Last updated: 2022-11-24

Checks: 7 0

Knit directory: Tr1-RNA-Sequencing-/

This reproducible R Markdown analysis was created with workflowr (version 1.7.0). The Checks tab describes the reproducibility checks that were applied when the results were created. The Past versions tab lists the development history.


Great! Since the R Markdown file has been committed to the Git repository, you know the exact version of the code that produced these results.

Great job! The global environment was empty. Objects defined in the global environment can affect the analysis in your R Markdown file in unknown ways. For reproduciblity it’s best to always run the code in an empty environment.

The command set.seed(20221025) was run prior to running the code in the R Markdown file. Setting a seed ensures that any results that rely on randomness, e.g. subsampling or permutations, are reproducible.

Great job! Recording the operating system, R version, and package versions is critical for reproducibility.

Nice! There were no cached chunks for this analysis, so you can be confident that you successfully produced the results during this run.

Great job! Using relative paths to the files within your workflowr project makes it easier to run your code on other machines.

Great! You are using Git for version control. Tracking code development and connecting the code version to the results is critical for reproducibility.

The results in this page were generated with repository version 39f0b04. See the Past versions tab to see a history of the changes made to the R Markdown and HTML files.

Note that you need to be careful to ensure that all relevant files for the analysis have been committed to Git prior to generating the results (you can use wflow_publish or wflow_git_commit). workflowr only checks the R Markdown file, but you know if there are other scripts or data files that it depends on. Below is the status of the Git repository when the results were generated:


Ignored files:
    Ignored:    .Rhistory
    Ignored:    .Rproj.user/

Note that any generated files, e.g. HTML, png, CSS, etc., are not included in this status report because it is ok for generated content to have uncommitted changes.


These are the previous versions of the repository in which changes were made to the R Markdown (analysis/dge.Rmd) and HTML (docs/dge.html) files. If you’ve configured a remote Git repository (see ?wflow_git_remote), click on the hyperlinks in the table below to view the files as they were in that past version.

File Version Author Date Message
Rmd 39f0b04 Steve Pederson 2022-11-24 Added UpSet plot & heatmap of signatures
html 39f0b04 Steve Pederson 2022-11-24 Added UpSet plot & heatmap of signatures
Rmd 335d9ad steveped 2022-11-23 Added DE genes summaries. Need to change logFC to set cell BG colour
html 335d9ad steveped 2022-11-23 Added DE genes summaries. Need to change logFC to set cell BG colour
html ee4bb47 steveped 2022-11-17 Build site.
Rmd 9abed75 steveped 2022-11-17 Increased font size & labelled more genes
html f2ee30e steveped 2022-11-14 Build site.
Rmd 7969b18 steveped 2022-11-14 Final Analysis
Rmd e81de73 Steve Pederson 2022-11-01 Corrected figure captions
html e81de73 Steve Pederson 2022-11-01 Corrected figure captions
Rmd 3897b9b Steve Pederson 2022-11-01 Added top100 showing estimated logFC
html 3897b9b Steve Pederson 2022-11-01 Added top100 showing estimated logFC
Rmd 2ae9dfb Steve Pederson 2022-11-01 Added top100 pdf
html 2ae9dfb Steve Pederson 2022-11-01 Added top100 pdf
Rmd 0c8218d Steve Pederson 2022-10-31 Added pdf
html 0c8218d Steve Pederson 2022-10-31 Added pdf
Rmd 5c676b4 Steve Pederson 2022-10-31 Finished high-conf heatmap
html 5c676b4 Steve Pederson 2022-10-31 Finished high-conf heatmap
Rmd 18916d3 Steve Pederson 2022-10-29 Started looking at high-confidence genes
Rmd 0892674 Steve Pederson 2022-10-26 Started adding heatmaps
html 0892674 Steve Pederson 2022-10-26 Started adding heatmaps
Rmd 8745ba2 Steve Pederson 2022-10-26 Shifted to workflowr
html 8745ba2 Steve Pederson 2022-10-26 Shifted to workflowr

knitr::opts_chunk$set(
  warning = FALSE, message = FALSE,
  fig.width = 10, fig.height = 8,
  dev = c("png", "pdf")
)
library(tidyverse)
library(magrittr)
library(limma)
library(edgeR)
library(ggrepel)
library(ggplot2)
library(pheatmap)
library(AnnotationHub)
library(ensembldb)
library(scales)
library(broom)
library(glue)
library(pander)
library(grid)
library(ComplexUpset)
library(reactable)
theme_set(
  theme_bw() +
    theme(plot.title = element_text(hjust = 0.5))
)

Data Preparation & Inspection

counts <- here::here("data", "genes.out.gz") %>% 
  read_tsv() %>% 
  rename_all(basename) %>% 
  rename_all(str_remove_all, pattern = "Aligned.sortedByCoord.out.bam")
samples <- tibble(
  sample = setdiff(colnames(counts), "Geneid"),
  condition = gsub("M2_|M3_|M5_|M6_", "", sample) %>% 
    factor(levels = c("DN", "DP", "LAG_3", "CD49b")),
  mouse = str_extract(sample, "M[0-9]"),
  label = glue("{condition} ({mouse})")
)
dgeList <- counts %>%
  as.data.frame() %>%
  column_to_rownames("Geneid") %>%
  as.matrix() %>%
  DGEList(
    samples = samples
  ) %>% 
  calcNormFactors(method = "TMM")
ah <- AnnotationHub()
#Find which genome did we use
# unique(ah$dataprovider)
# subset(ah, dataprovider == "Ensembl") %>%  #In Ensembl databse
#   subset(species == "Mus musculus") %>%  #under Mouse
#   subset(rdataclass == "EnsDb") 
ensDb <- ah[["AH69210"]] #This is the genome used for assigning reads to genes
genes <- genes(ensDb) %>% #extract the genes
  subset(seqnames %in% c(1:19, "MT", "X", "Y")) %>%
  keepStandardChromosomes() %>% 
  sortSeqlevels()
dgeList$genes <- data.frame(gene_id = rownames(dgeList)) %>% 
  left_join(
    mcols(genes) %>% 
      as.data.frame() %>% 
      dplyr::select(gene_id, gene_name, gene_biotype, description, entrezid),
    by = "gene_id"
  )
id2gene <- setNames(genes$gene_name, genes$gene_id)
genes2keep <- dgeList %>% 
  cpm(log = TRUE) %>% 
  is_greater_than(1) %>% 
  rowSums() %>% 
  is_greater_than(4)
dgeFilt <- dgeList[genes2keep,, keep.lib.sizes = FALSE]

Genes were only retained in the final dataset if \(> 4\) samples returned \(>1\) log2 Counts per Million (logCPM). The gave a dataset of 11,117 of the initial 55,450 genes which were retained for downstream analysis.

Library Sizes

dgeList$samples %>%
  mutate(CellType = dgeList$samples$condition) %>%
  ggplot(aes(x = label, y = lib.size / 1e6, fill = CellType)) +
  geom_col() +
  geom_hline(
    yintercept = mean(dgeList$samples$lib.size / 1e6),
    linetype = 2, colour = "grey30"
  ) +
  labs(x = "Sample", y = "Library Size (millions)") +
  facet_wrap(~mouse, scales = "free_x", nrow = 1) +
  scale_x_discrete(labels = label_wrap(5)) +
  scale_y_continuous(expand = expansion(c(0, 0.05))) 
**Figure S7a** *Library sizes for all libraries after summarisation to gene-level counts. The mean library size across all libraries is shown as a dashed horizontal line.*

Figure S7a Library sizes for all libraries after summarisation to gene-level counts. The mean library size across all libraries is shown as a dashed horizontal line.

Version Author Date
8745ba2 Steve Pederson 2022-10-26

Count Densities

dgeFilt %>% 
  cpm(log = TRUE) %>% 
  as_tibble(rownames = "gene_id") %>% 
  pivot_longer(cols = all_of(colnames(dgeFilt)), names_to = "sample", values_to = "logCPM") %>% 
  left_join(dgeFilt$samples, by = "sample") %>% 
  ggplot(aes(logCPM, y = stat(density), colour = condition, group = sample)) +
  geom_density() +
  facet_wrap(~mouse) +
  scale_y_continuous(expand = expansion(c(0.01, 0.05)))
*logCPM densisties after removal of undetectable genes. The double negative (DN) samples for both m% and M6 appear to skew to lower overall counts compared to all other samples, with a handful of highly expressed genes likely to dominate the sample.*

logCPM densisties after removal of undetectable genes. The double negative (DN) samples for both m% and M6 appear to skew to lower overall counts compared to all other samples, with a handful of highly expressed genes likely to dominate the sample.

Version Author Date
f2ee30e steveped 2022-11-14
8745ba2 Steve Pederson 2022-10-26

PCA

pca <- dgeFilt %>% 
  cpm(log = TRUE) %>% 
  t() %>% 
  prcomp()
pca %>% 
  broom::tidy() %>% 
  dplyr::rename(sample = row) %>% 
  dplyr::filter(PC %in% c(1, 2)) %>% 
  pivot_wider(names_from = "PC", names_prefix = "PC", values_from = "value") %>% 
  left_join(dgeFilt$samples, by = "sample") %>% 
  ggplot(aes(PC1, PC2, colour = condition)) +
  geom_point(size = 3) +
  geom_text_repel(
    aes(label = label),#str_replace_all(label, " ", "\n")),
    max.overlaps = Inf
  ) +
  labs(
    x = glue("PC1 ({percent(summary(pca)$importance[2, 'PC1'])})"),
    y = glue("PC2 ({percent(summary(pca)$importance[2, 'PC2'])})"),
    colour = "Cell Type"
  )
**Figure S7b** *PCA on logCPM values, with the two DN samples identified above clearly showing strong divergence from the remainder of the dataset. The CD49b sample fro M2 also appeared slightly divergent, with the previous density plot also showing a slght skew towards lower overall counts.*

Figure S7b PCA on logCPM values, with the two DN samples identified above clearly showing strong divergence from the remainder of the dataset. The CD49b sample fro M2 also appeared slightly divergent, with the previous density plot also showing a slght skew towards lower overall counts.

Version Author Date
8745ba2 Steve Pederson 2022-10-26

The above PCA revealed some potential problems with two of the four DN samples. Exclusion of the clear outliers will reduce the number of viable samples within the DN group to 2 and as an alternative, a weighting strategy was instead sought for all samples.

Model Fitting

U <- matrix(1, nrow = ncol(dgeFilt)) %>% 
  set_colnames("Intercept")
v <- voomWithQualityWeights(dgeFilt, design = U)
X <- model.matrix(~0 + condition, data = dgeFilt$samples) %>% 
  set_colnames(str_remove(colnames(.), "condition"))
rho <- duplicateCorrelation(v, X, block=dgeFilt$samples$mouse)$consensus.correlation
v <- voomWithQualityWeights(
  counts = dgeFilt, design = U, block=dgeFilt$samples$mouse, correlation=rho
)
v$design <- X

Sample-level weights were estimated by assuming all samples were drawn from the same group and running voomWithQualityWeights(). After running this, samples were compared within each mouse-of-origin and correlations within mice were estimated using duplicateCorrelation() (\(\rho=\) 0.118). voomWithQualityWeights() was then run again setting mouse as the blocking variable and including the consensus correlations

v$targets %>% 
  ggplot(aes(label, sample.weights, fill = condition)) +
  geom_col() +
  geom_hline(yintercept = 1, linetype = 2, col = "grey30") +
  facet_wrap(~mouse, nrow = 1, scales = "free_x") +
  scale_x_discrete(labels = scales::label_wrap(5)) +
  scale_y_continuous(expand = expansion(c(0, 0.05))) +
  labs(
    x = "Sample", y = "Sample Weights", fill = "Cell Type"
  )
*Sample-level weights after running `voomWithQualityWeights` setting all samples as being drawn from the same condition. The ideal equal wweighting of 1 is shown as the dashed horizontal line, with those samples below this being assumed to be of lower quality than those above the line. Thw two previously identified DN samples were strongly down-weighted, as was the CD49b sample from M2*

Sample-level weights after running voomWithQualityWeights setting all samples as being drawn from the same condition. The ideal equal wweighting of 1 is shown as the dashed horizontal line, with those samples below this being assumed to be of lower quality than those above the line. Thw two previously identified DN samples were strongly down-weighted, as was the CD49b sample from M2

Version Author Date
8745ba2 Steve Pederson 2022-10-26
cont.matrix <- makeContrasts(
  DNvLAG3 = DN - LAG_3,
  DNvDP = DN - DP,
  DNvCD49b = DN - CD49b,
  LAG3vCD49b = LAG_3 - CD49b,
  CD49bvDP = CD49b - DP,
  LAG3vDP = LAG_3 - DP,
  levels = X
)
fit <- lmFit(v, design = X, block = v$targets$mouse, correlation = rho) %>% 
  contrasts.fit(cont.matrix) %>%
  # treat()
  eBayes()

Summary Table

top_tables <- colnames(cont.matrix) %>% 
  lapply(function(x) topTable(fit, coef = x, number = Inf)) %>%
  # lapply(function(x) topTreat(fit, coef = x, number = Inf)) %>%
  lapply(as_tibble) %>%
  lapply(mutate, DE = adj.P.Val < 0.05 & abs(logFC) > 1) %>% 
  setNames(colnames(cont.matrix))
top_tables %>% 
  lapply(
    function(x){
      df <- dplyr::filter(x,DE)
      tibble(
        Up = sum(df$logFC > 0),
        Down = sum(df$logFC < 0),
        `Total DE` = Up + Down
      )
    }
  ) %>% 
  bind_rows(.id = "Comparison") %>% 
  pander(
    justify = "lrrr",
    caption = glue(
      "
      Results from each comparison, where genes are considered DE using an FDR
      < 0.05 along with an estimated logFC beyond $\\pm1$. In total, 
      {length(unique(dplyr::filter(bind_rows(top_tables), DE)$gene_id))} 
      unique genes were considered to be DE in at least one comparison.
      "
    )
  )
Results from each comparison, where genes are considered DE using an FDR < 0.05 along with an estimated logFC beyond \(\pm1\). In total, 243 unique genes were considered to be DE in at least one comparison.
Comparison Up Down Total DE
DNvLAG3 46 31 77
DNvDP 27 34 61
DNvCD49b 16 2 18
LAG3vCD49b 111 56 167
CD49bvDP 6 32 38
LAG3vDP 16 17 33

MA Plots

DN Vs. LAG3

top_tables$DNvLAG3 %>% 
  ggplot(aes(AveExpr, logFC)) +
  geom_point(aes(colour = DE), alpha = 0.6) +
  geom_smooth(se = FALSE) +
  geom_label_repel(
    aes(label = gene_name, colour = DE),
    data = . %>% 
      dplyr::filter(DE, logFC > 0) %>% 
      arrange(desc(logFC)) %>% 
      dplyr::slice(1:5),
    max.overlaps = Inf,
    fontface = "italic",
    show.legend = FALSE
  ) +
  geom_label_repel(
    aes(label = gene_name, colour = DE),
    data = . %>% 
      dplyr::filter(DE, logFC < 0) %>% 
      arrange(logFC) %>% 
      dplyr::slice(1:5),
    max.overlaps = Inf,
    fontface = "italic",
    show.legend = FALSE
  ) +
  ggtitle("DN Vs. LAG3") +
  scale_colour_manual(values = c("grey30", "red"))
MA-Plot for DN Vs. LAG3. The 5 most up/down-regulated genes are labelled, with the blue line representing a spline through the data.

MA-Plot for DN Vs. LAG3. The 5 most up/down-regulated genes are labelled, with the blue line representing a spline through the data.

Version Author Date
0892674 Steve Pederson 2022-10-26
8745ba2 Steve Pederson 2022-10-26

DN Vs. DP

top_tables$DNvDP %>% 
  ggplot(aes(AveExpr, logFC)) +
  geom_point(aes(colour = DE), alpha = 0.6) +
  geom_smooth(se = FALSE) +
  geom_label_repel(
    aes(label = gene_name, colour = DE),
    data = . %>% 
      dplyr::filter(DE, logFC > 0) %>% 
      arrange(desc(logFC)) %>% 
      dplyr::slice(1:5),
    max.overlaps = Inf,
    fontface = "italic",
    show.legend = FALSE
  ) +
  geom_label_repel(
    aes(label = gene_name, colour = DE),
    data = . %>% 
      dplyr::filter(DE, logFC < 0) %>% 
      arrange(logFC) %>% 
      dplyr::slice(1:5),
    max.overlaps = Inf,
    fontface = "italic",
    show.legend = FALSE
  ) +
  ggtitle("DN Vs. DP") +
  scale_colour_manual(values = c("grey30", "red"))
MA-Plot for DN Vs. DP. The 5 most up/down-regulated genes are labelled, with the blue line representing a spline through the data.

MA-Plot for DN Vs. DP. The 5 most up/down-regulated genes are labelled, with the blue line representing a spline through the data.

Version Author Date
0892674 Steve Pederson 2022-10-26
8745ba2 Steve Pederson 2022-10-26

DN Vs. CD49b

top_tables$DNvCD49b %>% 
  ggplot(aes(AveExpr, logFC)) +
  geom_point(aes(colour = DE), alpha = 0.6) +
  geom_smooth(se = FALSE) +
  geom_label_repel(
    aes(label = gene_name, colour = DE),
    data = . %>% 
      dplyr::filter(DE, logFC > 0) %>% 
      arrange(desc(logFC)) %>% 
      dplyr::slice(1:5),
    max.overlaps = Inf,
    fontface = "italic",
    show.legend = FALSE
  ) +
  geom_label_repel(
    aes(label = gene_name, colour = DE),
    data = . %>% 
      dplyr::filter(DE, logFC < 0) %>% 
      arrange(logFC) %>% 
      dplyr::slice(1:5),
    max.overlaps = Inf,
    fontface = "italic",
    show.legend = FALSE
  ) +
  ggtitle("DN Vs. CD49b") +
  scale_colour_manual(values = c("grey30", "red"))
MA-Plot for DN Vs. CD49b The most up/down-regulated genes are labelled, with the blue line representing a spline through the data.

MA-Plot for DN Vs. CD49b The most up/down-regulated genes are labelled, with the blue line representing a spline through the data.

Version Author Date
0892674 Steve Pederson 2022-10-26
8745ba2 Steve Pederson 2022-10-26

LAG3 Vs. CD49b

top_tables$LAG3vCD49b %>% 
  ggplot(aes(AveExpr, logFC)) +
  geom_point(aes(colour = DE), alpha = 0.6) +
  geom_smooth(se = FALSE) +
  geom_label_repel(
    aes(label = gene_name, colour = DE),
    data = . %>% 
      dplyr::filter(DE, logFC > 0) %>% 
      arrange(desc(logFC)) %>% 
      dplyr::slice(1:5),
    max.overlaps = Inf,
    fontface = "italic",
    show.legend = FALSE
  ) +
  geom_label_repel(
    aes(label = gene_name, colour = DE),
    data = . %>% 
      dplyr::filter(DE, logFC < 0) %>% 
      arrange(logFC) %>% 
      dplyr::slice(1:5),
    max.overlaps = Inf,
    fontface = "italic",
    show.legend = FALSE
  ) +
  ggtitle("LAG3 Vs. CD49b") +
  scale_colour_manual(values = c("grey30", "red"))
MA-Plot for LAG3 Vs. CD49b. The 5 most up/down-regulated genes are labelled, with the blue line representing a spline through the data.

MA-Plot for LAG3 Vs. CD49b. The 5 most up/down-regulated genes are labelled, with the blue line representing a spline through the data.

Version Author Date
0892674 Steve Pederson 2022-10-26
8745ba2 Steve Pederson 2022-10-26

LAG3 Vs. DP

top_tables$LAG3vDP %>% 
  ggplot(aes(AveExpr, logFC)) +
  geom_point(aes(colour = DE), alpha = 0.6) +
  geom_smooth(se = FALSE) +
  geom_label_repel(
    aes(label = gene_name, colour = DE),
    data = . %>% 
      dplyr::filter(DE, logFC > 0) %>% 
      arrange(desc(logFC)) %>% 
      dplyr::slice(1:5),
    max.overlaps = Inf,
    fontface = "italic",
    show.legend = FALSE
  ) +
  geom_label_repel(
    aes(label = gene_name, colour = DE),
    data = . %>% 
      dplyr::filter(DE, logFC < 0) %>% 
      arrange(logFC) %>% 
      dplyr::slice(1:5),
    max.overlaps = Inf,
    fontface = "italic",
    show.legend = FALSE
  ) +
  ggtitle("LAG3 Vs. DP") +
  scale_colour_manual(values = c("grey30", "red"))
MA-Plot for LAG3 Vs. DP The 5 most up/down-regulated genes are labelled, with the blue line representing a spline through the data.

MA-Plot for LAG3 Vs. DP The 5 most up/down-regulated genes are labelled, with the blue line representing a spline through the data.

Version Author Date
0892674 Steve Pederson 2022-10-26
8745ba2 Steve Pederson 2022-10-26

CD49b Vs. DP

top_tables$CD49bvDP %>% 
  ggplot(aes(AveExpr, logFC)) +
  geom_point(aes(colour = DE), alpha = 0.6) +
  geom_smooth(se = FALSE) +
  geom_label_repel(
    aes(label = gene_name, colour = DE),
    data = . %>% 
      dplyr::filter(DE, logFC > 0) %>% 
      arrange(desc(logFC)) %>% 
      dplyr::slice(1:5),
    max.overlaps = Inf,
    fontface = "italic",
    show.legend = FALSE
  ) +
  geom_label_repel(
    aes(label = gene_name, colour = DE),
    data = . %>% 
      dplyr::filter(DE, logFC < 0) %>% 
      arrange(logFC) %>% 
      dplyr::slice(1:5),
    max.overlaps = Inf,
    fontface = "italic",
    show.legend = FALSE
  ) +
  ggtitle("CD49b Vs. DP") +
  scale_colour_manual(values = c("grey30", "red"))
MA-Plot for CD49b Vs. DP. The 5 most up/down-regulated genes are labelled, with the blue line representing a spline through the data.

MA-Plot for CD49b Vs. DP. The 5 most up/down-regulated genes are labelled, with the blue line representing a spline through the data.

Version Author Date
0892674 Steve Pederson 2022-10-26
8745ba2 Steve Pederson 2022-10-26

Volcano Plots

DN Vs. LAG3

top_tables$DNvLAG3 %>% 
  ggplot(aes(logFC, -log10(P.Value))) +
  geom_point(aes(colour = DE), alpha = 0.6) +
  geom_label_repel(
    aes(label = gene_name, colour = DE),
    data = . %>% 
      dplyr::filter(DE) %>% 
      arrange(P.Value) %>% 
      dplyr::slice(1:20),
    size = 5,
    max.overlaps = Inf,
    fontface = "italic",
    show.legend = FALSE
  ) +
  ggtitle("DN Vs. LAG3") +
  scale_colour_manual(values = c("grey30", "red")) +
  theme(text = element_text(size = 16))
Volcano Plot for DN Vs. LAG3. The (up to) 20 most highly-ranked genes are labelled.

Volcano Plot for DN Vs. LAG3. The (up to) 20 most highly-ranked genes are labelled.

Version Author Date
ee4bb47 steveped 2022-11-17
0892674 Steve Pederson 2022-10-26
8745ba2 Steve Pederson 2022-10-26

DN Vs. DP

top_tables$DNvDP %>% 
  ggplot(aes(logFC, -log10(P.Value))) +
  geom_point(aes(colour = DE), alpha = 0.6) +
  geom_label_repel(
    aes(label = gene_name, colour = DE),
    data = . %>% 
      dplyr::filter(DE) %>% 
      arrange(P.Value) %>% 
      dplyr::slice(1:20),
    size = 5,
    max.overlaps = Inf,
    fontface = "italic",
    show.legend = FALSE
  ) +
  ggtitle("DN Vs. DP") +
  scale_colour_manual(values = c("grey30", "red")) +
  theme(text = element_text(size = 16))
Volcano Plot for DN Vs. DP. The (up to) 20 most highly-ranked genes are labelled.

Volcano Plot for DN Vs. DP. The (up to) 20 most highly-ranked genes are labelled.

Version Author Date
ee4bb47 steveped 2022-11-17
0892674 Steve Pederson 2022-10-26
8745ba2 Steve Pederson 2022-10-26

DN Vs. CD49b

top_tables$DNvCD49b %>% 
  ggplot(aes(logFC, -log10(P.Value))) +
  geom_point(aes(colour = DE), alpha = 0.6) +
  geom_label_repel(
    aes(label = gene_name, colour = DE),
    data = . %>% 
      dplyr::filter(DE) %>% 
      arrange(P.Value) %>% 
      dplyr::slice(1:20),
    size = 5,
    max.overlaps = Inf,
    fontface = "italic",
    show.legend = FALSE
  ) +
  ggtitle("DN Vs. CD49b") +
  scale_colour_manual(values = c("grey30", "red")) +
  theme(text = element_text(size = 16))
Volcano Plot for DN Vs. CD49b. The (up to) 20 most highly-ranked genes are labelled.

Volcano Plot for DN Vs. CD49b. The (up to) 20 most highly-ranked genes are labelled.

Version Author Date
ee4bb47 steveped 2022-11-17
0892674 Steve Pederson 2022-10-26
8745ba2 Steve Pederson 2022-10-26

LAG3 Vs. CD49b

top_tables$LAG3vCD49b %>% 
  ggplot(aes(logFC, -log10(P.Value))) +
  geom_point(aes(colour = DE), alpha = 0.6) +
  geom_label_repel(
    aes(label = gene_name, colour = DE),
    data = . %>% 
      dplyr::filter(DE) %>% 
      arrange(P.Value) %>% 
      dplyr::slice(1:20),
    size = 5,
    max.overlaps = Inf,
    fontface = "italic",
    show.legend = FALSE
  ) +
  ggtitle("LAG3 Vs. CD49b") +
  scale_colour_manual(values = c("grey30", "red")) +
  theme(text = element_text(size = 16))
Volcano Plot for LAG3 Vs. CD49b. The (up to) 20 most highly-ranked genes are labelled.

Volcano Plot for LAG3 Vs. CD49b. The (up to) 20 most highly-ranked genes are labelled.

Version Author Date
ee4bb47 steveped 2022-11-17
0892674 Steve Pederson 2022-10-26
8745ba2 Steve Pederson 2022-10-26

LAG3 Vs. DP

top_tables$LAG3vDP %>% 
  ggplot(aes(logFC, -log10(P.Value))) +
  geom_point(aes(colour = DE), alpha = 0.6) +
  geom_label_repel(
    aes(label = gene_name, colour = DE),
    data = . %>% 
      dplyr::filter(DE) %>% 
      arrange(P.Value) %>% 
      dplyr::slice(1:20),
    size = 5,
    max.overlaps = Inf,
    fontface = "italic",
    show.legend = FALSE
  ) +
  ggtitle("LAG3 Vs. DP") +
  scale_colour_manual(values = c("grey30", "red")) +
  theme(text = element_text(size = 16))
Volcano Plot for LAG3 Vs. DP. The (up to) 20 most highly-ranked genes are labelled.

Volcano Plot for LAG3 Vs. DP. The (up to) 20 most highly-ranked genes are labelled.

Version Author Date
ee4bb47 steveped 2022-11-17
0892674 Steve Pederson 2022-10-26
8745ba2 Steve Pederson 2022-10-26

CD49b Vs. DP

top_tables$CD49bvDP %>% 
  ggplot(aes(logFC, -log10(P.Value))) +
  geom_point(aes(colour = DE), alpha = 0.6) +
  geom_label_repel(
    aes(label = gene_name, colour = DE),
    data = . %>% 
      dplyr::filter(DE) %>% 
      arrange(P.Value) %>% 
      dplyr::slice(1:20),
    size = 5,
    max.overlaps = Inf,
    fontface = "italic",
    show.legend = FALSE
  ) +
  ggtitle("CD49b Vs. DP") +
  scale_colour_manual(values = c("grey30", "red")) +
  theme(text = element_text(size = 16))
Volcano Plot for CD49b Vs. DP. The (up to) 20 most highly-ranked genes are labelled.

Volcano Plot for CD49b Vs. DP. The (up to) 20 most highly-ranked genes are labelled.

Version Author Date
ee4bb47 steveped 2022-11-17
0892674 Steve Pederson 2022-10-26
8745ba2 Steve Pederson 2022-10-26

DE Gene Summary

UpSet Plot

all_de <- top_tables %>% 
  lapply(dplyr::filter, DE) %>%
  bind_rows() %>% 
  pull("gene_id") %>% 
  unique()
top_tables %>% 
  lapply(dplyr::filter, adj.P.Val < 0.05, gene_id %in% all_de) %>%
  lapply(dplyr::select, gene_id) %>% 
  bind_rows(.id = "comparison") %>% 
  mutate(DE = TRUE, comparison = str_replace_all(comparison, "v", " Vs. ")) %>% 
  pivot_wider(names_from = comparison, values_from = DE, values_fill = FALSE) %>% 
  upset(
    intersect = str_replace_all(names(top_tables), "v", " Vs. "),
    base_annotations = list(
      'Intersection size' = intersection_size(bar_number_threshold = 1, width = 0.9) +
        scale_y_continuous(expand = expansion(c(0, 0.1))) +
        scale_fill_manual(values = c(bars_color = "grey20")) +
        theme(panel.grid = element_blank())
    ),
    sort_sets = FALSE,
    set_sizes = upset_set_size() +
      geom_text(aes(label = comma(after_stat(count))), stat = 'count', hjust = 1.1) +
      scale_y_reverse(expand = expansion(c(0.25, 0))) +
      theme(panel.grid = element_blank()),
    queries = list(
      upset_query(
        intersect = str_subset(colnames(.), "LAG3"),
        fill = "red", color = "red",
        only_components = c("intersections_matrix", "Intersection size")
      ),
      upset_query(
        intersect = str_subset(colnames(.), "CD49"),
        fill = "forestgreen", color = "forestgreen",
        only_components = c("intersections_matrix", "Intersection size")
      ),
      upset_query(
        intersect = str_subset(colnames(.), "DN"),
        fill = "blue", color = "blue",
        only_components = c("intersections_matrix", "Intersection size")
      )
    ),
    min_size = 2
  ) +
  labs(x = "Group") +
  theme(panel.grid = element_blank())
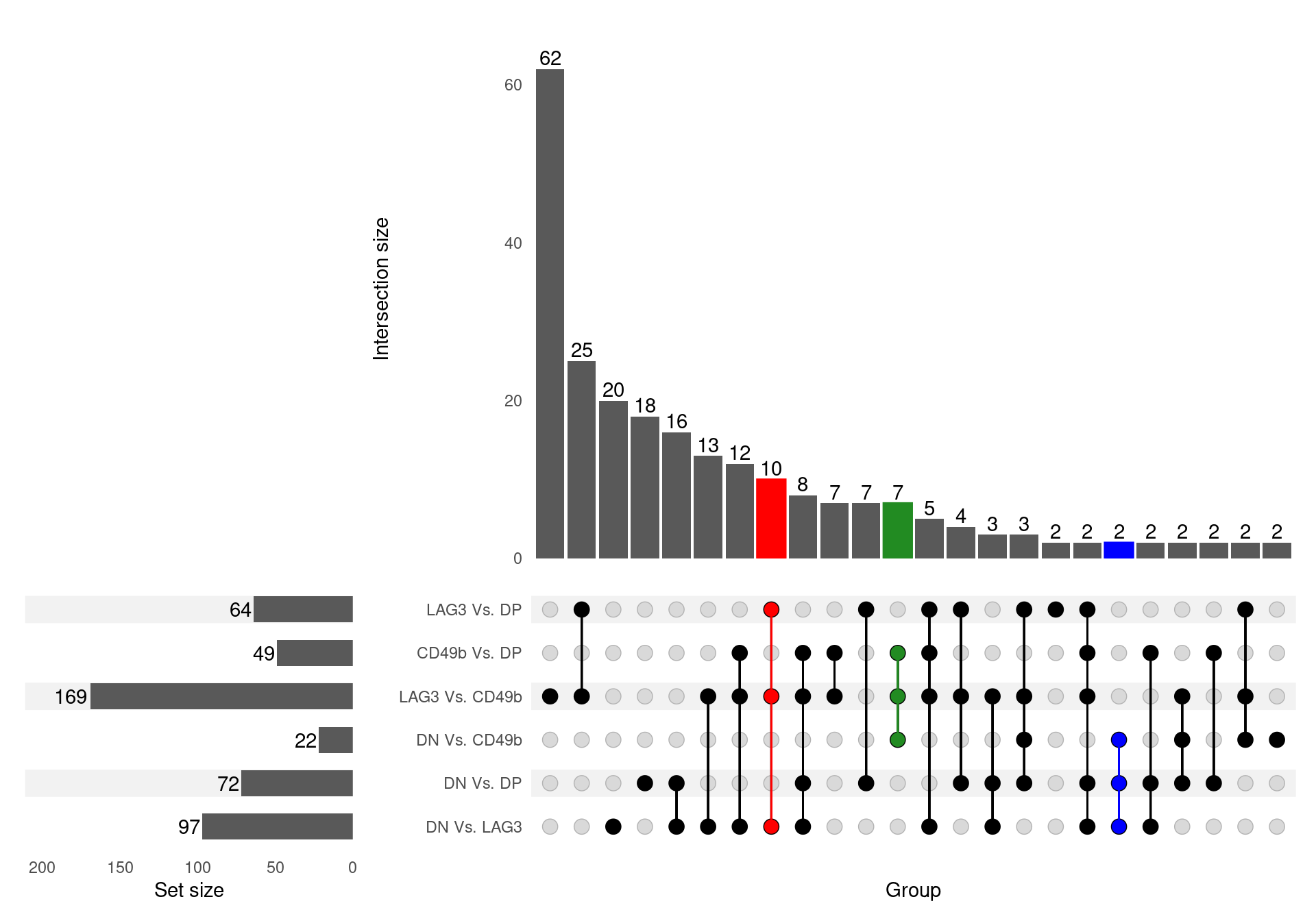
UpSet plot for all DE genes. A complete list of DE genes was obtained by finding all genes considered DE after filtering by FDR and logFC across all comparisons. For the purposes of comparison, any genes in this complete list were considered as DE in a comparison if receiving an FDR-adjusted p-value < 0.05 in order for this figure to give a more accurate picture across all 6 comparisons, and avoiding any misleading results from the use of a hard cutoff. The genes DE in all LAG3 comparisons are highlighted in red, whilst the CD49b signature is shown in green and the DN signature is shown in blue. No clear DP signature was evident in this viewpoint.

UpSet plot for all DE genes. A complete list of DE genes was obtained by finding all genes considered DE after filtering by FDR and logFC across all comparisons. For the purposes of comparison, any genes in this complete list were considered as DE in a comparison if receiving an FDR-adjusted p-value < 0.05 in order for this figure to give a more accurate picture across all 6 comparisons, and avoiding any misleading results from the use of a hard cutoff. The genes DE in all LAG3 comparisons are highlighted in red, whilst the CD49b signature is shown in green and the DN signature is shown in blue. No clear DP signature was evident in this viewpoint.

Heatmaps

In order to visualise the data using heatmaps, the average expression within each cell type was calculated.

grp_coef <- dgeList %>%
  cpm(log = TRUE) %>% 
  as_tibble(rownames = "gene_id") %>% 
  pivot_longer(
    cols = all_of(colnames(v)), names_to = "sample", values_to = "logCPM"
  ) %>% 
  left_join(v$targets) %>% 
  group_by(gene_id, condition) %>% 
  # summarise(logCPM = weighted.mean(logCPM, sample.weights)) %>%
  summarise(logCPM = mean(logCPM)) %>%
  pivot_wider(names_from = "condition", values_from = "logCPM") %>% 
  as.data.frame() %>%
  column_to_rownames("gene_id") %>% 
  as.matrix()

Key Signatures

signatures <- top_tables %>% 
  bind_rows(.id = "comparison") %>% 
  dplyr::filter(gene_id %in% all_de, adj.P.Val < 0.05) %>% 
  dplyr::select(comparison, gene_id, gene_name, AveExpr) %>% 
  chop(comparison) %>% 
  dplyr::filter(vapply(comparison, length, integer(1)) == 3) %>% 
  dplyr::mutate(
    Signature = case_when(
      vapply(comparison, function(x) sum(str_detect(x, "CD49")) == 3, logical(1)) ~ "Cd49b+",
      vapply(comparison, function(x) sum(str_detect(x, "LAG3")) == 3, logical(1)) ~ "Lag3+",
      vapply(comparison, function(x) sum(str_detect(x, "DN")) == 3, logical(1)) ~ "DN",
      TRUE ~ "Other"
    )
  ) %>% 
  dplyr::filter(Signature != "Other") %>% 
  dplyr::select(starts_with("gene"), Signature, AveExpr) %>% 
  arrange(Signature, desc(AveExpr)) %>% 
  as.data.frame() %>% 
  column_to_rownames("gene_id")
sig_heat <- grp_coef[rownames(signatures),] %>% 
  pheatmap(
    annotation_row = dplyr::select(signatures, Signature),
    cluster_rows = FALSE, cluster_cols = FALSE,
    labels_row = setNames(signatures$gene_name, rownames(signatures)),
    labels_col = c(DN = "DN", DP = "DP", LAG_3 = "Lag3+", CD49b = "CD49b+"),
    gaps_row = cumsum(c(
      sum(signatures$Signature == "Cd49b+"),
      sum(signatures$Signature == "DN")
    )),
    color = hcl.colors(101, "inferno"),
    cutree_rows = 7,
    cellwidth = 25,
    cellheight = 15,
    annotation_colors = list(
      Signature = c("Cd49b+" = "forestgreen", "DN" = "blue", "Lag3+" = "red")
    ),
    silent = TRUE
  ) %>% 
  .[["gtable"]]
sig_heat$grobs[[3]]$gp <- gpar(fonsize = 10, fontface = "italic")
png(
  here::here("docs", "assets", "sig_heat.png"),
  height = 6, width = 4, units = "in", res = 300
)
grid.newpage()
grid.draw(sig_heat)
dev.off()
pdf(
  here::here("docs", "assets", "sig_heat.pdf"),
  height = 6, width = 4
)
grid.newpage()
grid.draw(sig_heat)
dev.off()

Expression values from genes in each of the key signatures defined in the previous UpSet plot were plotted. Within each signature genes are arranged in order of average expression. Most genes in the CD49b+ signature showed lower expression in this cell type, whilst patterns were more varied for each of the other signatures. The pdf of this image is available here

High Confidence Genes

highConf_df <- tribble(
  ~Group, ~gene_name,
  "Treg", "Foxp3",
  "Treg", "Il2ra",
  "Treg", "Il2rb",
  "Treg", "Ikzf4",
  "Treg", "Il1rl1",
  "Th2", "Gata3",
  "Th2", "Il4",
  "Th2", "Il5",
  "Th2", "Il13",
  "Th17", "Rorc",
  "Th17", "Il17a",
  "Th17", "Il17f",
  "Th17", "Ccr6",
  "Th1", "Tbx21",
  "Th1", "Cxcr3",
  "Th1", "Cxcr6",
  "Th1", "Tnf",
  "Th1", "Ifng",
  "Tfh", "Bcl6",
  "Tfh", "Cxcr5",
  "Tfh", "Tcf7",
  "Tfh", "Tox2",
  "Tr1", "Ccr5",
  "Tr1", "Il10",
  "Tr1", "Il21",
  "Tr1", "Tgfb1",
  "Tr1", "Gzmb",
  "Tr1", "Lag3",
  "Tr1", "Itga2",
  "Tr1", "Icos",
  "Tr1", "Pdcd1",
  "Tr1", "Ctla4",
  "Tr1", "Havcr2",
  "Tr1", "Tigit",
  "Tr1", "Cd226",
  "Tr1", "Maf",
  "Tr1", "Prdm1",
  "Tr1", "Batf",
  "Tr1", "Ahr",
  "Tr1", "Eomes",
  "Tr1", "Irf1",
  "Tr1", "Irf4",
  "Tr1", "Stat1",
  "Tr1", "Stat3"
) %>%
  left_join(
    # dplyr::select(dgeFilt$genes, gene_name, gene_id)
    dplyr::select(dgeList$genes, gene_name, gene_id)
  ) %>% 
  as.data.frame() %>% 
  column_to_rownames("gene_id")
p <- grp_coef[rownames(highConf_df),] %>% 
  pheatmap(
    cluster_rows = FALSE, cluster_cols = FALSE,
    labels_row = setNames(highConf_df$gene_name, rownames(highConf_df)),
    labels_col = c(DN = "DN", DP = "DP", LAG_3 = "Lag3+", CD49b = "CD49b+"),
    color = hcl.colors(101, "inferno"),
    cellwidth = 15,
    silent = TRUE
    # annotation_col = dplyr::select(highConf_df, Group)
  ) %>% 
  .[["gtable"]]
p$grobs[[3]]$gp <- gpar(fontsize = 10, fontface = "italic")
bu <- 0.07
grp_df <- highConf_df %>%
  mutate(i = seq_along(gene_name) / nrow(.)) %>% 
  group_by(Group) %>% 
  summarise(
    y_max = 1 - min(i) + 0.004,
    y_min = 1 - max(i) - 0.003
  ) %>% 
  mutate(
    y_max = bu + (1 - bu) * y_max,
    y_min = bu + (1 - bu) * y_min
  ) %>% 
  split(.$Group)
png(
  here::here("docs", "assets", "highconf_heat.png"),
  width = 5, height = 10, res = 300, units = "in"
)
grid.newpage()
grid.draw(p)
grp_df %>% 
  lapply(
    function(x) {
      grid.lines(
        x = 0.305, 
        y = c(x$y_max, x$y_min), 
        gp = gpar(lwd = 2.5)
      )
      grid.text(
        x$Group, x = 0.25,
        y = 0.5 * (x$y_min + x$y_max) + 0.01
      )
    }
  )
dev.off()
pdf(
  here::here("docs", "assets", "highconf_heat.pdf"),
  width = 5, height = 10
)
grid.newpage()
grid.draw(p)
grp_df %>% 
  lapply(
    function(x) {
      grid.lines(
        x = 0.305, 
        y = c(x$y_max, x$y_min), 
        gp = gpar(lwd = 2.5)
      )
      grid.text(
        x$Group, x = 0.25,
        y = 0.5 * (x$y_min + x$y_max) + 0.01
      )
    }
  )
dev.off()

Expression patterns across all groups for key marker genes. The same figure is available here as a pdf.

Top 100

All DE genes were combined across all comparisons and the 100 with the most extreme estimates of logFC were chosen for visualisation.

top_100 <- top_tables %>% 
  lapply(dplyr::filter, DE) %>% 
  bind_rows(.id = "comparison") %>% 
  arrange(desc(abs(logFC))) %>% 
  distinct(gene_id) %>% 
  dplyr::slice(1:100) %>% 
  pull("gene_id")
p <- grp_coef[top_100,] %>% 
  # t() %>% 
  pheatmap(
    color = hcl.colors(101, "inferno"),
    labels_row = id2gene[top_100],
    labels_col = c(DN = "DN", DP = "DP", "LAG_3" = "Lag3+", CD49b = "Cd49b+"),
    cluster_cols = FALSE,
    # annotation_col = top_tables %>%
    #   lapply(
    #     function(x) {
    #       up <- dplyr::filter(x, DE, logFC > 0)$gene_id
    #       down <- dplyr::filter(x, DE, logFC < 0)$gene_id
    #       case_when(
    #         top_100 %in% up ~ "Up",
    #         top_100 %in% down ~ "Down",
    #         TRUE ~ "Unchanged"
    #       )
    #     }
    #   ) %>%
    #   lapply(factor, levels = c("Up", "Down", "Unchanged")) %>%
    #   as.data.frame() %>%
    #   set_colnames(str_replace_all(colnames(.), "v", " Vs. ")) %>%
    #   set_rownames(top_100),
    # annotation_colors = top_tables %>%
    #   setNames(str_replace_all(names(.), "v", " Vs. ")) %>%
    #   lapply(function(x) c("Unchanged" = "grey", "Up" = "red", "Down" = "blue")),
    # annotation_legend = FALSE,
    cutree_rows = 8,
    cellwidth = 15,
    fontsize = 8,
    silent = TRUE
  ) %>% 
  .[["gtable"]]
p$grobs[[4]]$gp <- gpar(fontsize = 8, fontface = "italic")
p$grobs[[3]]$gp <- gpar(fontsize = 10)
png(
  here::here("docs", "assets", "top100_heat.png"),
  height = 12, width = 5, units = "in", res = 300
)
grid.newpage()
grid.draw(p)
dev.off()
pdf(
  here::here("docs", "assets", "top100_heat.pdf"),
  height = 12, width = 5
)
grid.newpage()
grid.draw(p)
dev.off()

Expression patterns the top 100 DE genes by logFC. The same figure is available here as a pdf.

Top 100 By logFC

n <- 101
myPalette <- colorRampPalette(c("blue", "white", "red"))(n)
myBreaks <- c(
  seq(-7, -7/n, length.out = (n - 1) / 2), 
  0,
  seq(9 / n, 9, length.out = (n - 1) / 2)
)
p <- fit$coefficients[top_100,c(1:4, 6, 5)] %>% 
  pheatmap(
    color = myPalette,
    breaks = myBreaks,
    legend_breaks = seq(-6, 8, by = 2),
    cellwidth = 15,
    labels_row = id2gene[top_100],
    cutree_rows = 5,
    fontsize = 8,
    cluster_cols = FALSE,
    labels_col = setNames(
      str_replace(colnames(.), "v", " Vs. "),
      colnames(.)
    ),
    silent = TRUE
  ) %>% 
  .[["gtable"]]
p$grobs[[4]]$gp <- gpar(fontface = "italic")
png(
  here::here("docs", "assets", "top100_logfc_heat.png"),
  height = 12, width = 5, units = "in", res = 300
)
grid.newpage()
grid.draw(p)
dev.off()
pdf(
  here::here("docs", "assets", "top100_logfc_heat.pdf"),
  height = 12, width = 5
)
grid.newpage()
grid.draw(p)
dev.off()

Changes in relative expression for the top 100 DE genes by logFC. The same figure is available here as a pdf.

Data Export

write_rds(dgeFilt, here::here("output", "dgeFilt.rds"), compress = "gz")
write_rds(top_tables, here::here("output", "top_tables.rds"), compress = "gz")
write_rds(v, here::here("output", "v.rds"), compress = "gz")
write_rds(fit, here::here("output", "fit.rds"), compress = "gz")

sessionInfo()
R version 4.2.1 (2022-06-23)
Platform: x86_64-pc-linux-gnu (64-bit)
Running under: Ubuntu 20.04.5 LTS

Matrix products: default
BLAS:   /usr/lib/x86_64-linux-gnu/blas/libblas.so.3.9.0
LAPACK: /usr/lib/x86_64-linux-gnu/lapack/liblapack.so.3.9.0

locale:
 [1] LC_CTYPE=en_AU.UTF-8       LC_NUMERIC=C              
 [3] LC_TIME=en_AU.UTF-8        LC_COLLATE=en_AU.UTF-8    
 [5] LC_MONETARY=en_AU.UTF-8    LC_MESSAGES=en_AU.UTF-8   
 [7] LC_PAPER=en_AU.UTF-8       LC_NAME=C                 
 [9] LC_ADDRESS=C               LC_TELEPHONE=C            
[11] LC_MEASUREMENT=en_AU.UTF-8 LC_IDENTIFICATION=C       

attached base packages:
[1] grid      stats4    stats     graphics  grDevices utils     datasets 
[8] methods   base     

other attached packages:
 [1] reactable_0.3.0         ComplexUpset_1.3.3      pander_0.6.5           
 [4] glue_1.6.2              broom_1.0.1             scales_1.2.1           
 [7] ensembldb_2.22.0        AnnotationFilter_1.22.0 GenomicFeatures_1.50.2 
[10] AnnotationDbi_1.60.0    Biobase_2.58.0          GenomicRanges_1.50.1   
[13] GenomeInfoDb_1.34.3     IRanges_2.32.0          S4Vectors_0.36.0       
[16] AnnotationHub_3.6.0     BiocFileCache_2.6.0     dbplyr_2.2.1           
[19] BiocGenerics_0.44.0     pheatmap_1.0.12         ggrepel_0.9.2          
[22] edgeR_3.40.0            limma_3.54.0            magrittr_2.0.3         
[25] forcats_0.5.2           stringr_1.4.1           dplyr_1.0.10           
[28] purrr_0.3.5             readr_2.1.3             tidyr_1.2.1            
[31] tibble_3.1.8            ggplot2_3.4.0           tidyverse_1.3.2        
[34] workflowr_1.7.0        

loaded via a namespace (and not attached):
  [1] readxl_1.4.1                  backports_1.4.1              
  [3] lazyeval_0.2.2                splines_4.2.1                
  [5] BiocParallel_1.32.1           digest_0.6.30                
  [7] htmltools_0.5.3               fansi_1.0.3                  
  [9] memoise_2.0.1                 googlesheets4_1.0.1          
 [11] tzdb_0.3.0                    Biostrings_2.66.0            
 [13] modelr_0.1.10                 matrixStats_0.62.0           
 [15] vroom_1.6.0                   timechange_0.1.1             
 [17] prettyunits_1.1.1             colorspace_2.0-3             
 [19] blob_1.2.3                    rvest_1.0.3                  
 [21] rappdirs_0.3.3                haven_2.5.1                  
 [23] xfun_0.34                     callr_3.7.3                  
 [25] crayon_1.5.2                  RCurl_1.98-1.9               
 [27] jsonlite_1.8.3                gtable_0.3.1                 
 [29] gargle_1.2.1                  zlibbioc_1.44.0              
 [31] XVector_0.38.0                DelayedArray_0.24.0          
 [33] DBI_1.1.3                     Rcpp_1.0.9                   
 [35] xtable_1.8-4                  progress_1.2.2               
 [37] bit_4.0.4                     htmlwidgets_1.5.4            
 [39] httr_1.4.4                    RColorBrewer_1.1-3           
 [41] ellipsis_0.3.2                farver_2.1.1                 
 [43] pkgconfig_2.0.3               XML_3.99-0.12                
 [45] sass_0.4.2                    here_1.0.1                   
 [47] locfit_1.5-9.6                utf8_1.2.2                   
 [49] labeling_0.4.2                tidyselect_1.2.0             
 [51] rlang_1.0.6                   later_1.3.0                  
 [53] munsell_0.5.0                 BiocVersion_3.16.0           
 [55] cellranger_1.1.0              tools_4.2.1                  
 [57] cachem_1.0.6                  cli_3.4.1                    
 [59] generics_0.1.3                RSQLite_2.2.18               
 [61] evaluate_0.18                 fastmap_1.1.0                
 [63] yaml_2.3.6                    processx_3.8.0               
 [65] knitr_1.40                    bit64_4.0.5                  
 [67] fs_1.5.2                      KEGGREST_1.38.0              
 [69] nlme_3.1-160                  whisker_0.4                  
 [71] mime_0.12                     xml2_1.3.3                   
 [73] biomaRt_2.54.0                compiler_4.2.1               
 [75] rstudioapi_0.14               filelock_1.0.2               
 [77] curl_4.3.3                    png_0.1-7                    
 [79] interactiveDisplayBase_1.36.0 reprex_2.0.2                 
 [81] statmod_1.4.37                bslib_0.4.1                  
 [83] stringi_1.7.8                 highr_0.9                    
 [85] ps_1.7.2                      lattice_0.20-45              
 [87] ProtGenerics_1.30.0           Matrix_1.5-3                 
 [89] vctrs_0.5.0                   pillar_1.8.1                 
 [91] lifecycle_1.0.3               BiocManager_1.30.19          
 [93] jquerylib_0.1.4               bitops_1.0-7                 
 [95] patchwork_1.1.2               httpuv_1.6.6                 
 [97] rtracklayer_1.58.0            R6_2.5.1                     
 [99] BiocIO_1.8.0                  promises_1.2.0.1             
[101] codetools_0.2-18              assertthat_0.2.1             
[103] SummarizedExperiment_1.28.0   rprojroot_2.0.3              
[105] rjson_0.2.21                  withr_2.5.0                  
[107] GenomicAlignments_1.34.0      Rsamtools_2.14.0             
[109] GenomeInfoDbData_1.2.9        mgcv_1.8-41                  
[111] parallel_4.2.1                hms_1.1.2                    
[113] rmarkdown_2.18                MatrixGenerics_1.10.0        
[115] googledrive_2.0.0             git2r_0.30.1                 
[117] getPass_0.2-2                 shiny_1.7.3                  
[119] lubridate_1.9.0               restfulr_0.0.15