Last updated: 2020-08-15
Checks: 7 0
Knit directory: jesslyn_ovca/analysis/
This reproducible R Markdown analysis was created with workflowr (version 1.6.2). The Checks tab describes the reproducibility checks that were applied when the results were created. The Past versions tab lists the development history.
Great! Since the R Markdown file has been committed to the Git repository, you know the exact version of the code that produced these results.
Great job! The global environment was empty. Objects defined in the global environment can affect the analysis in your R Markdown file in unknown ways. For reproduciblity it’s best to always run the code in an empty environment.
The command set.seed(20200713) was run prior to running the code in the R Markdown file. Setting a seed ensures that any results that rely on randomness, e.g. subsampling or permutations, are reproducible.
Great job! Recording the operating system, R version, and package versions is critical for reproducibility.
Nice! There were no cached chunks for this analysis, so you can be confident that you successfully produced the results during this run.
Great job! Using relative paths to the files within your workflowr project makes it easier to run your code on other machines.
Great! You are using Git for version control. Tracking code development and connecting the code version to the results is critical for reproducibility.
The results in this page were generated with repository version b1ab47b. See the Past versions tab to see a history of the changes made to the R Markdown and HTML files.
Note that you need to be careful to ensure that all relevant files for the analysis have been committed to Git prior to generating the results (you can use wflow_publish or wflow_git_commit). workflowr only checks the R Markdown file, but you know if there are other scripts or data files that it depends on. Below is the status of the Git repository when the results were generated:
Ignored files:
Ignored: .DS_Store
Ignored: .Rhistory
Ignored: .Rproj.user/
Ignored: analysis/.DS_Store
Ignored: code/.DS_Store
Ignored: data/.DS_Store
Ignored: data/HTAPP/
Ignored: data/Izar_2020/
Ignored: data/gene_lists/.DS_Store
Ignored: data/gene_lists/cellcycle/.DS_Store
Ignored: data/gene_lists/extra/.DS_Store
Ignored: jesslyn_plots/
Ignored: mike_plots/
Ignored: old/.DS_Store
Ignored: old/edited/.DS_Store
Ignored: renv/.DS_Store
Ignored: renv/library/
Ignored: renv/python/
Ignored: renv/staging/
Ignored: vignettes/
Note that any generated files, e.g. HTML, png, CSS, etc., are not included in this status report because it is ok for generated content to have uncommitted changes.
These are the previous versions of the repository in which changes were made to the R Markdown (analysis/02.1_Izar2020_SS2_DEAnalysis.Rmd) and HTML (docs/02.1_Izar2020_SS2_DEAnalysis.html) files. If you’ve configured a remote Git repository (see ?wflow_git_remote), click on the hyperlinks in the table below to view the files as they were in that past version.
| File | Version | Author | Date | Message |
|---|---|---|---|---|
| Rmd | b1ab47b | jgoh2 | 2020-08-15 | workflowr::wflow_publish(files = files) |
| html | 789982d | jgoh2 | 2020-08-14 | Build site. |
| Rmd | 2880f59 | jgoh2 | 2020-08-14 | workflowr::wflow_publish(files = files) |
| html | e05c328 | jgoh2 | 2020-08-12 | Build site. |
| html | 84edf85 | jgoh2 | 2020-08-12 | Build site. |
| Rmd | d504c59 | jgoh2 | 2020-08-12 | workflowr::wflow_publish(files = files) |
| html | a3ddf54 | jgoh2 | 2020-08-07 | Build site. |
| Rmd | 3e3db67 | jgoh2 | 2020-08-07 | workflowr::wflow_publish(files = files) |
| html | d801a7a | jgoh2 | 2020-08-04 | Build site. |
| html | 26f64a3 | jgoh2 | 2020-08-03 | Build site. |
| Rmd | eaa900e | jgoh2 | 2020-08-03 | workflowr::wflow_publish(files = files) |
| html | 2dc1bee | jgoh2 | 2020-07-31 | Build site. |
| Rmd | 284aad4 | jgoh2 | 2020-07-31 | workflowr::wflow_publish(files = files) |
| Rmd | c8bb9fc | jgoh2 | 2020-07-30 | PDX Exploratory + DE + Cell Cycle Analyses |
| html | 6be6c85 | jgoh2 | 2020-07-28 | Build site. |
| Rmd | cdd10f9 | jgoh2 | 2020-07-28 | SS2 DE Analysis |
| html | cdd10f9 | jgoh2 | 2020-07-28 | SS2 DE Analysis |
| Rmd | 35c7947 | jgoh2 | 2020-07-27 | SS2 Analysis Part 1 and 2 |
| Rmd | e27cfd1 | jgoh2 | 2020-07-22 | Moved files out of the analysis folder + AddModulescore in read_Izar_2020.R |
| Rmd | 527247a | jgoh2 | 2020-07-20 | Reorganize SS2 code and add to the analysis folder |
This is the third part of our 5-part analysis of the Izar 2020 SS2 (Cohort 2) data.
# Load packages
source(here::here('packages.R'))
#Read in SS2 RDS object
SS2Malignant = readRDS(file = "data/Izar_2020/jesslyn_SS2Malignant_processed.RDS")
SS2Malignant.8 = readRDS(file = "data/Izar_2020/jesslyn_SS2Malignant8_processed.RDS")
SS2Malignant.9 = readRDS(file = "data/Izar_2020/jesslyn_SS2Malignant9_processed.RDS")
#Read in hallmarks of interest
g0g1.genes <- read_lines("data/gene_lists/cellcycle/G0G1.txt", skip = 2)
g1S.DNAdamage.genes <- read_lines("data/gene_lists/cellcycle/G1SDNAdamage.txt", skip = 2)
g1S.transcription.genes <- read_lines("data/gene_lists/cellcycle/G1Stranscription.txt", skip = 2)
g2m.checkpoint.genes <- read_lines("data/gene_lists/cellcycle/G2Mcheckpoint.txt", skip = 2)
g2m.DNAdamage.genes <- read_lines("data/gene_lists/cellcycle/G2MDNAdamage.txt", skip = 2)
g2m.replicationCP.genes <- read_lines("data/gene_lists/cellcycle/G2MreplicationCheckpoint.txt", skip = 2)
hallmark_names = read_lines("data/gene_lists/hallmarks.txt")
hallmark.list <- vector(mode = "list", length = length(hallmark_names) + 9)
names(hallmark.list) <- c(hallmark_names, "GO.OXPHOS", "KEGG.OXPHOS", "UNUPDATED.OXPHOS",
"UNUPDATED.UPR", "G0G1", "G1S.DNAdamage", "G1S.transcription", "G2M.checkpoint",
"G2M.DNAdamage")
for(hm in hallmark_names){
file <- read_lines(glue("data/gene_lists/hallmarks/{hm}_updated.txt"), skip = 1)
hallmark.list[[hm]] <- file
}
hallmark.list[["GO.OXPHOS"]] <- read_lines("data/gene_lists/extra/GO.OXPHOS.txt", skip = 1)
hallmark.list[["KEGG.OXPHOS"]] <- read_lines("data/gene_lists/extra/KEGG.OXPHOS.txt", skip = 2)
hallmark.list[["UNUPDATED.OXPHOS"]] <- read_lines("data/gene_lists/oxphos.txt", skip =1)
hallmark.list[["UNUPDATED.UPR"]] <- read_lines("data/gene_lists/upr.txt", skip =1)
hallmark.list[["G0G1"]] <- g0g1.genes
hallmark.list[["G1S.DNAdamage"]] <- g1S.DNAdamage.genes
hallmark.list[["G1S.transcription"]] <- g1S.transcription.genes
hallmark.list[["G2M.checkpoint"]] <- g2m.checkpoint.genes
hallmark.list[["G2M.DNAdamage"]] <- g2m.DNAdamage.genes
#center module and cell cycle scores and reassign to the metadata of each Seurat object
hm.names <- names(SS2Malignant@meta.data)[14:58]
for(i in hm.names){
SS2Malignant.hm.centered <- scale(SS2Malignant[[i]], center = TRUE, scale = FALSE)
SS2Malignant <- AddMetaData(SS2Malignant, SS2Malignant.hm.centered, col.name = glue("{i}.centered"))
SS2Malignant8.hm.centered <- scale(SS2Malignant.8[[i]], center = TRUE, scale = FALSE)
SS2Malignant.8 <- AddMetaData(SS2Malignant.8, SS2Malignant8.hm.centered, col.name = glue("{i}.centered"))
SS2Malignant9.hm.centered <- scale(SS2Malignant.9[[i]], center = TRUE, scale = FALSE)
SS2Malignant.9 <- AddMetaData(SS2Malignant.9, SS2Malignant9.hm.centered, col.name = glue("{i}.centered"))
}
ANSWERING QUESTION #1: How many and which genes are not found in the SS2 Seurat Object for each geneset?
hm.length.df <- data.frame(
"UNUPDATED.HM.OXPHOS" = length(hallmark.list[["UNUPDATED.OXPHOS"]]),
"HALLMARK.OXPHOS" = length(hallmark.list[["HALLMARK_OXIDATIVE_PHOSPHORYLATION"]]),
"GO.OXPHOS" = length(hallmark.list[["GO.OXPHOS"]]),
"KEGG.OXPHOS" = length(hallmark.list[["KEGG.OXPHOS"]])
)
Found.df <- data.frame(
"UNUPDATED.HM.OXPHOS" = sum((hallmark.list[["UNUPDATED.OXPHOS"]] %in% rownames(SS2Malignant))),
"HALLMARK.OXPHOS" = sum((hallmark.list[["HALLMARK_OXIDATIVE_PHOSPHORYLATION"]] %in% rownames(SS2Malignant))),
"GO.OXPHOS" = sum((hallmark.list[["GO.OXPHOS"]] %in% rownames(SS2Malignant))),
"KEGG.OXPHOS" = sum((hallmark.list[["KEGG.OXPHOS"]] %in% rownames(SS2Malignant)))
)
PFound.df <- data.frame(
"UNUPDATED.HM.OXPHOS" = (sum((hallmark.list[["UNUPDATED.OXPHOS"]] %in% rownames(SS2Malignant)))/length(hallmark.list[["UNUPDATED.OXPHOS"]]))*100,
"HALLMARK.OXPHOS" = (sum((hallmark.list[["HALLMARK_OXIDATIVE_PHOSPHORYLATION"]] %in% rownames(SS2Malignant)))/length(hallmark.list[["HALLMARK_OXIDATIVE_PHOSPHORYLATION"]])) * 100,
"GO.OXPHOS" = (sum((hallmark.list[["GO.OXPHOS"]] %in% rownames(SS2Malignant)))/length(hallmark.list[["GO.OXPHOS"]]))*100,
"KEGG.OXPHOS" = (sum((hallmark.list[["KEGG.OXPHOS"]] %in% rownames(SS2Malignant)))/length(hallmark.list[["KEGG.OXPHOS"]]))*100
)
NA.df <- data.frame(
"UNUPDATED.HM.OXPHOS" = sum(!(hallmark.list[["UNUPDATED.OXPHOS"]] %in% rownames(SS2Malignant))),
"HALLMARK.OXPHOS" = sum(!(hallmark.list[["HALLMARK_OXIDATIVE_PHOSPHORYLATION"]] %in% rownames(SS2Malignant))),
"GO.OXPHOS" = sum(!(hallmark.list[["GO.OXPHOS"]] %in% rownames(SS2Malignant))),
"KEGG.OXPHOS" = sum(!(hallmark.list[["KEGG.OXPHOS"]] %in% rownames(SS2Malignant)))
)
all.df <- rbind(hm.length.df, Found.df, PFound.df, NA.df)
rownames(all.df) <- c("NumGenes", "Found", "%Found", "Not Found")
all.df[,"GO.OXPHOS"] <- round(all.df[,"GO.OXPHOS"])
all.df[,"KEGG.OXPHOS"] <- round(all.df[,"KEGG.OXPHOS"])
all.df
UNUPDATED.HM.OXPHOS HALLMARK.OXPHOS GO.OXPHOS KEGG.OXPHOS
NumGenes 200 200 144 131
Found 184 182 107 101
%Found 92 91 74 77
Not Found 16 18 37 30
# IDENTIFY GENES THAT ARE NOT FOUND -----------
NA.genes.df <- vector("list", length = 4)
names <- c("UNUPDATED.OXPHOS", "HALLMARK_OXIDATIVE_PHOSPHORYLATION", "GO.OXPHOS", "KEGG.OXPHOS")
names(NA.genes.df) <- names
for(i in names){
NA.genes.df[[i]] <- (hallmark.list[[i]])[which(!(hallmark.list[[i]] %in% rownames(SS2Malignant)))]
}
ANSWERING QUESTION 2: Which genes in each geneset are the most DE? Are they the same?
SS2s <- c(SS2Malignant.8, SS2Malignant.9)
SS2.names <- c("SS2 Patient 8", "SS2 Patient 9")
oxphos.hm <- c("UNUPDATED.OXPHOS", "GO.OXPHOS", "KEGG.OXPHOS")
SS2.hm.plots <- vector("list", length = 3)
names(SS2.hm.plots) <- SS2.names
SS2.markers <- vector("list", length = 3)
names(SS2.markers) <- SS2.names
SS2.markers[["SS2 Patient 8"]] <- FindMarkers(SS2Malignant.8, group.by = "sample", ident.1 = "8.1", ident.2 = "8.0", test.use = "wilcox", logfc.threshold = 0)
SS2.markers[["SS2 Patient 9"]] <- FindMarkers(SS2Malignant.9, group.by = "sample", ident.1 = "9.1", ident.2 = "9.0", test.use = "wilcox", logfc.threshold = 0)
for(i in 1:length(SS2s)){
SS2 <- SS2.names[[i]]
DF.hm.plot <- vector("list", length = 3)
names(DF.hm.plot) <- oxphos.hm
marker <- SS2.markers[[SS2]]
for(oxphos in oxphos.hm){
avgLFC <- rownames(marker[which(abs(marker$avg_logFC) > 0.5),])
keyvals <- ifelse(!(rownames(marker) %in% hallmark.list[[oxphos]]), 'black',
ifelse(abs(marker$avg_logFC) > 0.5, 'red', 'grey'))
names(keyvals)[keyvals == 'red'] <- 'OXPHOS & logFC'
names(keyvals)[keyvals == 'grey'] <- 'OXPHOS x logFC'
names(keyvals)[keyvals == 'black'] <- 'Not OXPHOS'
found = length(avgLFC[which(avgLFC %in% hallmark.list[[oxphos]])])
p <- EnhancedVolcano(marker,
lab = rownames(marker),
selectLab = avgLFC[which(avgLFC %in% hallmark.list[[oxphos]])],
labCol = "red",
x='avg_logFC', y='p_val_adj', pCutoff = 0.05,
FCcutoff = 0.5,
colCustom = keyvals,
pointSize = c(ifelse(rownames(marker) %in% hallmark.list[[oxphos]], 2.5,1)),
drawConnectors = TRUE,
boxedLabels = TRUE,
labvjust = 1,
title= glue("{SS2} p.1 vs. p.0"), subtitle= "LogFC cutoff: 0.5, p cutoff: 0.05",
caption = glue("{oxphos}: {found} high LFC oxphos genes found")
)
DF.hm.plot[[oxphos]] <- p
}
SS2.hm.plots[[SS2]] <- DF.hm.plot[["UNUPDATED.OXPHOS"]] + DF.hm.plot[["GO.OXPHOS"]] + DF.hm.plot[["KEGG.OXPHOS"]]
}
SS2.hm.plots[["SS2 Patient 8"]]

SS2.hm.plots[["SS2 Patient 9"]]

# number of DE oxphos genes found in each geneset within each model -----------------
P8.de.df <- data.frame(
"UNUPDATED.HM.OXPHOS" = sum(rownames(SS2.markers[["SS2 Patient 8"]][which(abs(SS2.markers[["SS2 Patient 8"]]$avg_logFC) > 0.5),]) %in% hallmark.list[["UNUPDATED.OXPHOS"]]),
"GO.OXPHOS" = sum(rownames(SS2.markers[["SS2 Patient 8"]][which(abs(SS2.markers[["SS2 Patient 8"]]$avg_logFC) > 0.5),]) %in% hallmark.list[["GO.OXPHOS"]]),
"KEGG.OXPHOS" = sum(rownames(SS2.markers[["SS2 Patient 8"]][which(abs(SS2.markers[["SS2 Patient 8"]]$avg_logFC) > 0.5),]) %in% hallmark.list[["KEGG.OXPHOS"]])
)
P9.de.df <- data.frame(
"UNUPDATED.HM.OXPHOS" = sum(rownames(SS2.markers[["SS2 Patient 9"]][which(abs(SS2.markers[["SS2 Patient 9"]]$avg_logFC) > 0.5),]) %in% hallmark.list[["UNUPDATED.OXPHOS"]]),
"GO.OXPHOS" = sum(rownames(SS2.markers[["SS2 Patient 9"]][which(abs(SS2.markers[["SS2 Patient 9"]]$avg_logFC) > 0.5),]) %in% hallmark.list[["GO.OXPHOS"]]),
"KEGG.OXPHOS" = sum(rownames(SS2.markers[["SS2 Patient 9"]][which(abs(SS2.markers[["SS2 Patient 9"]]$avg_logFC) > 0.5),]) %in% hallmark.list[["KEGG.OXPHOS"]])
)
all.de.df <- rbind(P8.de.df, P9.de.df)
rownames(all.de.df) <- c("P8.1vs8.0", "P9.1vs9.0")
all.de.df
UNUPDATED.HM.OXPHOS GO.OXPHOS KEGG.OXPHOS
P8.1vs8.0 26 23 16
P9.1vs9.0 5 3 1
percent.logFC <- data.frame(
"UNUPDATED.HM.OXPHOS" = round(all.de.df[, "UNUPDATED.HM.OXPHOS"]/all.df["Found", "UNUPDATED.HM.OXPHOS"]*100, 2),
"GO.OXPHOS" = round(all.de.df[, "GO.OXPHOS"]/all.df["Found", "GO.OXPHOS"]*100, 2),
"KEGG.OXPHOS" = round(all.de.df[, "KEGG.OXPHOS"]/all.df["Found", "KEGG.OXPHOS"]*100, 2)
)
rownames(percent.logFC) <- c("P8 %Found highLFC", "P9 %Found highLFC")
rbind(all.df[,names(all.df) != "HALLMARK.OXPHOS"], percent.logFC)
UNUPDATED.HM.OXPHOS GO.OXPHOS KEGG.OXPHOS
NumGenes 200.00 144.0 131.00
Found 184.00 107.0 101.00
%Found 92.00 74.0 77.00
Not Found 16.00 37.0 30.00
P8 %Found highLFC 14.13 21.5 15.84
P9 %Found highLFC 2.72 2.8 0.99
p8.top5 <- SS2.markers[["SS2 Patient 8"]] %>% arrange(-abs(avg_logFC))
p9.top5 <- SS2.markers[["SS2 Patient 9"]] %>% arrange(-abs(avg_logFC))
p8.gs.df <- data.frame(
"UNUPDATED.OXPHOS" = head(rownames(p8.top5)[which(rownames(p8.top5) %in% hallmark.list[["UNUPDATED.OXPHOS"]])], 5),
"UNUPDATED.OXPHOS" = select(p8.top5[head(rownames(p8.top5)[which(rownames(p8.top5) %in% hallmark.list[["UNUPDATED.OXPHOS"]])], 5),], avg_logFC),
"GO.OXPHOS" = head(rownames(p8.top5)[which(rownames(p8.top5) %in% hallmark.list[["GO.OXPHOS"]])], 5),
"GO.OXPHOS" = select(p8.top5[head(rownames(p8.top5)[which(rownames(p8.top5) %in% hallmark.list[["GO.OXPHOS"]])], 5),], avg_logFC),
"KEGG.OXPHOS" = head(rownames(p8.top5)[which(rownames(p8.top5) %in% hallmark.list[["KEGG.OXPHOS"]])], 5),
"KEGG.OXPHOS" = select(p8.top5[head(rownames(p8.top5)[which(rownames(p8.top5) %in% hallmark.list[["KEGG.OXPHOS"]])], 5),], avg_logFC)
)
rownames(p8.gs.df) <- seq(from = 1, length = nrow(p8.gs.df))
p9.gs.df <- data.frame(
"UNUPDATED.OXPHOS" = head(rownames(p9.top5)[which(rownames(p9.top5) %in% hallmark.list[["UNUPDATED.OXPHOS"]])], 5),
"UNUPDATED.OXPHOS" = select(p9.top5[head(rownames(p9.top5)[which(rownames(p9.top5) %in% hallmark.list[["UNUPDATED.OXPHOS"]])], 5),], avg_logFC),
"GO.OXPHOS" = head(rownames(p9.top5)[which(rownames(p9.top5) %in% hallmark.list[["GO.OXPHOS"]])], 5),
"GO.OXPHOS" = select(p9.top5[head(rownames(p9.top5)[which(rownames(p9.top5) %in% hallmark.list[["GO.OXPHOS"]])], 5),], avg_logFC),
"KEGG.OXPHOS" = head(rownames(p9.top5)[which(rownames(p9.top5) %in% hallmark.list[["KEGG.OXPHOS"]])], 5),
"KEGG.OXPHOS" = select(p9.top5[head(rownames(p9.top5)[which(rownames(p9.top5) %in% hallmark.list[["KEGG.OXPHOS"]])], 5),], avg_logFC)
)
rownames(p9.gs.df) <- seq(from = 1, length = nrow(p9.gs.df))
p8.gs.df
UNUPDATED.OXPHOS avg_logFC GO.OXPHOS avg_logFC.1 KEGG.OXPHOS avg_logFC.2
1 NQO2 1.2232801 MLXIPL -1.4084023 NDUFA4L2 -1.3529251
2 OAT 0.9683255 CHCHD10 -0.9787089 NDUFB1 -0.9501970
3 NDUFB1 -0.9501970 NDUFB1 -0.9501970 NDUFA3 -0.9273634
4 NDUFA3 -0.9273634 NDUFA3 -0.9273634 NDUFB3 -0.9247449
5 NDUFB3 -0.9247449 NDUFB3 -0.9247449 ATP6V1B2 0.8188562
p9.gs.df
UNUPDATED.OXPHOS avg_logFC GO.OXPHOS avg_logFC.1 KEGG.OXPHOS avg_logFC.2
1 SLC25A20 0.9290268 SLC25A33 -0.9222536 ATP6V1B1 0.6114638
2 RHOT1 0.8159080 SURF1 0.6201898 ATP6V0A4 -0.4970007
3 MTRF1 0.6758994 DNAJC15 -0.5914836 NDUFA4L2 -0.3899799
4 SURF1 0.6201898 COQ9 0.4983459 ATP6V0A2 -0.3867169
5 MTRR 0.6044816 ISCU 0.4919133 ATP6V0A1 -0.3449714
ANSWERING QUESTION #3: which geneset gives us the most statistically significant results
oxphos.centered <- c("UNUPDATED.OXPHOS37.centered", "GO.OXPHOS35.centered", "KEGG.OXPHOS36.centered")
SS2.Oxphos.Vln.plots <- vector("list", length(SS2s))
names(SS2.Oxphos.Vln.plots) <- SS2.names
patient <- c("8", "9")
for (i in 1:length(SS2s)){
obj <- SS2s[[i]]
name <- SS2.names[[i]]
numCells <- nrow(SS2s[[i]]@meta.data)
my_comparisons <- list(
c(glue("{patient[[i]]}.0"), glue("{patient[[i]]}.1")),
c(glue("{patient[[i]]}.1"), glue("{patient[[i]]}.2")),
c(glue("{patient[[i]]}.0"), glue("{patient[[i]]}.2"))
)
if(patient[[i]] == "8"){
p <- VlnPlot(obj, features = oxphos.centered, group.by = "sample", pt.size = 0, combine = F, cols = c("#00AFBB", "#E7B800", "#FC4E07"), y.max = 0.7)
}
else{
p <- VlnPlot(obj, features = oxphos.centered, group.by = "sample", pt.size = 0, combine = F, cols = c("#00AFBB", "#E7B800", "#FC4E07"), y.max = 1.0)
}
unupdated.found <- sum(hallmark.list[["UNUPDATED.OXPHOS"]] %in% rownames(obj))
unupdated.length <- length(hallmark.list[["UNUPDATED.OXPHOS"]])
unupdated.pFound <- round((unupdated.found / unupdated.length)*100, 2)
p[[1]] <- p[[1]] + labs(title = glue("{name} UNUPDATED.OXPHOS scores across sample"), x = name, subtitle = glue("{numCells} Malignant Cells, {unupdated.found} out of {unupdated.length} OXPHOS genes found ({unupdated.pFound}%)")) +
theme(plot.title = element_text(size = 12), plot.caption = element_text(size = 10)) +
geom_boxplot(width = 0.15, position = position_dodge(0.9), alpha = 0.3, show.legend = F) +
geom_text(label = paste(sum(str_detect(obj$sample, "[:digit:].0")), "cells"), x = glue("{patient[[i]]}.0"), y = min(obj$UNUPDATED.OXPHOS37.centered) -0.03) +
geom_text(label = paste(sum(str_detect(obj$sample, "[:digit:].1")), "cells"), x = glue("{patient[[i]]}.1"), y = min(obj$UNUPDATED.OXPHOS37.centered) - 0.03) +
geom_text(label = paste(sum(str_detect(obj$sample, "[:digit:].2")), "cells"), x = glue("{patient[[i]]}.2"), y = min(obj$UNUPDATED.OXPHOS37.centered) - 0.03) +
stat_compare_means(comparisons = my_comparisons, method = "wilcox.test", label = "p.format", step.increase = 0.05) +
stat_compare_means(comparisons = my_comparisons, method = "wilcox.test", label = "p.signif", step.increase = 0.05, bracket.size = 0, vjust = 1.8)
GO.found <- sum(hallmark.list[["GO.OXPHOS"]] %in% rownames(obj))
GO.length <- length(hallmark.list[["GO.OXPHOS"]])
GO.pFound <- round((GO.found / GO.length)*100,2)
p[[2]] <- p[[2]] + labs(title = glue("{name} GO.OXPHOS scores across sample"), x = name, subtitle = glue("{numCells} Malignant Cells, {GO.found} out of {GO.length} OXPHOS genes found ({GO.pFound}%)")) +
theme(plot.title = element_text(size = 12), plot.caption = element_text(size = 10)) +
geom_boxplot(width = 0.15, position = position_dodge(0.9), alpha = 0.3, show.legend = F) +
geom_text(label = paste(sum(str_detect(obj$sample, "[:digit:].0")), "cells"), x = glue("{patient[[i]]}.0"), y = min(obj$GO.OXPHOS35.centered) -0.03) +
geom_text(label = paste(sum(str_detect(obj$sample, "[:digit:].1")), "cells"), x = glue("{patient[[i]]}.1"), y = min(obj$GO.OXPHOS35.centered) - 0.03) +
geom_text(label = paste(sum(str_detect(obj$sample, "[:digit:].2")), "cells"), x = glue("{patient[[i]]}.2"), y = min(obj$GO.OXPHOS35.centered) - 0.03) +
stat_compare_means(comparisons = my_comparisons, method = "wilcox.test", label = "p.format", step.increase = 0.05) +
stat_compare_means(comparisons = my_comparisons, method = "wilcox.test", label = "p.signif", step.increase = 0.05, bracket.size = 0, vjust = 1.8)
KEGG.found <- sum(hallmark.list[["KEGG.OXPHOS"]] %in% rownames(obj))
KEGG.length <- length(hallmark.list[["KEGG.OXPHOS"]])
KEGG.pFound <- round((KEGG.found / KEGG.length)*100,2)
p[[3]] <- p[[3]] + labs(title = glue("{name} KEGG.OXPHOS scores across sample"), x = name, subtitle = glue("{numCells} Malignant Cells, {KEGG.found} out of {KEGG.length} OXPHOS genes found ({KEGG.pFound}%)")) +
theme(plot.title = element_text(size = 12), plot.caption = element_text(size = 10)) +
geom_boxplot(width = 0.15, position = position_dodge(0.9), alpha = 0.3, show.legend = F) +
geom_text(label = paste(sum(str_detect(obj$sample, "[:digit:].0")), "cells"), x = glue("{patient[[i]]}.0"), y = min(obj$KEGG.OXPHOS36.centered) -0.03) +
geom_text(label = paste(sum(str_detect(obj$sample, "[:digit:].1")), "cells"), x = glue("{patient[[i]]}.1"), y = min(obj$KEGG.OXPHOS36.centered) - 0.03) +
geom_text(label = paste(sum(str_detect(obj$sample, "[:digit:].2")), "cells"), x = glue("{patient[[i]]}.2"), y = min(obj$KEGG.OXPHOS36.centered) - 0.03) +
stat_compare_means(comparisons = my_comparisons, method = "wilcox.test", label = "p.format", step.increase = 0.05) +
stat_compare_means(comparisons = my_comparisons, method = "wilcox.test", label = "p.signif", step.increase = 0.05, bracket.size = 0, vjust = 1.8)
p <- p[[1]] + p[[2]] + p[[3]] + plot_layout(guides= 'collect')
SS2.Oxphos.Vln.plots[[name]] <- p
}
SS2.Oxphos.Vln.plots[["SS2 Patient 8"]]

SS2.Oxphos.Vln.plots[["SS2 Patient 9"]]

Therefore, considering these three criteria, we decide that the GO geneset is best for our SS2 data.
SUMMARY STATISTICS
#Patient 8 ---------------------------------
SS2Malignant8.0 <- subset(SS2Malignant.8, subset = (sample == "8.0"))
SS2Malignant8.1 <- subset(SS2Malignant.8, subset = (sample == "8.1"))
SS2Malignant8.2 <- subset(SS2Malignant.8, subset = (sample == "8.2"))
SS2M8.uhm.oxphos.df <- data.frame(
"p.0vsp.1" = wilcox.test(SS2Malignant8.0$UNUPDATED.OXPHOS37.centered, SS2Malignant8.1$UNUPDATED.OXPHOS37.centered)$p.value,
"p.1vsp.2" = wilcox.test(SS2Malignant8.1$UNUPDATED.OXPHOS37.centered, SS2Malignant8.2$UNUPDATED.OXPHOS37.centered)$p.value,
"p.0vsp.2" = wilcox.test(SS2Malignant8.0$UNUPDATED.OXPHOS37.centered, SS2Malignant8.2$UNUPDATED.OXPHOS37.centered)$p.value
)
SS2M8.go.oxphos.df <- data.frame(
"p.0vsp.1" = wilcox.test(SS2Malignant8.0$GO.OXPHOS35.centered, SS2Malignant8.1$GO.OXPHOS35.centered)$p.value,
"p.1vsp.2" = wilcox.test(SS2Malignant8.1$GO.OXPHOS35.centered, SS2Malignant8.2$GO.OXPHOS35.centered)$p.value,
"p.0vsp.2" = wilcox.test(SS2Malignant8.0$GO.OXPHOS35.centered, SS2Malignant8.2$GO.OXPHOS35.centered)$p.value
)
SS2M8.kegg.oxphos.df <- data.frame(
"p.0vsp.1" = wilcox.test(SS2Malignant8.0$KEGG.OXPHOS36.centered, SS2Malignant8.1$KEGG.OXPHOS36.centered)$p.value,
"p.1vsp.2" = wilcox.test(SS2Malignant8.1$KEGG.OXPHOS36.centered, SS2Malignant8.2$KEGG.OXPHOS36.centered)$p.value,
"p.0vsp.2" = wilcox.test(SS2Malignant8.0$KEGG.OXPHOS36.centered, SS2Malignant8.2$KEGG.OXPHOS36.centered)$p.value
)
#Patient 9 ---------------------------------
SS2Malignant9.0 <- subset(SS2Malignant.9, subset = (sample == "9.0"))
SS2Malignant9.1 <- subset(SS2Malignant.9, subset = (sample == "9.1"))
SS2Malignant9.2 <- subset(SS2Malignant.9, subset = (sample == "9.2"))
SS2M9.uhm.oxphos.df <- data.frame(
"p.0vsp.1" = wilcox.test(SS2Malignant9.0$UNUPDATED.OXPHOS37.centered, SS2Malignant9.1$UNUPDATED.OXPHOS37.centered)$p.value,
"p.1vsp.2" = wilcox.test(SS2Malignant9.1$UNUPDATED.OXPHOS37.centered, SS2Malignant9.2$UNUPDATED.OXPHOS37.centered)$p.value,
"p.0vsp.2" = wilcox.test(SS2Malignant9.0$UNUPDATED.OXPHOS37.centered, SS2Malignant9.2$UNUPDATED.OXPHOS37.centered)$p.value
)
SS2M9.go.oxphos.df <- data.frame(
"p.0vsp.1" = wilcox.test(SS2Malignant9.0$GO.OXPHOS35.centered, SS2Malignant9.1$GO.OXPHOS35.centered)$p.value,
"p.1vsp.2" = wilcox.test(SS2Malignant9.1$GO.OXPHOS35.centered, SS2Malignant9.2$GO.OXPHOS35.centered)$p.value,
"p.0vsp.2" = wilcox.test(SS2Malignant9.0$GO.OXPHOS35.centered, SS2Malignant9.2$GO.OXPHOS35.centered)$p.value
)
SS2M9.kegg.oxphos.df <- data.frame(
"p.0vsp.1" = wilcox.test(SS2Malignant9.0$KEGG.OXPHOS36.centered, SS2Malignant9.1$KEGG.OXPHOS36.centered)$p.value,
"p.1vsp.2" = wilcox.test(SS2Malignant9.1$KEGG.OXPHOS36.centered, SS2Malignant9.2$KEGG.OXPHOS36.centered)$p.value,
"p.0vsp.2" = wilcox.test(SS2Malignant9.0$KEGG.OXPHOS36.centered, SS2Malignant9.2$KEGG.OXPHOS36.centered)$p.value
)
#combine ------------------------------
hm.oxphos.DF <- rbind(SS2M8.uhm.oxphos.df, SS2M9.uhm.oxphos.df)
rownames(hm.oxphos.DF) <- c("HM.OXPHOS.P8", "HM.OXPHOS.P9")
go.oxphos.DF <- rbind(SS2M8.go.oxphos.df, SS2M9.go.oxphos.df)
rownames(go.oxphos.DF) <- c("GO.OXPHOS.P8", "GO.OXPHOS.P9")
kegg.oxphos.DF <- rbind(SS2M8.kegg.oxphos.df, SS2M9.kegg.oxphos.df)
rownames(kegg.oxphos.DF) <- c("KEGG.OXPHOS.P8", "KEGG.OXPHOS.P9")
all.oxphos.DF <- rbind(hm.oxphos.DF, go.oxphos.DF, kegg.oxphos.DF)
DT::datatable(all.oxphos.DF) %>%
DT::formatSignif(names(all.oxphos.DF), digits = 2) %>%
DT::formatStyle(names(all.oxphos.DF), color = DT::styleInterval(0.05, c('red', 'black')))
We also tested how the UNUPDATED version of HALLMARK_UNFOLDED_PROTEIN_RESPONSE differs from the updated version.
upr.length.df <- data.frame(
"UNUPDATED.HM.UPR" = length(hallmark.list[["UNUPDATED.UPR"]]),
"HALLMARK.UPR" = length(hallmark.list[["HALLMARK_UNFOLDED_PROTEIN_RESPONSE"]])
)
Found.upr.df <- data.frame(
"UNUPDATED.HM.UPR" = sum((hallmark.list[["UNUPDATED.UPR"]] %in% rownames(SS2Malignant))),
"HALLMARK.UPR" = sum((hallmark.list[["HALLMARK_UNFOLDED_PROTEIN_RESPONSE"]] %in% rownames(SS2Malignant)))
)
PFound.upr.df <- data.frame(
"UNUPDATED.HM.UPR" = (sum((hallmark.list[["UNUPDATED.UPR"]] %in% rownames(SS2Malignant)))/length(hallmark.list[["UNUPDATED.UPR"]]))*100,
"HALLMARK.UPR" = (sum((hallmark.list[["HALLMARK_UNFOLDED_PROTEIN_RESPONSE"]] %in% rownames(SS2Malignant)))/length(hallmark.list[["HALLMARK_UNFOLDED_PROTEIN_RESPONSE"]])) * 100
)
upr.df <- rbind(upr.length.df, Found.upr.df, PFound.upr.df)
upr.df[,"UNUPDATED.HM.UPR"] <- round(upr.df[,"UNUPDATED.HM.UPR"])
upr.df[,"HALLMARK.UPR"] <- round(upr.df[,"HALLMARK.UPR"])
rownames(upr.df) <- c("Num UPR Genes", "Num Found", "% Found")
upr.df
UNUPDATED.HM.UPR HALLMARK.UPR
Num UPR Genes 113 113
Num Found 107 105
% Found 95 93
After deciding the geneset to use for our data, we can now analyze the differential expression of OXPHOS and UPR genes across treatment condition within each model: - OXPHOS: GO_OXIDATIVE_PHOSPHORYLATION geneset - UPR: unupdated HALLMARK_UNFOLDED_PROTEIN_RESPONSE geneset
hms.centered = c("GO.OXPHOS35.centered", "UNUPDATED.UPR38.centered")
#SWARM PLOTS
#OXPHOS ----------
oxphos.swarm.plots <- vector("list", length = 2)
names(oxphos.swarm.plots) <- SS2.names
patient <- c("8", "9")
for(i in 1:2){
SS2 <- SS2s[[i]]
SS2.name <- SS2.names[[i]]
my_comparisons <- list(
c(glue("{patient[[i]]}.0"), glue("{patient[[i]]}.1")),
c(glue("{patient[[i]]}.1"), glue("{patient[[i]]}.2")),
c(glue("{patient[[i]]}.0"), glue("{patient[[i]]}.2"))
)
feature.found <- sum(hallmark.list[["UNUPDATED.OXPHOS"]] %in% rownames(SS2))
feature.length <- length(hallmark.list[["UNUPDATED.OXPHOS"]])
feature.pFound <- round((feature.found / feature.length)*100, 2)
numCells <- nrow(SS2@meta.data)
p <- ggplot(SS2@meta.data, aes(x= sample , y = UNUPDATED.OXPHOS37.centered, color = sample)) +
geom_quasirandom(groupOnX =TRUE) +
theme_bw() +
scale_color_manual(values = c("#00AFBB", "#E7B800", "#FC4E07")) +
labs(title = glue("{SS2.name} Malignant Cells OXPHOS expression across sample"), x = SS2.name, subtitle = glue("{numCells} Malignant Cells, {feature.found} out of {feature.length} OXPHOS genes found ({feature.pFound}%)")) +
geom_boxplot(width = 0.10, position = position_dodge(0.9), alpha = 1, show.legend = F, color = "black", outlier.alpha = 0) +
geom_text(label = paste(sum(str_detect(SS2$sample, "[:digit:].0")), "cells"), x = glue("{patient[[i]]}.0"), y = min(SS2$UNUPDATED.OXPHOS37.centered) -0.03, color = "black", show.legend = FALSE) +
geom_text(label = paste(sum(str_detect(SS2$sample, "[:digit:].1")), "cells"), x = glue("{patient[[i]]}.1"), y = min(SS2$UNUPDATED.OXPHOS37.centered) - 0.03, color = "black", show.legend = FALSE) +
geom_text(label = paste(sum(str_detect(SS2$sample, "[:digit:].2")), "cells"), x = glue("{patient[[i]]}.2"), y = min(SS2$UNUPDATED.OXPHOS37.centered) - 0.03, color = "black", show.legend = FALSE) +
stat_compare_means(comparisons = my_comparisons, method = "wilcox.test", label = "p.format", step.increase = 0.06) +
stat_compare_means(comparisons = my_comparisons, method = "wilcox.test", label = "p.signif", step.increase = 0.06, bracket.size = 0, vjust = 1.8)
oxphos.swarm.plots[[SS2.name]] <- p
}
oxphos.swarm.plots[["SS2 Patient 8"]] + oxphos.swarm.plots[["SS2 Patient 9"]]

#UPR ----------
upr.swarm.plots <- vector("list", length = 2)
names(upr.swarm.plots) <- SS2.names
for(i in 1:2){
SS2 <- SS2s[[i]]
SS2.name <- SS2.names[[i]]
my_comparisons <- list(
c(glue("{patient[[i]]}.0"), glue("{patient[[i]]}.1")),
c(glue("{patient[[i]]}.1"), glue("{patient[[i]]}.2")),
c(glue("{patient[[i]]}.0"), glue("{patient[[i]]}.2"))
)
feature.found <- sum(hallmark.list[["UNUPDATED.UPR"]] %in% rownames(SS2))
feature.length <- length(hallmark.list[["UNUPDATED.UPR"]])
feature.pFound <- round((feature.found / feature.length)*100, 2)
numCells <- nrow(SS2@meta.data)
p <- ggplot(SS2@meta.data, aes(x= sample , y = UNUPDATED.UPR38.centered, color = sample)) +
geom_quasirandom(groupOnX =TRUE) +
theme_bw() +
scale_color_manual(values = c("#00AFBB", "#E7B800", "#FC4E07")) +
labs(title = glue("{SS2.name} Malignant Cells UPR expression across sample"), x = SS2.name, subtitle = glue("{numCells} Malignant Cells, {feature.found} out of {feature.length} UPR genes found ({feature.pFound}%)")) +
geom_boxplot(width = 0.10, position = position_dodge(0.9), alpha = 1, show.legend = F, color = "black", outlier.alpha = 0) +
geom_text(label = paste(sum(str_detect(SS2$sample, "[:digit:].0")), "cells"), x = glue("{patient[[i]]}.0"), y = min(SS2$UNUPDATED.UPR38.centered) -0.03, color = "black", show.legend = FALSE) +
geom_text(label = paste(sum(str_detect(SS2$sample, "[:digit:].1")), "cells"), x = glue("{patient[[i]]}.1"), y = min(SS2$UNUPDATED.UPR38.centered) - 0.03, color = "black", show.legend = FALSE) +
geom_text(label = paste(sum(str_detect(SS2$sample, "[:digit:].2")), "cells"), x = glue("{patient[[i]]}.2"), y = min(SS2$UNUPDATED.UPR38.centered) - 0.03, color = "black", show.legend = FALSE) +
stat_compare_means(comparisons = my_comparisons, method = "wilcox.test", label = "p.format", step.increase = 0.06) +
stat_compare_means(comparisons = my_comparisons, method = "wilcox.test", label = "p.signif", step.increase = 0.06, bracket.size = 0, vjust = 1.8)
upr.swarm.plots[[SS2.name]] <- p
}
upr.swarm.plots[["SS2 Patient 8"]] + upr.swarm.plots[["SS2 Patient 9"]]

#Patient 8 ---------------------------------
SS2M8.oxphos.df <- data.frame(
"p.0vsp.1" = wilcox.test(SS2Malignant8.0$GO.OXPHOS35.centered, SS2Malignant8.1$GO.OXPHOS35.centered)$p.value,
"p.1vsp.2" = wilcox.test(SS2Malignant8.1$GO.OXPHOS35.centered, SS2Malignant8.2$GO.OXPHOS35.centered)$p.value,
"p.0vsp.2" = wilcox.test(SS2Malignant8.0$GO.OXPHOS35.centered, SS2Malignant8.2$GO.OXPHOS35.centered)$p.value
)
SS2M8.UPR.df <-
data.frame(
"p.0vsp.1" = wilcox.test(SS2Malignant8.0$UNUPDATED.UPR38.centered, SS2Malignant8.1$UNUPDATED.UPR38.centered)$p.value,
"p.1vsp.2" = wilcox.test(SS2Malignant8.1$UNUPDATED.UPR38.centered, SS2Malignant8.2$UNUPDATED.UPR38.centered)$p.value,
"p.0vsp.2" = wilcox.test(SS2Malignant8.0$UNUPDATED.UPR38.centered, SS2Malignant8.2$UNUPDATED.UPR38.centered)$p.value
)
#Patient 9 ---------------------------------
SS2M9.oxphos.df <- data.frame(
"p.0vsp.1" = wilcox.test(SS2Malignant9.0$GO.OXPHOS35.centered, SS2Malignant9.1$GO.OXPHOS35.centered)$p.value,
"p.1vsp.2" = wilcox.test(SS2Malignant9.1$GO.OXPHOS35.centered, SS2Malignant9.2$GO.OXPHOS35.centered)$p.value,
"p.0vsp.2" = wilcox.test(SS2Malignant9.0$GO.OXPHOS35.centered, SS2Malignant9.2$GO.OXPHOS35.centered)$p.value
)
SS2M9.UPR.df <-
data.frame(
"p.0vsp.1" = wilcox.test(SS2Malignant9.0$UNUPDATED.UPR38.centered, SS2Malignant9.1$UNUPDATED.UPR38.centered)$p.value,
"p.1vsp.2" = wilcox.test(SS2Malignant9.1$UNUPDATED.UPR38.centered, SS2Malignant9.2$UNUPDATED.UPR38.centered)$p.value,
"p.0vsp.2" = wilcox.test(SS2Malignant9.0$UNUPDATED.UPR38.centered, SS2Malignant9.2$UNUPDATED.UPR38.centered)$p.value
)
#combine ------------------------------
SS2.oxphos.DF <- rbind(SS2M8.oxphos.df, SS2M9.oxphos.df)
rownames(SS2.oxphos.DF) <- c("OXPHOS.PATIENT8", "OXPHOS.PATIENT9")
SS2.UPR.DF <- rbind(SS2M8.UPR.df, SS2M9.UPR.df)
rownames(SS2.UPR.DF) <- c("UPR.PATIENT8", "UPR.PATIENT9")
SS2.all.DF <- rbind(SS2.oxphos.DF, SS2.UPR.DF)
DT::datatable(SS2.all.DF) %>%
DT::formatSignif(names(SS2.all.DF), digits = 2) %>%
DT::formatStyle(names(SS2.all.DF), color = DT::styleInterval(0.05, c('red', 'black')))
We try to confirm our results again with our second appraoch: GSEA
have not finalized the statistical test and ranking method to use for GSEA
We are interesting in detecting individual OXPHOS and UPR genes that might be differentially expressed.
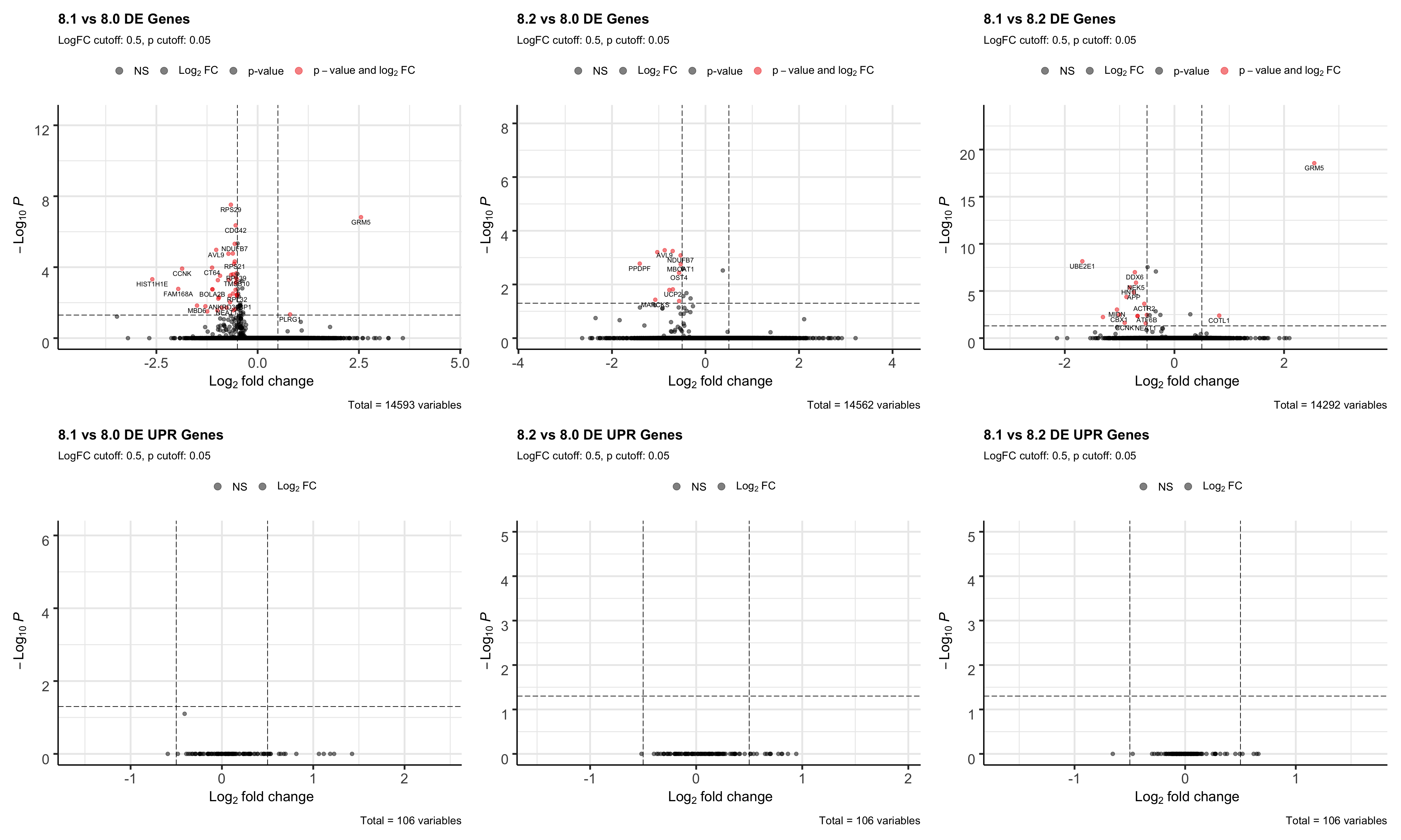
# PATIENT 8 -----------------------
p8.1p8.0 <- FindMarkers(SS2Malignant.8, group.by = "sample", ident.1 = "8.1", ident.2 = "8.0", test.use = "wilcox", logfc.threshold = 0)
p8.2p8.0 <- FindMarkers(SS2Malignant.8, group.by = "sample", ident.1 = "8.2", ident.2 = "8.0", test.use = "wilcox", logfc.threshold = 0)
p8.1p8.2 <- FindMarkers(SS2Malignant.8, group.by = "sample", ident.1 = "8.1", ident.2 = "8.2", test.use = "wilcox", logfc.threshold = 0)
p8.all.plots <- vector("list", length = 3)
samples <- c("8.1 8.0", "8.2 8.0", "8.1 8.2")
names(p8.all.plots) <- samples
p8.UPR.plots <- vector("list", length = 3)
names(p8.UPR.plots) <- samples
markers <- list(p8.1p8.0, p8.2p8.0, p8.1p8.2)
for(i in 1:3){
marker <- markers[[i]]
name = samples[[i]]
name.split <- stringr::str_split(samples[[i]], pattern = " ")
group.1 <- name.split[[1]][1]
group.2 <- name.split[[1]][2]
p8.all.plots[[name]] <- DEAnalysis_code(SS2Malignant.8, markers = marker, group.by = "sample", group.1 = group.1, group.2 = group.2, graph = TRUE)
p8.UPR.plots[[name]] <- DEAnalysis_code(SS2Malignant.8, markers = marker, group.by = "sample", group.1 = group.1, group.2 = group.2, geneset = hallmark.list[["UNUPDATED.UPR"]]) + labs(title = paste(group.1, "vs", group.2, "DE UPR Genes"))
}
p <- p8.all.plots[["8.1 8.0"]] + p8.all.plots[["8.2 8.0"]] + p8.all.plots[["8.1 8.2"]] + p8.UPR.plots[["8.1 8.0"]] + p8.UPR.plots[["8.2 8.0"]] + p8.UPR.plots[["8.1 8.2"]]
p

| Version | Author | Date |
|---|---|---|
| 84edf85 | jgoh2 | 2020-08-12 |
ggsave(plot = p, filename = "SS2Malignant8.Volcano.png", path = "jesslyn_plots/SS2/DE", width = 25, height = 15)
# PATIENT 9 -----------------------
p9.1p9.0 <- FindMarkers(SS2Malignant.9, group.by = "sample", ident.1 = "9.1", ident.2 = "9.0", test.use = "wilcox", logfc.threshold = 0)
p9.2p9.0 <- FindMarkers(SS2Malignant.9, group.by = "sample", ident.1 = "9.2", ident.2 = "9.0", test.use = "wilcox", logfc.threshold = 0)
p9.1p9.2 <- FindMarkers(SS2Malignant.9, group.by = "sample", ident.1 = "9.1", ident.2 = "9.2", test.use = "wilcox", logfc.threshold = 0)
p9.all.plots <- vector("list", length = 3)
samples <- c("9.1 9.0", "9.2 9.0", "9.1 9.2")
names(p9.all.plots) <- samples
p9.OXPHOS.plots <- vector("list", length = 3)
names(p9.OXPHOS.plots) <- samples
markers <- list(p9.1p9.0, p9.2p9.0, p9.1p9.2)
for(i in 1:3){
marker <- markers[[i]]
name = samples[[i]]
name.split <- stringr::str_split(samples[[i]], pattern = " ")
group.1 <- name.split[[1]][1]
group.2 <- name.split[[1]][2]
p9.all.plots[[name]] <- DEAnalysis_code(SS2Malignant.9, markers = marker, group.by = "sample", group.1 = group.1, group.2 = group.2, graph = TRUE)
p9.OXPHOS.plots[[name]] <- DEAnalysis_code(SS2Malignant.9, markers = marker, group.by = "sample", group.1 = group.1, group.2 = group.2, geneset = hallmark.list[["GO.OXPHOS"]]) + labs(title = paste(group.1, "vs", group.2, "DE OXPHOS Genes"))
}
p2 <- p9.all.plots[["9.1 9.0"]] + p9.all.plots[["9.2 9.0"]] + p9.all.plots[["9.1 9.2"]] + p9.OXPHOS.plots[["9.1 9.0"]] + p9.OXPHOS.plots[["9.2 9.0"]] + p9.OXPHOS.plots[["9.1 9.2"]]
p2

| Version | Author | Date |
|---|---|---|
| 84edf85 | jgoh2 | 2020-08-12 |
ggsave(plot = p2, filename = "SS2Malignant9.Volcano.png", path = "jesslyn_plots/SS2/DE", width = 25, height = 15)
# PATIENT 8 -----------------------
p8.OXPHOS.plots <- vector("list", length = 3)
samples <- c("8.1 8.0", "8.2 8.0", "8.1 8.2")
names(p8.OXPHOS.plots) <- samples
markers <- list(p8.1p8.0, p8.2p8.0, p8.1p8.2)
for(i in 1:3){
marker <- markers[[i]]
name = samples[[i]]
name.split <- stringr::str_split(samples[[i]], pattern = " ")
group.1 <- name.split[[1]][1]
group.2 <- name.split[[1]][2]
p8.OXPHOS.plots[[name]] <- DEAnalysis_code(SS2Malignant.8, markers = marker, group.by = "sample", group.1 = group.1, group.2 = group.2, geneset = hallmark.list[["GO.OXPHOS"]]) + labs(title = paste(group.1, "vs", group.2, "DE OXPHOS Genes"))
}
p3 <- p8.OXPHOS.plots[["8.1 8.0"]] + p8.OXPHOS.plots[["8.2 8.0"]] + p8.OXPHOS.plots[["8.1 8.2"]]
p3

| Version | Author | Date |
|---|---|---|
| 84edf85 | jgoh2 | 2020-08-12 |
ggsave(plot = p3, filename = "SS2Malignant8.VolcanoOXPHOS.png", path = "jesslyn_plots/SS2/DE", width = 25, height = 10)
# PATIENT 9 -----------------------
p9.UPR.plots <- vector("list", length = 3)
samples <- c("9.1 9.0", "9.2 9.0", "9.1 9.2")
names(p9.UPR.plots) <- samples
markers <- list(p9.1p9.0, p9.2p9.0, p9.1p9.2)
for(i in 1:3){
marker <- markers[[i]]
name = samples[[i]]
name.split <- stringr::str_split(samples[[i]], pattern = " ")
group.1 <- name.split[[1]][1]
group.2 <- name.split[[1]][2]
p9.UPR.plots[[name]] <- DEAnalysis_code(SS2Malignant.9, markers = marker, group.by = "sample", group.1 = group.1, group.2 = group.2, geneset = hallmark.list[["UNUPDATED.UPR"]]) + labs(title = paste(group.1, "vs", group.2, "DE UPR Genes"))
}
p4 <- p9.UPR.plots[["9.1 9.0"]] + p9.UPR.plots[["9.2 9.0"]] + p9.UPR.plots[["9.1 9.2"]]
p4

| Version | Author | Date |
|---|---|---|
| 84edf85 | jgoh2 | 2020-08-12 |
ggsave(plot = p4, filename = "SS2Malignant9.VolcanoUPR.png", path = "jesslyn_plots/SS2/DE", width = 25, height = 10)
Since DE genes detected are not consistent across patients, we cannot conclude that there is an enrichment of OXPHOS or UPR genes in p.1.
sessionInfo()
R version 4.0.2 (2020-06-22)
Platform: x86_64-apple-darwin17.0 (64-bit)
Running under: macOS Mojave 10.14.6
Matrix products: default
BLAS: /Library/Frameworks/R.framework/Versions/4.0/Resources/lib/libRblas.dylib
LAPACK: /Library/Frameworks/R.framework/Versions/4.0/Resources/lib/libRlapack.dylib
locale:
[1] en_US.UTF-8/en_US.UTF-8/en_US.UTF-8/C/en_US.UTF-8/en_US.UTF-8
attached base packages:
[1] stats graphics grDevices datasets utils methods base
other attached packages:
[1] ggbeeswarm_0.6.0 ggpubr_0.4.0 GGally_2.0.0 gt_0.2.1 reshape2_1.4.4
[6] tidyselect_1.1.0 fgsea_1.14.0 presto_1.0.0 data.table_1.12.8 Rcpp_1.0.5
[11] glue_1.4.1 patchwork_1.0.1 EnhancedVolcano_1.6.0 ggrepel_0.8.2 here_0.1
[16] readxl_1.3.1 forcats_0.5.0 stringr_1.4.0 dplyr_1.0.0 purrr_0.3.4
[21] readr_1.3.1 tidyr_1.1.0 tibble_3.0.3 ggplot2_3.3.2 tidyverse_1.3.0
[26] cowplot_1.0.0 Seurat_3.1.5 BiocManager_1.30.10 renv_0.11.0-4
loaded via a namespace (and not attached):
[1] backports_1.1.8 fastmatch_1.1-0 workflowr_1.6.2 plyr_1.8.6 igraph_1.2.5
[6] lazyeval_0.2.2 splines_4.0.2 crosstalk_1.1.0.1 BiocParallel_1.22.0 listenv_0.8.0
[11] digest_0.6.25 htmltools_0.5.0 fansi_0.4.1 magrittr_1.5 cluster_2.1.0
[16] ROCR_1.0-11 openxlsx_4.1.5 limma_3.44.3 globals_0.12.5 modelr_0.1.8
[21] colorspace_1.4-1 blob_1.2.1 rvest_0.3.5 haven_2.3.1 xfun_0.15
[26] crayon_1.3.4 jsonlite_1.7.0 survival_3.2-3 zoo_1.8-8 ape_5.4
[31] gtable_0.3.0 leiden_0.3.3 car_3.0-8 future.apply_1.6.0 abind_1.4-5
[36] scales_1.1.1 DBI_1.1.0 rstatix_0.6.0 viridisLite_0.3.0 reticulate_1.16
[41] foreign_0.8-80 rsvd_1.0.3 DT_0.14 tsne_0.1-3 htmlwidgets_1.5.1
[46] httr_1.4.1 RColorBrewer_1.1-2 ellipsis_0.3.1 ica_1.0-2 farver_2.0.3
[51] pkgconfig_2.0.3 reshape_0.8.8 uwot_0.1.8 dbplyr_1.4.4 labeling_0.3
[56] rlang_0.4.7 later_1.1.0.1 munsell_0.5.0 cellranger_1.1.0 tools_4.0.2
[61] cli_2.0.2 generics_0.0.2 broom_0.7.0 ggridges_0.5.2 evaluate_0.14
[66] yaml_2.2.1 knitr_1.29 fs_1.4.2 fitdistrplus_1.1-1 zip_2.0.4
[71] RANN_2.6.1 pbapply_1.4-2 future_1.18.0 nlme_3.1-148 whisker_0.4
[76] xml2_1.3.2 compiler_4.0.2 rstudioapi_0.11 beeswarm_0.2.3 plotly_4.9.2.1
[81] curl_4.3 png_0.1-7 ggsignif_0.6.0 reprex_0.3.0 stringi_1.4.6
[86] lattice_0.20-41 Matrix_1.2-18 vctrs_0.3.2 pillar_1.4.6 lifecycle_0.2.0
[91] lmtest_0.9-37 RcppAnnoy_0.0.16 irlba_2.3.3 httpuv_1.5.4 R6_2.4.1
[96] promises_1.1.1 KernSmooth_2.23-17 gridExtra_2.3 rio_0.5.16 vipor_0.4.5
[101] codetools_0.2-16 MASS_7.3-51.6 assertthat_0.2.1 rprojroot_1.3-2 withr_2.2.0
[106] sctransform_0.2.1 parallel_4.0.2 hms_0.5.3 grid_4.0.2 rmarkdown_2.3
[111] carData_3.0-4 Rtsne_0.15 git2r_0.27.1 lubridate_1.7.9