Last updated: 2022-03-03
Checks: 7 0
Knit directory: chipseq-cross-species/
This reproducible R Markdown analysis was created with workflowr (version 1.7.0). The Checks tab describes the reproducibility checks that were applied when the results were created. The Past versions tab lists the development history.
Great! Since the R Markdown file has been committed to the Git repository, you know the exact version of the code that produced these results.
Great job! The global environment was empty. Objects defined in the global environment can affect the analysis in your R Markdown file in unknown ways. For reproduciblity it’s best to always run the code in an empty environment.
The command set.seed(20220209) was run prior to running the code in the R Markdown file. Setting a seed ensures that any results that rely on randomness, e.g. subsampling or permutations, are reproducible.
Great job! Recording the operating system, R version, and package versions is critical for reproducibility.
Nice! There were no cached chunks for this analysis, so you can be confident that you successfully produced the results during this run.
Great job! Using relative paths to the files within your workflowr project makes it easier to run your code on other machines.
Great! You are using Git for version control. Tracking code development and connecting the code version to the results is critical for reproducibility.
The results in this page were generated with repository version 6faef6a. See the Past versions tab to see a history of the changes made to the R Markdown and HTML files.
Note that you need to be careful to ensure that all relevant files for the analysis have been committed to Git prior to generating the results (you can use wflow_publish or wflow_git_commit). workflowr only checks the R Markdown file, but you know if there are other scripts or data files that it depends on. Below is the status of the Git repository when the results were generated:
Ignored files:
Ignored: .RData
Ignored: .Rhistory
Ignored: analysis/.RData
Ignored: analysis/.Rhistory
Ignored: data/genomic_data/
Ignored: output/annotations/
Ignored: output/bam_files/
Ignored: output/filtered_peaks/
Ignored: output/logs/
Ignored: output/peaks/
Ignored: output/plots/
Ignored: output/qc/A-1_input.SeqDepthNorm.bw
Ignored: output/qc/A-1_input.SeqDepthNorm_dunnart_downSampled.bw
Ignored: output/qc/A-1_input.ccurve.txt
Ignored: output/qc/A-1_input.extrap.txt
Ignored: output/qc/A-1_input_R1_trimmed.fastq.gz
Ignored: output/qc/A-1_input_est_lib_complex_metrics.txt
Ignored: output/qc/A-2_H3K4me3.SeqDepthNorm.bw
Ignored: output/qc/A-2_H3K4me3.ccurve.txt
Ignored: output/qc/A-2_H3K4me3.extrap.txt
Ignored: output/qc/A-2_H3K4me3_R1_trimmed.fastq.gz
Ignored: output/qc/A-2_H3K4me3_est_lib_complex_metrics.txt
Ignored: output/qc/A-2_H3K4me3_vs_A-1_input.frip_default.txt
Ignored: output/qc/A-2_H3K4me3_vs_B-1_input.frip_default.txt
Ignored: output/qc/A-3_H3K27ac.SeqDepthNorm.bw
Ignored: output/qc/A-3_H3K27ac.SeqDepthNorm_dunnart_downSampled.bw
Ignored: output/qc/A-3_H3K27ac.ccurve.txt
Ignored: output/qc/A-3_H3K27ac.extrap.txt
Ignored: output/qc/A-3_H3K27ac_R1_trimmed.fastq.gz
Ignored: output/qc/A-3_H3K27ac_est_lib_complex_metrics.txt
Ignored: output/qc/A-3_H3K27ac_vs_A-1_input.frip_default.txt
Ignored: output/qc/A-3_H3K27ac_vs_B-1_input.frip_default.txt
Ignored: output/qc/B-1_input.SeqDepthNorm.bw
Ignored: output/qc/B-1_input.SeqDepthNorm_dunnart_downSampled.bw
Ignored: output/qc/B-1_input.ccurve.txt
Ignored: output/qc/B-1_input.extrap.txt
Ignored: output/qc/B-1_input_R1_trimmed.fastq.gz
Ignored: output/qc/B-1_input_est_lib_complex_metrics.txt
Ignored: output/qc/B-2_H3K4me3.SeqDepthNorm.bw
Ignored: output/qc/B-2_H3K4me3.SeqDepthNorm_dunnart_downSampled.bw
Ignored: output/qc/B-2_H3K4me3.ccurve.txt
Ignored: output/qc/B-2_H3K4me3.extrap.txt
Ignored: output/qc/B-2_H3K4me3_R1_trimmed.fastq.gz
Ignored: output/qc/B-2_H3K4me3_est_lib_complex_metrics.txt
Ignored: output/qc/B-2_H3K4me3_vs_A-1_input.frip_default.txt
Ignored: output/qc/B-2_H3K4me3_vs_B-1_input.frip_default.txt
Ignored: output/qc/B-3_H3K27ac.SeqDepthNorm.bw
Ignored: output/qc/B-3_H3K27ac.ccurve.txt
Ignored: output/qc/B-3_H3K27ac.extrap.txt
Ignored: output/qc/B-3_H3K27ac_R1_trimmed.fastq.gz
Ignored: output/qc/B-3_H3K27ac_est_lib_complex_metrics.txt
Ignored: output/qc/B-3_H3K27ac_vs_A-1_input.frip_default.txt
Ignored: output/qc/B-3_H3K27ac_vs_B-1_input.frip_default.txt
Ignored: output/qc/bamPEFragmentSize_rawcounts.tab
Ignored: output/qc/multiBAM_fingerprint_metrics.txt
Ignored: output/qc/multiBAM_fingerprint_rawcounts.txt
Ignored: output/qc/multibamsum.npz
Ignored: output/qc/multibamsum.tab
Ignored: output/qc/pearsoncor_multibamsum_matrix.txt
Ignored: results/
Untracked files:
Untracked: .snakemake/
Untracked: H3K27ac_only.narrowPeak
Untracked: H3K4me3_and_H3K27ac.narrowPeak
Untracked: H3K4me3_only.narrowPeak
Untracked: code/basic_wrapper.slurm
Untracked: code/configs/metadata.tsv
Untracked: code/slurmjob.stderr
Untracked: code/slurmjob.stdout
Untracked: code/trimfastq.py
Untracked: data/raw_reads/
Untracked: dunnart_enhancer_peaks.narrowPeak
Untracked: dunnart_promoter_peaks.narrowPeak
Untracked: output/rnaseq/
Untracked: slurm-33634648.out
Untracked: slurm-33634649.out
Untracked: slurm-33634650.out
Untracked: slurm-33634651.out
Untracked: slurm-33634652.out
Untracked: slurm-33634653.out
Untracked: slurm-33634669.out
Untracked: slurm-33634682.out
Untracked: slurm-33638735.out
Untracked: slurm-33638749.out
Untracked: slurm-33638750.out
Untracked: slurm-33638751.out
Untracked: slurm-33639342.out
Untracked: slurm-33639343.out
Untracked: slurm-33639344.out
Untracked: slurm-33639345.out
Untracked: slurm-33639346.out
Untracked: slurm-33639347.out
Untracked: slurm-33652974.out
Untracked: slurm-33652975.out
Untracked: slurm-33652976.out
Untracked: slurm-33652977.out
Untracked: slurm-33652978.out
Untracked: slurm-33652979.out
Untracked: slurm-33653279.out
Untracked: slurm-33653280.out
Untracked: slurm-33653281.out
Untracked: slurm-33653282.out
Untracked: slurm-33653283.out
Untracked: slurm-33653284.out
Untracked: slurm-33654225.out
Untracked: slurm-33654226.out
Untracked: slurm-33654227.out
Untracked: slurm-33654228.out
Untracked: slurm-33654229.out
Untracked: slurm-33654230.out
Untracked: slurm-33654264.out
Untracked: slurm-33654265.out
Untracked: slurm-33654266.out
Untracked: slurm-33654267.out
Untracked: slurm-33655778.out
Untracked: slurm-33655779.out
Untracked: slurm-33655780.out
Untracked: slurm-33655781.out
Untracked: slurm-33655782.out
Untracked: slurm-33655783.out
Untracked: slurm-33655867.out
Untracked: slurm-33655869.out
Untracked: slurm-33655871.out
Untracked: slurm-33655873.out
Untracked: slurm-33655936.out
Untracked: slurm-33655937.out
Untracked: slurm-33655964.out
Untracked: slurm-33655966.out
Untracked: slurm-33656003.out
Untracked: slurm-33656023.out
Untracked: slurm-33656024.out
Untracked: slurm-33656025.out
Untracked: slurm-33656027.out
Untracked: slurm-33656056.out
Untracked: slurm-33656089.out
Untracked: slurm-33656090.out
Untracked: slurm-33656102.out
Untracked: slurm-33656104.out
Untracked: slurm-33656170.out
Untracked: slurm-33656224.out
Untracked: slurm-33656227.out
Untracked: slurm-33656228.out
Untracked: slurm-33656312.out
Untracked: slurm-33656357.out
Untracked: slurm-33656358.out
Untracked: slurm-33656364.out
Untracked: slurm-33656365.out
Untracked: slurm-33656409.out
Untracked: slurm-33656545.out
Untracked: slurm-33657362.out
Untracked: slurm-33657363.out
Untracked: slurm-33657364.out
Untracked: slurm-33657365.out
Untracked: slurm-33657366.out
Untracked: slurm-33657367.out
Untracked: slurm-33657375.out
Untracked: slurm-33657376.out
Untracked: slurm-33657625.out
Untracked: slurm-33657626.out
Untracked: slurm-33657627.out
Untracked: slurm-33657628.out
Untracked: slurm-33657629.out
Untracked: slurm-33657630.out
Untracked: slurm-33657636.out
Untracked: slurm-33657638.out
Untracked: slurm-33657645.out
Untracked: slurm-33657646.out
Untracked: slurm-33657677.out
Untracked: slurm-33657688.out
Untracked: slurm-33658782.out
Untracked: slurm-33658783.out
Untracked: slurm-33658784.out
Untracked: slurm-33658785.out
Untracked: slurm-33658786.out
Untracked: slurm-33658787.out
Untracked: slurm-33658861.out
Untracked: slurm-33658862.out
Untracked: slurm-33658863.out
Untracked: slurm-33658864.out
Untracked: slurm-33658865.out
Untracked: slurm-33658866.out
Untracked: slurm-33658867.out
Untracked: slurm-33659733.out
Untracked: slurm-33659734.out
Untracked: slurm-33659735.out
Untracked: slurm-33659736.out
Untracked: slurm-33659737.out
Untracked: slurm-33659738.out
Untracked: slurm-33659745.out
Untracked: slurm-33660501.out
Untracked: slurm-33660617.out
Unstaged changes:
Deleted: code/dunnart_peak_calling/trimfastq.py
Deleted: output/qc/bamPEFragmentSize_hist.png
Deleted: output/qc/multiBAM_fingerprint.png
Deleted: output/qc/pearsoncor_multibamsum.png
Note that any generated files, e.g. HTML, png, CSS, etc., are not included in this status report because it is ok for generated content to have uncommitted changes.
These are the previous versions of the repository in which changes were made to the R Markdown (analysis/dunnart_data_processing.Rmd) and HTML (docs/dunnart_data_processing.html) files. If you’ve configured a remote Git repository (see ?wflow_git_remote), click on the hyperlinks in the table below to view the files as they were in that past version.
| File | Version | Author | Date | Message |
|---|---|---|---|---|
| Rmd | 4e6c7f0 | lecook | 2022-03-03 | update |
| html | 42e48be | lecook | 2022-03-03 | Build site. |
| Rmd | 493419d | lecook | 2022-03-03 | updated |
| html | 07816ac | lecook | 2022-03-03 | Build site. |
| Rmd | e68ae60 | lecook | 2022-03-03 | add module load bedtools |
| html | 837da64 | lecook | 2022-03-03 | Build site. |
| Rmd | 1b9dec3 | lecook | 2022-03-03 | fix file names |
| html | 11afbc7 | lecook | 2022-03-03 | Build site. |
| Rmd | e3431cb | lecook | 2022-03-03 | updated |
| html | 5ebf4b5 | lecook | 2022-03-03 | Build site. |
| Rmd | 32d3f2d | lecook | 2022-03-03 | updated |
| html | 98edd22 | lecook | 2022-03-03 | Build site. |
| Rmd | 537629e | lecook | 2022-03-03 | erroneous brackets |
| Rmd | c2dc26d | lecook | 2022-03-03 | update directories |
| html | 4176dac | lecook | 2022-03-03 | Build site. |
| Rmd | 323d8b6 | lecook | 2022-03-03 | copied scripts over |
| Rmd | ae523af | lecook | 2022-03-02 | fix code formatting for bam coverage rule |
| Rmd | 9d9a995 | lecook | 2022-03-01 | udpated |
| html | 275d229 | lecook | 2022-03-01 | Build site. |
| Rmd | e69f551 | lecook | 2022-03-01 | updated |
| Rmd | 5fb3661 | lecook | 2022-03-01 | clean up |
| Rmd | 9aa0925 | lecook | 2022-02-28 | updated |
| html | 277f9e4 | lecook | 2022-02-28 | Build site. |
| html | 072d4e4 | lecook | 2022-02-28 | Build site. |
| html | fc28053 | lecook | 2022-02-28 | Build site. |
| html | 0885274 | lecook | 2022-02-28 | Build site. |
| html | ba5cb47 | lecook | 2022-02-28 | build html |
| Rmd | 369a400 | lecook | 2022-02-28 | updated |
| Rmd | ce570a1 | lecook | 2022-02-28 | removed non-dedup index bam from rule all |
| Rmd | 5882c35 | lecook | 2022-02-25 | test |
| Rmd | 1fa92d9 | lecook | 2022-02-23 | add analysis files |
For full snakemake script see code/dunnart_peak_calling/dunnart_snakefile.
# create conda environment with all packages and dependencies
conda create --name chip bowtie2 samtools picard deeptools multiqc phantompeakqualtools preseq macs2 bedtools fastqc snakemake numpy pybedtools
# save environment to a yaml file
conda env export > chip_environment.yml
# activate environment before running pipeline
conda activate chip
Cluster configuration file: code/configs/cluster.json
Sample configuration file: code/configs/config.yaml
Sample text file: code/configs/SSR.text
module load snakemake/6.6.1
snakemake --snakemakefile code/dunnart_peak_calling/dunnart_snakefile -j 6 --cluster-config envs/cluster.json --cluster "sbatch -A {cluster.account} -t {cluster.time} -p {cluster.partition} --nodes {cluster.nodes} --ntasks {cluster.ntasks} --mem {cluster.mem}" &
We can approximate effective genome size for various read lengths using the khmer program and unique-kmers.py. This will estimate the number of unique kmers (for a specified length kmer) which can be used to infer the total uniquely mappable genome. (I.e it doesn’t include highly repetitive regions). https://khmer.readthedocs.io/en/v2.1.1/user/scripts.html
This was a suggestion of deepTools: https://deeptools.readthedocs.io/en/latest/content/feature/effectiveGenomeSize.html
module load pip/21.2.4-python-3.8.6
pip2.7 install khmer
Run unique-kmers.py on dunnart genome for read length of 150bp:
/usr/local/bin/unique-kmers.py -k 150 Scras_dunnart_assem1.0_pb-ont-illsr_flyeassem_red-rd-scfitr2_pil2xwgs2_60chr.fa
Estimated number of unique 150-mers in /Users/lauracook/../../Volumes/macOS/genomes/Scras_dunnart_assem1.0_pb-ont-illsr_flyeassem_red-rd-scfitr2_pil2xwgs2_60chr.fasta: 2740338543
Total estimated number of unique 150-mers: 2740338543
Load modules:
module load gcc/8.3.0
module load bowtie2/2.3.5.1
Build index:
bowtie2-build Scras_dunnart_assem1.0_pb-ont-illsr_flyeassem_red-rd-scfitr2_pil2xwgs2_60chr.fa Scras_dunnart_assem1.0_pb-ont-illsr_flyeassem_red-rd-scfitr2_pil2xwgs2_60chr
Uses samtools and picards MarkDuplicates to remove low quality reads. This is based on and in accordance with the ENCODE Guidelines and pipeline (https://github.com/ENCODE-DCC/chip-seq-pipeline2)
Library Complexity ChIP-seq Standards:
| PBC1 | PBC2 | Bottlenecking level | NRF | Complexity | Flag colors |
|---|---|---|---|---|---|
| < 0.5 | < 1 | Severe | < 0.5 | Concerning | Orange |
| 0.5 ≤ PBC1 < 0.8 | 1 ≤ PBC2 < 3 | Moderate | 0.5 ≤ NRF < 0.8 | Acceptable | Yellow |
| 0.8 ≤ PBC1 < 0.9 | 3 ≤ PBC2 < 10 | Mild | 0.8 ≤ NRF < 0.9 | Compliant | None |
| ≥ 0.9 | ≥ 10 | None | > 0.9 | Ideal | None |
See full snakemake script for details: code/dunnart_peak_calling/dunnart_snakefile.
Table. Read alignment quality metrics before and aftering filtering steps | ** **
** ** | ** ** | ** read counts ** | ** ** | ** ** | ** ** | ** ** | ** ** | | :————————–: | :—————–: | :————————–: | :———————-: | :————————: | :————–: | :—————: | :—————-: | | Sample | Antibody | bowtie2 alignment | filtered reads* | remove duplicates | NRF* | PBC1* | PBC2* | | A-1 | input | 130587134 | 87165286 | 47645260 | 07773602 | 07774519 | 4445728 | | A-2 | H3K4me3 | 103324742 | 62678360 | 35617708 | 07789709 | 07789661 | 47754989 | | A-3 | H3K27ac | 131071676 | 86503078 | 45700530 | 07761768 | 07761687 | 41196586 | | B-1 | input | 111574640 | 72303316 | 44433864 | 08820313 | 08819974 | 55545324 | | B-2 | H3K4me3 | 114146802 | 67048994 | 42357180 | 08831032 | 08830749 | 58898224 | | B-3 | H3K27ac | 104714846 | 66615704 | 43939460 | 08847255 | 08847022 | 65529168 |
* calculated from a subsample of ~10-15M aligned reads prior to removing duplicates
^ excluded low quality (MAPQ 30) and orphaned reads
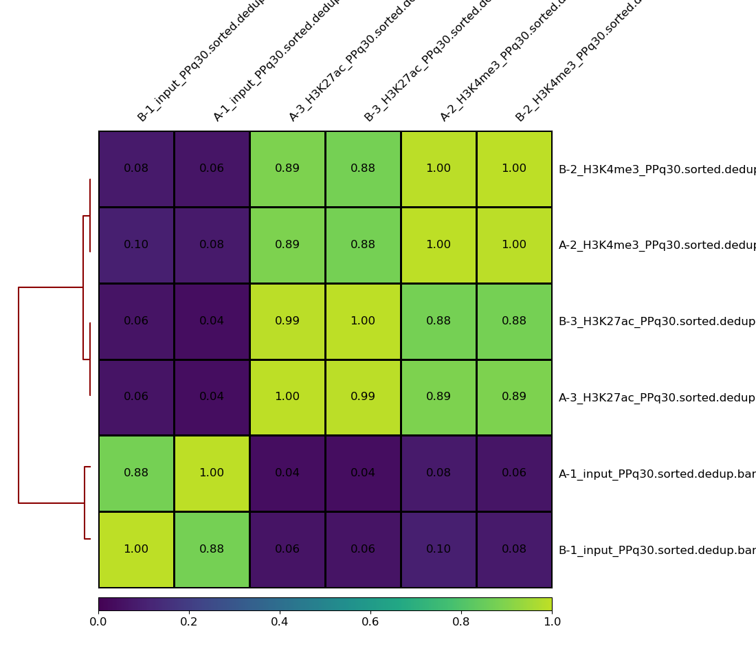
plotCorrelation computes the overall similarity between two or more files based on read coverage (or other scores) within genomic regions.
This helps to determine whether the different sample types can be separated, i.e., samples of different conditions are expected to be more dissimilar to each other than replicates within the same condition.
Pearson correlation dunnart BAM files
This tool samples indexed BAM files and plots a profile of cumulative read coverages for each. All reads overlapping a window (bin) of the specified length are counted; these counts are sorted and the cumulative sum is finally plotted.
It determines how well the signal in the ChIP-seq sample can be differentiated from the background distribution of reads in the control sample.
An ideal input with perfect uniform distribution of reads along the genome (i.e. without enrichments in open chromatin etc.) and infinite sequencing coverage should generate a straight diagonal line. A very specific and strong ChIP enrichment will be indicated by a prominent and steep rise of the cumulative sum towards the highest rank. This means that a big chunk of reads from the ChIP sample is located in few bins which corresponds to high, narrow enrichments typically seen for transcription factors.
Fingerprint plot for dunnart BAM files
This tool calculates the fragment sizes for read pairs given a BAM file from paired-end sequencing. Several regions are sampled depending on the size of the genome and number of processors to estimate thesummary statistics on the fragment lengths.
Fragment size for read pairs in a BAM file
Information from: https://docs.google.com/document/d/1lG_Rd7fnYgRpSIqrIfuVlAz2dW1VaSQThzk836Db99c/edit
This set of programs operate on mapped Illumina single-end read datasets in tagAlign or BAM format. Because my data is paired-end I need to only use the forward read.
A high-quality ChIP-seq experiment will produce significant clustering of enriched DNA sequence tags/reads at locations bound by the protein of interest; the expectation is that we can observe a bimodal enrichment of reads (sequence tags) on both the forward and the reverse strands.
Cross-correlation analysis is done on a filtered (but not-deduped) and subsampled BAM. There is a special fastq trimming for cross-correlation analysis. Read1 fastq is trimmed to 50bp first using trimfastq.py (last modified 2017/11/08, https://github.com/ENCODE-DCC/chip-seq-pipeline2/blob/master/src/trimfastq.py). And then it is separately mapped as SE. Reads are filtered but duplicates are not removed. Then 15 million reads are randomly sampled and used for cross-correlation analysis.
ENCODE standards:
| col. | abbreviation | description |
|---|---|---|
| 1 | Filename | tagAlign/BAM filename |
| 2 | numReads | effective sequencing depth i.e. total number of mapped reads in input file |
| 3 | estFragLen | comma separated strand cross-correlation peak(s) in decreasing order of correlation. |
| 4 | corr_estFragLen | comma separated strand cross-correlation value(s) in decreasing order (COL2 follows the same order) |
| 5 | phantomPeak | Read length/phantom peak strand shift |
| 6 | corr_phantomPeak | Correlation value at phantom peak |
| 7 | argmin_corr | strand shift at which cross-correlation is lowest |
| 8 | min_corr | minimum value of cross-correlation |
| 9 | NSC | Normalized strand cross-correlation coefficient (NSC) = COL4 / COL8 |
| 10 | RSC | Relative strand cross-correlation coefficient (RSC) = (COL4 - COL8) / (COL6 - COL8) |
| 11 | QualityTag | Quality tag based on thresholded RSC (codes= -2:veryLow, -1:Low, 0:Medium, 1:High, 2:veryHigh) |
NSC; NSC>1.1 (higher values indicate more enrichment; 1 = no enrichment)
RSC; RSC>0.8 (0 = no signal; <1 low quality ChIP; >1 high enrichment
Quality tag based on thresholded RSC (codes: -2:veryLow,-1:Low,0:Medium,1:High; 2:veryHigh)
library(data.table)
library(knitr)
A1 = fread("output/qc/A-1_input_filt_15Mreads.SE.cc.qc")
colnames(A1) = c("Filename", "numReads", "estFragLen", "corr_estFragLen", "PhantomPeak", "corr_phantomPeak", "argmin_corr", "min_corr", "phantomPeakCoef", "relPhantomPeakCoef", "QualityTag")
A2 = fread("output/qc/A-2_H3K4me3_filt_15Mreads.SE.cc.qc")
colnames(A2) = c("Filename", "numReads", "estFragLen", "corr_estFragLen", "PhantomPeak", "corr_phantomPeak", "argmin_corr", "min_corr", "phantomPeakCoef", "relPhantomPeakCoef", "QualityTag")
A3 = fread("output/qc/A-3_H3K27ac_filt_15Mreads.SE.cc.qc")
colnames(A3) = c("Filename", "numReads", "estFragLen", "corr_estFragLen", "PhantomPeak", "corr_phantomPeak", "argmin_corr", "min_corr", "phantomPeakCoef", "relPhantomPeakCoef", "QualityTag")
B1 = fread("output/qc/B-1_input_filt_15Mreads.SE.cc.qc")
colnames(B1) = c("Filename", "numReads", "estFragLen", "corr_estFragLen", "PhantomPeak", "corr_phantomPeak", "argmin_corr", "min_corr", "phantomPeakCoef", "relPhantomPeakCoef", "QualityTag")
B2 = fread("output/qc/B-2_H3K4me3_filt_15Mreads.SE.cc.qc")
colnames(B2) = c("Filename", "numReads", "estFragLen", "corr_estFragLen", "PhantomPeak", "corr_phantomPeak", "argmin_corr", "min_corr", "phantomPeakCoef", "relPhantomPeakCoef", "QualityTag")
B3 = fread("output/qc/B-3_H3K27ac_filt_15Mreads.SE.cc.qc")
colnames(B3) = c("Filename", "numReads", "estFragLen", "corr_estFragLen", "PhantomPeak", "corr_phantomPeak", "argmin_corr", "min_corr", "phantomPeakCoef", "relPhantomPeakCoef", "QualityTag")
| Filename | numReads | estFragLen | corr_estFragLen | PhantomPeak | corr_phantomPeak | argmin_corr | min_corr | phantomPeakCoef | relPhantomPeakCoef | QualityTag |
|---|---|---|---|---|---|---|---|---|---|---|
| A-1_input.filt.sample.15Mreads.SE.tagAlign.gz | 1.5e+07 | 95,135,150 | 0.123657819405274,0.123466870849122,0.123426393106245 | 50 | 0.125339 | 1500 | 0.1220062 | 1.013537 | 0.495558 | -1 |
| Filename | numReads | estFragLen | corr_estFragLen | PhantomPeak | corr_phantomPeak | argmin_corr | min_corr | phantomPeakCoef | relPhantomPeakCoef | QualityTag |
|---|---|---|---|---|---|---|---|---|---|---|
| A-2_H3K4me3.filt.sample.15Mreads.SE.tagAlign.gz | 1.5e+07 | 205,225,240 | 0.264180702500576,0.264046178090335,0.263856306475591 | 50 | 0.2533387 | 1500 | 0.1496324 | 1.765532 | 1.104545 | 1 |
| Filename | numReads | estFragLen | corr_estFragLen | PhantomPeak | corr_phantomPeak | argmin_corr | min_corr | phantomPeakCoef | relPhantomPeakCoef | QualityTag |
|---|---|---|---|---|---|---|---|---|---|---|
| A-3_H3K27ac.filt.sample.15Mreads.SE.tagAlign.gz | 1.5e+07 | 210,220,235 | 0.22968659727008,0.229482796607544,0.229305284391192 | 55 | 0.2184643 | 1500 | 0.1570855 | 1.462175 | 1.182836 | 1 |
| Filename | numReads | estFragLen | corr_estFragLen | PhantomPeak | corr_phantomPeak | argmin_corr | min_corr | phantomPeakCoef | relPhantomPeakCoef | QualityTag |
|---|---|---|---|---|---|---|---|---|---|---|
| B-1_input.filt.sample.15Mreads.SE.tagAlign.gz | 1.5e+07 | 115,130,150 | 0.128496809011662,0.128442767656697,0.12834049936991 | 50 | 0.1304347 | 1500 | 0.126898 | 1.012599 | 0.4520538 | -1 |
| Filename | numReads | estFragLen | corr_estFragLen | PhantomPeak | corr_phantomPeak | argmin_corr | min_corr | phantomPeakCoef | relPhantomPeakCoef | QualityTag |
|---|---|---|---|---|---|---|---|---|---|---|
| B-2_H3K4me3.filt.sample.15Mreads.SE.tagAlign.gz | 1.5e+07 | 210,225,245 | 0.316307968017767,0.316149524309277,0.315180730244617 | 50 | 0.3014805 | 1500 | 0.1675044 | 1.888356 | 1.110672 | 1 |
| Filename | numReads | estFragLen | corr_estFragLen | PhantomPeak | corr_phantomPeak | argmin_corr | min_corr | phantomPeakCoef | relPhantomPeakCoef | QualityTag |
|---|---|---|---|---|---|---|---|---|---|---|
| B-3_H3K27ac.filt.sample.15Mreads.SE.tagAlign.gz | 1.5e+07 | 220,230,255 | 0.229222829886832,0.228995326028105,0.228262435658256 | 55 | 0.2203839 | 1500 | 0.1693505 | 1.353541 | 1.173198 | 1 |
Number of peaks
less output/peaks/A-3_H3K27ac_vs_A-1_input_macs2_default_peaks.narrowPeak | wc -l
171653
less output/peaks/A-2_H3K4me3_vs_A-1_input_macs2_default_peaks.narrowPeak | wc -l
118626
less output/peaks/B-3_H3K27ac_vs_B-1_input_macs2_default_peaks.narrowPeak | wc -l
173791
less output/peaks/B-2_H3K4me3_vs_B-1_input_macs2_default_peaks.narrowPeak | wc -l
130443
A-2_H3K4me3 fraction of reads in peaks
less output/qc/A-2_H3K4me3_vs_A-1_input.frip_default.txt
Number of reads that intersect with peaks = 10471951
Number of total reads = 17808854
Fraction of Reads in Peak = 0.5880193638512619
A3 H3K27ac fraction of reads in peaks
less output/qc/A-3_H3K27ac_vs_A-1_input.frip_default.txt
Number of reads that intersect with peaks = 14183696
Number of total reads = 22850265
Fraction of Reads in Peak = 0.6207234795745257
B2 H3K4me3 fraction of reads in peaks
less output/qc/B-2_H3K4me3_vs_B-1_input.frip_default.txt
Number of reads that intersect with peaks = 13916104
Number of total reads = 21178590
Fraction of Reads in Peak = 0.6570835924393456
B3 H3K27ac fraction of reads in peaks
less output/qc/B-3_H3K27ac_vs_B-1_input.frip_default.txt
Number of reads that intersect with peaks = 13467294
Number of total reads = 21969730
Fraction of Reads in Peak = 0.6129931501206433
Number of consensus peaks
less output/peaks/H3K4me3_overlap_default.narrowPeak | wc -l
80989
less output/peaks/H3K27ac_overlap_default.narrowPeak | wc -l
118528
Find uniquely H3K4me3 sites (i.e. peaks that don’t overlap with H3K27ac):
module load bedtools
bedtools intersect -v -a output/peaks/H3K4me3_overlap_default.narrowPeak -b output/peaks/H3K27ac_overlap_default.narrowPeak > output/peaks/H3K4me3_only.narrowPeak
less output/peaks/H3K4me3_only.narrowPeak | wc -l
16391
Find unique H3K27ac sites (i.e. peaks that don’t overlap with H3K4me3):
module load bedtools
bedtools intersect -v -a output/peaks/H3K27ac_overlap_default.narrowPeak -b output/peaks/H3K4me3_overlap_default.narrowPeak > output/peaks/H3K27ac_only.narrowPeak
less output/peaks/H3K27ac_only.narrowPeak | wc -l
59272
Find peaks common between H3K27ac & H3K4me3 with a reciprocal overlap of at least 50%.
module load bedtools
bedtools intersect -f 0.5 -r -a output/peaks/H3K4me3_overlap_default.narrowPeak -b output/peaks/H3K27ac_overlap_default.narrowPeak > output/peaks/H3K4me3_and_H3K27ac.narrowPeak
less output/peaks/H3K4me3_and_H3K27ac.narrowPeak | wc -l
48541
Combine files
cat output/peaks/H3K4me3_only.narrowPeak output/peaks/H3K4me3_and_H3K27ac.narrowPeak | sort -k 4,4 > output/peaks/dunnart_promoter_peaks.narrowPeak
cat output/peaks/H3K27ac_only.narrowPeak | sort -k 4,4 > output/peaks/dunnart_enhancer_peaks.narrowPeak
less output/peaks/dunnart_promoter_peaks.narrowPeak | wc -l
less output/peaks/dunnart_enhancer_peaks.narrowPeak | wc -l
64932
59272
sessionInfo()
R version 4.1.0 (2021-05-18)
Platform: x86_64-pc-linux-gnu (64-bit)
Running under: Red Hat Enterprise Linux
Matrix products: default
BLAS/LAPACK: /usr/local/easybuild-2019/easybuild/software/compiler/gcc/10.2.0/openblas/0.3.12/lib/libopenblas_haswellp-r0.3.12.so
locale:
[1] LC_CTYPE=en_GB.UTF-8 LC_NUMERIC=C
[3] LC_TIME=en_GB.UTF-8 LC_COLLATE=en_GB.UTF-8
[5] LC_MONETARY=en_GB.UTF-8 LC_MESSAGES=en_GB.UTF-8
[7] LC_PAPER=en_GB.UTF-8 LC_NAME=C
[9] LC_ADDRESS=C LC_TELEPHONE=C
[11] LC_MEASUREMENT=en_GB.UTF-8 LC_IDENTIFICATION=C
attached base packages:
[1] stats graphics grDevices utils datasets methods base
other attached packages:
[1] knitr_1.33 data.table_1.14.0 workflowr_1.7.0
loaded via a namespace (and not attached):
[1] Rcpp_1.0.6 highr_0.9 jquerylib_0.1.4 pillar_1.6.1
[5] compiler_4.1.0 bslib_0.2.5.1 later_1.2.0 git2r_0.28.0
[9] tools_4.1.0 getPass_0.2-2 digest_0.6.27 jsonlite_1.7.2
[13] evaluate_0.14 lifecycle_1.0.1 tibble_3.1.2 pkgconfig_2.0.3
[17] rlang_1.0.1 cli_2.5.0 rstudioapi_0.13 yaml_2.2.1
[21] xfun_0.23 httr_1.4.2 stringr_1.4.0 sass_0.4.0
[25] fs_1.5.0 vctrs_0.3.8 rprojroot_2.0.2 glue_1.4.2
[29] R6_2.5.0 processx_3.5.2 fansi_0.5.0 rmarkdown_2.8
[33] callr_3.7.0 magrittr_2.0.1 whisker_0.4 ps_1.6.0
[37] promises_1.2.0.1 ellipsis_0.3.2 htmltools_0.5.1.1 httpuv_1.6.1
[41] utf8_1.2.1 stringi_1.6.2 crayon_1.4.1