Last updated: 2022-05-12

Checks: 7 0

Knit directory: rare-mutation-detection/

This reproducible R Markdown analysis was created with workflowr (version 1.6.2). The Checks tab describes the reproducibility checks that were applied when the results were created. The Past versions tab lists the development history.


Great! Since the R Markdown file has been committed to the Git repository, you know the exact version of the code that produced these results.

Great job! The global environment was empty. Objects defined in the global environment can affect the analysis in your R Markdown file in unknown ways. For reproduciblity it’s best to always run the code in an empty environment.

The command set.seed(20210916) was run prior to running the code in the R Markdown file. Setting a seed ensures that any results that rely on randomness, e.g. subsampling or permutations, are reproducible.

Great job! Recording the operating system, R version, and package versions is critical for reproducibility.

Nice! There were no cached chunks for this analysis, so you can be confident that you successfully produced the results during this run.

Great job! Using relative paths to the files within your workflowr project makes it easier to run your code on other machines.

Great! You are using Git for version control. Tracking code development and connecting the code version to the results is critical for reproducibility.

The results in this page were generated with repository version 3c84b8f. See the Past versions tab to see a history of the changes made to the R Markdown and HTML files.

Note that you need to be careful to ensure that all relevant files for the analysis have been committed to Git prior to generating the results (you can use wflow_publish or wflow_git_commit). workflowr only checks the R Markdown file, but you know if there are other scripts or data files that it depends on. Below is the status of the Git repository when the results were generated:


Ignored files:
    Ignored:    .DS_Store
    Ignored:    .Rapp.history
    Ignored:    .Rhistory
    Ignored:    .Rproj.user/
    Ignored:    analysis/.DS_Store
    Ignored:    scripts/

Untracked files:
    Untracked:  ._.DS_Store
    Untracked:  ._metrics.rds
    Untracked:  DOCNAME
    Untracked:  analysis/._.DS_Store
    Untracked:  analysis/cache/
    Untracked:  analysis/calc_nanoseq_metrics.Rmd
    Untracked:  analysis/metrics.rds
    Untracked:  data/
    Untracked:  metrics.rds
    Untracked:  prototype_code/

Unstaged changes:
    Modified:   analysis/ecoli.Rmd

Note that any generated files, e.g. HTML, png, CSS, etc., are not included in this status report because it is ok for generated content to have uncommitted changes.


These are the previous versions of the repository in which changes were made to the R Markdown (analysis/model.Rmd) and HTML (docs/model.html) files. If you’ve configured a remote Git repository (see ?wflow_git_remote), click on the hyperlinks in the table below to view the files as they were in that past version.

File Version Author Date Message
Rmd 3c84b8f Marek Cmero 2022-05-12 update model for haploid genome
html 0e46464 Marek Cmero 2022-04-11 Build site.
Rmd f5ca0c0 Marek Cmero 2022-04-11 added mixture experiment calculation
html cde303e Marek Cmero 2022-02-17 Build site.
Rmd 7cfe3e4 Marek Cmero 2022-02-17 Updated/simplified model
html e5ed9a7 Marek Cmero 2021-12-15 Build site.
html 5a3c6b1 Marek Cmero 2021-12-15 Build site.
html cbb4886 mcmero 2021-09-22 Build site.
Rmd cf87608 mcmero 2021-09-22 Added equation
Rmd 5cb4f4d mcmero 2021-09-22 Fix probability of selecting mutant fragment
html 5cb4f4d mcmero 2021-09-22 Fix probability of selecting mutant fragment
html 2f677c2 mcmero 2021-09-22 Build site.
Rmd de62c5c mcmero 2021-09-22
  • Fix error in probability calculation
html de62c5c mcmero 2021-09-22
  • Fix error in probability calculation
html b680ba0 mcmero 2021-09-17 Build site.
Rmd ebb9d74 mcmero 2021-09-17 initial commit
html ebb9d74 mcmero 2021-09-17 initial commit

library(ggplot2)

Model

Q: how many cells (or “cell equivalents”) do we need to sequence to detect variants down to a VAF of X%

Assumptions

  • We consider a haploid genome without SCNAs
  • We’re not considering DNA extraction efficiency or ligation efficiency

Probability of sequencing a mutant cell

The probability of selecting a cell with a given variant from a pool of \(n\) cells is the variant allele frequency (VAF) \(v\). This indicates that a VAF of 0.01 means 1 cell in 100 is a mutant (\(nv\)).

We assume the probability of selecting a mutant cell is binomially distributed. We want to know the probability of selecting at least one mutant:

\(P(Bin(n, v)) > 0)\) = 0.95

This is equivalent to:

\(P(Bin(n, v)) = 0)\) = 0.05

Where \(n\) is the number of sequenced cells.

Let’s consider how many input cells (\(n\)) are required to select at least one mutant cell at 1% VAF (95% confidence).

We’ll consider 100 cell increments from \(n = \{100, 200..2000\}\). Using these values, we can plot the probability selecting of sequencing at least one cell.

v = 0.01
n = seq(100, 2000, 100)

vafs <- data.frame(vaf=v,
                   p=pbinom(0, n, v),
                   input_cells=n,
                   mutant_cells=(n * v))

ggplot(vafs, aes(input_cells, p)) +
    geom_point() +
    theme_bw() +
    geom_hline(yintercept=0.05, alpha=0.4)

Version Author Date
cde303e Marek Cmero 2022-02-17

We can also plot this as mutant cells instead of VAF:

ggplot(vafs, aes(mutant_cells, p)) +
    geom_point() +
    theme_bw() +
    geom_hline(yintercept=0.05, alpha=0.4)

Version Author Date
cde303e Marek Cmero 2022-02-17
5a3c6b1 Marek Cmero 2021-12-15
5cb4f4d mcmero 2021-09-22
de62c5c mcmero 2021-09-22

This shows that for a VAF target of 1%, we should sequence at least 300 cells (3 are mutants).

deviation <- abs(0.05 - vafs$p)
print(vafs[which(deviation == min(deviation)),])
   vaf          p input_cells mutant_cells
3 0.01 0.04904089         300            3

Varying the VAF

If we select 1000 input cells, what’s the lowest VAF we can sequence down to, where \(v = {0.0002, 0.0004..0.01}\).

v = seq(0.0002, 0.01, 0.0002)
n = 1000

vafs <- data.frame(vaf=v,
                   p=pbinom(0, n, v),
                   input_cells=n,
                   mutant_cells=(n * v))

ggplot(vafs, aes(vaf, p)) +
    geom_point() +
    theme_bw() +
    geom_hline(yintercept=0.05, alpha=0.4)

Version Author Date
cde303e Marek Cmero 2022-02-17

We can sequence down to approx 0.3% VAF.

deviation <- abs(0.05 - vafs$p)
print(vafs[which(deviation == min(deviation)),])
     vaf          p input_cells mutant_cells
15 0.003 0.04956308        1000            3

We can look at the relationship between input cells and allele frequency:

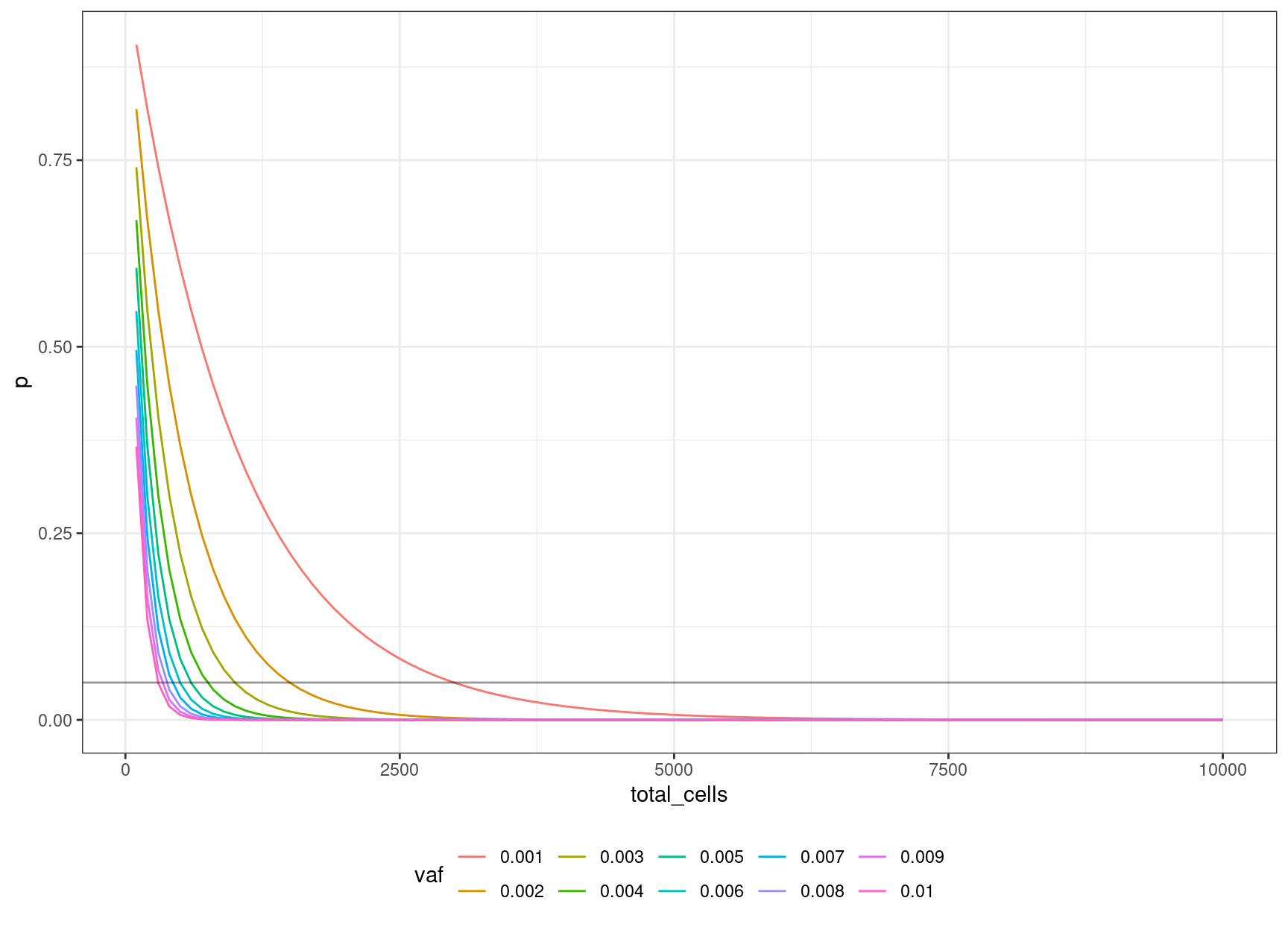
cells_vs_vaf = NULL
n = seq(100, 10000, 100)
V = seq(0.001, 0.01, 0.001)
for (v in V) {
    toadd <- data.frame(
        vaf=as.factor(v),
        p=pbinom(0, n, v),
        total_cells=n
    )
    cells_vs_vaf <- rbind(cells_vs_vaf, toadd)
}

ggplot(cells_vs_vaf, aes(total_cells, p, colour=vaf)) +
    geom_line() +
    theme_bw() +
    theme(legend.position = 'bottom') +
    geom_hline(yintercept=0.05, alpha=0.4)

Version Author Date
cde303e Marek Cmero 2022-02-17
5a3c6b1 Marek Cmero 2021-12-15
5cb4f4d mcmero 2021-09-22
de62c5c mcmero 2021-09-22

We can define an equation based on the binomial probability calculation, of obtaining the number of cells to sequence, to be 95% confident of sequencing the mutation based on the target VAF:

\((1 – v) ^ n = 0.05\)

Coverage

The above thought experiment won’t tell us the probability of sequencing the variant, as sequencing involves a whole host of other factors. Coverage is one of the most important. Given that approximately 30x duplex coverage is required to yield 1x of high quality duplex coverage, we can look at the relationship between coverage and VAF (need the variant to be at least 1x to detect).

Here we can see that at VAF = 0.01 (line), we need to sequence to approx 3000x, and this gets exponentially deeper as we go down in target VAF.

v = seq(0.001, 0.1, 0.001)
ccov <- data.frame(d = 30 / v,
                   v = v)
ggplot(ccov, aes(d, v)) +
    geom_line() +
    theme_bw() +
    geom_hline(yintercept=0.01, alpha=0.4)

Version Author Date
cde303e Marek Cmero 2022-02-17

Mixture experiments

How much total coverage will we need, in order to detect a mixture of \(X\%?\) We define this as successfully calling at least 50% of the variants at VAF \(v = \{0.1, 0.01, 0.001\}\) with at least one supporting duplex read. We assume our duplex yield is 30 (i.e., 30x coverage yields 1x duplex coverage).

Our binomial calculation takes the form of:

\(P(Bin(n, v)) = 0)\) = 0.5 where \(n =\) duplex coverage.

df <- NULL
min_reads <- 1
duplex_yield <- 30
duplex_seq_range <- seq(1, 10000, 1)
fraction_we_can_miss <- 0.5

for(vaf in c(0.1, 0.01, 0.001)) {
    tmp <- data.frame(
        pval=pbinom(min_reads - 1, duplex_seq_range, vaf),
        vaf=vaf,
        duplex_cov=duplex_seq_range,
        total_cov=duplex_seq_range * duplex_yield
    )
    tmp <- tmp[tmp$pval < fraction_we_can_miss,]
    tmp <- tmp[tmp$pval == max(tmp$pval),]
    df <- rbind(df, tmp)
}

print(df)
         pval   vaf duplex_cov total_cov
7   0.4782969 0.100          7       210
69  0.4998370 0.010         69      2070
693 0.4999002 0.001        693     20790

sessionInfo()
R version 4.0.5 (2021-03-31)
Platform: x86_64-pc-linux-gnu (64-bit)
Running under: CentOS Linux 7 (Core)

Matrix products: default
BLAS:   /stornext/System/data/apps/R/R-4.0.5/lib64/R/lib/libRblas.so
LAPACK: /stornext/System/data/apps/R/R-4.0.5/lib64/R/lib/libRlapack.so

locale:
 [1] LC_CTYPE=en_US.UTF-8       LC_NUMERIC=C              
 [3] LC_TIME=en_US.UTF-8        LC_COLLATE=en_US.UTF-8    
 [5] LC_MONETARY=en_US.UTF-8    LC_MESSAGES=en_US.UTF-8   
 [7] LC_PAPER=en_US.UTF-8       LC_NAME=C                 
 [9] LC_ADDRESS=C               LC_TELEPHONE=C            
[11] LC_MEASUREMENT=en_US.UTF-8 LC_IDENTIFICATION=C       

attached base packages:
[1] stats     graphics  grDevices utils     datasets  methods   base     

other attached packages:
[1] ggplot2_3.3.5   workflowr_1.6.2

loaded via a namespace (and not attached):
 [1] Rcpp_1.0.7       highr_0.9        pillar_1.6.4     compiler_4.0.5  
 [5] bslib_0.3.0      later_1.3.0      jquerylib_0.1.4  git2r_0.28.0    
 [9] tools_4.0.5      digest_0.6.27    jsonlite_1.7.2   evaluate_0.14   
[13] lifecycle_1.0.1  tibble_3.1.5     gtable_0.3.0     pkgconfig_2.0.3 
[17] rlang_0.4.12     DBI_1.1.1        yaml_2.2.1       xfun_0.22       
[21] fastmap_1.1.0    withr_2.4.2      dplyr_1.0.7      stringr_1.4.0   
[25] knitr_1.33       generics_0.1.1   fs_1.5.0         vctrs_0.3.8     
[29] sass_0.4.0       tidyselect_1.1.1 rprojroot_2.0.2  grid_4.0.5      
[33] glue_1.4.2       R6_2.5.1         fansi_0.5.0      rmarkdown_2.11  
[37] farver_2.1.0     purrr_0.3.4      magrittr_2.0.1   whisker_0.4     
[41] scales_1.1.1     promises_1.2.0.1 ellipsis_0.3.2   htmltools_0.5.2 
[45] assertthat_0.2.1 colorspace_2.0-0 httpuv_1.6.3     labeling_0.4.2  
[49] utf8_1.2.2       stringi_1.7.5    munsell_0.5.0    crayon_1.4.2