Last updated: 2022-11-11
Checks: 7 0
Knit directory: rare-mutation-detection/
This reproducible R Markdown analysis was created with workflowr (version 1.6.2). The Checks tab describes the reproducibility checks that were applied when the results were created. The Past versions tab lists the development history.
Great! Since the R Markdown file has been committed to the Git repository, you know the exact version of the code that produced these results.
Great job! The global environment was empty. Objects defined in the global environment can affect the analysis in your R Markdown file in unknown ways. For reproduciblity it’s best to always run the code in an empty environment.
The command set.seed(20210916) was run prior to running
the code in the R Markdown file. Setting a seed ensures that any results
that rely on randomness, e.g. subsampling or permutations, are
reproducible.
Great job! Recording the operating system, R version, and package versions is critical for reproducibility.
Nice! There were no cached chunks for this analysis, so you can be confident that you successfully produced the results during this run.
Great job! Using relative paths to the files within your workflowr project makes it easier to run your code on other machines.
Great! You are using Git for version control. Tracking code development and connecting the code version to the results is critical for reproducibility.
The results in this page were generated with repository version eba33a5. See the Past versions tab to see a history of the changes made to the R Markdown and HTML files.
Note that you need to be careful to ensure that all relevant files for
the analysis have been committed to Git prior to generating the results
(you can use wflow_publish or
wflow_git_commit). workflowr only checks the R Markdown
file, but you know if there are other scripts or data files that it
depends on. Below is the status of the Git repository when the results
were generated:
Ignored files:
Ignored: .DS_Store
Ignored: .Rapp.history
Ignored: .Rhistory
Ignored: .Rproj.user/
Ignored: analysis/.DS_Store
Ignored: scripts/
Untracked files:
Untracked: ._.DS_Store
Untracked: DOCNAME
Untracked: analysis/._.DS_Store
Untracked: analysis/cache/
Untracked: analysis/calc_nanoseq_metrics.Rmd
Untracked: data/._metrics.rds
Untracked: data/ecoli/
Untracked: data/ecoli_k12_metrics.rds
Untracked: data/metadata/
Untracked: data/metrics_efficiency_nossc.rds
Untracked: data/mixtures
Untracked: data/ref/
Untracked: drop_out_rate.pdf
Untracked: efficiency.pdf
Untracked: prototype_code/
Unstaged changes:
Modified: analysis/ecoli_K12.Rmd
Modified: analysis/ecoli_spikeins.Rmd
Note that any generated files, e.g. HTML, png, CSS, etc., are not included in this status report because it is ok for generated content to have uncommitted changes.
These are the previous versions of the repository in which changes were
made to the R Markdown (analysis/model.Rmd) and HTML
(docs/model.html) files. If you’ve configured a remote Git
repository (see ?wflow_git_remote), click on the hyperlinks
in the table below to view the files as they were in that past version.
| File | Version | Author | Date | Message |
|---|---|---|---|---|
| Rmd | eba33a5 | Marek Cmero | 2022-11-11 | Added sequencing depth and capture size example experiment table |
| html | f90d40a | Marek Cmero | 2022-08-18 | Build site. |
| Rmd | 7ff227e | Marek Cmero | 2022-08-18 | Added downsampling experiments and some presentation-only plots. |
| html | ede1103 | Marek Cmero | 2022-08-11 | Build site. |
| Rmd | e169b95 | Marek Cmero | 2022-08-11 | Added downsampling effect on duplicate rate toy example |
| html | 22d32ef | Marek Cmero | 2022-05-31 | Build site. |
| Rmd | e722dc0 | Marek Cmero | 2022-05-31 | Fix typo, minor code update |
| html | b524238 | Marek Cmero | 2022-05-26 | Build site. |
| Rmd | afd79e5 | Marek Cmero | 2022-05-26 | Added revised model, in silico mixtures redone with 1 supporting read, added input cell estimates |
| html | 0b0a0dd | Marek Cmero | 2022-05-12 | Build site. |
| Rmd | 3c84b8f | Marek Cmero | 2022-05-12 | update model for haploid genome |
| html | 0e46464 | Marek Cmero | 2022-04-11 | Build site. |
| Rmd | f5ca0c0 | Marek Cmero | 2022-04-11 | added mixture experiment calculation |
| html | cde303e | Marek Cmero | 2022-02-17 | Build site. |
| Rmd | 7cfe3e4 | Marek Cmero | 2022-02-17 | Updated/simplified model |
| html | e5ed9a7 | Marek Cmero | 2021-12-15 | Build site. |
| html | 5a3c6b1 | Marek Cmero | 2021-12-15 | Build site. |
| html | cbb4886 | mcmero | 2021-09-22 | Build site. |
| Rmd | cf87608 | mcmero | 2021-09-22 | Added equation |
| Rmd | 5cb4f4d | mcmero | 2021-09-22 | Fix probability of selecting mutant fragment |
| html | 5cb4f4d | mcmero | 2021-09-22 | Fix probability of selecting mutant fragment |
| html | 2f677c2 | mcmero | 2021-09-22 | Build site. |
| Rmd | de62c5c | mcmero | 2021-09-22 |
|
| html | de62c5c | mcmero | 2021-09-22 |
|
| html | b680ba0 | mcmero | 2021-09-17 | Build site. |
| Rmd | ebb9d74 | mcmero | 2021-09-17 | initial commit |
| html | ebb9d74 | mcmero | 2021-09-17 | initial commit |
library(ggplot2)
library(dplyr)
Q: how many cells (or “cell equivalents”) do we need to sequence to detect variants down to a VAF of X%
The probability of selecting a cell with a given variant from a pool of \(n\) cells is the variant allele frequency (VAF) \(v\). This indicates that a VAF of 0.01 means 1 cell in 100 is a mutant (\(nv\)).
We assume the probability of selecting a mutant cell is binomially distributed. We want to know the probability of selecting at least one mutant:
\(P(Bin(n, v)) > 0)\) = 0.95
This is equivalent to:
\(P(Bin(n, v)) = 0)\) = 0.05
Where \(n\) is the number of sequenced cells.
Let’s consider how many input cells (\(n\)) are required to select at least one mutant cell at 1% VAF (95% confidence).
We’ll consider 100 cell increments from \(n = \{100, 200..2000\}\). Using these values, we can plot the probability selecting of sequencing at least one cell.
v = 0.01
n = seq(100, 2000, 100)
vafs <- data.frame(vaf=v,
p=pbinom(0, n, v),
input_cells=n,
mutant_cells=(n * v))
ggplot(vafs, aes(input_cells, p)) +
geom_point() +
theme_bw() +
geom_hline(yintercept=0.05, alpha=0.4)

We can also plot this as mutant cells instead of VAF:
ggplot(vafs, aes(mutant_cells, p)) +
geom_point() +
theme_bw() +
geom_hline(yintercept=0.05, alpha=0.4)

This shows that for a VAF target of 1%, we should sequence at least 300 cells (3 are mutants).
deviation <- abs(0.05 - vafs$p)
print(vafs[which(deviation == min(deviation)),])
vaf p input_cells mutant_cells
3 0.01 0.04904089 300 3
If we select 1000 input cells, what’s the lowest VAF we can sequence down to, where \(v = {0.0002, 0.0004..0.01}\).
v = seq(0.0002, 0.01, 0.0002)
n = 1000
vafs <- data.frame(vaf=v,
p=pbinom(0, n, v),
input_cells=n,
mutant_cells=(n * v))
ggplot(vafs, aes(vaf, p)) +
geom_point() +
theme_bw() +
geom_hline(yintercept=0.05, alpha=0.4)

We can sequence down to approx 0.3% VAF.
deviation <- abs(0.05 - vafs$p)
print(vafs[which(deviation == min(deviation)),])
vaf p input_cells mutant_cells
15 0.003 0.04956308 1000 3
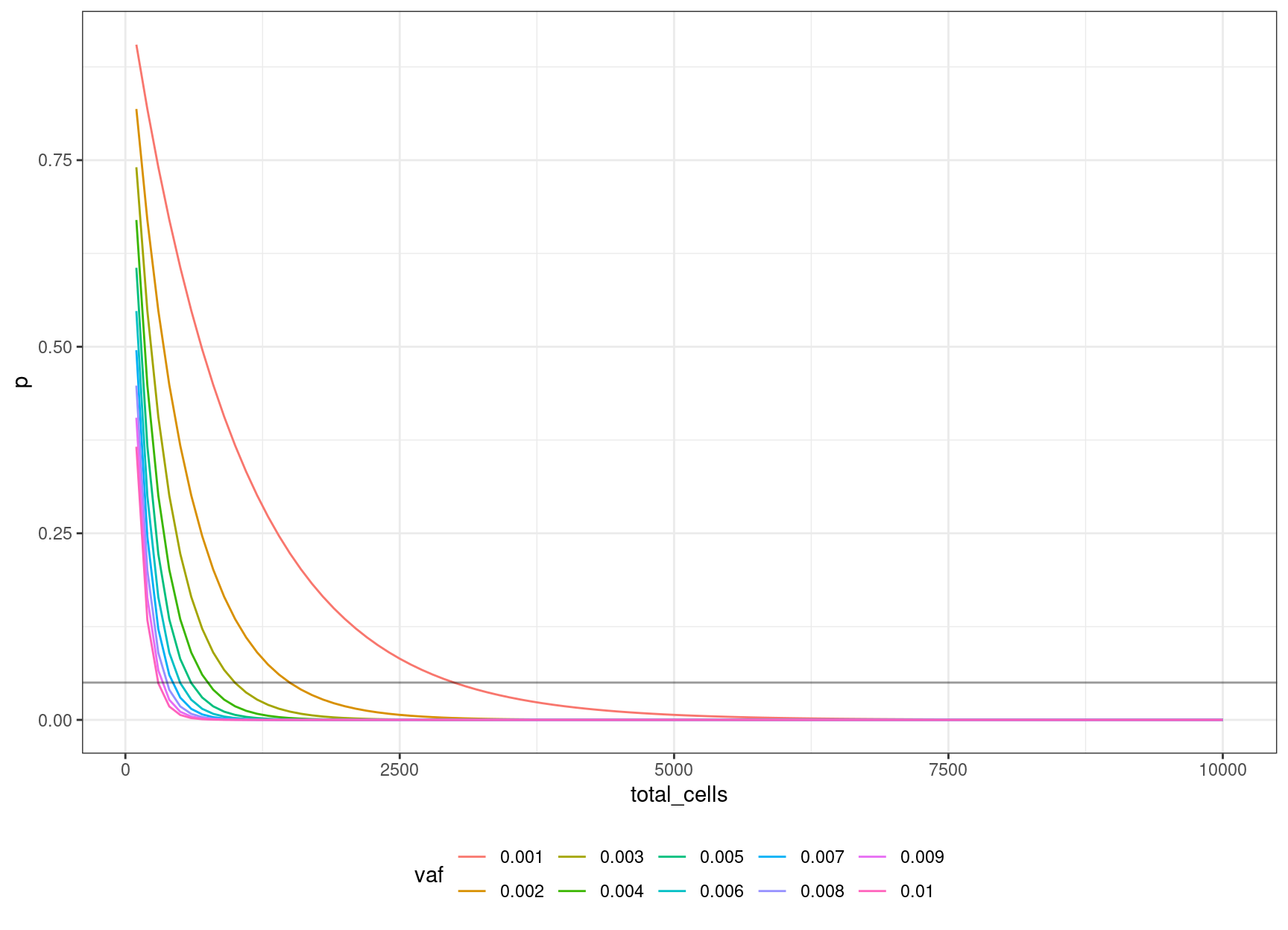
We can look at the relationship between input cells and allele frequency:
cells_vs_vaf = NULL
n = seq(100, 10000, 100)
V = seq(0.001, 0.01, 0.001)
for (v in V) {
toadd <- data.frame(
vaf=as.factor(v),
p=pbinom(0, n, v),
total_cells=n
)
cells_vs_vaf <- rbind(cells_vs_vaf, toadd)
}
ggplot(cells_vs_vaf, aes(total_cells, p, colour=vaf)) +
geom_line() +
theme_bw() +
theme(legend.position = 'bottom') +
geom_hline(yintercept=0.05, alpha=0.4)

We can define an equation based on the binomial probability calculation, of obtaining the number of cells to sequence, to be 95% confident of sequencing the mutation based on the target VAF:
\((1 – v) ^ n = 0.05\)
The above thought experiment won’t tell us the probability of sequencing the variant, as sequencing involves a whole host of other factors. Coverage is one of the most important. Given that approximately 30x raw coverage is required to yield 1x of high quality duplex coverage, we can look at the relationship between coverage and VAF (need the variant to be at least 1x to detect).
Here we can see that at VAF = 0.01 (line), we need to sequence to approx 3000x, and this gets exponentially deeper as we go down in target VAF.
v = seq(0.001, 0.1, 0.001)
ccov <- data.frame(d = 30 / v,
v = v)
ggplot(ccov, aes(d, v)) +
geom_line() +
theme_bw() +
geom_hline(yintercept=0.01, alpha=0.4)

| Version | Author | Date |
|---|---|---|
| cde303e | Marek Cmero | 2022-02-17 |
How much total coverage will we need, in order to detect a mixture of \(X\%?\) We define this as successfully calling at least 50% of the variants at VAF \(v = \{0.1, 0.01, 0.001\}\) with at least one supporting duplex read. We assume our duplex yield is 30 (i.e., 30x coverage yields 1x duplex coverage).
Our binomial calculation takes the form of:
\(P(Bin(n, v)) = 0)\) = 0.5 where \(n =\) duplex coverage.
df <- NULL
min_reads <- 1
duplex_yield <- 30
duplex_seq_range <- seq(1, 10000, 1)
fraction_we_can_miss <- 0.5
for(vaf in c(0.1, 0.01, 0.001)) {
tmp <- data.frame(
pval=pbinom(min_reads - 1, duplex_seq_range, vaf),
vaf=vaf,
duplex_cov=duplex_seq_range,
total_cov=duplex_seq_range * duplex_yield
)
tmp <- tmp[tmp$pval < fraction_we_can_miss,]
tmp <- tmp[tmp$pval == max(tmp$pval),]
df <- rbind(df, tmp)
}
print(df)
pval vaf duplex_cov total_cov
7 0.4782969 0.100 7 210
69 0.4998370 0.010 69 2070
693 0.4999002 0.001 693 20790
Attempting to combine both coverage and cell input, we can take the following formula:
\((1 - v) ^ {(n * c * d)} = p\)
Where \(v\) = target VAF, \(n\) = number of input cells, \(c\) = coverage per input cell, \(d\) = duplex efficiency and \(p\) = probability of missing a variant.
We set:
We also need to check whether the number of genome equivalents we take forward for sequencing exceeds the lane capacity (600GB). Our sequenced bases will be:
\(b = g * c * n\) where \(g\) = genome size.
lane_cap <- 6e11
g <- 5e6
pmiss <- 0.05
c <- 10
e <- 0.057
vafs <- c(0.001, 0.01, 0.05, 0.1)
n <- seq(100, 10000, 100)
# calculate duplex coverage
dcov <- n * c * e
# calculate total sequenced bases
bases <- g * c * n
probs <- NULL
min_cells <- NULL
for(vaf in vafs) {
prob <- data.frame(ncells = n,
dcov = dcov,
p = pbinom(0, dcov, vaf),
vaf = vaf,
bases = bases,
within_capacity = bases < lane_cap)
tmp <- prob[prob$p < pmiss,]
tmp <- tmp[tmp$p == max(tmp$p),]
min_cells <- rbind(tmp, min_cells)
probs <- rbind(probs, prob)
}
print(min_cells)
ncells dcov p vaf bases within_capacity
1 100 57 0.002465035 0.100 5.00e+09 TRUE
2 200 114 0.002887294 0.050 1.00e+10 TRUE
6 600 342 0.032154114 0.010 3.00e+10 TRUE
53 5300 3021 0.048678808 0.001 2.65e+11 TRUE
ggplot(probs, aes(ncells, p, colour = factor(vaf))) +
geom_point() +
theme_minimal() +
geom_hline(yintercept = pmiss, alpha=0.4) +
scale_color_brewer(palette = 'Dark2')

| Version | Author | Date |
|---|---|---|
| ede1103 | Marek Cmero | 2022-08-11 |
Example statistics table for 1% and 0.1% VAF experiments for different capture sizes (2kb, 10kb, 5Mb and 36.8Mb (human exome size).
lane_cap <- 6e11
capture_sizes <- c(2000, 10000, 5e6, 3.68e7)
chance_to_miss <- 0.05
target_cov <- 8
efficiency <- 1 / 30 # conservative estimate
ploidy <- 2
readlen <- 300
ncells <- c(5, seq(200, 6000, 10))
vafs <- c(0.01, 0.001)
df_full <- NULL
for (capture_size in capture_sizes) {
for (vaf in vafs) {
df <- NULL
for (ncell in ncells) {
dna_depth <- ncell * ploidy
dna_input <- capture_size * dna_depth
seq_bases <- dna_input * target_cov
tot_cov <- dna_depth * target_cov
dup_cov <- tot_cov * efficiency
tmp <- data.frame(ncell = ncell,
vaf = vaf,
tot_cov = tot_cov,
dup_cov = dup_cov,
seq_megabases = seq_bases / 1e6,
million_reads = seq_bases / readlen / 1e6,
capture_size_kb = capture_size / 1e3,
chance_to_miss = pbinom(0, round(dup_cov), vaf),
lane_fraction = seq_bases / lane_cap)
df <- rbind(df, tmp)
}
df <- df[df$chance_to_miss < chance_to_miss,]
df <- df[df$chance_to_miss == max(df$chance_to_miss),]
df_full <- rbind(df_full, df)
}
}
print(df_full[order(df_full$vaf, decreasing = TRUE),])
ncell vaf tot_cov dup_cov seq_megabases million_reads capture_size_kb
38 560 0.010 8960 298.6667 17.92 5.973333e-02 2
381 560 0.010 8960 298.6667 89.60 2.986667e-01 10
382 560 0.010 8960 298.6667 44800.00 1.493333e+02 5000
383 560 0.010 8960 298.6667 329728.00 1.099093e+03 36800
544 5620 0.001 89920 2997.3333 179.84 5.994667e-01 2
5441 5620 0.001 89920 2997.3333 899.20 2.997333e+00 10
5442 5620 0.001 89920 2997.3333 449600.00 1.498667e+03 5000
5443 5620 0.001 89920 2997.3333 3309056.00 1.103019e+04 36800
chance_to_miss lane_fraction
38 0.04953626 2.986667e-05
381 0.04953626 1.493333e-04
382 0.04953626 7.466667e-02
383 0.04953626 5.495467e-01
544 0.04986183 2.997333e-04
5441 0.04986183 1.498667e-03
5442 0.04986183 7.493333e-01
5443 0.04986183 5.515093e+00
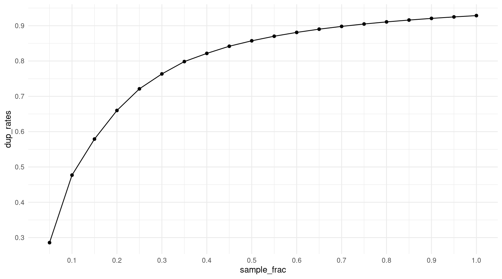
How does the duplicate rate behave when we downsample reads? We can use the rough stats of the 1% ecoli spike-in to check for sensible downsampling fractions. This sample has roughly 340m duplex reads and an average family size of 14 (each read is sequenced on average 14x). We use a poisson distribution to generate fake reads, and then down sample from 5% to 95%. We then calculate the duplicate rate.
N_READS <- 340
COV_RATIO <- 14
# recursive function, times = number of letters in toy reads
make_toy_reads <- function(times, toy_reads=NULL) {
if (times < 1) {
return(toy_reads)
} else if (is.null(toy_reads)) {
toy_reads <- LETTERS
times <- times - 1
} else {
toy_reads <- lapply(toy_reads, paste0, LETTERS) %>% unlist()
times <- times - 1
}
make_toy_reads(times, toy_reads)
}
toy_reads <- make_toy_reads(2) %>% head(N_READS)
all_reads <- rep(toy_reads, rpois(N_READS, COV_RATIO))
dup_rate <- 1 - (N_READS / length(all_reads))
print(paste('Max duplicate rate:', round(dup_rate, 2)))
[1] "Max duplicate rate: 0.93"
sample_frac <- seq(0.05, 1, 0.05)
n_sample <- round(sample_frac * length(all_reads))
all_samples <- lapply(n_sample, function(n){sample(all_reads, n)})
dup_rates <- lapply(all_samples, function(s){1 - (length(unique(s)) / length(s))}) %>% unlist()
df <- data.frame(sample_frac, dup_rates)
ggplot(df, aes(sample_frac, dup_rates)) +
geom_point() +
geom_line() +
theme_minimal() +
scale_x_continuous(breaks = seq(0.1, 1, 0.1)) +
scale_y_continuous(breaks = seq(0.1, 1, 0.1))

| Version | Author | Date |
|---|---|---|
| ede1103 | Marek Cmero | 2022-08-11 |
sessionInfo()
R version 4.0.5 (2021-03-31)
Platform: x86_64-pc-linux-gnu (64-bit)
Running under: CentOS Linux 7 (Core)
Matrix products: default
BLAS: /stornext/System/data/apps/R/R-4.0.5/lib64/R/lib/libRblas.so
LAPACK: /stornext/System/data/apps/R/R-4.0.5/lib64/R/lib/libRlapack.so
locale:
[1] LC_CTYPE=en_US.UTF-8 LC_NUMERIC=C
[3] LC_TIME=en_US.UTF-8 LC_COLLATE=en_US.UTF-8
[5] LC_MONETARY=en_US.UTF-8 LC_MESSAGES=en_US.UTF-8
[7] LC_PAPER=en_US.UTF-8 LC_NAME=C
[9] LC_ADDRESS=C LC_TELEPHONE=C
[11] LC_MEASUREMENT=en_US.UTF-8 LC_IDENTIFICATION=C
attached base packages:
[1] stats graphics grDevices utils datasets methods base
other attached packages:
[1] dplyr_1.0.7 ggplot2_3.3.6 workflowr_1.6.2
loaded via a namespace (and not attached):
[1] Rcpp_1.0.7 RColorBrewer_1.1-3 highr_0.9 pillar_1.7.0
[5] compiler_4.0.5 bslib_0.3.0 later_1.3.0 jquerylib_0.1.4
[9] git2r_0.28.0 tools_4.0.5 digest_0.6.29 gtable_0.3.0
[13] jsonlite_1.7.2 evaluate_0.14 lifecycle_1.0.1 tibble_3.1.7
[17] pkgconfig_2.0.3 rlang_1.0.2 DBI_1.1.1 cli_3.3.0
[21] rstudioapi_0.13 yaml_2.2.1 xfun_0.22 fastmap_1.1.0
[25] withr_2.5.0 stringr_1.4.0 knitr_1.33 generics_0.1.1
[29] fs_1.5.0 vctrs_0.4.1 sass_0.4.0 tidyselect_1.1.1
[33] grid_4.0.5 rprojroot_2.0.2 glue_1.6.2 R6_2.5.1
[37] fansi_1.0.3 rmarkdown_2.11 farver_2.1.0 purrr_0.3.4
[41] magrittr_2.0.3 whisker_0.4 scales_1.2.0 promises_1.2.0.1
[45] ellipsis_0.3.2 htmltools_0.5.2 assertthat_0.2.1 colorspace_2.0-3
[49] httpuv_1.6.3 labeling_0.4.2 utf8_1.2.2 stringi_1.7.5
[53] munsell_0.5.0 crayon_1.5.1