Last updated: 2022-08-18

Checks: 7 0

Knit directory: rare-mutation-detection/

This reproducible R Markdown analysis was created with workflowr (version 1.6.2). The Checks tab describes the reproducibility checks that were applied when the results were created. The Past versions tab lists the development history.


Great! Since the R Markdown file has been committed to the Git repository, you know the exact version of the code that produced these results.

Great job! The global environment was empty. Objects defined in the global environment can affect the analysis in your R Markdown file in unknown ways. For reproduciblity it’s best to always run the code in an empty environment.

The command set.seed(20210916) was run prior to running the code in the R Markdown file. Setting a seed ensures that any results that rely on randomness, e.g. subsampling or permutations, are reproducible.

Great job! Recording the operating system, R version, and package versions is critical for reproducibility.

Nice! There were no cached chunks for this analysis, so you can be confident that you successfully produced the results during this run.

Great job! Using relative paths to the files within your workflowr project makes it easier to run your code on other machines.

Great! You are using Git for version control. Tracking code development and connecting the code version to the results is critical for reproducibility.

The results in this page were generated with repository version 7ff227e. See the Past versions tab to see a history of the changes made to the R Markdown and HTML files.

Note that you need to be careful to ensure that all relevant files for the analysis have been committed to Git prior to generating the results (you can use wflow_publish or wflow_git_commit). workflowr only checks the R Markdown file, but you know if there are other scripts or data files that it depends on. Below is the status of the Git repository when the results were generated:


Ignored files:
    Ignored:    .DS_Store
    Ignored:    .Rapp.history
    Ignored:    .Rhistory
    Ignored:    .Rproj.user/
    Ignored:    analysis/.DS_Store
    Ignored:    analysis/downsampling.nb.html
    Ignored:    scripts/

Untracked files:
    Untracked:  ._.DS_Store
    Untracked:  DOCNAME
    Untracked:  analysis/._.DS_Store
    Untracked:  analysis/cache/
    Untracked:  analysis/calc_nanoseq_metrics.Rmd
    Untracked:  data/._metrics.rds
    Untracked:  data/ecoli/
    Untracked:  data/metadata/
    Untracked:  data/metrics_efficiency_nossc.rds
    Untracked:  data/mixtures
    Untracked:  data/ref/
    Untracked:  prototype_code/

Unstaged changes:
    Modified:   analysis/_site.yml

Note that any generated files, e.g. HTML, png, CSS, etc., are not included in this status report because it is ok for generated content to have uncommitted changes.


These are the previous versions of the repository in which changes were made to the R Markdown (analysis/ecoli_spikeins.Rmd) and HTML (docs/ecoli_spikeins.html) files. If you’ve configured a remote Git repository (see ?wflow_git_remote), click on the hyperlinks in the table below to view the files as they were in that past version.

File Version Author Date Message
Rmd 7ff227e Marek Cmero 2022-08-18 Added downsampling experiments and some presentation-only plots.
html f5859e9 Marek Cmero 2022-08-16 Build site.
Rmd e6092ec Marek Cmero 2022-08-16 Added duplicate rate stat to 0.1% spike-in sample
html a099d38 Marek Cmero 2022-08-05 Build site.
Rmd a0a39ad Marek Cmero 2022-08-05 Added sample 1-10-K12 to analysis
html 565d602 Marek Cmero 2022-07-13 Build site.
Rmd 847a8c2 Marek Cmero 2022-07-13 Added variant analysis for E coli spike ins
html 9a639c3 Marek Cmero 2022-07-12 Build site.
Rmd 2ec3680 Marek Cmero 2022-07-12 Added preliminary QC results/metrics from spike-in experiments

E coli spike-in experiment results

E coli K12 strain was spiked into E coli BL21 with different proportions:

Lib Name Spike in % ~Cell equivalent*
0-K12Rep1 0%K12Rep1(BL2 only) 318
0-K12Rep2 0%K12Rep2 (BL2 only) 202
1-K12Rep1 1%K12Rep1 601
1-K12Rep2 1%K12Rep2 585
10-K12Rep1 10%K12Rep1 86
10-K12Rep2 10%K12Rep2 74
1_10-K12Rep1 0.1%K12Rep1 11,139
5-K12Rep1 5%K12Rep1 188
5-K12Rep2 5%K12Rep2 228

*based on R1 unique read number.

The 1_10-K12Rep1 sample is currently omitted in this analysis as it is too large to process with the existing script.

MultiQC reports:

library(ggplot2)
library(data.table)
library(dplyr)
library(here)
library(tibble)
library(stringr)
library(Rsamtools)
library(GenomicRanges)
library(seqinr)
library(parallel)
library(readxl)
library(patchwork)
library(RColorBrewer)
library(UpSetR)
library(vcfR)
library(tidyr)
source(here('code/load_data.R'))
source(here('code/plot.R'))
source(here('code/efficiency_nanoseq_functions.R'))
genome_max <- 4528118
cores <- 8
genomeFile <- here('data/ref/Escherichia_coli_strain_BL21_TaKaRa.fasta')
rinfo_dir <- here('data/ecoli/AGRF_CAGRF220410419_HFVGHDSX3/QC/read_info')
markdup_dir <- here('data/ecoli/AGRF_CAGRF220410419_HFVGHDSX3/QC/mark_duplicates')
qualimap_dir <- here('data/ecoli/AGRF_CAGRF220410419_HFVGHDSX3/QC/qualimap')
qualimap_cons_dir <- here('data/ecoli/AGRF_CAGRF220410419_HFVGHDSX3/QC/consensus/qualimap')
variant_dir <- here('data/ecoli/AGRF_CAGRF220410419_HFVGHDSX3/variants')
sample_names <- list.files(rinfo_dir) %>%
                str_split('\\.txt.gz') %>%
                lapply(., dplyr::first) %>%
                unlist() %>%
                str_split('_') %>%
                lapply(., head, 2) %>%
                lapply(., paste, collapse='-') %>%
                unlist()

# load variant data
var_sample_names <- list.files(variant_dir) %>%
                str_split('_HFVGHDSX3') %>%
                lapply(., dplyr::first) %>%
                unlist()

var_df <- load_variants(variant_dir, var_sample_names) %>% calculate_vafs()

# load and fetch duplicate rate from MarkDuplicates output
mdup <- load_markdup_data(markdup_dir, sample_names)

# get mean coverage for pre and post-consensus reads
qmap_cov <- get_qmap_coverage(qualimap_dir, sample_names)
qmap_cons_cov <- get_qmap_coverage(qualimap_cons_dir, sample_names)

# uncomment below to calculate metrics
# calculate metrics for nanoseq
rlen <- 151; skips <- 5
metrics <- calc_metrics_new_rbs(rinfo_dir, cores = cores) %>% bind_rows()

metrics$duplicate_rate <- mdup
metrics$duplex_coverage_ratio <- qmap_cov$coverage / qmap_cons_cov$coverage
metrics$duplex_coverage_ratio[qmap_cons_cov$coverage < 1] <- 0 # fix when < 1 duplex cov
metrics$sample <- gsub('-HFVGHDSX3', '', sample_names)

# cache metrics object
# saveRDS(metrics, file = here('data/metrics.rds'))

# prepare for plotting
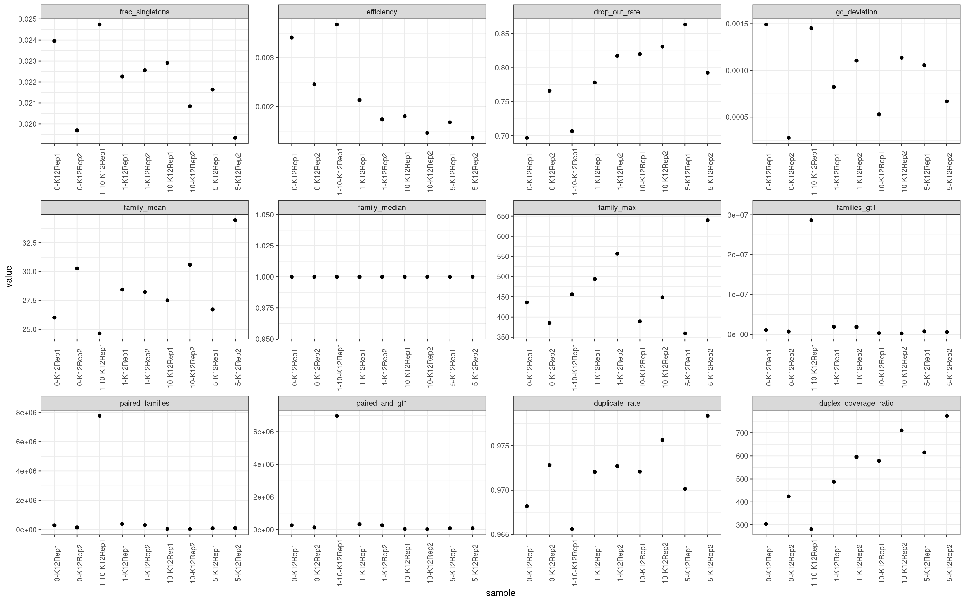
mm <- data.frame(reshape2::melt(metrics))
colnames(mm)[2] <- 'metric'
ggplot(mm, aes(sample, value)) + 
    geom_point() +
    theme_bw() +
    theme(axis.text.x = element_text(angle = 90)) +
    facet_wrap(~metric, scales = 'free') +
    scale_colour_brewer(palette = 'Dark2')

Version Author Date
f5859e9 Marek Cmero 2022-08-16
a099d38 Marek Cmero 2022-08-05
565d602 Marek Cmero 2022-07-13
9a639c3 Marek Cmero 2022-07-12

Metric comparison plots

Duplicate rate

Fraction of duplicate reads calculated by Picard’s MarkDuplicates. This is based on barcode-aware aligned duplicates mapping to the same 5’ positions for both read pairs. The NanoSeq Analysis pipeline states the optimal empirical duplicate rate is 75-76% (marked in the plot).

metric <- 'duplicate_rate'
ggplot(mm[mm$metric == metric,], aes(sample, value)) +
        geom_histogram(stat = 'identity', position = 'dodge') +
        theme_bw() +
        coord_flip() +
        geom_hline(yintercept = c(0.75, 0.76), alpha = 0.4)  +
        ggtitle(metric)

Version Author Date
f5859e9 Marek Cmero 2022-08-16
a099d38 Marek Cmero 2022-08-05
9a639c3 Marek Cmero 2022-07-12

Fraction of singleton reads

Shows the number of single-read families divided by the total number of reads. As suggested by Stoler et al. 2016, this metric can server as a proxy for error rate, as (uncorrected) barcode mismatches will manifest as single-read families. The lower the fraction of singletons, the better.

metric <- 'frac_singletons'
ggplot(mm[mm$metric == metric,], aes(sample, value)) +
        geom_histogram(stat = 'identity', position = 'dodge') +
        theme_bw() +
        coord_flip() +
        ggtitle(metric)

Version Author Date
a099d38 Marek Cmero 2022-08-05
9a639c3 Marek Cmero 2022-07-12

Drop-out rate

This is the same calculation as F-EFF in the NanoSeq Analysis pipeline:

“This shows the fraction of read bundles missing one of the two original strands beyond what would be expected under random sampling (assuming a binomial process). Good values are between 0.10-0.30, and larger values are likely due to DNA damage such as modified bases or internal nicks that prevent amplification of one of the two strands. Larger values do not impact the quality of the results, just reduce the efficiency of the protocol.”

This is similar to the singleton fraction, but taking into account loss of pairs due to sampling. The optimal range is shown by the lines.

metric <- 'drop_out_rate'
ggplot(mm[mm$metric == metric,], aes(sample, value)) +
        geom_histogram(stat = 'identity', position = 'dodge') +
        theme_bw() +
        coord_flip() +
        geom_hline(yintercept = c(0.1, 0.3), alpha = 0.4)  +
        ggtitle(metric)

Version Author Date
a099d38 Marek Cmero 2022-08-05
9a639c3 Marek Cmero 2022-07-12

Efficiency

Efficiency is the number of duplex bases divided by the number of sequenced bases. According the NanoSeq Analysis pipeline, this value is maximised at ~0.07 when duplicate rates and strand drop-outs are optimal.

metric <- 'efficiency'
ggplot(mm[mm$metric == metric,], aes(sample, value)) +
        geom_histogram(stat = 'identity', position = 'dodge') +
        theme_bw() +
        coord_flip() +
        geom_hline(yintercept = c(0.07), alpha = 0.4)  +
        ggtitle(metric)

Version Author Date
a099d38 Marek Cmero 2022-08-05
9a639c3 Marek Cmero 2022-07-12

GC deviation

GC deviation is the absolute difference between GC_BOTH and GC_SINGLE calculated by the NanoSeq Analysis pipeline. The lower this deviation, the better.

“GC_BOTH and GC_SINGLE: the GC content of RBs with both strands and with just one strand. The two values should be similar between them and similar to the genome average. If there are large deviations that is possibly due to biases during PCR amplification. If GC_BOTH is substantially larger than GC_SINGLE, DNA denaturation before dilution may have taken place.”

metric <- 'gc_deviation'
ggplot(mm[mm$metric == metric,], aes(sample, value)) +
        geom_histogram(stat = 'identity', position = 'dodge') +
        theme_bw() +
        coord_flip() +
        ggtitle(metric)

Version Author Date
f5859e9 Marek Cmero 2022-08-16
a099d38 Marek Cmero 2022-08-05
565d602 Marek Cmero 2022-07-13
9a639c3 Marek Cmero 2022-07-12

Duplex Coverage ratio

The mean sequence (pre-duplex) coverage divided by mean duplex coverage. Indicates the yield of how much duplex coverage we get at each sample’s sequence coverage. Abascal et al. report that their yield was approximately 30x (marked on the plot).

metric <- 'duplex_coverage_ratio'
ggplot(mm[mm$metric == metric,], aes(sample, value)) +
        geom_histogram(stat = 'identity', position = 'dodge') +
        theme_bw() +
        coord_flip() +
        geom_hline(yintercept = 30, alpha = 0.4)  +
        ggtitle(metric)

Version Author Date
a099d38 Marek Cmero 2022-08-05
9a639c3 Marek Cmero 2022-07-12

Family statistics

Comparison of family pair sizes between samples (these are calculated from total reads of paired AB and BA families).

ggplot(mm[mm$metric %like% 'family', ], aes(value, sample, colour = metric)) +
        geom_point() +
        coord_trans(x='log2') +
        scale_x_continuous(breaks=seq(0, 94, 8)) +
        theme(axis.text.x = element_text(size=5)) +
        theme_bw() +
        ggtitle('Family pair sizes')

Version Author Date
a099d38 Marek Cmero 2022-08-05
9a639c3 Marek Cmero 2022-07-12

The following plot shows:

  • families_gt1: number of family pairs where at least one family (AB or BA) has > 1 reads.
  • paired_families: number of family pairs where both families (AB and BA) have > 0 reads.
  • paired_and_gt1: number of family pairs where both families (AB and BA) have > 1 reads.
p1 <- ggplot(mm[mm$metric %like% 'pair|gt1', ], aes(value, sample, fill = metric)) +
        geom_bar(stat='identity', position='dodge') +
        theme_bw() +
        ggtitle('Family statistics')
p2 <- ggplot(mm[mm$metric %like% 'pair|gt1' & !mm$sample %like% '1-10', ], aes(value, sample, fill = metric)) +
        geom_bar(stat='identity', position='dodge') +
        theme_bw() +
        ggtitle('Family statistics without 0.1% spike-in sample')
p1 + p2

Version Author Date
a099d38 Marek Cmero 2022-08-05
9a639c3 Marek Cmero 2022-07-12

Variant calling analysis

Here we show the VAF mean, number of variants called, as well as a number of other metrics used in estimating number of variants called.

# number of differing variant sites between the E coli genomes
N_TOTAL_VARS <- 33655
COVERAGE_PER_GENOME <- 10

vaf_sm <- data.table(var_df)[, list(VAF_mean = mean(VAF), nvars = length(POS)), by=sample] %>%
            mutate(VAF_mix = as.character(sample) %>% strsplit('-K12Rep') %>% lapply(dplyr::first) %>% unlist()) %>%
            left_join(., select(metrics, c(sample, efficiency)), by='sample') %>%
            separate(col = sample, sep = 'Rep', into = c('sample', 'replicate'))
            
vaf_sm$VAF_mix[vaf_sm$VAF_mix == '1-10'] <- 0.1
# vaf_sm$efficiency[vaf_sm$sample == ] <- 0.002 # a guess
# vaf_sm$cells <- c(318, 202, 11139, 601, 585, 86, 74, 188, 228)
vaf_sm$VAF_mix <- as.numeric(vaf_sm$VAF_mix) / 100
vaf_sm$cells <- c(318, 202, 11139, 601, 585, 86, 74, 188, 228)
vaf_sm$coverage <- qmap_cons_cov$coverage
vaf_sm$expected_coverage <- vaf_sm$cells * COVERAGE_PER_GENOME * vaf_sm$efficiency

print(vaf_sm)
     sample replicate    VAF_mean nvars VAF_mix  efficiency cells coverage
1:    0-K12         1 0.144585508   192   0.000 0.003411398   318  16.4145
2:    0-K12         2 0.159597801   122   0.000 0.002459236   202   8.5023
3: 1-10-K12         1 0.005226775 14202   0.001 0.003678547 11139 424.9759
4:    1-K12         1 0.070934203  8096   0.010 0.002135843   601  20.4558
5:    1-K12         2 0.087725317  6204   0.010 0.001740567   585  16.3451
6:   10-K12         1 0.222747259  1796   0.100 0.001806526    86   2.3988
7:   10-K12         2 0.230245999   723   0.100 0.001463852    74   1.8268
8:    5-K12         1 0.186009906  5788   0.050 0.001680279   188   5.1634
9:    5-K12         2 0.185332683  6394   0.050 0.001364435   228   5.3801
   expected_coverage
1:         10.848247
2:          4.967657
3:        409.753348
4:         12.836414
5:         10.182318
6:          1.553612
7:          1.083251
8:          3.158924
9:          3.110913

Expected coverage

Here we plot the observed mean coverage versus the expected coverage, the latter is calculated as \(n * c * d\) where \(n =\) number of input cells, \(c =\) target coverage per genome equivalent (10) and \(d =\) duplex efficiency.

We can see that the real coverage is higher than expected, this is likely due to the efficiency calculation being based on 2 minimum reads per strand, whereas we ran duplex consensus calling without SSC.

ggplot(vaf_sm, aes(expected_coverage, coverage, shape=sample)) +
    geom_point() +
    theme_minimal() +
    geom_abline(slope = 1)

Version Author Date
a099d38 Marek Cmero 2022-08-05
565d602 Marek Cmero 2022-07-13

Expected variants

Here we use the revised model to estimate the number of variants we expected to call with 95% confidence, using the formula above.

vaf_sm$expected_variants <- (1 - (1 - vaf_sm$VAF_mix) ^ round(vaf_sm$expected_coverage)) * N_TOTAL_VARS
vaf_sm$expected_variants_cov <- (1 - (1 - vaf_sm$VAF_mix) ^ round(vaf_sm$coverage)) * N_TOTAL_VARS

p1 <- ggplot(vaf_sm, aes(expected_variants, nvars, shape=sample)) +
    geom_point() +
    theme_minimal() +
    geom_abline(slope = 1) +
    scale_x_continuous(limits = c(0,15000)) +
    scale_y_continuous(limits = c(0,15000)) +
    ggtitle('Expected vs. actual variants, based on expected coverage')

p2 <- ggplot(vaf_sm, aes(expected_variants_cov, nvars, shape=sample)) +
    geom_point() +
    theme_minimal() +
    geom_abline(slope = 1) +
    scale_x_continuous(limits = c(0,15000)) +
    scale_y_continuous(limits = c(0,15000)) +
    ggtitle('Expected vs. actual variants, based on actual coverage')

p1 + p2

Version Author Date
a099d38 Marek Cmero 2022-08-05
565d602 Marek Cmero 2022-07-13
p1 <- ggplot(vaf_sm, aes(expected_coverage, coverage, shape=sample)) +
    geom_point() +
    theme_minimal() +
    geom_abline(slope = 1) +
    theme(legend.position = 'none') +
    ggtitle('Expected vs. actual coverage')

p2 <- ggplot(vaf_sm, aes(expected_variants, nvars, shape=sample)) +
    geom_point() +
    theme_minimal() +
    geom_abline(slope = 1) +
    theme(legend.position = 'none') +
    scale_x_continuous(limits = c(0,15000)) +
    scale_y_continuous(limits = c(0,15000)) +
    ggtitle('Expected vs. actual variants\nbased on expected coverage')

p3 <- ggplot(vaf_sm, aes(expected_variants_cov, nvars, shape=sample)) +
    geom_point() +
    theme_minimal() +
    geom_abline(slope = 1) +
    theme(legend.position = 'none') +
    scale_x_continuous(limits = c(0,15000)) +
    scale_y_continuous(limits = c(0,15000)) +
    ggtitle('Expected vs. actual variants\nbased on actual coverage')

p1 + p2 + p3

sessionInfo()
R version 4.0.5 (2021-03-31)
Platform: x86_64-pc-linux-gnu (64-bit)
Running under: CentOS Linux 7 (Core)

Matrix products: default
BLAS:   /stornext/System/data/apps/R/R-4.0.5/lib64/R/lib/libRblas.so
LAPACK: /stornext/System/data/apps/R/R-4.0.5/lib64/R/lib/libRlapack.so

locale:
 [1] LC_CTYPE=en_US.UTF-8       LC_NUMERIC=C              
 [3] LC_TIME=en_US.UTF-8        LC_COLLATE=en_US.UTF-8    
 [5] LC_MONETARY=en_US.UTF-8    LC_MESSAGES=en_US.UTF-8   
 [7] LC_PAPER=en_US.UTF-8       LC_NAME=C                 
 [9] LC_ADDRESS=C               LC_TELEPHONE=C            
[11] LC_MEASUREMENT=en_US.UTF-8 LC_IDENTIFICATION=C       

attached base packages:
[1] stats4    parallel  stats     graphics  grDevices utils     datasets 
[8] methods   base     

other attached packages:
 [1] tidyr_1.1.3          vcfR_1.12.0          UpSetR_1.4.0        
 [4] RColorBrewer_1.1-3   patchwork_1.1.1      readxl_1.3.1        
 [7] seqinr_4.2-8         Rsamtools_2.6.0      Biostrings_2.58.0   
[10] XVector_0.30.0       GenomicRanges_1.42.0 GenomeInfoDb_1.26.7 
[13] IRanges_2.24.1       S4Vectors_0.28.1     BiocGenerics_0.36.1 
[16] stringr_1.4.0        tibble_3.1.7         here_1.0.1          
[19] dplyr_1.0.7          data.table_1.14.0    ggplot2_3.3.6       
[22] workflowr_1.6.2     

loaded via a namespace (and not attached):
 [1] nlme_3.1-152           bitops_1.0-7           fs_1.5.0              
 [4] rprojroot_2.0.2        tools_4.0.5            bslib_0.3.0           
 [7] utf8_1.2.2             R6_2.5.1               vegan_2.5-7           
[10] DBI_1.1.1              mgcv_1.8-35            colorspace_2.0-3      
[13] permute_0.9-5          ade4_1.7-18            withr_2.5.0           
[16] tidyselect_1.1.1       gridExtra_2.3          compiler_4.0.5        
[19] git2r_0.28.0           cli_3.3.0              labeling_0.4.2        
[22] sass_0.4.0             scales_1.2.0           digest_0.6.29         
[25] rmarkdown_2.11         pkgconfig_2.0.3        htmltools_0.5.2       
[28] highr_0.9              fastmap_1.1.0          rlang_1.0.2           
[31] rstudioapi_0.13        farver_2.1.0           jquerylib_0.1.4       
[34] generics_0.1.1         jsonlite_1.7.2         BiocParallel_1.24.1   
[37] RCurl_1.98-1.3         magrittr_2.0.3         GenomeInfoDbData_1.2.4
[40] Matrix_1.3-2           Rcpp_1.0.7             munsell_0.5.0         
[43] fansi_1.0.3            ape_5.5                lifecycle_1.0.1       
[46] stringi_1.7.5          whisker_0.4            yaml_2.2.1            
[49] MASS_7.3-53.1          zlibbioc_1.36.0        plyr_1.8.6            
[52] pinfsc50_1.2.0         grid_4.0.5             promises_1.2.0.1      
[55] crayon_1.5.1           lattice_0.20-44        splines_4.0.5         
[58] knitr_1.33             pillar_1.7.0           reshape2_1.4.4        
[61] glue_1.6.2             evaluate_0.14          memuse_4.2-1          
[64] vctrs_0.4.1            httpuv_1.6.3           cellranger_1.1.0      
[67] gtable_0.3.0           purrr_0.3.4            assertthat_0.2.1      
[70] xfun_0.22              later_1.3.0            viridisLite_0.4.0     
[73] cluster_2.1.2          ellipsis_0.3.2