Last updated: 2022-05-05
Checks: 7 0
Knit directory: bgc_argo_r_argodata/
This reproducible R Markdown analysis was created with workflowr (version 1.7.0). The Checks tab describes the reproducibility checks that were applied when the results were created. The Past versions tab lists the development history.
Great! Since the R Markdown file has been committed to the Git repository, you know the exact version of the code that produced these results.
Great job! The global environment was empty. Objects defined in the global environment can affect the analysis in your R Markdown file in unknown ways. For reproduciblity it’s best to always run the code in an empty environment.
The command set.seed(20211008) was run prior to running the code in the R Markdown file. Setting a seed ensures that any results that rely on randomness, e.g. subsampling or permutations, are reproducible.
Great job! Recording the operating system, R version, and package versions is critical for reproducibility.
Nice! There were no cached chunks for this analysis, so you can be confident that you successfully produced the results during this run.
Great job! Using relative paths to the files within your workflowr project makes it easier to run your code on other machines.
Great! You are using Git for version control. Tracking code development and connecting the code version to the results is critical for reproducibility.
The results in this page were generated with repository version bb146f4. See the Past versions tab to see a history of the changes made to the R Markdown and HTML files.
Note that you need to be careful to ensure that all relevant files for the analysis have been committed to Git prior to generating the results (you can use wflow_publish or wflow_git_commit). workflowr only checks the R Markdown file, but you know if there are other scripts or data files that it depends on. Below is the status of the Git repository when the results were generated:
Ignored files:
Ignored: .RData
Ignored: .Rhistory
Ignored: .Rproj.user/
Ignored: output/
Untracked files:
Untracked: code/OceanSODA_argo_extremes.R
Untracked: code/creating_dataframe.R
Untracked: code/creating_map.R
Untracked: code/merging_oceanSODA_Argo.R
Untracked: code/pH_data_timeseries.R
Note that any generated files, e.g. HTML, png, CSS, etc., are not included in this status report because it is ok for generated content to have uncommitted changes.
These are the previous versions of the repository in which changes were made to the R Markdown (analysis/extreme_temp.Rmd) and HTML (docs/extreme_temp.html) files. If you’ve configured a remote Git repository (see ?wflow_git_remote), click on the hyperlinks in the table below to view the files as they were in that past version.
| File | Version | Author | Date | Message |
|---|---|---|---|---|
| Rmd | bb146f4 | pasqualina-vonlanthendinenna | 2022-05-05 | updated map colors and plotting |
| html | 4cf88e4 | pasqualina-vonlanthendinenna | 2022-05-05 | Build site. |
| Rmd | 3bde57b | pasqualina-vonlanthendinenna | 2022-05-05 | added argo profile locations |
| html | 2751f13 | pasqualina-vonlanthendinenna | 2022-05-05 | Build site. |
| Rmd | 8e115be | pasqualina-vonlanthendinenna | 2022-05-05 | added argo profile locations |
| html | f46b9da | pasqualina-vonlanthendinenna | 2022-05-05 | Build site. |
| Rmd | ebcc576 | pasqualina-vonlanthendinenna | 2022-05-05 | added argo profile locations |
| html | 6572988 | pasqualina-vonlanthendinenna | 2022-05-04 | Build site. |
| Rmd | 8d56775 | pasqualina-vonlanthendinenna | 2022-05-04 | updated plot labels |
| html | 708f923 | pasqualina-vonlanthendinenna | 2022-05-04 | Build site. |
| Rmd | d569024 | pasqualina-vonlanthendinenna | 2022-05-04 | added number of profiles to plot |
| html | 6a6e874 | pasqualina-vonlanthendinenna | 2022-04-29 | Build site. |
| html | 2d44f8a | pasqualina-vonlanthendinenna | 2022-04-29 | Build site. |
| Rmd | 8b582f0 | pasqualina-vonlanthendinenna | 2022-04-29 | added broullon climatology page, argo locations |
| html | e61c08e | pasqualina-vonlanthendinenna | 2022-04-27 | Build site. |
| Rmd | 9664e0e | pasqualina-vonlanthendinenna | 2022-04-27 | added temp data page, changed double extremes |
| html | 10036ed | pasqualina-vonlanthendinenna | 2022-04-26 | Build site. |
| html | c03dd24 | pasqualina-vonlanthendinenna | 2022-04-20 | Build site. |
| html | f5f6b3f | pasqualina-vonlanthendinenna | 2022-04-14 | Build site. |
| Rmd | c2fa269 | pasqualina-vonlanthendinenna | 2022-04-14 | added full temperature climatology |
| html | 8805f99 | pasqualina-vonlanthendinenna | 2022-04-11 | Build site. |
| Rmd | d21c526 | pasqualina-vonlanthendinenna | 2022-04-11 | cleaned up code |
| Rmd | f3ca885 | pasqualina-vonlanthendinenna | 2022-04-07 | added OceanSODA-Argo SST comparison |
| html | c541171 | pasqualina-vonlanthendinenna | 2022-04-07 | Build site. |
| Rmd | 9437f81 | pasqualina-vonlanthendinenna | 2022-04-07 | cleaned loading data page |
| html | 9875dd0 | pasqualina-vonlanthendinenna | 2022-04-05 | Build site. |
| Rmd | 72a65a7 | pasqualina-vonlanthendinenna | 2022-04-05 | added new biomes to extreme pH |
| html | 48573c4 | pasqualina-vonlanthendinenna | 2022-03-31 | Build site. |
| Rmd | 11915d8 | pasqualina-vonlanthendinenna | 2022-03-31 | loaded in Mayot biomes and Roemmich temp climatology |
| html | eb8e3be | pasqualina-vonlanthendinenna | 2022-03-31 | Build site. |
| Rmd | c4d4031 | pasqualina-vonlanthendinenna | 2022-03-31 | extended OceanSODA to 1995 for extreme detection |
| html | a2271df | pasqualina-vonlanthendinenna | 2022-03-30 | Build site. |
| Rmd | 25d5eed | pasqualina-vonlanthendinenna | 2022-03-30 | updated figure aspects |
| html | dfd75e9 | pasqualina-vonlanthendinenna | 2022-03-29 | Build site. |
| Rmd | b9a42f9 | pasqualina-vonlanthendinenna | 2022-03-29 | added january plots and changed pH anomaly detection to mean |
| html | 65e609a | pasqualina-vonlanthendinenna | 2022-03-28 | Build site. |
| Rmd | a22e2f4 | pasqualina-vonlanthendinenna | 2022-03-28 | re-build extreme temp page |
| html | cbb2360 | jens-daniel-mueller | 2022-03-28 | Build site. |
| Rmd | c07ce42 | jens-daniel-mueller | 2022-03-28 | rerun with mean instead of lm anomaly detection |
| html | fa1b6de | jens-daniel-mueller | 2022-03-28 | Build site. |
| Rmd | c53aa88 | jens-daniel-mueller | 2022-03-28 | rerun with lm instead of mean anomaly detection |
| html | 749e005 | jens-daniel-mueller | 2022-03-28 | Build site. |
| Rmd | 9ed3727 | jens-daniel-mueller | 2022-03-28 | cleaned code |
| html | 8173cdb | jens-daniel-mueller | 2022-03-28 | Build site. |
| Rmd | d7e3599 | jens-daniel-mueller | 2022-03-28 | reviewed depth binning for profile averaging |
| html | f27d454 | pasqualina-vonlanthendinenna | 2022-03-25 | Build site. |
| Rmd | b9c4426 | pasqualina-vonlanthendinenna | 2022-03-25 | read in temp climatology in loading data |
| html | 7f5c5c6 | pasqualina-vonlanthendinenna | 2022-03-25 | Build site. |
| Rmd | becbfe0 | pasqualina-vonlanthendinenna | 2022-03-25 | corrected anomaly profile calculation |
| html | 27a52f8 | pasqualina-vonlanthendinenna | 2022-03-25 | Build site. |
| Rmd | a6aad60 | pasqualina-vonlanthendinenna | 2022-03-25 | added january anomaly profiles for each year |
| html | 6dd0945 | pasqualina-vonlanthendinenna | 2022-03-25 | Build site. |
| html | d9caaae | pasqualina-vonlanthendinenna | 2022-03-22 | Build site. |
| Rmd | 9daebcf | pasqualina-vonlanthendinenna | 2022-03-22 | removed climatology from temperature profiles (anomaly profiles section) |
| html | 5e36bb4 | pasqualina-vonlanthendinenna | 2022-03-18 | Build site. |
| Rmd | 44a9ba6 | pasqualina-vonlanthendinenna | 2022-03-18 | removed eval false from anomaly maps |
| html | 650ef68 | pasqualina-vonlanthendinenna | 2022-03-18 | Build site. |
| Rmd | 792f3f0 | pasqualina-vonlanthendinenna | 2022-03-18 | removed climatology from oceansoda temperature |
| html | e12a216 | pasqualina-vonlanthendinenna | 2022-03-15 | Build site. |
| Rmd | e4d1d1e | pasqualina-vonlanthendinenna | 2022-03-15 | updated to new only flag A data |
| html | c8451b9 | pasqualina-vonlanthendinenna | 2022-03-14 | Build site. |
| html | 1ffe07f | pasqualina-vonlanthendinenna | 2022-03-11 | Build site. |
| Rmd | f0fde29 | pasqualina-vonlanthendinenna | 2022-03-11 | changed anomaly detection to 1x1 grid with old data |
| html | 7540ae4 | pasqualina-vonlanthendinenna | 2022-03-08 | Build site. |
| Rmd | 18dff1b | pasqualina-vonlanthendinenna | 2022-03-08 | subsetted profiles with flag A only for extremes |
| html | 9d97f25 | pasqualina-vonlanthendinenna | 2022-03-02 | Build site. |
| Rmd | 9ccabc6 | pasqualina-vonlanthendinenna | 2022-03-02 | removed facet wrap |
| html | e4188d2 | pasqualina-vonlanthendinenna | 2022-03-01 | Build site. |
| Rmd | 6ca535c | pasqualina-vonlanthendinenna | 2022-03-01 | updated profiles |
| html | da665ab | pasqualina-vonlanthendinenna | 2022-03-01 | Build site. |
| Rmd | 57ada58 | pasqualina-vonlanthendinenna | 2022-03-01 | updated figure aspects |
| html | 5ef4df2 | pasqualina-vonlanthendinenna | 2022-03-01 | Build site. |
| Rmd | 8ef1277 | pasqualina-vonlanthendinenna | 2022-03-01 | plotted Atlantic mean seasonal profiles |
| Rmd | 73463cc | pasqualina-vonlanthendinenna | 2022-03-01 | changed line thickness for H and L raw profiles |
| html | c4362e5 | pasqualina-vonlanthendinenna | 2022-02-28 | Build site. |
| Rmd | 5b0901d | pasqualina-vonlanthendinenna | 2022-02-28 | corrected dates and titles |
| html | d299359 | pasqualina-vonlanthendinenna | 2022-02-28 | Build site. |
| Rmd | aad1df4 | pasqualina-vonlanthendinenna | 2022-02-28 | plotted specific profiles |
| html | fd521d1 | pasqualina-vonlanthendinenna | 2022-02-25 | Build site. |
| Rmd | 64c2c71 | pasqualina-vonlanthendinenna | 2022-02-25 | plotted line profiles and changed HNL colors |
| html | 7d7874c | pasqualina-vonlanthendinenna | 2022-02-24 | Build site. |
| Rmd | 58d2846 | pasqualina-vonlanthendinenna | 2022-02-24 | added st dev for temp profiles |
| html | c68163a | pasqualina-vonlanthendinenna | 2022-02-22 | Build site. |
| Rmd | 818ac54 | pasqualina-vonlanthendinenna | 2022-02-22 | updated regression and merging for extreme_temp |
| html | f98c744 | pasqualina-vonlanthendinenna | 2022-02-18 | Build site. |
| Rmd | 8b99ab3 | pasqualina-vonlanthendinenna | 2022-02-18 | updates |
| html | 19aa73d | pasqualina-vonlanthendinenna | 2022-02-16 | Build site. |
| Rmd | d955d28 | pasqualina-vonlanthendinenna | 2022-02-16 | updated extreme temperature |
| html | 905d82f | pasqualina-vonlanthendinenna | 2022-02-15 | Build site. |
| Rmd | 01ae9da | pasqualina-vonlanthendinenna | 2022-02-15 | added OceanSODA-Argo SST comparison |
| html | 54ea512 | pasqualina-vonlanthendinenna | 2022-02-10 | Build site. |
| html | f2fa56a | pasqualina-vonlanthendinenna | 2022-02-10 | Build site. |
| Rmd | eda8ca8 | pasqualina-vonlanthendinenna | 2022-02-10 | code review |
Compare depth profiles of normal temperature and of extreme temperature, as identified in the surface OceanSODA data product
theme_set(theme_bw())
HNL_colors <- c("H" = "#b2182b",
"N" = "#636363",
"L" = "#2166ac")
HNL_colors_map <- c('H' = 'red3',
'N' = 'transparent',
'L' = 'blue3')
path_argo <- '/nfs/kryo/work/updata/bgc_argo_r_argodata'
path_argo_preprocessed <- paste0(path_argo, "/preprocessed_bgc_data")
path_emlr_utilities <- "/nfs/kryo/work/jenmueller/emlr_cant/utilities/files/"
path_updata <- '/nfs/kryo/work/updata'
path_argo_clim_temp <- paste0(path_updata, "/argo_climatology/temperature")
# RECCAP2-ocean region mask
# region_masks_all_2x2 <- read_rds(file = paste0(path_argo_preprocessed,
# "/region_masks_all_2x2.rds"))
# #
# region_masks_all_2x2 <- region_masks_all_2x2 %>%
# rename(biome = value) %>%
# mutate(coast = as.character(coast))
# updated biomes of Nicolas Mayot
nm_biomes <- read_rds(file = paste0(path_argo_preprocessed, "/nm_biomes.rds"))
# WOA 18 basin mask
basinmask <-
read_csv(
paste(path_emlr_utilities,
"basin_mask_WOA18.csv",
sep = ""),
col_types = cols("MLR_basins" = col_character())
)
basinmask <- basinmask %>%
filter(MLR_basins == unique(basinmask$MLR_basins)[1]) %>%
select(-c(MLR_basins, basin))
# OceanSODA temperature (from 1995 to 2020)
OceanSODA_temp <- read_rds(file = paste0(path_argo_preprocessed, "/OceanSODA_temp.rds"))
OceanSODA_temp <- OceanSODA_temp %>%
mutate(month = month(date))
# Argo flag A profiles
full_argo <- read_rds(file = paste0(path_argo_preprocessed, "/bgc_merge_flag_A.rds"))
full_argo <- full_argo %>%
select(-c(ph_in_situ_total_adjusted:ph_in_situ_total_adjusted_error,
profile_ph_in_situ_total_qc))
# change the date format for compatibility with OceanSODA data
full_argo <- full_argo %>%
mutate(year = year(date),
month = month(date)) %>%
mutate(date = ymd(format(date, "%Y-%m-15")))
# base map for plotting
map <-
read_rds(paste(path_emlr_utilities,
"map_landmask_WOA18.rds",
sep = ""))
# restrict base map to Southern Ocean
map <- map +
lims(y = c(-85, -30))
map+
geom_tile(data = nm_biomes,
aes(x = lon,
y = lat,
fill = biome_name))+
scale_fill_brewer(palette = 'Dark2')+
labs(title = 'Mayot biomes (pre-grid reduction)')

basemap(limits = -30)+
geom_spatial_tile(data = nm_biomes,
aes(x = lon,
y = lat,
fill = biome_name),
col = NA)+
scale_fill_brewer(palette = 'Dark2')+
labs(title = 'Mayot biomes (pre-grid reduction)')
nm_biomes_2x2 <- nm_biomes %>%
mutate(lon = cut(lon, seq(20, 380, 2), seq(21, 379, 2)),
lon = as.numeric(as.character(lon)),
lat = cut(lat, seq(-90, 90, 2), seq(-89, 89, 2)),
lat = as.numeric(as.character(lat)))
nm_biomes_2x2 <- nm_biomes_2x2 %>%
count(lon, lat, biome_name) %>%
group_by(lon, lat) %>%
slice_max(n, with_ties = FALSE) %>%
ungroup()
rm(nm_biomes)
map+
geom_tile(data = nm_biomes_2x2,
aes(x = lon,
y = lat,
fill = biome_name))+
scale_fill_brewer(palette = 'Dark2')+
labs('Mayot biomes post-grid reduction')

| Version | Author | Date |
|---|---|---|
| 48573c4 | pasqualina-vonlanthendinenna | 2022-03-31 |
basemap(limits = -30)+
geom_spatial_tile(data = nm_biomes_2x2,
aes(x = lon,
y = lat,
fill = biome_name),
col = NA)+
scale_fill_brewer(palette = 'Dark2')+
labs(title = 'Mayot biomes (post-grid reduction)')
basinmask <- basinmask %>%
filter(lat < -30)
map +
geom_tile(data = basinmask,
aes(x = lon,
y = lat,
fill = basin_AIP))+
scale_fill_brewer(palette = 'Dark2')

basinmask_2x2 <- basinmask %>%
mutate(
lat = cut(lat, seq(-90, 90, 2), seq(-89, 89, 2)),
lat = as.numeric(as.character(lat)),
lon = cut(lon, seq(20, 380, 2), seq(21, 379, 2)),
lon = as.numeric(as.character(lon))
)
# assign basins from each pixel to to each 2 Lon x Lat pixel, based on the majority of basins in each 2x2 grid
basinmask_2x2 <- basinmask_2x2 %>%
count(lon, lat, basin_AIP) %>%
group_by(lon, lat) %>%
slice_max(n, with_ties = FALSE) %>%
ungroup() %>%
select(-n)
rm(basinmask)
map+
geom_tile(data = basinmask_2x2 %>% filter(lat < -30),
aes(x = lon,
y = lat,
fill = basin_AIP))+
scale_fill_brewer(palette = 'Dark2')

basemap(limits = -32)+
geom_spatial_tile(data = basinmask_2x2 %>% filter(lat < -32),
aes(x = lon,
y = lat,
fill = basin_AIP),
col = NA)+
scale_fill_brewer(palette = 'Dark2')
OceanSODA_temp <- OceanSODA_temp %>%
group_by(lon, lat, month) %>%
mutate(clim_temp = mean(temperature, na.rm = TRUE),
clim_diff = temperature - clim_temp,
.after = temperature) %>%
ungroup()
# Note: While reducing lon x lat grid,
# we keep the original number of observations
OceanSODA_temp_2x2 <- OceanSODA_temp %>%
mutate(
lat_raw = lat,
lon_raw = lon,
lat = cut(lat, seq(-90, 90, 2), seq(-89, 89, 2)),
lat = as.numeric(as.character(lat)),
lon = cut(lon, seq(20, 380, 2), seq(21, 379, 2)),
lon = as.numeric(as.character(lon))) # regrid into 2x2º grid
rm(OceanSODA_temp)
# keep only Southern Ocean data
OceanSODA_temp_2x2_SO <- inner_join(OceanSODA_temp_2x2, nm_biomes_2x2 %>%
select(-n))
rm(OceanSODA_temp_2x2)
# add in basin separations
OceanSODA_temp_2x2_SO <- inner_join(OceanSODA_temp_2x2_SO, basinmask_2x2)
# expected number of rows from -30 to -70º latitude, 360º longitude, for 12 months, 8 years:
# 40 lat x 360 lon x 12 months x 8 years = 1 382 400 rows
# actual number of rows: 925 260 (in line with expectations)
OceanSODA_temp_2x2_SO <- OceanSODA_temp_2x2_SO %>%
filter(!is.na(temperature))
# no NA clim_diff values
OceanSODA_temp_2x2_SO %>%
filter(year == 2020) %>%
ggplot(aes(lon_raw, lat_raw, fill = clim_temp)) +
geom_tile() +
scale_fill_viridis_c() +
facet_wrap(~ month, ncol = 2) +
coord_quickmap(expand = 0)

OceanSODA_temp_2x2_SO %>%
group_split(month) %>%
#head(1) %>%
map(
~map +
geom_tile(data = .x,
aes(x = lon_raw,
y = lat_raw,
fill = clim_temp))+
scale_fill_viridis_c()+
labs(title = paste0('month:', unique(.x$month)))+
theme(legend.position = 'right')
)
[[1]]

[[2]]

[[3]]

[[4]]

[[5]]

[[6]]

[[7]]

[[8]]

[[9]]

[[10]]

[[11]]

[[12]]

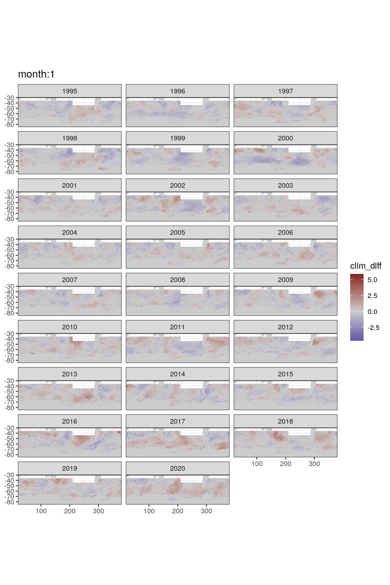
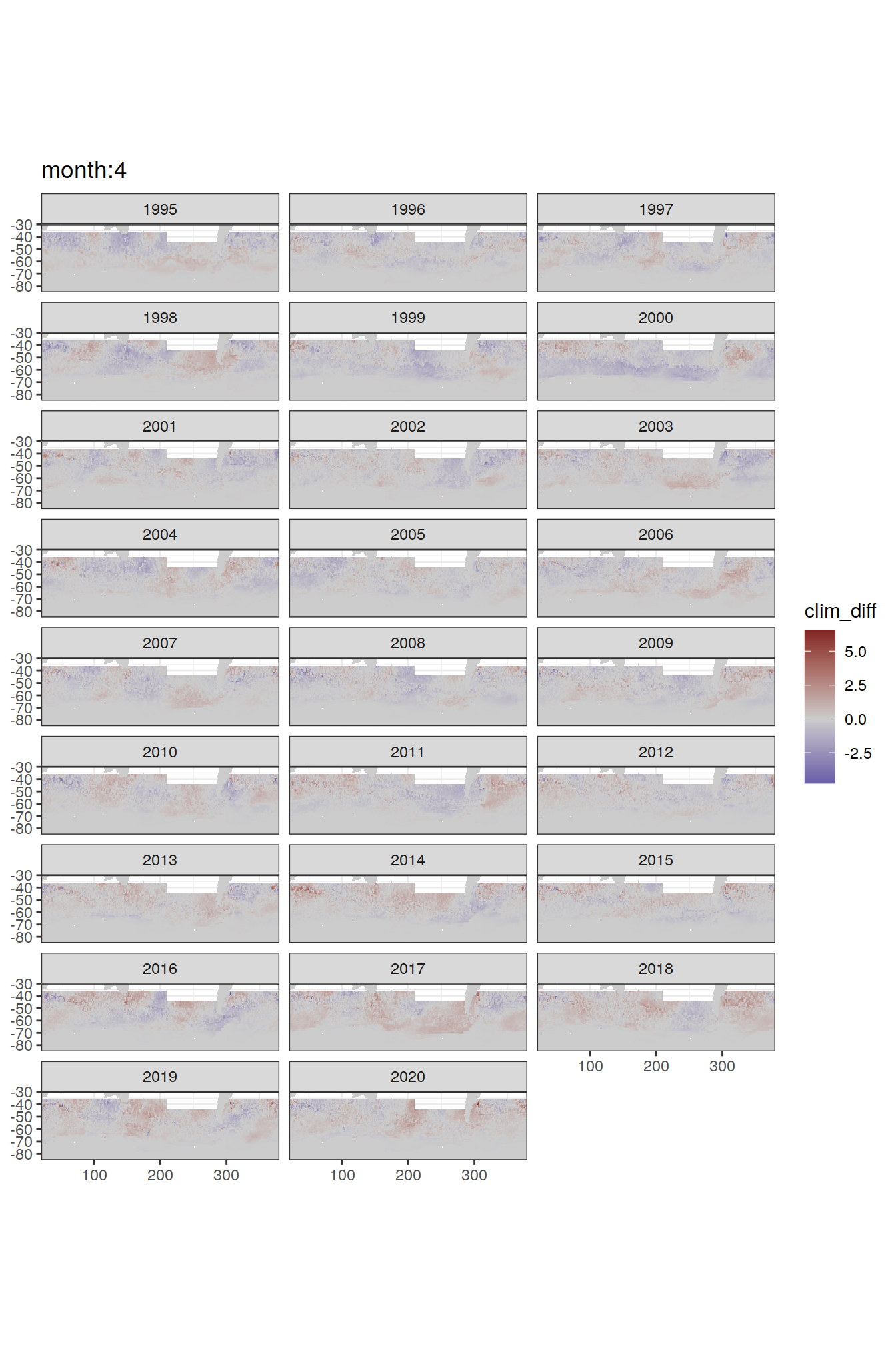
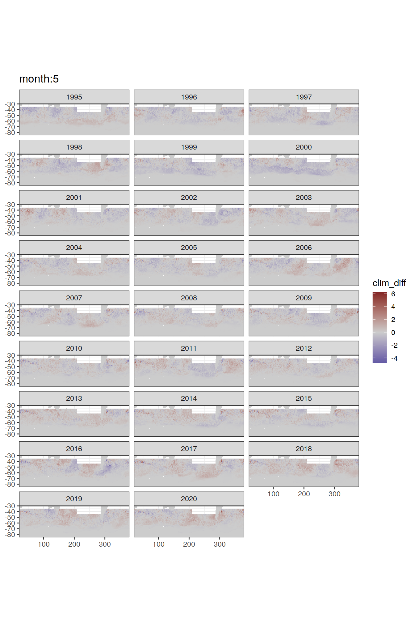
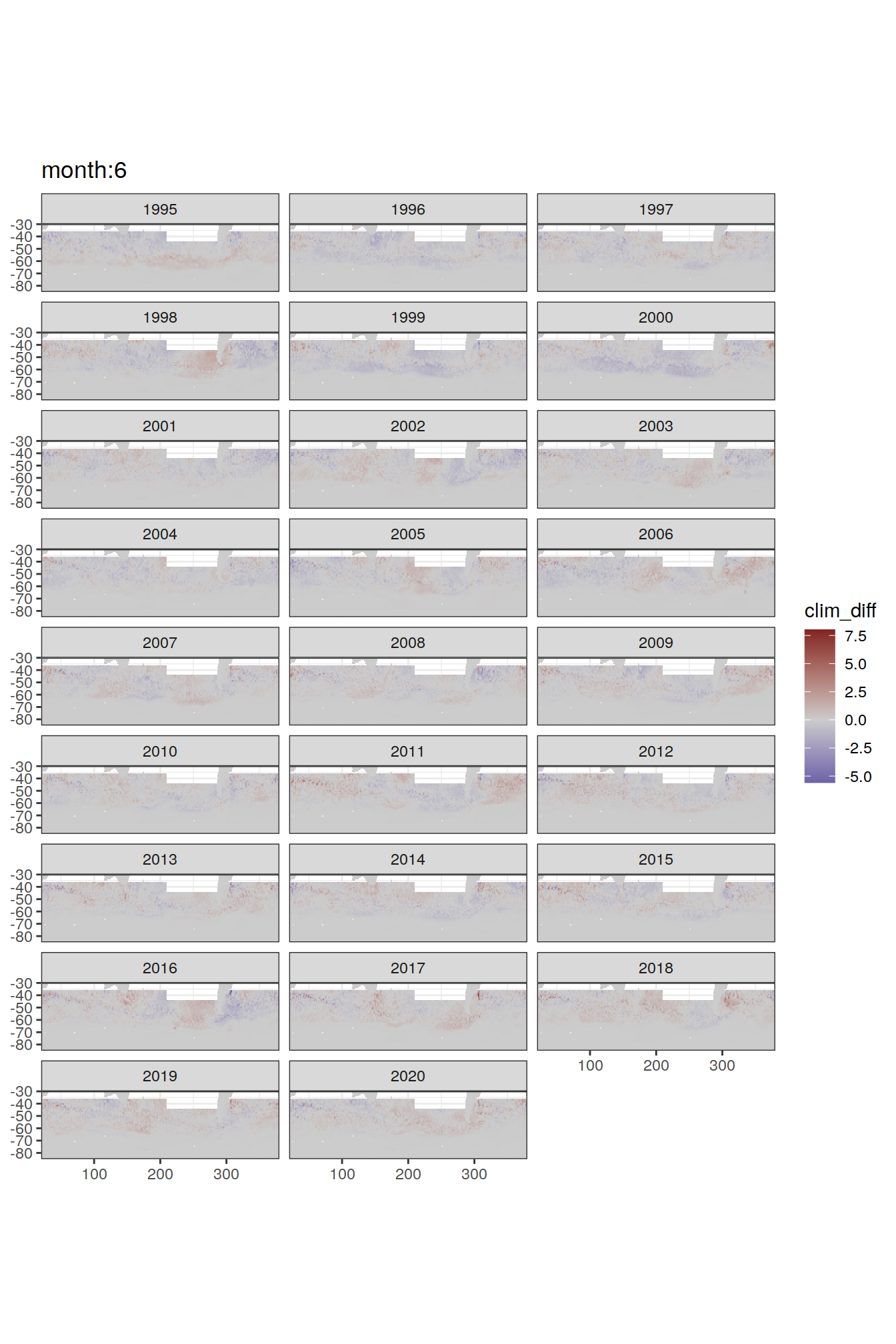
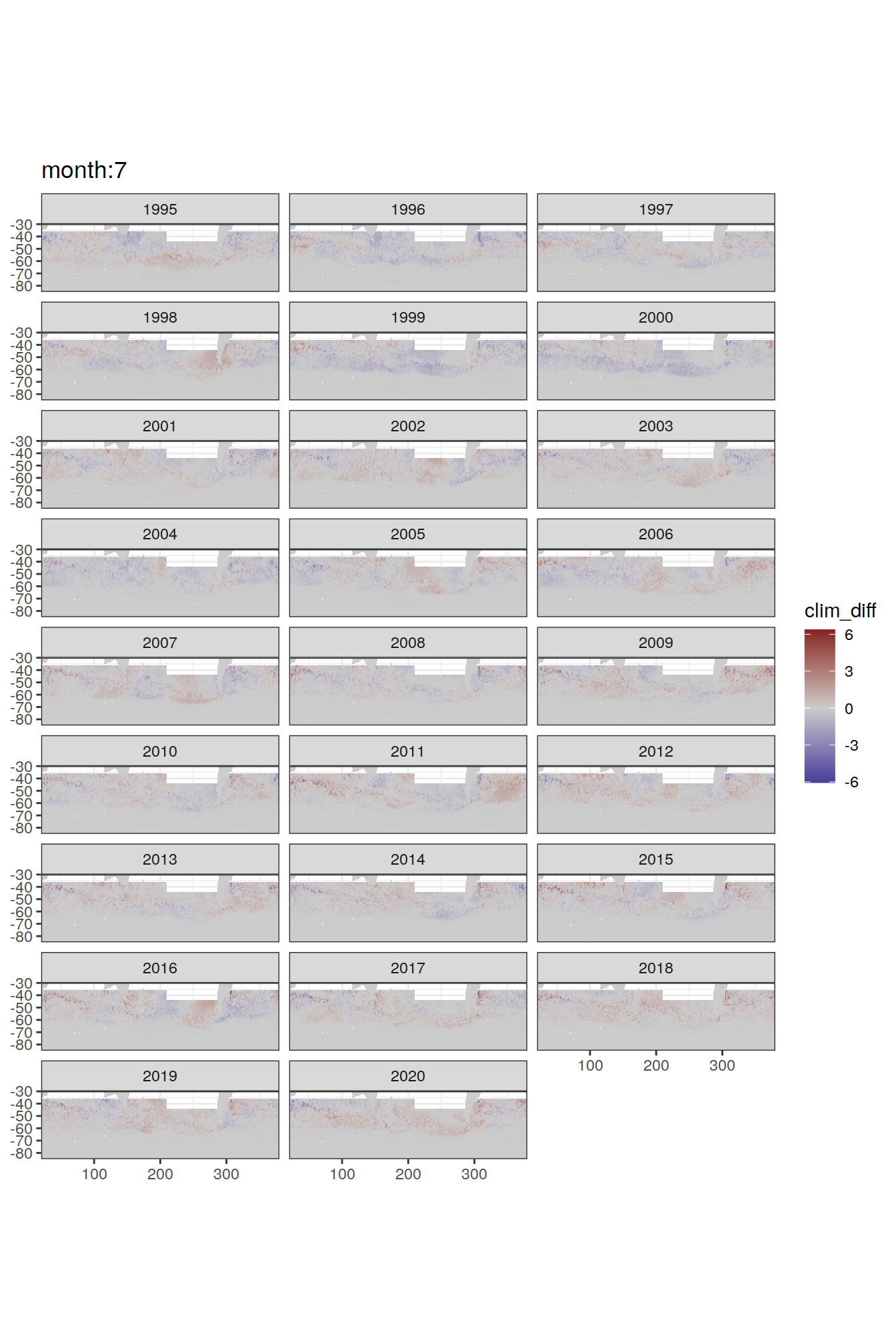
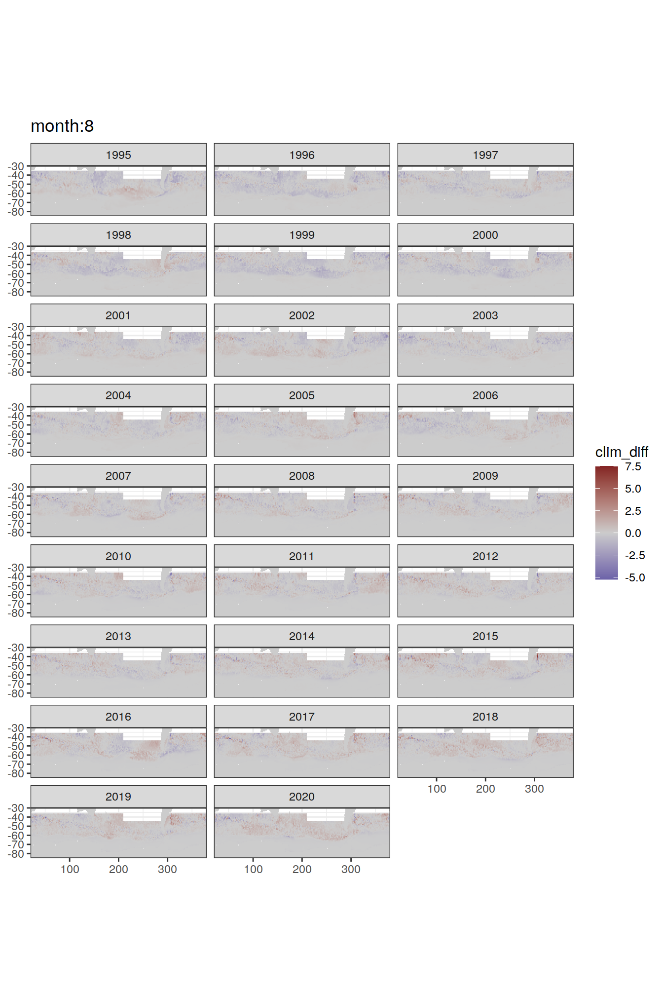
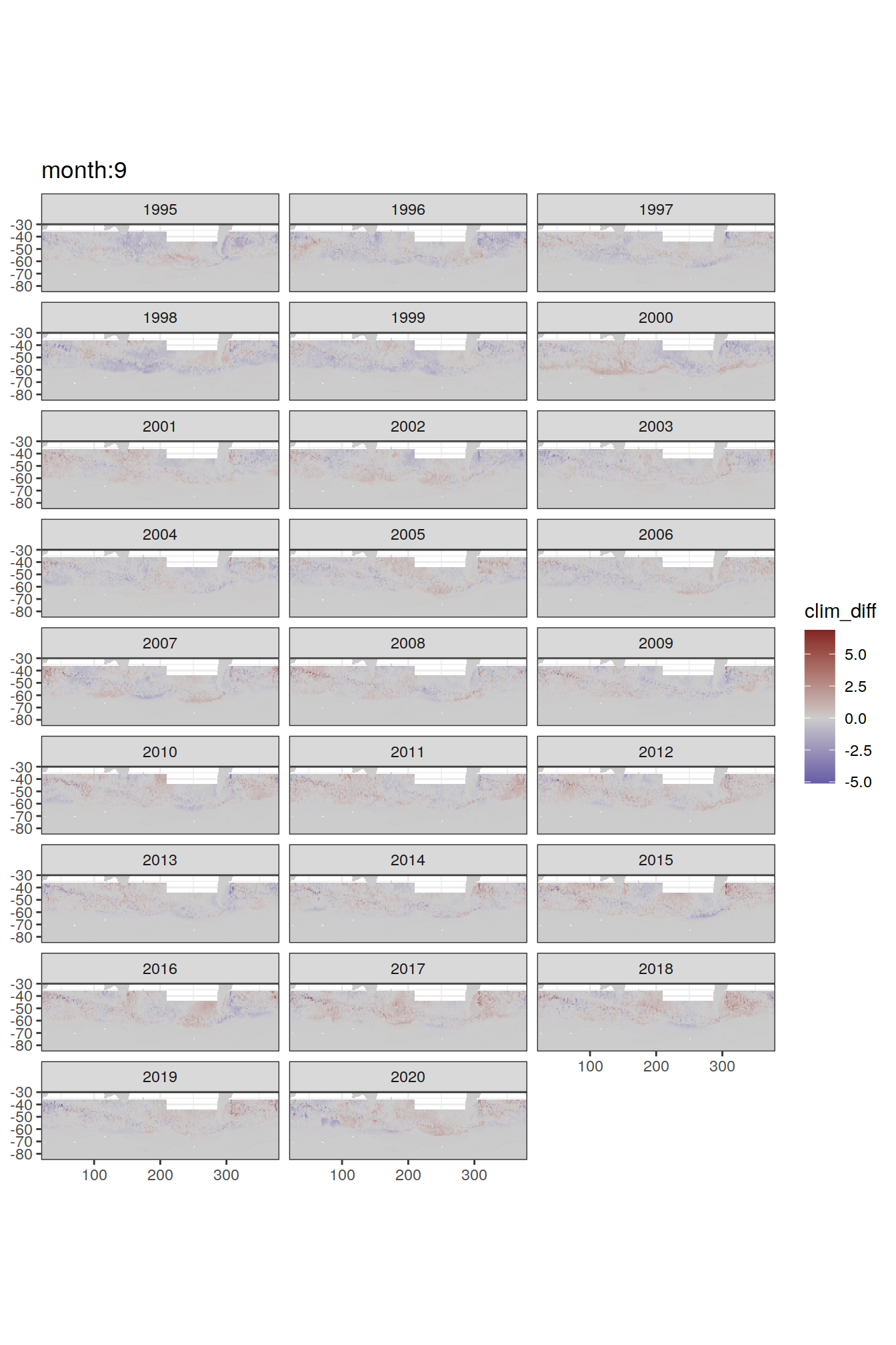
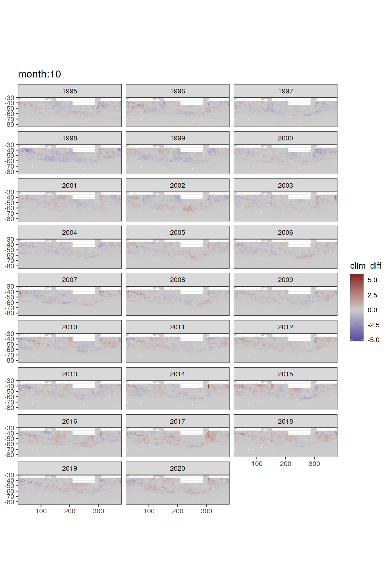
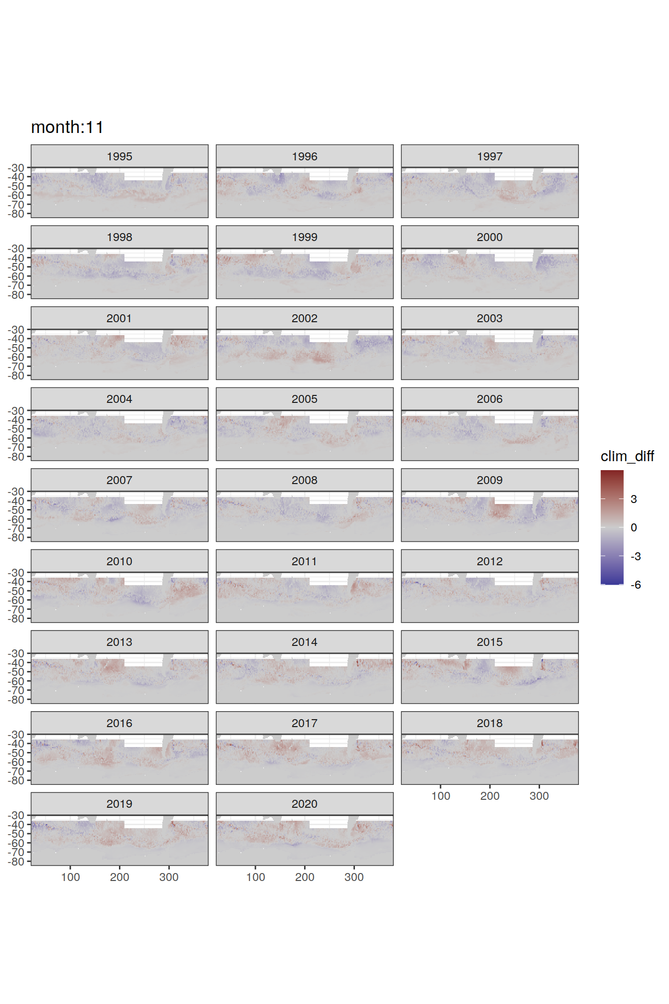
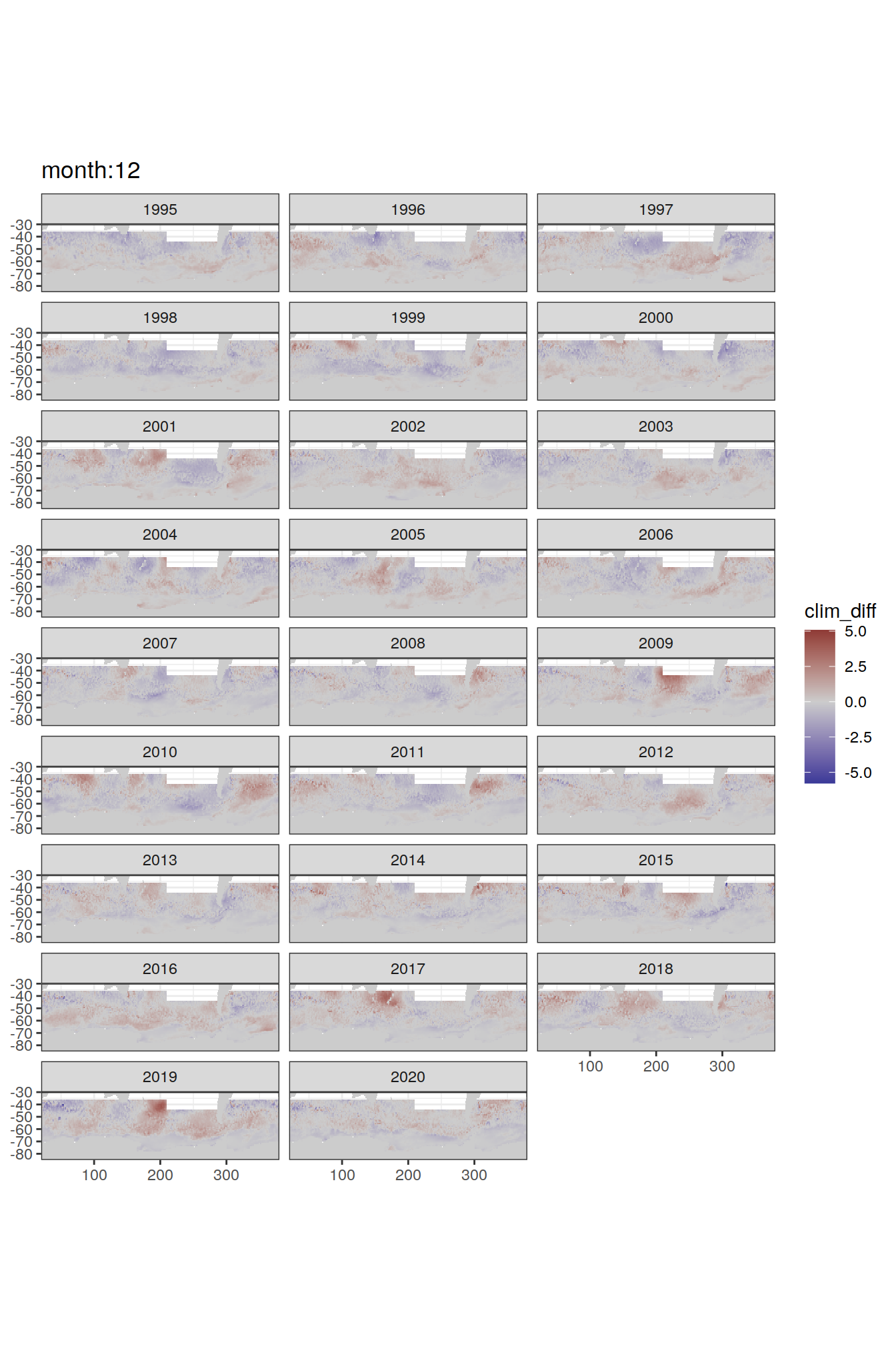
OceanSODA_temp_2x2_SO %>%
group_split(month) %>%
#head(1) %>%
map(
~map +
geom_tile(data = .x,
aes(x = lon_raw,
y = lat_raw,
fill = clim_diff))+
scale_fill_divergent(mid = 'grey80')+
facet_wrap(~year, ncol = 3)+
labs(title = paste0('month:', unique(.x$month)))+
theme(legend.position = 'right')
)
[[1]]

[[2]]

[[3]]

[[4]]

[[5]]

[[6]]

[[7]]

[[8]]

[[9]]

[[10]]

[[11]]

[[12]]

Through setting only one of the following two code chunks to “eval=FALSE” you can choose between a lm- and a mean-based anomaly detection.
# fit a linear regression of OceanSODA pH against time (temporal trend)
# in each lat/lon/month grid
OceanSODA_temp_regression <- OceanSODA_temp_2x2_SO %>%
# filter(basin_AIP == "Indian",
# biome_name == "SPSS",
# lon < 40) %>%
nest(data = -c(lon, lat, month)) %>%
mutate(fit = map(.x = data,
.f = ~ lm(clim_diff ~ year, data = .x)),
tidied = map(.x = fit, .f = tidy),
glanced = map(.x = fit, .f = glance),
augmented = map(.x = fit, .f = augment))
OceanSODA_temp_regression_tidied <- OceanSODA_temp_regression %>%
select(-c(data, fit, augmented, glanced)) %>%
unnest(tidied)
OceanSODA_temp_regression_tidied <- OceanSODA_temp_regression_tidied %>%
select(lon:estimate) %>%
pivot_wider(names_from = term,
values_from = estimate) %>%
rename(intercept = `(Intercept)`,
slope = year)
OceanSODA_temp_regression_augmented <- OceanSODA_temp_regression %>%
select(-c(fit, tidied, glanced, data)) %>%
unnest(augmented) %>%
select(lon:year, .resid)
OceanSODA_temp_regression_data <- OceanSODA_temp_regression %>%
select(-c(fit, tidied, glanced, augmented)) %>%
unnest(data)
OceanSODA_temp_regression_augmented <- bind_cols(
OceanSODA_temp_regression_augmented,
OceanSODA_temp_regression_data %>%
select(date,
basin_AIP, biome_name,
temperature, clim_temp,
lat_raw, lon_raw))
OceanSODA_temp_regression_glanced <- OceanSODA_temp_regression %>%
select(-c(data, fit, tidied, augmented)) %>%
unnest(glanced)
# identify the mean value
# in each lat/lon/month grid
OceanSODA_temp_regression_tidied <- OceanSODA_temp_2x2_SO %>%
# filter(basin_AIP == "Indian",
# biome_name == "SPSS",
# lon < 40) %>%
group_by(lon, lat, month) %>%
summarise(slope = 0,
intercept = mean(clim_diff, na.rm = TRUE)) %>%
ungroup()
OceanSODA_temp_regression_glanced <- OceanSODA_temp_2x2_SO %>%
# filter(basin_AIP == "Indian",
# biome_name == "SPSS",
# lon < 40) %>%
group_by(lon, lat, month) %>%
summarise(sigma = sd(clim_diff, na.rm = TRUE)) %>%
ungroup()
OceanSODA_temp_regression_augmented <- OceanSODA_temp_2x2_SO %>%
# filter(basin_AIP == "Indian",
# biome_name == "SPSS",
# lon < 40) %>%
mutate(.resid = clim_diff)
map+
geom_tile(data = OceanSODA_temp_regression_tidied,
aes(x = lon,
y = lat,
fill = slope))+
scale_fill_scico(palette = 'vik', midpoint = 0)+
facet_wrap(~month, ncol = 2)

| Version | Author | Date |
|---|---|---|
| c541171 | pasqualina-vonlanthendinenna | 2022-04-07 |
| 9875dd0 | pasqualina-vonlanthendinenna | 2022-04-05 |
| 48573c4 | pasqualina-vonlanthendinenna | 2022-03-31 |
| cbb2360 | jens-daniel-mueller | 2022-03-28 |
| fa1b6de | jens-daniel-mueller | 2022-03-28 |
| 8173cdb | jens-daniel-mueller | 2022-03-28 |
| 650ef68 | pasqualina-vonlanthendinenna | 2022-03-18 |
| 1ffe07f | pasqualina-vonlanthendinenna | 2022-03-11 |
| 5ef4df2 | pasqualina-vonlanthendinenna | 2022-03-01 |
| 8ef1277 | pasqualina-vonlanthendinenna | 2022-03-01 |
| f2fa56a | pasqualina-vonlanthendinenna | 2022-02-10 |
map+
geom_tile(data = OceanSODA_temp_regression_glanced,
aes(x = lon,
y = lat,
fill = sigma))+
scale_fill_viridis_c()+
facet_wrap(~month, ncol = 2)+
labs(fill = '1 residual \nst. dev.')

| Version | Author | Date |
|---|---|---|
| c541171 | pasqualina-vonlanthendinenna | 2022-04-07 |
| 9875dd0 | pasqualina-vonlanthendinenna | 2022-04-05 |
| 48573c4 | pasqualina-vonlanthendinenna | 2022-03-31 |
| eb8e3be | pasqualina-vonlanthendinenna | 2022-03-31 |
| cbb2360 | jens-daniel-mueller | 2022-03-28 |
| fa1b6de | jens-daniel-mueller | 2022-03-28 |
| 749e005 | jens-daniel-mueller | 2022-03-28 |
Calculate OceanSODA surface temperature anomalies; L for abnormally low, H for abnormally high, and N for normal
# when the in-situ OceanSODA temperature is lower than the 5th percentile (predicted - 2*residual.st.dev), assign 'L' for low extreme
# when the in-situ OceanSODA temperature exceeds the 95th percentile (predicted + 2*residual.st.dev), assign 'H' for high extreme
# when the in-situ OceanSODA temperature is within 95% of the range, then assign 'N' for normal pH
# combine observations and regression statistics
OceanSODA_temp_SO_extreme_grid <-
full_join(
OceanSODA_temp_regression_augmented,
OceanSODA_temp_regression_glanced %>%
select(lon:month, sigma)
)
# results in 925 056 rows
# identify observations in anomaly classes
OceanSODA_temp_SO_extreme_grid <- OceanSODA_temp_SO_extreme_grid %>%
mutate(
temp_extreme = case_when(
.resid < -sigma*2 ~ 'L',
.resid > sigma*2 ~ 'H',
TRUE ~ 'N'
)
)
OceanSODA_temp_SO_extreme_grid <- OceanSODA_temp_SO_extreme_grid %>%
mutate(temp_extreme = fct_relevel(temp_extreme, "H", "N", "L"))
# combine with regression coefficients
OceanSODA_temp_SO_extreme_grid <-
full_join(OceanSODA_temp_SO_extreme_grid,
OceanSODA_temp_regression_tidied)
# 925 056 rows, in line with expectations for 40 lat x 360 lon x 12 months x 8 years (1 382 400 obs minus NA values)
OceanSODA_temp_SO_extreme_grid %>%
write_rds(file = paste0(path_argo_preprocessed, "/OceanSODA_SST_anomaly_field.rds"))
OceanSODA_temp_SO_extreme_grid %>%
group_split(lon, lat, month) %>%
head(6) %>%
map(~ ggplot(data = .x) +
geom_point(aes(x = year,
y = clim_diff,
col = temp_extreme)) +
geom_abline(data = .x, aes(slope = slope,
intercept = intercept)) +
geom_abline(data = .x, aes(slope = slope,
intercept = intercept + 2*sigma),
linetype = 2) +
geom_abline(data = .x, aes(slope = slope,
intercept = intercept - 2*sigma),
linetype = 2) +
labs(title = paste(fititle = paste(
"lon:", unique(.x$lon),
"| lat:", unique(.x$lat),
"| month:", unique(.x$month)
))) +
scale_color_manual(values = HNL_colors))
[[1]]

| Version | Author | Date |
|---|---|---|
| 9875dd0 | pasqualina-vonlanthendinenna | 2022-04-05 |
| eb8e3be | pasqualina-vonlanthendinenna | 2022-03-31 |
| cbb2360 | jens-daniel-mueller | 2022-03-28 |
| fa1b6de | jens-daniel-mueller | 2022-03-28 |
| 8173cdb | jens-daniel-mueller | 2022-03-28 |
| 650ef68 | pasqualina-vonlanthendinenna | 2022-03-18 |
| 1ffe07f | pasqualina-vonlanthendinenna | 2022-03-11 |
| 5ef4df2 | pasqualina-vonlanthendinenna | 2022-03-01 |
| 8ef1277 | pasqualina-vonlanthendinenna | 2022-03-01 |
| f2fa56a | pasqualina-vonlanthendinenna | 2022-02-10 |
[[2]]

| Version | Author | Date |
|---|---|---|
| 9875dd0 | pasqualina-vonlanthendinenna | 2022-04-05 |
| eb8e3be | pasqualina-vonlanthendinenna | 2022-03-31 |
| cbb2360 | jens-daniel-mueller | 2022-03-28 |
| fa1b6de | jens-daniel-mueller | 2022-03-28 |
| 8173cdb | jens-daniel-mueller | 2022-03-28 |
| 650ef68 | pasqualina-vonlanthendinenna | 2022-03-18 |
| 1ffe07f | pasqualina-vonlanthendinenna | 2022-03-11 |
| 5ef4df2 | pasqualina-vonlanthendinenna | 2022-03-01 |
| 8ef1277 | pasqualina-vonlanthendinenna | 2022-03-01 |
| f2fa56a | pasqualina-vonlanthendinenna | 2022-02-10 |
[[3]]

| Version | Author | Date |
|---|---|---|
| 9875dd0 | pasqualina-vonlanthendinenna | 2022-04-05 |
| eb8e3be | pasqualina-vonlanthendinenna | 2022-03-31 |
| cbb2360 | jens-daniel-mueller | 2022-03-28 |
| fa1b6de | jens-daniel-mueller | 2022-03-28 |
| 8173cdb | jens-daniel-mueller | 2022-03-28 |
| 650ef68 | pasqualina-vonlanthendinenna | 2022-03-18 |
| 1ffe07f | pasqualina-vonlanthendinenna | 2022-03-11 |
| 5ef4df2 | pasqualina-vonlanthendinenna | 2022-03-01 |
| 8ef1277 | pasqualina-vonlanthendinenna | 2022-03-01 |
| f2fa56a | pasqualina-vonlanthendinenna | 2022-02-10 |
[[4]]

| Version | Author | Date |
|---|---|---|
| 9875dd0 | pasqualina-vonlanthendinenna | 2022-04-05 |
| eb8e3be | pasqualina-vonlanthendinenna | 2022-03-31 |
| cbb2360 | jens-daniel-mueller | 2022-03-28 |
| fa1b6de | jens-daniel-mueller | 2022-03-28 |
| 8173cdb | jens-daniel-mueller | 2022-03-28 |
| 650ef68 | pasqualina-vonlanthendinenna | 2022-03-18 |
| 1ffe07f | pasqualina-vonlanthendinenna | 2022-03-11 |
| 5ef4df2 | pasqualina-vonlanthendinenna | 2022-03-01 |
| 8ef1277 | pasqualina-vonlanthendinenna | 2022-03-01 |
| f2fa56a | pasqualina-vonlanthendinenna | 2022-02-10 |
[[5]]

| Version | Author | Date |
|---|---|---|
| 9875dd0 | pasqualina-vonlanthendinenna | 2022-04-05 |
| eb8e3be | pasqualina-vonlanthendinenna | 2022-03-31 |
| cbb2360 | jens-daniel-mueller | 2022-03-28 |
| fa1b6de | jens-daniel-mueller | 2022-03-28 |
| 8173cdb | jens-daniel-mueller | 2022-03-28 |
| 650ef68 | pasqualina-vonlanthendinenna | 2022-03-18 |
| 1ffe07f | pasqualina-vonlanthendinenna | 2022-03-11 |
| 5ef4df2 | pasqualina-vonlanthendinenna | 2022-03-01 |
| 8ef1277 | pasqualina-vonlanthendinenna | 2022-03-01 |
| f2fa56a | pasqualina-vonlanthendinenna | 2022-02-10 |
[[6]]

| Version | Author | Date |
|---|---|---|
| 9875dd0 | pasqualina-vonlanthendinenna | 2022-04-05 |
| eb8e3be | pasqualina-vonlanthendinenna | 2022-03-31 |
| cbb2360 | jens-daniel-mueller | 2022-03-28 |
| fa1b6de | jens-daniel-mueller | 2022-03-28 |
| 8173cdb | jens-daniel-mueller | 2022-03-28 |
| 650ef68 | pasqualina-vonlanthendinenna | 2022-03-18 |
| 1ffe07f | pasqualina-vonlanthendinenna | 2022-03-11 |
| 5ef4df2 | pasqualina-vonlanthendinenna | 2022-03-01 |
| 8ef1277 | pasqualina-vonlanthendinenna | 2022-03-01 |
| f2fa56a | pasqualina-vonlanthendinenna | 2022-02-10 |
# anomaly maps on a 1x1 grid
# OceanSODA_temp_SO_extreme_grid %>%
# group_split(year) %>%
# # head(1) %>%
# map(
# ~map +
# geom_tile(data = .x,
# aes(x = lon_raw,
# y = lat_raw,
# fill = temp_extreme),
# width = 1,
# height = 1)+
# scale_fill_manual(values = HNL_colors_map)+
# facet_wrap(~month, ncol = 2)+
# labs(title = paste('Year:', unique(.x$year)),
# fill = 'temperature')
# )
OceanSODA_temp_SO_extreme_grid %>%
filter(year >= 2013) %>%
group_split(month) %>%
#head(1) %>%
map(
~map +
geom_tile(data = .x,
aes(x = lon_raw,
y = lat_raw,
fill = temp_extreme),
width = 1,
height = 1)+
scale_fill_manual(values = HNL_colors_map)+
facet_wrap(~year, ncol = 2)+
labs(title = paste('month:', unique(.x$month)),
fill = 'temperature')
)
[[1]]

| Version | Author | Date |
|---|---|---|
| c541171 | pasqualina-vonlanthendinenna | 2022-04-07 |
| 9875dd0 | pasqualina-vonlanthendinenna | 2022-04-05 |
| 48573c4 | pasqualina-vonlanthendinenna | 2022-03-31 |
| eb8e3be | pasqualina-vonlanthendinenna | 2022-03-31 |
| dfd75e9 | pasqualina-vonlanthendinenna | 2022-03-29 |
| cbb2360 | jens-daniel-mueller | 2022-03-28 |
| fa1b6de | jens-daniel-mueller | 2022-03-28 |
| 749e005 | jens-daniel-mueller | 2022-03-28 |
[[2]]

| Version | Author | Date |
|---|---|---|
| c541171 | pasqualina-vonlanthendinenna | 2022-04-07 |
| 9875dd0 | pasqualina-vonlanthendinenna | 2022-04-05 |
| 48573c4 | pasqualina-vonlanthendinenna | 2022-03-31 |
| eb8e3be | pasqualina-vonlanthendinenna | 2022-03-31 |
| dfd75e9 | pasqualina-vonlanthendinenna | 2022-03-29 |
| cbb2360 | jens-daniel-mueller | 2022-03-28 |
| fa1b6de | jens-daniel-mueller | 2022-03-28 |
| 749e005 | jens-daniel-mueller | 2022-03-28 |
[[3]]

| Version | Author | Date |
|---|---|---|
| c541171 | pasqualina-vonlanthendinenna | 2022-04-07 |
| 9875dd0 | pasqualina-vonlanthendinenna | 2022-04-05 |
| 48573c4 | pasqualina-vonlanthendinenna | 2022-03-31 |
| eb8e3be | pasqualina-vonlanthendinenna | 2022-03-31 |
| dfd75e9 | pasqualina-vonlanthendinenna | 2022-03-29 |
| cbb2360 | jens-daniel-mueller | 2022-03-28 |
| fa1b6de | jens-daniel-mueller | 2022-03-28 |
| 749e005 | jens-daniel-mueller | 2022-03-28 |
[[4]]

| Version | Author | Date |
|---|---|---|
| c541171 | pasqualina-vonlanthendinenna | 2022-04-07 |
| 9875dd0 | pasqualina-vonlanthendinenna | 2022-04-05 |
| 48573c4 | pasqualina-vonlanthendinenna | 2022-03-31 |
| eb8e3be | pasqualina-vonlanthendinenna | 2022-03-31 |
| dfd75e9 | pasqualina-vonlanthendinenna | 2022-03-29 |
| cbb2360 | jens-daniel-mueller | 2022-03-28 |
| fa1b6de | jens-daniel-mueller | 2022-03-28 |
| 749e005 | jens-daniel-mueller | 2022-03-28 |
[[5]]

| Version | Author | Date |
|---|---|---|
| c541171 | pasqualina-vonlanthendinenna | 2022-04-07 |
| 9875dd0 | pasqualina-vonlanthendinenna | 2022-04-05 |
| 48573c4 | pasqualina-vonlanthendinenna | 2022-03-31 |
| eb8e3be | pasqualina-vonlanthendinenna | 2022-03-31 |
| dfd75e9 | pasqualina-vonlanthendinenna | 2022-03-29 |
| cbb2360 | jens-daniel-mueller | 2022-03-28 |
| fa1b6de | jens-daniel-mueller | 2022-03-28 |
| 749e005 | jens-daniel-mueller | 2022-03-28 |
[[6]]

| Version | Author | Date |
|---|---|---|
| c541171 | pasqualina-vonlanthendinenna | 2022-04-07 |
| 9875dd0 | pasqualina-vonlanthendinenna | 2022-04-05 |
| 48573c4 | pasqualina-vonlanthendinenna | 2022-03-31 |
| eb8e3be | pasqualina-vonlanthendinenna | 2022-03-31 |
| dfd75e9 | pasqualina-vonlanthendinenna | 2022-03-29 |
| cbb2360 | jens-daniel-mueller | 2022-03-28 |
| fa1b6de | jens-daniel-mueller | 2022-03-28 |
| 749e005 | jens-daniel-mueller | 2022-03-28 |
[[7]]

| Version | Author | Date |
|---|---|---|
| c541171 | pasqualina-vonlanthendinenna | 2022-04-07 |
| 9875dd0 | pasqualina-vonlanthendinenna | 2022-04-05 |
| 48573c4 | pasqualina-vonlanthendinenna | 2022-03-31 |
| eb8e3be | pasqualina-vonlanthendinenna | 2022-03-31 |
| dfd75e9 | pasqualina-vonlanthendinenna | 2022-03-29 |
| cbb2360 | jens-daniel-mueller | 2022-03-28 |
| fa1b6de | jens-daniel-mueller | 2022-03-28 |
| 749e005 | jens-daniel-mueller | 2022-03-28 |
[[8]]

| Version | Author | Date |
|---|---|---|
| c541171 | pasqualina-vonlanthendinenna | 2022-04-07 |
| 9875dd0 | pasqualina-vonlanthendinenna | 2022-04-05 |
| 48573c4 | pasqualina-vonlanthendinenna | 2022-03-31 |
| eb8e3be | pasqualina-vonlanthendinenna | 2022-03-31 |
| dfd75e9 | pasqualina-vonlanthendinenna | 2022-03-29 |
| cbb2360 | jens-daniel-mueller | 2022-03-28 |
| fa1b6de | jens-daniel-mueller | 2022-03-28 |
| 749e005 | jens-daniel-mueller | 2022-03-28 |
[[9]]

[[10]]

[[11]]

[[12]]

# calculate a regional mean temperature for each biome, basin, and ph extreme (H/L/N) and plot a timeseries
OceanSODA_temp_SO_extreme_grid %>%
group_by(year, biome_name, basin_AIP, temp_extreme) %>%
summarise(temp_regional = mean(temperature, na.rm = TRUE)) %>%
ungroup() %>%
ggplot(aes(x = year, y = temp_regional, col = temp_extreme))+
geom_point(size = 0.3)+
geom_line()+
scale_color_manual(values = HNL_colors) +
facet_grid(basin_AIP~biome_name)+
theme(legend.position = 'bottom')

| Version | Author | Date |
|---|---|---|
| c541171 | pasqualina-vonlanthendinenna | 2022-04-07 |
| 9875dd0 | pasqualina-vonlanthendinenna | 2022-04-05 |
| 48573c4 | pasqualina-vonlanthendinenna | 2022-03-31 |
| eb8e3be | pasqualina-vonlanthendinenna | 2022-03-31 |
| cbb2360 | jens-daniel-mueller | 2022-03-28 |
| fa1b6de | jens-daniel-mueller | 2022-03-28 |
| 8173cdb | jens-daniel-mueller | 2022-03-28 |
| 650ef68 | pasqualina-vonlanthendinenna | 2022-03-18 |
| 1ffe07f | pasqualina-vonlanthendinenna | 2022-03-11 |
| 5ef4df2 | pasqualina-vonlanthendinenna | 2022-03-01 |
| 8ef1277 | pasqualina-vonlanthendinenna | 2022-03-01 |
| c68163a | pasqualina-vonlanthendinenna | 2022-02-22 |
| f2fa56a | pasqualina-vonlanthendinenna | 2022-02-10 |
# histograms for each extreme level
OceanSODA_temp_SO_extreme_grid %>%
ggplot(aes(temperature, col = temp_extreme)) +
geom_density() +
scale_color_manual(values = HNL_colors) +
facet_grid(basin_AIP ~ biome_name) +
coord_cartesian(xlim = c(-2, 28)) +
labs(x = 'value',
y = 'density',
col = 'temp anomaly') +
theme(legend.position = 'bottom')

| Version | Author | Date |
|---|---|---|
| c541171 | pasqualina-vonlanthendinenna | 2022-04-07 |
| 9875dd0 | pasqualina-vonlanthendinenna | 2022-04-05 |
| 48573c4 | pasqualina-vonlanthendinenna | 2022-03-31 |
| eb8e3be | pasqualina-vonlanthendinenna | 2022-03-31 |
| cbb2360 | jens-daniel-mueller | 2022-03-28 |
| fa1b6de | jens-daniel-mueller | 2022-03-28 |
| 8173cdb | jens-daniel-mueller | 2022-03-28 |
| 650ef68 | pasqualina-vonlanthendinenna | 2022-03-18 |
| 1ffe07f | pasqualina-vonlanthendinenna | 2022-03-11 |
| 5ef4df2 | pasqualina-vonlanthendinenna | 2022-03-01 |
| 8ef1277 | pasqualina-vonlanthendinenna | 2022-03-01 |
| c68163a | pasqualina-vonlanthendinenna | 2022-02-22 |
| f2fa56a | pasqualina-vonlanthendinenna | 2022-02-10 |
# Note: While reducing lon x lat grid,
# we keep the original number of observations
full_argo_2x2 <- full_argo %>%
mutate(
lat_raw = lat,
lon_raw = lon,
lat = cut(lat, seq(-90, 90, 2), seq(-89, 89, 2)),
lat = as.numeric(as.character(lat)),
lon = cut(lon, seq(20, 380, 2), seq(21, 379, 2)),
lon = as.numeric(as.character(lon))) # re-grid to 2x2
# add in new Mayot biome information
full_argo_2x2_SO <- inner_join(full_argo_2x2, nm_biomes_2x2)
# add in basin separations
full_argo_2x2_SO <- inner_join(full_argo_2x2_SO, basinmask_2x2)
# revert OceanSODA to regular 1x1 grid
OceanSODA_temp_SO_extreme_grid <- OceanSODA_temp_SO_extreme_grid %>%
select(-c(lon, lat)) %>%
rename(OceanSODA_temp = temperature,
lon = lon_raw,
lat = lat_raw) %>%
filter(year >=2013)
# 925 056 obs
# combine the argo profile data to the surface extreme data
profile_temp_extreme <- inner_join(
full_argo %>%
select(c(year, month, date, lon, lat, depth,
temp_adjusted,
platform_number,
cycle_number)), # 567 327 obs
OceanSODA_temp_SO_extreme_grid %>%
select(c(year, month, date, lon, lat,
OceanSODA_temp, temp_extreme,
clim_temp, clim_diff,
basin_AIP, biome_name)))
profile_temp_extreme <- profile_temp_extreme %>%
unite('platform_cycle', platform_number:cycle_number, sep = '_', remove = FALSE)
OceanSODA_temp_SO_extreme_grid %>%
group_split(month) %>%
#head(1) %>%
map(
~map +
geom_tile(data = .x,
aes(x = lon,
y = lat,
fill = temp_extreme),
alpha = 0.5)+
geom_tile(data = profile_temp_extreme %>% filter(depth < 10),
aes(x = lon,
y = lat,
fill = 'black',
height = 1,
width = 1),
alpha = 0.5)+
scale_fill_manual(values = HNL_colors_map)+
facet_wrap(~year, ncol = 1)+
lims(y = c(-85, -30))+
labs(title = paste('month:', unique(.x$month)),
fill = 'temperature')
)
[[1]]

[[2]]

[[3]]

[[4]]

[[5]]

[[6]]

[[7]]

[[8]]

[[9]]

[[10]]

[[11]]

[[12]]

Argo profiles plotted according to the surface OceanSODA temperature
L profiles correspond to a low surface temperature event, as recorded in OceanSODA
H profiles correspond to an event of high surface temperature, as recorded in OceanSODA
N profiles correspond to normal surface OceanSODA temperature
profile_temp_extreme %>%
group_split(biome_name, basin_AIP, year) %>%
head(6) %>%
map(
~ ggplot() +
geom_path(data = .x %>% filter(temp_extreme == 'N'),
aes(x = temp_adjusted,
y = depth,
group = platform_cycle,
col = temp_extreme),
size = 0.3) +
geom_path(data = .x %>% filter(temp_extreme == 'H' | temp_extreme == 'L'),
aes(x = temp_adjusted,
y = depth,
group = platform_cycle,
col = temp_extreme),
size = 0.5)+
scale_y_reverse() +
scale_color_manual(values = HNL_colors) +
facet_wrap(~ month, ncol = 6) +
labs(
x = 'Argo temperature (ºC)',
y = 'depth (m)',
title = paste(
unique(.x$basin_AIP),
"|",
unique(.x$year),
"| biome:",
unique(.x$biome_name)
),
col = 'OceanSODA temp \nanomaly'
)
)
[[1]]

[[2]]

[[3]]

[[4]]

[[5]]

| Version | Author | Date |
|---|---|---|
| 48573c4 | pasqualina-vonlanthendinenna | 2022-03-31 |
[[6]]

# Temperature extreme:
# Atlantic biome 1, 2018, months 2 and 3
OceanSODA_temp_SO_extreme_grid_2017 <- OceanSODA_temp_SO_extreme_grid %>%
filter(date == '2017-10-15')
map+
geom_tile(data = OceanSODA_temp_SO_extreme_grid_2017,
aes(x = lon,
y = lat,
fill = temp_extreme))+
scale_fill_manual(values = HNL_colors_map)+
labs(title = 'October 2017',
fill = 'OceanSODA SST \nextreme')

profile_temp_Atl_2017 <- profile_temp_extreme %>%
filter(date == '2017-10-15',
basin_AIP == 'Atlantic',
biome_name == 'STSS')
profile_temp_Atl_2017 %>%
ggplot(aes(x = temp_adjusted,
y = depth,
group = platform_cycle,
col = temp_extreme))+
geom_path(data = profile_temp_Atl_2017 %>% filter(temp_extreme == 'N'),
aes(x = temp_adjusted,
y = depth,
group = platform_cycle,
col = temp_extreme),
size = 0.3)+
geom_path(data = profile_temp_Atl_2017 %>% filter(temp_extreme == 'H'| temp_extreme == 'L'),
aes(x = temp_adjusted,
y = depth,
group = platform_cycle,
col = temp_extreme),
size = 0.5)+
scale_y_reverse()+
scale_color_manual(values = HNL_colors)+
labs(title = 'Atlantic, STSS biome, October 2017',
col = 'OceanSODA SST\nextreme',
x = 'Argo temperature (ºC)')

rm(profile_temp_Atl_2017, OceanSODA_temp_SO_extreme_grid_2017)
# Atlantic biome 2, 2016 month 7
OceanSODA_temp_SO_extreme_grid_2016 <- OceanSODA_temp_SO_extreme_grid %>%
filter(date == '2016-07-15')
map+
geom_tile(data = OceanSODA_temp_SO_extreme_grid_2016,
aes(x = lon,
y = lat,
fill = temp_extreme))+
scale_fill_manual(values = HNL_colors_map)+
labs(title = 'July 2016',
fill = 'OceanSODA SST \nextreme')
profile_temp_Atl_2016 <- profile_temp_extreme %>%
filter(date == '2016-07-15',
basin_AIP == 'Atlantic',
biome_name == 'SPSS')
profile_temp_Atl_2016 %>%
ggplot(aes(x = temp_adjusted,
y = depth,
group = platform_cycle,
col = temp_extreme))+
geom_path(data = profile_temp_Atl_2016 %>% filter(temp_extreme == 'N'),
aes(x = temp_adjusted,
y = depth,
group = platform_cycle,
col = temp_extreme),
size = 0.3)+
geom_path(data = profile_temp_Atl_2016 %>% filter(temp_extreme == 'H'|temp_extreme == 'L'),
aes(x = temp_adjusted,
y = depth,
group = platform_cycle,
col = temp_extreme),
size = 0.5)+
scale_y_reverse()+
scale_color_manual(values = HNL_colors)+
labs(title = 'Atlantic, SPSS biome, July 2016',
col = 'OceanSODA SST\nextreme',
x = 'Argo temperature (ºC)')
rm(profile_temp_Atl_2016, OceanSODA_temp_SO_extreme_grid_2016)
# cut depth levels at 10, 20, .... etc m
# add seasons
# Dec, Jan, Feb <- summer
# Mar, Apr, May <- autumn
# Jun, Jul, Aug <- winter
# Sep, Oct, Nov <- spring
profile_temp_extreme <- profile_temp_extreme %>%
mutate(
depth = Hmisc::cut2(
depth,
cuts = c(10, 20, 30, 50, 70, 100, 300, 500, 800, 1000, 1500, 2000, 2500),
levels.mean = TRUE,
digits = 3
),
depth = as.numeric(as.character(depth))
) %>%
mutate(
season = case_when(
between(month, 3, 5) ~ 'autumn',
between(month, 6, 8) ~ 'winter',
between(month, 9, 11) ~ 'spring',
month == 12 | 1 | 2 ~ 'summer'
),
.after = date
)
profile_temp_extreme_mean <- profile_temp_extreme %>%
group_by(temp_extreme, depth) %>%
summarise(temp_mean = mean(temp_adjusted, na.rm = TRUE),
temp_std = sd(temp_adjusted, na.rm = TRUE)) %>%
ungroup()
profile_temp_extreme_mean %>%
arrange(depth) %>%
ggplot(aes(y = depth)) +
geom_ribbon(aes(xmin = temp_mean - temp_std,
xmax = temp_mean + temp_std,
fill = temp_extreme),
alpha = 0.2)+
geom_path(aes(x = temp_mean,
col = temp_extreme))+
scale_color_manual(values = HNL_colors) +
scale_fill_manual(values = HNL_colors)+
labs(title = "Overall mean",
col = 'OceanSODA\ntemp anomaly \n(mean ± st dev)',
fill = 'OceanSODA\ntemp anomaly \n(mean ± st dev)',
y = 'depth (m)',
x = 'mean Argo temperature (ºC)') +
scale_y_continuous(trans = trans_reverser("sqrt"),
breaks = c(10, 100, 250, 500, seq(1000, 5000, 500)))

| Version | Author | Date |
|---|---|---|
| 9875dd0 | pasqualina-vonlanthendinenna | 2022-04-05 |
| 48573c4 | pasqualina-vonlanthendinenna | 2022-03-31 |
| eb8e3be | pasqualina-vonlanthendinenna | 2022-03-31 |
| cbb2360 | jens-daniel-mueller | 2022-03-28 |
| fa1b6de | jens-daniel-mueller | 2022-03-28 |
| 8173cdb | jens-daniel-mueller | 2022-03-28 |
| 650ef68 | pasqualina-vonlanthendinenna | 2022-03-18 |
| e12a216 | pasqualina-vonlanthendinenna | 2022-03-15 |
| 1ffe07f | pasqualina-vonlanthendinenna | 2022-03-11 |
| 7540ae4 | pasqualina-vonlanthendinenna | 2022-03-08 |
| 5ef4df2 | pasqualina-vonlanthendinenna | 2022-03-01 |
| 8ef1277 | pasqualina-vonlanthendinenna | 2022-03-01 |
| 7d7874c | pasqualina-vonlanthendinenna | 2022-02-24 |
| c68163a | pasqualina-vonlanthendinenna | 2022-02-22 |
| 19aa73d | pasqualina-vonlanthendinenna | 2022-02-16 |
| f2fa56a | pasqualina-vonlanthendinenna | 2022-02-10 |
rm(profile_temp_extreme_mean)
Number of profiles
profile_temp_count_mean <- profile_temp_extreme %>%
distinct(temp_extreme, platform_number, cycle_number) %>%
count(temp_extreme)
profile_temp_count_mean %>%
ggplot(aes(x = temp_extreme, y = n, fill = temp_extreme))+
geom_col(width = 0.5)+
scale_y_continuous(trans = 'log10')+
labs(y = 'log(number of profiles)',
title = 'Number of profiles')

| Version | Author | Date |
|---|---|---|
| 9875dd0 | pasqualina-vonlanthendinenna | 2022-04-05 |
| 48573c4 | pasqualina-vonlanthendinenna | 2022-03-31 |
| eb8e3be | pasqualina-vonlanthendinenna | 2022-03-31 |
| cbb2360 | jens-daniel-mueller | 2022-03-28 |
| fa1b6de | jens-daniel-mueller | 2022-03-28 |
| 8173cdb | jens-daniel-mueller | 2022-03-28 |
| 650ef68 | pasqualina-vonlanthendinenna | 2022-03-18 |
| e12a216 | pasqualina-vonlanthendinenna | 2022-03-15 |
| 1ffe07f | pasqualina-vonlanthendinenna | 2022-03-11 |
| 7540ae4 | pasqualina-vonlanthendinenna | 2022-03-08 |
| 5ef4df2 | pasqualina-vonlanthendinenna | 2022-03-01 |
| 8ef1277 | pasqualina-vonlanthendinenna | 2022-03-01 |
| c68163a | pasqualina-vonlanthendinenna | 2022-02-22 |
| 19aa73d | pasqualina-vonlanthendinenna | 2022-02-16 |
| f2fa56a | pasqualina-vonlanthendinenna | 2022-02-10 |
# rm(profile_temp_count_mean)
Surface Argo temperature vs surface OceanSODA temperature (20 m)
# calculate surface-mean argo SST, for each profile
surface_temp_mean <- profile_temp_extreme %>%
filter(depth <= 20) %>%
group_by(temp_extreme, platform_number, cycle_number) %>%
summarise(argo_surf_temp = mean(temp_adjusted, na.rm = TRUE),
OceanSODA_surf_temp = mean(OceanSODA_temp, na.rm = TRUE))
surface_temp_mean %>%
group_by(temp_extreme) %>%
group_split() %>%
# head(1) %>%
map(
~ggplot(data = .x, aes(x = OceanSODA_surf_temp,
y = argo_surf_temp))+
geom_bin2d(data = .x, aes(x = OceanSODA_surf_temp,
y = argo_surf_temp), size = 0.3, bins = 60) +
scale_fill_viridis_c()+
geom_abline(slope = 1, intercept = 0)+
coord_fixed(ratio = 1,
xlim = c(-3, 28),
ylim = c(-3, 28))+
labs(title = paste('temp extreme:', unique(.x$temp_extreme)),
x = 'OceanSODA temp',
y = 'Argo temp')
)
[[1]]

| Version | Author | Date |
|---|---|---|
| 9875dd0 | pasqualina-vonlanthendinenna | 2022-04-05 |
| 48573c4 | pasqualina-vonlanthendinenna | 2022-03-31 |
| eb8e3be | pasqualina-vonlanthendinenna | 2022-03-31 |
| cbb2360 | jens-daniel-mueller | 2022-03-28 |
| fa1b6de | jens-daniel-mueller | 2022-03-28 |
| 8173cdb | jens-daniel-mueller | 2022-03-28 |
| 650ef68 | pasqualina-vonlanthendinenna | 2022-03-18 |
| e12a216 | pasqualina-vonlanthendinenna | 2022-03-15 |
| 1ffe07f | pasqualina-vonlanthendinenna | 2022-03-11 |
| 7540ae4 | pasqualina-vonlanthendinenna | 2022-03-08 |
| 5ef4df2 | pasqualina-vonlanthendinenna | 2022-03-01 |
| 8ef1277 | pasqualina-vonlanthendinenna | 2022-03-01 |
| fd521d1 | pasqualina-vonlanthendinenna | 2022-02-25 |
| c68163a | pasqualina-vonlanthendinenna | 2022-02-22 |
| 19aa73d | pasqualina-vonlanthendinenna | 2022-02-16 |
| f2fa56a | pasqualina-vonlanthendinenna | 2022-02-10 |
[[2]]

| Version | Author | Date |
|---|---|---|
| 9875dd0 | pasqualina-vonlanthendinenna | 2022-04-05 |
| 48573c4 | pasqualina-vonlanthendinenna | 2022-03-31 |
| eb8e3be | pasqualina-vonlanthendinenna | 2022-03-31 |
| cbb2360 | jens-daniel-mueller | 2022-03-28 |
| fa1b6de | jens-daniel-mueller | 2022-03-28 |
| 8173cdb | jens-daniel-mueller | 2022-03-28 |
| 650ef68 | pasqualina-vonlanthendinenna | 2022-03-18 |
| e12a216 | pasqualina-vonlanthendinenna | 2022-03-15 |
| 1ffe07f | pasqualina-vonlanthendinenna | 2022-03-11 |
| 7540ae4 | pasqualina-vonlanthendinenna | 2022-03-08 |
| 5ef4df2 | pasqualina-vonlanthendinenna | 2022-03-01 |
| 8ef1277 | pasqualina-vonlanthendinenna | 2022-03-01 |
| fd521d1 | pasqualina-vonlanthendinenna | 2022-02-25 |
| c68163a | pasqualina-vonlanthendinenna | 2022-02-22 |
| 19aa73d | pasqualina-vonlanthendinenna | 2022-02-16 |
| f2fa56a | pasqualina-vonlanthendinenna | 2022-02-10 |
[[3]]

| Version | Author | Date |
|---|---|---|
| 9875dd0 | pasqualina-vonlanthendinenna | 2022-04-05 |
| eb8e3be | pasqualina-vonlanthendinenna | 2022-03-31 |
| cbb2360 | jens-daniel-mueller | 2022-03-28 |
| fa1b6de | jens-daniel-mueller | 2022-03-28 |
| 8173cdb | jens-daniel-mueller | 2022-03-28 |
| 650ef68 | pasqualina-vonlanthendinenna | 2022-03-18 |
| e12a216 | pasqualina-vonlanthendinenna | 2022-03-15 |
| 1ffe07f | pasqualina-vonlanthendinenna | 2022-03-11 |
| 7540ae4 | pasqualina-vonlanthendinenna | 2022-03-08 |
| 5ef4df2 | pasqualina-vonlanthendinenna | 2022-03-01 |
| 8ef1277 | pasqualina-vonlanthendinenna | 2022-03-01 |
| fd521d1 | pasqualina-vonlanthendinenna | 2022-02-25 |
| c68163a | pasqualina-vonlanthendinenna | 2022-02-22 |
| 19aa73d | pasqualina-vonlanthendinenna | 2022-02-16 |
| f2fa56a | pasqualina-vonlanthendinenna | 2022-02-10 |
rm(surface_temp_mean)
profile_temp_extreme_mean_jan <- profile_temp_extreme %>%
filter(month == 1) %>%
group_by(temp_extreme, depth) %>%
summarise(temp_mean = mean(temp_adjusted, na.rm = TRUE),
temp_std = sd(temp_adjusted, na.rm = TRUE)) %>%
ungroup()
profile_temp_extreme_mean_jan %>%
arrange(depth) %>%
ggplot(aes(y = depth)) +
geom_ribbon(aes(xmin = temp_mean - temp_std,
xmax = temp_mean + temp_std,
fill = temp_extreme),
alpha = 0.2)+
geom_path(aes(x = temp_mean,
col = temp_extreme))+
scale_color_manual(values = HNL_colors) +
scale_fill_manual(values = HNL_colors)+
labs(title = "January mean",
col = 'OceanSODA\ntemp anomaly \n(mean ± st dev)',
fill = 'OceanSODA\ntemp anomaly \n(mean ± st dev)',
y = 'depth (m)',
x = 'mean Argo temperature (ºC)') +
scale_y_continuous(trans = trans_reverser("sqrt"),
breaks = c(10, 100, 250, 500, seq(1000, 5000, 500)))
rm(profile_temp_extreme_mean_jan)
profile_temp_extreme_biome <- profile_temp_extreme %>%
group_by(season, biome_name, temp_extreme, depth) %>%
summarise(temp_biome = mean(temp_adjusted, na.rm = TRUE),
temp_std_biome = sd(temp_adjusted, na.rm = TRUE)) %>%
ungroup()
profile_temp_extreme_biome %>%
ggplot(aes(
x = temp_biome,
y = depth,
group = temp_extreme,
col = temp_extreme
)) +
geom_ribbon(aes(xmax = temp_biome + temp_std_biome,
xmin = temp_biome - temp_std_biome,
group = temp_extreme,
fill = temp_extreme),
col = NA,
alpha = 0.2)+
geom_path() +
scale_color_manual(values = HNL_colors) +
scale_fill_manual(values = HNL_colors)+
labs(col = 'OceanSODA\ntemp anomaly \n(mean ± st dev)',
fill = 'OceanSODA\ntemp anomaly \n(mean ± st dev)',
y = 'depth (m)',
x = 'biome mean Argo temperature (ºC)') +
scale_y_continuous(trans = trans_reverser("sqrt"),
breaks = c(10, 100, 250, 500, seq(1000, 5000, 500))) +
lims(x = c(-3, 18))+
facet_grid(season ~ biome_name)

rm(profile_temp_extreme_biome)
Number of profiles per season per Mayot biome
profile_temp_count_biome <- profile_temp_extreme %>%
distinct(season, biome_name, temp_extreme, platform_number, cycle_number) %>%
group_by(season, biome_name, temp_extreme) %>%
count(temp_extreme)
profile_temp_count_biome %>%
ggplot(aes(x = temp_extreme, y = n, fill = temp_extreme))+
geom_col(width = 0.5)+
facet_grid(season ~ biome_name)+
scale_y_continuous(trans = 'log10')+
labs(y = 'log(number of profiles)',
title = 'Number of profiles season x Mayot biome')

# rm(profile_temp_count_biome)
Surface Argo temp vs surface OceanSODA temp season x Mayot biome (20 m)
surface_temp_biome <- profile_temp_extreme %>%
filter(depth <= 20) %>%
group_by(season, biome_name, temp_extreme, platform_number, cycle_number) %>%
summarise(argo_surf_temp = mean(temp_adjusted, na.rm=TRUE),
OceanSODA_surf_temp = mean(OceanSODA_temp, na.rm = TRUE))
surface_temp_biome %>%
group_by(temp_extreme) %>%
group_split(temp_extreme) %>%
map(
~ggplot(data = .x, aes(x = OceanSODA_surf_temp,
y = argo_surf_temp))+
geom_bin2d(data = .x, aes(x = OceanSODA_surf_temp,
y = argo_surf_temp)) +
scale_fill_viridis_c()+
geom_abline(slope = 1, intercept = 0)+
coord_fixed(ratio = 1,
xlim = c(-3, 25),
ylim = c(-3, 25))+
facet_grid(season~biome_name) +
labs(title = paste( 'Temp extreme:', unique(.x$temp_extreme)),
x = 'OceanSODA temp',
y = 'Argo temp')
)
[[1]]

[[2]]

[[3]]

rm(surface_temp_biome)
profile_temp_extreme_basin <- profile_temp_extreme %>%
group_by(season, basin_AIP, temp_extreme, depth) %>%
summarise(temp_basin = mean(temp_adjusted, na.rm = TRUE),
temp_basin_std = sd(temp_adjusted, na.rm = TRUE)) %>%
ungroup()
profile_temp_extreme_basin %>%
ggplot(aes(x = temp_basin,
y = depth,
group = temp_extreme,
col = temp_extreme))+
geom_ribbon(aes(xmin = temp_basin - temp_basin_std,
xmax = temp_basin + temp_basin_std,
group = temp_extreme,
fill = temp_extreme),
col = NA,
alpha = 0.2)+
geom_path()+
scale_color_manual(values = HNL_colors)+
scale_fill_manual(values = HNL_colors)+
labs(col = 'OceanSODA\ntemp anomaly\n(mean ± st dev)',
fill = 'OceanSODA\ntemp anomaly\n(mean ± st dev)',
y = 'depth (m)',
x = 'basin-mean Argo temperature (ªC)')+
scale_y_continuous(trans = trans_reverser("sqrt"),
breaks = c(10, 100, 250, 500, seq(1000, 5000, 500))) +
facet_grid(season~basin_AIP)

| Version | Author | Date |
|---|---|---|
| 9875dd0 | pasqualina-vonlanthendinenna | 2022-04-05 |
| 48573c4 | pasqualina-vonlanthendinenna | 2022-03-31 |
| eb8e3be | pasqualina-vonlanthendinenna | 2022-03-31 |
| cbb2360 | jens-daniel-mueller | 2022-03-28 |
| fa1b6de | jens-daniel-mueller | 2022-03-28 |
| 8173cdb | jens-daniel-mueller | 2022-03-28 |
| 650ef68 | pasqualina-vonlanthendinenna | 2022-03-18 |
| e12a216 | pasqualina-vonlanthendinenna | 2022-03-15 |
| 1ffe07f | pasqualina-vonlanthendinenna | 2022-03-11 |
| 7540ae4 | pasqualina-vonlanthendinenna | 2022-03-08 |
| 5ef4df2 | pasqualina-vonlanthendinenna | 2022-03-01 |
| 8ef1277 | pasqualina-vonlanthendinenna | 2022-03-01 |
| 7d7874c | pasqualina-vonlanthendinenna | 2022-02-24 |
| c68163a | pasqualina-vonlanthendinenna | 2022-02-22 |
| 19aa73d | pasqualina-vonlanthendinenna | 2022-02-16 |
| f2fa56a | pasqualina-vonlanthendinenna | 2022-02-10 |
rm(profile_temp_extreme_basin)
Number of profiles season x basin
profile_temp_count_basin <- profile_temp_extreme %>%
distinct(season, basin_AIP, temp_extreme, platform_number, cycle_number) %>%
group_by(season, basin_AIP, temp_extreme) %>%
count(temp_extreme)
profile_temp_count_basin %>%
ggplot(aes(x = temp_extreme, y = n, fill = temp_extreme))+
geom_col(width = 0.5)+
facet_grid(season~basin_AIP)+
scale_y_continuous(trans = 'log10')+
labs(y = 'log(number of profiles)',
title = 'Number of profiles season x basin')

| Version | Author | Date |
|---|---|---|
| 9875dd0 | pasqualina-vonlanthendinenna | 2022-04-05 |
| 48573c4 | pasqualina-vonlanthendinenna | 2022-03-31 |
| eb8e3be | pasqualina-vonlanthendinenna | 2022-03-31 |
| cbb2360 | jens-daniel-mueller | 2022-03-28 |
| fa1b6de | jens-daniel-mueller | 2022-03-28 |
| 8173cdb | jens-daniel-mueller | 2022-03-28 |
| 650ef68 | pasqualina-vonlanthendinenna | 2022-03-18 |
| e12a216 | pasqualina-vonlanthendinenna | 2022-03-15 |
| 1ffe07f | pasqualina-vonlanthendinenna | 2022-03-11 |
| 7540ae4 | pasqualina-vonlanthendinenna | 2022-03-08 |
| 5ef4df2 | pasqualina-vonlanthendinenna | 2022-03-01 |
| 8ef1277 | pasqualina-vonlanthendinenna | 2022-03-01 |
| c68163a | pasqualina-vonlanthendinenna | 2022-02-22 |
| 19aa73d | pasqualina-vonlanthendinenna | 2022-02-16 |
| f2fa56a | pasqualina-vonlanthendinenna | 2022-02-10 |
# rm(profile_temp_count_basin)
Surface Argo temperature vs surface OceanSODA temperature (20 m) season x basin
# calculate surface-mean argo pH to compare against OceanSODA surface pH (one value)
surface_temp_basin <- profile_temp_extreme %>%
filter(depth <= 20) %>%
group_by(season, basin_AIP, temp_extreme, platform_number, cycle_number) %>%
summarise(surf_argo_temp = mean(temp_adjusted, na.rm=TRUE),
surf_OceanSODA_temp = mean(OceanSODA_temp, na.rm = TRUE))
surface_temp_basin %>%
group_by(temp_extreme) %>%
group_split(temp_extreme) %>%
map(
~ggplot(data = .x, aes(x = surf_OceanSODA_temp,
y = surf_argo_temp))+
geom_bin2d(data = .x, aes(x = surf_OceanSODA_temp,
y = surf_argo_temp)) +
scale_fill_viridis_c()+
geom_abline(slope = 1, intercept = 0)+
coord_fixed(ratio = 1,
xlim = c(-3, 25),
ylim = c(-3, 25))+
facet_grid(season~basin_AIP) +
labs(title = paste('Temp extreme:', unique(.x$temp_extreme)),
x = 'OceanSODA temp',
y = 'Argo temp')
)
[[1]]

| Version | Author | Date |
|---|---|---|
| 9875dd0 | pasqualina-vonlanthendinenna | 2022-04-05 |
| 48573c4 | pasqualina-vonlanthendinenna | 2022-03-31 |
| eb8e3be | pasqualina-vonlanthendinenna | 2022-03-31 |
| cbb2360 | jens-daniel-mueller | 2022-03-28 |
| fa1b6de | jens-daniel-mueller | 2022-03-28 |
| 8173cdb | jens-daniel-mueller | 2022-03-28 |
| 650ef68 | pasqualina-vonlanthendinenna | 2022-03-18 |
| e12a216 | pasqualina-vonlanthendinenna | 2022-03-15 |
| 1ffe07f | pasqualina-vonlanthendinenna | 2022-03-11 |
| 7540ae4 | pasqualina-vonlanthendinenna | 2022-03-08 |
| 5ef4df2 | pasqualina-vonlanthendinenna | 2022-03-01 |
| 8ef1277 | pasqualina-vonlanthendinenna | 2022-03-01 |
| fd521d1 | pasqualina-vonlanthendinenna | 2022-02-25 |
| c68163a | pasqualina-vonlanthendinenna | 2022-02-22 |
| 19aa73d | pasqualina-vonlanthendinenna | 2022-02-16 |
| f2fa56a | pasqualina-vonlanthendinenna | 2022-02-10 |
[[2]]

| Version | Author | Date |
|---|---|---|
| 9875dd0 | pasqualina-vonlanthendinenna | 2022-04-05 |
| 48573c4 | pasqualina-vonlanthendinenna | 2022-03-31 |
| eb8e3be | pasqualina-vonlanthendinenna | 2022-03-31 |
| cbb2360 | jens-daniel-mueller | 2022-03-28 |
| fa1b6de | jens-daniel-mueller | 2022-03-28 |
| 8173cdb | jens-daniel-mueller | 2022-03-28 |
| 650ef68 | pasqualina-vonlanthendinenna | 2022-03-18 |
| e12a216 | pasqualina-vonlanthendinenna | 2022-03-15 |
| 1ffe07f | pasqualina-vonlanthendinenna | 2022-03-11 |
| 7540ae4 | pasqualina-vonlanthendinenna | 2022-03-08 |
| 5ef4df2 | pasqualina-vonlanthendinenna | 2022-03-01 |
| 8ef1277 | pasqualina-vonlanthendinenna | 2022-03-01 |
| fd521d1 | pasqualina-vonlanthendinenna | 2022-02-25 |
| c68163a | pasqualina-vonlanthendinenna | 2022-02-22 |
| 19aa73d | pasqualina-vonlanthendinenna | 2022-02-16 |
| f2fa56a | pasqualina-vonlanthendinenna | 2022-02-10 |
[[3]]

| Version | Author | Date |
|---|---|---|
| 9875dd0 | pasqualina-vonlanthendinenna | 2022-04-05 |
| eb8e3be | pasqualina-vonlanthendinenna | 2022-03-31 |
| cbb2360 | jens-daniel-mueller | 2022-03-28 |
| fa1b6de | jens-daniel-mueller | 2022-03-28 |
| 8173cdb | jens-daniel-mueller | 2022-03-28 |
| 650ef68 | pasqualina-vonlanthendinenna | 2022-03-18 |
| e12a216 | pasqualina-vonlanthendinenna | 2022-03-15 |
| 1ffe07f | pasqualina-vonlanthendinenna | 2022-03-11 |
| 7540ae4 | pasqualina-vonlanthendinenna | 2022-03-08 |
| 5ef4df2 | pasqualina-vonlanthendinenna | 2022-03-01 |
| 8ef1277 | pasqualina-vonlanthendinenna | 2022-03-01 |
| fd521d1 | pasqualina-vonlanthendinenna | 2022-02-25 |
| c68163a | pasqualina-vonlanthendinenna | 2022-02-22 |
| 19aa73d | pasqualina-vonlanthendinenna | 2022-02-16 |
| f2fa56a | pasqualina-vonlanthendinenna | 2022-02-10 |
rm(surface_temp_basin)
profile_temp_extreme_season <- profile_temp_extreme %>%
group_by(season, biome_name, basin_AIP, temp_extreme, depth) %>%
summarise(temp_mean = mean(temp_adjusted, na.rm = TRUE),
temp_std = sd(temp_adjusted, na.rm = TRUE)) %>%
ungroup()
profile_temp_extreme_season %>%
arrange(depth) %>%
group_split(season) %>%
# head(1) %>%
map(
~ ggplot(
data = .x,
aes(x = temp_mean,
y = depth,
group = temp_extreme,
col = temp_extreme)) +
geom_ribbon(aes(xmax = temp_mean + temp_std,
xmin = temp_mean - temp_std,
group = temp_extreme,
fill = temp_extreme),
col = NA,
alpha = 0.2)+
geom_path() +
scale_color_manual(values = HNL_colors) +
scale_fill_manual(values = HNL_colors) +
labs(title = paste("season:", unique(.x$season)),
col = 'OceanSODA\ntemp anomaly \n(mean ± st dev)',
fill = 'OceanSODA\ntemp anomaly \n(mean ± st dev)',
y = 'depth (m)',
x = 'mean Argo temperature (ºC)') +
scale_y_continuous(
trans = trans_reverser("sqrt"),
breaks = c(10, 100, 250, 500, seq(1000, 5000, 500))
) +
facet_grid(basin_AIP ~ biome_name)
)
[[1]]

[[2]]

[[3]]

[[4]]

Number of profiles season x Mayot biome x basin
profile_temp_count_season <- profile_temp_extreme %>%
distinct(season, biome_name, basin_AIP,
temp_extreme, platform_number, cycle_number) %>%
group_by(season, biome_name, basin_AIP, temp_extreme) %>%
count(temp_extreme)
profile_temp_count_season %>%
group_by(season) %>%
group_split(season) %>%
map(
~ggplot()+
geom_col(data =.x,
aes(x = temp_extreme,
y = n,
fill = temp_extreme),
width = 0.5)+
facet_grid(basin_AIP ~ biome_name)+
scale_y_continuous(trans = 'log10')+
labs(y = 'log(number of profiles)',
title = paste('season:', unique(.x$season)))
)
[[1]]

| Version | Author | Date |
|---|---|---|
| 9875dd0 | pasqualina-vonlanthendinenna | 2022-04-05 |
[[2]]

| Version | Author | Date |
|---|---|---|
| 9875dd0 | pasqualina-vonlanthendinenna | 2022-04-05 |
[[3]]

| Version | Author | Date |
|---|---|---|
| 9875dd0 | pasqualina-vonlanthendinenna | 2022-04-05 |
[[4]]

| Version | Author | Date |
|---|---|---|
| 9875dd0 | pasqualina-vonlanthendinenna | 2022-04-05 |
# rm(profile_temp_count_season)
Surface Argo temperature vs surface OceanSODA temperature (20m) in each season, Mayot biome, basin
# calculate surface-mean argo pH, for each season x biome x basin x ph extreme
surface_temp_season <- profile_temp_extreme %>%
filter(depth <= 20) %>%
group_by(season,
basin_AIP,
biome_name,
temp_extreme,
platform_number,
cycle_number) %>%
summarise(surf_argo_temp = mean(temp_adjusted, na.rm=TRUE),
surf_OceanSODA_temp = mean(OceanSODA_temp, na.rm = TRUE))
surface_temp_season %>%
group_by(season, temp_extreme) %>%
group_split(season, temp_extreme) %>%
map(
~ggplot(data = .x, aes(x = surf_OceanSODA_temp,
y = surf_argo_temp))+
geom_bin2d(data = .x, aes(x = surf_OceanSODA_temp,
y = surf_argo_temp)) +
scale_fill_viridis_c()+
geom_abline(slope = 1, intercept = 0)+
coord_fixed(ratio = 1,
xlim = c(-3, 25),
ylim = c(-3, 25))+
facet_grid(basin_AIP ~ biome_name) +
labs(title = paste('season:', unique(.x$season),
'| temp extreme:', unique(.x$temp_extreme)),
x = 'OceanSODA temp',
y = 'Argo temp')
)
[[1]]

| Version | Author | Date |
|---|---|---|
| 9875dd0 | pasqualina-vonlanthendinenna | 2022-04-05 |
[[2]]

| Version | Author | Date |
|---|---|---|
| 9875dd0 | pasqualina-vonlanthendinenna | 2022-04-05 |
[[3]]

| Version | Author | Date |
|---|---|---|
| 9875dd0 | pasqualina-vonlanthendinenna | 2022-04-05 |
[[4]]

| Version | Author | Date |
|---|---|---|
| 9875dd0 | pasqualina-vonlanthendinenna | 2022-04-05 |
[[5]]

| Version | Author | Date |
|---|---|---|
| 9875dd0 | pasqualina-vonlanthendinenna | 2022-04-05 |
[[6]]

| Version | Author | Date |
|---|---|---|
| 9875dd0 | pasqualina-vonlanthendinenna | 2022-04-05 |
[[7]]

| Version | Author | Date |
|---|---|---|
| 9875dd0 | pasqualina-vonlanthendinenna | 2022-04-05 |
[[8]]

| Version | Author | Date |
|---|---|---|
| 9875dd0 | pasqualina-vonlanthendinenna | 2022-04-05 |
[[9]]

| Version | Author | Date |
|---|---|---|
| 9875dd0 | pasqualina-vonlanthendinenna | 2022-04-05 |
[[10]]

| Version | Author | Date |
|---|---|---|
| 9875dd0 | pasqualina-vonlanthendinenna | 2022-04-05 |
[[11]]

| Version | Author | Date |
|---|---|---|
| 9875dd0 | pasqualina-vonlanthendinenna | 2022-04-05 |
[[12]]

| Version | Author | Date |
|---|---|---|
| 9875dd0 | pasqualina-vonlanthendinenna | 2022-04-05 |
rm(surface_temp_season)
profile_temp_extreme_season %>%
filter(basin_AIP == 'Atlantic',
biome_name == 'SPSS',
season == 'winter') %>%
arrange(depth) %>%
ggplot(aes(x = temp_mean,
y = depth,
group = temp_extreme,
col = temp_extreme)) +
geom_ribbon(aes(xmax = temp_mean + temp_std,
xmin = temp_mean - temp_std,
group = temp_extreme,
fill = temp_extreme),
col = NA,
alpha = 0.2)+
geom_path() +
scale_color_manual(values = HNL_colors) +
scale_fill_manual(values = HNL_colors) +
labs(title = 'Atlantic basin, SPSS biome, winter',
col = 'OceanSODA\ntemp anomaly \n(mean ± st dev)',
fill = 'OceanSODA\ntemp anomaly \n(mean ± st dev)',
y = 'depth (m)',
x = 'mean Argo temperature (ºC)') +
scale_y_continuous(
trans = trans_reverser("sqrt"),
breaks = c(10, 100, 250, 500, seq(1000, 5000, 500)))

| Version | Author | Date |
|---|---|---|
| 9875dd0 | pasqualina-vonlanthendinenna | 2022-04-05 |
| 48573c4 | pasqualina-vonlanthendinenna | 2022-03-31 |
| eb8e3be | pasqualina-vonlanthendinenna | 2022-03-31 |
| a2271df | pasqualina-vonlanthendinenna | 2022-03-30 |
| cbb2360 | jens-daniel-mueller | 2022-03-28 |
| fa1b6de | jens-daniel-mueller | 2022-03-28 |
| 8173cdb | jens-daniel-mueller | 2022-03-28 |
| 650ef68 | pasqualina-vonlanthendinenna | 2022-03-18 |
| e12a216 | pasqualina-vonlanthendinenna | 2022-03-15 |
| 1ffe07f | pasqualina-vonlanthendinenna | 2022-03-11 |
| 7540ae4 | pasqualina-vonlanthendinenna | 2022-03-08 |
| e4188d2 | pasqualina-vonlanthendinenna | 2022-03-01 |
| 5ef4df2 | pasqualina-vonlanthendinenna | 2022-03-01 |
profile_temp_extreme_season %>%
filter(basin_AIP == 'Atlantic',
biome_name == 'STSS',
season == 'spring') %>%
arrange(depth) %>%
ggplot(aes(x = temp_mean,
y = depth,
group = temp_extreme,
col = temp_extreme)) +
geom_ribbon(aes(xmax = temp_mean + temp_std,
xmin = temp_mean - temp_std,
group = temp_extreme,
fill = temp_extreme),
col = NA,
alpha = 0.2)+
geom_path() +
scale_color_manual(values = HNL_colors) +
scale_fill_manual(values = HNL_colors) +
labs(title = 'Atlantic basin, STSS biome, spring',
col = 'OceanSODA\ntemp anomaly \n(mean ± st dev)',
fill = 'OceanSODA\ntemp anomaly \n(mean ± st dev)',
y = 'depth (m)',
x = 'mean Argo temperature (ºC)') +
scale_y_continuous(
trans = trans_reverser("sqrt"),
breaks = c(10, 100, 250, 500, seq(1000, 5000, 500)))

rm(profile_temp_extreme_season)
profile_temp_extreme_biome_basin_jan <- profile_temp_extreme %>%
filter(month == 1) %>%
group_by(biome_name, basin_AIP, temp_extreme, depth) %>%
summarise(temp_mean = mean(temp_adjusted, na.rm = TRUE),
temp_std = sd(temp_adjusted, na.rm = TRUE)) %>%
ungroup()
profile_temp_extreme_biome_basin_jan %>%
arrange(depth) %>%
ggplot(aes(x = temp_mean,
y = depth)) +
geom_ribbon(aes(xmin = temp_mean - temp_std,
xmax = temp_mean + temp_std,
fill = temp_extreme),
alpha = 0.2)+
geom_path(aes(x = temp_mean,
col = temp_extreme))+
facet_grid(basin_AIP~biome_name)+
scale_color_manual(values = HNL_colors) +
scale_fill_manual(values = HNL_colors)+
labs(title = "Basin-Mayot biome-mean January profiles",
col = 'OceanSODA\ntemp anomaly \n(mean ± st dev)',
fill = 'OceanSODA\ntemp anomaly \n(mean ± st dev)',
y = 'depth (m)',
x = 'mean Argo temperature (ºC)') +
scale_y_continuous(trans = trans_reverser("sqrt"),
breaks = c(10, 100, 250, 500, seq(1000, 5000, 500)))
Plot the H/L/N profiles as anomalies relative to the CSIO-MNR Argo temperature climatology
profile_temp_extreme_binned <- profile_temp_extreme %>%
group_by(lon, lat, year, month, platform_cycle,
biome_name, basin_AIP, temp_extreme,
depth) %>%
summarize(temp_adjusted_binned = mean(temp_adjusted, na.rm = TRUE)) %>%
ungroup()
boa_temp_clim <- read_rds(file = paste0(path_argo_preprocessed, '/boa_temp_clim.rds'))
# compatibility with profile_temp_extreme_jan
boa_temp_clim_SO <- boa_temp_clim %>%
filter(lat <= -30) %>%
mutate(depth_boa = depth)
# grid average climatological temp into the argo depth bins
boa_temp_clim_SO <- boa_temp_clim_SO %>%
mutate(
depth = cut(
depth_boa,
breaks = c(0, 10, 20, 30, 50, 70, 100, 300, 500, 800, 1000, 1500, 2000),
include.lowest = TRUE,
labels = as.factor(unique(profile_temp_extreme$depth))
),
depth = as.numeric(as.character(depth))
)
# calculate mean climatological pH per depth bin
boa_temp_clim_SO_binned <- boa_temp_clim_SO %>%
group_by(lon, lat, depth, month) %>%
summarise(clim_temp_binned = mean(clim_temp, na.rm = TRUE)) %>%
ungroup()
# join climatology and ARGO profiles
remove_clim <- inner_join(profile_temp_extreme_binned,
boa_temp_clim_SO_binned)
Points are the January climatological temperature, lines are the depth-binned Argo profiles colored by H/N/L classification
remove_clim %>%
group_split(biome_name, basin_AIP, year) %>%
head(6) %>%
map(
~ ggplot() +
geom_path(
data = .x %>%
filter(temp_extreme == 'N'),
aes(
x = temp_adjusted_binned,
y = depth,
group = platform_cycle,
col = temp_extreme
),
size = 0.3
) +
geom_path(
data = .x %>%
filter(temp_extreme == 'H' | temp_extreme == 'L'),
aes(
x = temp_adjusted_binned,
y = depth,
group = platform_cycle,
col = temp_extreme
),
size = 0.5
) +
geom_point(
data = .x,
aes(x = clim_temp_binned,
y = depth,
col = temp_extreme),
size = 0.5
) +
scale_y_reverse() +
scale_color_manual(values = HNL_colors) +
labs(
x = 'Argo temperature (ºC)',
y = 'depth (m)',
title = paste(
"Biome:",
unique(.x$biome_name),
"| basin:",
unique(.x$basin_AIP),
" | ",
unique(.x$year)
),
col = 'OceanSODA temp \nanomaly'
)
)
[[1]]

| Version | Author | Date |
|---|---|---|
| e61c08e | pasqualina-vonlanthendinenna | 2022-04-27 |
| f5f6b3f | pasqualina-vonlanthendinenna | 2022-04-14 |
| 9875dd0 | pasqualina-vonlanthendinenna | 2022-04-05 |
| 48573c4 | pasqualina-vonlanthendinenna | 2022-03-31 |
| eb8e3be | pasqualina-vonlanthendinenna | 2022-03-31 |
| 749e005 | jens-daniel-mueller | 2022-03-28 |
| 8173cdb | jens-daniel-mueller | 2022-03-28 |
| 7f5c5c6 | pasqualina-vonlanthendinenna | 2022-03-25 |
| d9caaae | pasqualina-vonlanthendinenna | 2022-03-22 |
[[2]]

| Version | Author | Date |
|---|---|---|
| e61c08e | pasqualina-vonlanthendinenna | 2022-04-27 |
| f5f6b3f | pasqualina-vonlanthendinenna | 2022-04-14 |
| 9875dd0 | pasqualina-vonlanthendinenna | 2022-04-05 |
| 48573c4 | pasqualina-vonlanthendinenna | 2022-03-31 |
| 749e005 | jens-daniel-mueller | 2022-03-28 |
| 8173cdb | jens-daniel-mueller | 2022-03-28 |
| 7f5c5c6 | pasqualina-vonlanthendinenna | 2022-03-25 |
| d9caaae | pasqualina-vonlanthendinenna | 2022-03-22 |
[[3]]

| Version | Author | Date |
|---|---|---|
| e61c08e | pasqualina-vonlanthendinenna | 2022-04-27 |
| f5f6b3f | pasqualina-vonlanthendinenna | 2022-04-14 |
| 9875dd0 | pasqualina-vonlanthendinenna | 2022-04-05 |
| 48573c4 | pasqualina-vonlanthendinenna | 2022-03-31 |
| 749e005 | jens-daniel-mueller | 2022-03-28 |
| 8173cdb | jens-daniel-mueller | 2022-03-28 |
| 7f5c5c6 | pasqualina-vonlanthendinenna | 2022-03-25 |
| d9caaae | pasqualina-vonlanthendinenna | 2022-03-22 |
[[4]]

| Version | Author | Date |
|---|---|---|
| e61c08e | pasqualina-vonlanthendinenna | 2022-04-27 |
| f5f6b3f | pasqualina-vonlanthendinenna | 2022-04-14 |
| 9875dd0 | pasqualina-vonlanthendinenna | 2022-04-05 |
| 48573c4 | pasqualina-vonlanthendinenna | 2022-03-31 |
| eb8e3be | pasqualina-vonlanthendinenna | 2022-03-31 |
| 749e005 | jens-daniel-mueller | 2022-03-28 |
| 8173cdb | jens-daniel-mueller | 2022-03-28 |
| 7f5c5c6 | pasqualina-vonlanthendinenna | 2022-03-25 |
| d9caaae | pasqualina-vonlanthendinenna | 2022-03-22 |
[[5]]

| Version | Author | Date |
|---|---|---|
| e61c08e | pasqualina-vonlanthendinenna | 2022-04-27 |
| f5f6b3f | pasqualina-vonlanthendinenna | 2022-04-14 |
| 9875dd0 | pasqualina-vonlanthendinenna | 2022-04-05 |
| 48573c4 | pasqualina-vonlanthendinenna | 2022-03-31 |
| 749e005 | jens-daniel-mueller | 2022-03-28 |
| 8173cdb | jens-daniel-mueller | 2022-03-28 |
| 7f5c5c6 | pasqualina-vonlanthendinenna | 2022-03-25 |
| d9caaae | pasqualina-vonlanthendinenna | 2022-03-22 |
[[6]]

| Version | Author | Date |
|---|---|---|
| e61c08e | pasqualina-vonlanthendinenna | 2022-04-27 |
| f5f6b3f | pasqualina-vonlanthendinenna | 2022-04-14 |
| 9875dd0 | pasqualina-vonlanthendinenna | 2022-04-05 |
| 48573c4 | pasqualina-vonlanthendinenna | 2022-03-31 |
| 749e005 | jens-daniel-mueller | 2022-03-28 |
| 8173cdb | jens-daniel-mueller | 2022-03-28 |
| 7f5c5c6 | pasqualina-vonlanthendinenna | 2022-03-25 |
| d9caaae | pasqualina-vonlanthendinenna | 2022-03-22 |
# calculate the difference between the binned climatological argo and in-situ argo for each depth level and grid cell
remove_clim <- remove_clim %>%
mutate(argo_temp_anomaly = temp_adjusted_binned - clim_temp_binned,
season = case_when(between(month, 3, 5) ~ 'autumn',
between(month, 6, 8) ~ 'winter',
between(month, 9, 11) ~ 'spring',
month == 12 | 1 | 2 ~ 'summer'))
remove_clim %>%
group_split(month) %>%
#head(6) %>%
map(
~ggplot()+
geom_path(data = .x %>% filter(temp_extreme == 'N'),
aes(x = argo_temp_anomaly,
y = depth,
group = platform_cycle,
col = temp_extreme),
size = 0.2)+
geom_path(data = .x %>% filter(temp_extreme == 'H'| temp_extreme == 'L'),
aes(x = argo_temp_anomaly,
y = depth,
group = platform_cycle,
col = temp_extreme),
size = 0.3)+
geom_vline(xintercept = 0)+
scale_y_continuous(trans = trans_reverser("sqrt"),
breaks = c(10, 100, 250, 500, seq(1000, 5000, 500)))+
scale_color_manual(values = HNL_colors)+
scale_fill_manual(values = HNL_colors)+
facet_grid(basin_AIP~biome_name)+
labs(title = paste0('month: ', unique(.x$month)))
)
[[1]]

| Version | Author | Date |
|---|---|---|
| 708f923 | pasqualina-vonlanthendinenna | 2022-05-04 |
| f5f6b3f | pasqualina-vonlanthendinenna | 2022-04-14 |
| 9875dd0 | pasqualina-vonlanthendinenna | 2022-04-05 |
| 48573c4 | pasqualina-vonlanthendinenna | 2022-03-31 |
| eb8e3be | pasqualina-vonlanthendinenna | 2022-03-31 |
| a2271df | pasqualina-vonlanthendinenna | 2022-03-30 |
| cbb2360 | jens-daniel-mueller | 2022-03-28 |
| fa1b6de | jens-daniel-mueller | 2022-03-28 |
| 749e005 | jens-daniel-mueller | 2022-03-28 |
| 8173cdb | jens-daniel-mueller | 2022-03-28 |
| 7f5c5c6 | pasqualina-vonlanthendinenna | 2022-03-25 |
| 27a52f8 | pasqualina-vonlanthendinenna | 2022-03-25 |
[[2]]

| Version | Author | Date |
|---|---|---|
| 708f923 | pasqualina-vonlanthendinenna | 2022-05-04 |
| f5f6b3f | pasqualina-vonlanthendinenna | 2022-04-14 |
| 9875dd0 | pasqualina-vonlanthendinenna | 2022-04-05 |
| 48573c4 | pasqualina-vonlanthendinenna | 2022-03-31 |
| eb8e3be | pasqualina-vonlanthendinenna | 2022-03-31 |
| a2271df | pasqualina-vonlanthendinenna | 2022-03-30 |
| 749e005 | jens-daniel-mueller | 2022-03-28 |
| 8173cdb | jens-daniel-mueller | 2022-03-28 |
| 7f5c5c6 | pasqualina-vonlanthendinenna | 2022-03-25 |
| 27a52f8 | pasqualina-vonlanthendinenna | 2022-03-25 |
[[3]]

| Version | Author | Date |
|---|---|---|
| 708f923 | pasqualina-vonlanthendinenna | 2022-05-04 |
| f5f6b3f | pasqualina-vonlanthendinenna | 2022-04-14 |
| 9875dd0 | pasqualina-vonlanthendinenna | 2022-04-05 |
| 48573c4 | pasqualina-vonlanthendinenna | 2022-03-31 |
| eb8e3be | pasqualina-vonlanthendinenna | 2022-03-31 |
| a2271df | pasqualina-vonlanthendinenna | 2022-03-30 |
| cbb2360 | jens-daniel-mueller | 2022-03-28 |
| fa1b6de | jens-daniel-mueller | 2022-03-28 |
| 749e005 | jens-daniel-mueller | 2022-03-28 |
| 8173cdb | jens-daniel-mueller | 2022-03-28 |
| 7f5c5c6 | pasqualina-vonlanthendinenna | 2022-03-25 |
| 27a52f8 | pasqualina-vonlanthendinenna | 2022-03-25 |
[[4]]

| Version | Author | Date |
|---|---|---|
| 708f923 | pasqualina-vonlanthendinenna | 2022-05-04 |
| f5f6b3f | pasqualina-vonlanthendinenna | 2022-04-14 |
| 9875dd0 | pasqualina-vonlanthendinenna | 2022-04-05 |
| 48573c4 | pasqualina-vonlanthendinenna | 2022-03-31 |
| eb8e3be | pasqualina-vonlanthendinenna | 2022-03-31 |
| a2271df | pasqualina-vonlanthendinenna | 2022-03-30 |
| 749e005 | jens-daniel-mueller | 2022-03-28 |
| 8173cdb | jens-daniel-mueller | 2022-03-28 |
| 7f5c5c6 | pasqualina-vonlanthendinenna | 2022-03-25 |
| 27a52f8 | pasqualina-vonlanthendinenna | 2022-03-25 |
[[5]]

| Version | Author | Date |
|---|---|---|
| 708f923 | pasqualina-vonlanthendinenna | 2022-05-04 |
| f5f6b3f | pasqualina-vonlanthendinenna | 2022-04-14 |
| 9875dd0 | pasqualina-vonlanthendinenna | 2022-04-05 |
| 48573c4 | pasqualina-vonlanthendinenna | 2022-03-31 |
| a2271df | pasqualina-vonlanthendinenna | 2022-03-30 |
| 749e005 | jens-daniel-mueller | 2022-03-28 |
| 8173cdb | jens-daniel-mueller | 2022-03-28 |
| 7f5c5c6 | pasqualina-vonlanthendinenna | 2022-03-25 |
| 27a52f8 | pasqualina-vonlanthendinenna | 2022-03-25 |
[[6]]

| Version | Author | Date |
|---|---|---|
| 708f923 | pasqualina-vonlanthendinenna | 2022-05-04 |
| f5f6b3f | pasqualina-vonlanthendinenna | 2022-04-14 |
| 9875dd0 | pasqualina-vonlanthendinenna | 2022-04-05 |
| 48573c4 | pasqualina-vonlanthendinenna | 2022-03-31 |
| a2271df | pasqualina-vonlanthendinenna | 2022-03-30 |
| 749e005 | jens-daniel-mueller | 2022-03-28 |
| 8173cdb | jens-daniel-mueller | 2022-03-28 |
| 7f5c5c6 | pasqualina-vonlanthendinenna | 2022-03-25 |
| 27a52f8 | pasqualina-vonlanthendinenna | 2022-03-25 |
[[7]]

[[8]]

| Version | Author | Date |
|---|---|---|
| 708f923 | pasqualina-vonlanthendinenna | 2022-05-04 |
[[9]]

| Version | Author | Date |
|---|---|---|
| 708f923 | pasqualina-vonlanthendinenna | 2022-05-04 |
[[10]]

| Version | Author | Date |
|---|---|---|
| 708f923 | pasqualina-vonlanthendinenna | 2022-05-04 |
[[11]]

| Version | Author | Date |
|---|---|---|
| 708f923 | pasqualina-vonlanthendinenna | 2022-05-04 |
[[12]]

| Version | Author | Date |
|---|---|---|
| 708f923 | pasqualina-vonlanthendinenna | 2022-05-04 |
remove_clim_overall_mean <- remove_clim %>%
group_by(temp_extreme, depth) %>%
summarise(temp_anomaly_mean = mean(argo_temp_anomaly, na.rm = TRUE),
temp_anomaly_sd = sd(argo_temp_anomaly, na.rm = TRUE))
remove_clim_overall_mean %>%
ggplot()+
geom_path(aes(x = temp_anomaly_mean,
y = depth,
group = temp_extreme,
col = temp_extreme))+
geom_ribbon(aes(xmax = temp_anomaly_mean + temp_anomaly_sd,
xmin = temp_anomaly_mean - temp_anomaly_sd,
y = depth,
group = temp_extreme,
fill = temp_extreme),
col = NA,
alpha = 0.2)+
geom_vline(xintercept = 0)+
scale_y_continuous(trans = trans_reverser("sqrt"),
breaks = c(10, 100, 250, 500, seq(1000, 5000, 500)))+
scale_color_manual(values = HNL_colors)+
scale_fill_manual(values = HNL_colors)+
geom_text_repel(data = profile_temp_count_mean,
aes(x = 1,
y = 1500,
label = paste0(n),
col = temp_extreme),
size = 7,
segment.color = 'transparent')+
labs(title = 'Overall mean anomaly profiles')

| Version | Author | Date |
|---|---|---|
| 708f923 | pasqualina-vonlanthendinenna | 2022-05-04 |
| e61c08e | pasqualina-vonlanthendinenna | 2022-04-27 |
| f5f6b3f | pasqualina-vonlanthendinenna | 2022-04-14 |
| 9875dd0 | pasqualina-vonlanthendinenna | 2022-04-05 |
| 48573c4 | pasqualina-vonlanthendinenna | 2022-03-31 |
| eb8e3be | pasqualina-vonlanthendinenna | 2022-03-31 |
| a2271df | pasqualina-vonlanthendinenna | 2022-03-30 |
| cbb2360 | jens-daniel-mueller | 2022-03-28 |
| fa1b6de | jens-daniel-mueller | 2022-03-28 |
| 749e005 | jens-daniel-mueller | 2022-03-28 |
| 8173cdb | jens-daniel-mueller | 2022-03-28 |
| 7f5c5c6 | pasqualina-vonlanthendinenna | 2022-03-25 |
| d9caaae | pasqualina-vonlanthendinenna | 2022-03-22 |
rm(remove_clim_overall_mean, profile_temp_count_mean)
remove_clim_biome_mean <- remove_clim %>%
group_by(temp_extreme, depth, season, biome_name) %>%
summarise(temp_anomaly_mean = mean(argo_temp_anomaly, na.rm = TRUE),
temp_anomaly_sd = sd(argo_temp_anomaly, na.rm = TRUE))
remove_clim_biome_mean %>%
ggplot(aes(x = temp_anomaly_mean,
y = depth,
group = temp_extreme,
col = temp_extreme))+
geom_path()+
geom_ribbon(aes(xmax = temp_anomaly_mean + temp_anomaly_sd,
xmin = temp_anomaly_mean - temp_anomaly_sd,
group = temp_extreme,
fill = temp_extreme),
col = NA,
alpha = 0.2)+
geom_vline(xintercept = 0)+
scale_y_continuous(trans = trans_reverser("sqrt"),
breaks = c(10, 100, 250, 500, seq(1000, 5000, 500)))+
scale_fill_manual(values = HNL_colors)+
scale_color_manual(values = HNL_colors)+
labs(title = 'Biome-mean anomaly profiles')+
geom_text_repel(data = profile_temp_count_biome,
aes(x = 3,
y = 1500,
label = paste0(n),
col = temp_extreme),
size = 4,
segment.color = 'transparent')+
facet_grid(season~biome_name)

| Version | Author | Date |
|---|---|---|
| 6572988 | pasqualina-vonlanthendinenna | 2022-05-04 |
| 708f923 | pasqualina-vonlanthendinenna | 2022-05-04 |
| e61c08e | pasqualina-vonlanthendinenna | 2022-04-27 |
| f5f6b3f | pasqualina-vonlanthendinenna | 2022-04-14 |
| 9875dd0 | pasqualina-vonlanthendinenna | 2022-04-05 |
| 48573c4 | pasqualina-vonlanthendinenna | 2022-03-31 |
| eb8e3be | pasqualina-vonlanthendinenna | 2022-03-31 |
| a2271df | pasqualina-vonlanthendinenna | 2022-03-30 |
| cbb2360 | jens-daniel-mueller | 2022-03-28 |
| fa1b6de | jens-daniel-mueller | 2022-03-28 |
| 749e005 | jens-daniel-mueller | 2022-03-28 |
| 8173cdb | jens-daniel-mueller | 2022-03-28 |
| 7f5c5c6 | pasqualina-vonlanthendinenna | 2022-03-25 |
| d9caaae | pasqualina-vonlanthendinenna | 2022-03-22 |
rm(remove_clim_biome_mean, profile_temp_count_biome)
remove_clim_basin_mean <- remove_clim %>%
group_by(basin_AIP, temp_extreme, depth, season) %>%
summarise(temp_anomaly_mean = mean(argo_temp_anomaly, na.rm = TRUE),
temp_anomaly_sd = sd(argo_temp_anomaly, na.rm = TRUE))
remove_clim_basin_mean %>%
ggplot(aes(x = temp_anomaly_mean,
y = depth,
group = temp_extreme,
col = temp_extreme))+
geom_path()+
geom_ribbon(aes(xmax = temp_anomaly_mean + temp_anomaly_sd,
xmin = temp_anomaly_mean - temp_anomaly_sd,
group = temp_extreme,
fill = temp_extreme),
col = NA,
alpha = 0.2)+
geom_vline(xintercept = 0)+
facet_grid(season~basin_AIP)+
scale_y_continuous(trans = trans_reverser("sqrt"),
breaks = c(10, 100, 250, 500, seq(1000, 5000, 500)))+
scale_color_manual(values = HNL_colors)+
scale_fill_manual(values = HNL_colors)+
geom_text_repel(data = profile_temp_count_basin,
aes(x = 2,
y = 1500,
label = paste0(n),
col = temp_extreme),
size = 4,
segment.color = 'transparent')+
labs(title = 'Basin-mean anomaly profiles')

| Version | Author | Date |
|---|---|---|
| 708f923 | pasqualina-vonlanthendinenna | 2022-05-04 |
| e61c08e | pasqualina-vonlanthendinenna | 2022-04-27 |
| f5f6b3f | pasqualina-vonlanthendinenna | 2022-04-14 |
| 9875dd0 | pasqualina-vonlanthendinenna | 2022-04-05 |
| 48573c4 | pasqualina-vonlanthendinenna | 2022-03-31 |
| eb8e3be | pasqualina-vonlanthendinenna | 2022-03-31 |
| a2271df | pasqualina-vonlanthendinenna | 2022-03-30 |
| cbb2360 | jens-daniel-mueller | 2022-03-28 |
| fa1b6de | jens-daniel-mueller | 2022-03-28 |
| 749e005 | jens-daniel-mueller | 2022-03-28 |
| 8173cdb | jens-daniel-mueller | 2022-03-28 |
| 7f5c5c6 | pasqualina-vonlanthendinenna | 2022-03-25 |
| d9caaae | pasqualina-vonlanthendinenna | 2022-03-22 |
rm(remove_clim_basin_mean, profile_temp_count_basin)
remove_clim_basin_biome_mean <- remove_clim %>%
group_by(basin_AIP, biome_name, temp_extreme, season, depth) %>%
summarise(temp_anomaly_mean = mean(argo_temp_anomaly, na.rm = TRUE),
temp_anomaly_sd = sd(argo_temp_anomaly, na.rm = TRUE))
remove_clim_basin_biome_mean %>%
group_by(season) %>%
group_split(season) %>%
map(
~ggplot(data = .x,
aes(x = temp_anomaly_mean,
y = depth,
group = temp_extreme,
col = temp_extreme))+
geom_path()+
geom_ribbon(data = .x,
aes(xmax = temp_anomaly_mean + temp_anomaly_sd,
xmin = temp_anomaly_mean - temp_anomaly_sd,
group = temp_extreme,
fill = temp_extreme),
col = NA,
alpha = 0.2)+
geom_vline(xintercept = 0)+
facet_grid(basin_AIP~biome_name)+
scale_y_continuous(trans = trans_reverser("sqrt"),
breaks = c(10, 100, 250, 500, seq(1000, 5000, 500)))+
scale_color_manual(values = HNL_colors)+
scale_fill_manual(values = HNL_colors)+
# geom_text_repel(data = profile_temp_count_season,
# aes(x = 1,
# y = 1400,
# label = paste0(n),
# col = temp_extreme,
# group = temp_extreme),
# size = 4,
# segment.color = 'transparent')+
labs(title = paste0('biome-basin mean anomaly profiles ', unique(.x$season)))
)
[[1]]

| Version | Author | Date |
|---|---|---|
| e61c08e | pasqualina-vonlanthendinenna | 2022-04-27 |
| f5f6b3f | pasqualina-vonlanthendinenna | 2022-04-14 |
| 9875dd0 | pasqualina-vonlanthendinenna | 2022-04-05 |
| 48573c4 | pasqualina-vonlanthendinenna | 2022-03-31 |
| eb8e3be | pasqualina-vonlanthendinenna | 2022-03-31 |
| a2271df | pasqualina-vonlanthendinenna | 2022-03-30 |
| cbb2360 | jens-daniel-mueller | 2022-03-28 |
| fa1b6de | jens-daniel-mueller | 2022-03-28 |
| 749e005 | jens-daniel-mueller | 2022-03-28 |
[[2]]

[[3]]

[[4]]

rm(remove_clim_basin_biome_mean, profile_temp_count_season)
sessionInfo()
R version 4.1.2 (2021-11-01)
Platform: x86_64-pc-linux-gnu (64-bit)
Running under: openSUSE Leap 15.3
Matrix products: default
BLAS: /usr/local/R-4.1.2/lib64/R/lib/libRblas.so
LAPACK: /usr/local/R-4.1.2/lib64/R/lib/libRlapack.so
locale:
[1] LC_CTYPE=en_US.UTF-8 LC_NUMERIC=C
[3] LC_TIME=en_US.UTF-8 LC_COLLATE=en_US.UTF-8
[5] LC_MONETARY=en_US.UTF-8 LC_MESSAGES=en_US.UTF-8
[7] LC_PAPER=en_US.UTF-8 LC_NAME=C
[9] LC_ADDRESS=C LC_TELEPHONE=C
[11] LC_MEASUREMENT=en_US.UTF-8 LC_IDENTIFICATION=C
attached base packages:
[1] stats graphics grDevices utils datasets methods base
other attached packages:
[1] ggrepel_0.9.1 oce_1.5-0 gsw_1.0-6 ggforce_0.3.3
[5] metR_0.11.0 scico_1.3.0 ggOceanMaps_1.2.6 ggspatial_1.1.5
[9] broom_0.7.11 lubridate_1.8.0 forcats_0.5.1 stringr_1.4.0
[13] dplyr_1.0.7 purrr_0.3.4 readr_2.1.1 tidyr_1.1.4
[17] tibble_3.1.6 ggplot2_3.3.5 tidyverse_1.3.1 workflowr_1.7.0
loaded via a namespace (and not attached):
[1] colorspace_2.0-2 ellipsis_0.3.2 class_7.3-20
[4] rgdal_1.5-28 rprojroot_2.0.2 htmlTable_2.4.0
[7] base64enc_0.1-3 fs_1.5.2 rstudioapi_0.13
[10] proxy_0.4-26 farver_2.1.0 bit64_4.0.5
[13] fansi_1.0.2 xml2_1.3.3 splines_4.1.2
[16] codetools_0.2-18 knitr_1.37 polyclip_1.10-0
[19] Formula_1.2-4 jsonlite_1.7.3 cluster_2.1.2
[22] dbplyr_2.1.1 png_0.1-7 rgeos_0.5-9
[25] compiler_4.1.2 httr_1.4.2 backports_1.4.1
[28] Matrix_1.4-0 assertthat_0.2.1 fastmap_1.1.0
[31] cli_3.1.1 later_1.3.0 tweenr_1.0.2
[34] htmltools_0.5.2 tools_4.1.2 gtable_0.3.0
[37] glue_1.6.0 Rcpp_1.0.8 cellranger_1.1.0
[40] jquerylib_0.1.4 raster_3.5-11 vctrs_0.3.8
[43] xfun_0.29 ps_1.6.0 rvest_1.0.2
[46] lifecycle_1.0.1 terra_1.5-12 getPass_0.2-2
[49] MASS_7.3-55 scales_1.1.1 vroom_1.5.7
[52] hms_1.1.1 promises_1.2.0.1 parallel_4.1.2
[55] RColorBrewer_1.1-2 yaml_2.2.1 gridExtra_2.3
[58] sass_0.4.0 rpart_4.1-15 latticeExtra_0.6-29
[61] stringi_1.7.6 highr_0.9 e1071_1.7-9
[64] checkmate_2.0.0 rlang_1.0.2 pkgconfig_2.0.3
[67] evaluate_0.14 lattice_0.20-45 sf_1.0-5
[70] htmlwidgets_1.5.4 labeling_0.4.2 bit_4.0.4
[73] processx_3.5.2 tidyselect_1.1.1 magrittr_2.0.1
[76] R6_2.5.1 generics_0.1.1 Hmisc_4.6-0
[79] DBI_1.1.2 foreign_0.8-82 pillar_1.6.4
[82] haven_2.4.3 whisker_0.4 withr_2.4.3
[85] units_0.7-2 nnet_7.3-17 survival_3.2-13
[88] sp_1.4-6 modelr_0.1.8 crayon_1.4.2
[91] KernSmooth_2.23-20 utf8_1.2.2 tzdb_0.2.0
[94] rmarkdown_2.11 jpeg_0.1-9 grid_4.1.2
[97] readxl_1.3.1 data.table_1.14.2 callr_3.7.0
[100] git2r_0.29.0 reprex_2.0.1 digest_0.6.29
[103] classInt_0.4-3 httpuv_1.6.5 munsell_0.5.0
[106] viridisLite_0.4.0 bslib_0.3.1