-daniel-mueller | 2022-05-11 |
| c541171 | pasqualina-vonlanthendinenna | 2022-04-07 |
| 9875dd0 | pasqualina-vonlanthendinenna | 2022-04-05 |
| 48573c4 | pasqualina-vonlanthendinenna | 2022-03-31 |
| eb8e3be | pasqualina-vonlanthendinenna | 2022-03-31 |
| dfd75e9 | pasqualina-vonlanthendinenna | 2022-03-29 |
[[12]]

| Version | Author | Date |
|---|---|---|
| 2f4ea7e | ds2n19 | 2023-10-19 |
| 4b55c43 | ds2n19 | 2023-10-12 |
| 1ae81b3 | ds2n19 | 2023-10-11 |
| 44f5720 | ds2n19 | 2023-10-09 |
| 710edd4 | jens-daniel-mueller | 2022-05-11 |
| c541171 | pasqualina-vonlanthendinenna | 2022-04-07 |
| 9875dd0 | pasqualina-vonlanthendinenna | 2022-04-05 |
| 48573c4 | pasqualina-vonlanthendinenna | 2022-03-31 |
| eb8e3be | pasqualina-vonlanthendinenna | 2022-03-31 |
| dfd75e9 | pasqualina-vonlanthendinenna | 2022-03-29 |
Through setting only one of the following two code chunks to “eval=FALSE” you can choose between a lm- and a mean-based anomaly detection.
# fit a linear regression of OceanSODA pH against time (temporal trend)
# in each lat/lon/month grid
# create a decimal_year column to use are the parameter to the regression function
OceanSODA_temp_SO <- OceanSODA_temp_SO %>%
mutate(decimal_year = decimal_date(date), .after = year)
OceanSODA_temp_regression <- OceanSODA_temp_SO %>%
# filter(basin_AIP == "Indian",
# biome_name == "SPSS",
# lon < 40) %>%
nest(data = -c(lon, lat)) %>%
mutate(fit = map(.x = data,
.f = ~ lm(clim_diff ~ decimal_year, data = .x)),
tidied = map(.x = fit, .f = tidy),
glanced = map(.x = fit, .f = glance),
augmented = map(.x = fit, .f = augment))
OceanSODA_temp_regression_tidied <- OceanSODA_temp_regression %>%
select(-c(data, fit, augmented, glanced)) %>%
unnest(tidied)
OceanSODA_temp_regression_tidied <- OceanSODA_temp_regression_tidied %>%
select(lon:estimate) %>%
pivot_wider(names_from = term,
values_from = estimate) %>%
rename(intercept = `(Intercept)`,
slope = decimal_year)
OceanSODA_temp_regression_augmented <- OceanSODA_temp_regression %>%
select(-c(fit, tidied, glanced, data)) %>%
unnest(augmented) %>%
select(lon:decimal_year, .resid)
OceanSODA_temp_regression_data <- OceanSODA_temp_regression %>%
select(-c(fit, tidied, glanced, augmented)) %>%
unnest(data)
OceanSODA_temp_regression_augmented <- bind_cols(
OceanSODA_temp_regression_augmented,
OceanSODA_temp_regression_data %>%
select(date,
basin_AIP, biome_name,
temperature, clim_temp,
lat_raw, lon_raw))
OceanSODA_temp_regression_glanced <- OceanSODA_temp_regression %>%
select(-c(data, fit, tidied, augmented)) %>%
unnest(glanced)
# identify the mean value
# in each lat/lon/month grid
OceanSODA_temp_regression_tidied <- OceanSODA_temp_2x2_SO %>%
# filter(basin_AIP == "Indian",
# biome_name == "SPSS",
# lon < 40) %>%
group_by(lon, lat, month) %>%
summarise(slope = 0,
intercept = mean(clim_diff, na.rm = TRUE)) %>%
ungroup()
OceanSODA_temp_regression_glanced <- OceanSODA_temp_2x2_SO %>%
# filter(basin_AIP == "Indian",
# biome_name == "SPSS",
# lon < 40) %>%
group_by(lon, lat, month) %>%
summarise(sigma = sd(clim_diff, na.rm = TRUE)) %>%
ungroup()
OceanSODA_temp_regression_augmented <- OceanSODA_temp_2x2_SO %>%
# filter(basin_AIP == "Indian",
# biome_name == "SPSS",
# lon < 40) %>%
mutate(.resid = clim_diff)
map+
geom_tile(data = OceanSODA_temp_regression_tidied,
aes(x = lon,
y = lat,
fill = slope))+
scale_fill_scico(palette = 'vik', midpoint = 0)

| Version | Author | Date |
|---|---|---|
| 15c1d68 | ds2n19 | 2023-10-19 |
| 2f4ea7e | ds2n19 | 2023-10-19 |
| 4b55c43 | ds2n19 | 2023-10-12 |
| 1ae81b3 | ds2n19 | 2023-10-11 |
| 44f5720 | ds2n19 | 2023-10-09 |
| c541171 | pasqualina-vonlanthendinenna | 2022-04-07 |
| 9875dd0 | pasqualina-vonlanthendinenna | 2022-04-05 |
| 48573c4 | pasqualina-vonlanthendinenna | 2022-03-31 |
| cbb2360 | jens-daniel-mueller | 2022-03-28 |
| fa1b6de | jens-daniel-mueller | 2022-03-28 |
| 8173cdb | jens-daniel-mueller | 2022-03-28 |
| 650ef68 | pasqualina-vonlanthendinenna | 2022-03-18 |
| 1ffe07f | pasqualina-vonlanthendinenna | 2022-03-11 |
| 5ef4df2 | pasqualina-vonlanthendinenna | 2022-03-01 |
| 8ef1277 | pasqualina-vonlanthendinenna | 2022-03-01 |
| f2fa56a | pasqualina-vonlanthendinenna | 2022-02-10 |
# +
# facet_wrap(~month, ncol = 2)
map+
geom_tile(data = OceanSODA_temp_regression_glanced,
aes(x = lon,
y = lat,
fill = sigma))+
scale_fill_viridis_c()+
labs(fill = '1 residual \nst. dev.')

| Version | Author | Date |
|---|---|---|
| 15c1d68 | ds2n19 | 2023-10-19 |
| 2f4ea7e | ds2n19 | 2023-10-19 |
| 4b55c43 | ds2n19 | 2023-10-12 |
| 1ae81b3 | ds2n19 | 2023-10-11 |
| 44f5720 | ds2n19 | 2023-10-09 |
| c541171 | pasqualina-vonlanthendinenna | 2022-04-07 |
| 9875dd0 | pasqualina-vonlanthendinenna | 2022-04-05 |
| 48573c4 | pasqualina-vonlanthendinenna | 2022-03-31 |
| eb8e3be | pasqualina-vonlanthendinenna | 2022-03-31 |
| cbb2360 | jens-daniel-mueller | 2022-03-28 |
| fa1b6de | jens-daniel-mueller | 2022-03-28 |
| 749e005 | jens-daniel-mueller | 2022-03-28 |
# facet_wrap(~month, ncol = 2)+
Calculate OceanSODA surface temperature anomalies; L for abnormally low, H for abnormally high, and N for normal
# when the in-situ OceanSODA temperature is lower than the 5th percentile (predicted - 2*residual.st.dev), assign 'L' for low extreme
# when the in-situ OceanSODA temperature exceeds the 95th percentile (predicted + 2*residual.st.dev), assign 'H' for high extreme
# when the in-situ OceanSODA temperature is within 95% of the range, then assign 'N' for normal pH
# combine observations and regression statistics
OceanSODA_temp_SO_extreme_grid <-
full_join(
OceanSODA_temp_regression_augmented,
OceanSODA_temp_regression_glanced %>%
select(lon:lat, sigma)
)
# results in 925 056 rows
# identify observations in anomaly classes
OceanSODA_temp_SO_extreme_grid <- OceanSODA_temp_SO_extreme_grid %>%
mutate(
temp_extreme = case_when(
.resid < -sigma*2 ~ 'L',
.resid > sigma*2 ~ 'H',
TRUE ~ 'N'
)
)
OceanSODA_temp_SO_extreme_grid <- OceanSODA_temp_SO_extreme_grid %>%
mutate(temp_extreme = fct_relevel(temp_extreme, "H", "N", "L"))
# combine with regression coefficients
OceanSODA_temp_SO_extreme_grid <-
full_join(OceanSODA_temp_SO_extreme_grid,
OceanSODA_temp_regression_tidied)
OceanSODA_temp_SO_extreme_grid <- OceanSODA_temp_SO_extreme_grid %>%
mutate(year = year(date),
month = month(date),
.after = decimal_year)
# 925 056 rows, in line with expectations for 40 lat x 360 lon x 12 months x 8 years (1 382 400 obs minus NA values)
OceanSODA_temp_SO_extreme_grid %>%
write_rds(file = paste0(path_argo_preprocessed, "/OceanSODA_SST_anomaly_field.rds"))
OceanSODA_temp_SO_extreme_grid %>%
group_split(lon, lat) %>%
head(6) %>%
map(~ ggplot(data = .x) +
geom_point(aes(x = year,
y = clim_diff,
col = temp_extreme)) +
geom_abline(data = .x, aes(slope = slope,
intercept = intercept)) +
geom_abline(data = .x, aes(slope = slope,
intercept = intercept + 2*sigma),
linetype = 2) +
geom_abline(data = .x, aes(slope = slope,
intercept = intercept - 2*sigma),
linetype = 2) +
labs(title = paste(fititle = paste(
"lon:", unique(.x$lon),
"| lat:", unique(.x$lat)
))) +
scale_color_manual(values = HNL_colors))
[[1]]

| Version | Author | Date |
|---|---|---|
| 15c1d68 | ds2n19 | 2023-10-19 |
| 2f4ea7e | ds2n19 | 2023-10-19 |
| 4b55c43 | ds2n19 | 2023-10-12 |
| 1ae81b3 | ds2n19 | 2023-10-11 |
| 44f5720 | ds2n19 | 2023-10-09 |
| 9875dd0 | pasqualina-vonlanthendinenna | 2022-04-05 |
| eb8e3be | pasqualina-vonlanthendinenna | 2022-03-31 |
| cbb2360 | jens-daniel-mueller | 2022-03-28 |
| fa1b6de | jens-daniel-mueller | 2022-03-28 |
| 8173cdb | jens-daniel-mueller | 2022-03-28 |
| 650ef68 | pasqualina-vonlanthendinenna | 2022-03-18 |
| 1ffe07f | pasqualina-vonlanthendinenna | 2022-03-11 |
| 5ef4df2 | pasqualina-vonlanthendinenna | 2022-03-01 |
| 8ef1277 | pasqualina-vonlanthendinenna | 2022-03-01 |
| f2fa56a | pasqualina-vonlanthendinenna | 2022-02-10 |
[[2]]

| Version | Author | Date |
|---|---|---|
| 15c1d68 | ds2n19 | 2023-10-19 |
| 2f4ea7e | ds2n19 | 2023-10-19 |
| 4b55c43 | ds2n19 | 2023-10-12 |
| 1ae81b3 | ds2n19 | 2023-10-11 |
| 44f5720 | ds2n19 | 2023-10-09 |
| 9875dd0 | pasqualina-vonlanthendinenna | 2022-04-05 |
| eb8e3be | pasqualina-vonlanthendinenna | 2022-03-31 |
| cbb2360 | jens-daniel-mueller | 2022-03-28 |
| fa1b6de | jens-daniel-mueller | 2022-03-28 |
| 8173cdb | jens-daniel-mueller | 2022-03-28 |
| 650ef68 | pasqualina-vonlanthendinenna | 2022-03-18 |
| 1ffe07f | pasqualina-vonlanthendinenna | 2022-03-11 |
| 5ef4df2 | pasqualina-vonlanthendinenna | 2022-03-01 |
| 8ef1277 | pasqualina-vonlanthendinenna | 2022-03-01 |
| f2fa56a | pasqualina-vonlanthendinenna | 2022-02-10 |
[[3]]

| Version | Author | Date |
|---|---|---|
| 15c1d68 | ds2n19 | 2023-10-19 |
| 2f4ea7e | ds2n19 | 2023-10-19 |
| 4b55c43 | ds2n19 | 2023-10-12 |
| 1ae81b3 | ds2n19 | 2023-10-11 |
| 44f5720 | ds2n19 | 2023-10-09 |
| 9875dd0 | pasqualina-vonlanthendinenna | 2022-04-05 |
| eb8e3be | pasqualina-vonlanthendinenna | 2022-03-31 |
| cbb2360 | jens-daniel-mueller | 2022-03-28 |
| fa1b6de | jens-daniel-mueller | 2022-03-28 |
| 8173cdb | jens-daniel-mueller | 2022-03-28 |
| 650ef68 | pasqualina-vonlanthendinenna | 2022-03-18 |
| 1ffe07f | pasqualina-vonlanthendinenna | 2022-03-11 |
| 5ef4df2 | pasqualina-vonlanthendinenna | 2022-03-01 |
| 8ef1277 | pasqualina-vonlanthendinenna | 2022-03-01 |
| f2fa56a | pasqualina-vonlanthendinenna | 2022-02-10 |
[[4]]

| Version | Author | Date |
|---|---|---|
| 15c1d68 | ds2n19 | 2023-10-19 |
| 2f4ea7e | ds2n19 | 2023-10-19 |
| 4b55c43 | ds2n19 | 2023-10-12 |
| 1ae81b3 | ds2n19 | 2023-10-11 |
| 44f5720 | ds2n19 | 2023-10-09 |
| 9875dd0 | pasqualina-vonlanthendinenna | 2022-04-05 |
| eb8e3be | pasqualina-vonlanthendinenna | 2022-03-31 |
| cbb2360 | jens-daniel-mueller | 2022-03-28 |
| fa1b6de | jens-daniel-mueller | 2022-03-28 |
| 8173cdb | jens-daniel-mueller | 2022-03-28 |
| 650ef68 | pasqualina-vonlanthendinenna | 2022-03-18 |
| 1ffe07f | pasqualina-vonlanthendinenna | 2022-03-11 |
| 5ef4df2 | pasqualina-vonlanthendinenna | 2022-03-01 |
| 8ef1277 | pasqualina-vonlanthendinenna | 2022-03-01 |
| f2fa56a | pasqualina-vonlanthendinenna | 2022-02-10 |
[[5]]

| Version | Author | Date |
|---|---|---|
| 15c1d68 | ds2n19 | 2023-10-19 |
| 2f4ea7e | ds2n19 | 2023-10-19 |
| 4b55c43 | ds2n19 | 2023-10-12 |
| 1ae81b3 | ds2n19 | 2023-10-11 |
| 44f5720 | ds2n19 | 2023-10-09 |
| 9875dd0 | pasqualina-vonlanthendinenna | 2022-04-05 |
| eb8e3be | pasqualina-vonlanthendinenna | 2022-03-31 |
| cbb2360 | jens-daniel-mueller | 2022-03-28 |
| fa1b6de | jens-daniel-mueller | 2022-03-28 |
| 8173cdb | jens-daniel-mueller | 2022-03-28 |
| 650ef68 | pasqualina-vonlanthendinenna | 2022-03-18 |
| 1ffe07f | pasqualina-vonlanthendinenna | 2022-03-11 |
| 5ef4df2 | pasqualina-vonlanthendinenna | 2022-03-01 |
| 8ef1277 | pasqualina-vonlanthendinenna | 2022-03-01 |
| f2fa56a | pasqualina-vonlanthendinenna | 2022-02-10 |
[[6]]

| Version | Author | Date |
|---|---|---|
| 15c1d68 | ds2n19 | 2023-10-19 |
| 2f4ea7e | ds2n19 | 2023-10-19 |
| 4b55c43 | ds2n19 | 2023-10-12 |
| 1ae81b3 | ds2n19 | 2023-10-11 |
| 44f5720 | ds2n19 | 2023-10-09 |
| 9875dd0 | pasqualina-vonlanthendinenna | 2022-04-05 |
| eb8e3be | pasqualina-vonlanthendinenna | 2022-03-31 |
| cbb2360 | jens-daniel-mueller | 2022-03-28 |
| fa1b6de | jens-daniel-mueller | 2022-03-28 |
| 8173cdb | jens-daniel-mueller | 2022-03-28 |
| 650ef68 | pasqualina-vonlanthendinenna | 2022-03-18 |
| 1ffe07f | pasqualina-vonlanthendinenna | 2022-03-11 |
| 5ef4df2 | pasqualina-vonlanthendinenna | 2022-03-01 |
| 8ef1277 | pasqualina-vonlanthendinenna | 2022-03-01 |
| f2fa56a | pasqualina-vonlanthendinenna | 2022-02-10 |
# anomaly maps on a 1x1 grid
# OceanSODA_temp_SO_extreme_grid %>%
# group_split(year) %>%
# # head(1) %>%
# map(
# ~map +
# geom_tile(data = .x,
# aes(x = lon_raw,
# y = lat_raw,
# fill = temp_extreme),
# width = 1,
# height = 1)+
# scale_fill_manual(values = HNL_colors_map)+
# facet_wrap(~month, ncol = 2)+
# labs(title = paste('Year:', unique(.x$year)),
# fill = 'temperature')
# )
OceanSODA_temp_SO_extreme_grid %>%
filter(year >= 2013) %>%
group_split(month) %>%
#head(1) %>%
map(
~map +
geom_tile(data = .x,
aes(x = lon_raw,
y = lat_raw,
fill = temp_extreme),
width = 1,
height = 1)+
scale_fill_manual(values = HNL_colors_map)+
facet_wrap(~year, ncol = 2)+
labs(title = paste('month:', unique(.x$month)),
fill = 'temperature')
)
[[1]]

| Version | Author | Date |
|---|---|---|
| 15c1d68 | ds2n19 | 2023-10-19 |
| 2f4ea7e | ds2n19 | 2023-10-19 |
| 4b55c43 | ds2n19 | 2023-10-12 |
| 1ae81b3 | ds2n19 | 2023-10-11 |
| 44f5720 | ds2n19 | 2023-10-09 |
| ca30beb | pasqualina-vonlanthendinenna | 2022-05-05 |
| c541171 | pasqualina-vonlanthendinenna | 2022-04-07 |
| 9875dd0 | pasqualina-vonlanthendinenna | 2022-04-05 |
| 48573c4 | pasqualina-vonlanthendinenna | 2022-03-31 |
| eb8e3be | pasqualina-vonlanthendinenna | 2022-03-31 |
| dfd75e9 | pasqualina-vonlanthendinenna | 2022-03-29 |
| cbb2360 | jens-daniel-mueller | 2022-03-28 |
| fa1b6de | jens-daniel-mueller | 2022-03-28 |
| 749e005 | jens-daniel-mueller | 2022-03-28 |
[[2]]

| Version | Author | Date |
|---|---|---|
| 15c1d68 | ds2n19 | 2023-10-19 |
| 2f4ea7e | ds2n19 | 2023-10-19 |
| 4b55c43 | ds2n19 | 2023-10-12 |
| 1ae81b3 | ds2n19 | 2023-10-11 |
| 44f5720 | ds2n19 | 2023-10-09 |
| ca30beb | pasqualina-vonlanthendinenna | 2022-05-05 |
| c541171 | pasqualina-vonlanthendinenna | 2022-04-07 |
| 9875dd0 | pasqualina-vonlanthendinenna | 2022-04-05 |
| 48573c4 | pasqualina-vonlanthendinenna | 2022-03-31 |
| eb8e3be | pasqualina-vonlanthendinenna | 2022-03-31 |
| dfd75e9 | pasqualina-vonlanthendinenna | 2022-03-29 |
| cbb2360 | jens-daniel-mueller | 2022-03-28 |
| fa1b6de | jens-daniel-mueller | 2022-03-28 |
| 749e005 | jens-daniel-mueller | 2022-03-28 |
[[3]]

| Version | Author | Date |
|---|---|---|
| 15c1d68 | ds2n19 | 2023-10-19 |
| 2f4ea7e | ds2n19 | 2023-10-19 |
| 4b55c43 | ds2n19 | 2023-10-12 |
| 1ae81b3 | ds2n19 | 2023-10-11 |
| 44f5720 | ds2n19 | 2023-10-09 |
| ca30beb | pasqualina-vonlanthendinenna | 2022-05-05 |
| c541171 | pasqualina-vonlanthendinenna | 2022-04-07 |
| 9875dd0 | pasqualina-vonlanthendinenna | 2022-04-05 |
| 48573c4 | pasqualina-vonlanthendinenna | 2022-03-31 |
| eb8e3be | pasqualina-vonlanthendinenna | 2022-03-31 |
| dfd75e9 | pasqualina-vonlanthendinenna | 2022-03-29 |
| cbb2360 | jens-daniel-mueller | 2022-03-28 |
| fa1b6de | jens-daniel-mueller | 2022-03-28 |
| 749e005 | jens-daniel-mueller | 2022-03-28 |
[[4]]

| Version | Author | Date |
|---|---|---|
| 15c1d68 | ds2n19 | 2023-10-19 |
| 2f4ea7e | ds2n19 | 2023-10-19 |
| 4b55c43 | ds2n19 | 2023-10-12 |
| 1ae81b3 | ds2n19 | 2023-10-11 |
| 44f5720 | ds2n19 | 2023-10-09 |
| ca30beb | pasqualina-vonlanthendinenna | 2022-05-05 |
| c541171 | pasqualina-vonlanthendinenna | 2022-04-07 |
| 9875dd0 | pasqualina-vonlanthendinenna | 2022-04-05 |
| 48573c4 | pasqualina-vonlanthendinenna | 2022-03-31 |
| eb8e3be | pasqualina-vonlanthendinenna | 2022-03-31 |
| dfd75e9 | pasqualina-vonlanthendinenna | 2022-03-29 |
| cbb2360 | jens-daniel-mueller | 2022-03-28 |
| fa1b6de | jens-daniel-mueller | 2022-03-28 |
| 749e005 | jens-daniel-mueller | 2022-03-28 |
[[5]]

| Version | Author | Date |
|---|---|---|
| 15c1d68 | ds2n19 | 2023-10-19 |
| 2f4ea7e | ds2n19 | 2023-10-19 |
| 4b55c43 | ds2n19 | 2023-10-12 |
| 1ae81b3 | ds2n19 | 2023-10-11 |
| 44f5720 | ds2n19 | 2023-10-09 |
| ca30beb | pasqualina-vonlanthendinenna | 2022-05-05 |
| c541171 | pasqualina-vonlanthendinenna | 2022-04-07 |
| 9875dd0 | pasqualina-vonlanthendinenna | 2022-04-05 |
| 48573c4 | pasqualina-vonlanthendinenna | 2022-03-31 |
| eb8e3be | pasqualina-vonlanthendinenna | 2022-03-31 |
| dfd75e9 | pasqualina-vonlanthendinenna | 2022-03-29 |
| cbb2360 | jens-daniel-mueller | 2022-03-28 |
| fa1b6de | jens-daniel-mueller | 2022-03-28 |
| 749e005 | jens-daniel-mueller | 2022-03-28 |
[[6]]

| Version | Author | Date |
|---|---|---|
| 15c1d68 | ds2n19 | 2023-10-19 |
| 2f4ea7e | ds2n19 | 2023-10-19 |
| 4b55c43 | ds2n19 | 2023-10-12 |
| 1ae81b3 | ds2n19 | 2023-10-11 |
| 44f5720 | ds2n19 | 2023-10-09 |
| ca30beb | pasqualina-vonlanthendinenna | 2022-05-05 |
| c541171 | pasqualina-vonlanthendinenna | 2022-04-07 |
| 9875dd0 | pasqualina-vonlanthendinenna | 2022-04-05 |
| 48573c4 | pasqualina-vonlanthendinenna | 2022-03-31 |
| eb8e3be | pasqualina-vonlanthendinenna | 2022-03-31 |
| dfd75e9 | pasqualina-vonlanthendinenna | 2022-03-29 |
| cbb2360 | jens-daniel-mueller | 2022-03-28 |
| fa1b6de | jens-daniel-mueller | 2022-03-28 |
| 749e005 | jens-daniel-mueller | 2022-03-28 |
[[7]]

| Version | Author | Date |
|---|---|---|
| 15c1d68 | ds2n19 | 2023-10-19 |
| 2f4ea7e | ds2n19 | 2023-10-19 |
| 4b55c43 | ds2n19 | 2023-10-12 |
| 1ae81b3 | ds2n19 | 2023-10-11 |
| 44f5720 | ds2n19 | 2023-10-09 |
| ca30beb | pasqualina-vonlanthendinenna | 2022-05-05 |
| c541171 | pasqualina-vonlanthendinenna | 2022-04-07 |
| 9875dd0 | pasqualina-vonlanthendinenna | 2022-04-05 |
| 48573c4 | pasqualina-vonlanthendinenna | 2022-03-31 |
| eb8e3be | pasqualina-vonlanthendinenna | 2022-03-31 |
| dfd75e9 | pasqualina-vonlanthendinenna | 2022-03-29 |
| cbb2360 | jens-daniel-mueller | 2022-03-28 |
| fa1b6de | jens-daniel-mueller | 2022-03-28 |
| 749e005 | jens-daniel-mueller | 2022-03-28 |
[[8]]

| Version | Author | Date |
|---|---|---|
| 15c1d68 | ds2n19 | 2023-10-19 |
| 2f4ea7e | ds2n19 | 2023-10-19 |
| 4b55c43 | ds2n19 | 2023-10-12 |
| 1ae81b3 | ds2n19 | 2023-10-11 |
| 44f5720 | ds2n19 | 2023-10-09 |
| ca30beb | pasqualina-vonlanthendinenna | 2022-05-05 |
| c541171 | pasqualina-vonlanthendinenna | 2022-04-07 |
| 9875dd0 | pasqualina-vonlanthendinenna | 2022-04-05 |
| 48573c4 | pasqualina-vonlanthendinenna | 2022-03-31 |
| eb8e3be | pasqualina-vonlanthendinenna | 2022-03-31 |
| dfd75e9 | pasqualina-vonlanthendinenna | 2022-03-29 |
| cbb2360 | jens-daniel-mueller | 2022-03-28 |
| fa1b6de | jens-daniel-mueller | 2022-03-28 |
| 749e005 | jens-daniel-mueller | 2022-03-28 |
[[9]]

| Version | Author | Date |
|---|---|---|
| 15c1d68 | ds2n19 | 2023-10-19 |
| 2f4ea7e | ds2n19 | 2023-10-19 |
| 4b55c43 | ds2n19 | 2023-10-12 |
| 1ae81b3 | ds2n19 | 2023-10-11 |
| 44f5720 | ds2n19 | 2023-10-09 |
| ca30beb | pasqualina-vonlanthendinenna | 2022-05-05 |
| c541171 | pasqualina-vonlanthendinenna | 2022-04-07 |
| 9875dd0 | pasqualina-vonlanthendinenna | 2022-04-05 |
| 48573c4 | pasqualina-vonlanthendinenna | 2022-03-31 |
| eb8e3be | pasqualina-vonlanthendinenna | 2022-03-31 |
| dfd75e9 | pasqualina-vonlanthendinenna | 2022-03-29 |
[[10]]

| Version | Author | Date |
|---|---|---|
| 15c1d68 | ds2n19 | 2023-10-19 |
| 2f4ea7e | ds2n19 | 2023-10-19 |
| 4b55c43 | ds2n19 | 2023-10-12 |
| 1ae81b3 | ds2n19 | 2023-10-11 |
| 44f5720 | ds2n19 | 2023-10-09 |
| ca30beb | pasqualina-vonlanthendinenna | 2022-05-05 |
| c541171 | pasqualina-vonlanthendinenna | 2022-04-07 |
| 9875dd0 | pasqualina-vonlanthendinenna | 2022-04-05 |
| 48573c4 | pasqualina-vonlanthendinenna | 2022-03-31 |
| eb8e3be | pasqualina-vonlanthendinenna | 2022-03-31 |
| dfd75e9 | pasqualina-vonlanthendinenna | 2022-03-29 |
[[11]]

| Version | Author | Date |
|---|---|---|
| 15c1d68 | ds2n19 | 2023-10-19 |
| 2f4ea7e | ds2n19 | 2023-10-19 |
| 4b55c43 | ds2n19 | 2023-10-12 |
| 1ae81b3 | ds2n19 | 2023-10-11 |
| 44f5720 | ds2n19 | 2023-10-09 |
| ca30beb | pasqualina-vonlanthendinenna | 2022-05-05 |
| c541171 | pasqualina-vonlanthendinenna | 2022-04-07 |
| 9875dd0 | pasqualina-vonlanthendinenna | 2022-04-05 |
| 48573c4 | pasqualina-vonlanthendinenna | 2022-03-31 |
| eb8e3be | pasqualina-vonlanthendinenna | 2022-03-31 |
| dfd75e9 | pasqualina-vonlanthendinenna | 2022-03-29 |
[[12]]

| Version | Author | Date |
|---|---|---|
| 15c1d68 | ds2n19 | 2023-10-19 |
| 2f4ea7e | ds2n19 | 2023-10-19 |
| 4b55c43 | ds2n19 | 2023-10-12 |
| 1ae81b3 | ds2n19 | 2023-10-11 |
| 44f5720 | ds2n19 | 2023-10-09 |
| ca30beb | pasqualina-vonlanthendinenna | 2022-05-05 |
| c541171 | pasqualina-vonlanthendinenna | 2022-04-07 |
| 9875dd0 | pasqualina-vonlanthendinenna | 2022-04-05 |
| 48573c4 | pasqualina-vonlanthendinenna | 2022-03-31 |
| eb8e3be | pasqualina-vonlanthendinenna | 2022-03-31 |
| dfd75e9 | pasqualina-vonlanthendinenna | 2022-03-29 |
# calculate a regional mean temperature for each biome, basin, and ph extreme (H/L/N) and plot a timeseries
OceanSODA_temp_SO_extreme_grid %>%
group_by(year, biome_name, basin_AIP, temp_extreme) %>%
summarise(temp_regional = mean(temperature, na.rm = TRUE)) %>%
ungroup() %>%
ggplot(aes(x = year, y = temp_regional, col = temp_extreme))+
geom_point(size = 0.3)+
geom_line()+
scale_color_manual(values = HNL_colors) +
facet_grid(basin_AIP~biome_name)+
theme(legend.position = 'bottom')

| Version | Author | Date |
|---|---|---|
| 15c1d68 | ds2n19 | 2023-10-19 |
| 2f4ea7e | ds2n19 | 2023-10-19 |
| 4b55c43 | ds2n19 | 2023-10-12 |
| 1ae81b3 | ds2n19 | 2023-10-11 |
| 44f5720 | ds2n19 | 2023-10-09 |
| c541171 | pasqualina-vonlanthendinenna | 2022-04-07 |
| 9875dd0 | pasqualina-vonlanthendinenna | 2022-04-05 |
| 48573c4 | pasqualina-vonlanthendinenna | 2022-03-31 |
| eb8e3be | pasqualina-vonlanthendinenna | 2022-03-31 |
| cbb2360 | jens-daniel-mueller | 2022-03-28 |
| fa1b6de | jens-daniel-mueller | 2022-03-28 |
| 8173cdb | jens-daniel-mueller | 2022-03-28 |
| 650ef68 | pasqualina-vonlanthendinenna | 2022-03-18 |
| 1ffe07f | pasqualina-vonlanthendinenna | 2022-03-11 |
| 5ef4df2 | pasqualina-vonlanthendinenna | 2022-03-01 |
| 8ef1277 | pasqualina-vonlanthendinenna | 2022-03-01 |
| c68163a | pasqualina-vonlanthendinenna | 2022-02-22 |
| f2fa56a | pasqualina-vonlanthendinenna | 2022-02-10 |
# histograms for each extreme level
OceanSODA_temp_SO_extreme_grid %>%
ggplot(aes(temperature, col = temp_extreme)) +
geom_density() +
scale_color_manual(values = HNL_colors) +
facet_grid(basin_AIP ~ biome_name) +
coord_cartesian(xlim = c(-2, 28)) +
labs(x = 'value',
y = 'density',
col = 'temp anomaly') +
theme(legend.position = 'bottom')

| Version | Author | Date |
|---|---|---|
| 15c1d68 | ds2n19 | 2023-10-19 |
| 2f4ea7e | ds2n19 | 2023-10-19 |
| 4b55c43 | ds2n19 | 2023-10-12 |
| 1ae81b3 | ds2n19 | 2023-10-11 |
| 44f5720 | ds2n19 | 2023-10-09 |
| c541171 | pasqualina-vonlanthendinenna | 2022-04-07 |
| 9875dd0 | pasqualina-vonlanthendinenna | 2022-04-05 |
| 48573c4 | pasqualina-vonlanthendinenna | 2022-03-31 |
| eb8e3be | pasqualina-vonlanthendinenna | 2022-03-31 |
| cbb2360 | jens-daniel-mueller | 2022-03-28 |
| fa1b6de | jens-daniel-mueller | 2022-03-28 |
| 8173cdb | jens-daniel-mueller | 2022-03-28 |
| 650ef68 | pasqualina-vonlanthendinenna | 2022-03-18 |
| 1ffe07f | pasqualina-vonlanthendinenna | 2022-03-11 |
| 5ef4df2 | pasqualina-vonlanthendinenna | 2022-03-01 |
| 8ef1277 | pasqualina-vonlanthendinenna | 2022-03-01 |
| c68163a | pasqualina-vonlanthendinenna | 2022-02-22 |
| f2fa56a | pasqualina-vonlanthendinenna | 2022-02-10 |
# Note: While reducing lon x lat grid,
# we keep the original number of observations
# full_argo_2x2 <- full_argo %>%
# mutate(
# lat_raw = lat,
# lon_raw = lon,
# lat = cut(lat, seq(-90, 90, 2), seq(-89, 89, 2)),
# lat = as.numeric(as.character(lat)),
# lon = cut(lon, seq(20, 380, 2), seq(21, 379, 2)),
# lon = as.numeric(as.character(lon))) # re-grid to 2x2
full_argo <- full_argo %>%
mutate(
lat_raw = lat,
lon_raw = lon)
# add in new Mayot biome information
full_argo_2x2_SO <- inner_join(full_argo_2x2, nm_biomes_2x2)
# add in basin separations
full_argo_2x2_SO <- inner_join(full_argo_2x2_SO, basinmask_2x2)
# revert OceanSODA to regular 1x1 grid
OceanSODA_temp_SO_extreme_grid <- OceanSODA_temp_SO_extreme_grid %>%
select(-c(lon, lat)) %>%
rename(OceanSODA_temp = temperature,
lon = lon_raw,
lat = lat_raw) %>%
filter(year >=2013)
# 925 056 obs
# combine the argo profile data to the surface extreme data
profile_temp_extreme <- inner_join(
full_argo %>%
select(c(year, month, date, lon, lat, depth,
temp_adjusted,
platform_number,
cycle_number)), # 567 327 obs
OceanSODA_temp_SO_extreme_grid %>%
select(c(year, month, date, lon, lat,
OceanSODA_temp, temp_extreme,
clim_temp, clim_diff,
basin_AIP, biome_name)))
profile_temp_extreme <- profile_temp_extreme %>%
unite('platform_cycle', platform_number:cycle_number, sep = '_', remove = FALSE)
OceanSODA_temp_SO_extreme_grid %>%
group_split(month) %>%
# head(1) %>%
map(
~ map +
geom_tile(
data = .x,
aes(x = lon,
y = lat,
fill = temp_extreme),
alpha = 0.5
) +
scale_fill_manual(values = HNL_colors_map) +
new_scale_fill() +
geom_tile(
data = profile_temp_extreme %>%
distinct(lon, lat, platform_cycle, year, month),
aes(
x = lon,
y = lat,
fill = 'argo\nprofiles',
height = 1,
width = 1
),
alpha = 0.5
) +
scale_fill_manual(values = "springgreen4",
name = "") +
facet_wrap(~ year, ncol = 1) +
lims(y = c(-85, -30)) +
labs(title = paste('month:', unique(.x$month))
)
)
[[1]]

| Version | Author | Date |
|---|---|---|
| 15c1d68 | ds2n19 | 2023-10-19 |
| 2f4ea7e | ds2n19 | 2023-10-19 |
| 4b55c43 | ds2n19 | 2023-10-12 |
| 1ae81b3 | ds2n19 | 2023-10-11 |
| 44f5720 | ds2n19 | 2023-10-09 |
| 71e58d6 | jens-daniel-mueller | 2022-05-12 |
| b917bd0 | jens-daniel-mueller | 2022-05-11 |
| ca30beb | pasqualina-vonlanthendinenna | 2022-05-05 |
| 4cf88e4 | pasqualina-vonlanthendinenna | 2022-05-05 |
| f46b9da | pasqualina-vonlanthendinenna | 2022-05-05 |
| 2d44f8a | pasqualina-vonlanthendinenna | 2022-04-29 |
[[2]]

| Version | Author | Date |
|---|---|---|
| 15c1d68 | ds2n19 | 2023-10-19 |
| 2f4ea7e | ds2n19 | 2023-10-19 |
| 4b55c43 | ds2n19 | 2023-10-12 |
| 1ae81b3 | ds2n19 | 2023-10-11 |
| 44f5720 | ds2n19 | 2023-10-09 |
| 71e58d6 | jens-daniel-mueller | 2022-05-12 |
| b917bd0 | jens-daniel-mueller | 2022-05-11 |
| ca30beb | pasqualina-vonlanthendinenna | 2022-05-05 |
| 4cf88e4 | pasqualina-vonlanthendinenna | 2022-05-05 |
| 2751f13 | pasqualina-vonlanthendinenna | 2022-05-05 |
| f46b9da | pasqualina-vonlanthendinenna | 2022-05-05 |
| 2d44f8a | pasqualina-vonlanthendinenna | 2022-04-29 |
[[3]]

| Version | Author | Date |
|---|---|---|
| 15c1d68 | ds2n19 | 2023-10-19 |
| 2f4ea7e | ds2n19 | 2023-10-19 |
| 4b55c43 | ds2n19 | 2023-10-12 |
| 1ae81b3 | ds2n19 | 2023-10-11 |
| 44f5720 | ds2n19 | 2023-10-09 |
| 71e58d6 | jens-daniel-mueller | 2022-05-12 |
| b917bd0 | jens-daniel-mueller | 2022-05-11 |
| ca30beb | pasqualina-vonlanthendinenna | 2022-05-05 |
| 4cf88e4 | pasqualina-vonlanthendinenna | 2022-05-05 |
| 2751f13 | pasqualina-vonlanthendinenna | 2022-05-05 |
| f46b9da | pasqualina-vonlanthendinenna | 2022-05-05 |
| 2d44f8a | pasqualina-vonlanthendinenna | 2022-04-29 |
[[4]]

| Version | Author | Date |
|---|---|---|
| 15c1d68 | ds2n19 | 2023-10-19 |
| 2f4ea7e | ds2n19 | 2023-10-19 |
| 4b55c43 | ds2n19 | 2023-10-12 |
| 1ae81b3 | ds2n19 | 2023-10-11 |
| 44f5720 | ds2n19 | 2023-10-09 |
| 71e58d6 | jens-daniel-mueller | 2022-05-12 |
| b917bd0 | jens-daniel-mueller | 2022-05-11 |
| ca30beb | pasqualina-vonlanthendinenna | 2022-05-05 |
| 4cf88e4 | pasqualina-vonlanthendinenna | 2022-05-05 |
| 2751f13 | pasqualina-vonlanthendinenna | 2022-05-05 |
| f46b9da | pasqualina-vonlanthendinenna | 2022-05-05 |
| 2d44f8a | pasqualina-vonlanthendinenna | 2022-04-29 |
[[5]]

| Version | Author | Date |
|---|---|---|
| 15c1d68 | ds2n19 | 2023-10-19 |
| 2f4ea7e | ds2n19 | 2023-10-19 |
| 4b55c43 | ds2n19 | 2023-10-12 |
| 1ae81b3 | ds2n19 | 2023-10-11 |
| 44f5720 | ds2n19 | 2023-10-09 |
| 71e58d6 | jens-daniel-mueller | 2022-05-12 |
| b917bd0 | jens-daniel-mueller | 2022-05-11 |
| ca30beb | pasqualina-vonlanthendinenna | 2022-05-05 |
| 4cf88e4 | pasqualina-vonlanthendinenna | 2022-05-05 |
| 2751f13 | pasqualina-vonlanthendinenna | 2022-05-05 |
| f46b9da | pasqualina-vonlanthendinenna | 2022-05-05 |
| 2d44f8a | pasqualina-vonlanthendinenna | 2022-04-29 |
[[6]]

| Version | Author | Date |
|---|---|---|
| 15c1d68 | ds2n19 | 2023-10-19 |
| 2f4ea7e | ds2n19 | 2023-10-19 |
| 4b55c43 | ds2n19 | 2023-10-12 |
| 1ae81b3 | ds2n19 | 2023-10-11 |
| 44f5720 | ds2n19 | 2023-10-09 |
| 71e58d6 | jens-daniel-mueller | 2022-05-12 |
| b917bd0 | jens-daniel-mueller | 2022-05-11 |
| ca30beb | pasqualina-vonlanthendinenna | 2022-05-05 |
| 4cf88e4 | pasqualina-vonlanthendinenna | 2022-05-05 |
| 2751f13 | pasqualina-vonlanthendinenna | 2022-05-05 |
| f46b9da | pasqualina-vonlanthendinenna | 2022-05-05 |
| 2d44f8a | pasqualina-vonlanthendinenna | 2022-04-29 |
[[7]]

| Version | Author | Date |
|---|---|---|
| 15c1d68 | ds2n19 | 2023-10-19 |
| 2f4ea7e | ds2n19 | 2023-10-19 |
| 4b55c43 | ds2n19 | 2023-10-12 |
| 1ae81b3 | ds2n19 | 2023-10-11 |
| 44f5720 | ds2n19 | 2023-10-09 |
| 71e58d6 | jens-daniel-mueller | 2022-05-12 |
| b917bd0 | jens-daniel-mueller | 2022-05-11 |
| ca30beb | pasqualina-vonlanthendinenna | 2022-05-05 |
| 4cf88e4 | pasqualina-vonlanthendinenna | 2022-05-05 |
| 2751f13 | pasqualina-vonlanthendinenna | 2022-05-05 |
| f46b9da | pasqualina-vonlanthendinenna | 2022-05-05 |
| 2d44f8a | pasqualina-vonlanthendinenna | 2022-04-29 |
[[8]]

| Version | Author | Date |
|---|---|---|
| 15c1d68 | ds2n19 | 2023-10-19 |
| 2f4ea7e | ds2n19 | 2023-10-19 |
| 4b55c43 | ds2n19 | 2023-10-12 |
| 1ae81b3 | ds2n19 | 2023-10-11 |
| 44f5720 | ds2n19 | 2023-10-09 |
| 71e58d6 | jens-daniel-mueller | 2022-05-12 |
| b917bd0 | jens-daniel-mueller | 2022-05-11 |
| ca30beb | pasqualina-vonlanthendinenna | 2022-05-05 |
| 4cf88e4 | pasqualina-vonlanthendinenna | 2022-05-05 |
| 2751f13 | pasqualina-vonlanthendinenna | 2022-05-05 |
| f46b9da | pasqualina-vonlanthendinenna | 2022-05-05 |
| 2d44f8a | pasqualina-vonlanthendinenna | 2022-04-29 |
[[9]]

| Version | Author | Date |
|---|---|---|
| 15c1d68 | ds2n19 | 2023-10-19 |
| 2f4ea7e | ds2n19 | 2023-10-19 |
| 4b55c43 | ds2n19 | 2023-10-12 |
| 1ae81b3 | ds2n19 | 2023-10-11 |
| 44f5720 | ds2n19 | 2023-10-09 |
| 71e58d6 | jens-daniel-mueller | 2022-05-12 |
| b917bd0 | jens-daniel-mueller | 2022-05-11 |
| ca30beb | pasqualina-vonlanthendinenna | 2022-05-05 |
| 4cf88e4 | pasqualina-vonlanthendinenna | 2022-05-05 |
| 2751f13 | pasqualina-vonlanthendinenna | 2022-05-05 |
| f46b9da | pasqualina-vonlanthendinenna | 2022-05-05 |
| 2d44f8a | pasqualina-vonlanthendinenna | 2022-04-29 |
[[10]]

| Version | Author | Date |
|---|---|---|
| 15c1d68 | ds2n19 | 2023-10-19 |
| 2f4ea7e | ds2n19 | 2023-10-19 |
| 4b55c43 | ds2n19 | 2023-10-12 |
| 1ae81b3 | ds2n19 | 2023-10-11 |
| 44f5720 | ds2n19 | 2023-10-09 |
| 71e58d6 | jens-daniel-mueller | 2022-05-12 |
| b917bd0 | jens-daniel-mueller | 2022-05-11 |
| ca30beb | pasqualina-vonlanthendinenna | 2022-05-05 |
| 4cf88e4 | pasqualina-vonlanthendinenna | 2022-05-05 |
| 2751f13 | pasqualina-vonlanthendinenna | 2022-05-05 |
| f46b9da | pasqualina-vonlanthendinenna | 2022-05-05 |
| 2d44f8a | pasqualina-vonlanthendinenna | 2022-04-29 |
[[11]]

| Version | Author | Date |
|---|---|---|
| 15c1d68 | ds2n19 | 2023-10-19 |
| 2f4ea7e | ds2n19 | 2023-10-19 |
| 4b55c43 | ds2n19 | 2023-10-12 |
| 1ae81b3 | ds2n19 | 2023-10-11 |
| 44f5720 | ds2n19 | 2023-10-09 |
| 71e58d6 | jens-daniel-mueller | 2022-05-12 |
| b917bd0 | jens-daniel-mueller | 2022-05-11 |
| ca30beb | pasqualina-vonlanthendinenna | 2022-05-05 |
| 4cf88e4 | pasqualina-vonlanthendinenna | 2022-05-05 |
| 2751f13 | pasqualina-vonlanthendinenna | 2022-05-05 |
| f46b9da | pasqualina-vonlanthendinenna | 2022-05-05 |
| 2d44f8a | pasqualina-vonlanthendinenna | 2022-04-29 |
[[12]]

| Version | Author | Date |
|---|---|---|
| 15c1d68 | ds2n19 | 2023-10-19 |
| 2f4ea7e | ds2n19 | 2023-10-19 |
| 4b55c43 | ds2n19 | 2023-10-12 |
| 1ae81b3 | ds2n19 | 2023-10-11 |
| 44f5720 | ds2n19 | 2023-10-09 |
| 71e58d6 | jens-daniel-mueller | 2022-05-12 |
| b917bd0 | jens-daniel-mueller | 2022-05-11 |
| ca30beb | pasqualina-vonlanthendinenna | 2022-05-05 |
| 4cf88e4 | pasqualina-vonlanthendinenna | 2022-05-05 |
| 2751f13 | pasqualina-vonlanthendinenna | 2022-05-05 |
| f46b9da | pasqualina-vonlanthendinenna | 2022-05-05 |
| 2d44f8a | pasqualina-vonlanthendinenna | 2022-04-29 |
Argo profiles plotted according to the surface OceanSODA temperature
L profiles correspond to a low surface temperature event, as recorded in OceanSODA
H profiles correspond to an event of high surface temperature, as recorded in OceanSODA
N profiles correspond to normal surface OceanSODA temperature
profile_temp_extreme %>%
group_split(biome_name, basin_AIP, year) %>%
head(6) %>%
map(
~ ggplot() +
geom_path(data = .x %>% filter(temp_extreme == 'N'),
aes(x = temp_adjusted,
y = depth,
group = platform_cycle,
col = temp_extreme),
size = 0.3) +
geom_path(data = .x %>% filter(temp_extreme == 'H' | temp_extreme == 'L'),
aes(x = temp_adjusted,
y = depth,
group = platform_cycle,
col = temp_extreme),
size = 0.5)+
scale_y_reverse() +
scale_color_manual(values = HNL_colors) +
facet_wrap(~ month, ncol = 6) +
labs(
x = 'Argo temperature (ºC)',
y = 'depth (m)',
title = paste(
unique(.x$basin_AIP),
"|",
unique(.x$year),
"| biome:",
unique(.x$biome_name)
),
col = 'OceanSODA temp \nanomaly'
)
)
[[1]]

[[2]]

[[3]]

[[4]]

[[5]]

[[6]]

# Temperature extreme:
# Atlantic biome 1, 2018, months 2 and 3
OceanSODA_temp_SO_extreme_grid_2017 <- OceanSODA_temp_SO_extreme_grid %>%
filter(date == '2017-10-15')
map+
geom_tile(data = OceanSODA_temp_SO_extreme_grid_2017,
aes(x = lon,
y = lat,
fill = temp_extreme))+
scale_fill_manual(values = HNL_colors_map)+
labs(title = 'October 2017',
fill = 'OceanSODA SST \nextreme')

| Version | Author | Date |
|---|---|---|
| 15c1d68 | ds2n19 | 2023-10-19 |
| 2f4ea7e | ds2n19 | 2023-10-19 |
| 4b55c43 | ds2n19 | 2023-10-12 |
| 1ae81b3 | ds2n19 | 2023-10-11 |
| 44f5720 | ds2n19 | 2023-10-09 |
| ca30beb | pasqualina-vonlanthendinenna | 2022-05-05 |
| c541171 | pasqualina-vonlanthendinenna | 2022-04-07 |
| 9875dd0 | pasqualina-vonlanthendinenna | 2022-04-05 |
| 48573c4 | pasqualina-vonlanthendinenna | 2022-03-31 |
| eb8e3be | pasqualina-vonlanthendinenna | 2022-03-31 |
| dfd75e9 | pasqualina-vonlanthendinenna | 2022-03-29 |
profile_temp_Atl_2017 <- profile_temp_extreme %>%
filter(date == '2017-10-15',
basin_AIP == 'Atlantic',
biome_name == 'STSS')
profile_temp_Atl_2017 %>%
ggplot(aes(x = temp_adjusted,
y = depth,
group = platform_cycle,
col = temp_extreme))+
geom_path(data = profile_temp_Atl_2017 %>% filter(temp_extreme == 'N'),
aes(x = temp_adjusted,
y = depth,
group = platform_cycle,
col = temp_extreme),
size = 0.3)+
geom_path(data = profile_temp_Atl_2017 %>% filter(temp_extreme == 'H'| temp_extreme == 'L'),
aes(x = temp_adjusted,
y = depth,
group = platform_cycle,
col = temp_extreme),
size = 0.5)+
scale_y_reverse()+
scale_color_manual(values = HNL_colors)+
labs(title = 'Atlantic, STSS biome, October 2017',
col = 'OceanSODA SST\nextreme',
x = 'Argo temperature (ºC)')

| Version | Author | Date |
|---|---|---|
| 879821d | ds2n19 | 2023-10-18 |
| 4b55c43 | ds2n19 | 2023-10-12 |
| 1ae81b3 | ds2n19 | 2023-10-11 |
| 44f5720 | ds2n19 | 2023-10-09 |
| b917bd0 | jens-daniel-mueller | 2022-05-11 |
| 9875dd0 | pasqualina-vonlanthendinenna | 2022-04-05 |
| eb8e3be | pasqualina-vonlanthendinenna | 2022-03-31 |
| dfd75e9 | pasqualina-vonlanthendinenna | 2022-03-29 |
rm(profile_temp_Atl_2017, OceanSODA_temp_SO_extreme_grid_2017)
# Atlantic biome 2, 2016 month 7
OceanSODA_temp_SO_extreme_grid_2016 <- OceanSODA_temp_SO_extreme_grid %>%
filter(date == '2016-07-15')
map+
geom_tile(data = OceanSODA_temp_SO_extreme_grid_2016,
aes(x = lon,
y = lat,
fill = temp_extreme))+
scale_fill_manual(values = HNL_colors_map)+
labs(title = 'July 2016',
fill = 'OceanSODA SST \nextreme')
profile_temp_Atl_2016 <- profile_temp_extreme %>%
filter(date == '2016-07-15',
basin_AIP == 'Atlantic',
biome_name == 'SPSS')
profile_temp_Atl_2016 %>%
ggplot(aes(x = temp_adjusted,
y = depth,
group = platform_cycle,
col = temp_extreme))+
geom_path(data = profile_temp_Atl_2016 %>% filter(temp_extreme == 'N'),
aes(x = temp_adjusted,
y = depth,
group = platform_cycle,
col = temp_extreme),
size = 0.3)+
geom_path(data = profile_temp_Atl_2016 %>% filter(temp_extreme == 'H'|temp_extreme == 'L'),
aes(x = temp_adjusted,
y = depth,
group = platform_cycle,
col = temp_extreme),
size = 0.5)+
scale_y_reverse()+
scale_color_manual(values = HNL_colors)+
labs(title = 'Atlantic, SPSS biome, July 2016',
col = 'OceanSODA SST\nextreme',
x = 'Argo temperature (ºC)')
rm(profile_temp_Atl_2016, OceanSODA_temp_SO_extreme_grid_2016)
# cut depth levels at 10, 20, .... etc m
# add seasons
# Dec, Jan, Feb <- summer
# Mar, Apr, May <- autumn
# Jun, Jul, Aug <- winter
# Sep, Oct, Nov <- spring
profile_temp_extreme <- profile_temp_extreme %>%
mutate(
depth = Hmisc::cut2(
depth,
cuts = c(10, 20, 30, 50, 70, 100, 300, 500, 800, 1000, 1500, 2000, 2500),
levels.mean = TRUE,
digits = 3
),
depth = as.numeric(as.character(depth))
) %>%
mutate(
season = case_when(
between(month, 3, 5) ~ 'autumn',
between(month, 6, 8) ~ 'winter',
between(month, 9, 11) ~ 'spring',
month == 12 | 1 | 2 ~ 'summer'
),
season_order = case_when(
between(month, 3, 5) ~ 2,
between(month, 6, 8) ~ 3,
between(month, 9, 11) ~ 4,
month == 12 | 1 | 2 ~ 1
),
.after = date
)
profile_temp_extreme_mean <- profile_temp_extreme %>%
group_by(temp_extreme, depth) %>%
summarise(temp_mean = mean(temp_adjusted, na.rm = TRUE),
temp_std = sd(temp_adjusted, na.rm = TRUE)) %>%
ungroup()
profile_temp_extreme_mean %>%
arrange(depth) %>%
ggplot(aes(y = depth)) +
geom_ribbon(aes(xmin = temp_mean - temp_std,
xmax = temp_mean + temp_std,
fill = temp_extreme),
alpha = 0.2)+
geom_path(aes(x = temp_mean,
col = temp_extreme))+
scale_color_manual(values = HNL_colors) +
scale_fill_manual(values = HNL_colors)+
labs(title = "Overall mean",
col = 'OceanSODA\ntemp anomaly \n(mean ± st dev)',
fill = 'OceanSODA\ntemp anomaly \n(mean ± st dev)',
y = 'depth (m)',
x = 'mean Argo temperature (ºC)') +
scale_y_continuous(trans = trans_reverser("sqrt"),
breaks = c(10, 100, 250, 500, seq(1000, 5000, 500)))

| Version | Author | Date |
|---|---|---|
| 15c1d68 | ds2n19 | 2023-10-19 |
| 2f4ea7e | ds2n19 | 2023-10-19 |
| 879821d | ds2n19 | 2023-10-18 |
| 4b55c43 | ds2n19 | 2023-10-12 |
| 1ae81b3 | ds2n19 | 2023-10-11 |
| 44f5720 | ds2n19 | 2023-10-09 |
| b917bd0 | jens-daniel-mueller | 2022-05-11 |
| 9875dd0 | pasqualina-vonlanthendinenna | 2022-04-05 |
| 48573c4 | pasqualina-vonlanthendinenna | 2022-03-31 |
| eb8e3be | pasqualina-vonlanthendinenna | 2022-03-31 |
| cbb2360 | jens-daniel-mueller | 2022-03-28 |
| fa1b6de | jens-daniel-mueller | 2022-03-28 |
| 8173cdb | jens-daniel-mueller | 2022-03-28 |
| 650ef68 | pasqualina-vonlanthendinenna | 2022-03-18 |
| e12a216 | pasqualina-vonlanthendinenna | 2022-03-15 |
| 1ffe07f | pasqualina-vonlanthendinenna | 2022-03-11 |
| 7540ae4 | pasqualina-vonlanthendinenna | 2022-03-08 |
| 5ef4df2 | pasqualina-vonlanthendinenna | 2022-03-01 |
| 8ef1277 | pasqualina-vonlanthendinenna | 2022-03-01 |
| 7d7874c | pasqualina-vonlanthendinenna | 2022-02-24 |
| c68163a | pasqualina-vonlanthendinenna | 2022-02-22 |
| 19aa73d | pasqualina-vonlanthendinenna | 2022-02-16 |
| f2fa56a | pasqualina-vonlanthendinenna | 2022-02-10 |
rm(profile_temp_extreme_mean)
Number of profiles
profile_temp_count_mean <- profile_temp_extreme %>%
distinct(temp_extreme, platform_number, cycle_number) %>%
count(temp_extreme)
profile_temp_count_mean %>%
ggplot(aes(x = temp_extreme, y = n, fill = temp_extreme))+
geom_col(width = 0.5)+
scale_y_continuous(trans = 'log10')+
labs(y = 'log(number of profiles)',
title = 'Number of profiles')

| Version | Author | Date |
|---|---|---|
| 15c1d68 | ds2n19 | 2023-10-19 |
| 2f4ea7e | ds2n19 | 2023-10-19 |
| 4b55c43 | ds2n19 | 2023-10-12 |
| 1ae81b3 | ds2n19 | 2023-10-11 |
| 44f5720 | ds2n19 | 2023-10-09 |
| b917bd0 | jens-daniel-mueller | 2022-05-11 |
| 9875dd0 | pasqualina-vonlanthendinenna | 2022-04-05 |
| 48573c4 | pasqualina-vonlanthendinenna | 2022-03-31 |
| eb8e3be | pasqualina-vonlanthendinenna | 2022-03-31 |
| cbb2360 | jens-daniel-mueller | 2022-03-28 |
| fa1b6de | jens-daniel-mueller | 2022-03-28 |
| 8173cdb | jens-daniel-mueller | 2022-03-28 |
| 650ef68 | pasqualina-vonlanthendinenna | 2022-03-18 |
| e12a216 | pasqualina-vonlanthendinenna | 2022-03-15 |
| 1ffe07f | pasqualina-vonlanthendinenna | 2022-03-11 |
| 7540ae4 | pasqualina-vonlanthendinenna | 2022-03-08 |
| 5ef4df2 | pasqualina-vonlanthendinenna | 2022-03-01 |
| 8ef1277 | pasqualina-vonlanthendinenna | 2022-03-01 |
| c68163a | pasqualina-vonlanthendinenna | 2022-02-22 |
| 19aa73d | pasqualina-vonlanthendinenna | 2022-02-16 |
| f2fa56a | pasqualina-vonlanthendinenna | 2022-02-10 |
# rm(profile_temp_count_mean)
Surface Argo temperature vs surface OceanSODA temperature (20 m)
# calculate surface-mean argo SST, for each profile
surface_temp_mean <- profile_temp_extreme %>%
filter(depth <= 20) %>%
group_by(temp_extreme, platform_number, cycle_number) %>%
summarise(argo_surf_temp = mean(temp_adjusted, na.rm = TRUE),
OceanSODA_surf_temp = mean(OceanSODA_temp, na.rm = TRUE))
surface_temp_mean %>%
group_by(temp_extreme) %>%
group_split() %>%
# head(1) %>%
map(
~ggplot(data = .x, aes(x = OceanSODA_surf_temp,
y = argo_surf_temp))+
geom_bin2d(data = .x, aes(x = OceanSODA_surf_temp,
y = argo_surf_temp), size = 0.3, bins = 60) +
scale_fill_viridis_c()+
geom_abline(slope = 1, intercept = 0)+
coord_fixed(ratio = 1,
xlim = c(-3, 28),
ylim = c(-3, 28))+
labs(title = paste('temp extreme:', unique(.x$temp_extreme)),
x = 'OceanSODA temp',
y = 'Argo temp')
)
[[1]]

| Version | Author | Date |
|---|---|---|
| 15c1d68 | ds2n19 | 2023-10-19 |
| 2f4ea7e | ds2n19 | 2023-10-19 |
| 4b55c43 | ds2n19 | 2023-10-12 |
| 1ae81b3 | ds2n19 | 2023-10-11 |
| 44f5720 | ds2n19 | 2023-10-09 |
| b917bd0 | jens-daniel-mueller | 2022-05-11 |
| 9875dd0 | pasqualina-vonlanthendinenna | 2022-04-05 |
| 48573c4 | pasqualina-vonlanthendinenna | 2022-03-31 |
| eb8e3be | pasqualina-vonlanthendinenna | 2022-03-31 |
| cbb2360 | jens-daniel-mueller | 2022-03-28 |
| fa1b6de | jens-daniel-mueller | 2022-03-28 |
| 8173cdb | jens-daniel-mueller | 2022-03-28 |
| 650ef68 | pasqualina-vonlanthendinenna | 2022-03-18 |
| e12a216 | pasqualina-vonlanthendinenna | 2022-03-15 |
| 1ffe07f | pasqualina-vonlanthendinenna | 2022-03-11 |
| 7540ae4 | pasqualina-vonlanthendinenna | 2022-03-08 |
| 5ef4df2 | pasqualina-vonlanthendinenna | 2022-03-01 |
| 8ef1277 | pasqualina-vonlanthendinenna | 2022-03-01 |
| fd521d1 | pasqualina-vonlanthendinenna | 2022-02-25 |
| c68163a | pasqualina-vonlanthendinenna | 2022-02-22 |
| 19aa73d | pasqualina-vonlanthendinenna | 2022-02-16 |
| f2fa56a | pasqualina-vonlanthendinenna | 2022-02-10 |
[[2]]

| Version | Author | Date |
|---|---|---|
| 15c1d68 | ds2n19 | 2023-10-19 |
| 2f4ea7e | ds2n19 | 2023-10-19 |
| 4b55c43 | ds2n19 | 2023-10-12 |
| 1ae81b3 | ds2n19 | 2023-10-11 |
| 44f5720 | ds2n19 | 2023-10-09 |
| b917bd0 | jens-daniel-mueller | 2022-05-11 |
| 9875dd0 | pasqualina-vonlanthendinenna | 2022-04-05 |
| 48573c4 | pasqualina-vonlanthendinenna | 2022-03-31 |
| eb8e3be | pasqualina-vonlanthendinenna | 2022-03-31 |
| cbb2360 | jens-daniel-mueller | 2022-03-28 |
| fa1b6de | jens-daniel-mueller | 2022-03-28 |
| 8173cdb | jens-daniel-mueller | 2022-03-28 |
| 650ef68 | pasqualina-vonlanthendinenna | 2022-03-18 |
| e12a216 | pasqualina-vonlanthendinenna | 2022-03-15 |
| 1ffe07f | pasqualina-vonlanthendinenna | 2022-03-11 |
| 7540ae4 | pasqualina-vonlanthendinenna | 2022-03-08 |
| 5ef4df2 | pasqualina-vonlanthendinenna | 2022-03-01 |
| 8ef1277 | pasqualina-vonlanthendinenna | 2022-03-01 |
| fd521d1 | pasqualina-vonlanthendinenna | 2022-02-25 |
| c68163a | pasqualina-vonlanthendinenna | 2022-02-22 |
| 19aa73d | pasqualina-vonlanthendinenna | 2022-02-16 |
| f2fa56a | pasqualina-vonlanthendinenna | 2022-02-10 |
[[3]]

| Version | Author | Date |
|---|---|---|
| 15c1d68 | ds2n19 | 2023-10-19 |
| 2f4ea7e | ds2n19 | 2023-10-19 |
| 4b55c43 | ds2n19 | 2023-10-12 |
| 1ae81b3 | ds2n19 | 2023-10-11 |
| 44f5720 | ds2n19 | 2023-10-09 |
| b917bd0 | jens-daniel-mueller | 2022-05-11 |
| 9875dd0 | pasqualina-vonlanthendinenna | 2022-04-05 |
| eb8e3be | pasqualina-vonlanthendinenna | 2022-03-31 |
| cbb2360 | jens-daniel-mueller | 2022-03-28 |
| fa1b6de | jens-daniel-mueller | 2022-03-28 |
| 8173cdb | jens-daniel-mueller | 2022-03-28 |
| 650ef68 | pasqualina-vonlanthendinenna | 2022-03-18 |
| e12a216 | pasqualina-vonlanthendinenna | 2022-03-15 |
| 1ffe07f | pasqualina-vonlanthendinenna | 2022-03-11 |
| 7540ae4 | pasqualina-vonlanthendinenna | 2022-03-08 |
| 5ef4df2 | pasqualina-vonlanthendinenna | 2022-03-01 |
| 8ef1277 | pasqualina-vonlanthendinenna | 2022-03-01 |
| fd521d1 | pasqualina-vonlanthendinenna | 2022-02-25 |
| c68163a | pasqualina-vonlanthendinenna | 2022-02-22 |
| 19aa73d | pasqualina-vonlanthendinenna | 2022-02-16 |
| f2fa56a | pasqualina-vonlanthendinenna | 2022-02-10 |
rm(surface_temp_mean)
profile_temp_extreme_mean_jan <- profile_temp_extreme %>%
filter(month == 1) %>%
group_by(temp_extreme, depth) %>%
summarise(temp_mean = mean(temp_adjusted, na.rm = TRUE),
temp_std = sd(temp_adjusted, na.rm = TRUE)) %>%
ungroup()
profile_temp_extreme_mean_jan %>%
arrange(depth) %>%
ggplot(aes(y = depth)) +
geom_ribbon(aes(xmin = temp_mean - temp_std,
xmax = temp_mean + temp_std,
fill = temp_extreme),
alpha = 0.2)+
geom_path(aes(x = temp_mean,
col = temp_extreme))+
scale_color_manual(values = HNL_colors) +
scale_fill_manual(values = HNL_colors)+
labs(title = "January mean",
col = 'OceanSODA\ntemp anomaly \n(mean ± st dev)',
fill = 'OceanSODA\ntemp anomaly \n(mean ± st dev)',
y = 'depth (m)',
x = 'mean Argo temperature (ºC)') +
scale_y_continuous(trans = trans_reverser("sqrt"),
breaks = c(10, 100, 250, 500, seq(1000, 5000, 500)))
rm(profile_temp_extreme_mean_jan)
profile_temp_extreme_biome <- profile_temp_extreme %>%
group_by(season_order, season, biome_name, temp_extreme, depth) %>%
summarise(temp_biome = mean(temp_adjusted, na.rm = TRUE),
temp_std_biome = sd(temp_adjusted, na.rm = TRUE)) %>%
ungroup()
facet_label <- as_labeller(c("1"="summer",
"2"="autumn",
"3"="winter",
"4"="spring",
"ICE" = "ICE",
"SPSS" = "SPSS",
"STSS" = "STSS",
"Atlantic" = "Atlantic",
"Indian" = "Indian",
"Pacific" = "Pacific"
))
profile_temp_extreme_biome %>%
ggplot(aes(
x = temp_biome,
y = depth,
group = temp_extreme,
col = temp_extreme
)) +
geom_ribbon(aes(xmax = temp_biome + temp_std_biome,
xmin = temp_biome - temp_std_biome,
group = temp_extreme,
fill = temp_extreme),
col = NA,
alpha = 0.2)+
geom_path() +
scale_color_manual(values = HNL_colors) +
scale_fill_manual(values = HNL_colors)+
labs(col = 'OceanSODA\ntemp anomaly \n(mean ± st dev)',
fill = 'OceanSODA\ntemp anomaly \n(mean ± st dev)',
y = 'depth (m)',
x = 'biome mean Argo temperature (ºC)') +
scale_y_continuous(trans = trans_reverser("sqrt"),
breaks = c(10, 100, 250, 500, seq(1000, 5000, 500))) +
lims(x = c(-3, 18))+
facet_grid(season_order ~ biome_name, labeller = facet_label)

| Version | Author | Date |
|---|---|---|
| 15c1d68 | ds2n19 | 2023-10-19 |
| 2f4ea7e | ds2n19 | 2023-10-19 |
| 879821d | ds2n19 | 2023-10-18 |
| 7004f76 | ds2n19 | 2023-10-17 |
| 4b55c43 | ds2n19 | 2023-10-12 |
| 1ae81b3 | ds2n19 | 2023-10-11 |
| 44f5720 | ds2n19 | 2023-10-09 |
| b917bd0 | jens-daniel-mueller | 2022-05-11 |
| 9875dd0 | pasqualina-vonlanthendinenna | 2022-04-05 |
| 48573c4 | pasqualina-vonlanthendinenna | 2022-03-31 |
rm(profile_temp_extreme_biome)
Number of profiles per season per Mayot biome
profile_temp_count_biome <- profile_temp_extreme %>%
distinct(season_order, season, biome_name, temp_extreme, platform_number, cycle_number) %>%
group_by(season_order, season, biome_name, temp_extreme) %>%
count(temp_extreme)
profile_temp_count_biome %>%
ggplot(aes(x = temp_extreme, y = n, fill = temp_extreme))+
geom_col(width = 0.5)+
facet_grid(season_order ~ biome_name, labeller = facet_label)+
scale_y_continuous(trans = 'log10')+
labs(y = 'log(number of profiles)',
title = 'Number of profiles season x Mayot biome')

| Version | Author | Date |
|---|---|---|
| 15c1d68 | ds2n19 | 2023-10-19 |
| 2f4ea7e | ds2n19 | 2023-10-19 |
| 7004f76 | ds2n19 | 2023-10-17 |
| 4b55c43 | ds2n19 | 2023-10-12 |
| 1ae81b3 | ds2n19 | 2023-10-11 |
| 44f5720 | ds2n19 | 2023-10-09 |
| b917bd0 | jens-daniel-mueller | 2022-05-11 |
| 9875dd0 | pasqualina-vonlanthendinenna | 2022-04-05 |
| 48573c4 | pasqualina-vonlanthendinenna | 2022-03-31 |
# rm(profile_temp_count_biome)
Surface Argo temp vs surface OceanSODA temp season x Mayot biome (20 m)
surface_temp_biome <- profile_temp_extreme %>%
filter(depth <= 20) %>%
group_by(season_order, season, biome_name, temp_extreme, platform_number, cycle_number) %>%
summarise(argo_surf_temp = mean(temp_adjusted, na.rm=TRUE),
OceanSODA_surf_temp = mean(OceanSODA_temp, na.rm = TRUE))
surface_temp_biome %>%
group_by(temp_extreme) %>%
group_split(temp_extreme) %>%
map(
~ggplot(data = .x, aes(x = OceanSODA_surf_temp,
y = argo_surf_temp))+
geom_bin2d(data = .x, aes(x = OceanSODA_surf_temp,
y = argo_surf_temp)) +
scale_fill_viridis_c()+
geom_abline(slope = 1, intercept = 0)+
coord_fixed(ratio = 1,
xlim = c(-3, 25),
ylim = c(-3, 25))+
facet_grid(season_order~biome_name, labeller = facet_label) +
labs(title = paste( 'Temp extreme:', unique(.x$temp_extreme)),
x = 'OceanSODA temp',
y = 'Argo temp')
)
[[1]]

| Version | Author | Date |
|---|---|---|
| 15c1d68 | ds2n19 | 2023-10-19 |
| 2f4ea7e | ds2n19 | 2023-10-19 |
| 7004f76 | ds2n19 | 2023-10-17 |
| 4b55c43 | ds2n19 | 2023-10-12 |
| 1ae81b3 | ds2n19 | 2023-10-11 |
| 44f5720 | ds2n19 | 2023-10-09 |
| b917bd0 | jens-daniel-mueller | 2022-05-11 |
| 9875dd0 | pasqualina-vonlanthendinenna | 2022-04-05 |
| 48573c4 | pasqualina-vonlanthendinenna | 2022-03-31 |
[[2]]

| Version | Author | Date |
|---|---|---|
| 15c1d68 | ds2n19 | 2023-10-19 |
| 2f4ea7e | ds2n19 | 2023-10-19 |
| 7004f76 | ds2n19 | 2023-10-17 |
| 4b55c43 | ds2n19 | 2023-10-12 |
| 1ae81b3 | ds2n19 | 2023-10-11 |
| 44f5720 | ds2n19 | 2023-10-09 |
| b917bd0 | jens-daniel-mueller | 2022-05-11 |
| 9875dd0 | pasqualina-vonlanthendinenna | 2022-04-05 |
| 48573c4 | pasqualina-vonlanthendinenna | 2022-03-31 |
[[3]]

| Version | Author | Date |
|---|---|---|
| 15c1d68 | ds2n19 | 2023-10-19 |
| 2f4ea7e | ds2n19 | 2023-10-19 |
| 7004f76 | ds2n19 | 2023-10-17 |
| 4b55c43 | ds2n19 | 2023-10-12 |
| 1ae81b3 | ds2n19 | 2023-10-11 |
| 44f5720 | ds2n19 | 2023-10-09 |
| b917bd0 | jens-daniel-mueller | 2022-05-11 |
| 9875dd0 | pasqualina-vonlanthendinenna | 2022-04-05 |
| 48573c4 | pasqualina-vonlanthendinenna | 2022-03-31 |
rm(surface_temp_biome)
profile_temp_extreme_basin <- profile_temp_extreme %>%
group_by(season_order, season, basin_AIP, temp_extreme, depth) %>%
summarise(temp_basin = mean(temp_adjusted, na.rm = TRUE),
temp_basin_std = sd(temp_adjusted, na.rm = TRUE)) %>%
ungroup()
profile_temp_extreme_basin %>%
ggplot(aes(x = temp_basin,
y = depth,
group = temp_extreme,
col = temp_extreme))+
geom_ribbon(aes(xmin = temp_basin - temp_basin_std,
xmax = temp_basin + temp_basin_std,
group = temp_extreme,
fill = temp_extreme),
col = NA,
alpha = 0.2)+
geom_path()+
scale_color_manual(values = HNL_colors)+
scale_fill_manual(values = HNL_colors)+
labs(col = 'OceanSODA\ntemp anomaly\n(mean ± st dev)',
fill = 'OceanSODA\ntemp anomaly\n(mean ± st dev)',
y = 'depth (m)',
x = 'basin-mean Argo temperature (ªC)')+
scale_y_continuous(trans = trans_reverser("sqrt"),
breaks = c(10, 100, 250, 500, seq(1000, 5000, 500))) +
facet_grid(season_order~basin_AIP, labeller = facet_label)

| Version | Author | Date |
|---|---|---|
| 15c1d68 | ds2n19 | 2023-10-19 |
| 2f4ea7e | ds2n19 | 2023-10-19 |
| 879821d | ds2n19 | 2023-10-18 |
| 7004f76 | ds2n19 | 2023-10-17 |
| 4b55c43 | ds2n19 | 2023-10-12 |
| 1ae81b3 | ds2n19 | 2023-10-11 |
| 44f5720 | ds2n19 | 2023-10-09 |
| b917bd0 | jens-daniel-mueller | 2022-05-11 |
| 9875dd0 | pasqualina-vonlanthendinenna | 2022-04-05 |
| 48573c4 | pasqualina-vonlanthendinenna | 2022-03-31 |
| eb8e3be | pasqualina-vonlanthendinenna | 2022-03-31 |
| cbb2360 | jens-daniel-mueller | 2022-03-28 |
| fa1b6de | jens-daniel-mueller | 2022-03-28 |
| 8173cdb | jens-daniel-mueller | 2022-03-28 |
| 650ef68 | pasqualina-vonlanthendinenna | 2022-03-18 |
| e12a216 | pasqualina-vonlanthendinenna | 2022-03-15 |
| 1ffe07f | pasqualina-vonlanthendinenna | 2022-03-11 |
| 7540ae4 | pasqualina-vonlanthendinenna | 2022-03-08 |
| 5ef4df2 | pasqualina-vonlanthendinenna | 2022-03-01 |
| 8ef1277 | pasqualina-vonlanthendinenna | 2022-03-01 |
| 7d7874c | pasqualina-vonlanthendinenna | 2022-02-24 |
| c68163a | pasqualina-vonlanthendinenna | 2022-02-22 |
| 19aa73d | pasqualina-vonlanthendinenna | 2022-02-16 |
| f2fa56a | pasqualina-vonlanthendinenna | 2022-02-10 |
rm(profile_temp_extreme_basin)
Number of profiles season x basin
profile_temp_count_basin <- profile_temp_extreme %>%
distinct(season_order, season, basin_AIP, temp_extreme, platform_number, cycle_number) %>%
group_by(season_order, season, basin_AIP, temp_extreme) %>%
count(temp_extreme)
profile_temp_count_basin %>%
ggplot(aes(x = temp_extreme, y = n, fill = temp_extreme))+
geom_col(width = 0.5)+
facet_grid(season_order~basin_AIP, labeller = facet_label)+
scale_y_continuous(trans = 'log10')+
labs(y = 'log(number of profiles)',
title = 'Number of profiles season x basin')

| Version | Author | Date |
|---|---|---|
| 15c1d68 | ds2n19 | 2023-10-19 |
| 2f4ea7e | ds2n19 | 2023-10-19 |
| 7004f76 | ds2n19 | 2023-10-17 |
| 4b55c43 | ds2n19 | 2023-10-12 |
| 1ae81b3 | ds2n19 | 2023-10-11 |
| 44f5720 | ds2n19 | 2023-10-09 |
| b917bd0 | jens-daniel-mueller | 2022-05-11 |
| 9875dd0 | pasqualina-vonlanthendinenna | 2022-04-05 |
| 48573c4 | pasqualina-vonlanthendinenna | 2022-03-31 |
| eb8e3be | pasqualina-vonlanthendinenna | 2022-03-31 |
| cbb2360 | jens-daniel-mueller | 2022-03-28 |
| fa1b6de | jens-daniel-mueller | 2022-03-28 |
| 8173cdb | jens-daniel-mueller | 2022-03-28 |
| 650ef68 | pasqualina-vonlanthendinenna | 2022-03-18 |
| e12a216 | pasqualina-vonlanthendinenna | 2022-03-15 |
| 1ffe07f | pasqualina-vonlanthendinenna | 2022-03-11 |
| 7540ae4 | pasqualina-vonlanthendinenna | 2022-03-08 |
| 5ef4df2 | pasqualina-vonlanthendinenna | 2022-03-01 |
| 8ef1277 | pasqualina-vonlanthendinenna | 2022-03-01 |
| c68163a | pasqualina-vonlanthendinenna | 2022-02-22 |
| 19aa73d | pasqualina-vonlanthendinenna | 2022-02-16 |
| f2fa56a | pasqualina-vonlanthendinenna | 2022-02-10 |
# rm(profile_temp_count_basin)
Surface Argo temperature vs surface OceanSODA temperature (20 m) season x basin
# calculate surface-mean argo pH to compare against OceanSODA surface pH (one value)
surface_temp_basin <- profile_temp_extreme %>%
filter(depth <= 20) %>%
group_by(season_order, season, basin_AIP, temp_extreme, platform_number, cycle_number) %>%
summarise(surf_argo_temp = mean(temp_adjusted, na.rm=TRUE),
surf_OceanSODA_temp = mean(OceanSODA_temp, na.rm = TRUE))
surface_temp_basin %>%
group_by(temp_extreme) %>%
group_split(temp_extreme) %>%
map(
~ggplot(data = .x, aes(x = surf_OceanSODA_temp,
y = surf_argo_temp))+
geom_bin2d(data = .x, aes(x = surf_OceanSODA_temp,
y = surf_argo_temp)) +
scale_fill_viridis_c()+
geom_abline(slope = 1, intercept = 0)+
coord_fixed(ratio = 1,
xlim = c(-3, 25),
ylim = c(-3, 25))+
facet_grid(season_order~basin_AIP, labeller = facet_label) +
labs(title = paste('Temp extreme:', unique(.x$temp_extreme)),
x = 'OceanSODA temp',
y = 'Argo temp')
)
[[1]]

| Version | Author | Date |
|---|---|---|
| 15c1d68 | ds2n19 | 2023-10-19 |
| 2f4ea7e | ds2n19 | 2023-10-19 |
| 7004f76 | ds2n19 | 2023-10-17 |
| 4b55c43 | ds2n19 | 2023-10-12 |
| 1ae81b3 | ds2n19 | 2023-10-11 |
| 44f5720 | ds2n19 | 2023-10-09 |
| b917bd0 | jens-daniel-mueller | 2022-05-11 |
| 9875dd0 | pasqualina-vonlanthendinenna | 2022-04-05 |
| 48573c4 | pasqualina-vonlanthendinenna | 2022-03-31 |
| eb8e3be | pasqualina-vonlanthendinenna | 2022-03-31 |
| cbb2360 | jens-daniel-mueller | 2022-03-28 |
| fa1b6de | jens-daniel-mueller | 2022-03-28 |
| 8173cdb | jens-daniel-mueller | 2022-03-28 |
| 650ef68 | pasqualina-vonlanthendinenna | 2022-03-18 |
| e12a216 | pasqualina-vonlanthendinenna | 2022-03-15 |
| 1ffe07f | pasqualina-vonlanthendinenna | 2022-03-11 |
| 7540ae4 | pasqualina-vonlanthendinenna | 2022-03-08 |
| 5ef4df2 | pasqualina-vonlanthendinenna | 2022-03-01 |
| 8ef1277 | pasqualina-vonlanthendinenna | 2022-03-01 |
| fd521d1 | pasqualina-vonlanthendinenna | 2022-02-25 |
| c68163a | pasqualina-vonlanthendinenna | 2022-02-22 |
| 19aa73d | pasqualina-vonlanthendinenna | 2022-02-16 |
| f2fa56a | pasqualina-vonlanthendinenna | 2022-02-10 |
[[2]]

| Version | Author | Date |
|---|---|---|
| 15c1d68 | ds2n19 | 2023-10-19 |
| 2f4ea7e | ds2n19 | 2023-10-19 |
| 7004f76 | ds2n19 | 2023-10-17 |
| 4b55c43 | ds2n19 | 2023-10-12 |
| 1ae81b3 | ds2n19 | 2023-10-11 |
| 44f5720 | ds2n19 | 2023-10-09 |
| b917bd0 | jens-daniel-mueller | 2022-05-11 |
| 9875dd0 | pasqualina-vonlanthendinenna | 2022-04-05 |
| 48573c4 | pasqualina-vonlanthendinenna | 2022-03-31 |
| eb8e3be | pasqualina-vonlanthendinenna | 2022-03-31 |
| cbb2360 | jens-daniel-mueller | 2022-03-28 |
| fa1b6de | jens-daniel-mueller | 2022-03-28 |
| 8173cdb | jens-daniel-mueller | 2022-03-28 |
| 650ef68 | pasqualina-vonlanthendinenna | 2022-03-18 |
| e12a216 | pasqualina-vonlanthendinenna | 2022-03-15 |
| 1ffe07f | pasqualina-vonlanthendinenna | 2022-03-11 |
| 7540ae4 | pasqualina-vonlanthendinenna | 2022-03-08 |
| 5ef4df2 | pasqualina-vonlanthendinenna | 2022-03-01 |
| 8ef1277 | pasqualina-vonlanthendinenna | 2022-03-01 |
| fd521d1 | pasqualina-vonlanthendinenna | 2022-02-25 |
| c68163a | pasqualina-vonlanthendinenna | 2022-02-22 |
| 19aa73d | pasqualina-vonlanthendinenna | 2022-02-16 |
| f2fa56a | pasqualina-vonlanthendinenna | 2022-02-10 |
[[3]]

| Version | Author | Date |
|---|---|---|
| 15c1d68 | ds2n19 | 2023-10-19 |
| 2f4ea7e | ds2n19 | 2023-10-19 |
| 7004f76 | ds2n19 | 2023-10-17 |
| 4b55c43 | ds2n19 | 2023-10-12 |
| 1ae81b3 | ds2n19 | 2023-10-11 |
| 44f5720 | ds2n19 | 2023-10-09 |
| b917bd0 | jens-daniel-mueller | 2022-05-11 |
| 9875dd0 | pasqualina-vonlanthendinenna | 2022-04-05 |
| eb8e3be | pasqualina-vonlanthendinenna | 2022-03-31 |
| cbb2360 | jens-daniel-mueller | 2022-03-28 |
| fa1b6de | jens-daniel-mueller | 2022-03-28 |
| 8173cdb | jens-daniel-mueller | 2022-03-28 |
| 650ef68 | pasqualina-vonlanthendinenna | 2022-03-18 |
| e12a216 | pasqualina-vonlanthendinenna | 2022-03-15 |
| 1ffe07f | pasqualina-vonlanthendinenna | 2022-03-11 |
| 7540ae4 | pasqualina-vonlanthendinenna | 2022-03-08 |
| 5ef4df2 | pasqualina-vonlanthendinenna | 2022-03-01 |
| 8ef1277 | pasqualina-vonlanthendinenna | 2022-03-01 |
| fd521d1 | pasqualina-vonlanthendinenna | 2022-02-25 |
| c68163a | pasqualina-vonlanthendinenna | 2022-02-22 |
| 19aa73d | pasqualina-vonlanthendinenna | 2022-02-16 |
| f2fa56a | pasqualina-vonlanthendinenna | 2022-02-10 |
rm(surface_temp_basin)
profile_temp_extreme_season <- profile_temp_extreme %>%
group_by(season_order, season, biome_name, basin_AIP, temp_extreme, depth) %>%
summarise(temp_mean = mean(temp_adjusted, na.rm = TRUE),
temp_std = sd(temp_adjusted, na.rm = TRUE)) %>%
ungroup()
profile_temp_extreme_season %>%
arrange(depth) %>%
group_split(season_order) %>%
# head(1) %>%
map(
~ ggplot(
data = .x,
aes(x = temp_mean,
y = depth,
group = temp_extreme,
col = temp_extreme)) +
geom_ribbon(aes(xmax = temp_mean + temp_std,
xmin = temp_mean - temp_std,
group = temp_extreme,
fill = temp_extreme),
col = NA,
alpha = 0.2)+
geom_path() +
scale_color_manual(values = HNL_colors) +
scale_fill_manual(values = HNL_colors) +
labs(title = paste("season:", unique(.x$season)),
col = 'OceanSODA\ntemp anomaly \n(mean ± st dev)',
fill = 'OceanSODA\ntemp anomaly \n(mean ± st dev)',
y = 'depth (m)',
x = 'mean Argo temperature (ºC)') +
scale_y_continuous(
trans = trans_reverser("sqrt"),
breaks = c(10, 100, 250, 500, seq(1000, 5000, 500))
) +
facet_grid(basin_AIP ~ biome_name)
)
[[1]]

| Version | Author | Date |
|---|---|---|
| 15c1d68 | ds2n19 | 2023-10-19 |
| 2f4ea7e | ds2n19 | 2023-10-19 |
| 879821d | ds2n19 | 2023-10-18 |
| 7004f76 | ds2n19 | 2023-10-17 |
| 4b55c43 | ds2n19 | 2023-10-12 |
| 1ae81b3 | ds2n19 | 2023-10-11 |
| 44f5720 | ds2n19 | 2023-10-09 |
| b917bd0 | jens-daniel-mueller | 2022-05-11 |
| 9875dd0 | pasqualina-vonlanthendinenna | 2022-04-05 |
| 48573c4 | pasqualina-vonlanthendinenna | 2022-03-31 |
[[2]]

| Version | Author | Date |
|---|---|---|
| 15c1d68 | ds2n19 | 2023-10-19 |
| 2f4ea7e | ds2n19 | 2023-10-19 |
| 879821d | ds2n19 | 2023-10-18 |
| 7004f76 | ds2n19 | 2023-10-17 |
| 4b55c43 | ds2n19 | 2023-10-12 |
| 1ae81b3 | ds2n19 | 2023-10-11 |
| 44f5720 | ds2n19 | 2023-10-09 |
| b917bd0 | jens-daniel-mueller | 2022-05-11 |
| 9875dd0 | pasqualina-vonlanthendinenna | 2022-04-05 |
| 48573c4 | pasqualina-vonlanthendinenna | 2022-03-31 |
[[3]]

| Version | Author | Date |
|---|---|---|
| 2f4ea7e | ds2n19 | 2023-10-19 |
| 879821d | ds2n19 | 2023-10-18 |
| 7004f76 | ds2n19 | 2023-10-17 |
| 4b55c43 | ds2n19 | 2023-10-12 |
| 1ae81b3 | ds2n19 | 2023-10-11 |
| 44f5720 | ds2n19 | 2023-10-09 |
| b917bd0 | jens-daniel-mueller | 2022-05-11 |
| 9875dd0 | pasqualina-vonlanthendinenna | 2022-04-05 |
| 48573c4 | pasqualina-vonlanthendinenna | 2022-03-31 |
[[4]]

| Version | Author | Date |
|---|---|---|
| 2f4ea7e | ds2n19 | 2023-10-19 |
| 879821d | ds2n19 | 2023-10-18 |
| 7004f76 | ds2n19 | 2023-10-17 |
| 4b55c43 | ds2n19 | 2023-10-12 |
| 1ae81b3 | ds2n19 | 2023-10-11 |
| 44f5720 | ds2n19 | 2023-10-09 |
| b917bd0 | jens-daniel-mueller | 2022-05-11 |
| 9875dd0 | pasqualina-vonlanthendinenna | 2022-04-05 |
| 48573c4 | pasqualina-vonlanthendinenna | 2022-03-31 |
Number of profiles season x Mayot biome x basin
profile_temp_count_season <- profile_temp_extreme %>%
distinct(season_order, season, biome_name, basin_AIP,
temp_extreme, platform_number, cycle_number) %>%
group_by(season_order, season, biome_name, basin_AIP, temp_extreme) %>%
count(temp_extreme)
profile_temp_count_season %>%
group_by(season_order) %>%
group_split(season_order) %>%
map(
~ggplot()+
geom_col(data =.x,
aes(x = temp_extreme,
y = n,
fill = temp_extreme),
width = 0.5)+
facet_grid(basin_AIP ~ biome_name)+
scale_y_continuous(trans = 'log10')+
labs(y = 'log(number of profiles)',
title = paste('season:', unique(.x$season)))
)
[[1]]

[[2]]

[[3]]

[[4]]

# rm(profile_temp_count_season)
Surface Argo temperature vs surface OceanSODA temperature (20m) in each season, Mayot biome, basin
# calculate surface-mean argo pH, for each season x biome x basin x ph extreme
surface_temp_season <- profile_temp_extreme %>%
filter(depth <= 20) %>%
group_by(season_order,
season,
basin_AIP,
biome_name,
temp_extreme,
platform_number,
cycle_number) %>%
summarise(surf_argo_temp = mean(temp_adjusted, na.rm=TRUE),
surf_OceanSODA_temp = mean(OceanSODA_temp, na.rm = TRUE))
surface_temp_season %>%
group_by(season_order, temp_extreme) %>%
group_split(season_order, temp_extreme) %>%
map(
~ggplot(data = .x, aes(x = surf_OceanSODA_temp,
y = surf_argo_temp))+
geom_bin2d(data = .x, aes(x = surf_OceanSODA_temp,
y = surf_argo_temp)) +
scale_fill_viridis_c()+
geom_abline(slope = 1, intercept = 0)+
coord_fixed(ratio = 1,
xlim = c(-3, 25),
ylim = c(-3, 25))+
facet_grid(basin_AIP ~ biome_name) +
labs(title = paste('season:', unique(.x$season),
'| temp extreme:', unique(.x$temp_extreme)),
x = 'OceanSODA temp',
y = 'Argo temp')
)
[[1]]

[[2]]

[[3]]

[[4]]

[[5]]

[[6]]

[[7]]

[[8]]

[[9]]

[[10]]

[[11]]

[[12]]

rm(surface_temp_season)
profile_temp_extreme_season %>%
filter(basin_AIP == 'Atlantic',
biome_name == 'SPSS',
season == 'winter') %>%
arrange(depth) %>%
ggplot(aes(x = temp_mean,
y = depth,
group = temp_extreme,
col = temp_extreme)) +
geom_ribbon(aes(xmax = temp_mean + temp_std,
xmin = temp_mean - temp_std,
group = temp_extreme,
fill = temp_extreme),
col = NA,
alpha = 0.2)+
geom_path() +
scale_color_manual(values = HNL_colors) +
scale_fill_manual(values = HNL_colors) +
labs(title = 'Atlantic basin, SPSS biome, winter',
col = 'OceanSODA\ntemp anomaly \n(mean ± st dev)',
fill = 'OceanSODA\ntemp anomaly \n(mean ± st dev)',
y = 'depth (m)',
x = 'mean Argo temperature (ºC)') +
scale_y_continuous(
trans = trans_reverser("sqrt"),
breaks = c(10, 100, 250, 500, seq(1000, 5000, 500)))

| Version | Author | Date |
|---|---|---|
| 2f4ea7e | ds2n19 | 2023-10-19 |
| 879821d | ds2n19 | 2023-10-18 |
| 4b55c43 | ds2n19 | 2023-10-12 |
| 1ae81b3 | ds2n19 | 2023-10-11 |
| 44f5720 | ds2n19 | 2023-10-09 |
| b917bd0 | jens-daniel-mueller | 2022-05-11 |
| 9875dd0 | pasqualina-vonlanthendinenna | 2022-04-05 |
| 48573c4 | pasqualina-vonlanthendinenna | 2022-03-31 |
| eb8e3be | pasqualina-vonlanthendinenna | 2022-03-31 |
| a2271df | pasqualina-vonlanthendinenna | 2022-03-30 |
| cbb2360 | jens-daniel-mueller | 2022-03-28 |
| fa1b6de | jens-daniel-mueller | 2022-03-28 |
| 8173cdb | jens-daniel-mueller | 2022-03-28 |
| 650ef68 | pasqualina-vonlanthendinenna | 2022-03-18 |
| e12a216 | pasqualina-vonlanthendinenna | 2022-03-15 |
| 1ffe07f | pasqualina-vonlanthendinenna | 2022-03-11 |
| 7540ae4 | pasqualina-vonlanthendinenna | 2022-03-08 |
| e4188d2 | pasqualina-vonlanthendinenna | 2022-03-01 |
| 5ef4df2 | pasqualina-vonlanthendinenna | 2022-03-01 |
profile_temp_extreme_season %>%
filter(basin_AIP == 'Atlantic',
biome_name == 'STSS',
season == 'spring') %>%
arrange(depth) %>%
ggplot(aes(x = temp_mean,
y = depth,
group = temp_extreme,
col = temp_extreme)) +
geom_ribbon(aes(xmax = temp_mean + temp_std,
xmin = temp_mean - temp_std,
group = temp_extreme,
fill = temp_extreme),
col = NA,
alpha = 0.2)+
geom_path() +
scale_color_manual(values = HNL_colors) +
scale_fill_manual(values = HNL_colors) +
labs(title = 'Atlantic basin, STSS biome, spring',
col = 'OceanSODA\ntemp anomaly \n(mean ± st dev)',
fill = 'OceanSODA\ntemp anomaly \n(mean ± st dev)',
y = 'depth (m)',
x = 'mean Argo temperature (ºC)') +
scale_y_continuous(
trans = trans_reverser("sqrt"),
breaks = c(10, 100, 250, 500, seq(1000, 5000, 500)))

| Version | Author | Date |
|---|---|---|
| 2f4ea7e | ds2n19 | 2023-10-19 |
| 879821d | ds2n19 | 2023-10-18 |
| 4b55c43 | ds2n19 | 2023-10-12 |
| 1ae81b3 | ds2n19 | 2023-10-11 |
| 44f5720 | ds2n19 | 2023-10-09 |
| b917bd0 | jens-daniel-mueller | 2022-05-11 |
| 9875dd0 | pasqualina-vonlanthendinenna | 2022-04-05 |
| 48573c4 | pasqualina-vonlanthendinenna | 2022-03-31 |
| eb8e3be | pasqualina-vonlanthendinenna | 2022-03-31 |
| a2271df | pasqualina-vonlanthendinenna | 2022-03-30 |
| 8173cdb | jens-daniel-mueller | 2022-03-28 |
| 650ef68 | pasqualina-vonlanthendinenna | 2022-03-18 |
rm(profile_temp_extreme_season)
profile_temp_extreme_biome_basin_jan <- profile_temp_extreme %>%
filter(month == 1) %>%
group_by(biome_name, basin_AIP, temp_extreme, depth) %>%
summarise(temp_mean = mean(temp_adjusted, na.rm = TRUE),
temp_std = sd(temp_adjusted, na.rm = TRUE)) %>%
ungroup()
profile_temp_extreme_biome_basin_jan %>%
arrange(depth) %>%
ggplot(aes(x = temp_mean,
y = depth)) +
geom_ribbon(aes(xmin = temp_mean - temp_std,
xmax = temp_mean + temp_std,
fill = temp_extreme),
alpha = 0.2)+
geom_path(aes(x = temp_mean,
col = temp_extreme))+
facet_grid(basin_AIP~biome_name)+
scale_color_manual(values = HNL_colors) +
scale_fill_manual(values = HNL_colors)+
labs(title = "Basin-Mayot biome-mean January profiles",
col = 'OceanSODA\ntemp anomaly \n(mean ± st dev)',
fill = 'OceanSODA\ntemp anomaly \n(mean ± st dev)',
y = 'depth (m)',
x = 'mean Argo temperature (ºC)') +
scale_y_continuous(trans = trans_reverser("sqrt"),
breaks = c(10, 100, 250, 500, seq(1000, 5000, 500)))
Plot the H/L/N profiles as anomalies relative to the CSIO-MNR Argo temperature climatology
profile_temp_extreme_binned <- profile_temp_extreme %>%
group_by(lon, lat, year, month, platform_cycle,
biome_name, basin_AIP, temp_extreme,
depth) %>%
summarize(temp_adjusted_binned = mean(temp_adjusted, na.rm = TRUE)) %>%
ungroup()
boa_temp_clim <- read_rds(file = paste0(path_argo_preprocessed, '/boa_temp_clim.rds'))
# compatibility with profile_temp_extreme_jan
boa_temp_clim_SO <- boa_temp_clim %>%
filter(lat <= -30) %>%
mutate(depth_boa = depth)
# grid average climatological temp into the argo depth bins
boa_temp_clim_SO <- boa_temp_clim_SO %>%
mutate(
depth = cut(
depth_boa,
breaks = c(0, 10, 20, 30, 50, 70, 100, 300, 500, 800, 1000, 1500, 2000),
include.lowest = TRUE,
labels = as.factor(unique(profile_temp_extreme$depth))[1:12]
),
depth = as.numeric(as.character(depth))
)
# calculate mean climatological pH per depth bin
boa_temp_clim_SO_binned <- boa_temp_clim_SO %>%
group_by(lon, lat, depth, month) %>%
summarise(clim_temp_binned = mean(clim_temp, na.rm = TRUE)) %>%
ungroup()
# join climatology and ARGO profiles
remove_clim <- inner_join(profile_temp_extreme_binned,
boa_temp_clim_SO_binned)
Points are the climatological temperature, lines are the depth-binned Argo profiles colored by H/N/L classification
remove_clim %>%
group_split(biome_name, basin_AIP, year) %>%
head(6) %>%
map(
~ ggplot() +
geom_path(
data = .x %>%
filter(temp_extreme == 'N'),
aes(
x = temp_adjusted_binned,
y = depth,
group = platform_cycle,
col = temp_extreme
),
size = 0.3
) +
geom_path(
data = .x %>%
filter(temp_extreme == 'H' | temp_extreme == 'L'),
aes(
x = temp_adjusted_binned,
y = depth,
group = platform_cycle,
col = temp_extreme
),
size = 0.5
) +
geom_point(
data = .x,
aes(x = clim_temp_binned,
y = depth,
col = temp_extreme),
size = 0.5
) +
scale_y_reverse() +
scale_color_manual(values = HNL_colors) +
labs(
x = 'Argo temperature (ºC)',
y = 'depth (m)',
title = paste(
"Biome:",
unique(.x$biome_name),
"| basin:",
unique(.x$basin_AIP),
" | ",
unique(.x$year)
),
col = 'OceanSODA temp \nanomaly'
)
)
[[1]]

| Version | Author | Date |
|---|---|---|
| 2f4ea7e | ds2n19 | 2023-10-19 |
| 879821d | ds2n19 | 2023-10-18 |
| 4b55c43 | ds2n19 | 2023-10-12 |
| 1ae81b3 | ds2n19 | 2023-10-11 |
| 44f5720 | ds2n19 | 2023-10-09 |
| b917bd0 | jens-daniel-mueller | 2022-05-11 |
| e61c08e | pasqualina-vonlanthendinenna | 2022-04-27 |
| f5f6b3f | pasqualina-vonlanthendinenna | 2022-04-14 |
| 9875dd0 | pasqualina-vonlanthendinenna | 2022-04-05 |
| 48573c4 | pasqualina-vonlanthendinenna | 2022-03-31 |
| eb8e3be | pasqualina-vonlanthendinenna | 2022-03-31 |
| 749e005 | jens-daniel-mueller | 2022-03-28 |
| 8173cdb | jens-daniel-mueller | 2022-03-28 |
| 7f5c5c6 | pasqualina-vonlanthendinenna | 2022-03-25 |
| d9caaae | pasqualina-vonlanthendinenna | 2022-03-22 |
[[2]]

| Version | Author | Date |
|---|---|---|
| 2f4ea7e | ds2n19 | 2023-10-19 |
| 879821d | ds2n19 | 2023-10-18 |
| 4b55c43 | ds2n19 | 2023-10-12 |
| 1ae81b3 | ds2n19 | 2023-10-11 |
| 44f5720 | ds2n19 | 2023-10-09 |
| b917bd0 | jens-daniel-mueller | 2022-05-11 |
| e61c08e | pasqualina-vonlanthendinenna | 2022-04-27 |
| f5f6b3f | pasqualina-vonlanthendinenna | 2022-04-14 |
| 9875dd0 | pasqualina-vonlanthendinenna | 2022-04-05 |
| 48573c4 | pasqualina-vonlanthendinenna | 2022-03-31 |
| 749e005 | jens-daniel-mueller | 2022-03-28 |
| 8173cdb | jens-daniel-mueller | 2022-03-28 |
| 7f5c5c6 | pasqualina-vonlanthendinenna | 2022-03-25 |
| d9caaae | pasqualina-vonlanthendinenna | 2022-03-22 |
[[3]]

| Version | Author | Date |
|---|---|---|
| 2f4ea7e | ds2n19 | 2023-10-19 |
| 879821d | ds2n19 | 2023-10-18 |
| 4b55c43 | ds2n19 | 2023-10-12 |
| 1ae81b3 | ds2n19 | 2023-10-11 |
| 44f5720 | ds2n19 | 2023-10-09 |
| b917bd0 | jens-daniel-mueller | 2022-05-11 |
| e61c08e | pasqualina-vonlanthendinenna | 2022-04-27 |
| f5f6b3f | pasqualina-vonlanthendinenna | 2022-04-14 |
| 9875dd0 | pasqualina-vonlanthendinenna | 2022-04-05 |
| 48573c4 | pasqualina-vonlanthendinenna | 2022-03-31 |
| 749e005 | jens-daniel-mueller | 2022-03-28 |
| 8173cdb | jens-daniel-mueller | 2022-03-28 |
| 7f5c5c6 | pasqualina-vonlanthendinenna | 2022-03-25 |
| d9caaae | pasqualina-vonlanthendinenna | 2022-03-22 |
[[4]]

| Version | Author | Date |
|---|---|---|
| 2f4ea7e | ds2n19 | 2023-10-19 |
| 879821d | ds2n19 | 2023-10-18 |
| 4b55c43 | ds2n19 | 2023-10-12 |
| 1ae81b3 | ds2n19 | 2023-10-11 |
| 44f5720 | ds2n19 | 2023-10-09 |
| b917bd0 | jens-daniel-mueller | 2022-05-11 |
| e61c08e | pasqualina-vonlanthendinenna | 2022-04-27 |
| f5f6b3f | pasqualina-vonlanthendinenna | 2022-04-14 |
| 9875dd0 | pasqualina-vonlanthendinenna | 2022-04-05 |
| 48573c4 | pasqualina-vonlanthendinenna | 2022-03-31 |
| eb8e3be | pasqualina-vonlanthendinenna | 2022-03-31 |
| 749e005 | jens-daniel-mueller | 2022-03-28 |
| 8173cdb | jens-daniel-mueller | 2022-03-28 |
| 7f5c5c6 | pasqualina-vonlanthendinenna | 2022-03-25 |
| d9caaae | pasqualina-vonlanthendinenna | 2022-03-22 |
[[5]]

| Version | Author | Date |
|---|---|---|
| 2f4ea7e | ds2n19 | 2023-10-19 |
| 879821d | ds2n19 | 2023-10-18 |
| 4b55c43 | ds2n19 | 2023-10-12 |
| 1ae81b3 | ds2n19 | 2023-10-11 |
| 44f5720 | ds2n19 | 2023-10-09 |
| b917bd0 | jens-daniel-mueller | 2022-05-11 |
| e61c08e | pasqualina-vonlanthendinenna | 2022-04-27 |
| f5f6b3f | pasqualina-vonlanthendinenna | 2022-04-14 |
| 9875dd0 | pasqualina-vonlanthendinenna | 2022-04-05 |
| 48573c4 | pasqualina-vonlanthendinenna | 2022-03-31 |
| 749e005 | jens-daniel-mueller | 2022-03-28 |
| 8173cdb | jens-daniel-mueller | 2022-03-28 |
| 7f5c5c6 | pasqualina-vonlanthendinenna | 2022-03-25 |
| d9caaae | pasqualina-vonlanthendinenna | 2022-03-22 |
[[6]]

| Version | Author | Date |
|---|---|---|
| 2f4ea7e | ds2n19 | 2023-10-19 |
| 879821d | ds2n19 | 2023-10-18 |
| 4b55c43 | ds2n19 | 2023-10-12 |
| 1ae81b3 | ds2n19 | 2023-10-11 |
| 44f5720 | ds2n19 | 2023-10-09 |
| b917bd0 | jens-daniel-mueller | 2022-05-11 |
| e61c08e | pasqualina-vonlanthendinenna | 2022-04-27 |
| f5f6b3f | pasqualina-vonlanthendinenna | 2022-04-14 |
| 9875dd0 | pasqualina-vonlanthendinenna | 2022-04-05 |
| 48573c4 | pasqualina-vonlanthendinenna | 2022-03-31 |
| 749e005 | jens-daniel-mueller | 2022-03-28 |
| 8173cdb | jens-daniel-mueller | 2022-03-28 |
| 7f5c5c6 | pasqualina-vonlanthendinenna | 2022-03-25 |
| d9caaae | pasqualina-vonlanthendinenna | 2022-03-22 |
# calculate the difference between the binned climatological argo and in-situ argo for each depth level and grid cell
remove_clim <- remove_clim %>%
mutate(argo_temp_anomaly = temp_adjusted_binned - clim_temp_binned,
season = case_when(
between(month, 3, 5) ~ 'autumn',
between(month, 6, 8) ~ 'winter',
between(month, 9, 11) ~ 'spring',
month == 12 | 1 | 2 ~ 'summer'),
season_order = case_when(
between(month, 3, 5) ~ 2,
between(month, 6, 8) ~ 3,
between(month, 9, 11) ~ 4,
month == 12 | 1 | 2 ~ 1
)
)
remove_clim %>%
group_split(month) %>%
#head(6) %>%
map(
~ggplot()+
geom_path(data = .x %>% filter(temp_extreme == 'N'),
aes(x = argo_temp_anomaly,
y = depth,
group = platform_cycle,
col = temp_extreme),
size = 0.2)+
geom_path(data = .x %>% filter(temp_extreme == 'H'| temp_extreme == 'L'),
aes(x = argo_temp_anomaly,
y = depth,
group = platform_cycle,
col = temp_extreme),
size = 0.3)+
geom_vline(xintercept = 0)+
scale_y_continuous(trans = trans_reverser("sqrt"),
breaks = c(10, 100, 250, 500, seq(1000, 5000, 500)))+
scale_color_manual(values = HNL_colors)+
scale_fill_manual(values = HNL_colors)+
facet_grid(basin_AIP~biome_name)+
labs(title = paste0('month: ', unique(.x$month)))
)
[[1]]

[[2]]

[[3]]

[[4]]

[[5]]

[[6]]

[[7]]

[[8]]

[[9]]

[[10]]

[[11]]

[[12]]

remove_clim_overall_mean <- remove_clim %>%
group_by(temp_extreme, depth) %>%
summarise(temp_anomaly_mean = mean(argo_temp_anomaly, na.rm = TRUE),
temp_anomaly_sd = sd(argo_temp_anomaly, na.rm = TRUE))
remove_clim_overall_mean %>%
ggplot()+
geom_path(aes(x = temp_anomaly_mean,
y = depth,
group = temp_extreme,
col = temp_extreme))+
geom_ribbon(aes(xmax = temp_anomaly_mean + temp_anomaly_sd,
xmin = temp_anomaly_mean - temp_anomaly_sd,
y = depth,
group = temp_extreme,
fill = temp_extreme),
col = NA,
alpha = 0.2)+
geom_vline(xintercept = 0)+
scale_y_continuous(trans = trans_reverser("sqrt"),
breaks = c(10, 100, 250, 500, seq(1000, 5000, 500)))+
scale_color_manual(values = HNL_colors)+
scale_fill_manual(values = HNL_colors)+
geom_text(data = profile_temp_count_mean[2,],
aes(x = -4.0,
y = 1200,
label = paste0(n),
col = temp_extreme),
size = 6)+
geom_text(data = profile_temp_count_mean[1,],
aes(x = -4.0,
y = 1400,
label = paste0(n),
col = temp_extreme),
size = 6)+
geom_text(data = profile_temp_count_mean[3,],
aes(x = -4.0,
y = 1600,
label = paste0(n),
col = temp_extreme),
size = 6)+
coord_cartesian(xlim = c(-4.5, 4.5))+
scale_x_continuous(breaks = c(-4, -2, 0, 2, 4))+
labs(title = 'Overall mean anomaly profiles')

| Version | Author | Date |
|---|---|---|
| 15c1d68 | ds2n19 | 2023-10-19 |
| 2f4ea7e | ds2n19 | 2023-10-19 |
| 879821d | ds2n19 | 2023-10-18 |
| 7004f76 | ds2n19 | 2023-10-17 |
| 4b55c43 | ds2n19 | 2023-10-12 |
| 1ae81b3 | ds2n19 | 2023-10-11 |
| 44f5720 | ds2n19 | 2023-10-09 |
| b917bd0 | jens-daniel-mueller | 2022-05-11 |
| 708f923 | pasqualina-vonlanthendinenna | 2022-05-04 |
| e61c08e | pasqualina-vonlanthendinenna | 2022-04-27 |
| f5f6b3f | pasqualina-vonlanthendinenna | 2022-04-14 |
| 9875dd0 | pasqualina-vonlanthendinenna | 2022-04-05 |
| 48573c4 | pasqualina-vonlanthendinenna | 2022-03-31 |
| eb8e3be | pasqualina-vonlanthendinenna | 2022-03-31 |
| a2271df | pasqualina-vonlanthendinenna | 2022-03-30 |
| cbb2360 | jens-daniel-mueller | 2022-03-28 |
| fa1b6de | jens-daniel-mueller | 2022-03-28 |
| 749e005 | jens-daniel-mueller | 2022-03-28 |
| 8173cdb | jens-daniel-mueller | 2022-03-28 |
| 7f5c5c6 | pasqualina-vonlanthendinenna | 2022-03-25 |
| d9caaae | pasqualina-vonlanthendinenna | 2022-03-22 |
rm(remove_clim_overall_mean, profile_temp_count_mean)
remove_clim_biome_mean <- remove_clim %>%
group_by(temp_extreme, depth, season_order, season, biome_name) %>%
summarise(temp_anomaly_mean = mean(argo_temp_anomaly, na.rm = TRUE),
temp_anomaly_sd = sd(argo_temp_anomaly, na.rm = TRUE))
remove_clim_biome_mean %>%
ggplot(aes(x = temp_anomaly_mean,
y = depth,
group = temp_extreme,
col = temp_extreme))+
geom_path()+
geom_ribbon(aes(xmax = temp_anomaly_mean + temp_anomaly_sd,
xmin = temp_anomaly_mean - temp_anomaly_sd,
group = temp_extreme,
fill = temp_extreme),
col = NA,
alpha = 0.2)+
geom_vline(xintercept = 0)+
scale_y_continuous(trans = trans_reverser("sqrt"),
breaks = c(10, 100, 250, 500, seq(1000, 5000, 500)))+
scale_fill_manual(values = HNL_colors)+
scale_color_manual(values = HNL_colors)+
labs(title = 'Biome-mean anomaly profiles')+
geom_text(data = profile_temp_count_biome %>% filter (temp_extreme == 'N'),
aes(x = -4,
y = 800,
label = paste0(n),
col = temp_extreme),
size = 4)+
geom_text(data = profile_temp_count_biome %>% filter (temp_extreme == 'H'),
aes(x = -4,
y = 1200,
label = paste0(n),
col = temp_extreme),
size = 4)+
geom_text(data = profile_temp_count_biome %>% filter (temp_extreme == 'L'),
aes(x = -4,
y = 1600,
label = paste0(n),
col = temp_extreme),
size = 4)+
coord_cartesian(xlim = c(-4.5, 4.5))+
scale_x_continuous(breaks = c(-4, -2, 0, 2, 4))+
facet_grid(season_order~biome_name, labeller = facet_label)

| Version | Author | Date |
|---|---|---|
| 15c1d68 | ds2n19 | 2023-10-19 |
| 2f4ea7e | ds2n19 | 2023-10-19 |
| 879821d | ds2n19 | 2023-10-18 |
| 7004f76 | ds2n19 | 2023-10-17 |
| 4b55c43 | ds2n19 | 2023-10-12 |
| 1ae81b3 | ds2n19 | 2023-10-11 |
| 44f5720 | ds2n19 | 2023-10-09 |
| b917bd0 | jens-daniel-mueller | 2022-05-11 |
| 6572988 | pasqualina-vonlanthendinenna | 2022-05-04 |
| 708f923 | pasqualina-vonlanthendinenna | 2022-05-04 |
| e61c08e | pasqualina-vonlanthendinenna | 2022-04-27 |
| f5f6b3f | pasqualina-vonlanthendinenna | 2022-04-14 |
| 9875dd0 | pasqualina-vonlanthendinenna | 2022-04-05 |
| 48573c4 | pasqualina-vonlanthendinenna | 2022-03-31 |
| eb8e3be | pasqualina-vonlanthendinenna | 2022-03-31 |
| a2271df | pasqualina-vonlanthendinenna | 2022-03-30 |
| cbb2360 | jens-daniel-mueller | 2022-03-28 |
| fa1b6de | jens-daniel-mueller | 2022-03-28 |
| 749e005 | jens-daniel-mueller | 2022-03-28 |
| 8173cdb | jens-daniel-mueller | 2022-03-28 |
| 7f5c5c6 | pasqualina-vonlanthendinenna | 2022-03-25 |
| d9caaae | pasqualina-vonlanthendinenna | 2022-03-22 |
rm(remove_clim_biome_mean, profile_temp_count_biome)
remove_clim_basin_mean <- remove_clim %>%
group_by(basin_AIP, temp_extreme, depth, season_order, season) %>%
summarise(temp_anomaly_mean = mean(argo_temp_anomaly, na.rm = TRUE),
temp_anomaly_sd = sd(argo_temp_anomaly, na.rm = TRUE))
remove_clim_basin_mean %>%
ggplot(aes(x = temp_anomaly_mean,
y = depth,
group = temp_extreme,
col = temp_extreme))+
geom_path()+
geom_ribbon(aes(xmax = temp_anomaly_mean + temp_anomaly_sd,
xmin = temp_anomaly_mean - temp_anomaly_sd,
group = temp_extreme,
fill = temp_extreme),
col = NA,
alpha = 0.2)+
geom_vline(xintercept = 0)+
facet_grid(season~basin_AIP)+
scale_y_continuous(trans = trans_reverser("sqrt"),
breaks = c(10, 100, 250, 500, seq(1000, 5000, 500)))+
scale_color_manual(values = HNL_colors)+
scale_fill_manual(values = HNL_colors)+
# geom_text_repel(data = profile_temp_count_basin,
# aes(x = 2,
# y = 1500,
# label = paste0(n),
# col = temp_extreme),
# size = 4,
# segment.color = 'transparent')+
geom_text(data = profile_temp_count_basin %>% filter (temp_extreme == 'N'),
aes(x = -4,
y = 800,
label = paste0(n),
col = temp_extreme),
size = 4)+
geom_text(data = profile_temp_count_basin %>% filter (temp_extreme == 'H'),
aes(x = -4,
y = 1200,
label = paste0(n),
col = temp_extreme),
size = 4)+
geom_text(data = profile_temp_count_basin %>% filter (temp_extreme == 'L'),
aes(x = -4,
y = 1600,
label = paste0(n),
col = temp_extreme),
size = 4)+
coord_cartesian(xlim = c(-4.5, 4.5))+
scale_x_continuous(breaks = c(-4, -2, 0, 2, 4))+
labs(title = 'Basin-mean anomaly profiles')

| Version | Author | Date |
|---|---|---|
| 15c1d68 | ds2n19 | 2023-10-19 |
| 2f4ea7e | ds2n19 | 2023-10-19 |
| 879821d | ds2n19 | 2023-10-18 |
| 7004f76 | ds2n19 | 2023-10-17 |
| 4b55c43 | ds2n19 | 2023-10-12 |
| 1ae81b3 | ds2n19 | 2023-10-11 |
| 44f5720 | ds2n19 | 2023-10-09 |
| b917bd0 | jens-daniel-mueller | 2022-05-11 |
| 708f923 | pasqualina-vonlanthendinenna | 2022-05-04 |
| e61c08e | pasqualina-vonlanthendinenna | 2022-04-27 |
| f5f6b3f | pasqualina-vonlanthendinenna | 2022-04-14 |
| 9875dd0 | pasqualina-vonlanthendinenna | 2022-04-05 |
| 48573c4 | pasqualina-vonlanthendinenna | 2022-03-31 |
| eb8e3be | pasqualina-vonlanthendinenna | 2022-03-31 |
| a2271df | pasqualina-vonlanthendinenna | 2022-03-30 |
| cbb2360 | jens-daniel-mueller | 2022-03-28 |
| fa1b6de | jens-daniel-mueller | 2022-03-28 |
| 749e005 | jens-daniel-mueller | 2022-03-28 |
| 8173cdb | jens-daniel-mueller | 2022-03-28 |
| 7f5c5c6 | pasqualina-vonlanthendinenna | 2022-03-25 |
| d9caaae | pasqualina-vonlanthendinenna | 2022-03-22 |
rm(remove_clim_basin_mean, profile_temp_count_basin)
remove_clim_basin_biome_mean <- remove_clim %>%
group_by(basin_AIP, biome_name, temp_extreme, season_order, season, depth) %>%
summarise(temp_anomaly_mean = mean(argo_temp_anomaly, na.rm = TRUE),
temp_anomaly_sd = sd(argo_temp_anomaly, na.rm = TRUE))
remove_clim_basin_biome_mean %>%
group_by(season_order) %>%
group_split(season_order) %>%
map(
~ggplot(data = .x,
aes(x = temp_anomaly_mean,
y = depth,
group = temp_extreme,
col = temp_extreme))+
geom_path()+
geom_ribbon(data = .x,
aes(xmax = temp_anomaly_mean + temp_anomaly_sd,
xmin = temp_anomaly_mean - temp_anomaly_sd,
group = temp_extreme,
fill = temp_extreme),
col = NA,
alpha = 0.2)+
geom_vline(xintercept = 0)+
facet_grid(basin_AIP~biome_name)+
scale_y_continuous(trans = trans_reverser("sqrt"),
breaks = c(10, 100, 250, 500, seq(1000, 5000, 500)))+
scale_color_manual(values = HNL_colors)+
scale_fill_manual(values = HNL_colors)+
# geom_text_repel(data = profile_temp_count_season,
# aes(x = 1,
# y = 1400,
# label = paste0(n),
# col = temp_extreme,
# group = temp_extreme),
# size = 4,
# segment.color = 'transparent')+
geom_text(data = profile_temp_count_season %>% filter (temp_extreme == 'N' & season == unique(.x$season)),
aes(x = -4,
y = 800,
label = paste0(n),
col = temp_extreme),
size = 4)+
geom_text(data = profile_temp_count_season %>% filter (temp_extreme == 'H' & season == unique(.x$season)),
aes(x = -4,
y = 1200,
label = paste0(n),
col = temp_extreme),
size = 4)+
geom_text(data = profile_temp_count_season %>% filter (temp_extreme == 'L' & season == unique(.x$season)),
aes(x = -4,
y = 1600,
label = paste0(n),
col = temp_extreme),
size = 4)+
coord_cartesian(xlim = c(-4.5, 4.5))+
scale_x_continuous(breaks = c(-4, -2, 0, 2, 4))+
labs(title = paste0('biome-basin mean anomaly profiles ', unique(.x$season)))
)
[[1]]

| Version | Author | Date |
|---|---|---|
| 15c1d68 | ds2n19 | 2023-10-19 |
| 2f4ea7e | ds2n19 | 2023-10-19 |
| 879821d | ds2n19 | 2023-10-18 |
| 7004f76 | ds2n19 | 2023-10-17 |
| 4b55c43 | ds2n19 | 2023-10-12 |
| 1ae81b3 | ds2n19 | 2023-10-11 |
| 44f5720 | ds2n19 | 2023-10-09 |
| b917bd0 | jens-daniel-mueller | 2022-05-11 |
| e61c08e | pasqualina-vonlanthendinenna | 2022-04-27 |
| f5f6b3f | pasqualina-vonlanthendinenna | 2022-04-14 |
| 9875dd0 | pasqualina-vonlanthendinenna | 2022-04-05 |
| 48573c4 | pasqualina-vonlanthendinenna | 2022-03-31 |
| eb8e3be | pasqualina-vonlanthendinenna | 2022-03-31 |
| a2271df | pasqualina-vonlanthendinenna | 2022-03-30 |
| cbb2360 | jens-daniel-mueller | 2022-03-28 |
| fa1b6de | jens-daniel-mueller | 2022-03-28 |
| 749e005 | jens-daniel-mueller | 2022-03-28 |
[[2]]

| Version | Author | Date |
|---|---|---|
| 15c1d68 | ds2n19 | 2023-10-19 |
| 2f4ea7e | ds2n19 | 2023-10-19 |
| 879821d | ds2n19 | 2023-10-18 |
| 7004f76 | ds2n19 | 2023-10-17 |
| 4b55c43 | ds2n19 | 2023-10-12 |
| 1ae81b3 | ds2n19 | 2023-10-11 |
| 44f5720 | ds2n19 | 2023-10-09 |
| b917bd0 | jens-daniel-mueller | 2022-05-11 |
| e61c08e | pasqualina-vonlanthendinenna | 2022-04-27 |
| f5f6b3f | pasqualina-vonlanthendinenna | 2022-04-14 |
[[3]]

| Version | Author | Date |
|---|---|---|
| 2f4ea7e | ds2n19 | 2023-10-19 |
| 879821d | ds2n19 | 2023-10-18 |
| 7004f76 | ds2n19 | 2023-10-17 |
| 4b55c43 | ds2n19 | 2023-10-12 |
| 1ae81b3 | ds2n19 | 2023-10-11 |
| 44f5720 | ds2n19 | 2023-10-09 |
| b917bd0 | jens-daniel-mueller | 2022-05-11 |
| e61c08e | pasqualina-vonlanthendinenna | 2022-04-27 |
| f5f6b3f | pasqualina-vonlanthendinenna | 2022-04-14 |
[[4]]

| Version | Author | Date |
|---|---|---|
| 2f4ea7e | ds2n19 | 2023-10-19 |
| 879821d | ds2n19 | 2023-10-18 |
| 7004f76 | ds2n19 | 2023-10-17 |
| 4b55c43 | ds2n19 | 2023-10-12 |
| 1ae81b3 | ds2n19 | 2023-10-11 |
| 44f5720 | ds2n19 | 2023-10-09 |
| b917bd0 | jens-daniel-mueller | 2022-05-11 |
| e61c08e | pasqualina-vonlanthendinenna | 2022-04-27 |
| f5f6b3f | pasqualina-vonlanthendinenna | 2022-04-14 |
rm(remove_clim_basin_biome_mean, profile_temp_count_season)
all_profile_temp_extreme <- inner_join(
argo_temp %>%
select(c(year, month, date, lon, lat, depth,
temp_adjusted,
platform_number,
cycle_number)), # 567 327 obs
OceanSODA_temp_SO_extreme_grid %>%
select(c(year, month, date, lon, lat,
OceanSODA_temp, temp_extreme,
clim_temp, clim_diff,
basin_AIP, biome_name)))
all_profile_temp_extreme <- profile_temp_extreme %>%
unite('platform_cycle', platform_number:cycle_number, sep = '_', remove = FALSE)
OceanSODA_temp_SO_extreme_grid %>%
group_split(month) %>%
# head(1) %>%
map(
~ map +
geom_tile(
data = .x,
aes(x = lon,
y = lat,
fill = temp_extreme),
alpha = 0.5
) +
scale_fill_manual(values = HNL_colors_map) +
new_scale_fill() +
geom_tile(
data = all_profile_temp_extreme %>%
distinct(lon, lat, platform_cycle, year, month),
aes(
x = lon,
y = lat,
fill = 'argo\nprofiles',
height = 1,
width = 1
),
alpha = 0.5
) +
scale_fill_manual(values = "springgreen4",
name = "") +
facet_wrap(~ year, ncol = 1) +
lims(y = c(-85, -30)) +
labs(title = paste('month:', unique(.x$month))
)
)
[[1]]

[[2]]

[[3]]

[[4]]

[[5]]

[[6]]

[[7]]

[[8]]

[[9]]

[[10]]

[[11]]

[[12]]

sessionInfo()
R version 4.2.2 (2022-10-31)
Platform: x86_64-pc-linux-gnu (64-bit)
Running under: openSUSE Leap 15.4
Matrix products: default
BLAS: /usr/local/R-4.2.2/lib64/R/lib/libRblas.so
LAPACK: /usr/local/R-4.2.2/lib64/R/lib/libRlapack.so
locale:
[1] LC_CTYPE=en_US.UTF-8 LC_NUMERIC=C
[3] LC_TIME=en_US.UTF-8 LC_COLLATE=en_US.UTF-8
[5] LC_MONETARY=en_US.UTF-8 LC_MESSAGES=en_US.UTF-8
[7] LC_PAPER=en_US.UTF-8 LC_NAME=C
[9] LC_ADDRESS=C LC_TELEPHONE=C
[11] LC_MEASUREMENT=en_US.UTF-8 LC_IDENTIFICATION=C
attached base packages:
[1] stats graphics grDevices utils datasets methods base
other attached packages:
[1] ggnewscale_0.4.8 ggrepel_0.9.2 oce_1.7-10 gsw_1.1-1
[5] ggforce_0.4.1 metR_0.13.0 scico_1.3.1 ggOceanMaps_1.3.4
[9] ggspatial_1.1.7 broom_1.0.1 lubridate_1.9.0 timechange_0.1.1
[13] forcats_0.5.2 stringr_1.4.1 dplyr_1.0.10 purrr_0.3.5
[17] readr_2.1.3 tidyr_1.2.1 tibble_3.1.8 ggplot2_3.4.0
[21] tidyverse_1.3.2
loaded via a namespace (and not attached):
[1] googledrive_2.0.0 colorspace_2.0-3 deldir_1.0-6
[4] ellipsis_0.3.2 class_7.3-20 rprojroot_2.0.3
[7] htmlTable_2.4.1 base64enc_0.1-3 fs_1.5.2
[10] rstudioapi_0.14 proxy_0.4-27 farver_2.1.1
[13] bit64_4.0.5 fansi_1.0.3 xml2_1.3.3
[16] splines_4.2.2 codetools_0.2-18 cachem_1.0.6
[19] knitr_1.41 polyclip_1.10-4 Formula_1.2-4
[22] jsonlite_1.8.3 workflowr_1.7.0 cluster_2.1.4
[25] dbplyr_2.2.1 png_0.1-8 rgeos_0.5-9
[28] compiler_4.2.2 httr_1.4.4 backports_1.4.1
[31] Matrix_1.5-3 assertthat_0.2.1 fastmap_1.1.0
[34] gargle_1.2.1 cli_3.4.1 later_1.3.0
[37] tweenr_2.0.2 htmltools_0.5.3 tools_4.2.2
[40] gtable_0.3.1 glue_1.6.2 Rcpp_1.0.10
[43] cellranger_1.1.0 jquerylib_0.1.4 raster_3.6-11
[46] vctrs_0.5.1 xfun_0.35 rvest_1.0.3
[49] lifecycle_1.0.3 googlesheets4_1.0.1 terra_1.7-39
[52] MASS_7.3-58.1 scales_1.2.1 vroom_1.6.0
[55] hms_1.1.2 promises_1.2.0.1 parallel_4.2.2
[58] RColorBrewer_1.1-3 yaml_2.3.6 gridExtra_2.3
[61] memoise_2.0.1 sass_0.4.4 rpart_4.1.19
[64] latticeExtra_0.6-30 stringi_1.7.8 highr_0.9
[67] e1071_1.7-12 checkmate_2.1.0 rlang_1.1.1
[70] pkgconfig_2.0.3 evaluate_0.18 lattice_0.20-45
[73] sf_1.0-9 htmlwidgets_1.5.4 labeling_0.4.2
[76] bit_4.0.5 tidyselect_1.2.0 magrittr_2.0.3
[79] R6_2.5.1 Hmisc_4.7-2 generics_0.1.3
[82] DBI_1.1.3 foreign_0.8-83 pillar_1.8.1
[85] haven_2.5.1 whisker_0.4 withr_2.5.0
[88] units_0.8-0 nnet_7.3-18 survival_3.4-0
[91] sp_1.5-1 modelr_0.1.10 crayon_1.5.2
[94] interp_1.1-3 KernSmooth_2.23-20 utf8_1.2.2
[97] tzdb_0.3.0 rmarkdown_2.18 jpeg_0.1-10
[100] grid_4.2.2 readxl_1.4.1 data.table_1.14.6
[103] git2r_0.30.1 reprex_2.0.2 digest_0.6.30
[106] classInt_0.4-8 httpuv_1.6.6 munsell_0.5.0
[109] viridisLite_0.4.1 bslib_0.4.1